| МОСКОВСКИЙ ГОСУДАРСТВЕННЫЙ УНИВЕРСИТЕТ
им. М. В. Ломоносова
ЭКОНОМИЧЕСКИЙ ФАКУЛЬТЕТ
Кафедра «Финансы и кредит»
КУРСОВАЯ РАБОТА
Тема: «
Проведение корректировки формулы расчета риска актива (стандартное отклонение доходности).
Определение последствий для
CAPM
».
Выполнена студенткой группы Э-31
Байтелесовой А.Д.
Научный руководитель: доцент
кафедры «финансы и кредит»,
к.э.н Яндиев М. И.
Москва
2008
Содержание
Введение
………………………………………………………………………………3
I Глава. Стандартное отклонение как показатель риска……………………...4
1.1 Стандартное отклонение в математической статистике………………………..4
1.2 Применение стандартного отклонения на финансовых рынках……………….4
1.3 Недостатки стандартного отклонения…………………………………………...7
1.4 Дополнение стандартного отклонения. Опыт предшественников. …………..10
II Глава.
Корректировка стандартного отклонения и ее последствия………13
2.1 Метод корректировки стандартного отклонения………………………………13
2.2 Последствия корректировки стандартного отклонения в модели САРМ……15
Заключение…………………………………………………………………………..1
8
Список использованной литературы………………………………………………...19
Введение
Участник финансового рынка принимает решения о том или ином активе исходя из соотношения доходности и риска. В данной работе нас больше всего будет интересовать именно риск. Мерой риска актива является стандартное отклонение, которое широко применяется во многих моделях оценки стоимости финансовых активов.
С математической точки зрения стандартное отклонение показывает меру разброса значений от их среднего значения. Чем больше разброс, тем больше стандартное отклонение [1]. Однако формула стандартного отклонения показывает лишь среднее значение, не показывая при этом долю положительного и отрицательные значения. Также есть веростность влияния шумов на конечный результат, что на мой взгляд, не совсем правильно.
Принимать во внимание все значения разброса, как отрицательные, так и положительные, думаю, будет представлять для участника финансового рынка большую полезность: он сможет иметь более точную информацию и, соответственно, выводы и решения, которые он примет, будут более правильными.
Цель данной работы:
Скорректировать стандартное отклонение и определить как повлияет данная корректировака на модель САРМ.
Забиваем Сайты В ТОП КУВАЛДОЙ - Уникальные возможности от SeoHammer
Каждая ссылка анализируется по трем пакетам оценки: SEO, Трафик и SMM.
SeoHammer делает продвижение сайта прозрачным и простым занятием.
Ссылки, вечные ссылки, статьи, упоминания, пресс-релизы - используйте по максимуму потенциал SeoHammer для продвижения вашего сайта.
Что умеет делать SeoHammer
— Продвижение в один клик, интеллектуальный подбор запросов, покупка самых лучших ссылок с высокой степенью качества у лучших бирж ссылок.
— Регулярная проверка качества ссылок по более чем 100 показателям и ежедневный пересчет показателей качества проекта.
— Все известные форматы ссылок: арендные ссылки, вечные ссылки, публикации (упоминания, мнения, отзывы, статьи, пресс-релизы).
— SeoHammer покажет, где рост или падение, а также запросы, на которые нужно обратить внимание.
SeoHammer еще предоставляет технологию Буст, она ускоряет продвижение в десятки раз,
а первые результаты появляются уже в течение первых 7 дней.
Зарегистрироваться и Начать продвижение
Задачи следующие:
- Проанализировать стандартное отклонение: изучить историю, выяснить, где и кем применяется, что обозначает, выявить недостатки.
- Узнать были ли попытки корректировки стандартного отклонения или его дополнения (если да, то изучить эти работы и проанализировать, определить полезные для себя моменты)
- Предложение метода корректировки стандартного отклонения. Рассмотреть на примере. Доказательство действенности полученного результата.
- Перспективы продолжения данного анализа, его применение в различных моделях. (К примеру, САРМ).
Глава
I
. Стандартное отклонение как показатель риска.
1.1.
Стандартное отклонение в математической статистике.
Термин стандартное отклонение был впервые введен Пирсоном в 1894 году. Стандартное отклонение (стандартное квадратическое отклонение, среднеквадратическое отклонение или стандарт) - это широко используемая мера разброса или вариабельности (изменчивости) данных относительно средней величины [2]. В теории вероятности и статистике это наиболее распространенный показатель рассеивания значений случайной величины относительно её математического ожидания. Измеряется в единицах измерения самой случайной величины. Равно корню квадратному из дисперсии случайной величины.

где — стандарт, стандартное отклонение, несмещенная оценка среднеквадратического отклонения случайной величины X относительно её математического ожидания; — дисперсия; — i-й элемент выборки; — среднее арифметическое выборки; — объём выборки[3].
Стандартное отклонение используется для разных целей: с данного показателя можно определить вариация какого из данного набора рядов распределения больше; зная, например, значения средней и стандартного отклонения, можно определить положение различных наблюдений в нормальном распределении; используют при расчёте стандартной ошибки среднего арифметического; при построении доверительных интервалов; при статистической проверке гипотез; при измерении линейной взаимосвязи между случайными величинами.
Стандартное отклонение обладает всеми свойствами, присущими дисперсии.
Cчитается, что стандартное отклонение - показатель, упрощающий анализ дисперсии и поэтому чаще встречающийся. Т.к. дисперсия измеряется в процентах в квадрате, что очень непривычно и тяжело, стандартное отклонение упорядочивает дисперсию за счет взятия квадратного корня из дисперсии.
1.2
Применение стандартного отклонения на финансовых рынках
Стандартное отклонение - это статистический термин, который является хорошим индикатором изменчивости. Он измеряет насколько широко значения (например, цены закрытия) рассеяны от среднего значения. Дисперсия является разницей между фактическим значением, например, цены закрытия и средним значением цены закрытия. Чем больше разница между ценами закрытия и средней ценой, тем выше будет стандартное отклонение и тем выше изменчивость. Чем ближе находятся цены закрытия к средней цене, тем ниже стандартное отклонение и ниже изменчивость [4].
Сервис онлайн-записи на собственном Telegram-боте
Попробуйте сервис онлайн-записи VisitTime на основе вашего собственного Telegram-бота:
— Разгрузит мастера, специалиста или компанию;
— Позволит гибко управлять расписанием и загрузкой;
— Разошлет оповещения о новых услугах или акциях;
— Позволит принять оплату на карту/кошелек/счет;
— Позволит записываться на групповые и персональные посещения;
— Поможет получить от клиента отзывы о визите к вам;
— Включает в себя сервис чаевых.
Для новых пользователей первый месяц бесплатно.
Зарегистрироваться в сервисе
σ=√∑(ri
–rср
)2
/n
[5]
В трейдинге стандартное отклонение является измерителем риска. Чем выше стандартное отклонение, тем выше риск. К примеру, стандартное отклонение равное 20% означает, что средняя (ожидаемая) доходность может отклониться по итогам периода наблюдения на 20% как вверх, так и вниз.
Пример. Вычисление.
Для вычисления годового сстандартного отклонения выполняются следующие шаги:
1. Вычисляется среднее значение доходности за каждый месяц, то есть суммируются значения доходностей закрытия за месяц и делятся на количество значений.
2. Из доходности каждого дня вычитается среднне значение доходности. Это дает нам отклонение для каждого дня.
3. Вычисляется квадрат отклонения для каждого дня.
4. Суммируются значения квадратов отклонений для всех дней.
5. Полученная сумма квадратов отклонений делится на число дней в месяце
6. Стандартное отклонение равно квадратному корню из полученного значения.
Существуют различные виды вычисления стандартного отклонения, используемые в статистике. Эта версия больше всего подходит для технического анализа, так как все входные данные известны заранее.

Рис.1
На графике выше (рис.1) показано как стандартное отклонение может изменяться во времени. Обратите внимание, в конце марта изменчивость повысилась, значит, повысился риска покупки акции Газпрома в этот период. С мая по август никаких изменений не наблюдается, в конце ноября мы опять видим повышение стандартного отклонения выше среднего значения, то есть выше ожидаемой доходности.
Проведя линейную линию тренда на этом же графике (рис.2), удобней сказать, где у нас появляются наиболее рисковые зоны, отклонение от среднего значения.

Рис.2
Таким образом, наиболее рисковыми периодами оказываются периоды с середины февраля по март (стандартное отклонение находится в районе 2%), менее рисковые периоды в апреле (стандартное отклонение около 1,4%), в середине ноября (стандартное отклонение около 1,3%) и в декабре (стандартное отклонение примерно 1,8%).
Нельзя сказать, что это достаточно изменчивый актив. Ситуация относительно стабильная. Общее стандартное отклонение ежедневной доходности равно 1,615%. В этом случае нужно помнить, что чем ниже изменчивость определенного рыночного инструмента, тем ниже возможностей заработать на нем.
Величина стандартного отклонения высока, если анализируемые данные (напр., цены или значения индикатора) резко меняются. Если цены стабильны, то величина стандартного отклонения будет невысокой.
По мнению многих аналитиков, формированию важных рыночных вершин соответствует высокая волатильность, поскольку в душах инвесторов эйфория борется со страхом. Образование важных оснований обычно происходит спокойнее, так как инвесторы не рассчитывают на серьезную прибыль [6].
Стандартное отклонение используется для измерения риска актива. Этот показатель указывает насколько сильно значения измеряемого параметра, например, значения доходности ПИФа, отклонялись от своего среднего значения в течении анализируемого периода. Стандартное отклонение точно показывает границы, в которых колебалась доходность фонда. С этой информацией можно оценить диапазон, в котором вероятно будет находиться доходность ПИФа в будущем. Чем больше доходность фонда колеблется от месяца к месяцу, тем больше значение его стандартного отклонения [7].
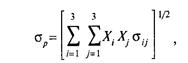
Например, для портфеля, состоящего из трех ценных бумаг (Able, Baker, Charlie) формула для вычисления стандартного отклонения выглядит следующим образом:

где s ij
обозначает ковариацию {covariance}
доходностей ценных бумаг i
и j.
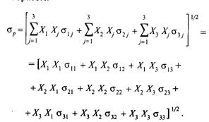
Очень важно понимать, как производится двойное суммирование,
используемое в уравнении для стандартного отклонения. Этот процесс может быть представлен алгебраически следующим образом:

Заметим, что нужно сложить девять членов, для того чтобы вычислить стандартное отклонение портфеля, состоящего из трех ценных бумаг. В общем случае вычисление стандартного отклонения портфеля, состоящего из N
ценных бумаг, требует двойного суммирования N
ценных бумаг, для чего необходимо сложить N2
членов:

Для того чтобы получить годичное стандартное отклонение, нужно стандартное отклонение, рассчитанное по месячным данным, умножить на квадратный корень из 12 [8].
σгод.
= σмес
× √12,
В данной работе рассматривается только арифметическое стандартное отклонение, так как наиболее часто используется. Однако стандартное отклонение можно вычислить и геометрически.
Основное назначение Геометрического стандартного отклонения (Geometric Standard Deviation GSD) то же, что и у арифметического, т.е. изучение разброса значений доходности вокруг своего геометрического среднего или CAGR. Использовать GSD надо, только если вы рассчитали геометрическое среднее (CAGR), а не арифметическое.
Многие аналитики даже считают, что лучше в анализе какого-либо ряда данных (к примеру, ежемесячных доходностей) использовать Геометрическое среднее (CAGR) и геометрическое стандартное отклонение.
Формула GSD:
- Изначально трансформируйте ваши доходности в коэффициент, к примеру, доходность за период 20% разделим на 100 и прибавим 1, что даст 1.2
- Возьмите простые логарифмы (Log) из ваших коэффициетов и найдите сумму всех значений.
- Найдите арифметическое среднее "Суммы всех значений логарифмов".
- Найдите арифметическое стандартное отклонение логарифмов коэффициентов.
- Найдите антилогарифм арифметического стандартного отклонения: 10ариф.станд. отклонение
- что и даст вам GSD.
Пример.
Есть ряд доходностей: 5%, 2.4%, 0.7%, 10%, -2%
- Преобразуем эти доходности в коэффиценты, что даст: 1.05 (5/100 + 1), 1.024, 1.007, 1.1, 0.98
- Найдем их логарифмы: log (1.05) = 0.021, 0.01, 0.003, 0.041, -0.009 и далее их сумму: 0.021+0.01+0.003+0.041-0.009 = 0.066
- Арифметическое среднее: 0.066 / 5 = 0.0132
- Арифметическое станд. отклонение = 0.019
- Геометрическое станд. отклонение = 10 0.019
= 1.045 или 4.5%.
1.3
Недостатки стандартного отклонения.
Cчитается, что стандартного отклонения – это те азы, которыми должен в совершенстве владеть любой аналитик на финансовом рынке.
Значение его очень велико. Оно лежит в основе многих моделей, применяемых на финансовых рынках. Это не просто показатель риска актива. На основе значений, полученных от стандартного отклонения, строятся прогнозы, принимаются перспективные решения. Поэтому чем точнее будет информация от стандартного отклонения, тем более точные прогнозы и выводы смогут сделать аналитики.
Как известно, стандартное отклонение – это среднее отклонение от среднего, либо вверх, либо вниз. Если заглянуть в процесс счета стандартного отклонения, то видно, что оно считается на основе положительных и отрицательных доходностей актива (среди них находится среднее и так далее). Но невооруженным глазом можно заметить, что значений положительных доходностей больше чем отрицательных, или наоборот (таблица1).
| <TICKER>
|
<PER>
|
<DATE>
|
<TIME>
|
<CLOSE>
|
Доходность
|
| GAZP
|
5
|
20070907
|
103000
|
265,69
|
|
| GAZP
|
5
|
20070907
|
103500
|
265,99
|
0,00113
|
| GAZP
|
5
|
20070907
|
104000
|
265,72
|
-0,00102
|
| GAZP
|
5
|
20070907
|
104500
|
265,32
|
-0,00151
|
| GAZP
|
5
|
20070907
|
105000
|
265,49
|
0,00064
|
| GAZP
|
5
|
20070907
|
105500
|
265,86
|
0,00139
|
| GAZP
|
5
|
20070907
|
110000
|
265,36
|
-0,00188
|
| GAZP
|
5
|
20070907
|
110500
|
265,76
|
0,00151
|
| GAZP
|
5
|
20070907
|
111000
|
265,8
|
0,00015
|
| GAZP
|
5
|
20070907
|
111500
|
266,13
|
0,00124
|
| GAZP
|
5
|
20070907
|
112000
|
266,25
|
0,00045
|
| GAZP
|
5
|
20070907
|
112500
|
266
|
-0,00094
|
| GAZP
|
5
|
20070907
|
113000
|
265,93
|
-0,00026
|
| GAZP
|
5
|
20070907
|
113500
|
265,9
|
-0,00011
|
| GAZP
|
5
|
20070907
|
114000
|
266,15
|
0,00094
|
| GAZP
|
5
|
20070907
|
114500
|
266,22
|
0,00026
|
| GAZP
|
5
|
20070907
|
115000
|
266,25
|
0,00011
|
| GAZP
|
5
|
20070907
|
115500
|
265,95
|
-0,00113
|
| GAZP
|
5
|
20070907
|
120000
|
265,92
|
-0,00011
|
| GAZP
|
5
|
20070907
|
120500
|
265,93
|
0,00004
|
| GAZP
|
5
|
20070907
|
121000
|
266,16
|
0,00086
|
Таблица 1
Считается, что доходность нормально распределена, поэтому отклонение вверх будет зеркальным отклонением вниз. На практике можно установить, что это не так, просто построив два графика отдельно для отрицательного и отдельно для положительного значения доходности (рис 3,4). Отдельно посчитанные стандартные отклонения (для пол. доходности и отр. доходности) по модулю будут также разными.
Также, по графикам видно, что иногда среди, допустим, чередующихся колебаний, возникает одно очень большое (резкое) (рис.4). Причем этот, возможно, случайный всплеск не повторяется со временем, а его числовое значение очень различается с другими. В математике такую ситуацию называют ошибкой или шумом. Их стараются не учитывать в последующих расчетах и каким-либо способом исключить. Считается, что подобная ошибка, как уже было сказано, могла возникнуть случайно. В трейдинге за день случается, что цена вдруг по каким-то причинам резко поднялась или упала (причины могут быть разными). Но суть заключается в том, что такие ошибки могут здорово подпортить результативное значение стандартного отклонения, так как на основе этой ошибки будет подсчитано среднее значение. И, разумеется, итоговый вывод, который так важен, будет тоже не точным.

Рис.3

Рис. 4
1.4
Опыт предшественников.
Стандартное отклонение как статистический способ измерения волатильности редко используется как самостоятельный индикатор, чаще всего в качестве компонента других индикаторов. Можно ли это объяснить недоверием стандартному отклонению как мере риска, не знаю, но факт на лицо.
Изучая работы и исследования, проводившиеся в данном направление, я не нашла ни один источник, указывающий на то, что стандартное отклонение нельзя применять в качестве меры риска актива. Нет ни одной работы (из тех, что я изучила), говорящих о том, что формулы стандартного отклонения нужно изменить полностью. Есть высказанные и обоснованные замечания, были выявлены некоторые неточности в конкретных примерах. И, разумеется, были предложены свои методы дополнения стандартного отклонения для оценки риска финансового актива и составления прогнозов.
Результатом одного из таких анализов является канал стандартных отклонений(Standard Deviation Channel).
Канал Стандартных Отклонений строится на основе Тренда Линейной Регрессии, которая представляет собой обыкновенную линию тренда, построенную между двумя точками на ценовом графике методом наименьших квадратов. В результате эта линия оказывается точной средней линией изменяющейся цены. Ее можно рассматривать как линию "равновесной" цены, а любое отклонение от нее вверх или вниз указывает на повышенную активность соответственно покупателей или продавцов.
Standard Deviation Channel состоит из двух параллельных линий, равноудаленных вверх и вниз от Тренда Линейной Регрессии. Расстояние между границами канала и линией регрессии равно величине стандартного отклонения цены закрытия от линии регрессии (рис.5). Все ценовые изменения происходят в границах Standard Deviation Channel, где нижняя граница играет роль линии поддержки, а верхняя — линии сопротивления (рис.6). Обычно цены выходят за границы канала лишь на короткое время. Если же они остаются за пределами канала дольше обычного, то это предвещает возможность разворота тенденции [9].
Линии сопротивления и поддержки называются еще линиями Боллинджера. Поддержка (Support) — это уровень, при котором цены контролируют покупатели (быки, bulls), не допускающие их дальнейшего снижения.
Сопротивление (Resistance), наоборот — уровень, при котором цены контролируют продавцы (медведи, bears), не допускающие их дальнейшего подъема. Цена, по которой совершается сделка, — это цена, устраивающая и быка, и медведя. Она отражает совпадение их ожиданий [10].
Уровни поддержки показывают цену, при которой большинство инвесторов рассчитывают на ее повышение. Уровни сопротивления показывают цену, при которой большинство инвесторов считают, что она снизится.
Стандартное отклонение может быть построено на графике, используя индикатор ширины Полос Боллинджера в большинстве графических программ. Так как ширина Полос Боллинджера формирует два стандартных отклонения выше и ниже Скользящей средней, то значение общего стандартного отклонения будет делить ширину Полос Боллинджера на две абсолютно одинаковые ширины [11].

Рис. 5

Рис.6
II
Глава.
Корректировка стандартного отклонения и ее последствия.
2.1. Метод корректировки стандартного отклонения.
Как известно, главная функция традиционного стандартного отклонения заключается в определении диапазона изменчивости цены вокруг среднего скользящего и определения текущей диспозиции цены по отношению к среднему скользящему и границам диапазона. Так называемый приближенный статистический метод позволяет определить диапазон изменчивости цены вокруг МА как приблизительно 4СО с вероятность около 95.5 %. Согласно этому правило верхняя граница диапазона будет составлять примерно 2СО над средним скользящим, соответственно нижняя граница диапазона будет составлять 2СО под средним скользящим. Иногда для придания большей статистической значимости полученному диапазону его границы расширяют до 3 СО в каждую сторону. Вероятность того, что реальная цена будет колебаться в границах +/- трех стандартных отклонений от среднего составляет 99.7 %.
В 1.3. пункте данной работы уже было сказано о том, что очень в редких случаях стандартное отклонение вниз и вверх от среднего значения будет одинаковым, что можно объяснить количеством положительных и отрицательных доходностей. Поэтому, думаю, имеет смысл рассматривать отрицательную и положительную доходности отдельно.
Чтобы избежать появления шумов (ошибок) в наших расчетах, а также для более точных итоговых выводов нужно будет последовательно взять два средних значения положительной и отрицательной доходности. Первое среднее значение служит вспомогательным значением для нахождения второго. Цель последнего непосредственно сгладить шумы.
В итоге мы получим два средних значения отдельно для положительной и отдельно для отрицательной доходности (рис.7). Диапазон, необходимый нам для подсчета общего стандартного отклонения равен расстоянию от второго среднего значения отрицательной доходности (самая нижняя линия на графике 7) до второго среднего значения положительной доходности (самая верхняя линия на графике 7).
Этот метод позволяет нам достичь сглаженного стандартного отклонения, которое будет более точно отражать ситуацию на рынке.
Как и в методе канала стандартных отклонений, мы можем рассмотреть два стандартных отклонений. Однако в нашем случае они окажутся разными, потому что положительную и отрицательную доходности мы рассматривали отдельно . Для нашего примера (акции Газпрома за 2007 год, ММВБ), значение стандартного отклонения положительной доходности будет равным 0,563%, а значение стандартного отклонения отрицательной доходности будет равным 0,540%. Общее стандартное отклонение получается равным 1, 143%. Ранее, когда мы считали общее стандартное отклонение ежедневной доходности простым способ, не выделяя для этого специального диапазона (пункт 1.2), оно получилось равным 1,615%. Разница составляет 0, 572%.
Ход выполнения корректировки:
1. Через экспорт данных находим цены закрытия какого либо актива за определенный период. В нашем случае мы выбрали акции Газпрома на ММВБ, период - 2007 г., периодичность – день.
2. Находим доходность цен закрытия на весь период.
3. Считаем среднее значение доходности. В нашем случае это ноль, впрочем, в любом случае значение должно быть близко к нулю.
4. Выделяем отдельно значения положительной и отрицательной доходности.
5. Находим средние значения отдельно для положительной и отрицательной доходности. (Первое среднее значение)
6. Находим точку максимума для значений положительной доходности и точку минимума для значений отрицательной доходности.
7. Считаем второе среднее значение для положительной доходности между расстоянием от первого среднего значения и точкой максимума. Аналогично для отрицательной доходности, только расстояние нужно будет брать от первого среднего значения до точки минимума.
8. Находим стандартное отклонение для диапазона между двумя вторыми средними значениями положительной и отрицательной доходности.
2.2 Последствия корректировки стандартного отклонения в модели САРМ
Допущения, при которых работает модель САРМ (
Capital
Asset
Pricing
Model):
1. Ожидания инвесторов однородны, то есть все они обладают одинаковой информацией и воспринимают ее одинаковым образом.
2. Отсутствие транзакционных издержек, то есть для инвесторов не существует препятствий в покупке тех бумаг, которые они хотят приобрести.
3. Инвесторы рациональны и стремятся максимизировать свои индивидуальные функции полезности, что означает, что они склонны избегать риск.
4. Инвестиции рассчитаны только на один период, таким образом, долгосрочные стратегии не влияют на текущие цены.
5. Все инвесторы имеют возможность брать и давать деньги в долг по безрисковой ставке, что обеспечивает линейную зависимость между риском и доходностью.
6. Все активы абсолютно делимы и совершенно ликвидные, то есть всегда могут быть проданы на рынке по существующей цене.
7. Количество всех финансовых активов заранее определено и фиксировано.
8. Не принимаются во внимание налоги.
9. Все инвесторы принимают цену как экзогенно заданную величину, то есть предполагая их действия по покупке и продаже ценных бумаг не оказывает влияния на уровень их цен.
САРМ основана на наличии идеального рынка капитала. В центре внимания коллективное поведение всех инвесторов на рынке, что позволяет выявить характер конечной равновесной зависимости между риском и доходность каждой ценной бумаги.
Модель САРМ базируется на формуле зависимости доходности актива (ri
) от коэффициента Бета, доходности рынка и безрискового актива [12].
ri
= rm
+ β * (rm
– r0
)
β=Covim
/σm
, или
β= σi
/σm *
Corrim
[13].
σi
= σm
+ ⌂ σi
Риск актива (σi
) состоит из системного риска (σm
), он одинаков для всех эмитентов, и специфического риска (⌂ σi
), присущего только данной компании [14].
В предыдущей главе, учитывая нашу корректировку, мы нашли ⌂ σi
.
Теперь нам нужно найти σm
(системный риск, то есть рыночный). Так как ранее мы использовали акции Газпрома на ММВБ, то и в этот раз для подсчета системного риска будем доходность индекса ММВБ за тот же период. Система подсчета стандартного отклонения индекса MICEX согласно нашей корректировке та же самая, что мы использовали в предыдущей главе. Находится два средних значения отдельно для отрицательной и положительной доходности, считается стандартное отклонение от диапазона между двумя крайними средними значениями. (рис.8)
Согласно нашим расчетам скорректированное σm
равно 0,964%
, не скорректированное- 1,422%.
Разница 0,458%.
Отсюда скорректированное σi
= 0,964% + 1, 143% = 2, 107%.
Не скорректированное σi
= 1,422% + 1, 615% = 3,037%
Можно заметить, что скорректированные значения всегда получаются меньше чем нескорректированные, что можно объяснить сглаживаем стандартного отклонения от шумов.

Рис. 8
Для нахождения β
воспользуемся формулой β=
σi
/
σm
*
Corrim
.
β - коэффициент характеризует степень риска, с которым связано владение конкретной ценной бумаги, а также измеряет изменчивость данной акции по сравнению со средней акцией или рынком [15].
Корреляция является статистической мерой взаимодействия двух случайных переменных.
Коэффициент корреляции считается по формуле[16].

Как видно, в формуле коэффициента корреляции содержатся два значения стандартного отклонения, актива и рыночного индекса. Поэтому, считая коэффициент корреляции можно было бы тоже применить корректировку стандартного отклонения, однако здесь возникает сложность. Корректируя стандартное отклонения, мы брали определенные диапазоны доходности и уже по ним считали ст. отклонение. Дело в том, что диапазоны для актива и индекса получаются разными, у актива он чуть меньше чем у индекса. Из этого представляется невозможным подсчет корреляции, так как требуемые массивы должны быть одинаковыми, а у нас они разные. Исходя из всего вышеперечисленного, для дальнейших расчетов мы будем использовать коэффициент корреляции, посчитанный простым способом.
Коэффициент корреляции равен 0,862
(высокая положительная корреляция). Отсюда β=2,107/0,964 + 0,862=3,047.
Это значит, что, если доходность рынка ММВБ вырастит на 1%, доходность акций Газпрома вырастит на 3,047%.
Если посчитать β со стандартными отклонениями, посчитанными обычным способом, то β=3,037/1,422 + 0,862 = 2,997.
То есть скорректированное β прогнозирует большую зависимость доходности акции от доходности рынка. Хотя в любом случае доходность акций Газпрома высокочувствительна к систематическому риску, вознаграждение за систематический риск в такой компании должно расти быстрее, чем у других компаний. Такие акции обладают большой изменчивостью, чем рыночный индекс и носят название «агрессивные» акции [17].
Для подсчета ожидаемой доходности актива по модели САРМ нам необходимо иметь данные рыночной доходности и безрискового актива за период. Для нашего примера rm
= -0,562,
r0
= 0,115
Согласно модели САРМ ожидаемая доходность актива, основанная на корректировке стандартного отклонения, ri
= -0,562+3,047*(-0,562-0,115)=1,5.
Если считать требуемую доходность актива на основе простого стандартного отклонения, мы получим ri
= - 0,562+2,997*(-0,562 – 0,115)= 1,4.
Таким образом, корректируя стандартное отклонение, мы получим более высокое значение требуемой доходности актива в модели САРМ.
| Таблица полученных результатов
|
| С корректировкой стандартного отклонения
|
Без корректировки стандартного отклонения
|
| σm
=0,964%
|
σm
=1,422%
|
| σi
= 2, 107%.
|
σi
=3,037%
|
| β=3,047
|
β=2,997
|
| ri
=1,5
|
ri
=1,4
|
Для проверки расчетов Бэты скор. и не скор. станд. отклонения возмем период: февраль 2008 года, и посмотрим какой из двух расчетов стандартного отклонения лучше объясняет изменение котировок. Составим портфель, состоящий из 5 активов: акции РАО ЕЭС, акции Сбербанка, акции Татнефть, акции Газпрома и гос. облигации. Удельные веса бумаг одинаковы, все по 20%.
| Риски бумаг
|
| |
Скорректированные
|
Не скорректированные
|
| РАО ЕЭС
|
1,24%
|
2,2%
|
| Сбербанк
|
1,25%
|
1,97%
|
| Татнефть
|
1,13%
|
1,79%
|
| Газпром
|
1,64%
|
2,02%
|
| Гос. облигации
|
0,12%
|
0,19%
|
| Ковариации доходностей бумаг
|
| |
Гос. облигац.
|
РАО ЕЭС
|
Сбербанк
|
Татнефть
|
Газпром
|
| Гос облигац.
|
-
|
0,001
|
0,000461
|
0,00065
|
-0,00017
|
| РАО ЕЭС
|
0,001
|
-
|
0,011
|
0,010
|
0,024
|
| Сбербанк
|
0,000461
|
0,011
|
-
|
0,022
|
0,029
|
| Татнефть
|
0,00065
|
0,010
|
0,022
|
-
|
0,021
|
| Газпром
|
-0,00017
|
0,024
|
0,029
|
0,021
|
-
|
Доходность портфеля определяется как средневзвешенное доходностей составляющих его активов.
Решение. Риск портфеля с нескорректированными стандартными отклонениями равен:
1) Для одной бумаги (РАО ЕЭС) = 2,2%
2) Для двух бумаг (РАО ЕЭС, Сбербанк) = 0,5*0,5*2,2*2,2 + 0,5*0,5*1,97*1,97 + 2*0,5*0,5*0,011 = 1,21+ 0,97 + 0,0055 = 2,19%
3) Для трех бумаг (РАО ЕЭС, Сбербанк, Татнефть) = 0,333*0,333*2,2*2,2 + 0,333*0,333*0,011 + 0,333*0,333*0,01 + 0,333*0,333*1,97*1,97 + 0,333*0,333*0,011 + 0,333*0,333*0,022 + 0,333*0,333*0,0179*0,0179 + 0,333*0,333*0,01 + 0,333*0,333*0,022 = 0,0000536 + 0,00121 + 0,0011 + 0,0000427 + 0,00121 + 0,00242 + 0,0000352 + 0,0011 + 0,00242 = 0,0002104*100% = 2,104%
4) Для четырех бумаг (РАО ЕЭС, Сбербанк, Татнефть, Газпром) =0,25*0,25*0,022*0,022 + 0,25*0,25*0,011 + 0,25*0,25*0,01 + 0,25*0,25*0,024 + 0,25*0,25*0,0197*0,0197 + 0,25*0,25*0,011 + 0,25*0,25*0,022 + 0,25*0,25*0,029 + 0,25*0,25*0,0179*0,0179 + 0,25*0,25*0,01 + 0,25*0,25*0,022 + 0,25*0,25*0,021 + 0,25*0,25*0,0202*0,0202 + 0,25*0,25*0,024 + 0,25*0,25*0,029 + 0,25*0,25*0,021 = 0,00003025 + 0,0006875 + 0,000625 + 0,0015 + 0, 0000242 + 0,0006875 + 0,001375 + 0,001825 + 0,00002 + 0,000625 + 0,001375 + 0,0013125 +0,0000265 +0,0015 + 0,0018125 + 0,0013125 = 2%
5) Для пяти бумаг (РАО ЕЭС, Сбербанк, Татнефть, Газпром, гос облигации) = 0,2*0,2*0,022*0,022 + 0,2*0,2*0,011 + 0,2*0,2*0,01 + 0,2*0,2*0,024 + 0,2*0,2*0,001+ 0,2*0,2*0,0197*0,0197 + 0,2*0,2*0,011 + 0,2*0,2*0,022 + 0,2*0,2*0,029 + 0,2*0,2*0,000461+ 0,2*0,2*0,0179*0,0179 + 0,2*0,2*0,01 + 0,2*0,2*0,022 + 0,2*0,2*0,021 + 0,2*0,2*0,00065 + 0,2*0,2*0,0202*0,0202 + 0,2*0,2*0,024 + 0,2*0,2*0,029 + 0,2*0,2*0,021 + 0,2*0,2*(-0,00017) +0,2*0,2*0,0019*0,0019 + 0,2*0,2*0,001 + 0,2*0,2*0,000461 + 0,2*0,2*0,00065 + 0,2*0,2*(-0,00017) = 0,00001936 + 0,00044 + 0,0004 + 0,00096 + 0,0004 + 0,0000155236 + 0,0004 + 0,00088 + 0,00116 + 0,00001824+ 0,00128164 +0,0004+ 0,00088+ 0,00084 + 0,000026 + 0,00001632 + 0,00096 + 0,00116 + 0,00084 +-0,0000068 +0,0000001444 + 0,00004 + 0,000001844 + 0,0000026 + 0,0000068 = 1,4%

Рис 9.
Теперь посчитаем риск портфеля по модели САРМ, считая стандартное отклонение предложенным способом.
Решение. Риски бумаг со скорректированным стандартным отклонением:
1)Для одной бумаги (РАО ЕЭС) = 1,24%
2)Для двух бумаг (РАО ЕЭС, Сбербанк) = 0,5*0,5*1,24*1,24*+0,5*0,5*1,25*1,257+
2*0,5*0,5*0,011= 0,3844 + 0,390625 + 0,0055 = 0,78%
3)Для трех бумаг (РАО ЕЭС, Сбербанк, Татнефть) = 0,49%
4)Для четырех бумаг (РАО ЕЭС, Сбербанк, Татнефть, Газпром) = 0,48%
5)Для пяти бумаг (РАО ЕЭС, Сбербанк, Татнефть, Газпром, гос. облигации) = 0,3%

Рис. 10
Заключение.
Приведенный в этой работе метод корректировки стандартного отклонения приводит к сглаживанию итогового значения стандартного отклонения, поэтому скорректированное числовое значение всегда меньше нескорректированного.
Сглаженное значение ст. отклонения не содержит в себе шумов, то есть тех ошибок, которые могут исказить итоговый результат и ввести аналитика в заблуждение. Сглаженное значение ст. отклонения отражает более характерную для выбранного актива ситуацию. Оно основано на диапазоне, содержащем в себе соответствующие данному активу доли положительной и отрицательной доходности.
Применение данной корректировки, на мой взгляд, широко. Она может быть применима для любой модели, содержащей в себе стандартное отклонение.
Рассмотренный в работе пример последствия корректировки стандартного отклонения в модели САРМ говорит о том, что полученное после корректировки более низкое значение стандартного отклонения приводит к более высокому коэффициенту степени риска β и более высокому значению требуемой доходности актива.
Зависимость риска от количества бумаг в портфеле при скорректированном стандартном отклонение также выше (более ярко выражено) нежели при не скорректированном стандартном отклонении.
Список используемой литературы:
2. http://www.investpark.ru/?m=funds&an=203_standard_deviation
3. Электронный учебник-словарь. http://www.statsoft.ru
4. Электронная энциклопедия. http://ru.wikipedia.org
5. Forex Magazine по материала stockcharts.com
6. Яндиев М.И.- Финансовые рынки и корпоративные финансы.- Москва -2007, МГУ им. М.В. Ломоносова, стр.15
7. Электронная энциклопедиа
8. http://www.investpark.ru
9. http://college.biysk.secna.ru
10. www.metaquotes.ru/techanalysis/standard_deviation_channel
11. www.metaquotes.ru/techanalysis/support
12. www.metaquotes.ru/techanalysis/bollinjer
13. Яндиев М.И.- Финансовые рынки и корпоративные финансы.- Москва -2007, МГУ им. М.В. Ломоносова, стр.72
14. Яндиев М.И.- Финансовые рынки и корпоративные финансы.- Москва -2007, МГУ им. М.В. Ломоносова, стр.25
15. Яндиев М.И.- Финансовые рынки и корпоративные финансы.- Москва -2007, МГУ им. М.В. Ломоносова, стр.31
16. Яндиев М.И.- Финансовые рынки и корпоративные финансы.- Москва -2007, МГУ им. М.В. Ломоносова, стр. 72
17. Кремер Н.Ш.- Теория вероятностей и математическая статистика.- М: Юнити-Диана, 2002. – 543 с.
18. Яндиев М.И.- Финансовые рынки и корпоративные финансы.- Москва -2007, МГУ им. М.В. Ломоносова, стр. 72
|