| Министерство транспорта Российской Федерации
Федеральное агентство железнодорожного транспорта
Федеральное государственное образовательное учреждение
Среднего профессионального образования
Уфимский техникум железнодорожного транспорта
МЕТОДИЧЕСКИЕ УКАЗАНИЯ
к выполнению
Лабораторной работы № 7
по дисциплине
Перегонные системы автоматики
Тема: Исследование и анализ работы схемы
однопутной трехзначной кодовой
автоблокировки переменного тока
Разработал преподаватель
дисциплины:
Перегонные системы
автоматики
С.А. Войнов
ОДОБРЕНО
Цикловой комиссией
Специальности 190701
Войнов С. А. Методические указания к выполнению лабораторной работы № 7 по дисциплине Перегонные системы автоматики для специальности 220204 Автоматика и телемеханика на транспорте (по видам транспорта) ( на железнодорожном транспорте). Уфа: ИВЦ УТЖТ, 2007.- 12с.
Методические указания для студентов очного и заочного отделений к выполнению лабораторной работы № 7 по дисциплине «Перегонные системы автоматики». Исследование и анализ работы схемы однопутной трехзначной кодовой автоблокировки переменного тока. Содержит пошаговый материал по разделам лабораторной работы для изучения принципов работы схемы однопутной трехзначной кодовой автоблокировки переменного тока.
Автор: Войнов С.А.- преподаватель спец. дисциплин Уфимского
техникума железнодорожного
транспорта.
Рецензенты:
Р.Р. Юсупов – кандидат технических наук, зав. кафедры «О и
ПД» филиала Сам ГУПС в г. Уфа.
М.Р. Таймасова – зам. директора по научной работе Уфимского
техникума железнодорожного транспорта.
Ответственный за выпуск: Вильман С.В.
© ИВЦ УТЖТ
Лабораторная работа № 7
Тема:
Исследование и анализ работы схемы однопутной
трехзначной кодовой автоблокировки переменного тока
Цель: Закрепить знания о работе схемы однопутной
трехзначной кодовой автоблокировки переменного
тока
Оборудование: Принципиальная электрическая схема
однопутной трехзначной кодовой
автоблокировки переменного тока
1
Теоретический материал
1.1 Аппаратура автоблокировки
Однопутная кодовая автоблокировка переменного тока применяется при любом виде тяги. В целях повышения надежности работы автоблокировки используют двухнитевые лампы для красных огней светофоров. Для контроля целостности основной нити лампы применяют огневое реле О, а для контроля дополнительной нити — реле ОД. Перенос показания красного огня на позади стоящий светофор происходит только при перегорании обеих нитей. Изменение направления движения поездов осуществляется с помощью четырехпроводной схемы изменения направления движения.
Забиваем Сайты В ТОП КУВАЛДОЙ - Уникальные возможности от SeoHammer
Каждая ссылка анализируется по трем пакетам оценки: SEO, Трафик и SMM.
SeoHammer делает продвижение сайта прозрачным и простым занятием.
Ссылки, вечные ссылки, статьи, упоминания, пресс-релизы - используйте по максимуму потенциал SeoHammer для продвижения вашего сайта.
Что умеет делать SeoHammer
— Продвижение в один клик, интеллектуальный подбор запросов, покупка самых лучших ссылок с высокой степенью качества у лучших бирж ссылок.
— Регулярная проверка качества ссылок по более чем 100 показателям и ежедневный пересчет показателей качества проекта.
— Все известные форматы ссылок: арендные ссылки, вечные ссылки, публикации (упоминания, мнения, отзывы, статьи, пресс-релизы).
— SeoHammer покажет, где рост или падение, а также запросы, на которые нужно обратить внимание.
SeoHammer еще предоставляет технологию Буст, она ускоряет продвижение в десятки раз,
а первые результаты появляются уже в течение первых 7 дней.
Зарегистрироваться и Начать продвижение
Для изменения направления движения на каждой сигнальной установке применяются реле направления Н и его повторители 1Н, 2Н, 1ПТ, 2ПТ. Контакты реле 1ПТ и 2ПТ усиленные и используются для переключения рельсовых цепей, остальные цепи коммутируются контактами реле 1Н и 2Н. Для упрощения переключения рельсовых цепей на сигнальной установке установлено два комплекта аппаратуры рельсовых цепей - два источника питания 1ПЧ, 2ПЧ и два импульсных путевых реле 1И и 2И. Источник питания подключается к выходному концу рельсовой цепи, а реле устанавливается на входном конце рельсовой цепи. При изменении направления движения концы рельсовых цепей меняются местами.
Для работы схемы на каждой сигнальной установке установлена аппаратура:
Н (КШ1-80) — реле направления;
1Н, 2Н (НМШ1-400) — повторители;
1ПТ, 2ПТ (НМПШ2-400) — повторители реле направления;
1И, 2И (ИМВШ-110) — импульсные путевые реле;
3, Ж (АНШ5-1230) — сигнальные реле;
О, 10, 2О, АОД, БОД (АОШ2-180/0,45)— огневые реле;
ОИ (НМШ2-900) — обратный повторитель импульсного реле;
ЖЦНМШ2-620) — повторитель реле Ж;
Ж2, ЖЗ(НМШМ 1-360) — повторители Ж
1НЖ (НМШ1-400) — повторитель 1Н и Ж2;
IT, 2T (ТШ-65В) — трансмиттерные реле;
БИ (БИ-ДА) — блок исключений;
БС (БС-ДА) — блок счетчиков;
БК (БК-ДА) — блок конденсаторов;
КПТ (КПТШ) — кодовый путевой трансмиттер.
1.2 Работа схемы однопутной автоблокировки при установленном
нечетном направлении
На сигнальных установках 3, 5, 7 (рис 1) реле направления Н под действием тока прямой полярности переключают поляризованные якоря в нормальное положение, а на разрезной точке нечетного направления (у светофора 4) реле Н переключает поляризованный якорь в переведенное положение. На сигнальных установках 3, 5,7 возбуждаются повторители реле направления 1Н, ШТ, на разрезной точке — 2Н и 2ПТ.
На сигнальных установках 3, 5, 7 тыловыми контактами реле 2ПТ к входному концу рельсовой цепи подключаются импульсные путевые реле 2И, а фронтовыми контактами реле 1ПТ к выходному концу рельсовой цепи подключается кодовое питание. На разрезной точке тыловыми контактами реле 1ПТ подключается импульсное реле 1И, а фронтовыми контактами реле 2ПТ подключается кодовое питание. Следовательно, релейные концы подключаются к входному концу рельсовых цепей, а питающие концы — к выходному.
Сервис онлайн-записи на собственном Telegram-боте
Попробуйте сервис онлайн-записи VisitTime на основе вашего собственного Telegram-бота:
— Разгрузит мастера, специалиста или компанию;
— Позволит гибко управлять расписанием и загрузкой;
— Разошлет оповещения о новых услугах или акциях;
— Позволит принять оплату на карту/кошелек/счет;
— Позволит записываться на групповые и персональные посещения;
— Поможет получить от клиента отзывы о визите к вам;
— Включает в себя сервис чаевых.
Для новых пользователей первый месяц бесплатно.
Зарегистрироваться в сервисе
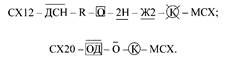
При нахождении поезда на участке ЗП импульсное путевое реле 2И перестает работать в импульсном режиме и на выходе дешифратора ДА, состоящего из трех блоков БИ-ДА, БС-ДА и БК-ДА, отпускают якоря сигнальные реле Ж и 3 и повторители реле Ж1, 1НЖ и Ж2. Через тыловые контакты реле 2Н и Ж2 создается цепь накала основной нити лампы красного огня и возбуждения огневого реле О по низкоомной обмотке от источника питания СХ12, МСХ. Вторая резервная нить лампы красного огня контролируется в холодном состоянии посредством реле ОД от источника питания СХ20, МСХ, цепь возбуждения которого проходит по высокоомной обмотке:
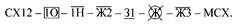
Контактом реле 1НЖ отключаются цепи питания разрешающих огней светофора 3. Фронтовыми контактами огневых реле О и ОД создается цепь импульсной работы трансмиттерного реле IT в коде КЖ:
Контактом реле IT рельсовая цепь 5П кодируется кодом КЖ.
Перегорание основной нити лампы красного огня не вызовет прекращения кодирования рельсовой цепи 5П, так как на светофоре 3 будет продолжать гореть красный огонь по цепи накала второй нити от источника СХ12, МСХ. Кодирование рельсовой цепи выключается только при перегорании обеих нитей, при этом происходит перенос показания красного огня на позади стоящий светофор 5.
На сигнальной установке 5 при приеме кода КЖ работает импульсное путевое реле 2И, через переключающийся контакт которого работает дешифратор ДА. Включение дешифратора производится с проверкой установленного направления движения, для чего в цепь включен нормальный контакт поляризованного якоря реле Н. Через дешифратор включаются сигнальные реле Ж и Ж1:
Реле Ж1 имеет замедление на отпускание якоря и не выключается при нормальной импульсной работе счетчика 1 в блоке БС-ДА. В случае отсутствия кодов и нарушения работы счетчика 1 реле Ж1 отпускает якорь и выключает повторители реле Ж2, ЖЗ, чем обеспечивается быстрая смена показаний.
После возбуждения реле Ж2 и ЖЗ на светофоре 5 создается цепь горения лампы желтого огня:
Обе нити лампы красного огня контролируются в холодном состоянии, при этом огневые реле О и БОД возбуждаются по высокоомным обмоткам от источника питания СХ20, МСХ:
При горении на светофоре 5 лампы красного огня образуются следующие цепи возбуждения огневых реле, проходящие через нити лампы:

По цепи 1 включается основная нить накала лампы и возбуждается реле Ю по низкоомной обмотке. По цепи 4 возбуждается огневое реле О — повторитель огневого реле 1О. По цепи 2 контролируется резервная нить, при этом реле БОД включено по высокоомной обмотке. При перегорании основной нити выключаются реле 1О и повторитель О, замыкая цепь питания резервной нити по цепи 3 через низкоомную обмотку (НО) реле БОД. Горение красного огня на светофоре сохраняется. При перегорании резервной нити красный огонь гаснет и выключается реле БОД.
При горении на светофоре 5 желтого огня замыкается цепь кодирования кодом Ж участка 7Па:
Рельсовая цепь 7Па кодируется контактом реле IT. Перегорание лампы желтого огня на светофоре 5 не изменит кодирования рельсовой цепи 7Па кодом Ж.
На сигнальной установке 4 код Ж принимает импульсное путевое реле 1И, включенное через тыловые контакты повторителя направления 1ПТ. Контактом реле 1И включается дешифратор, на выходе которого возбуждается сигнальное реле Ж, а затем возбуждаются его повторители Ж1, Ж2, ЖЗ. Кроме того, на разрезной точке в выключенном состоянии находится реле 1НЖ, контактами которого выключаются разрешающие огни сигнальной установки 4. Обе нити лампы красного огня светофора 4 контролируются в холодном состоянии посредством огневых реле О и ОД.
Цепь питания трансмиттерного реле 2Т через контакты кодового путевого трансмиттера КПТШ отключена контактом реле повторителя направления 1Н. Вместо цепи кодирования замкнута цепь трансляции кодов из рельсовой цепи 7Па в рельсовую цепь 7П:

Реле 2Т транслирует код Ж из рельсовой цепи 7Па в рельсовую цепь 7П.
На сигнальной установке 7/2 (схема не приводится) по аналогии с установкой 5/6 код Ж принимает из рельсовой цепи реле 2И. Контактами реле 2И замыкается цепь дешифрирования кода и возбуждаются сигнальные реле Ж и 3, а затем их повторители. С проверкой установленного направления движения через фронтовые контакты сигнальных реле Ж2 и 31 на светофоре 7 включается зеленый огонь и замыкается цепь кодирования кодом 3 рельсовой цепи 9П.
Изменение направления с нечетного на четное направление осуществляется посредством четырехпроводной схемы изменения направления.
На сигнальных установках 3, 5/6, 2/7 реле направления Н возбуждаются током обратной полярности, переключают поляризованные якоря в переведенное положение и включают повторители реле направления 2Н и 2ПТ. На сигнальной установке 4 реле Н переключает поляризованный якорь в нормальное положение и включает повторители Ш и ШТ.
Контактами реле 2ПТ и ШТ коммутируются концы рельсовых цепей, на входе рельсовой цепи подключается импульсное путевое реле, на выходе — источник кодового питания. В четном направлении на сигнальной установке 3 образуется разрезная рельсовая цепь, где происходит трансляция кодового питания из рельсовой цепи 5П в рельсовую цепь ЗП.
1.3
Работа схемы однопутной автоблокировки при
неустановленном четном направлении
Работа схемы в четном направлении движения аналогична работе схемы в нечетном направлении. В отличие от двухпутной автоблокировки включение ДА в однопутной автоблокировке имеет ряд особенностей. На спаренных сигнальных установках в цепь заряда конденсатора С1 блока БС-ДА, питающего реле Ж, включают последовательно соединенные контакты реле IT и 2Т для исключения заряда конденсатора от импульсов смежной рельсовой цепи при коротком замыкании изолирующих стыков. В цепь возбуждения реле-счетчика 1А включают параллельно соединенные контакты реле IT и 2Т, чтобы не нарушалась работа дешифратора при изменении направления движения.
В схеме каждой сигнальной установки предусматривается реле ОИ, являющееся обратным повторителем импульсного путевого реле 1И или 2И. С помощью этого реле осуществляется кодирование рельсовой цепи вслед удаляющемуся поезду, если сигнальная установка располагается перед переездом. Например, при установленном нечетном направлении движения сигнальная установка 5 находится перед условным переездом. В цепь возбуждения повторителя реле направления 2ПТ устанавливают перемычку «П» для организации кодирования вслед удаляющемуся поезду. Занятие поездом участка за светофором 5 вызовет возбуждение реле ОИ и включение кодирования вслед поезду, так как реле 2И перестает работать в кодовом режиме, то прекращают работать дешифратор и реле Ж, 3, Ж1, Ж2, ЖЗ, 31. Реле ОИ возбуждается по цепи

Фронтовым контактом реле ОИ замыкается цепь кодирования кодом КЖ рельсовой цепи 5П вслед удаляющемуся поезду:

Рельсовая цепь 5П кодируется контактом трансмиттерного реле 2Т.
Освобождение рельсовой цепи 5П приводит к тому, что некоторое время в этой рельсовой цепи присутствует два встречных кода КЖ, посылаемых с питающего и с релейного концов рельсовой цепи. В интервале кода, посылаемого с релейного конца, срабатывает импульсное путевое реле 2И от кода, посылаемого с питающего конца, через дешифратор возбуждаются реле Ж и Ж1, реле ОИ выключается и обрывает цепь кодирования с релейного конца вслед удаляющемуся поезду.
2 Ход выполнения работы
Для выполнения процесса исследования схемы выполните следующие действия:
А) Определите назначения реле в схеме автоблокировки;
определить их функциональное участие в схеме;
Б) Руководствуясь теоретическими сведениями, выясните, как
происходит процесс работы схемы автоблокировки при
правильном направлении движения;
В) Определите по схеме автоблокировки функциональное
назначение дешифратора ДА;
Г) Выясните, как происходит процесс работы схемы
автоблокировки при неправильном направлении движения;
Какие элементы схемы участвуют в этом режиме работы схемы
автоблокировки;
Д) Определите роль реле НЖ на разрезных сигнальных установках;
Е) Выделите, на основании пунктов А- Г, основные положения
работы схемы однопутной трехзначной кодовой
автоблокировки переменного тока.
Ж) Ответьте на контрольные вопросы по вариантам;
З) Составьте отчет о проделанной работе.


3 Контрольные вопросы
На основании исследования схемы, ответьте на следующие контрольные вопросы по вариантам:
| Вариант
|
Вопросы
|
| 1
|
2
|
| 1
|
Раскрыть назначение и функциональное действие роли реле НЖ на сигнальных установках 3 и 4.
|
| 2
|
Раскрыть роль реле 1ПТ и 2ПТ в схеме автоблокировки и определить принципы их работы в схеме
|
| 3
|
Описать работу автоблокировки в установленном направлении движения на 3 сигнальной установке
|
| 4
|
Раскрыть по схеме роль реле НЖ в схеме выбора кодовой комбинации и составить схемы его питания
|
| 5
|
Описать работу автоблокировки в неустановленном направлении движения на 6 сигнальной установке
|
| 6
|
Описать, какие цепи коммутируются с помощью реле 1Н и 2Н.
|
| 7
|
В чем особенности включения дешифратора ДА в однопутной кодовой автоблокировке
|
| 8
|
Раскрыть смысл применения последовательно включенных тыловых контактов реле 1Т и 2Т в цепи дешифратора
|
| 9
|
Описать работу автоблокировки в установленном направлении движения на 5 сигнальной установке
|
| 10
|
Раскрыть особенность построения схемы разрезной сигнальной установки 4
|
| 11
|
Раскрыть роль применения реле ОИ в схеме автоблокировки
|
| 12
|
Описать работу автоблокировки в неустановленном направлении движения на 4 сигнальной установке
|
| 13
|
Описать работу схемы автоблокировки при изменении направления движения на сигнальных установках
|
| 14
|
Раскрыть особенность построения схемы разрезной сигнальной установки 3
|
| 15
|
Описать работу автоблокировки в установленном направлении движения на 7 сигнальной установке
|
| 16
|
Описать, какие цепи коммутируются с помощью реле 1ПТ и 2ПТ.
|
4 Литература
1. Перегонные системы автоматики. Учебник для техникумов и колледжей ж.д. транспорта/В.Ю. Виноградова, В.А. Воронин, Е.А. Казаков, Д.В. Швалов, Е.Е. Шухина; Под ред. В.Ю. Виноградовой.-М.: Маршрут, 2005.
2. Казаков А.А., Бубнов В.Д., Казаков Е.А. Автоматизированные системы интервального регулирования движения поездов: Учебник для техникумов ж.д. транспорта. М.: Транспорт, 1995.
3. Казаков А.А., Бубнов В.Д., Казаков Е.А. Системы интервального регулирования движения поездов: Учебник для техникумов ж.д. транспорта. М.: Транспорт, 1986.
|