| 6
ГОУ ВПО «Тобольский государственный педагогический институт
имени Д.И. Менделеева»
Кафедра технологий и технических дисциплин
ИССЛЕДОВАНИЕ ПРОИЗВОДСТВЕННОГО ШУМА И ЭФФЕКТИВНОСТИ БОРЬБЫ С НИМ
Методические указания к лабораторной работе
по курсу «Безопасность жизнедеятельности»
ЛАБОРАТОРНАЯ РАБОТА № 6
«ИССЛЕДОВАНИЕ ПРОИЗВОДСТВЕННОГО ШУМА И ЭФФЕКТИВНОСТИ БОРЬБЫ С НИМ»
1. Ц
ель работы:
Ознакомиться с методами измерения параметров шума, его нормированием, оценкой эффективности звукоизолирующей способности кожухов, плоских ограждений и звукопоглощения ограждающих конструкций помещений (стен, пола, потолка).
Приборы и материалы:
шумометр ВШВ-003-М2
2. Теоретическая часть
В гигиенической практике шумом принято называть всякий нежелательный для человека звук. В настоящее время шум является одним из основных вредных производственных факторов. Под его действием, как правило, повышается утомляемость, ухудшаются восприятие звуковых сигналов и разборчивость речи, нарушаются процессы пищеварения и кровообращения, возрастают энергозатраты организма при выполнении всех видов работ, ослабляется световосприятие. При длительном воздействии шума у человека - могут возникать различные профессиональные заболевания - глухота, гипертония и т.п.
Любой звук
, как физическое явление, представляет собой распространяющееся механическое колебательное движение части упругой среды (газа, жидкости, твердого тела) с малыми амплитудами. Источником его является любое колеблющееся тело, выведенное из устойчивого состояния какой-либо внешней силой. Непосредственно примыкающие к источнику колебания частицы среды вовлекаются в колебательный процесс и смещаются около своего положения равновесия, приходя в состояние периодического сгущения и разряжения. Этот процесс в силу упругости среды распространяется последовательно на смежные частицы в виде волны с длиной 
,
где c
- скорость звука в среде, - частота колебаний, T
- период колебаний.
При распространении звуковой волны происходит перенос энергии в пространстве, называемом звуковым полем. Общее количество энергии, которое источник звука излучает в окружающее пространство, называется звуковой мощностью источника (W
). Реальные звуковые мощности некоторых источников звук. Характеризуют следующие приблизительные цифры (речь идет о порядке величин): шепот - (10-9), обычный разговор - (105
) Вт, крик - (10-3
) Вт, цепная пила по дереву - 1 Вт, большой оркестр - 10 Вт, турбореактивный самолетный двигатель - 104
Вт, стартовый двигатель космической ракеты - (108
) Вт. Применительно к оценке шума в какой-либо точке звукового поля (например, на рабочем месте в цехе) интерес представляет не общая акустическая мощность источника шума, а лишь та его часть, которая достигает этой точки (рабочего места).
Забиваем Сайты В ТОП КУВАЛДОЙ - Уникальные возможности от SeoHammer
Каждая ссылка анализируется по трем пакетам оценки: SEO, Трафик и SMM.
SeoHammer делает продвижение сайта прозрачным и простым занятием.
Ссылки, вечные ссылки, статьи, упоминания, пресс-релизы - используйте по максимуму потенциал SeoHammer для продвижения вашего сайта.
Что умеет делать SeoHammer
— Продвижение в один клик, интеллектуальный подбор запросов, покупка самых лучших ссылок с высокой степенью качества у лучших бирж ссылок.
— Регулярная проверка качества ссылок по более чем 100 показателям и ежедневный пересчет показателей качества проекта.
— Все известные форматы ссылок: арендные ссылки, вечные ссылки, публикации (упоминания, мнения, отзывы, статьи, пресс-релизы).
— SeoHammer покажет, где рост или падение, а также запросы, на которые нужно обратить внимание.
SeoHammer еще предоставляет технологию Буст, она ускоряет продвижение в десятки раз,
а первые результаты появляются уже в течение первых 7 дней.
Зарегистрироваться и Начать продвижение
Часть общей мощности источника шума, приходящаяся на единицу площади, проходящей через заданную точку звукового поля и расположенной перпендикулярно распространению звуковой волны, называется интенсивностью звука
(I
).
Единица интенсивности звука – ватт на метр в квадрате (Вт/м2
)
Непосредственное измерение интенсивности звука связано с большими техническими трудностями, и в настоящее время нет приборов, позволяющих непосредственно измерять этот параметр. С помощью акустических приборов (в частности, шумомеров) сравнительно просто измеряется так называемое звуковое давление
(Р
), связанное с интенсивностью звука (I
) следующей зависимостью:

где - плотность среды,
c
- скорость звука в среде.
Звуковым давлением
называется разница между мгновенным значением полного давления в какой-либо точке звукового поля и средним давлением, которое наблюдается в невозмущенной среде (атмосферное давление).
Частотный диапазон слышимых человеком звуков находится в пределах от 16 гц до 20 кГц. Колебания с частотой менее 16 гц называются инфразвуком, а свыше 20 кГц - ультразвуком.
Интенсивности звуков и звуковые давления, с которыми приходится иметь дело на практике, как уже показано выше, могут изменяться в десятки и сотни миллионов раз. Такой огромный диапазон изменения этих величин создает большие неудобства при сопоставлении их абсолютных значений. В этих условиях оказалось очень удобным использование логарифмической шкалы, так как это позволяет существенно уменьшить диапазон численных значений измеряемых величин. Применению логарифмической шкалы в акустике способствовало также то обстоятельство, что громкость звуков при оценке их на слух, как это было установлено Физиологами, возрастает примерно пропорционально логарифму интенсивности или звукового давления.
Сервис онлайн-записи на собственном Telegram-боте
Попробуйте сервис онлайн-записи VisitTime на основе вашего собственного Telegram-бота:
— Разгрузит мастера, специалиста или компанию;
— Позволит гибко управлять расписанием и загрузкой;
— Разошлет оповещения о новых услугах или акциях;
— Позволит принять оплату на карту/кошелек/счет;
— Позволит записываться на групповые и персональные посещения;
— Поможет получить от клиента отзывы о визите к вам;
— Включает в себя сервис чаевых.
Для новых пользователей первый месяц бесплатно.
Зарегистрироваться в сервисе
С учетом этих обстоятельств, основными характеристиками шума являются уровни звукового давления
(Lp
) и уровни интенсивности звука
(Li
), определяемые по формулам:
и ,
где Р0
и I0
- соответственно пороговые значения звукового давления и интенсивности звука на частоте 1000 Гц; Р
и I –
звуковое давление и интенсивность исследуемого звука. Единицы измерения Lp
и Li
- децибел (Дб)
При исследовании шумов обычно весь слышимый диапазон звуковых колебаний по частоте разбивается на отдельные полосы, каждая из которых характеризуется граничными частотами
нижней (fн
), верхней (fв
) и среднем (fcp
). За среднюю частоту полосы принято принимать среднегеометрическую частоту, определяемую по формуле:
, Гц
Чаще всего применяются октавные
и третьоктавные
полосы. Октавная полоса
(октава) - это такая частотная полоса, в которой верхняя граничная частота в два раза больше нижней частоты.
При гигиенической оценке шума и его нормировании акустический диапазон частот разделяют на девять октавных полос
со среднегеометрическими частотами:
31,5; 63; 125; 250; 500; 1000; 2000; 4000; 8000 гц.
Граничные частоты для этих октавных полос соответственно равны:
22-44, 44-88, 88-177, 177-355, 355 710, 710-1420, 1420-2840, 2840-5680, 5680-11360 гц.
3. Гигиеническое нормирование шума
Основой всех правовых, организационных и технических мер по снижению шума является гигиеническое нормирование его параметров с учетом влияния на человеческий организм.
В настоящее время основным документом по нормированию шума на производстве являются "Санитарные нормы допустимых уровней шума" N 3223-85. Эти нормы устанавливают классификацию шумов, характеристики и допустимые уровни шума на рабочих местах, общие требования к измерению нормируемых величин и основные мероприятия – по профилактике неблагоприятного влияния шума на работающих. Шумы классифицируются указанными нормами по двум признакам – характеру спектра и временным характеристикам.
По характеру спектра шумы подразделяются на:
-широкополосные, с непрерывным спектром шириной более одной октавы;
-тональные, в спектре которых имеются выраженные дискретные тона.
Тональный характер шума при контроле его параметров на рабочих местах устанавливается измерением в третъоктавных полосах частот по превышению уровня в одной полосе над соседними не менее чем на 10 дБ.
По временным характеристикам шумы подразделяют на:
-постоянные, уровень звука которых за 8-часовой рабочий день (рабочую смену) изменяется во времени не более чем на 5 дБ (А) при измерениях на временной характеристике "медленно" шумомера;
-непостоянные, уровень звука которых за 8-часзвой рабочий день (рабочую смену) изменяется более чем на 5 дБ (А) при измерениях на временной характеристике "медленно" шумомера.
Непостоянные шумы, в свою очередь, подразделяются на:
-колеблющиеся во времени, уровень звука которых непрерывно изменяется во времени;
-прерывистые, уровень звука которых ступенчато изменяется на 5 дБ и более, причем длительность интервалов, в течение которых уровень остается постоянным, составляет 1 с и более;
- импульсные, состоящие из одного или нескольких звуковых сигналов, каждый длительностью менее 1 с, при этом уровни звука в дБ (А1) и дБ (А), измеренные соответственно по временным характеристикам "импульс" и "медленно" шумомера, отличающиеся, не менее чем на 7 дБ (шумомеры должны отвечать ГОСТу 17187-81).
Допустимые уровни звукового давления в октавных полосах частот, уровни звука и эквивалентные уровни звука для рабочих мест в производственных помещениях и на территориях предприятий для широкополосного постоянного и непостоянного (кроме импульсного), шума представлены в табл. 1.
Для тонального и импульсного шума допустимые уровни нормируемых значений должны быть на 5 дБ меньше указанных в табл. 1. Для наблюдений во времени прерывистого шума максимальный уровень звука не должен превышать 110 дБ (А).
Для импульсного шума максимальный уровень звука не должен превышать 125 дБ (А1).
Действующими санитарными нормами запрещено пребывание работающих в зонах с уровнем звукового давления свыше 125 дБ в любой октавной полосе.
4. Экспериментальная часть
В данной лабораторной работе представляется возможным экспериментально оценить эффективность использования для борьбы с шумом звукоизолирующего металлического кожуха, звукоизолирующей перегородки и акустической обработки шумного помещения.
Укрытие источника шума звукоизолирующим кожухом является весьма эффективным способом снижения его звуковой мощности. Звукоизолирующая способность кожуха (L
кож
), может быть оценена по формуле:
L
кож
= 20*lg(G*f) - 47,5 + 10*lg(а), дБ. (1)
где G - вес 1м2
стенок кожуха, кг;
f - частота звука, гц;
а - коэффициент звукопоглощения материала, нанесенного на внутреннюю поверхность кожуха.
Звукоизолирующая способность перегородки, разделяющей два смежных помещения ("шумное" и "тихое"), может быть определена по формуле:
L
пер
= 20*lg(G*f ) – 47,5, дБ. (2)
где G - вес 1м2
перегородки, кг;
f - частота звука, Гц.
Эффективность акустической обработки помещения посредством покрытия ограждающих его поверхностей (стены, потолок) звукопоглощающими конструкциями, может быть определена из выражения:
, дб. (3)
где а1 и а2 - коэффициенты звукопоглощения ограждающих конструкций соответственно до и после отделки;
S1 и S2 -площади ограждающих конструкций соответственно до и после отделки.
5. Описание лабораторном установки
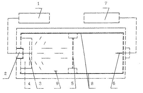
Лабораторная установка представляет собой модель помещения (каперу), выполненную из древесностружечных плит (ДСП), в которой одной стороны установлен динамик 2 (источник шума), а с другой - микрофон 6 измерителя 7 (см. рисунок).
Внутренняя поверхность камеры выложена съемными щитами 8 со звукопоглощающей облицовкой, закрепляемыми социальными винтами 9. Посередине камеры может герметично вставляться изолирующая перегородка 5 из фанеры толщиной 10 мм, разделяющая камеру на две части ("два помещения"). Это позволяет оценить экспериментально звукоизолирующую способность перегородки. Передняя часть камеры состоит из двух дверок, плотное прилегание которых к, камере обеспечивается прокладками и замками. Источник шума (динамик 2) может быть закрыт частично экраном 3 или кожухом 4. Звуковые сигналы ("шум") подаются на динамик либо звуковым генератором, либо магнитофоном с записью реального шума в каком-либо цехе предприятия, соответствующего профилю специальности студента.

Рис. 1 Схема лабораторной установки:
1- генератор белого шума или магнитофон; 2 - динамик; 3 -экран;
4 - кожух; 5 - съемная перегородка; 6 - микрофон измерителя шума;
7 - измеритель шума (ИШВ-1 или BOB-003); 8 - съемные щиты со
звукопоглощающей облицовкой; 9 - крепежные винты.
6. Правила пользования шумометром
1. Ознакомьтесь с внешней панелью прибора. Для измерения уровня звукового давления вы будите пользоваться нижней шкалой стрелочного прибора (от – до 10 dB), переключателями и верхним рядом числовых значений (20, 30,…130 дБ) – шкалы dB М-101. Не включая прибор, подготовить его к работе. Для этого переключатели установите в положения:
ДЛТ1, dB - 80 (обозначение dB означает дБ)
ДЛТ2, dB - 50
ФЛТ, Hz -ОКТ
род работы - F
2. Все кнопки отжаты.
3. В камере с динамика снимите экран и кожух. Камера закрыта на ключ.
4. С разрешения преподавателя или лаборанта включить прибор шумометр и генератор шума. Прогреть одну минуту.
5. Установить переключателем ФЛТ ОКТ на октавную полосу со среднегеометрической частотой 31 Гц. При этом кнопка Hz нажата. Переключателями сначала "ДЛТ 2,dB", а потом "ДЛТ l,dB" стрелку показывающего прибора выводите в сектор 0-10.
Измерение проводят следующим образом: числовое значение шкалы dB M-101 указываемое светодиодом складывается с показанием стрелки прибора. Результат записывается в соответствующую таблицу. 6. Таким образом, изменяя среднегеометрическую частоту октавных полос, можно измерить уровень звукового давления на девяти октавных полосах. Если вы устанавливаете частоту 125 Гц, то переключатель ФЛТ ОКТ установлен на 0,125, а кнопка Hz отжата (это значит 0,125 умножается на 1000).
7. Порядок выполнения работы
Внимательно ознакомившись с данной методикой и удовлетворительно ответив на контрольные вопросы преподавателя, студент получает одно из перечисленных ниже заданий и приступает к его выполнению.
A. Гигиеническая оценка уровня шума.
1. По заданию преподавателя создать в звуковой камере соответствующий акустический режим (источник шума с кожухом или без него, с перегородкой, разделяющей камеру на два помещения или без нее; с акустической облицовкой камеры или без таковой); и закрыть дверки камеры ключом.
2. Включить шумомер и прогреть его 1-2 мин.
3. Включить генератор шума или магнитофон с записью (выполняется преподавателем);
4. Произвести измерение уровня звукового давления во всех девяти октавных полосах и записать результат в табл.2.
5. Записать в табл. 2 допустимые значения уровня звука и уровней звукового давления из табл. 1 (по заданию преподавателя)
6. Вычислить значения требуемого снижения уровня звука и уровней звукового давления и результаты записать в табл.2.
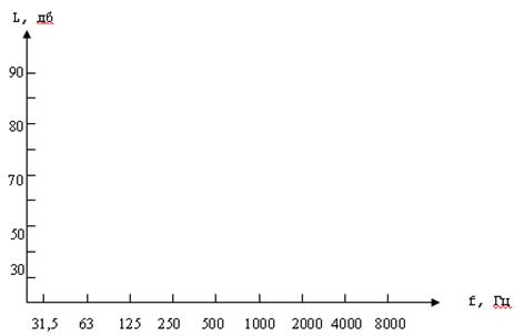
8. По данным измерений построить спектр шума в контрольной точке и предельно-допустимый спектр шума (из табл.1).
9. Сделать выводы о возможности работы при измеренном уровне шума и необходимости противошумных мероприятий.
Б. Оценка звукоизолирующей способности кожуха
1. Перегородка, разделяющая камеру на две части, убирается.
2. Съемные звукопоглощающие щиты с "пола" и "потолка" камеры снимаются.
3. Кожух с динамика "источника шума" (если он был ранее установлен) снимается, а оставляется только экран; дверки камер закрываются плотно на ключ.
4. Далее выполнить действия и измерения, перечисленные в пп А 2-5, и записать результаты в табл.3.
5. Открыть левую дверку камеры. Установить на источник шума металлический кожух с экраном и плотно прижать его винтом. Закрыть левую дверку камеры ключом.
6. Далее выполнить действия и измерения, перечисленные в пп. А 2-5 и записать результаты в табл.3.
7. По данным измерений определяется звукоизолирующая способность кожуха (L
кож
) в каждой из девяти октавных полос посредством вычитания соответствующих уровней звукового давления (дБ) соответственно до и после установки кожуха. Результаты расчетов записать в табл.3.
8. По формуле (1) определить расчетные значения L
кож
во всех октавных полосах частот ( при этом принять G = 8,О кг/м2
и A= 0.01 для всех октавных полос). Результаты расчетов записать в табл.3.
11. По данным измерений построить спектр шума в контрольной точке до и после установки кожуха.
12. Сделать выводы об эффективности металлического кожуха как средства изоляции источника шума и степени совпадения расчетных и экспериментальных результатов.
Таблица 1
Допустимые уровни звукового давления, уровни звука на рабочих местах в производственных помещениях и на территории предприятия
| Вид трудовой деятельности
|
Уровни звукового давления в дб
в октавных полосах со среднегеометрическими частотами, Гц
|
Уровень звука
|
| 31,5
|
63
|
125
|
250
|
500
|
1000
|
2000
|
4000
|
8000
|
дб(А)
|
| 1. Творческая деятельность: руководящая работа с повышенными требованиями, научная деятельность, конструирование и проектирование, программирование, преподавание и обучение
|
86
|
71
|
61
|
54
|
49
|
45
|
42
|
40
|
38
|
50
|
| 2. Высококвалифицированная работа, требующая сосредоточенности; административно-управленческая деятельность; измерительные и аналитические работы
|
93
|
79
|
70
|
63
|
58
|
55
|
52
|
50
|
49
|
60
|
| 3. Работа, выполняемая с часто получаемыми указаниями, сигналами; работа требующая постоянного контроля, операторская работа по точному графику с инструкцией; диспетчерская работа
|
96
|
83
|
74
|
68
|
63
|
60
|
57
|
55
|
54
|
65
|
| 4. Работа, требующая сосредоточенности; работа с повышенными требованиями к процессам наблюдения и дистанционного управления производственными циклами
|
103
|
91
|
83
|
77
|
73
|
70
|
68
|
66
|
64
|
75
|
| 5. Выполнение всех видов работ (за исключением перечисленных в пунктах 1-4 и аналогичным м) на постоянных рабочих местах в производственных помещениях и на территории предприятия
|
107
|
95
|
87
|
82
|
78
|
75
|
73
|
71
|
69
|
80
|
Таблица 2
| №
п/п
|
Уровни звукового давления в (дБ) в октавных полосах со среднегеометрическими частотами, Гц
|
Уровни
звука
дБ (А)
|
| 31
|
63
|
125
|
250
|
500
|
1000
|
2000
|
4000
|
8000
|
| А. Гигиеническая оценка уровня шума
|
| 1. Измеренные хар-ки шума в камере
|
|
|
|
|
|
|
|
|
|
|
| 2. Допустимые параметры шума (вариант N)
|
|
|
|
|
|
|
|
|
|
|
| 3. Требуемое снижение параметров шума
|
|
|
|
|
|
|
|
|
|
|
| Б. Оценка изолирующей способности кожуха
|
| 1. Измеренные хар-ки шума в камере
|
|
|
|
|
|
|
|
|
|
|
| 2. Измеренные хар-ки шума с кожухом
|
|
|
|
|
|
|
|
|
|
|
| 3. Звукоизол.способ. кожуха (Lкож
) эксп.
|
|
|
|
|
|
|
|
|
|
|
| 4. Звукоизол.способ. кожуха (Lкож
) расч.
|
|
|
|
|
|
|
|
|
|
|
| В. Оценка звукоизолирующей способности перегородки
|
| 1. Измеренные хар-ки шума в камере
|
|
|
|
|
|
|
|
|
|
|
| 2. Измеренные хар-ки шума с перегородкой
|
|
|
|
|
|
|
|
|
|
|
| 3. Звукоизол.способ. перегородки (Lкож
) эксп.
|
|
|
|
|
|
|
|
|
|
|
| 4. Звукоизол.способ. перегородки (Lкож
) рас.
|
|
|
|
|
|
|
|
|
|
|
| Г. оценка эффективности акустической обработки помещения
|
| 1. Измеренные хар-ки шума в камере
|
|
|
|
|
|
|
|
|
|
|
| 2. Измеренные хар-ки шума с акуст. обраб.
|
|
|
|
|
|
|
|
|
|
|
| 3. Эффективность акуст. обраб. (Lкож
) эксп.
|
|
|
|
|
|
|
|
|
|
|
| 4. Эффективность акуст. обраб. (Lкож
) рас.
|
|
|
|
|
|
|
|
|
|
|
| 5. Эфф.звукопогл. а1
Эфф. звукопогл. а2
|
0,12 0,11 0,1 0,03 0,08 0,11 0,12
0,1 0,15 0,2 0,45 0,7 0,6 0,7 0,8
|
График 1.
Спектры шума на рабочем месте

Оценка звукоизолирующей способности перегородки
1. Съемные звукоизолирующие щиты с "пола" и "потолка" камеры снимаются.
2. Кожух с динамика ("источника шума") (если он был ранее установлен) также снимается, а оставляется только экран.
3. Перегородка, разделяющая камеру на две части, убирается и дверки камеры плотно, закрываются ключом.
4. Далее выполнить действия, перечисленные в пп. А 2-5, и записать результаты в табл. 2(В).
5. Открыть дверки камеры, установить перегородку и прижать ее плотно винтом, а дверки камеры плотно закрыть ключом.
6. Выполнить снова действия, указанные в пп. А 2-5, и записать результаты в табл. 2(В).
7. По данным измерений определить звукоизолирующую способность перегородки (Lпер
) в каждой из девяти октавных полос посредством вычитания соответствующих уровней звукового давления (дб) до и после установки перегородки. Результаты расчетов записать в табл. 2(В).
8. По формуле (2) определить расчетные значения Lпер
во всех девяти октавных полосах, приняв G = 8.0 кг/м2
. Результаты расчетов записать в табл. 2(В).
9. По данным измерений построить спектр шума в контрольной точке до и после установки перегородки.
10. Сделать выводы об эффективности фанерной перегородки как средства изоляции "тихого помещения" от шумного и степени совпадения расчетных и экспериментальных результатов.
Г Оценка эффективности акустической обработки помещения
1. Съемные звукопоглощающие щиты с "пола" и "потолка" камеры снимаются.
2. Кожух с динамика ("источника шума") (если он был ранее установлен) также снимается, а остается только экран;
3. Перегородка, разделяющая камеру на две части, убирается и дверки камеры плотно закрываются ключом;
4. Далее выполняются действия, перечисленные в пп. А 2-5, а результаты измерений записываются в табл. 2(Б);
5. Открыть дверки камеры, установить на место звукопоглощающие щиты на "пол" и "потолок" камеры, дверки вновь плотно закрыть ключом;
6. Далее выполнить действия, перечисленные в пп. А 2-5, а результаты измерений записать в табл. 2(Г);
7. По данным измерений определить эффективность акустической обработки помещения (Lобл
) в каждой из девяти октавных полос посредством вычитания соответствующих уровней звукового давления дб) до и после установки звукопоглощающих щитов, результаты расчетов записать в табл. 2(Г);
8. По формуле (3) определить расчетные значения Lобл
во всех девяти октавных полосах. Результаты расчетов записать в табл. 2(Г) (значения а1
, а2
, S1
и S2
приведены в указанной таблице);
9. По данным измерений построить спектр шума в контрольной точке до и после акустической обработки помещения;
10. Сделать выводы об эффективности акустической обработки помещения как метода снижения шума и степени совпадения расчетных и экспериментальных результатов.
Контрольные вопросы :
1. Что мы понимаем под термином "шум"?
2. В чем проявляется вредное воздействие шума на организм человека?
3. Как связаны между собой длина звуковой волны, скорость звука и его частота?
4. Что такое звуковая мощность источника шума?
5. Что такое интенсивность звука?
6. Что такое звуке вое давление?
7. Что такое "уровень интенсивности звука" и "уровень звукового давления" (Li
и Lp
)?
8. Какова связь между Li
и Lp
?
9. Что такое "октава"?
10. Что такое "уровень звука (дбА)"?
11. Как различаются шумы по характеру спектра?
12. Как подразделяются шумы по временным характеристикам?
13. Принципы нормирования шума?
14. От чего зависит:
а) звукоизолирующая способность кожуха?
б) звукоизолирующая способность перегородки?
в) эффективность акустической обработки помещения?
|