| Федеральное агентство железнодорожного транспорта
АмИЖТ - филиал ДВГУПС в г. Свободном
Факультет СПО - Свободненский техникум железнодорожного транспорта
ЭЛЕКТРИЧЕСКИЕ АППАРАТЫ И ЦЕПИ
ЭЛЕКТРОПОДВИЖНОГО СОСТАВА
Методические указания и контрольные задания
для студентов-заочников образовательных учреждений
среднего профессионального образования
по специальности:
190304 ТЕХНИЧЕСКАЯ ЭКСПЛУАТАЦИЯ ПОД-
ВИЖНОГО СОСТАВА ЖЕЛЕЗНЫХ ДОРОГ
Специализации УСТРОЙСТВА И ЭЛЕКТРИЧЕСКИЕ АП-
190304.01 ПАРТЫ ЭЛЕКТРОПОДВИЖНОГО СО-
СТАВА
Свободный 2009
| ОДОБРЕНО
предметной
(цикловой) комиссией
специальности 190304
"Техническая эксплуатация
подвижного состава железных
дорог"
|
|
| Методические указания составлены в соответствии с примерной программой по дисциплине: "Электрические аппараты и цепи электроподвижного состава" для специальности 190304.
Начальник учебно-методического отдела
Е.Ф. Монашова
|
|
Автор: Е.П.Сидоров -
преподаватель Свободненского техникума
железнодорожного транспорта.
Рецензент: С. И. Кабалык
- начальник отдела подвижного состава
Свободненского отделения Забайкальской
Железной Дороги.
ПОЯСНИТЕЛЬНАЯ ЗАПИСКА
Программа дисциплины "Электрические аппараты и цепи электроподвижного состава" предусматривает изучение устройства и действия электрооборудования ЭПС основных серий. Дисциплина относится к специальному циклу дисциплин специализации 190304.01 в структуре основной профессиональной образовательной программы.
Для ознакомления с достижениями отечественной и зарубежной науки и техники в области совершенствования ЭПС рекомендуется систематически следить за материалами, помещенными в журналах "Железнодорожный транспорт", "Локомотив" изучать все новое, прогрессивное в области данной дисциплины.
Материал изучается на базе дисциплин: "Электротехника", "Электрические машины подвижного состава", "Электропривод и преобразователи подвижного состава".
Программой дисциплины предусматривается изучение основ работы электромеханического и электронного оборудования ЭПС, особенностей конструкции тяговых электрических аппаратов, принципов построения электрических схем, а также работы электрических цепей ЭПС.
Забиваем Сайты В ТОП КУВАЛДОЙ - Уникальные возможности от SeoHammer
Каждая ссылка анализируется по трем пакетам оценки: SEO, Трафик и SMM.
SeoHammer делает продвижение сайта прозрачным и простым занятием.
Ссылки, вечные ссылки, статьи, упоминания, пресс-релизы - используйте по максимуму потенциал SeoHammer для продвижения вашего сайта.
Что умеет делать SeoHammer
— Продвижение в один клик, интеллектуальный подбор запросов, покупка самых лучших ссылок с высокой степенью качества у лучших бирж ссылок.
— Регулярная проверка качества ссылок по более чем 100 показателям и ежедневный пересчет показателей качества проекта.
— Все известные форматы ссылок: арендные ссылки, вечные ссылки, публикации (упоминания, мнения, отзывы, статьи, пресс-релизы).
— SeoHammer покажет, где рост или падение, а также запросы, на которые нужно обратить внимание.
SeoHammer еще предоставляет технологию Буст, она ускоряет продвижение в десятки раз,
а первые результаты появляются уже в течение первых 7 дней.
Зарегистрироваться и Начать продвижение
В результате изучения дисциплины в соответствии с Государственными требованиями студент
должен знать:
- характеристики электрооборудования ЭПС;
- основы теории работы тяговых электроаппаратов, их конструкцию и принцип действия;
- возможные отклонения в режимах работы электрооборудования, функции аппаратов защиты и их принцип действия;
- принцип построения электрических цепей ЭПС и алгоритм их работы;
- работу электрических цепей конкретных серий подвижного состава;
должен уметь:
- устанавливать отличительные особенности конструкций силовых цепей и цепей управления;
- оценивать общее состояние электроаппаратов, проводить их простейшую регулировку;
- читать принципиальные и монтажные схемы;
- анализировать работу силовых цепей;
- сравнивать работу силовых цепей и цепей управления.
Дисциплина изучается на IV и V курсах. На IV курсе выполняется контрольная работа № 1 и лабораторные работы в объеме 20 часов и сдается экзамен.
На V курсе выполняется контрольная работа № 2, лабораторные работы в объеме 12 часов и сдается экзамен.
При выполнении контрольных работ необходимо уделять основное внимание физической сущности процессов, пояснять ответы рисунками и схемами. Графическую часть надо выполнять четко и достаточно крупно с использованием чертежных принадлежностей. Наиболее сложные рисунки допускается приводить в виде ксерокопий рисунков из литературы, при этом не надо забывать о сопровождении рисунков спецификацией, т.е. расшифровать все части детали, узла, схемы, диаграммы и т.д.
При решении задач сначала записывается формула в общем виде, далее в нее подставляются значения входящих величин и в конце расчета указывается размерность. Расчеты производить в международной системе единиц СИ.
Прежде чем приступить к выполнению контрольной работы, необходимо внимательно ознакомиться с методическими указаниями, помещенными после каждого задания на контрольную работу.
В конце каждой контрольной работы не забывайте указывать дату завершения работы, использованную литературу, ставить подпись.
После второго и третьего контрольного задания приведены перечни вопросов для самопроверки при подготовке к экзамену.
В конце брошюры указан рекомендованный список литературы.
СОДЕРЖАНИЕ УЧЕБНОЙ ДИСЦИПЛИНЫ
Введение
Роль дисциплины в подготовке техника локомотивного хозяйства, ее связь с другими специальными дисциплинами. Классификация электрических аппаратов, условия их работы на ЭПС, требования, предъявляемые к ним в соответствии с ГОСТом 9219-75
Сервис онлайн-записи на собственном Telegram-боте
Попробуйте сервис онлайн-записи VisitTime на основе вашего собственного Telegram-бота:
— Разгрузит мастера, специалиста или компанию;
— Позволит гибко управлять расписанием и загрузкой;
— Разошлет оповещения о новых услугах или акциях;
— Позволит принять оплату на карту/кошелек/счет;
— Позволит записываться на групповые и персональные посещения;
— Поможет получить от клиента отзывы о визите к вам;
— Включает в себя сервис чаевых.
Для новых пользователей первый месяц бесплатно.
Зарегистрироваться в сервисе
Раздел 1
Электрические аппараты и приборы
Тема 1.1
Основы теории электрических аппаратов
Кинематика подвижных контактных соединений, раствор и провал. Принцип работы перекатывающихся контактов. Полезная и вредная роль электрической дуги, способы ее гашения.
Разновидности дугогасительных камер тяговых электроаппаратов. Кинематические схемы контактных соединений. Особенности элементов цепей с большими или малыми токами, с высоким или пониженным напряжением.
Студент должен знать:
- устройство и принцип работы перекатывающихся контактов;
способы гашения дуги; устройство элементов дугогасительных устройств.
Студент должен уметь:
- отличать особенности элементов цепей с большими токами от элементов цепей с малыми токами, с высоким и пониженным напряжением.
Тема
1.2
Коммутационные аппараты силовых цепей
Назначение, устройство, характеристики и принцип действия индивидуальных, электропневматических и электромагнитных контакторов (ПК и МК). Реверсоры. Назначение, конструкции, характеристики и принцип действия групповых двухпозиционных и многопозиционных переключателей. Функции, выполненные двухпозиционными и многопозиционными аппаратами на электроподвижном составе.
Устройство и работа электропневматических вентилей включающего и выключающего типов. Типы приводов групповых аппаратов.
Схема управления приводом Решетова.
Следящая и шаговая схемы управления пневмодвигательным приводом. Схема управления сервомотором ЭКГ-8ж.
Студент должен знать:
- устройство и принцип действия коммутационных аппаратов силовых цепей различного назначения;
Студент должен уметь:
- находить в силовых схемах электроподвижного состава контакты реверсоров, тормозных переключателей и других групповых аппаратов;
- оценивать общее состояние и снимать развертки аппаратов;
- по внешнему виду аппарата определять, предназначен ли он для размыкания цепи под током;
- отличать аппараты, работающие в цепях тяговых двигателей, от аппаратов, работающих во вспомогательных цепях.
Тема 1.3
Токоприемники
Виды токосъема, области их применения. Принцип действия токоприемника. Легкие и тяжелые токоприемники, применение на ЭПС.
Статические характеристики токоприемника. Приведенная масса и ее влияние на качество токосъема. Особенности конструкции токоприемников для высокоскоростного подвижного состава. Схемы управления токоприемниками различных серий ЭПС. Меры, обеспечивающие защиту локомотивной бригады от попадания под высокое напряжение.
Студент должен знать:
- принцип действия токоприемника, назначение его элементов;
- работу схем управления токоприемниками 2-3-х серий ЭПС;
- область применения токоприемников легкого и тяжелого типов.
Студент должен уметь:
- снимать статическую характеристику токоприемника, оценивать его общее состояние;
- проводить простейшую регулировку статического нажатия;
- находить опускающие и подъемные пружины;
- определять конструктивные отличия различных типов токоприемников.
Тема 1.4
Аппараты защиты электрооборудования
Возможные отклонения в режиме работы электрических цепей. Аппараты непосредственной защиты и защитные реле. Принцип работы и конструкция быстродействующих выключателей (БВ) с электромагнитным и механическим удерживающими устройствами. Конструктивные особенности БВ, повышающие их быстродействие. Схемы управления БВ. Быстродействующие контакторы. Конструкция и работа главного выключателя.
Реле напряжения и перегрузки (назначение, конструкция, работа в схемах). Дифференциальная защита ЭПС. Реле заземления и реле пробоя выпрямителей. Противобоксовочная релейная защита ЭПС. Работа электронного датчика боксования грузового электровоза постоянного тока, его преимущества перед релейными схемами защиты. Защита от перенапряжений. Способы защиты полупроводниковых приборов в статических преобразователях ЭПС,
Студент должен знать:
- функции аппаратов защиты, их конструкцию и принцип действия.
Студент должен уметь:
- находить в схемах ЭПС катушки и контакты защитных реле;
- производить простейшую регулировку БВ и защитных реле.
Тема 1.5
Параметрические аппараты
Реакторы. Конструкция воздушных реакторов и реакторов с ферромагнитным сердечником.
Назначение и работа индуктивного шунта, переходного и сглаживающего реакторов. Другие функции реакторов в силовых цепях ЭПС. Типы конденсаторов и их применение в электрических цепях ЭПС. Резисторы, конструкция и применение.
Студент должен знать;
- функции параметрических аппаратов, их конструкции и принцип действия.
Студент должен уметь:
- находить в схемах ЭПС сглаживающие и переходные реакторы, индуктивные шунты, фильтры радиопомех:
- определять сопротивление резистора по его маркировке.
Тема 1.6
Аппараты управления
Контроллеры машиниста (конструктивные особенности, блокировки рукояток). Кнопочные выключатели управления и переключатели. Промежуточные контроллеры электровозов.
Студент должен знать:
-
конструкцию и принцип действия аппаратов управления.
Студент должен уметь:
- оценивать общее состояние аппаратов управления, пользоваться ими в процессе эксплуатации.
Тема 1.7
Аппараты автоматизации процессов
управления
Реле ускорения (РУ) электропоездов. Вибрационные и электронные регуляторы напряжения в цепях управления. Реле рекуперации, реле оборотов, реле времени. Пневматические выключатели и их работа в схемах управления (замещение электрического тормоза пневматическим). Двухступенчатый пуск вспомогательных машин. Функциональное назначение электронных блоков автоматики различных типов ЭПС.
Студент должен знать:
- назначение и принцип действия РУ, вибрационного и электронного регулятора напряжения; назначение электронных блоков автоматики и их влияние на работу электрооборудования.
Студент должен уметь:
- производить регулировку регулятора напряжения на стенде; оценивать работоспособность аппаратов автоматики.
Тема 1.8
Аппараты личной безопасности, безопасности
управления поездом,
вспомогательные аппараты.
Устройство и работа защитного вентиля.
Реле блокировки лестниц и его работа в цепях управления электропоездом. Работа схем аппаратов защиты обслуживающего персонала от попадания под вагоны напряжения на электровозах. Типы и функциональное назначение приборов безопасности движения, их взаимодействие с цепями управления ЭПС.
Студент должен знать:
-
устройство и работу защитного вентиля;
-
типы и функциональное назначение приборов безопасности движения.
Тема 1.9
Измерительные приборы и аппараты сигнали
зации
Устройство и схемы включения измерительных приборов на ЭПС. Назначение основных сигнальных ламп и действие локомотивной бригады при их загорании. Устройство и принцип действия блинкерного реле.
Студент должен знать:
-
схемы включения измерительных приборов.
Тема 1.10
Монтажные материалы
Провода и кабели. Расчет сечения провода по токовой нагрузке. Виды наконечников. Клеммные рейки и разъемные соединения. Изоляторы.
Студент должен знать:
-
назначение и виды материалов и изоляторов.
Раздел 2
Электрические цепи электроподвижного состава
Тема 2.1
Принципы управления тяговыми двигателями постоянного тока
Способы регулирования частоты вращения двигателей постоянного тока. Реостатный пуск. Расчет ступеней пускового реостата, Схемы соединения пусковых резисторов. Ослабление поля. Перегруппировка. Способы перегруппировки, их сравнение. Применение различных способов перегруппировки на ЭПС. Способы переключения ступеней обмоток трансформатора. Импульсное и фазовое регулирование, достоинства и недостатки. Способы регулирования тормозной силы. Система питания вспомогательных машин. Расчет величины шунтирующего резистора по заданному коэффициенту ослабления поля. Определение пути тока тяговых двигателей на конкретной позиции с помощью разверток.
Студент должен знать:
- способы регулирования частоты вращения двигателей постоянного тока;
- способы перегруппировки;
способы регулирования напряжения на тяговых двигателях.
Тема 2.2
Общие сведения об электрических цепях
Принцип прямого и косвенного управления. Высоковольтные цепи и цепи управления. Однопроводные и двухпроводные схемы. Принцип задания алгоритма переключения аппаратов с помощью электрических блокировок.
Правила сбора схемы на минимальное напряжение и в тормозной режим.
Студент должен знать:
-
принцип прямого и косвенного управления;
-
алгоритм сбора схемы на минимальное напряжение и в тормозной режим.
Тема 2.3
Цепи электропоездов постоянного тока
Работа силовой схемы электропоезда постоянного тока. Работа цепей управления: подъем токоприемника, запуск вспомогательных машин, сбор схемы на минимальное напряжение; работа цепей управления при автоматическом и ручном наборе позиций; работа аппаратов защиты. Назначение блокировок в цепях управления. Причины простейших неисправностей в электрических цепях электропоездов.
Студент должен знать:
- действие схем силовых, вспомогательных и цепей управления электропоезда
- постоянного тока в различных режимах.
Студент должен уметь:
- пояснять действия электрических цепей в основных режимах.
Тема 2.4
Электрические цепи электровозов постоянного
тока
Работа силовой схемы грузового электровоза постоянного тока (цепь 1-ой позиции, перегруппировки, работа схемы в тормозном режиме, работа схемы при отключении группы тяговых двигателей). Работа цепей управления: подъем токоприемника, запуск вспомогательных машин, сбор схемы на минимальное напряжение, работа цепей управления при наборе и сбросе позиций (прямые и обратные переходы), работа цепей управления в тормозном режиме, работа аппаратов защиты.
Работа силовой схемы пассажирского электровоза постоянного тока (цепь 1-ой позиции, перегруппировки, работа схемы в тормозном режиме, включая работу статического возбудителя). Работа цепей управления (подъем токоприемника, запуск вспомогательных машин, сбор схемы на минимальное напряжение, работа цепей управления при наборе и сбросе позиций, работа аппаратов защиты).
Студент должен знать:
- действие схем силовых, вспомогательных и цепей управления грузового и пассажирского электровозов постоянного тока в различных режимах.
Студент должен уметь:
- пояснять действия электрических цепей в основных режимах, прогнозировать возможные причины простейших неисправностей в электрических цепях.
Тема 2.5
Цепи электропоездов переменного тока
Работа силовой схемы электропоезда переменного тока с вентильным переходом. Контуры токов в силовой схеме электропоезда. Напряжение холостого хода выпрямительной установки.
Студент должен знать:
-
принцип работы с вентильным переходом.
Студент должен уметь:
- рассчитывать среднее значение напряжения холостого хода на выходе выпрямительной установки.
Тема 2.6
Цепи электровозов переменного тока
Работа силовой схемы электровоза переменного тока с контактным регулированием (принцип регулирования по полупериодам, переход с позиции на позицию, работа схемы в тормозном режиме). Характеристика системы вспомогательных машин, ее сравнение с системой питания вспомогательных машин ЭПС постоянного тока. Работа цепей управления (подъем токоприемника, запуск вспомогательных машин, сбор схемы на минимальное напряжение, работа цепей управления при наборе и сбросе позиций, работа аппаратов защиты).
Работа силовой схемы пассажирского электровоза переменного тока (принцип регулирования напряжения при переключении первичной обмотки трансформатора). Принцип работы управляемого выпрямителя и однофазного зависимого инвертора. Работа силовой схемы электровоза с зонно-фазовым регулированием в режимах тяги и рекуперативного торможения.
Студент должен знать:
- действие схем силовых, вспомогательных и цепей управления грузового электровоза переменного тока в различных режимах;
- принцип работы ВИП в режимах тяги и рекуперации; преимущества и недостатки системы асинхронных вспомогательных машин.
Студент должен уметь:
- пояснять действия электрических цепей в основных режимах;
- находить контуры токов в силовых схемах для различных позиций (ВЛ80С) и зон регулирования (ВЛ85).
Тема 2.7
Электроподвижной состав двойного питания
Принцип работы силовых электрических цепей электровозов двойного питания ВЛ82M. Его сравнение со специализированным электроподвижным составом постоянного и переменного тока. Принцип построения схем многосистемных электровозов и электропоездов за рубежом.
Студент должен знать:
- область применения электроподвижного состава двойного питания; принцип работы силовой схемы электровоза ВЛ82M.
Тема
2.8
Принцип работы электроподвижного состава с бесколлекторными
тяговыми двигателями
Преимущества и недостатки бесколлекторных тяговых двигателей. Способы регулирования частоты вращения асинхронных и вентильных тяговых двигателей. Сравнение асинхронного и вентильного тяговых приводов. Принцип работы автономного инвертора тока (АИТ) и автономного инвертора напряжения (АИН). Элементная база современных статических преобразователей ведущих зарубежных фирм.
Определение типа преобразователя по схеме входного фильтра. Построение диаграммы токов и напряжений простейших АИН и АИТ.
Студент должен знать:
- преимущества и недостатки бесколлекторных тяговых двигателей;
- способы регулирования частоты вращения асинхронных и вентильных тяговых двигателей; - принцип работы АИТ и АИН.
ЗАДАНИЕ НА КОНТРОЛЬНУЮ РАБОТУ № 1
Задание на контрольную работу составлено в 50 вариантах. Номер варианта определяется двумя последними цифрами шифра студента по табл. 1.
Таблица 1
Таблица вариантов контрольной работы № 1
| Две последние цифры шифра
|
Номер варианта
|
Номера вопросов и задач
|
|
Две последние цифры шифра
|
Номер варианта
|
Номера вопросов и задач
|
| 01
|
51
|
1
|
1,19,37,54,104
|
|
26
|
76
|
26
|
10,28,44,79,105
|
| 02
|
52
|
2
|
2, 20,38,55,105
|
|
27
|
77
|
27
|
9,27,43,80,104
|
| 03
|
53
|
3
|
3,21,39,56,106
|
|
28
|
78
|
28
|
8,26,42,81,105
|
| 04
|
54
|
4
|
4,22,40,57,107
|
|
29
|
79
|
29
|
7,25,41,82,106
|
| 05
|
55
|
5
|
5,23,41,58,108
|
|
30
|
80
|
30
|
6,24,40,83,107
|
| 06
|
56
|
6
|
6,24,42,59,109
|
|
31
|
81
|
31
|
5,23,39,84,108
|
| 07
|
57
|
7
|
7,25,43,60,110
|
|
32
|
82
|
32
|
4,22,38,85,109
|
| 08
|
58
|
8
|
8,26,44,61,111
|
|
33
|
83
|
33
|
3,21,37,86,110
|
| 09
|
59
|
9
|
9,27,45,62,112
|
|
34
|
84
|
34
|
2,20,38,87,111
|
| 10
|
60
|
10
|
10,28,46,63,113
|
|
35
|
85
|
35
|
1,19,39,88,112
|
| 11
|
61
|
11
|
11,29,47,64,114
|
|
36
|
86
|
36
|
2,20,40,89,113
|
| 12
|
62
|
12
|
12,30,48,65,115
|
|
37
|
87
|
37
|
3,21,41,90,114
|
| 13
|
63
|
13
|
13,31,49,66,116
|
|
38
|
88
|
38
|
4,22,42,91,115
|
| 14
|
64
|
14
|
14,32,50,67,117
|
|
39
|
89
|
39
|
5,23,43,92,116
|
| 15
|
65
|
15
|
15,33,51,68,116
|
|
40
|
90
|
40
|
6,24,44,93,117
|
| 16
|
66
|
16
|
16,34,52,69,115
|
|
41
|
91
|
41
|
7,25,45,94,116
|
| 17
|
67
|
17
|
17,35,53,70,114
|
|
42
|
92
|
42
|
8,26,46,95,115
|
| 18
|
68
|
18
|
18,36,52,71,113
|
|
43
|
93
|
43
|
9,27,47,96,114
|
| 19
|
69
|
19
|
17,35,51,72,112
|
|
44
|
94
|
44
|
10,28,48,97,113
|
| 20
|
70
|
20
|
16,34,50,73,111
|
|
45
|
95
|
45
|
11,29,49,98,,112
|
| 21
|
71
|
21
|
15,33,49,74,110
|
|
46
|
96
|
46
|
12,30,50,99,,111
|
| 22
|
72
|
22
|
14,32,48,75,109
|
|
47
|
97
|
47
|
13,31,51,100,110
|
| 23
|
73
|
23
|
13,31,47,76,108
|
|
48
|
98
|
48
|
14,32,52,101,109
|
| 24
|
74
|
24
|
12,30,46,77,107
|
|
49
|
99
|
49
|
15,33,53,102,108
|
| 25
|
75
|
25
|
11,29,45,78,106
|
|
50
|
00
|
50
|
16,34,52,103,107
|
Вопросы и задачи контрольной работы № 1
Вопросы
№№ 1- 103
1. Кратко опишите назначение и классификацию тяговых электрических аппаратов.
2. Кратко опишите условия работы тяговых электрических аппаратов.
3. Кратко опишите контакты тяговых электрических аппаратов. Приведите поясняющие рисунки.
4. Кратко опишите кинематику контактных систем тяговых электрических аппаратов. Приведите поясняющие рисунки.
5. Кратко опишите условия возникновения и гашения дуги в тяговых электрических аппаратах. Приведите поясняющие рисунки.
6. Кратко опишите назначение и принцип действия дугогасительных устройств. Приведите поясняющие рисунки.
7. Кратко опишите магнитное дугогашение в тяговых электрических аппаратах. Приведите поясняющие рисунки.
8. Кратко опишите газовое дугогашение в электрических аппаратах.
9. Кратко опишите назначение и классификацию приводов тяговых электрических аппаратов.
10. Кратко опишите электромагнитный привод тяговых электрических аппаратов. Приведите поясняющие рисунки.
11. Кратко опишите электропневматический привод тяговых электрических аппаратов. Приведите поясняющие рисунки.
12. Кратко опишите диафрагменный привод тяговых электрических аппаратов. Приведите поясняющие рисунки.
13. Кратко опишите назначение, конструкцию и принцип действия электромагнитных вентилей включающего типа. Приведите поясняющие рисунки.
14. Кратко опишите назначение, конструкцию и принцип действия электромагнитных вентилей выключающего типа. Приведите поясняющие рисунки.
15. Кратко опишите назначение, конструкцию и принцип действия двухпозиционных групповых электропневматических приводов. Приведите поясняющие рисунки.
16. Кратко опишите назначение, конструкцию и принцип действия трехпозиционных групповых электропневматических приводов. Приведите поясняющие рисунки.
17. Кратко опишите назначение, конструкцию и принцип действия многопозиционного привода Л.Н. Решетова. Приведите поясняющие рисунки.
18. Кратко опишите назначение, конструкцию и принцип действия многопозиционного электродвигательного привода. Приведите поясняющие рисунки.
19. Кратко опишите назначение, конструкцию и принцип действия многопозиционного пневматического привода. Приведите поясняющие рисунки.
20. Кратко опишите назначение и принципиальную схему токоприемника. Приведите поясняющие рисунки.
21. Кратко опишите диагностические характеристики токоприемников. Приведите поясняющий рисунок.
22. Кратко опишите статические характеристики токоприемников. Приведите поясняющий рисунок.
23. Кратко опишите конструкцию токоприемников. Приведите поясняющие рисунки.
24. Кратко опишите принцип действия токоприемников. Приведите поясняющие рисунки.
25. Кратко опишите назначение, конструкцию и принцип действия разъединителей и отключателей ЭПС. Приведите поясняющие рисунки.
26. Кратко опишите назначение, конструкцию и принцип действия индивидуальных электропневматических контакторов с однощелевой дугогасительной камерой. Приведите поясняющие рисунки.
27. Кратко опишите назначение, конструкцию и принцип действия индивидуальных электропневматических контакторов с лабиринтно-шелевой дугогасительной камерой. Приведите поясняющие рисунки.
28. Кратко опишите назначение, конструкцию и принцип действия индивидуального электропневматического контактора с трехщелевой дугогасительной камерой. Приведите поясняющие рисунки.
29. Кратко опишите назначение, конструкцию и принцип действия контактора ПКУ-1. Приведите поясняющие рисунки.
30. Кратко опишите назначение, конструкцию и принцип действия индивидуального электропневматического контактора МК-310Б. Приведите поясняющие рисунки.
31. Кратко опишите назначение, конструкцию и принцип действия индивидуального электромагнитного контактора КМВ-104. Приведите поясняющие рисунки.
32. Кратко опишите назначение, конструкцию и принцип действия индивидуального электромагнитного контактора КПВ-604. Приведите поясняющие рисунки.
33. Кратко опишите назначение, конструкцию и принцип действия герконов. Приведите поясняющие рисунки.
34. Кратко опишите общие сведения о групповых контакторах. Приведите поясняющие рисунки.
35. Кратко опишите конструкцию и принцип действия контакторного элемента включающего типа группового переключателя. Приведите поясняющие рисунки.
36. Кратко опишите конструкцию и принцип действия контакторного элемента выключающего типа группового переключателя. Приведите поясняющие рисунки.
37. Кратко опишите конструкцию и принцип действия контакторного элемента переключающего типа группового переключателя. Приведите поясняющие рисунки.
38. Кратко опишите назначение и конструкцию главного контроллера ЭКГ-8. Приведите поясняющие рисунки.
39. Кратко опишите конструкцию и принцип действия главного контроллера ЭКГ-8. Приведите поясняющие рисунки.
40. Кратко опишите конструкцию и принцип действия кулачкового контактора с дугогашением главного контроллера ЭКГ-8. Приведите поясняющие рисунки.
41. Кратко опишите конструкцию и принцип действия кулачкового контактора без дугогашения главного контроллера ЭКГ-8. Приведите поясняющие рисунки.
42. Кратко опишите назначение, конструкцию и принцип действия главного контроллера КН-18. Приведите поясняющие рисунки.
43. Кратко опишите назначение, конструкцию и принцип действия силового контроллера КСП-1А. Приведите поясняющие рисунки.
44. Кратко опишите назначение, конструкцию и принцип действия силового контроллера 1КС-009. Приведите поясняющие рисунки.
45. Кратко опишите назначение, конструкцию и принцип действия реверсоров. Приведите поясняющие рисунки.
46. Кратко опишите назначение, конструкцию и принцип действия реверсоров барабанного типа. Приведите поясняющие рисунки.
47. Кратко опишите назначение, конструкцию и принцип действия реверсоров кулачкового типа. Приведите поясняющие рисунки.
48. Кратко опишите назначение, конструкцию и принцип действия тормозного переключателя. Приведите поясняющие рисунки.
49. Кратко опишите назначение, конструкцию и принцип действия переключателя мотор-вентиляторов. Приведите поясняющие рисунки.
50. Кратко опишите назначение и конструкцию резисторов. Приведите поясняющие рисунки.
51. Кратко опишите назначение и конструкцию электрических печей, калориферов, нагревателей. Приведите поясняющие рисунки.
52. Опишите назначение, конструкцию и принцип действия переходных реакторов. Приведите поясняющие рисунки.
53. Опишите назначение, конструкцию и принцип действия индуктивных шунтов. Приведите поясняющие рисунки.
54.
Общие сведения об автоматических выключателях. Приведите поясняющие графики.
55. Дайте краткую характеристику основным узлам быстродействующих выключателей. Приведите поясняющие рисунки.
56. Опишите систему механизмов и электромагнитов быстродействующих выключателей типа 12НС. Приведите поясняющие рисунки.
57. Опишите систему механизмов и электромагнитов быстродействующих выключателей типа БВП-5. Приведите поясняющие рисунки.
58. Опишите систему механизмов и электромагнитов быстродействующих выключателей типа БВЗ-2. Приведите поясняющие рисунки.
59. Опишите назначение и конструкцию быстродействующего выключателя БВП-5. Приведите поясняющие рисунки.
60. Опишите конструкцию контактного рычага, дугогасительной катушки, размагничивающего витка, индуктивного пункта БВП-5. Приведите поясняющие рисунки.
61. Опишите назначение и конструкцию дугогасительной камеры быстродействующего выключателя БВП-5. Приведите поясняющие рисунки.
62. Опишите кинематическую схему быстродействующего выключателя БВП-5. Приведите поясняющие рисунки.
63. Опишите электрическую схему быстродействующего выключателя БВП-5. Приведите поясняющий рисунок.
64. Опишите процесс включения быстродействующего выключателя БВП-5. Приведите поясняющие рисунки.
65. Опишите назначение и конструкцию быстродействующих выключателей БВП-105А. Приведите поясняющие рисунки.
66. Опишите кинематическую схему быстродействующих выключателей БВП-105А. Приведите поясняющие рисунки.
67. Опишите процесс включения быстродействующих выключателей БВП-105А. Приведите поясняющие рисунки.
68. Опишите назначение и конструкцию главного выключателя ВОВ-25-4. Приведите поясняющие рисунки.
69. Опишите процесс включения главного выключателя ВОВ-25-4. Приведите поясняющие рисунки.
70. Опишите процесс выключения главного выключателя ВОВ-25-4. Приведите поясняющие рисунки.
71. Опишите назначение и конструкцию быстродействующего контактора БК-78Т. Приведите поясняющие рисунки.
72. Опишите принцип действия быстродействующего контактора БК-78Т. Приведите поясняющие рисунки.
73. Опишите назначение и конструкцию быстродействующих контакторов КМБ-3. Приведите поясняющие рисунки.
74. Опишите назначение и принцип действия быстродействующих контакторов КМБ-3. Приведите поясняющие рисунки.
75. Опишите назначение и конструкцию быстродействующего выключателя БВ-021. Приведите поясняющие рисунки.
76. Опишите назначение и принцип действия быстродействующего выключателя БВ-021. Приведите поясняющие рисунки.
77. Опишите назначение и конструкцию реле максимальной токовой защиты. Приведите поясняющие рисунки.
78. Опишите назначение и принцип действия реле максимальной токовой защиты. Приведите поясняющие рисунки.
79. Опишите назначение и конструкцию дифференциального реле электровозов ВЛ10, ВЛ11. Приведите поясняющие рисунки.
80. Опишите назначение и принцип действия дифференциальных реле РДЗ-504. Приведите поясняющие рисунки.
81. Опишите назначение и конструкцию дифференциального реле Р-104Б. Приведите поясняющие рисунки.
82. Опишите назначение и принцип действия дифференциального реле Р-104Б. Приведите поясняющие рисунки.
83. Опишите назначение и конструкцию блока дифференциальных реле БРД-356. Приведите поясняющие рисунки.
84. Опишите назначение и принцип действия блока дифференциальных реле БРД-356. Приведите поясняющие рисунки.
85. Опишите назначение и конструкцию реле ускорения и торможения Р-40Б. Приведите поясняющие рисунки.
86. Опишите назначение и принцип действия реле ускорения и торможения Р-40Б. Приведите поясняющие рисунки.
87. Опишите назначение и конструкцию реле повышенного напряжения РПН-5. Приведите поясняющие рисунки.
88. Укажите назначение и принцип действия реле повышенного напряжения РПН-5. Приведите поясняющие рисунки.
89. Опишите назначение и конструкцию реле времени РЭВ-312. Приведите поясняющие рисунки.
90. Опишите назначение, и принцип действия реле времени РЭВ-312. Приведите поясняющие рисунки.
91. Опишите назначение и принцип действия реле блокирования. Приведите поясняющие рисунки.
92. Опишите назначение, конструкцию и принцип действия реле рекуперации. Приведите поясняющие рисунки.
93. Опишите назначение и принцип действия регулятора напряжения РН-43. Приведите поясняющие рисунки.
94. Опишите назначение, конструкцию и принцип действия плавких предохранителей. Приведите поясняющие рисунки.
95. Опишите назначение и конструкцию разрядника РМВУ-3,3. Приведите поясняющие рисунки.
96. Опишите назначение и принцип действия разрядника РМВУ-3,3. Приведите поясняющие рисунки.
97. Опишите назначение и конструкцию разрядника РВЭ-25. Приведите поясняющие рисунки.
98. Опишите назначение и принцип действия разрядника РВЭ-25. Приведите поясняющие рисунки.
99. Опишите назначение и конструкцию контроллера машиниста 1КУ.О19. Приведите поясняющие рисунки.
100. Опишите назначение и конструкцию контроллера, контроллера машиниста КМ-84. Приведите поясняющие рисунки.
101. Опишите назначение и конструкцию контроллера машиниста КМЭ-8. Приведите поясняющие рисунки.
102. Опишите назначение и конструкцию контроллера электровоза ЧС 7. Приведите поясняющие рисунки.
103. Опишите назначение и принцип действия промежуточного контроллера машиниста электровоза ЧС7. Приведите поясняющие рисунки.
Задача № 104
Дано:
Схема включения реле повышенного напряжения РПН и реле пониженного напряжения РНН на локомотиве (рис.1). Сопротивление добавочного резистора Rдоб. =18000 Ом, сопротивление катушек реле повышенного и пониженного напряжения Rрпн =
Rрнн= 445 Ом, ток, при котором включаются реле 1рнн (вкл)= 0147 А, Iрпн(вкл)=0,218 А ток, при котором отключаются реле Iрнн(откл)=0,103 А, I рпн(вкл) = 0,164 А.
Определить:
1. Напряжение в контактной сети, при котором включаются и отключаются указанные реле.
2. Падение напряжения на элементах цепи при напряжении включения РПН.
3. Описать назначение РПН и РНН и их действие в электрической схеме локомотива.

Задача
№ 105
Дано:
Схема включения защитного вентиля ВЗ, реле контроля защиты РКЗ на локомотиве (рис.2). Сопротивление добавочного резистора Rдоб = 21300 Ом, сопротивление катушки РКЗ Rркз =156 Ом, сопротивление катушки ВЗ RРКЗ =178 Ом.
Определить:
1. Ток в цепи при напряжении в контактной сети UKC
= 3000 В.
2. Падение напряжения на элементах цепи.
3. Описать назначение РКЗ и ВЗ и их действие в электрической схеме локомотива.

Задача
№ 106
Дано:
Схема включения реле боксования на локомотиве (рис. 3). Сопротивление катушки реле боксования РБ, Rpб = 4 Ом, ток срабатывания (включения) РБ, IРБ = 0,5 А, сопротивление катушек главных полюсов тяговых двигателей Rгп1 =
Rгп2 - 0,0103 Ом.
Определить:
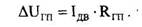
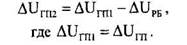
1. Падение напряжения ∆Uгп на катушках главных полюсов тяговых двигателей ГП1 и ГП2 при токе двигателей Iдт = 600 А, и отсутствие боксования.
2. Падение напряжения ∆Uгп2 на катушках главных полюсов ГП2 в момент срабатывания РБ, если боксует колесная пара двигателя № 2.
3. Ток I гп2 в цепи катушек главных полюсов двигателя № 2 в момент срабатывания (включения) РБ.
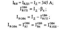
4. Описать назначение РБ и его действие в электрической схеме локомотива.

Задача № 107
Дано:
Схема включения реле боксования РБ (датчика боксования) на электровозе (рис. 4), активное сопротивление катушки реле боксования RРБ
= 2900 Ом, ток срабатывания (включения) РБ, IРБ
= 0,07А.
Определить:
1. Разность падений напряжения на обмотках якорей тяговых двигателей при боксовании одного из двигателей в момент срабатывания РБ.
2. Описать назначение РБ и его действие в электрической схеме локомотива.

Задача № 108
Дано:
1. Упрощенная схема соединения тяговых двигателей электропоезда постоянного тока ЭР2 и цепи ослабления возбуждения (рис. 5).
2. Сопротивление обмоток главных полюсов одного двигателя Rгп1 = Rгп2 = 0,182 Ом.
3. Сопротивление обмоток дополнительных полюсов Rдп1 = Rдп2 = 0,07 Ом.
4. Сопротивление обмоток якоря одного двигателя Rя1 = Rя2 = 0,164 Ом
Определить:
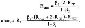
1. Величину активного сопротивления индуктивного шунта Rиш и резистора RT
, необходимую для получения коэффициентов регулирования возбуждения β1 = 0,67 и β2 = 0,50.
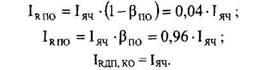
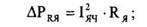
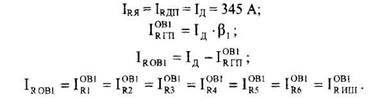
2. Величину тока двигателя (якоря) Iд(ОВ1) и цепи, шунтирующей обмотку главных полюсов двигателей при переходе на первую ступень ослабления возбуждения ОВ1 (β1) при включении контактора 1, если ток двигателей при полном возбуждении ПВ был равен Iд(пв) = 132 А.
3. Падение напряжения на всех элементах цепи при полном возбуждении и первой ступени ослабления возбуждения.
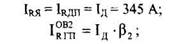
4. Величину тока катушек главных полюсов двигателей IRгп(ОВ2) и тока шунтирующей цепи IRиш(ОВ2), если на второй ступени ослабления возбуждения β2 при замыкании контактора 2 ток двигателей (якорей) стал Iд(ОВ2) = 146 А .
5. Величину падения напряжения в установившемся режиме β2 на активном сопротивлении всех элементов цепи, обмотках якорей ∆URЯ, обмотках главных и дополнительных полюсов ∆URГП , ∆URДП, индуктивном шунте ∆URиш.
6. Мощность, поглощаемую активным сопротивлением обмоток якорей, дополнительных и главных полюсов, индуктивного шунта ∆РRЯ, ∆РRДП, ∆РRГП, ∆РRИШ, ∆РR на всех режимах, ПВ, ОВ1, ОВ2.
7. Величину противо-ЭДС якорных обмоток в режиме β2.
8. Все расчеты свести в таблицу, составленную по форме табл. 3.
9. Описать назначение индуктивного шунта и ослабления возбуждения тяговых двигателей.
Примечание. Процесс регулирования скорости с помощью ослабления возбуждения показан на рис. 6.


Задача
№
109
Дано:
1. Упрощенная схема соединения тяговых двигателей электропоезда постоянного тока ЭР 2 и цепи ослабления возбуждения (рис. 5).
2. Сопротивления обмоток главных полюсов одного двигателя Rгп1 = Rгп2 = 0,182 Ом;
3. Сопротивление обмоток дополнительных полюсов одного двигателя Rдп1 = Rдп2 = 0,08 Ом;
4. Сопротивление индуктивного шунта (омическое) Rиш = 0,364 Ом;
5. Сопротивление резистора R = 0,387 Ом;
6. Сопротивление полюсов якоря одного двигателя Rя1 = Rя2 = 0,164 Ом;
Определить:
1. Коэффициенты регулирования возбуждения β1 и β2;
2. Величину тока двигателя (якоря) I∆в(β1) и цепи, шунтирующей обмотки главных полюсов двигателей I(β1) при переходе на первую ступень ослабления возбуждения β1 при включении контактора 1, если ток двигателей при полном возбуждении (ПВ) был равен I∆в(пв) = 132 А.
3. Падение напряжения на всех элементах цепи при включении контактора 1.
4. Величину тока катушек главных полюсов двигателей IRгп(β2) и тока шунтирующей цепи IRиш(β2), если на второй ступени ослабления возбуждения β2 при замыкании контактора 2 ток двигателей (якорей) стал I∆в(β2) =146 А.
5. Величину падения напряжения в режиме β2 на всех элементах цепи - обмотках якорей ∆URя, обмотках главных и дополнительных полюсов ∆Uгп, ∆Uдп, индуктивном шунте ∆Uиш.
6. Мощность, поглощаемую активным сопротивлением всех элементов цепи - якоря. Дополнительных главных полюсов, индуктивного шунта. ∆РRЯ, ∆РRДП, ∆РRГП, ∆РRИШ в режиме β2.
7. Величину противо-ЭДС опорных обмоток в режиме β2.
8. Все расчеты свести в таблицу, составленную по форме табл. 3.
9. Описать назначение индуктивного шунта и ослабления возбуждения тяговых двигателей.
Примечание. Процесс регулирования скорости с помощью ослабления возбуждения показан на рис. 6.
Задача № 110
Дано:
Упрощенная схема соединения обмоток тягового двигателя НБ-418к6 электровоза переменного тока ВЛ80т,с
и цепи ослабления возбуждения, (рис. 7).
2. Сопротивление катушек главных полюсов Rгп=0,0079 Ом;
3. Коэффициент постоянного ослабления возбуждения (или нормального поля) βпо = 0,96.
4. Коэффициенты ослабления возбуждения β1 = 0,70, β2= 0,52, β3 = 0,43.
5. Сопротивление катушек добавочных полюсов и компенсационной обмотки Rдп,ко — 0,0119 Ом.
6. Сопротивление обмотки якоря Rя = 0,011 Ом.
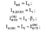
7. Ток якоря часового режима Iяч =
880 А.
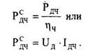
8. Мощность двигателя в часовом режиме Рдч = 790 кВт.
9. Коэффициент полезного действия двигателя в часовом режиме ηч = 94,5%.
Определить:
1. Величины сопротивлений Rпо, R1, R2. Rиш.
2. Величины токов, протекающих по всем элементам цепи при работе с нормальным полем и на всех ступенях ослабления возбуждения.
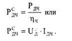
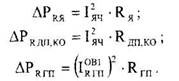
3. Величины падений напряжения на всех элементах цепи на всех режимах.
4. Величины потерь мощности на всех элементах цепи на всех режимах.
5. Все расчеты свести в таблицу, составленную по форме табл. 4.
6. Сравнить общие потери в двигателе в часовом режиме и нормальном поле с рассчитанными потерями в меди, объяснить разницу.
7. Описать назначение резистора и постоянного ослабления возбуждения Rпо, компенсационной обмотки индуктивного шунта, ослабления тяговых двигателей.

Таблица 4

Примечание. Все расчеты выполнить применительно к току якоря часового режима
Iяч =
880 А. Процесс регулирования скорости с помощью ослабления возбуждения показан на рис. 6.
Задача № 111
Дано:
1. Упрощенная схема соединения обмоток тягового двигателя НБ-418к6 электровоза переменного тока ВЛ80т,с
и цепи ослабления возбуждения, рис. 7.
2. Сопротивление катушек главных полюсов Rгп= 0,0079 Ом.
3. Сопротивление катушек добавочных полюсов и компенсационной обмотки Rдп,ко — 0,0119 Ом.
4. Сопротивление обмотки якоря Rя = 0,011 Ом.
5. Сопротивление элементов цепи ослабления возбуждения R1 = 0,01278 Ом, R2
= 0,002813 Ом, Rпо = 0,1856 Ом, Rиш = 0,006158 Ом.
6. Ток якоря часового режима Iяч =
880 А.
7. Мощность двигателя в часовом режиме Рдч = 790 кВт.
8. Коэффициент полезного действия двигателя в часовом режиме ηч = 94,5%.
Определить:
1. Величину коэффициента постоянного ослабления возбуждения βпо и всех ступеней β1, β2, β3.
2. Величину токов, протекающих по всем элементам цепи при работе с нормальным полем и на всех ступенях ослабления возбуждения.
3. Величины падений напряжений на всех элементах цепи на всех режимах.
4. Величины потерь мощности на всех элементах цепи на всех режимах.
5. Все расчеты свести в таблицу, составленную по форме табл. 4.
6. Сравнить общие потери в двигателе в часовом режиме и нормальном поле с рассчитанными потерями в меди, объяснить разницу.
7. Описать назначение резистора постоянного ослабления возбуждения Rпо, компенсационной обмотки, индуктивного шунта, ослабления возбуждения тяговых двигателей.
Примечание:
Все расчеты выполнить применительно к току якоря часового режима
I
яч = 880 А. Процесс регулирования скорости с помощью ослабления возбуждения показан на рис. 6.
Задача № 112
Дано:
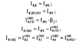
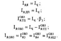
1. Упрощенная схема соединения тяговых двигателей ТЛ-2К1 электровоза постоянного тока ВЛ10 и цепей ослабления возбуждения (рис. 8).
2. Сопротивление обмоток главных полюсов одного двигателя Rгп1 = Rгп2= 0,025 Ом.
3. Сопротивление обмоток добавочных полюсов и компенсационной обмотки Rдп,ко = 0,0356 Ом.
4. Сопротивление обмотки якоря Rя = 0,0317 Ом.
5. Сопротивление (активное) индуктивного шунта Rиш = 0,0236 Ом.
6. Коэффициенты ослабления возбуждения β1 = 0,75, β2= 0,55, β3 = 0,43, β4 = 0,36.
7. Напряжение на зажимах двигателя Uд = 1500 В.
8. Ток часового режима двигателя Iч = 480 А.
9. Мощность двигателя в часовом режиме Рч = 670 кВт.
10. Коэффициент полезного действия двигателя в часовом режиме ηч = 0,931.
Определить:
1. Величину сопротивлений резисторов R1, R2, R3, R4.
2. Величины токов, протекающих по всем элементам цепи при полном и всех ступенях ослабленного возбуждения.
3. Величины падений напряжений на всех элементах цепи при полном и всех ступенях ослабленного возбуждения.
4. Величины потерь мощности на всех элементах цепи при полном и всех ступенях ослабленного возбуждения.
5. Все расчеты свести в таблицу, составленную по форме табл. 5.
6. Величину противо-ЭДС якорной обмотки двигателя в режиме полного возбуждения двигателя.
7. Величину потерь в двигателе в часовом режиме, сравнить их с вычисленными потерями и объяснить разницу.
8. Описать назначение компенсационной обмотки, индуктивного шунта, ослабления возбуждения тяговых двигателей.
Примечание:
Все расчеты выполнить применительно к току якоря тягового двигателя часового режима
I
яч = 480 А. Пример процесса регулирования скорости движения с помощью ослабления возбуждения показан на рис. 6.


Задача № 113
Дано:
1. Упрощенная схема соединения тяговых двигателей ТЛ-2К1 электровоза постоянного тока ВЛ10 и цепей ослабления возбуждения (рис. 8).
2. Сопротивление обмоток главных полюсов одного двигателя Rгп1 = Rгп2 = 0,025 Ом.
3. Сопротивление обмоток добавочных полюсов и компенсационной обмотки Rдп,ко = 0,0356 Ом.
4. Сопротивление обмотки якоря Rя = 0,0317 Ом.
5. Сопротивление (активное) индуктивного шунта Rиш = 0,0236 Ом.
6. Сопротивление резисторов R1 = 0,089 Ом, R2 =0,0233 Ом, R3 - 0,0097 Ом, R4 = 0,0044 Ом.
7. Напряжение на зажимах двигателя Uд = 1500 В.
8. Ток часового режима двигателя Iч = 480 А.
9. Мощность двигателя в часовом режиме Рч = 670 кВт.
10. Коэффициент полезного действия двигателя в часовом режиме ηч = 0,931.
Определить:
1. Коэффициенты ослабления возбуждения β1, β2, β3, β4.
2. Величины токов, протекающих по всем элементам цепи при полном и всех ступенях ослабленного возбуждения.
3. Величины падений напряжений на всех элементах цепи при полном и всех ступенях ослабленного возбуждения.
4. Величины потерь мощности на всех элементах цепи при полном и всех ступенях ослабленного возбуждения.
5. Все расчеты свести в таблицу, составленную по форме табл. 5.
6. Величину противо-ЭДС якорной обмотки двигателя в режиме полного возбуждения двигателя.
7. Величину потерь в двигателе в часовом режиме, сравнить их с вычисленными потерями и объяснить разницу.
8. Описать назначение компенсационной обмотки, индуктивного шунта, ослабления возбуждения тяговых двигателей.
Примечание:
Все расчеты выполнить применительно к току якоря тягового двигателя часового режима
I
яч = 480 А. Пример процесса регулирования скорости движения с помощью ослабления возбуждения показан на рис. 6.
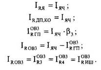
Задача № 114
Дано:
1. Упрощенная схема соединения тяговых двигателей AL4846dT электровозов постоянного тока ЧС2Т
, ЧСТ и цепей ослабления возбуждения (рис.9).
2. Сопротивление обмоток главных полюсов одного двигателя Rгп1 = Rгп2 = 0,0232 Ом.
3. Сопротивление обмоток дополнительных полюсов Rдп = 0,0127 Ом.
4. Сопротивление обмотки якоря Rя = 0,032 Ом.
5. Сопротивление (активное) индуктивного шунта Rиш = 0,0241 Ом.
6. Коэффициент ослабления возбуждения β1 = 0,85, β2= 0,70, β3 = 0,575, β4 = 0,475, β4 = 0,40.
7. Ток двигателя часового режима IЧ
= 545 А.
8. Мощность двигателя в часовом режиме РЧ
= 770 кВт.
9. Коэффициент полезного действия двигателя в часовом режиме ηч = 94,3%.
Определить:
1. Величину сопротивлений резисторов R1, R2, R3, R4.
2. Величины токов, протекающих по всем элементам цепи при полном и всех ступенях ослабленного возбуждения.
3. Величины падений напряжений на всех элементах цепи при полном и всех ступенях ослабленного возбуждения.
4. Величины потерь мощности на всех элементах цепи при полном и всех ступенях ослабленного возбуждения.
5. Все расчеты свести в таблицу, составленную по форме табл. 6.
6. Величину противо-ЭДС якорной обмотки двигателя в режиме полного возбуждения.
7. Величину потерь в двигателе в часовом режиме, сравнить их с вычисленными потерями и объяснить разницу.
8. Описать назначение индуктивного шунта и ослабления возбуждения тяговых двигателей.
Примечание:
Все расчеты выполнить применительно к току якоря часового режима
I
яч - 545 А. Пример процесса регулирования скорости с помощью ослабления возбуждения показан на рис. 6.


Задача
№
115
Дано:
1. Упрощенная схема соединения тяговых двигателей AL4846dT электровозов постоянного тока ЧС2Т
, ЧСТ и цепей ослабления возбуждения (рис.9).
2. Сопротивление обмоток главных полюсов одного двигателя Rгп1 = Rгп2 = 0,0232 Ом.
3. Сопротивление обмоток дополнительных полюсов Rдп = 0,0127 Ом.
4. Сопротивление обмотки якоря Rя = 0,032 Ом.
5. Сопротивление (активное) индуктивного шунта Rиш = 0,0241 Ом.
6. Сопротивление резисторов ослабления возбуждения R1 = 0,1546 Ом, R2 =0,04552 Ом, R3 = 0,03188 Ом, R4 = 0,00683 Ом.
7. Ток двигателя часового режима Iч - 545 А.
8. Мощность двигателя в часовом режиме Рч - 770 кВт.
9. Коэффициент полезного действия двигателя в часовом режиме ηч = 94,3%.
Определить:
1. Величину сопротивлений резисторов R1, R2, R3, R4.
2. Величины токов, протекающих по всем элементам цепи при полном и всех ступенях ослабленного возбуждения.
3. Величины падений напряжений на всех элементах цепи при полном и всех ступенях ослабленного возбуждения.
4. Величины потерь мощности на всех элементах цепи при полном и всех ступенях ослабленного возбуждения.
5. Все расчеты свести в таблицу, составленную по форме табл. 6.
6. Величину противо-ЭДС якорной обмотки двигателя в режиме полного возбуждения.
7. Величину потерь в двигателе в часовом режиме, сравнить их с вычисленными потерями и объяснить разницу.
8. Описать назначение индуктивного шунта и ослабления возбуждения тяговых двигателей.
Примечание:
Все расчеты выполнить применительно к току якоря часового режима
I
яч = 545 А. Пример процесса регулирования скорости с помощью ослабления возбуждения показан на рис. 6.
Задача № 116
Дано:
1. Упрощенная схема соединения тяговых двигателей ДТ-003 электропоезда постоянного тока ЭР2Р и цепей ослабления возбуждения (рис. 10).
2. Сопротивление катушек главных полюсов одного двигателя Rгп1 = Rгп2 = 0,118 Ом.
3. Сопротивление (активное) индуктивного шунта Rиiii = 0,0306 Ом.
4. Коэффициент ослабления возбуждения β1 = 0,595, β2 = 0,415, β3 = 0,0323, β4 = 0,265, β5 = 0,210, β6 = 0,180.
5. Номинальный ток двигателя Iд = 545 А.
Определить:
1. Величину сопротивлений резисторов R1, R2, R3, R4,.R5, R6.
2. Величины токов, протекающих по всем элементам цепи на всех режимах работы двигателей от ПВ до ОВ6 (β6).
3. Величины падений напряжений на всех элементах цепи на всех режимах работы двигателей от ПВ до ОВ6 (β6).
4. Потери мощности на всех элементах цепи на всех режимах работы двигателей от ПВ до ОВ6 (β6).
5. Все расчеты свести в таблицу, выполненную по форме табл. 7.
6. Описать назначение индуктивного шунта и ослабления возбуждения тяговых двигателей.
Примечание:
Все расчеты выполнить при токе якоря
I
Я
= 345 А. Пример процесса регулирования скорости с помощью ослабления возбуждения показан на рис. 6.


Задача № 117
Дано:
1. Упрощенная схема соединения тяговых двигателей 1ДТ-003 электропоезда постоянного тока ЭР2Р
и цепей ослабления возбуждения (рис. 10).
2. Сопротивление обмотки главных полюсов одного двигателя Rгп1 = Rгп2 = 0,118 Ом.
3. Сопротивление (активное) индуктивного шунта Rиш = 0,0306 Ом.
4. Сопротивление резисторов ослабления возбуждения R1 = 0,35859 Ом, R2
=0,10965 Ом, R3
= 0,05501 Ом, R4 = 0,0447 Ом, R5
= 0,02186 Ом, R6 =0,07301 Ом.
5. Номинальный ток двигателя Iд = 345 А Определить:
1. Коэффициенты регулирования возбуждения R1, R2, R3, R4,.R5, R6.
2. Величины токов, протекающих по всем элементам цепи
на всех режимах работы двигателей от ПВ до ОВ6 (β6)..
3. Величины падений напряжений на всех элементах цепи на всех режимах работы двигателей от ПВ до ОВ6 (β6).
4. Потери мощности на всех элементах цепи на всех режимах работы двигателей от ПВ до ОВ6 (β6).
5. Все расчеты свести в таблицу, выполненную по форме табл. 7.
6. Описать назначение индуктивного шунта и ослабления возбуждения тяговых двигателей.
Примечание:
Все расчеты выполнить при токе якоря 1Я
= 345 А. Пример процесса регулирования скорости с помощью ослабления возбуждения показан на рис. 6.
МЕТОДИЧЕСКИЕ УКАЗАНИЯ
по выполнению вопросов и задач контрольной работы №1
Контрольная работа выполняется в форме ответов на поставленные вопросы и носит описательный характер. В данной работе студент должен изучить материал по учебнику [1, гл. 1,2,3 и 4]. После чего приступить к ответам на вопросы. Ответы на вопросы имеются в учебнике в указанных главах. Объем учебника не позволяет подробно осветить материал по рассматриваемым вопросам, поэтому для более глубокого и расширенного ответа можно воспользоваться дополнительной литературой, название которой приводится в конце брошюры.
Вопросы №№ 54-103
Ответы на вопросы №№ 54 -103 необходимо выполнять после изучения соответствующего материала по учебнику [1], в качестве дополнительной литературы можно использовать инструкционные книги по сериям электровозов и электропоездов [2-8].
Решение задач №№ 104-117 построено на знании основных законов электротехники.
Задачи №№ 104-117
Задача 104.
Напряжение в контактной сети, при котором происходит включение и отключение реле

Для определения падения напряжения на элементах цепи используют найденное напряжение включения РПН и ток цепи при этом напряжении

При ответе на последнюю часть вопроса надо ознакомиться с электрической схемой любого конкретного локомотива и дать ответ с применением выкопировки элементов схем.
Пример:
электровозы ВЛ10, ВЛ10у
.
При включении реле повышенного напряжения 64-1, при работе электровоза в режиме рекуперации на параллельном соединении тяговых двигателей, подает напряжение на катушку реле времени 134-1, которая с выдержкой времени 10-15 отключает БВ-1, размыкающим контактором промежуточного реле 279-1 и размыкает цепь включения контактора Т6-1, который в режиме рекуперации введет резистор г14 — т15 в цепь возбуждения генераторов преобразователей, а в режиме ослабленного возбуждения производит переход на полное возбуждение.
При этом надо изобразить фрагменты схем, в которых участвуют контакт указанного реле.
Задача 105.
Руководствуйтесь указанием к решению задачи №104.
Задача 106.
Если локомотив не боксует, то токи двигателей должны быть равны. Разность токов может определяться разностью диаметров колесных пар, которая регламентируется правилами ремонта. В случае равенства токов равны и падения напряжения в обмотках главных полюсов
Если забоксовала одна из колесных пар локомотива, например №2, то увеличивается противо-ЭДС якорной обмотки двигателя №2, снижается величина тока двигателя и падение напряжения на обмотках главных полюсов.

Возникает разность потенциалов 'между точками подключения катушки реле боксования. Реле срабатывает в том случае, если величина разности напряжений достигнет такой величины, при которой по катушке реле потечет ток достаточный для притяжения якоря

Падение напряжения на катушках главных полюсов двигателя №2 в момент срабатывания РБ.

Ток, протекающий по цепи катушек главных полюсов боксующего двигателя.

При включении РБ (электровоз ВЛ80) включается реле 269 и клапаны 241 и 242, что обеспечивает импульсную подсыпку теска под колесные пары для прекращения боксования.
Задача
107
. Катушка реле боксования включена в мост, подсоединенный к точкам, находящимся между двумя последовательно соединенными тяговыми двигателями и между двумя резисторами. При одинаковых сопротивлениях резисторов напряжение в точке А равно половине подведенного к якорным обмоткам двигателей напряжения. Если напряжения на этих обмотках равны (колесные пары не боксуют и имеют одинаковый диаметр), то точка Б также находится под этим напряжением.
Если забоксует одна из колесных пар, например, №2, ЭДС якорной обмотки этого двигателя возрастет (так как она пропорциональна магнитному потоку, одинаковому у обоих двигателей, и частоте вращения Е = СЕ
η Ф) и следовательно возрастет потенциал точки Б.
Разность падений напряжения на якорных обмотках в момент срабатывания РБ

При ответе на вторую часть задачи надо использовать схему конкретного локомотива.
Пример:
электровоз ВЛ10.
На электровозах до № 1121 выпуска НЭ-ВЗ при включении реле подается напряжение к сигнальным лампам РБ.
На электровозах более позднего выпуска установлены датчики блокирования, в случае срабатывания которых происходит следующее:
- подается напряжение к сигнальным лампам противобоксовочной защиты ПБЗ;
- создается цепь включения контакторов ослабления возбуждения в режиме тяги на последовательном соединении тяговых двигателей;
- размыкается цепь включения контакторов ослабления возбуждения в режиме тяги;
- в режиме рекуперации при юзе в цепь возбуждения генераторов преобразователей вводится резистор, а при ослабленном возбуждении автоматически переключаются цепи тяговых двигателей на полное возбуждение.
Приведенное выше описание действия реле боксования или датчика боксования надо сопровождать поясняющими фрагментами схем.
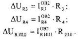
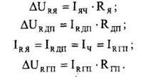
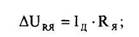
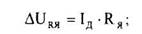
Задача 108.

Из данного выражения можно определить RИШ

2. Не учитывая некоторое замедление нарастания тока при включении в цепь индуктивности, можно считать, что ток двигателя при включении контактора 1, т.е. при переходе на первую ступень ослабления возбуждения β1 станет равным

3. Ток, протекающий по цепи, шунтирующей обмотки возбуждения:

Падение напряжения на каждом элементе цепи равно произведению тока, протекающего по данному элементу умноженному на величину сопротивления данного элемента.
Надо быть внимательным при выполнении арифметических действий, точность вычислений не менее двух знаков после запятой. Правильность и точность вычислений легко делается простой проверкой, а именно, сумма падений напряжений на обмотках главных полюсов должна быть равна сумме падений напряжений на шунтирующей цепи.

5. Величины падений напряжений на всех элементах цепи:

6. Потери мощности на всех элементах цепи на всех режимах:

7. Сумма противо-ЭДС якорных обмоток и падений напряжений на всех элементах последовательной цепи равна напряжению контактной сети:

Из данного выражения определяется Е.
8. Все расчеты свести в таблицу, составленную по форме табл. 3.
9. Ответ на данный вопрос выполнить самостоятельно, пояснения к процессу регулирования скорости представлен на электротяговой характеристике (рис. 6).
Задача № 109.
1. Коэффициент регулирования можно определить по формулам:

2. Порядок решения пунктов 2-9 задачи смотрите в пояснениях к задаче № 108.
Задача № 110.
- Определение величины сопротивления постоянного ослабления возбуждения:

Определение сопротивления индуктивного шунта:

величина сопротивления третьей ступени ослабления возбуждения.


Определение величин сопротивлений резисторов R1 и R2
:


Примечание. Величину Rno рассчитывать с точностью до 4-х знаков после запятой, R1,
R2
, Rиш - не менее 5-ти знаков после запятой.
2. Определение величин токов
2.1. Нормальное поле, т.е. параллельно обмотки возбуждения включено только Rпо:

2.2. В режиме первой ступени ослабления возбуждения ОВ1:

2.3. В режиме второй ступени ослабления возбуждения ОВ2:

2.4. В режиме третьей ступени ослабления возбуждения:

3. Определение величин падений напряжений на всех элементах цепи на всех режимах.
3.1. Режим нормального поля:

3.2. Режим первой ступени ослабления возбуждения ОВ1

3.3. Режим второй ступени ослабления возбуждения ОВ2

3.4 Режим третьей ступени ослабления возбуждения ОВЗ


4. Определение величин потерь мощности на всех элементах цепи на всех режимах.
4.1. Режим нормального поля:

4.2. Режим первой ступени ослабления возбуждения ОВ1

4.3. Режим второй ступени ослабления возбуждения ОВ2

4.4. Режим третьей ступени ослабления возбуждения ОВЗ

5. Все расчеты свести в таблицу, составленную по форме табл. 4.
6. Сравнение потерь в двигателе.
6.1. Мощность, потребляемая двигателем из сети

6.2. Потери в двигателе:

6.3. Потери, которые были рассчитаны в задаче в режиме нормального поля и часового тока:

Объяснить разницу величин. 7. На данный пункт задачи ответить самостоятельно.
Задача № 111.
1. Определение величин ослабления возбуждения:


2. Решение пунктов задачи 2-7 дано в методических указаниях к задаче № 110.
Задача № 112.
1. Определение величин сопротивлений резисторов R1, R2, R3, R4

Аналогично выводятся другие формулы.


2. Вычисление величин токов
2.1, Режим полного возбуждения ПВ

2.2. Режим первой ступени ослабления возбуждения ОВ1
(включен контактор 1)

2.3. Режим второй ступени ослабления возбуждения ОВ2
(включены контакторы 1, 2).

2.4. Режим третьей ступени ослабления возбуждения ОВЗ
(включены контакторы 1, 2, 3)

2.5. Режим четвертой ступени ослабления возбуждения ОВ4
(включены контакторы 1, 2, 3, 4).

3. Вычисление падений напряжений.
3.1. Режим полного возбуждения

3.2. Режим первой ступени ослабления возбуждения ОВ1

3.3. Режим второй ступени ослабления возбуждения ОВ2


3.4. Режим третьей ступени ослабления возбуждения ОВЗ

3.5. Режим четвертой ступени ослабления возбуждения ОВ4

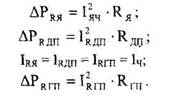
4. Расчет потерь мощности
4.1. Режим полного возбуждения ПВ

4.2. Режим первой ступени ослабления возбуждения ОВ1


4.3. Режим второй ступени ослабления возбуждения ОВ2

4.4. Режим третьей ступени ослабления возбуждения ОВЗ

4.5. Режим четвертой ступени ослабления возбуждения ОВ4


5. Все расчеты свести в таблицу, составленную по форме табл.
5.6. Расчет величины противо-ЭДС обмоток якоря

7. Расчет потерь в двигателе
7.1. мощность потребления двигателем из сети

7.2. Потери в двигателе

7.3. Потери, которые были рассчитаны в задаче

Объяснить разницу величин.
8. Ответ на заданный пункт задачи дать самостоятельно.
Задача № 113.
1. Вычисление коэффициентов ослабления возбуждения


2. Решение пунктов 2-8 смотрите в методических указаниях к задаче № 112.
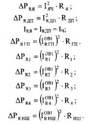
Задача № 114.
I. Определение величин резисторов R1, R2, R3, R4.


2. Вычисление токов, протекающих по всем элементам цепи. 2.1. При полном возбуждении

2.2. В режиме первой ступени ослабления возбуждения ОВ1
(включен контактор 1)

2.3. Режим второй ступени ослабления возбуждения ОВ2
(включены контакторы 1, 2)


2.4. Режим третьей ступени ослабления возбуждения ОВЗ
(включены контакторы 1, 3)

2.5. Режим четвертой ступени ослабления возбуждения ОВ4
(включены контакторы 1, 3, 4)

Шунтирующая цепь на четвертой ступени при включении контакторов 3, 4 состоит из параллельно включенных резисторов R2
, R3 последовательно с R4, Кит-
Токи, протекающие по резисторам R2
и R3,
будут пропорциональны их проводимостям

2.6. Режим пятой ступени ослабления возбуждения ОВ5
(включены контакторы 1,2,4)

3. Расчет величин падений напряжений
3.1. Режим полного возбуждения

3.2. Режим первой ступени ослабления возбуждения ОВ1

3.3. Режим второй ступени ослабления возбуждения ОВ2


3.4. Режим третьей ступени ослабления возбуждения ОВ3

3.5. Режим четвертой ступени ослабления возбуждения ОВ4

3.6. Режим пятой ступени ослабления возбуждения ОВ5


3. Расчет величин потерь мощности 4.1. Режим полного возбуждения ПВ

4.2. Режим первой ступени ослабления возбуждения ОВ1

4.3. Режим второй ступени ослабления возбуждения ОВ2


4.4. Режим третьей ступени ослабления возбуждения ОВЗ

4.5. Режим четвертой ступени ослабления возбуждения ОВ4

4.6. Режим пятой ступени ослабления возбуждения ОВ5


5. Все расчеты свести в таблицу, выполненную по форме табл. 6.
6. Расчет величины противо-ЭДС обмотки якоря

7. Расчет потерь в двигателе
7.1. Мощность, потребляемая двигателем из сети

7.2. Потери в двигателе

7.4. Потери, которые были рассчитаны в задаче

8. Ответ на данный пункт дать самостоятельно.
Задач» № 115.
1. Определение величин β1, β2, β3, β4., β5.


2. Ответы на пункты 2-8 смотрите в методических указаниях к задаче № 114.
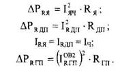
Задача № 116.
1.
Определение величин резисторов



2. Определение токов, протекающих по всем элементам цепи 2.1. Режим полного возбуждения ПВ

2.2. Режим первой ступени ослабления возбуждения ОВ1
(включен контактор 1)

2.3. Режим второй ступени ослабления возбуждения ОВ2
(включены контакторы 1,2).


2.4. Режим третьей ступени ослабления возбуждения ОВЗ (включены контакторы 1,2, 3)

2.4. Режим четвертой ступени ослабления возбуждения ОВ4
(включены контакторы 1, 2, 3, 4).

2.5. Режим пятой ступени ослабления возбуждения ОВ5
(включены контакторы 1, 2, 3, 4, 5)

2.7. Режим шестой ступени ослабления возбуждения ОВ6
(включены контакторы 1, 2, 3, 4, 5, 6)

3. Вычисление падений напряжений. 3.1. Режим полного возбуждения


3.2. Режим первой ступени ослабления возбуждения ОВ1

3.3. Режим второй ступени ослабления возбуждения ОВ2

3.4. Режим третьей ступени ослабления возбуждения ОВЗ


3.5. Режим четвертой ступени ослабления возбуждения ОВ4

3.6. Режим пятой ступени ослабления возбуждения ОВ5

3.7. Режим шестой ступени ослабления возбуждения ОВ6


4. Расчет потерь мощности
4.1. Режим полного возбуждения ПВ

4.2. Режим первой ступени ослабления возбуждения ОВ1

4.3. Режим второй ступени ослабления возбуждения ОВ2


4.4. Режим третьей ступени ослабления возбуждения ОВЗ

4.5. Режим четвертой ступени ослабления возбуждения ОВ4


4.6. Режим пятой ступени ослабления возбуждения ОВ5

4,7. Режим шестой ступени ослабления возбуждения ОВ6

5. Все расчеты свести в таблицу, составленную по форме табл. 7.
6. На данный вопрос задачи ответить самостоятельно.
Задача № 117.
1. Расчет ступеней ослабления возбуждения


2. Решение пунктов 2-6 смотрите в методических указаниях к задаче № 116.
ЗАДАНИЕ НА КОНТРОЛЬНУЮ РАБОТУ № 2
Задание на контрольную работу составлено в 50 вариантах. Номер варианта определяется двумя последними цифрами шифра студента по табл. 2
Таблица 2
Таблица вариантов контрольной работы № 2
| Две последние цифры шифра
|
Номер варианта
|
Номера вопросов и задач
|
|
Две последние цифры шифра
|
Номер варианта
|
Номера вопросов и задач
|
| 01
|
51
|
1
|
1,13,35,56
|
|
26
|
76
|
26
|
4,30,52,73
|
| 02
|
52
|
2
|
2, 14,36,57
|
|
27
|
77
|
27
|
5,29,51,72
|
| 03
|
53
|
3
|
3,15,37,58
|
|
28
|
78
|
28
|
6,28,50,71
|
| 04
|
54
|
4
|
4,16,38,59
|
|
29
|
79
|
29
|
7,27,49,70
|
| 05
|
55
|
5
|
5,17,39,60
|
|
30
|
80
|
30
|
8,26,48,69
|
| 06
|
56
|
6
|
6,18,40,61
|
|
31
|
81
|
31
|
9,25,47,68
|
| 07
|
57
|
7
|
7,19,41,62
|
|
32
|
82
|
32
|
10,24,46,67
|
| 08
|
58
|
8
|
8,20,42,63
|
|
33
|
83
|
33
|
11,23,45,66
|
| 09
|
59
|
9
|
9,21,43,64
|
|
34
|
84
|
34
|
12,22,44,55
|
| 10
|
60
|
10
|
10,22,44,65
|
|
35
|
85
|
35
|
11,21,43,64
|
| 11
|
61
|
11
|
11,23,45,66
|
|
36
|
86
|
36
|
10,20,42,63
|
| 12
|
62
|
12
|
12,24,46,67
|
|
37
|
87
|
37
|
9,19,41,62
|
| 13
|
63
|
13
|
11,25,47,68
|
|
38
|
88
|
38
|
8,18,40,61
|
| 14
|
64
|
14
|
10,26,48,69
|
|
39
|
89
|
39
|
7,17,39,60
|
| 15
|
65
|
15
|
9,27,49,70,
|
|
40
|
90
|
40
|
6,16,38,59
|
| 16
|
66
|
16
|
8,28,50,71
|
|
41
|
91
|
41
|
5,15,37,58
|
| 17
|
67
|
17
|
7,29,51,72
|
|
42
|
92
|
42
|
4,14,36,57
|
| 18
|
68
|
18
|
6,30,52,73
|
|
43
|
93
|
43
|
3,13,34,56
|
| 19
|
69
|
19
|
5,31,53,74
|
|
44
|
94
|
44
|
2,14,35,57
|
| 20
|
70
|
20
|
4,32,54,75
|
|
45
|
95
|
45
|
1,15,36,58,
|
| 21
|
71
|
21
|
3,33,55,76
|
|
46
|
96
|
46
|
2,16,37,59,
|
| 22
|
72
|
22
|
2,34,56,77
|
|
47
|
97
|
47
|
3,17,38,60
|
| 23
|
73
|
23
|
1,33,55,76
|
|
48
|
98
|
48
|
4,18,39,61
|
| 24
|
74
|
24
|
2,32,54,75
|
|
49
|
99
|
49
|
5,19,40,62
|
| 25
|
75
|
25
|
3,31,53,74
|
|
50
|
00
|
50
|
6,20,41,63
|
Вопросы контрольной работы № 2
Вопросы
№№ 1-12
Начертите простейшую электрическую схему управления, которая с помощью одной кнопки и блокировок обеспечивала бы заданную последовательность переключения контакторов.
Исходные данные приведены в табл. 3.
Таблица 3

Вопросы №№ 13-77
13. Приведите классификацию систем управления ЭПС, опишите контактные системы управления, изобразите принципиальные схемы.
14. Приведите классификацию систем управления ЭПС, опишите бесконтактные системы управления, изобразите принципиальные схемы.
15. Приведите классификацию цепей ЭПС и требования, предъявляемые к электрическим схемам. Изобразите поясняющие схемы.
16. Перечислите все способы регулирования частоты вращения якорей тяговых двигателей постоянного тока с приведением и анализом формул частот вращения. Укажите, на каких современных типах ЭПС они применяются. Укажите аппараты, применяемые на ЭПС для осуществления указанных способов.
17. Перечислите способы перехода с одного соединения тяговых двигателей на другое. Укажите на каких типах ЭПС они применяются. Приведите поясняющие схемы.
18. Опишите способ перехода на другое соединение тяговых двигателей шунтированием их резистором. Укажите на каких типах ЭПС они применяются. Приведите поясняющие рисунки.
19. Опишите переход на другое соединение тяговых двигателей методом моста. Укажите на каких типах ЭПС он применяется. Приведите поясняющие схемы.
20. Опишите переход на другое соединение тяговых двигателей по схеме с диодами. Укажите на каких типах ЭПС он применяется. Приведите поясняющие схемы.
21. Опишите импульсное регулирование частоты вращения якорей тяговых двигателей. Приведите поясняющие схемы.
22. Опишите переход по схеме с активным сопротивлением при регулировании напряжения на ЭПС переменного тока. Укажите на каких типах он применяется. Приведите поясняющие схемы.
23. Опишите переход по схеме с переходным реактором при регулировании напряжения на ЭПС переменного тока. Укажите на каких типах он применяется. Приведите поясняющие схемы.
24. Опишите переход по схеме с полупроводниковыми вентилями при регулировании напряжения на ЭПС переменного тока. Укажите на каких типах он применяется. Приведите поясняющие схемы.
25. Опишите ступенчатое регулирование напряжения на тяговых двигателях на стороне низшего напряжения. Приведите примеры применения и поясняющие схемы.
26. Опишите процесс регулирования напряжения на тяговых двигателях электровозов ВЛ80т
. приведите поясняющие схемы.
27. Опишите процесс регулирования напряжения на тяговых двигателях электропоездов ЭР9М. приведите поясняющие схемы.
28. Опишите процесс регулирования напряжения на тяговых двигателя электровозов ЧС4. Приведите поясняющие схемы.
29. Опишите процесс регулирования напряжения на тяговых двигателях электровозов BЛ80Р
. приведите поясняющие схемы.
30. Опишите процесс регулирования частоты вращения реакторов тяговых двигателей электровозов BЛ86Ф
. Приведите поясняющие схемы.
31. Опишите процесс регулирования частоты вращения роторов тяговых двигателей электровозов ВЛ80в
. Приведите поясняющие схемы.
32. Опишите сущность электрического торможения ЭПС, условия его осуществления, приведите примеры.
33. Опишите реостатное торможение с самовозбуждением тяговых двигателей. Приведите поясняющие схемы.
34. Опишите реостатное торможение с независимым возбуждением тяговых двигателей электровозов ЧС2Т
, ВЛ80т
. Приведите принципиальные схемы.
35. Опишите рекуперативное торможение с возбудителями встречного смешанного возбуждения. Приведите принципиальные схемы.
36. Опишите рекуперативно-реостатное торможение на ЭПС постоянного тока. Приведите принципиальные схемы.
37. Опишите защиту электрических машин и аппаратов в тяговом режиме. Приведите поясняющие схемы.
38. Опишите защиту полупроводниковых преобразователей от коротких замыканий. Приведите поясняющие схемы.
39. Опишите защиту полупроводниковых преобразовательных установок ЭПС при пробое и обрыве цепи одиночных диодов. Приведите поясняющие схемы.
40. Опишите защиту оборудования ЭПС при нарушении режимов работы в режиме электрического торможения. Приведите поясняющие схемы.
41. Опишите способы защиты электровозов переменного тока от боксования колесных пар. Приведите поясняющие схемы.
42. Опишите способы защиты электровозов постоянного тока от боксования и юза колесных пар. Приведите поясняющие схемы.
43. Опишите построение схем пусковых реостатов для двух соединений тяговых двигателей.
44. Опишите построение схем пусковых реостатов для трех соединений тяговых двигателей.
45. Опишите схему силовой цепи электропривода постоянного тока (любой серии) при последовательном соединении тяговых двигателей в тяговом режиме. Приведите поясняющие схемы.
46. Опишите схему силовой цепи электропривода постоянного тока (любой серии) при последовательно-параллельном соединении тяговых двигателей в тяговом режиме. Приведите поясняющие схемы.
47. Опишите схему силовой цепи электровоза постоянного тока (любой серии) при параллельном соединении тяговых двигателей в тяговом режиме. Приведите поясняющие схемы.
48. Опишите схему силовой цепи электровоза постоянного тока (любой серии) при последовательном соединении тяговых двигателей в режиме электродинамического торможения (рекуперативного или реостатного). Приведите поясняющие схемы.
49. Опишите схему силовой цепи электровоза постоянного тока (любой серии) при последовательно-параллельном соединении тяговых двигателей в режиме электродинамического торможения (рекуперативного или реостатного). Приведите поясняющие схемы.
50. Опишите схему силовой цепи электровоза постоянного тока (любой серии) при параллельном соединении тяговых двигателей в режиме электродинамического торможения (рекуперативного или реостатного). Приведите поясняющие схемы.
51. Опишите схему силовой цепи моторного вагона электропоезда постоянного тока (любой серии) в режиме тяги. Приведите поясняющие рисунки.
52. Опишите схему силовой цепи моторного вагона электропоезда постоянного тока (любой серии) в режиме электрического торможения. Приведите поясняющие рисунки.
53. Опишите построение схем силовых цепей переменного тока на примере электровоза любой серии. Приведите поясняющие схемы.
54. Опишите схему силовых цепей электровоза переменного тока любой серии. Приведите поясняющие схемы.
55. Опишите действие схемы силовых цепей электровоза переменного тока любой серии в тяговом режиме. Приведите поясняющие схемы.
56. Опишите действие схемы силовых цепей электровоза переменного тока любой серии в режиме рекуперативного торможения. Приведите поясняющие схемы.
57. Опишите действие схемы силовых цепей электровоза переменного тока ВЛ86 . Приведите поясняющие схемы.
58. Опишите действие схемы силовых цепей моторного вагона электропоезда переменного тока любой серии. Приведите поясняющие схемы.
59. Опишите построение узла схемы цепей управления реверсорами, тормозными переключателями и 1-ой позиции. Приведите поясняющие схемы.
60. Контактные блокировки прямых и обратных переходов в схемах электровозов с индивидуально-групповой системой управления. Приведите поясняющие схемы.
61. Контактные блокировки в схемах электровозов с групповой системой управления. Приведите поясняющие схемы.
62. Контактные блокировки в схемах электровозов для обеспечения работы по системе многих единиц. Приведите поясняющие схемы.
63. Действие схемы цепи управления электровоза постоянного тока (любой серии) в тяговом режиме. Приведите поясняющие схемы.
64. Действие схемы цепи управления электровоза постоянного тока (любой серии) в рекуперативном режиме. Приведите поясняющие схемы.
65. Действие схемы цепи управления электропоезда постоянного тока (любой серии) в тяговом режиме. Приведите поясняющие схемы.
66. Действие схемы цепи управления электропоезда постоянного тока в режиме торможения. Приведите поясняющие схемы.
67. Действие схемы цепи управления электровоза переменного тока в тяговом режиме при автоматическом регулировании. Приведите поясняющие схемы..
68. Действие схемы управления электровоза переменного тока в режиме рекуперативного торможения при автоматическом регулировании. Приведите поясняющие схемы.
69. Действие схемы цепи управления электровоза переменного тока при ручном управлении в режиме тяги. Приведите поясняющие схемы.
70. Действие схемы цепи управления электровоза переменного тока при ручном управлении в режиме рекуперативного торможения. Приведите поясняющие схемы.
71. Действие схемы цепи управления электропоезда переменного тока в режиме тяги. Приведите поясняющие схемы.
72. Опишите вспомогательные высоковольтные цепи электровоза постоянного тока (любой серии). Приведите поясняющие схемы.
73. Опишите высоковольтные вспомогательные цепи электровоза переменного тока (любой серии). Приведите поясняющие схемы.
74. Опишите высоковольтные цепи машин и приборов отопления электропоезда постоянного тока (любой серии). Приведите поясняющие схемы.
75. Опишите действие схемы цепи управления токоприемниками на электровозе (любой серии). Приведите поясняющие схемы.
76. Опишите действие схемы цепи управления главным выключателем на электровозе переменного тока (любой серии). Приведите поясняющие схемы.
77. Опишите действие схемы цепи управления быстродействующим выключателем на электровозе постоянного тока (любой серии). Приведите поясняющие схемы.
МЕТОДИЧЕСКИЕ УКАЗАНИЯ
по выполнению контрольной работы № 2
При ответе на вопросы 1-12 следует иметь ввиду, что запись последовательности переключения контакторов приведена в сокращенном виде.
Эта запись, отнесенная, например, к вопросу 11, означает, что после нажатия кнопки включается контактор 1 (получает питание катушка его привода); вследствие срабатывания (замыкания) его блок-контактов происходит одновременное включение контакторов 2 и 3; после этого независимо друг от друга происходит включение контактора 4 и выключение контактора 6; выключение контактора 5 происходит после включения контактора 4. После включения контактора 6, происходит включение контактора 7 и далее выключение контактора 8 и т.д. Таким образом, если в задании указано, что какой-то контактор в ходе переключений должен выключиться, то в разрабатываемой схеме нужно создать дополнительную цепь питания, не зависящую от положения кнопки, т.е. в рассмотренном варианте по такой цепи питается током катушки контакторов 5, 6, 8, 10.
Ответы на вопросы №№ 13-77 необходимо выполнять после изучения соответствующего материала по учебнику [1], в качестве дополнительной литературы использовать [2], [3], [4], [5], [6], [7], [8].
ПЕРЕЧЕНЬ ЛАБОРАТОРНЫХ РАБОТ
Лабораторная работа № 1
Исследование конструкции и работы индивидуальных контакторов.
Лабораторная работа № 2
Исследование конструкции и работы реверсов.
Лабораторная работа № 3
Исследование конструкции и работы силовых двухпозиционных переключателей.
Лабораторная работа № 4
Исследование конструкции и работы многопозиционного группового переключателя электровоза постоянного тока.
Лабораторная работа № 5
Исследование конструкции и работы многопозиционного группового переключателя электровоза переменного тока.
Лабораторная работа № 6
Исследование конструкции, испытание и регулировка токоприемника.
Лабораторная работа №
7
Исследование конструкции и схемы управления контроллера электропоезда.
Лабораторная работа № 8
Исследование конструкции и работы быстродействующих выключателей БВП-5, БВП-105.
Лабораторная работа № 9
Исследование конструкции и работы быстродействующих выключателей ВБ-021 и 12НС.
Лабораторная работа №10
Исследование конструкции и работы главного выключателя ВОВ-25-4.
Лабораторная работа №11
Исследование конструкции и работы защитных реле.
Лабораторная работа № 12
Исследование конструкции контроллеров машиниста.
Лабораторная работа № 13
Исследование конструкции и работы промежуточного контроллера KND.
Лабораторная работа № 14
Исследование конструкции и работы регуляторов напряжения.
Лабораторная работа №15
Исследование схем управления пневмодвигательным приводом электровозов ЧС.
Лабораторная работа №16
Исследование конструкции и работы импульсного регулятора напряжения.
Лабораторная работа №17
Исследование конструкции и работы статического возбудителя электропоезда ЭР2Т.
Лабораторная работа №18
Исследование работы схемы электровоза переменного тока
(4 часа).
Лабораторная работа №19
Исследование работы силовой схемы электропоезда переменного тока.
ВОПРОСЫ ДЛЯ САМОПРОВЕРКИ ПРИ
ПОДГОТОВКЕ К ЭКЗАМЕНУ НА
V
КУРСЕ
1. Требования, предъявляемые к контактам электрических аппаратов, материалы контактов, их свойства.
2. Способы уменьшения износа контактов электрических аппаратов.
3. Способы дугогашения в электрических аппаратах; конструкция и принцип действия дугогасительных устройств.
4. Приводы контактных систем; их классификация и сравнение.
5. Классификация электрических аппаратов; перечень аппаратов, входящих в основные группы (пускорегулирующие, управления, автоматизации процессов управления).
6. Назначение, устройство и принцип действия индивидуального электропневматического контактора типа ПК.
7. Назначение, устройство и принцип действия электромагнитного контактора.
8. Назначение, устройство и принцип действия силового
контроллера электропоезда типа КСП.
9. Назначение, устройство и принцип действия привода
группового переключателя системы профессора Решетова.
10. Назначение, устройство и принцип действия главного контроллера типа ЭКГ электровоза переменного тока.
11. Назначение, устройство и принцип действия группового переключателя электровоза постоянного тока.
12. Назначение, устройство и принцип действия реверсора.
13. Назначение, устройство и принцип действия переключателя вентиляторов.
14. Назначение и типы резисторов, применяемых на ТПС.
15. Устройство электрической печи типа ПЭТ. Требования безопасности, предъявляемые к печам.
16. Назначение и устройство отключателя тяговых двигателей.
17. Назначение, устройство и принцип действия быстродействующего выключателя электропоезда типа БВП-105.
18. Назначение, устройство и принцип действия быстродействующего выключателя типа БВП-5.
19. Процесс автоматического отключения быстродействующего выключателя электровоза типа БВП-5.
20. Назначение, устройство и принцип действия быстродействующего электромагнитного контактора типа БК.
21. Назначение, устройство и принцип действия быстродействующего выключателя защелочного типа (БВЗ).
22. Назначение и устройство главного выключателя типа ВОВ-25-4 ЭПС переменного тока.
23. Процесс автоматического отключения главного выключателя типа ВОВ-25-4 ЭПС переменного тока.
24. Процесс включения главного выключателя ВОВ-25-4 ЭПС переменного тока.
25. Назначение, устройство и принцип действия реле перегрузки тяговых двигателей.
26. Назначение, устройство и принцип действия дифференциальной защиты.
27. Назначение, устройство и схемы включения реле боксования.
28. Назначение, устройство и принцип действия дифференциального реле.
29. Назначение, устройство и принцип действия реле ускорения электропоездов.
30. Назначение, устройство и действие реле заземления.
31. Назначение, устройство и принцип действия регуляторов напряжения.
32. Назначение и устройство главных предохранителей.
33. Защита цепей ЭПС от перенапряжений.
34. Котроллеры машиниста, назначение и устройство.
35. Промежуточные контроллеры, назначение и устройство.
36. Контактные и бесконтактные способы регулирования скорости ЭПС постоянного и переменного тока.
37. Виды электрического торможения ТПС, их сущность.
38. Что называется электрической схемой? Классификация электрических цепей.
39. Системы управления электрическими цепями ТПС.
40. Условные обозначения, применяемые в схемах.
41. Способы пересоединения тяговых двигателей на ЭПС постоянного тока.
42. Принцип перехода с одного соединения тяговых двигателей на другое методом шунтирования, его применение.
43. Принцип перехода с одного соединения тяговых двигателей на другое способом моста, его применение.
44. Способы изменения напряжения на тяговых двигателях ЭПС переменного тока.
45. Требования к силовым схемам.
46. Требования к схемам цепей управления.
47. Методы переключения секций обмоток тягового трансформатора.
48. Построение низковольтной цепи ТПС (от аккумуляторной батареи до кнопочных выключателей и контроллеров машиниста).
49. Цепи управления пантографами.
50. Действие схемы цепей управления электровоза постоянного тока при включении быстродействующего выключателя.
51. Действие схемы цепей управления электровоза постоянного тока при включении БВЗ или контактора вспомогательных цепей.
52. Действие схемы электровоза постоянного тока при включении мотор-вентиляторов.
53. Действие схемы электровоза при включении компрессоров.
54. Прохождение тока по силовой цепи электровоза постоянного тока при последовательном соединении тяговых двигателей.
55. Прохождение тока по силовой цепи электровоза постоянного тока, при параллельном соединении тяговых двигателей.
56. Действие схемы электровоза постоянного тока при установке главной рукоятки контроллера на 1-ю позицию.
57. Действие схемы силовой цепи электровоза постоянного тока при переходе с последовательного на последовательно-параллельное соединение тяговых двигателей.
58. Действие схемы силовой цепи электровоза постоянного тока при срабатывании дифференциального реле силовой цепи.
59. Особенности действия силовой цепи электровоза в режиме рекуперативного торможения.
60. Действие схемы электропоезда постоянного тока при нажатии кнопки "Пантограф поднят".
61. Действие схемы электропоезда постоянного тока при включении ВУ.
62. Действие схемы цепей управления электропоезда при включении быстродействующего выключателя.
63. Действие схемы цепи управления моторного вагона электропоезда при постановке главной рукоятки контроллера машиниста в маневровое положение.
64. Действие схемы электропоезда при постановке главной рукоятки контроллера машиниста в 1-е положение.
65. Действие схемы электропоезда при переводе главной рукоятки контроллера машиниста из положения 1 в положение 3.
66. Действие схемы цепей управления электропоезда при пониженном ускорении.
67. Действие схемы силовой цепи электропоезда ЭР2Р, ЭР2Т в режиме электрического торможения.
68. Действие схемы цепей управления электровоза при подъеме токоприемника.
69. Действие схемы цепей управления электровоза постоянного тока при включении БВ.
70. Действие схемы цепей управления электровоза переменного тока при включении БВ.
71. Действие схемы цепей управления электровоза переменного тока при запуске фазорасщепителей.
72. Действие схемы силовой цепи при пуске электровоза переменного тока.
73. Действие схемы электровоза переменного тока при автоматическом пуске.
74. Действие схемы электровоза переменного тока при ручном пуске.
75. Защита силовых цепей электровоза переменного тока от токов короткого замыкания и перегрузок.
76. Защита вспомогательных цепей электровоза переменного тока от токов короткого замыкания и перегрузок.
77. Схема питания цепей управления на электропоездах переменного тока.
78. Действие схемы цепи управления электропоезда переменного тока при пуске вспомогательных машин.
ЛИТЕРАТУРА
Основная литература
1. Папченков СИ. Электрические аппараты и схемы тягового подвижного состава железных дорог. М: УМК МПС России, 2000.
Дополнительная литература
2. Калинин В.К. Электровозы и электропоезда. М.: Транспорт, 1991.
3. Электровозы ВЛ10 и ВЛ10у
. Руководство по эксплуатации. М.: Транспорт, 1981.
4. Электровоз ВЛ11. Руководство по эксплуатации. М.: Транспорт, 1983.
5. Электровоз ВЛ80с
. Руководство по эксплуатации. М.: Транспорт, 1982
6. Электровоз ВЛ80р
. Руководство по эксплуатации. М.: Транспорт, 1985.
7. Электровоз ВЛ85. Руководство по эксплуатации. М.: Транспорт, 1992.
8. Просвирин Б.К. Электропоезда постоянного тока. М.: УМК МПС России, 2001.
9. Цукало П.В., Просвирин Б.К. Эксплуатация электропоезда. Справочник. М.:
Транспорт, 1994.
10. Бочаров В.И., Лозановский А.Л., Тушканов Б.А., Янов В.П. и др. Магистральные
электровозы (электрические аппараты, полупроводниковые преобразователи системы
управления). М.: Энергоатомиздат, 1994.
|