| ФЕДЕРАЛЬНОЕ АГЕНТСТВО ПО ОБРАЗОВАНИЮ
Бийский технологический институт (филиал)
государственного образовательного учреждения
высшего профессионального образования
«Алтайский государственный технический университет
им. И.И. Ползунова»
Н.И. Мезенцева, Е.В. Аверьянова, С.В. Лаптев
БИОХИМИЯ
Практикум по курсу «Биохимия» для студентов специальностей 260204 «Технология бродильных производств и виноделие» и 240901 «Биотехнология»
Бийск
Издательство Алтайского государственного технического университета им. И.И. Ползунова
2009
Рецензенты:
д.х.н., профессор БТИ АлтГТУ А.Л. Верещагин;
д.б.н., профессор ТСХИ Н.Я. Костеша
Мезенцева, Н.И.
Биохимия: практикум по курсу «Биохимия» для студентов специальностей 260204 «Технология бродильных производств и виноделие» и 240901 «Биотехнология» / Н.И. Мезенцева, Е.В. Аверьянова, С.В. Лаптев; Алт. гос. техн. ун-т, БТИ. - Бийск: Изд-во Алт. гос. техн. ун-та, 2009. - 78 с.
В практикуме представлены широко используемые методики биохимических исследований сырья растительного и животного происхождения для обучения по курсу «Биохимия».
УДК 576.80.85
Рассмотрен и одобрен на заседании
кафедры биотехнологии.
Протокол № 99 от 19.12.2008 г.
ã Н.И. Мезенцева, Е.В. Аверьянова, С.В. Лаптев, 2009
ã БТИ АлтГТУ, 2009
СОДЕРЖАНИЕ
| ВВЕДЕНИЕ……………………………………..……………………
|
6
|
| 1 СВОЙСТВА ВОДЫ……………………………………………….
|
7
|
| 1.1 Водородный показатель рН……………………………..……
|
9
|
| 1.2 Буферные системы…………………………………………….
|
12
|
| 1.3 Индикаторы и их свойства……………………………………
|
16
|
| 1.4 Лабораторная работа «Электрометрическое определение водородного показателя»…………………………………………...
|
17
|
| 1.5 Лабораторная работа «Индикаторный метод измерения водородного показателя»…………………………………………...
|
18
|
| 2 УГЛЕВОДЫ………………………………………………………..
|
19
|
| 2.1 Лабораторная работа «Определение глюкозы с помощью реакции восстановления оксида меди в гемиоксид»……………...
|
19
|
| 2.2 Лабораторная работа «Определение содержания глюкозы в вытяжке из солода методом Хагендорна–Иенсена»…………….
|
21
|
| 2.3 Лабораторная работа «Определение концентрации лактозы в молоке»…………………………………………………...
|
23
|
| 3 БЕЛКИ, ПЕПТИДЫ, АМИНОКИСЛОТЫ………………………
|
25
|
| 3.1 Лабораторная работа «Определение содержания казеина в молоке по способу Маттиопуло»…………………………………
|
25
|
| 3.2 Лабораторная работа «Определение содержания белка и казеина в молоке формольным методом»……………………….
Забиваем Сайты В ТОП КУВАЛДОЙ - Уникальные возможности от SeoHammer
Каждая ссылка анализируется по трем пакетам оценки: SEO, Трафик и SMM.
SeoHammer делает продвижение сайта прозрачным и простым занятием.
Ссылки, вечные ссылки, статьи, упоминания, пресс-релизы - используйте по максимуму потенциал SeoHammer для продвижения вашего сайта.
Что умеет делать SeoHammer
— Продвижение в один клик, интеллектуальный подбор запросов, покупка самых лучших ссылок с высокой степенью качества у лучших бирж ссылок.
— Регулярная проверка качества ссылок по более чем 100 показателям и ежедневный пересчет показателей качества проекта.
— Все известные форматы ссылок: арендные ссылки, вечные ссылки, публикации (упоминания, мнения, отзывы, статьи, пресс-релизы).
— SeoHammer покажет, где рост или падение, а также запросы, на которые нужно обратить внимание.
SeoHammer еще предоставляет технологию Буст, она ускоряет продвижение в десятки раз,
а первые результаты появляются уже в течение первых 7 дней.
Зарегистрироваться и Начать продвижение
|
26
|
| 3.3 Лабораторная работа «Определение аминокислот формолтитрованием по Сьоренсону»……………………………...
|
27
|
| 3.4 Лабораторная работа «Реакции осаждения белков»………..
|
29
|
| 3.5 Лабораторная работа «Диализ солевого раствора белка»….
|
32
|
| 3.6 Лабораторная работа «Определение изоэлектрической точки белков»………………………………………………………..
|
33
|
| 4 ФЕРМЕНТЫ……………………………………………………….
|
36
|
| 4.1 Лабораторная работа «Определение активности амилазы солода по методу Вольгемута»……………………………………..
|
36
|
| 4.2 Лабораторная работа «Определение активности каталазы по Баху»………………………………………………………………
|
37
|
| 4.3 Лабораторная работа «Капельный метод (по Климовскому и Родзевич)»……………………………………..
|
38
|
| 4.4 Лабораторная работа «Метод Вильштеттера и Вальдшмидта-Лейтца определения протеолитической активности ферментов в модификации»…………………………..
|
41
|
| 5 ЖИРЫ………………………………………………………………
|
44
|
| 5.1 Лабораторная работа «Определение числа омыления жира»…………………………………………………………………
|
44
|
| 5.2 Лабораторная работа «Определение кислотного числа жира»…………………………………………………………………
|
45
|
| 5.3 Определение эфирного числа жира………………………….
|
46
|
| 5.4 Лабораторная работа «Определение йодного числа жира»..
|
46
|
| 6 ВИТАМИНЫ………………………………………………………
|
47
|
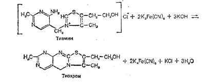
| 6.1 Лабораторная работа «Реакция окисления тиамина в тиохром»…………………………………………………………...
|
47
|
| 6.2 Лабораторная работа «Реакция восстановления рибофлавина (витамина В2
)»……………………………………….
|
48
|
| 6.3 Лабораторная работа «Реакция на пиридоксин (витамин В6
) с хлоридом железа (III)»……………………….…….
|
48
|
| 6.4 Лабораторная работа «Выделение фолиевой кислоты из дрожжей и её обнаружение»…………………………………….
|
49
|
| 6.5 Реакции на аскорбиновую кислоту (витамин С)……………
|
49
|
| 7 НУКЛЕИНОВЫЕ КИСЛОТЫ……………………………………
|
53
|
| 7.1 Лабораторная работа «Обнаружение пуриновых оснований в составе нуклеопротеидов»……………………………
|
53
|
| 7.2 Лабораторная работа «Обнаружение белков в составе нуклеопротеидов»…………………………………………………...
|
54
|
| 8 СОДЕРЖАНИЕ ЛАБОРАТОРНОГО ПРАКТИКУМА ПО БИОХИМИИ…………………………………………………….
|
55
|
| ЛИТЕРАТУРА……………………………………………………….
|
57
|
| ПРИЛОЖЕНИЕ А. Классификация моносахаридов……………...
|
59
|
| ПРИЛОЖЕНИЕ Б. Дисахариды…………………………………….
|
60
|
| ПРИЛОЖЕНИЕ В. Глюконеогенез………………………………...
|
61
|
| ПРИЛОЖЕНИЕ Г. Схема потока метаболитов пентозофосфатного пути и их связи с гликолизом………………..
|
62
|
| ПРИЛОЖЕНИЕ Д. Взаимопревращение питательных веществ…
|
63
|
| ПРИЛОЖЕНИЕ Е. Классификация аминокислот, основанная на полярности и заряде R-групп……………………...
|
64
|
| ПРИЛОЖЕНИЕ Ж. Элементы вторичной структуры белков: а - a-спираль; б - b-слой…………………………………………...
Сервис онлайн-записи на собственном Telegram-боте
Попробуйте сервис онлайн-записи VisitTime на основе вашего собственного Telegram-бота:
— Разгрузит мастера, специалиста или компанию;
— Позволит гибко управлять расписанием и загрузкой;
— Разошлет оповещения о новых услугах или акциях;
— Позволит принять оплату на карту/кошелек/счет;
— Позволит записываться на групповые и персональные посещения;
— Поможет получить от клиента отзывы о визите к вам;
— Включает в себя сервис чаевых.
Для новых пользователей первый месяц бесплатно.
Зарегистрироваться в сервисе
|
65
|
| ПРИЛОЖЕНИЕ И. Некоторые a-аминокислоты, не входящие в состав белков, но играющие важную роль в метаболизме……..
|
66
|
| ПРИЛОЖЕНИЕ К. Цикл мочевины (орнитиновый цикл)………..
|
67
|
| ПРИЛОЖЕНИЕ Л. b-Окисление жирных кислот…………………
|
68
|
| ПРИЛОЖЕНИЕ М. Биосинтез жирных кислот…………………...
|
69
|
| ПРИЛОЖЕНИЕ Н. Коферменты…………………………………...
|
70
|
| ПРИЛОЖЕНИЕ П. Нуклеотиды РНК и ДНК……………………..
|
73
|
| ПРИЛОЖЕНИЕ Р. Распад пуринов………………………………..
|
74
|
| ПРИЛОЖЕНИЕ С. Распад пиримидинов………………………….
|
75
|
| ПРИЛОЖЕНИЕ Т. Структура ДНК………………………………..
|
76
|
| ПРИЛОЖЕНИЕ У. Структура тРНК………………………………
|
77
|
ВВЕДЕНИЕ
Практикум является частью учебно-методического комплекса по курсу «Биохимия». Лабораторные методы исследований биомолекул изложены с учетом новых достижений современной биохимии.
Цель настоящего практикума – закрепление теоретических знаний путем формирования практических навыков в области статистической, динамической и функциональной биохимии.
При выполнении лабораторных работ студент приобретает основные экспериментальные навыки – качественного и количественного определения продуктов биосинтеза живой клетки, активности ферментов, получения ферментных препаратов, фракционирования клеточного содержимого.
В практикум вошли основные методы по определению общего количества сахаров, белков, липидов, витаминов, определения активности ферментов, биохимические методы исследования растений, микроорганизмов, дрожжей.
Лабораторные работы содержат изложение принципа методов с указанием структурных формул и реакций взаимодействующих веществ, перечень основных материалов, реактивов и оборудования, подробное описание хода работы и ожидаемых результатов.
1 СВОЙСТВА ВОДЫ
Основным растворителем в живом организме является вода. В животных и растительных организмах вода составляет обычно более 50 % от их общего веса, а у некоторых видов от 95 до 98 %. Исключительно важная роль воды в процессах жизнедеятельности обусловлена особенностями структуры и свойств этого соединения. Своеобразие структуры воды обусловливает особые свойства растворенных в ней веществ, в частности, высокомолекулярных соединений – белков, нуклеиновых кислот, полисахаридов. Как показано на рисунке 1а
, молекула воды представляет собой полярную структуру.
Рисунок 1 – Схема возникновения полярности за счет асимметрии молекулы воды
Такое строение молекулы обеспечивает нейтрализацию зарядов ядра кислорода. Преимущественное сосредоточение положительных и отрицательных зарядов на разных полюсах молекулы приводит к развитию дипольного момента. Дипольный характер молекул воды хорошо объясняет растворимость в ней полярных веществ и плохую растворимость неполярных.
Для процессов растворения большое значение имеет полярность молекул. Полярными называют молекулы, у которых одна часть имеет положительный заряд, другая – отрицательный (рисунок 1б
). Полярность возникает, когда молекулы имеют ионные связи, т.е. состоят из ионов. Например, при образовании молекулы NaCl происходит переход электрона от атома натрия к атому хлора, возникают два противоположно заряженных иона, которые взаимно притягиваются, образуя ионную связь. При этом одна часть молекулы сохраняет отрицательный, а другая – положительный заряд (рисунок 1в
). Полярными являются молекулы с ковалентными связями, построенные асимметрично. Двойные и тройные связи также обусловливают дипольность молекулы, т.к. их π-связи всегда поляризованы (рисунок 1г
).
К полярным относятся также ионогенные группы: карбоксильная –COOH и аминогруппа –NH2
. При диссоциации этих групп возникают электрические заряды, усиливающие их полярность: R–COO–
и R–NH3
+
.
Всякая несущая заряд частица – ион, или полярная молекула, в растворе окружена сольватной оболочкой из молекул растворителя. В случае, если растворитель – вода, оболочка называется гидратной, а процесс ее образования – гидратацией (рисунок 2). Гидратная оболочка удерживается электростатическими силами притяжения, причем полярные молекулы могут образовывать углеродные связи с молекулами воды.
Рисунок 2 – Схема растворения кристаллов NaCl и образования гидратированных ионов Na+
и Cl–
Способность жидких и твердых веществ растворяться зависит, с одной стороны, от их способности образовывать сольватную оболочку, а с другой стороны, от полярности молекул. Хорошая растворимость, например, сахаров, не образующих ионов, обусловлена присутствием в их молекулах многочисленных полярных спиртовых групп.
Вещества со слабополярными молекулами, например, жирные кислоты, лучше растворяются в растворителях, молекулы которых также малополярны (эфир) или неполярны (бензол).
Молекулы, включающие большое количество неполярных углеводородных группировок (фенол), не способны «притягивать» к себе значительное количество молекул воды. В результате их взаимная растворимость ограничена, что ведет к расслаиванию указанных веществ. Вследствие своей полярности вода растворяет или диспергирует очень многие вещества. Она является гораздо лучшим растворителем, чем большинство общеизвестных жидкостей. Многие кристаллические соли и другие полярные соединения легко растворяются в воде, но почти нерастворимы в неполярных жидкостях. Второй обширный класс веществ, хорошо растворимых в воде, включает неионные, но полярные соединения, такие как спирты, сахара, альдегиды, кетоны и др.
1.1 Водородный показатель рН
Вода является слабым электролитом и диссоциирует на ион водорода и гидроксила незначительно:

Константа диссоциации равновесия К выражается следующим образом:
,
где С –
концентрация.
Учитывая, что степень диссоциации воды при температуре 25 ºС очень мала, можно концентрацию недиссоциированных молекул воды принять за величину постоянную. Тогда, преобразовав уравнение, получим в левой части произведение двух постоянных величин, т.е. тоже величину постоянную:

Постоянная Кв
называется ионным произведением воды. Численное значение постоянной Кв
можно определить, зная, что концентрация Своды
составляет 55,56 моль/л, а константа диссоциации К – 1,8×10-9
. Таким образом, ионное произведение чистой воды при температуре 25 ºС равно 1,008×10-14
г-ион/л. Концентрации ионов Н+
и ОН-
равны и составляют 1×10-7
г-ион/литр.
В кислых или щелочных растворах эти концентрации не равны друг другу, но изменяются сопряженно: при увеличении одной концентрации соответственно уменьшается другая. Например: если величина составляет 1×10-4
, то концентрация ионов ОН-
соответственно = 1×10-10
. Их произведение всегда составляет 1×10-14
г-ион/л.
Реакция среды будет кислой, если концентрация ионов Н+
превышает концентрацию ионов ОН-
. Количественно реакцию среды выражают через активность (концентрацию) водородных ионов. На практике используют водородный показатель рН
. Он определяется общей формулой
.
Водородным показателем называют величину, численно равную отрицательному десятичному логарифму активности (концентрации) водородных ионов, выраженную в г-ионах/литр.
Для чистой воды рН = 7,0, для кислых растворов рН < 7,0, для щелочных рН > 7,0. Логарифмируя ионное произведение воды, находим
;
.
Беря логарифм с обратным знаком, получим:
.
Следовательно, величины рН и рОН являются сопряженными величинами. Их сумма для разбавленных растворов всегда равна 14. Зная величину рН, легко вычислить значение рОН:

и наоборот
.
Таким образом, в нейтральной среде концентрация и водородный показатель .
В кислых растворах рН имеет меньшее, а в щелочных большее значение, так как благодаря перемене знака логарифма возрастает числовое значение рН соответственно убывающей концентрации ионов Н+
.
Постоянство концентрации водородных ионов является одной из основных констант внутренней среды организма. Так, рН крови человека и большинства сельскохозяйственных животных колеблется в пределах от 7,20 до 7,40.
Активность разнообразных биологических катализаторов (ферментов), а также специфика происходящих в тканях биохимических процессов связаны с ограниченными зонами значений рН. Например, пепсин желудочного сока активен при значениях рН от 1,5 до 2,5, каталаза крови при рН=7,0; тканевые катепсины в нейтральной среде катализируют синтез белка, при кислой реакции активизируют его расщепление.
Смещение реакции среды в живом организме в кислую сторону называется ацидозом,
а в щелочную – алкалозом
. Изменение рН крови на несколько десятых долей приводит к серьезным нарушениям жизнедеятельности организма. Определение рН в ряде случаев помогает судить о характере протекающих в организме патологических процессов. В связи с этим часто приходится определять рН в различных биологических жидкостях (крови, моче), что иногда представляет довольно сложную задачу.
Определение реакции среды и знание концентрации водородных ионов в биологических объектах часто является необходимым в лабораторной практике. Эти определения нужны, например, для создания желаемой реакции среды при проведении многих биохимических и микробиологических экспериментов. Так, при работе с микроорганизмами, с культурами тканей, при определении ферментативной активности одним из основных условий является создание необходимой реакции среды.
В технической биохимии (сыроварении, хлебопечении, изготовлении кож, чая, табака и др.) также очень важно создание определенной реакции среды для обеспечения правильного течения ферментативных реакций. Различные растворы очень сильно различаются по реакции среды. Значения рН некоторых растворов представлены в таблице 1.
Таблица 1 – Значения водородного показателя некоторых веществ и растворов
| Раствор
|
Значение рН
|
| 1Н NaOH
|
14,0
|
| Отбеливатель
|
13,0
|
| Нашатырный спирт
|
12,0
|
| Сода питьевая
|
9,0
|
| Морская вода
|
8,0
|
| Молоко
|
6,5–7,0
|
| Черный кофе
|
5,0
|
| Пиво
|
4,5
|
| Томатный сок, красное вино
|
3,5–4,0
|
| Кока-кола
|
3,0
|
| Уксус пищевой
|
3,0
|
| Лимонный сок
|
2,0
|
| Желудочный сок
|
1,0–1,5
|
| 1Н НСl
|
0,0
|
На практике определение рН осуществляют различными методами. Это электрометрический метод, колориметрический (буферный и безбуферный), определение рН с помощью различных индикаторов.
1.2 Буферные системы
Постоянство внутренней среды и поддержание рН организма обеспечивается совместным действием ряда физико-химических и физиологических систем, из которых основная роль принадлежит буферным системам. Буферными системами (буферами) называют растворы, обладающие свойством достаточно стойко сохранять постоянство концентрации водородных ионов как при добавлении кислот и щелочей, так и при разведении буферных растворов. Буферные системы по составу подразделяются на три вида:
а) состоят из слабой кислоты и ее соли, образованной сильным основанием;
б) состоят из слабого основания и его соли, образованной сильной кислотой;
в) состоят из двух солей (кислой и основной).
На практике чаще всего используют следующие буферные смеси:
СН3
СООН + СН3
СООNa – ацетатный буфер;
H2
CO3
+ NaHCO3
– бикарбонатный буфер;
NH4
OH + NH4
Cl – аммиачный буфер;
NaH2
PO4
+ Na2
HPO4
– фосфатный буфер.
1.2.1 Водородный показатель буферных систем
Каждая буферная система характеризуется определенной концентрацией водородных ионов, которую она стремится сохранить при добавлении кислых или щелочных продуктов.
Рассмотрим, что определяет рН ацетатной буферной системы. Ацетатный буфер представляет собой смесь из слабой уксусной кислоты и ее натриевой соли.


Константа диссоциации уксусной кислоты выражается следующим образом:
,
отсюда

При добавлении к слабодиссоциирующей уксусной кислоте ее сильно диссоциированной соли СН3
СООNа произойдет резкое увеличение концентрации СН3
СОО-
. Это, в свою очередь, вызовет смещение равновесия влево, т.е. приведет к увеличению кислотности, и слабая диссоциация уксусной кислоты будет подавлена. При этом концентрация недиссоциированной уксусной кислоты будет практически равна общей концентрации кислоты. Так как соль диссоциирует полностью, можно принять концентрацию анионов СН3
СОО-
(без учета их количества, образующегося при диссоциации кислоты) равной общей концентрации соли в буферном растворе. Исходя из этого, уравнение можно представить в следующем виде:

Следовательно, рН буферных систем зависит от константы диссоциации кислоты или основания и от соотношения концентраций компонентов буферных смесей. При одинаковых соотношениях компонентов у ацетатной, фосфатной или аммиачной буферных смесей значения рН будут различными, в зависимости от разной величины констант диссоциации кислот и оснований. Константы диссоциации некоторых кислот и оснований представлены в таблице 2.
Таблица 2 – Константы диссоциации слабых кислот и оснований
| Вещество
|
К
|
| Муравьиная кислота НСООН
|
2,00×10-4
|
| Уксусная кислота СН3
СООН
|
1,85×10-5
|
| Фосфорная кислота Н3
РО4
|
1,00×10-7
|
| Угольная кислота Н2
СО3
|
3,30×10-7
|
| Гидроокись аммония NH4
OH
|
1,87×10-5
|
Таким образом, для приготовления буферных смесей с необходимым значением рН следует использовать кислоты или основания с соответствующими константами диссоциации, а также подбирать определенные соотношения компонентов. При одинаковых соотношениях компонентов (например, 9:1) у ацетатной, бикарбонатной или фосфатной буферных смесей значение рН будет различно, т.к. зависит и от константы диссоциации.
Таблица 3 – Значения водородных показателей буферных систем в зависимости от соотношения компонентов
| Соотношение «кислота:соль» или «основание:соль»
|
Ацетатная
|
Фосфатная
|
Аммиачная
|
| 9:1
|
3,72
|
5,91
|
10,28
|
| 8:2
|
4,05
|
6,24
|
9,95
|
| 7:3
|
4,27
|
6,47
|
9,73
|
| 6:4
|
4,45
|
6,64
|
9,55
|
| 5:5
|
4,63
|
6,81
|
9,37
|
| 4:6
|
4,80
|
6,98
|
9,20
|
| 3:7
|
4,99
|
7,17
|
9,01
|
| 2:8
|
5,23
|
7,38
|
8,77
|
| 1:9
|
5,57
|
7,73
|
8,43
|
При разбавлении буферных систем даже в значительной степени рН не меняется. В незабуференном растворе, например, сильной кислоты, при разведении концентрация водородных ионов уменьшается. При разведении кислоты в 10 раз концентрация ионов Н+
уменьшится во столько же раз: 0,1н раствор НСl имеет концентрацию 10-2
(рН = 2), при разведении в 100 раз концентрация Н+
становится 10-4
, т.е. рН = 4. В буферных же смесях значение рН зависит от соотношения компонентов буфера. При разведении буферных смесей в тех же пропорциях соотношение их компонентов остается прежним, поэтому значение рН не изменяется. Рассмотрим этот процесс на примере:
и т.д.
При добавлении кислот и щелочей к буферным системам происходит обезвреживание этих кислот и щелочей. Рассмотрим этот процесс на примере ацетатного буфера:


При добавлении кислоты к ацетатному буферу происходит взаимодействие кислоты с солью

Как видно из уравнения, сильная кислота (НСl) заменяется эквивалентным количеством слабой кислоты (СН3
СООН). Повышение концентрации кислоты снижает степень ее диссоциации (по закону разведения Оствальда). В результате концентрация ионов Н+
в растворе остается практически на прежнем уровне.
При добавлении щелочи:

Таким образом, сильная щелочь заменяется эквивалентным количеством слабодиссоциированной соли. Анионы СН3
СОО-
, образующиеся при диссоциации этой соли, будут оказывать угнетающее воздействие на диссоциацию уксусной кислоты. Поэтому при добавлении кислот и щелочей соотношение компонентов буферной смеси несколько изменяется.
При добавлении небольших количеств кислоты и щелочи они мало влияют на изменение значения рН, однако дальнейшее добавление этих веществ значительно сдвигает рН. Подобным образом работают и другие буферные системы. Следовательно, способность буферных систем стойко удерживать рН на определенном уровне ограничена.
Способность буферной системы противодействовать смещению рН среды определяется ее буферной емкостью.
Буферная емкость определяется свойством буфера и выражается в количестве г-экв сильной кислоты или основания, которое следует добавить на один литр буферного раствора, чтобы сместить рН на одну единицу.
,
где В – буферная емкость;
С – количество кислоты, г-экв;
рН0
– водородный показатель до добавления кислоты;
рН1
– водородный показатель после добавления кислоты.
Наибольшей буферной емкостью обладают концентрированные буферные растворы и те буферы, которые состоят из равного количества компонентов, т.е. соотношение кислота/соль равно единице.
Буферные системы крови обеспечивают постоянство внутренней среды живых организмов. В процессе метаболизма в организме постоянно образуются как кислые продукты (органические кислоты, кислые соли, продукты брожения и др.), так и щелочные соединения (аммиак, кератин, основные аминокислоты и др.) В организме человека образуется от 20 до 30 л кислот в сутки. Однако, рН крови поддерживается на постоянном уровне, колеблясь в ту или другую сторону на 0,05…0,07 единиц. У разных животных рН крови несколько различается.
1.3 Индикаторы и их свойства
Кислотно-основные индикаторы – сложные органические соединения, которые в растворах меняют окраску в зависимости от реакции среды, т.е. от значения рН. Окраска индикаторов обусловлена наличием в их молекуле хромофорных групп (азогруппы, хиноидные группы и др.). Индикаторы представляют собой слабые кислоты или слабые основания, которые могут находиться в растворах в диссоциированном или недиссоциированном состоянии. При этом молекулы окрашены в один цвет, а ионы – в другой. Поскольку степень диссоциации зависит от реакции среды, то при различных значениях рН в растворах будет находиться различное количество молекул и ионов, и от их соотношения будет зависеть окраска раствора. Индикаторы, имеющие различную окраску в кислых и щелочных средах, называют двухцветными (метиловый красный, лакмус, диметиламиноазобензол и др.). Индикаторы, имеющие только одну окраску, называют одноцветными (фенолфталеин, нитрофенолы и др.).
Универсальная индикаторная бумага содержит полоски фильтровальной бумаги, пропитанные универсальным индикатором (по Богену), в состав которого входят: фенолфталеин 0,2 г, метиловый красный 0,4 г, диметиламиноазобензол 0,6 г и бромтимоловый синий 1,0 г. Смесь индикаторов растворяют в спирте и добавляют едкий натр до появления желтой окраски. Изменения окраски универсального индикатора в зависимости от рН среды следующие: при рН = 2 – красный, при рН = 4 – оранжевый, при рН = 6 – желтый, при рН = 8 – зеленый, при рН = 10 – синий.
Таблица 4 – Окраска индикаторов при различных значениях рН
| Индикаторы
|
Кислая среда
|
Щелочная среда
|
| 1
|
2
|
3
|
4
|
5
|
6
|
7
|
8
|
9
|
10
|
11
|
12
|
13
|
14
|
| Диметиламино-азобензол
|
Красная
|
Желтая
|
| Метиловый оранжевый
|
Красная
|
Желтая
|
| Метиловый красный
|
Красная
|
Желтая
|
| Лакмус
|
Красная
|
Синяя
|
| Бромтимоловый синий
|
Желтая
|
Синяя
|
| Фенолфталеин
|
Бесцветная
|
Ярко-розовая
|
| Ализариновый желтый
|
Желтая
|
Фиоле-товая
|
1.4 Лабораторная работа «Электрометрическое определение водородного показателя»
Определение рН растворов основано на установлении потенциала электрода, погруженного в раствор. Величина электрического потенциала ех
зависит от рН раствора. Значение ех
определяют по величине э.д.с. цепи, составленной из электрода определения (измерительный электрод) и электрода сравнения с известным потенциалом (сравнительный электрод). Электродом сравнения с известным значением э.д.с. обычно выступает хлорсеребряный (или каломельный) электрод.
Э.д.с. цепи измеряют компенсационным методом, т.е. сравнением с постоянной э.д.с. сравнительного электрода, которая составляет 1,0183 В при температуре 20 °С. Определение производится с помощью приборов – универсальных иономеров (рН-метров). Такое определение рН очень удобно, имеет высокую степень точности, занимает мало времени. Особенно удобен такой метод определения при исследовании биологических жидкостей, а также окрашенных и мутных растворов. Точность измерения рН таким методом составляет 0,001 единиц рН.
Материалы и реактивы:
фосфатный, ацетатный, трисглициновый буферы; вытяжки из растений.
Оборудование:
универсальный иономер (рН-метр), стеклянные палочки, пробирки, колбы конические (объем 50 мл), воронки, ступки, фильтровальная бумага, пипетки, капельницы, бюретки, штатив для пробирок.
Ход работы:
в подписанные соответственно стаканчики налить предложенные буферные растворы и измерить их рН с помощью иономера. Записать результат в таблицу. Таким же образом измерить рН неизвестных растворов – 1, 2, 3. Результаты оформить в табличной форме. Между измерениями обязательно промывать электроды дистиллированной водой (электроды поместить в стаканчик с водой) и промокнуть фильтровальной бумагой.
1.5 Лабораторная работа «Индикаторный метод измерения
водородного показателя»
Производится с помощью универсальной индикаторной бумаги и красителей – индикаторов.
Материалы и реактивы:
универсальная индикаторная бумага (полоски); фосфатный, ацетатный, трис-глициновый буферы; растительные вытяжки.
Оборудование:
стеклянные палочки, пробирки, колбы конические (объем 50 мл), воронки, ступки, фильтровальная бумага, пипетки, капельницы, штатив для пробирок.
Ход работы:
положить на фильтровальную бумагу полоски универсальной индикаторной бумаги, нанести на полоски стеклянной палочкой несколько капель буферных растворов с известным рН. Сравнить со шкалой. Затем определить тем же способом рН неизвестных растворов в колбах 1, 2, 3. Результаты опыта оформить в форме таблицы, приведенной ниже.
Результаты работы:
| Номер раствора
|
рН известных растворов
|
рН раствора, измеренный с помощью иономера
|
рН раствора, измеренный с помощью индикаторной бумаги
|
Углеводы широко представлены в растениях и животных, где они выполняют как структурные, так и метаболические функции. В растениях в процессе фотосинтеза из углекислого газа и воды синтезируется глюкоза, которая далее запасается в виде крахмала или превращается в целлюлозу. Животные способны синтезировать ряд углеводов из жиров и белков, но большая часть углеводов поступает с пищей растительного происхождения (Приложения А-Д).
2.1 Лабораторная работа «Определение глюкозы с помощью реакции восстановления оксида меди в гемиоксид»
В основе метода лежит способность солей меди (II) в определенных условиях количественно окислять глюкозу по реакции Троммера.
В реакции Троммера происходит образование как альдоновых кислот, так и гидроксида меди (II), что указывает на отсутствие количественной связи между глюкозой и гемиоксидом меди. Однако, если к реакционной смеси добавляют сегнетову соль, то образуется комплекс, в котором медь реагирует с глюкозой в стехиометрическом соотношении.

Количество закиси меди (Cu2
O), эквивалентное окисленной глюкозе, определяют йодометрическим методом:

Эта реакция в присутствии солей щавелевой или винной кислот протекает практически до конца.
Количество йода в излишке, которое не прореагировало с гемиоксидом меди, можно определить титрованием тиосульфатом натрия (индикатор – раствор крахмала)

Материалы и реактивы:
исследуемый раствор глюкозы (1…4 мг/мл), реактив Фелинга I и II (для приготовления раствора I берут 200 г сегнетовой соли и 150 г гидроксида натрия, растворяют в дистиллированной воде до объема 1 литр; раствор II готовят из 40 г перекристаллизованного сульфата меди, растворенного в 1 литре воды), насыщенный раствор щавелевой кислоты, 0,05 моль/л раствор йода, 0,05 моль/л раствор тиосульфата натрия, 1 %-ный раствор крахмала.
Оборудование:
стеклянные палочки, пипетки, конические колбы (объем 50 мл), капельницы, водяная баня, бюретки, часы.
Ход работы.
В две колбы помещают по 5 мл реактива Фелинга I и II. В одну из колб (проба) добавляют 10 мл исследуемого раствора глюкозы, а в другую (контроль) – 10 мл дистиллированной воды. Содержимое обеих колб нагревают до кипения, кипятят 5 мин и затем охлаждают. После этого в обе колбы наливают по 10 мл насыщенного раствора щавелевой кислоты, по 10 мл йода и после перемешивания отстаивают в течение 5 мин. По истечении этого времени в колбы вносят по пять капель раствора крахмала и титруют раствором тиосульфата до исчезновения окраски, образовавшейся после добавления крахмала.
Массовую концентрацию глюкозы в исследуемом растворе (мг/мл) рассчитывают по формуле:
,
где А и В – объемы раствора тиосульфата натрия, затраченные на титрование пробы и контроля соответственно;
f – коэффициент поправки на титр 0,05 моль/л раствора тиосульфата натрия;
Q – масса глюкозы (3,52 мг), эквивалентная 1 мл 0,05 моль/л раствора тиосульфата натрия;
V0
– общий объем пробы;
V1
– объем исследуемого раствора, взятый до анализа.
2.2 Лабораторная работа «Определение содержания глюкозы в вытяжке из солода методом Хагендорна–Иенсена»
Метод основан на способности глюкозы в безбелковой вытяжке в щелочной среде при нагревании восстанавливать красную кровяную соль (гексацианоферрат калия (III) – K3
Fe(CN)6
) в желтую кровяную соль (гексацианоферрат калия (II) – K4
Fe(CN)6
). Уравнение реакции имеет вид:

Вследствие обратимости этой реакции гексацианоферрат калия (III) под действием сульфата цинка переводят в нерастворимую соль – цинкгексацианоферрат калия (III):

Гексацианоферрат калия (III) берут в избытке и неиспользованный в реакции его остаток определяют йодометрически в кислой среде (например, в присутствии уксусной кислоты), титруя количество образовавшегося йода тиосульфатом натрия
 
В качестве индикатора на молекулярный йод используют крахмал.
Содержание глюкозы рассчитывают по специальной таблице 5, которая составлена так, что в ней определенному объему тиосульфата натрия, затраченного на титрование йода, а, следовательно, избытка гексацианоферрата калия (III), соответствует то число миллиграммов глюкозы, которое прореагировало в реакции.
Таблица 5 – Зависимость содержания глюкозы от объема титранта
| Объем тиосульфата натрия, мл
|
0,00
|
0,01
|
0,02
|
0,03
|
0,04
|
0,05
|
0,06
|
0,07
|
0,08
|
0,09
|
| 0,0
|
0,385
|
0,382
|
0,379
|
0,376
|
0,373
|
0,370
|
0,367
|
0,364
|
0,361
|
0,358
|
| 0,1
|
0,355
|
0,352
|
0,350
|
0,348
|
0,345
|
0,343
|
0,341
|
0,338
|
0,336
|
0,333
|
| 0,2
|
0,331
|
0,329
|
0,327
|
0,325
|
0,323
|
0,321
|
0,318
|
0,316
|
0,314
|
0,312
|
| 0,3
|
0,310
|
0,308
|
0,306
|
0,304
|
0,302
|
0,300
|
0,298
|
0,296
|
0,294
|
0,292
|
| 0,4
|
0,290
|
0,288
|
0,286
|
0,284
|
0,282
|
0,280
|
0,278
|
0,276
|
0,274
|
0,272
|
| 0,5
|
0,270
|
0,268
|
0,266
|
0,264
|
0,262
|
0,260
|
0,259
|
0,257
|
0,255
|
0,253
|
| 0,6
|
0,251
|
0,249
|
0,247
|
0,245
|
0,243
|
0,241
|
0,240
|
0,238
|
0,236
|
0,234
|
| 0,7
|
0,232
|
0,230
|
0,228
|
0,226
|
0,224
|
0,222
|
0,221
|
0,219
|
0,217
|
0,215
|
| 0,8
|
0,213
|
0,211
|
0,209
|
0,208
|
0,206
|
0,204
|
0,202
|
0,200
|
0,199
|
0,197
|
| 0,9
|
0,195
|
0,193
|
0,191
|
0,190
|
0,188
|
0,186
|
0,184
|
0,182
|
0,181
|
0,179
|
| 1,0
|
0,177
|
0,175
|
0,173
|
0,172
|
0,170
|
0,168
|
0,166
|
0,164
|
0,163
|
0,161
|
| 1,1
|
0,159
|
0,157
|
0,155
|
0,154
|
0,152
|
0,150
|
0,148
|
0,146
|
0,145
|
0,143
|
| 1,2
|
0,131
|
0,139
|
0,138
|
0,136
|
0,134
|
0,132
|
0,131
|
0,129
|
0,127
|
0,125
|
| 1,3
|
0,124
|
0,122
|
0,120
|
0,119
|
0,117
|
0,115
|
0,113
|
0,111
|
0,110
|
0,108
|
| 1,4
|
0,106
|
0,104
|
0,102
|
0,101
|
0,099
|
0,098
|
0,097
|
0,095
|
0,093
|
0,092
|
| 1,5
|
0,088
|
0,086
|
0,084
|
0,083
|
0,081
|
0,079
|
0,077
|
0,075
|
0,074
|
0,072
|
| 1,6
|
0,070
|
0,068
|
0,066
|
0,065
|
0,063
|
0,061
|
0,059
|
0,057
|
0,056
|
0,054
|
| 1,7
|
0,052
|
0,050
|
0,048
|
0,047
|
0,045
|
0,043
|
0,041
|
0,039
|
0,038
|
0,036
|
| 1,8
|
0,034
|
0,032
|
0,031
|
0,029
|
0,027
|
0,025
|
0,024
|
0,022
|
0,021
|
0,019
|
| 1,9
|
0,017
|
0,015
|
0,014
|
0,012
|
0,010
|
0,008
|
0,006
|
0,005
|
0,003
|
0,002
|
Материалы и реактивы:
вата гигроскопическая для фильтрования растворов, вытяжка из солода, 0,1 моль/л раствор гидроксида калия, 0,45 %-ный раствор сульфата цинка, щелочной раствор гексацианоферрата калия (III) (1,65 г K3
Fe(CN)6
и 10,6 г безводного карбоната натрия растворяют в дистиллированной воде до объема 1 л), раствор сульфата цинка в растворе хлорида натрия(10 г сульфата цинка и 50 г хлорида натрия растворяют в дистиллированной воде и доводят объем до 200 мл), раствор иодида калия (5 г иодида калия растворяют в 25 мл дистиллированной воды), 0,05 моль/л раствор тиосульфата, 3 %-ный раствор уксусной кислоты, 1 %-ный раствор крахмала.
Оборудование:
стеклянные палочки, пробирки, колбы конические (объем 50 мл), воронки стеклянные, пипетки, капельницы, водяная баня, бюретки, штатив для пробирок, чашки, часы.
Ход работы.
В две пробирки помещают по 1 мл раствора гидроксида калия. В одну из них (проба) добавляют также 0,1 мл вытяжек, а в другую (контроль) 0,1 мл дистиллированной воды. Затем вносят по 5 мл 0,45 %-ного раствора сульфата цинка и после перемешивания ставят на 2-3 минуты на кипящую водяную баню. После этого смесь фильтруют в конической колбе через ватный тампон, вложенный в воронку. Воронку и ватный тампон промывают горячей дистиллированной водой три раза по 2 мл, не наливая новой порции воды до полного оттока предыдущей. К фильтрату в каждой колбе приливают 2 мл щелочного раствора гексацианоферрата калия (III), и смеси кипятят на водяной бане в течение 15 мин. В каждую колбу добавляют по 2,6 мл раствора сульфата цинка в растворе хлорида натрия, по 0,4 мл раствора иодида калия и, после перемешивания, по 2 мл раствора уксусной кислоты и по три капли раствора крахмала. Смесь титруют 0,05 моль/л раствором тиосульфата натрия до исчезновения окраски, образовавшейся при добавлении крахмала. По затраченным на титрование пробы и контроля объемам тиосульфата натрия, используя таблицу 5, определяют массу глюкозы и вычисляют разность между массой глюкозы в контроле и пробе.
Массовую концентрацию глюкозы (мг/мл) рассчитывают по формуле:
,
где А и В – массы глюкозы, определенные по таблице, в пробе и контроле;
V – объем вытяжки, взятый для анализа.
В основе метода лежит способность альдегидной группы лактозы в щелочной среде окисляться молекулярным йодом:

Избыточное количество йода, которое не вступило в реакцию, определяют титрованием тиосульфатом натрия, используя в качестве индикатора крахмал.
Материалы и реактивы:
складчатые бумажные фильтры, молоко, 7 %-ный раствор сульфата меди, 2 %-ный раствор гидроксида натрия, 5 %-ный раствор фторида натрия, 0,05 моль/л раствор йода, 5 %-ный раствор соляной кислоты, 0,05 моль/л раствор тиосульфата натрия, 1 %-ный раствор крахмала.
Оборудование:
стеклянные палочки, пипетки градуировочные, колбы мерные (объем 50 мл), колбы конические с притертой пробкой (объем 100 мл), воронки стеклянные, бюретки, капельницы, часы.
Ход работы.
В две мерные колбы вносят по 5 мл раствора сульфата меди, по 5 мл раствора гидроксида натрия и по 2,5 мл раствора фторида натрия. В одну из них (проба) добавляют 5 мл молока, в другую (контроль) – 5 мл дистиллированной воды, перемешивают и доводят дистиллированной водой до объема 50 мл, через 30 мин фильтруют. Затем в конические колбы переносят по 20 мл фильтрата пробы и контроля, вливают по 20 мл раствора йода и, непрерывно перемешивая, по 10 мл раствора гидроксида натрия. Тщательно закрывают. Через 20 мин к содержимому колб добавляют по 10 мл раствора соляной кислоты, по три капли раствора крахмала и титруют раствором тиосульфата натрия до исчезновения окраски, образовавшейся при добавлении крахмала.
Массовую концентрацию лактозы в молоке (мг/мл) рассчитывают по формуле
,
где А и В – объемы раствора тиосульфата натрия, затраченные на титрование пробы и контроля;
f – коэффициент поправки на титр 0,05 моль/л раствора тиосульфата натрия;
Q – масса лактозы (18,01 мг), эквивалентная 1 мл 0,05 моль/л раствора тиосульфата натрия;
V0
– общий объем пробы;
V1
и V2
– объемы фильтрата и молока, соответственно, взятые для исследования.
3 БЕЛКИ, ПЕПТИДЫ, АМИНОКИСЛОТЫ
Все белки являются высокомолекулярными полипептидами. Простые белки (протеины) содержат только аминокислоты, а сложные (протеиды) – еще и неаминокислотные компоненты: гем, производные витаминов или углеводные компоненты (Приложения Е-К).
Метод заключается в том, что устанавливают количество децинормального раствора щелочи, затраченное на титрование казеина, зная, что 1 мл децинормальной щелочи эквивалентен 0,11315 г казеина в молоке.
Материалы и реактивы
:
складчатый бумажный фильтр; молоко цельное; 0,1 %-ный спиртовой раствор фенолфталеина; 0,04 н раствор серной кислоты; 0,1 н раствор гидроксида натрия.
Оборудование:
колбы мерные (объем 100 мл), колбы конические объемом от 200 до 250 мл, капельницы, воронки стеклянные, бюретка, часы.
Ход работы:
1) в две колбы емкостью 200…250 мл отмерить по 20 мл из одной пробы исследуемого молока и добавить 80 мл дистиллированной воды;
2) в одну из колб прибавить из бюретки при постоянном перемешивании по каплям 0,04 н раствор H2
SO4
(приблизительно 23…28 мл) до появления хорошо заметных хлопьев казеина;
3) во вторую колбу влить из бюретки такое же количество серной кислоты, как и в первую колбу;
4) содержимое первой колбы отфильтровать в мерную колбу на 100 мл. В фильтрат пройдут через фильтр все составные части смеси, за исключением казеина и жира;
5) смесь во второй колбе (с казеином) оттитровать 0,1 н раствором NaOH с индикатором фенолфталеином (2-3 капли) до слабо-розового окрашивания;
6) 100 мл прозрачного фильтрата перелить в коническую колбу, прибавить 2-3 капли фенолфталеина и так же оттитровать 0,1 н раствором NaOH до слабо-розового окрашивания;
7) вычислить содержание казеина в молоке;
8) на нейтрализацию смеси во второй колбе пошло 14 мл 0,1 н раствора NaOH. На нейтрализацию 100 мл фильтрата из первой колбы без казеина пошло 10 мл 0,1 н NaOH. На нейтрализацию 55 мл фильтрата из колбы без казеина пошло 4 мл 0,1 н раствора NaOH:
55 - 4
61 - х
х = 4,43 мл.
Следовательно, на нейтрализацию казеина из 10 мл молока пошло:
10,0 – 4,43 = 5,57 мл 0,1 н раствора NaOH.
Так как 1 мл 0,1 н раствора NaOH эквивалентен 0,11315 г казеина, то в 10 мл молока содержится:
0,11315·5,57=0,63 г.
В 100 мл молока будет:
0,63·5=3,1 г казеина.
Процентное содержание казеина в молоке:
3,1:1,030 = 3,01 %.
Метод основан на том, что водный нейтральный раствор аминокислот в присутствии нейтрального формалина способен повышать кислотность с образованием соединений, в которых оба водорода аминогруппы замещены метильной группой.

Далее свободную группу COOH оттитровывают щелочью:

Материалы и реактивы:
молоко цельное; 1 %-ный спиртовой раствор фенолфталеина (1 г фенолфталеина растворить в 70 мл этилового спирта и добавить 30 мл воды); нейтрализованный раствор формалина (приготовление: к 50 мл 30…40 %-ного формалина добавить 0,5 мл 1 %-ного спиртового раствора фенолфталеина и при перемешивании оттитровать 1 н раствором NaOH до слабо-розового окрашивания); 0,1 н раствор NaOH.
Оборудование:
колба коническая (объем 100 мл), капельница, бюретка, стакан.
Ход работы:
1) в колбу объемом от 50 до 100 мл отмерить пипеткой 10 мл молока, добавить 10 капель 1 %-ного спиртового раствора фенолфталеина, все размешать и оттитровать 0,1 н раствором щелочи до слабо-розового окрашивания, не исчезающего при взбалтывании;
2) в колбу добавить 2 мл нейтрализованного формалина, размешать (слабо-розовое окрашивание исчезнет);
3) в бюретке отметить уровень щелочи и содержимое колбы вновь оттитровать до такого же слабо-розового окрашивания (как в первый раз), не исчезающего при размешивании;
4) сделать отсчет по бюретке, показывающий количество 0,1 н раствора щелочи, пошедшей на титрование смеси в колбе, и рассчитать содержание общего белка и казеина в молоке;
5) для установления содержания общего белка необходимо количество 0,1 н раствора щелочи, пошедшее на титрование после добавления формалина, умножить на коэффициент 1,94, а для определения казеина – на коэффициент 1,51.
Пример
. После добавления формалина на титрование содержимого колбы пошло 1,7 мл 0,1 н раствора NaOH. Сколько общего белка и казеина в молоке?
Содержание общего белка в молоке (%):
1,7×1,94=3,3.
Содержание казеина (%):
1,7×1,51=2,57.
Факторы, влияющие на точность анализа:
а) неодинаковая интенсивность окраски при титровании до добавления формалина;
б) качество формалина. Используйте только нейтральный и свежеприготовленный формалин!
Метод основан на способности аминокислот реагировать с нейтральным раствором формальдегида с образованием метиленаминокислот. Этот метод применяется для определения карбоксильных групп аминокислот, которые титруют раствором щелочи, предварительно блокировав аминогруппы формальдегидом. Во время реакции с формальдегидом аминогруппа теряет основные свойства, при этом образуется метиленаминокислота, которая оттитровывается щелочью:


Определяя количество карбоксильных групп титрованием, можно одновременно определить и количество α-аминогрупп, так как количество карбоксильных групп эквивалентно количеству связанных с формальдегидом α–аминогрупп.
Материалы и реактивы
:
складчатый бумажный фильтр; сухой хлористый барий; 1 %-ная смесь аминокислот (вытяжка аминокислот из биологического материала); 0,1 %-ный спиртовый раствор фенолфталеина; 0,01 моль/л раствор соляной кислоты; 0,05 моль/л раствор гидроксида калия; формольная смесь (к 50 мл 40 %-ного раствора формальдегида добавляют 10 капель 0,1 %-ного раствора фенолфталеина и по каплям 0,1 моль/л раствор гидроксида калия до образования слабо-розовой окраски).
Оборудование:
колбы мерные (объем 100 мл), капельницы, воронка стеклянная, бюретка, часы.
Ход работы
.
К 25 мл смеси аминокислот в колбе прибавляют 1 г хлористого бария, 10 капель раствора фенолфталеина и перемешивают. К смеси приливают насыщенный раствор баритовой воды до появления едва заметного розового окрашивания. Колбу закрывают и оставляют на 15 минут. Затем разбавляют водой до объема 100 мл и отфильтровывают через складчатый бумажный фильтр от фосфорнокислых и углекислых солей бария. Готовят две колбы объемом 100 мл. В одну вносят 40 мл фильтрата, что соответствует 10 мл раствора аминокислот, во вторую – 40 мл дистиллированной воды. Прибавляют по 10 капель раствора фенолфталеина и при необходимости раствор соляной кислоты (осторожно) до окрашивания растворов (контроля и пробы) в едва заметный розовый цвет. Затем в обе колбы вносят по 10 мл формольной смеси и титруют из бюретки раствором гидроксида калия до появления едва заметной розовой окраски. Цвет контроля и пробы должен быть одинаковым.
Массовую концентрацию аминокислот (мг/мл) рассчитывают по формуле:
,
где А и В – объемы раствора гидроксида калия, затраченные на титрование пробы и контроля, соответственно;
f – коэффициент поправки на титр 0,05 моль/л раствора гидроксида калия;
Q – масса аминокислот, эквивалентная 1 мл 0,05 моль/л раствора гидроксида калия (0,7 мл);
V – объем раствора аминокислоты, взятый для анализа.
Нарушение факторов, стабилизирующих структуру молекулы белка, приводит к осаждению белков. Так, при кипячении у большинства белков нарушаются связи, свойственные нативному состоянию молекулы. Лучший способ осаждения белков – кипячение в средах, имеющие значение pH, равное изоэлектрической точке белков. Внесение в раствор белка нейтральных солей (сульфата аммония, хлорида натрия и др.) облегчает и ускоряет осаждение при кипячении в результате возникающего дегидратирования белковых частиц.
Минеральные и некоторые органические кислоты, органические растворители осаждают белки в результате денатурации и дегидратации белковых молекул, а также в результате образования комплексных солей белков с кислотами.
Механизм осаждения белков алкалоидными реактивами (танином, пикриновой, гексациановой, фосфорно-вольфрамовой, фосфорно-молибденовой, ферритовой кислотами и их солями) обусловлен образованием нерастворимых соединений этих реактивов с азотистыми группами белка. В таких соединениях алкалоидные реактивы являются анионами, а белки – катионами. Для придания молекуле белка положительного заряда раствор белка подкисляют уксусной кислотой. В результате этого положительно заряженные частицы белка легко взаимодействуют с отрицательно заряженными молекулами осадителя. Белки, имеющие положительный заряд (протамины, гистоны), хорошо осаждаются алкалоидными реактивами в среде без предварительного подкисления среды инкубации.
Соли тяжелых металлов (меди, ртути, цинка, серебра, свинца) осаждают белки в результате образования комплексных соединений с сульфогидрильными группами белков. Осадок белка в избытке солей некоторых тяжелых металлов (ацетата свинца, сульфата меди) растворяется. Это связано с тем, что избыток ионов этих металлов, адсорбируясь на поверхности белковых частиц, вызывает перезарядку белкового комплекса, в результате чего он переходит в раствор.
В водном растворе большинство белков и их частиц (мицелл) заряжены и гидратированы, что обусловливает осаждение белков в растворах. Но при высокой концентрации средних солей (сульфата аммония, хлорида натрия), молекулы которых в водных растворах гидратированы, происходит разрушение водных оболочек белковых молекул. В результате этого снижается электрический заряд белковой молекулы адсорбирующимися на ней ионами соли, частицы белка слипаются друг с другом, укрупняются и выпадают в осадок.
Материалы и реактивы:
1 %-ный раствор яичного белка; насыщенный раствор хлорида натрия; 10 %-ный раствор гидроксида натрия; концентрированная азотная и серная кислоты; 20 %-ный раствор сульфосалициловой кислоты; 10 %-ный раствор трихлоруксусной кислоты; 10 %-ный раствор пикриновой кислоты; насыщенный раствор танина; 1 %-ный раствор гесоцианоферрата калия (II); 0,1 %-ный раствор сульфата меди; 1 %-ный раствор ацетата меди; 96 %-ный раствор этилового спирта; 95 %-ный раствор ацетона; насыщенный раствор сульфата аммония; кристаллический сульфат аммония.
Оборудование:
складчатые бумажные фильтры, стеклянные палочки, пробирки со штативом, капельницы, пипетки, пробирки центрифужные, воронки стеклянные, горелка, водяная баня.
В пробирку вносят 2 мл раствора яичного белка и нагревают на кипящей водяной бане. Наблюдают образование осадка (свертывание белка).
Чтобы сравнить зависимость осаждения белков от концентрации водородных ионов, в пять пробирок помещают по 5 мл раствора яичного белка. Нейтральный раствор белка в первой пробирке нагревают до кипения, он мутнеет, наблюдается опалесценция, обусловленная разрушением гидратной оболочки вокруг молекулы белка, и увеличение белковых частиц. Но мицеллы белка несут заряд и потому остаются в растворе, не попадая в осадок. Раствор во второй пробирке нагревают до кипения, вливают 1 мл раствора уксусной кислоты до слабокислой реакции. Через некоторое время белок выпадает в осадок.
В этих условиях частицы теряют заряд, потому что значение pH среды близко к изоэлектрическому состоянию. В третью пробирку вносят 3 мл раствора уксусной кислоты для создания кислой реакции среды. При кипячении раствора осадок не образуется, так как молекулы белка приобретают положительный заряд, что повышает их устойчивость. В четвертую пробирку добавляют 5 мл раствора уксусной кислоты, 2 мл насыщенного раствора хлорида натрия и нагревают. Выпадает белый осадок. Его образование обусловлено тем, что белок при взаимодействии с ионами хлорида натрия теряет свой заряд. В пятую пробирку вносят 2 мл раствора гидроксида натрия для создания щелочной среды. При кипячении жидкости осадок не образуется, так как в щелочной среде увеличивается отрицательный заряд белка.
В одну из пробирок вносят 3 мл концентрированной азотной кислоты и по стенкам пробирки осторожно, чтобы жидкости не перемешивались, 3 мл раствора яичного белка. На границе раздела двух жидкостей образуется осадок в виде белкового кольца (проба Галлера). Содержимое перемешивают, доливают избыток азотной кислоты и убеждаются, что осадок не исчезает.
В другую пробирку вносят 3 мл раствора яичного белка и осторожно по стенкам пробирки вливают 2-3 капли концентрированной серной кислоты. Выпадает осадок. Добавляют избыток серной кислоты и наблюдают растворение осадка.
В две пробирки вносят по 5 мл раствора яичного белка. В одну добавляют 1 мл раствора трихлоруксусной кислоты, а в другую – 1 мл раствора сульфосалициловой кислоты. В обоих случаях наблюдается выпадения осадка белка.
В три пробирки вносят по 1 мл раствора яичного белка, по 0,5 мл раствора уксусной кислоты и по 2-3 капли: в первую – раствора пикриновой кислоты, во вторую – насыщенного раствора танина, в третью – раствора гексоцианоферрата калия (II). Наблюдают выпадение осадка. При добавлении избытка раствора гексоцианоферрата калия (II) и раствора танина осадок растворяется.
В две пробирки вносят по 3 мл раствора яичного белка, добавляют в первую – 2-3 капли раствора сульфата меди, во вторую – 2-3 капли раствора ацетата свинца. Наблюдают образование осадка (с солью меди – голубого цвета, свинца – белого цвета). При добавлении избытка раствора сульфата меди и ацетата свинца происходит растворение образовавшегося осадка.
В две пробирки вносят по 3 мл раствора яичного белка. В первую – 3 мл этилового спирта, во вторую – 3 мл ацетона. Растворы в обоих случаях становятся мутными. Если к ним добавить по 1 мл насыщенного раствора хлорида натрия, то через некоторое время белок выпадает в осадок.
В пробирку вносят 3 мл раствора яичного белка и хлорид натрия до полного насыщения, через несколько минут в осадок выпадают глобулины. Смесь фильтруют через складчатый бумажный фильтр. В фильтрате содержатся альбумины, которые не осаждаются в данном случае. Если к фильтрату добавить 1 мл раствора уксусной кислоты и нагреть смесь до кипения на водяной бане, то альбумины выпадут в осадок.
В центрифужную пробирку вносят 3 мл яичного белка, 3 мл насыщенного раствора сульфата аммония и смесь перемешивают. Через 5 минут смесь центрифугируют в течение 3…5 мин. Центрифугат, содержащий альбумины, сливают в пробирку, а осадок, содержащий глобулины, растворяют в 2 мл воды. Этот раствор используют для обнаружения глобулинов по биуретовой реакции.
К центрифугату добавляют при перемешивании кристаллический сульфат аммония до полного насыщения раствора, то есть до появления на дне пробирки кристаллов сульфата аммония. В этих условиях выпадают в осадок альбумины. Осадок альбуминов отделяют центрифугированием (3…5 мин при скорости 3000 об-1
). Фильтрат проверяют на осаждение белка по биуретовой реакции. Отрицательная биуретовая реакция свидетельствует об отсутствии белка, т.е. о полном осаждении белков из раствора.
Метод диализа основан на способности малых по геометрическим размерам молекул (кристаллоидов) диффузно проникать через полупроницаемые мембраны, а макромолекул (коллоидов) – не проникать. Белки являются высокомолекулярными веществами и не диффундируют через полупроницаемые мембраны (например, коллодиевую или целлофановую пленки). Это свойство белков лежит в основе очистки белков от низкомолекулярных органических и молекулярных примесей.
Материалы и реактивы:
целлофановый или коллодиевый мешочки; 1 %-ный раствор яичного белка; 1 %-ный раствор желатина, 10 %-ный раствор азотной кислоты; 1 %-ный раствор нитрата серебра; 10 %-ный раствор гидроксида натрия; 1 %-ный раствор сульфата меди.
Оборудование:
стеклянные палочки, пробирки, капельницы, пипетки, диализатор (или стеклянный стакан объемом 0,5 л), штатив для пробирок.
Ход работы.
Вначале с помощью биуретовой реакции определяют, содержит ли исследуемый раствор белок. Для этого к 10 каплям раствора белка добавляют три капли 10 %-ного раствора гидроксида натрия, одну каплю 1 %-ного раствора сульфата меди и полученную смесь тщательно перемешивают. Красно-фиолетовая окраска свидетельствует о наличии в растворе белка.
Целлофановый (коллодиевый) мешочек наполняют на 1/3 объема 1 %-ным раствором исследуемого белка. Мешочек помещают в диализатор, заполненный дистиллированной водой (или в стеклянный стакан с водой), зажимая у верхнего края двумя стеклянными палочками, которые скреплены резиновыми колечками. Через 1,5 ч с диализатом (наружная жидкость) и используемой для диализа дистиллированной водой проводят реакцию на обнаружение хлоридов.
Готовят две пробирки, в одну из них добавляют 1 мл дистиллированной воды, в другую – 1 мл диализата, затем по одной капле 10 %-ного раствора азотной кислоты и 1 %-ного раствора нитрата серебра. В пробирке, содержащей диализат, наблюдают выпадение белого осадка хлорида серебра, а в пробирке с дистиллированной водой такого осадка нет. Делают вывод о том, что при диализе солевого раствора белка хлориды проникли в диализат через полупроницаемую мембрану.
Для проверки содержания белка в первую пробирку добавляют 3 мл диализата, во вторую – 3 мл диализируемой жидкости, а так же по 1 мл 10 %-ного раствора гидроксида натрия и 1-2 капли 1 %-ного раствора сульфата меди (проводят биуретовую реакцию). Содержимое перемешивают и наблюдают красно-фиолетовый цвет в пробирке, содержащей диализируемую жидкость. Такое окрашивание отсутствует в пробирке с диализатом. Делают вывод о том, что белок не проникает через полупроницаемую мембрану.
точки белков»
Определение изоэлектрической точки белков основано на способности белков под действием осадителей, вызывающих дегидратацию белков, при значении pH среды, соответствующем их изоэлектрической точке, легко осаждаться.
Материалы и реактивы
: 1 %-ные растворы казеина и желатина; 0,01, 0,1 и 1 моль/л растворы уксусной кислоты; 0,1 моль/л раствор ацетата натрия; 96 %-ный этиловый спирт (или 95 %-ный ацетон); дистиллированная вода.
Оборудование
: стеклянные палочки, пробирки, пипетки, штатив для пробирок.
Ход работы.
В шесть пробирок помещают соответствующие количества (мл) растворов уксусной кислоты, ацетата натрия, дистиллированной воды и овальбумина (яичного белка) согласно данным таблицы 6. Содержание каждой пробирки перемешивают. Затем во все пробирки медленно по стенке доливают по 2 мл спирта (или ацетона). Через 30 мин определяют изоэлектрическую точку. Она будет соответствовать pH пробирки с максимальной степенью помутнения. Далее провести аналогичный опыт с желатином согласно данным таблицы 7.
Таблица 6 – Соотношение компонентов реакционной смеси (мл) для образования значения рН при выявлении изоэлектрической точки овальбумина
| Вода
|
СН3
СООН (0,01 моль/л)
|
CH3
COOH
(0,1 моль/л)
|
Раствор казеина
(1 %-ный)
|
рН среды
|
| 8,4
|
0,6
|
1,0
|
5,9
|
| 7,8
|
1,3
|
—
|
1,0
|
5,6
|
| 8,8
|
—
|
0,3
|
1,0
|
5,3
|
| 8,5
|
—
|
0,5
|
1,0
|
5,0
|
| 8,0
|
—
|
1,0
|
1,0
|
4,7
|
| 7,0
|
—
|
2,0
|
1,0
|
4,4
|
| 5,0
|
—
|
4,0
|
1,0
|
4,1
|
| 1,0
|
—
|
8,0
|
1,0
|
3,8
|
Таблица 7 – Соотношение компонентов реакционной смеси (мл) для образования рН при выявлении изоэлектрической точки желатина
| Вода
|
CH3
COOH
(0,1 моль/л)
|
СН3
СООН (1 моль/л)
|
CH3
COONa (0,1 моль/л)
|
Раствор желатина (1 %-ный)
|
рН среды
|
| 3,8
|
0,8
|
2,0
|
2,0
|
5,6
|
| 3,5
|
0,5
|
—
|
2,0
|
2,0
|
5,3
|
| 3,0
|
1,0
|
—
|
2,0
|
2,0
|
5,0
|
| 2,0
|
2,0
|
—
|
2,0
|
2,0
|
4,7
|
| —
|
4,0
|
—
|
2,0
|
2,0
|
4,4
|
| 3,2
|
—
|
0,8
|
2,0
|
2,0
|
4,1
|
Оформить результаты в табличной форме (таблица 8).
Таблица 8 – Отчетная таблица экспериментальных данных
| Реакции осаждения белков
|
Яичный белок (овальбумин)
|
Растительный белок
|
| Осаждение нагреванием
|
| Осаждение минеральными кислотами
|
| Осаждение органическими кислотами
|
| Реактивы на алкалоиды
|
| Осаждение тяжелыми металлами (ацетат свинца и сульфат меди)
|
| Осаждение органическими растворителями (ацетон)
|
| Осаждение солями (NaCl)
|
| Осаждение сульфатом аммония
|
| Диализ солевого раствора белка
|
| Определение изоэлектрической точки белков
|
Ферменты являются белковыми катализаторами биохимических реакций, большая часть которых в отсутствие фермента протекала бы крайне медленно. В отличие от химических катализаторов каждый фермент способен катализировать лишь очень небольшое число реакций, часто только одну.
Таким образом, ферменты это реакционно-специфические катализаторы. Практически все биохимические реакции катализируются ферментами.
Многие ферменты оказывают каталитическое действие на субстраты только в присутствии специфического термостабильного низкомолекулярного органического соединения – кофермента.
В таких случаях холофермент (каталитически активный комплекс) состоит из апофермента (белковая часть) и связанного с ним кофермента (Приложение Н). Кофермент может быть связанным с апоферментом ковалентными и нековалентными связями. Термин «простетическая группа» относится к ковалентно связанному коферменту. К числу реакций, требующих присутствия кофермента, относятся: окислительно-восстановительные, переноса групп, изомеризации, а также реакции конденсации (по системе IUB это классы 1, 2, 5, 6). Реакции расщепления протекают в отсутствие коферментов (по системе IUB это классы 3 и 4).
4.1 Лабораторная работа «Определение активности амилазы солода по методу Вольгемута»
Метод Вольгемута основан на определении минимального количества фермента, способного при определенных условиях полностью гидролизовать 1 мл 0,1 %-ного раствора крахмала. Амилазная активность солода выражается количеством миллилитров 0,1 %-ного раствора крахмала, которое может быть гидролизовано 1 мл вытяжки из солода при температуре 38 °С в течение 30 мин. В норме амилазная активность равна от 160 до 320 единиц активности.
Метод Вольгемута широко используется в клинической практике для определения амилазной активности крови и мочи, в пивоварении – для определения амилазной активности солода. Резкое повышение амилазной активности в крови и моче (в 10–30 раз) наблюдается при острых панкреатитах, опухолях поджелудочной железы.
Материалы и реактивы:
вытяжка из солода зерновых, разбавленная в 10 раз; 0,1 %-ный раствор крахмала; 0,1 %-ный раствор йода в 0,2 %-ном растворе иодида калия.
Оборудование:
штатив с пробирками, пипетки, капельницы, термостат.
Ход работы.
В десять пробирок наливают по 1 мл дистиллированной воды. В первую пробирку прибавляют 1 мл разведенной в 10 раз вытяжки, перемешивают, 1 мл смеси переносят во вторую пробирку. Содержимое этой пробирки снова перемешивают и 1 мл переносят в третью пробирку и так до десятой пробирки. Из последней пробирки отбирают 1 мл и выливают. Таким образом, в каждой последующей пробирке содержание фермента в два раза меньше, чем в предыдущей. Разведение вытяжки в десяти пробирках составит: 1:10; 1:20; 1:40; 1:80; 1:160; 1:320; 1:640; 1:1280; 1:2560; 1:5120; 1:10240.
Далее во все пробирки прибавляют по 1 мл воды и по 2 мл раствора крахмала, перемешивают и помещают в термостат при температуре 38 °С на 30 мин. После инкубации пробирки охлаждают водопроводной водой для прекращения действия фермента, добавляют по две капли раствора йода, хорошо взбалтывают и наблюдают за изменением окраски. При реакции с йодом жидкость окрашивается в желтый, розовый и фиолетовый цвет.
Отметив, при каком разведении произошел полный гидролиз крахмала с минимальным содержанием фермента (пробирка с желтоватой окраской содержимого), по количеству неразведенной вытяжки (А) в данной пробирке рассчитывают амилазную активность вытяжки (А мл вытяжки расщепляет Х мл 0,1 %-ного раствора крахмала).
Например, желтый цвет появился в четвертой пробирке, где вытяжка разведена в 160 раз. Это количество вытяжки способно гидролизовать 2 мл 0,1 %-ного раствора крахмала, а 1 мл неразведенной вытяжки в тех же условиях гидролизует 320 мл: Х = 2×160/1. Следовательно, амилазная активность равна 320.
4.2 Лабораторная работа «Определение активности каталазы
по Баху»
Метод основан на определении количества пероксида водорода, оставшегося после действия на него каталазы, титрованием на него раствора KMnO4
. Реакция протекает по уравнению
1 мл 0,1 моль/л раствора перманганата калия соответствует 85 мг пероксида водорода.
Материалы и реактивы:
препарат каталазы (1 г проростков солода ячменного растирают в фарфоровой ступке с 6 мл фосфатного буфера и фильтруют); 10 %-ный раствор H2
SO4
; 0,1 %-ный раствор пероксида водорода на фосфатном буфере, pH=7,0 (35,0 мл 0,2 моль/л NaH2
PO4
в 13,6 мл 0,2 моль/л NaH2
PO4
); 0,1 моль/л раствор KMnO4
.
Оборудование:
колбы емкостью 100 мл, пипетки, бюретки, термостат.
Ход работы.
В две колбы вносят по 2 мл препарата каталазы, в одну из них (проба) прибавляют 1 мл 10%-ного раствора H2
SO4
, затем наливают по 2 мл раствора пероксида водорода в каждую колбу, ставят в термостат на 40 мин при температуре 38 °С. По истечении времени инкубации во вторую колбу (контроль) прибавляют 1 мл 10 %-ного раствора H2
SO4
и оба раствора титруют 0,1 моль/л раствором KMnO4
до появления стойкого розового окрашивания от излишка перманганата калия.
Активность каталазы определяют по количеству разложенного пероксида водорода (мл) и рассчитывают по формуле:
,
где – разность результатов титрования контрольного и исследуемого образцов 0,001 н раствором KMnO4
, мл;
Q – количество пероксида водорода (85 мг), соответствующее 1 мл 0,1 моль/л раствора KMnO4
.
4.3 Лабораторная работа «Капельный метод (по Климовскому и Родзевич)»
Амилолитическая активность, обусловленная в основном наличием в препарате α-амилазы, характеризует способность фермента катализировать гидролиз крахмала до неокрашиваемых йодом продуктов. При наличии в препарате α-амилазы и глюкоамилазы этим методом определяется суммарное действие всех амилолитических ферментов.
За единицу амилолитической активности в этом методе принято такое количество фермента, которое катализирует расщепление 1 г растворимого крахмала до продуктов, неокрашиваемых йодом, за 1 час при температуре 30 ºС в строго определенных условиях. Амилолитическую активность АС выражают числом указанных единиц в 1 г препарата, культуры или в 1 см3
раствора. Величина АС показывает, сколько граммов крахмала может быть гидролизовано до неокрашиваемых йодом соединений 1 г препарата, культуры или 1 см3
раствора за 1 ч в условиях определения. Окончание реакции контролируют визуально по йодной пробе.
Чувствительность метода определяют минимальным количеством времени, за которое можно визуально уловить изменение окраски йода. Допускают, что скорость ферментативной реакции прямо пропорциональна количеству применяемого фермента и остается постоянной на протяжении от 5 мин до 1 ч, то есть реакция подчиняется закону реакции нулевого порядка. Кроме того, установлено влияние величины рН и химической природы буфера на величину АС. С ацетатным буфером (рН=4,7) величина АС у грибных препаратов в среднем в 1,5 раза выше, чем при определении с фосфатным буфером (рН=6,0). Поэтому, при определении величины АС грибных культур рекомендуется брать ацетатный буфер.
Недостатком метода является нечеткость визуального определения окончания реакции.
Материалы и реактивы:
ацетатный буфер с рН=4,7 для ферментов грибного происхождения; фосфатный буфер с рН=6,0 для ферментов бактериального происхождения; 1 %-ный раствор крахмала (раствор крахмала, употребляемый для анализа грибных препаратов, должен иметь рН=4,7, для анализа бактериальных препаратов – 6,0); растворы йода. Для приготовления основного раствора йода в тарированный стаканчик с притертой крышкой отвешивают 4,4 г йодида калия, 1,4 г металлического йода, добавляют около 2 см3
дистиллированной воды. Стаканчик закрывают крышкой, содержимое перемешивают и после растворения йода переводят раствор в мерную колбу объемом 100 см3
с притертой пробкой. Доводят объем дистиллированной водой до метки. Содержимое колбы хранят в темном прохладном месте. Основным раствором йода можно пользоваться в течение 30 дней со дня его приготовления. Рабочий раствор йода готовят из основного раствора. Для этого 20 см3
основного раствора йода наливают в мерную колбу вместимостью 100 см3
, добавляют 4,4 г йодида калия и доводят общий объем раствора до 100 см3
. Рабочий раствор йода может быть употреблен в течение шести дней после его приготовления.
Оборудование:
широкие пробирки, стеклянные палочки, пипетки, стаканы объемом 50 мл, чашки Петри, термостат.
Ход работы.
Для определения значения АС важно строго соблюдать условия реакции. Для этого предварительно все растворы – субстрат (1 %-ный раствор крахмала), раствор фермента и дистиллированная вода должны быть нагреты до температуры 30 °С.
Субстрат в количестве 25 см3
(12,5 мл) помещают в широкую пробирку, в которую вставлена стеклянная палочка. 30 см3
(15 мл) вытяжки и 30 см3
(15 мл) воды наливают в отдельные пробирки, помещают в термостат и выдерживают при температуре 30 ºС в течение 10 минут.
Затем в широкую пробирку к раствору крахмала, не вынимая пробирок из термостата, с помощью пипеток добавляют от 1 до 25 см3
исходного ферментного раствора и соответствующее количество воды так, чтобы общий объем реакционной смеси был 50 см3
. Если ферментная вытяжка малоактивна, то можно внести только ее в количестве 25 см3
, а воду вообще не добавлять.
Содержимое пробирки перемешивают палочкой и отмечают время по секундомеру, когда была добавлена вытяжка к раствору крахмала. Через каждые 60 секунд из пробирки, не вынимая ее из термостата, отбирают палочкой каплю пробы. Каплю помещают на белую фарфоровую пластину, соединяют эту каплю с каплей рабочего раствора йода и наблюдают окраску. Реакция расщепления крахмала считается оконченной, когда йод перестает давать изменение окраски при соединении с каплей испытуемого раствора в течение первых 10 секунд. Изменение окраски отчетливо видно на границе соприкосновения двух капель – йода и реакционной смеси.
Время, за которое происходит расщепление крахмала до продуктов, не окрашивающихся йодом, должно быть в пределах от 10 до 20 минут.
Если время гидролиза менее 10 мин, определение повторяют, беря на гидролиз меньше вытяжки и больше воды. Если гидролиз не заканчивается в течение 20 мин, то анализ также повторяют, беря на определение больше ферментной вытяжки и меньше воды. Количество ферментной вытяжки, которое необходимо брать на повторный анализ, вычисляют с учетом полученного времени гидролиза.
Если ферментная вытяжка имеет малую или слишком высокую активность, и количество ферментного раствора от 1 до 25 см3
не обеспечивает длительности гидролиза крахмала в течение 10…20 мин, то для анализа берут не 25 см3
раствора крахмала, а большее или меньшее его количество, например, 10 или 40 см3
, внося соответствующую поправку в расчетную формулу (соответственно 0,1 или 0,4 вместо, обычных 0,25).
Величину значения амилолитической активности АС (ед./г) рассчитывают по формуле:

где 0,25 – количество крахмала, которое находится в 25 см3
1 %-ного раствора, г;
60 – коэффициент пересчета на 1 ч;
n – количество фермента, участвующего в реакции, г или см3
(эта величина определяется с учетом концентрации исходной вытяжки и последующего разведения);
t – время, за которое произошло расщепление крахмала до не окрашиваемых йодом продуктов, мин.
Пример.
Для анализа взята ферментная вытяжка воздушной культуры гриба. Исходный раствор приготовлен из расчета 5 г культуры в 100 см3
забуференной воды. Известно, что данная культура очень активна, поэтому сделано дополнительное разведение исходного раствора: 20 см3
доведено в мерной колбе до 50 см3
дистиллированной водой и оттуда на анализ взято 2 см3
, т.е. получена такая последовательность разведения:
5 г → 100 см3
→ 20 см3
→ 50 см3
→ 2 см3
.
Для гидролиза 0,25 крахмала (25 см3
1 %-ного раствора крахмала) ферментным раствором последнего разведения (2 см3
) потребовалось 12 мин. Тогда АС воздушно-сухой культуры (ед./г) составит:

При пересчете ферментативной активности следует учитывать не абсолютно сухое вещество ферментного препарата, а с учетом влажности. Расчет следует производить по формуле:
,
где W – влажность культуры или препарата.
4.4 Лабораторная работа «Метод Вильштеттера и Вальдшмидта-Лейтца определения протеолитической активности ферментов в модификации»
Метод основан на определении свободных карбоксильных групп в спиртовых растворах аминокислот и полипептидов.
Активность (ПС) выражается количеством миллиграммов аминного азота, которое образуется при гидролизе определенного количества 5 %-ного раствора желатина с величиной рН от 7,3 до 7,5 1 г препарата или 1 см3
ферментного раствора за 1 ч при температуре 40 ºС.
За единицу протеолитической активности принимается количество фермента, которое образует 1 мг аминного азота за 1 ч при принятых условиях опыта.
Материалы и реактивы:
96 %-ный этиловый спирт; 1 %-ный раствор тимолфталеина; 0,1 н раствор NaOH; субстрат – 5 %-ный раствор желатина; вытяжка из анализируемого растения.
Приготовление вытяжки для определения протеолитической активности: навеска 0,25 г растительного материала помещается в фарфоровую ступку и растирается в течение 2,5 мин с 2,5 мл фосфатного буфера (рН=7,3), далее масса фильтруется.
Приготовление 5 %-ного раствора желатина (субстрат): 5 г желатина предварительно замачивается в стеклянном стаканчике в 15…20 см3
дистиллированной воды в течение 20…30 мин. Набухший белок заливается 20…25 см3
буферного раствора с температурой от 70 до 80 °С и тщательно перемешивается стеклянной палочкой. Растворившаяся часть сливается в мерную колбу объемом 100 см3
, к нерастворившейся части добавляется еще 20…25 см3
буферного раствора, и полученный раствор снова переносится в эту же колбу. Охлажденный до 40 °С раствор желатина доводится до метки буферным раствором такой же температуры. Готовый раствор желатина хранится в холодильнике при температуре от 2 до 5 °С и используется для анализа в течение двух суток. Перед анализом раствор желатина нагревается до температуры 40 °С на водяной бане.
Оборудование:
конические колбы объемом от 200 до 250 мл, мерные колбы объемом 50 мл, стеклянные палочки, пипетки, бюретки, термостат.
Ход работы.
К 10 см3
5 %-ного раствора желатина с величиной рН от 7,3 до 7,5 приливают 2 см3
испытуемого ферментного раствора и сразу же отбирают 1 см3
реакционной смеси в коническую колбу емкостью от 50 до 100 см3
, куда предварительно наливают 20 см3
96 %-ного этилового спирта и 0,2 см3
1 %-ного тимолфталеина. Пробу титруют 0,1 н раствором NaOH до появления голубой окраски.
Оставшуюся смесь желатина с ферментным раствором помещают в термостат с температурой 40 ºС для гидролиза. Через 3 ч 1 см3
реакционной смеси отбирают во вторую колбу емкостью от 50 до 100 см3
, куда предварительно наливают 20 см3
96 %-ного этилового спирта и 0,2 см3
1 %-ного тимолфталеина. Пробу титруют, как в случае контрольного варианта.
Расчет протеолитической активности ПС проводят по формуле:
,
где А – количество аминного азота, накопленного за время опыта из реакционной среды, мл;
t – продолжительность протеолиза, ч;
Р – коэффициент, учитывающий разведение и пересчет на 1 г препарата или 1 см3
жидкого ферментного раствора.
Величину А рассчитывают по формуле:
,
где а – количество 0,1 н раствора NaOH, пошедшее на титрование 1 см3
опытной пробы, см3
;
ак
– то же для контрольной пробы;
1,4 – коэффициент пересчета количества 0,1 н раствора щелочи в миллиграммы азота аминокислот и полипептидов;
К – поправка к титру щелочи.
Липиды – это гетерогенная группа соединений, непосредственно или опосредовано связанных с жирными кислотами. Их общими свойствами являются:
1) относительная нерастворимость в воде;
2) растворимость в неполярных растворителях – эфире, хлороформе, бензоле.
В зависимости от химического состава липиды подразделяют на несколько классов:
– простые липиды
, включают вещества, молекулы которых состоят только из остатков жирных кислот (или альдегидов) и спиртов; к ним относятся жиры (триглицериды), воски (эфиры жирных кислот и жирных спиртов);
– сложные липиды
могут присоединять функциональные группировки с образованием фосфолипидов (остатки фосфорной кислоты), сульфолипидов (остатки серной кислоты), гликолипидов (углеводы), липопротеидов (белки) (Приложения Л, М).
5.1 Лабораторная работа «Определение числа омыления жира»
Числом омыления называется количество миллиграммов едкого калия, необходимое для нейтрализации всех, как свободных, так и входящих в состав триацилглицеролов жирных кислот, содержащихся в 1 г жира.
Материалы и реактивы:
растительное масло, 0,1 %-ный раствор фенолфталеина; раствор HCl (0,5 моль/л); спиртовый раствор KOH (0,5 моль/л). Для приготовления этого реактива растворяют 40 г КОH в 30 мл воды, в зависимости от концентрации спиртового раствора берут соответствующее количество водного раствора КОH и разводят перегнанным в присутствии NаОН (на 100 г спирта 5 г NаОH) спиртом. Спирт с таким соотношением NаОН кипятят с обратным холодильником в течение часа, затем перегоняют. Раствор отстаивают сутки, фильтруют и сохраняют в склянке темного стекла, хорошо закупорив (для защиты от углекислоты воздуха).
Оборудование:
колбы емкостью 50 мл, обратный холодильник, водяная баня, пипетки, бюретки, капельницы.
Ход работы.
В одну колбу (исследуемая проба) помещают 0,5 г растительного масла, в другую (контрольная проба) – 0,5 мл воды. В обе колбы доливают по 15 мл спиртового раствора КОН и кипятят с обратным холодильником на водяной бане в течение 50 мин до полного омыления глицеридов и нейтрализации свободных жирных кислот. Затем в обе колбы доливают по 10 капель раствора фенолфталеина и титруют в теплой воде раствором НС1 до исчезновения розовой окраски (до нейтральной реакции).
Количество КОН (мг) или число омыления (ЧО), которое пошло на нейтрализацию свободных жирных кислот в 1 г жира, равно:
,
где (В – А) – разность результатов титрования контрольного и опытного образцов раствором соляной кислоты (0,5 моль/л), мл;
a – навеска исследуемого жира, г;
f –
коэффициент поправки на титр раствора НС1 (0,5 моль/л);
Q –
количество КОН (28,05 мг), эквивалентное 1 мл раствора КОН (0,5 моль/л).
5.2 Лабораторная работа «Определение кислотного числа жира»
Кислотностью жира или кислотным числом называется число миллиграммов едкого калия, необходимое для нейтрализации свободных жирных кислот, содержащихся в 1 г жира.
Материалы и реактивы:
спирт; нейтрализованный по фенолфталеину; раствор КОН (0,1 моль/л); 0,1 %-ный раствор фенолфталеина, жир (подсолнечное масло).
Оборудование:
колбы емкостью 50 мл, пипетки, бюретки.
Ход работы.
К 1 г растительного масла добавляют 5 мл спирта, нейтрализованного по фенолфталеину, тщательно перемешивают для максимального растворения свободных жирных кислот и титруют раствором КОН до появления не исчезающей после взбалтывании розовой окраски (окраска не должна исчезать в течение 0,5…1 мин).
Количество КОH (мг) или кислотное число (КЧ), которое пошло на титрование свободных жирных кислот в 1 г жира, рассчитывают по формуле:
,
где А – объём раствора КОН (0,1 моль/л), израсходованного на титрование исследуемой пробы;
f –
коэффициент поправки на титр раствора КОН (0,1 моль/л);
Q –
количество КОН (5,61 мг), эквивалентное 1 мл раствора КОН (0,1 моль/л).
5.3 Определение эфирного числа жира
Эфирным числом называется число миллиграммов едкого калия, небходимое для нейтрализации всех жирных кислот, образующихся при омылении триацилглицеролов, содержащихся в 1 г жира. Это число определяют как разницу между числом омыления данного жира и его кислотным числом.
5.4 Лабораторная работа «Определение йодного числа жира»
Йодным числом называется количество граммов йода, которое прореагировало с 100 г жира. Это число указывает на содержание в жире непредельных жирных кислот.
Определение йодного числа основывается на реакции присоединения йода по месту двойной связи, которая протекает по уравнению:

Материалы и реактивы:
растительное масло; эмерсионное масло; спиртовой раствор йода (0,1моль/л); 1 %-ный раствор крахмала; раствор Na2
S2
O3
(0,5 моль/л).
Оборудование:
две конические колбы ёмкостью 50 мл, пипетки, бюретки.
Ход работы.
В первую колбу помещают навеску жира от 0,1 до 0,2 г (исследуемая проба), во вторую от 0,1 до 0,2 мл воды (контрольная проба), прибавляют по 10 мл спиртового раствора йода и перемешивают. Через 15 мин содержимое колб оттитровывают раствором Na2
S2
O3
сначала до появления слабо-желтого окрашивания, а потом, прибавив 1 мл раствора крахмала, титруют до исчезновения синего окрашивания.
Йодное число вычисляют по формуле:
,
где (В – А) – разность результатов титрования контрольного и опытного образцов в растворе гипосульфита (0,5 моль/л), мл;
a – навеска исследуемого жира, г;
f – коэффициент поправки на титр раствора Na2
S2
O3
(0,5 моль/л);
Q –
количество йода (12,69 мг), эквивалентное 1 мл раствора Na2
S2
O3
(0,5 моль/л).
6
ВИТАМИНЫ
Витамины – важнейший класс незаменимых биологически активных веществ. Организм человека и животных не синтезирует витамины или синтезирует их в недостаточном количестве. В отличие от других незаменимых веществ (аминокислоты и жирные кислоты) витамины не являются пластическим материалом или источником энергии и участвуют в обмене веществ преимущественно как коферменты при биокатализе и регуляторы биохимических и физиологических процессов (Приложение Н).
Принцип реакции.
Витамин В1
в щелочной среде под действием гексоциано-III феррата калия окисляется в тиохром - пигмент желтого цвета, который в изобутиловом спирте дает интенсивно синюю флюоресценцию:

Материалы и реактивы:
тиамин в концентрации 5 мкг в 1 мл; 1 %-ный раствор K3
Fe(CN)6
; 30 %-ный раствор NaOH; изобутиловый спирт.
Оборудование:
источник ультрафиолетового излучения (флюороскоп), штатив с пробирками, пипетки.
Ход работы
.
К 1 мл раствора витамина В1
прибавляют 2 мл смеси (1 мл раствора K3
Fe(CN)6
и 1 мл раствора NaOH), тщательно перемешивают и оставляют на три минуты. Затем прибавляют 5 мл изобутилового спирта, энергично и равномерно встряхивают в течение 2 мин. Изобутиловый экстракт тиохрома в ультрафиолетовых лучах имеет интенсивную синюю флюоресценцию. Это очень чувствительная специфическая реакция.
6.2 Лабораторная работа «Реакция восстановления рибофлавина (витамина В2
)»
Образующийся при добавлении металлического цинка к концентрированной соляной кислоте водород восстанавливает желтый рибофлавин сначала в родофлавин (промежуточное соединение) красного цвета, а затем в бесцветный лейкофлавин:

Материалы и реактивы:
концентрированная HCl; металлический цинк; 0,025 %-ный раствор витамина B2
(эмульсия рибофлавина в воде).
Оборудование:
пробирки, пипетки.
Ход работы.
В пробирку приливают 1 мл раствора витамина В2
, 0,5 мл концентрированной соляной кислоты и опускают кусочек металлического цинка. Выделяющийся водород реагирует с рибофлавином, восстанавливая его, и жидкость постепенно окрашивается в розовый цвет, а затем обесцвечивается. При взбалтывании обесцвеченного раствора лейкофлавин вновь окисляется кислородом воздуха в рибофлавин.
6.3 Лабораторная работа «Реакция на пиридоксин
(витамин В6
) с хлоридом железа (
III
)»
При взаимодействии пиридоксина с раствором хлорида железа жидкость окрашивается в красный цвет вследствие образования комплексной соли типа фенолята железа.
Материалы и реактивы:
водный 1 %-ный раствор витамина В6
; 1 %-ный раствор FeCl3
.
Оборудование:
пробирки, пипетки.
Ход работы.
В пробирке смешивают 1 мл водного раствора пиридоксина и 2 капли раствора хлорида железа. Смесь встряхивают. Наблюдают окрашивание жидкости в красный цвет.
6.4 Лабораторная работа «Выделение фолиевой кислоты из дрожжей и ее обнаружение»
Фолиевая кислота хорошо растворима в 0,1 моль/л растворе NaOH. При экстрагировании фолиевой кислоты из дрожжей и ультрафиолетовом облучении наблюдается ее интенсивная голубая флюоресценция.
Материалы и реактивы:
дрожжи пищевые; ледяная уксусная кислота; 0,4 %-ный раствор перманганата калия; 3 %-ный раствор пероксида водорода; 0,1 моль/л и 0,005 моль/л растворы гидроксида натрия; индикаторная бумага; кварцевый песок.
Оборудование:
центрифуга, флюороскоп, центрифужные пробирки, ступка с пестиком, пипетки.
Ход работы.
В ступку помещают 10 г дрожжей, прибавляют 10 мл 0,1 моль/л раствора NaOH, 2 г кварцевого песка и растирают в течение 5 мин. Затем центрифугируют в течение 15 мин при скорости 800 об/мин.
К 10 каплям надосадочной жидкости приливают 20 капель ледяной уксусной кислоты (pH=3,0) и 10 капель раствора KMnO4
так, чтобы розовая окраска не исчезала в течение 10 мин (при её исчезновении следует прилить ещё несколько капель KMnO4
). Через 10 мин избыток перманганата калия удаляют путем добавления 4-5 капель раствора H2
O2
и приливают 0,005 моль/л раствора NaOH (около 5 мл) до pH 4,0-4,5 (в присутствии индикатора).
При ультрафиолетовом облучении фолиевой кислоты в щелочном растворе в флюороскопе наблюдается интенсивная голубая флюоресценция.
6.5 Реакции на аскорбиновую кислоту (витамин С)
Аскорбиновая кислота способна легко вступать в окислительно-восстановительные реакции и восстанавливать 2,6-дихлорфенолиндо-фенол, гексоциано-(III)-феррат калия, нитрат серебра, метиленовый синий. При этом окисленные формы 2,6-дихлорфенолиндофенола (синий цвет) и метиленового синего восстанавливаются в бесцветные лейкосоединения, а K3
Fe(CN)6
восстанавливается до K4
Fe(CN)6
, который с ионами валентного железа дает соль Fe[Fe(CN)6
]3
синего или зеленого цвета. Реакция восстановления метиленового синего происходит по уравнению:

Материалы и реактивы:
0,1 %-ный раствор 2,6-дихлорфенол-индофенола; 10 %-ный раствор аскорбиновой кислоты; 0,01 %-ный раствор метиленового синего; 10 %-ный раствор Na2
CO3
; 1 %-ный раствор K3
Fe(CN)6
; 1 %-ный раствор FeCl3
.
Оборудование:
штатив с пробирками, капельницы, пипетки, термостат.
Ход работы.
Для проведения реакции с 2,6-дихлорфенолиндофе-нолом в пробирку вносят 0,5 мл раствора 2,6-дихлорфенолиндофенола, 1-2 капли раствора HCl и каплями раствор аскорбиновой кислоты. Раствор 2,6-дихлорфенолиндофенола обесцвечивается.
Для проведения реакции с метиленовым синим в две пробирки вносят по одной капле раствора метиленовой сини и по одной капле раствора бикарбоната натрия. В первую вливают пять капель раствора аскорбиновой кислоты, во вторую – пять капель воды и ставят обе пробирки в термостат при температуре от 37 до 40 °С. Через некоторое время в пробирке с раствором аскорбиновой кислоты жидкость обесцвечивается.
Для реакции с гексациано-(III)-ферратом калия к 1 мл раствора аскорбиновой кислоты прибавляют 1 мл раствора K3
Fe(CN)6
и 0,5 мл раствора FeCl3
. Наблюдают образование сине-зеленого окрашивания.
6.5.2 Лабораторная работа «Количественное определение витамина С по Тильмансу
»
Метод количественного определения аскорбиновой кислоты основан на ее способности окисляться 2,6-дихлорфенолиндофенолом до дегидроаскорбиновой кислоты. По количеству 2,6-дихлорфенол-индофенола, затраченного на титрование, определяют количество аскорбиновой кислоты в исследуемом материале. Как только все количество витамина С окислится, титруемый раствор приобретает розовую окраску за счет образования недиссоциированных молекул 2,6-дихлор-фенолиндофенола (в кислой среде). В щелочной среде 2,6-дихлор-фенолиндофенол имеет синюю окраску, в кислой – красную, а при восстановлении обесцвечивается:

Материалы и реактивы:
соляная кислота (2 %-ный раствор); натриевая соль 2,6-дихлорфенолиндофенола 0,0005 моль/л раствор (молекулярная масса – 290, грамм-эквивалент – 145).
Оборудование:
растительные продукты (капуста, хвоя, картофель, шиповник), фарфоровая ступка с пестиком, коническая колба, микробюретка, стаканы для титрования, пипетки, воронки, весы с разновесами, стеклянный песок.
Ход работы.
Взвешивают 1 г растительного продукта, тщательно растирают в фарфоровой ступке со стеклянным песком. К растертой массе прибавляют 9 мл раствора соляной кислоты и отстаивают. Через 10 мин содержимое перемешивают и фильтруют. Для количественного определения берут 3 мл фильтрата, помещают в коническую колбу и титруют раствором 2,6-дихлорфенолиндофенола до появления розовой окраски, сохраняющейся в течение 30 секунд; 1 мл 0,0005 моль/л раствора 2,6-дихлорфенолиндофенола соответствует 0,088 мг аскорбиновой кислоты.
Массовую концентрацию аскорбиновой кислоты (мг) рассчитывают по формуле
,
где Q –
количество аскорбиновой кислоты (0,088 мг), соответствующее 1 мл 0,0005 моль/л раствора 2,6-дихлорфенолиндофенола;
А –
количество 0,0005 моль/л раствора 2,6-дихлорфенолиндо-фенола, затраченного на титрование, мл;
V0
–
общее количество экстракта, мл;
V1
– объем экстракта, взятый для титрования, мл;
а –
количество пищевого продукта, мг.
7 НУКЛЕИНОВЫЕ КИСЛОТЫ
Нуклеиновые кислоты – это макромолекулы кислотного характера, содержащиеся в ядре, а так же в митохондриях, хлоропластах и цитоплазме, состоят из нуклеотидов.
В живых организмах присутствуют два типа нуклеиновых кислот: рибонуклеиновая кислота (РНК) и дезоксирибонуклеиновая кислота (ДНК). Их биологическая функция заключается в хранении и передаче наследственной информации живых организмов. Наследственная информация (наследственные признаки) определяет вид, форму, химический состав и функции живой клетки и всего организма в целом.
Мономеры нуклеиновых кислот – нуклеотиды, принимают участие во множестве биохимических процессов. Наиболее известна роль пуриновых и пиримидиновых нуклеотидов в качестве мономеров-предшественников при биосинтезе РНК и ДНК. Помимо этого пуриновые рибонуклеотиды выполняют функции универсальных источников энергии (например, АТФ), входят в состав коферментов (ФАД, НАД, НАДФ). Пиримидиновые нуклеотиды входят в состав макроэргов углеводного обмена (Приложения П-У).
7.1 Лабораторная работа «Обнаружение пуриновых оснований в составе нуклеопротеидов»
Метод основан на образовании комплексов пуриновых оснований с солями серебра.
Материалы и реактивы:
концентрированный раствор аммиака; 1 %-ный раствор АgNО3
; дрожжи (в круглодонную колбу для гидролиза помещают 1 г пекарских дрожжей, доливают 20 мл 10 %-ного раствора серной кислоты и 20 мл дистиллированной воды, колбу закрывают пробкой, в которую вставлена в качестве холодильника стеклянная трубка длиной от 20 до 30 см, кипятят под тягой в течение 1 ч на асбестовой сетке при слабом нагревании, после окончания гидролиза жидкость охлаждают, доводят водой до первоначального объема и фильтруют).
Оборудование:
колба, пипетки, пробирки, воронки, стеклянная трубка длиной от 25 до 30 см, газовая горелка.
Ход работы.
К 1 мл гидролизата добавляют концентрированный раствор аммиака до получения щелочной среды (по лакмусу) и 0,5 мл раствора АgNО3
. Через 3…5 мин образуется рыхлый осадок серебряных солей пуриновых оснований.
7.2 Лабораторная работа «Обнаружение белков в составе нуклеопротеидов»
Для подтверждения наличия белков в составе нуклеопротеидов проводят биуретовую реакцию. Эта реакция характерна для соединений, содержащих не менее двух пептидных связей. Такие полимеры (белки) в щелочной среде образуют с сульфатом меди окрашенные комплексные соединения, цвет которых зависит от длины полипептидной цепи. Раствор нативного белка дает сине-фиолетовое окрашивание, а продукты его гидролиза (пептиды) – красно-фиолетовое.
Материалы и реактивы:
гидролизат нуклеопротеидов дрожжей; 10 %-ный раствор гидроксида натрия; 1 %-ный раствор сульфата меди.
Оборудование:
пробирки, пипетки, капельница.
Ход работы.
В пробирку вносят 0,5 мл гидролизата дрожжей, нейтрализуют (по лакмусу) раствором NaОН, затем добавляют 0,5 мл раствора NаОН и 2-3 капли раствора СuSО4
. Смесь перемешивают и наблюдают появление окраски, что свидетельствует о присутствии в пробе полипептидов, образующихся в результате гидролиза белковой части нуклеопротеидов.
8 СОДЕРЖАНИЕ ЛАБОРАТОРНОГО ПРАКТИКУМА ПО БИОХИМИИ
1. Лабораторная работа № 1 (4 часа). «Техника безопасности, правила работы в биохимической лаборатории, методы определения рН среды
». Правила безопасной работы в химической лаборатории, организация лаборатории, правила пользования электрооборудовани-ем, приборами. Электрометрическое определение рН. Индикаторный метод измерения рН.
2. Лабораторная работа № 2 (4 часа).
«Углеводы и их обмен
».
Структура, свойства и функции углеводов в организме. Количественное определение углеводов в растворах (методом Бертрана, методом Хангендорна-Иенсена и др.).
3. Лабораторная работа № 3 (4 часа). «АМИНОКИСЛОТЫ, ПЕПТИДЫ, БЕЛКИ И ИХ ОБМЕН».
Физико-химические свойства белков (высаливание, осаждение сернокислым аммонием, хлористым натрием, сернокислым магнием, органическими кислотами, этиловым спиртом, ацетоном). Количественное определение белка в растворе методом Матиопуло, формольным титрованием, методом Лоури. Количественное определение смеси аминокислот в растворе по Сьоренсону.
4. Лабораторная работа № 4 (4 часа). «Ферменты
». Изучение действия ферментов. Свойства ферментов. Определение активности ферментов (каталазы, пероксидазы, амилазы, протеазы) в солоде ржи, проса, ячменя, овса, пшеницы, в молоке, в дрожжевой воде. Влияние рН и температуры на активность ферментов.
5. Лабораторная работа № 5 (4 часа). «Липиды и их обмен
». Омыление жира и образование свободных жирных кислот. Определение числа омыления липидов (касторовое масло, подсолнечное масло, сливочное масло). Определение кислотного числа жира. Определение эфирного, йодного, перекисного чисел жира.
6. Лабораторная работа № 6 (4 часа). «Витамины
». Качественные реакции на витамины А, Е, К, D. Реакция с диазореактивом на тиамин (В1
), реакция восстановления рибофлавина (В2
), реакция на пиридоксин (В6
), определение содержания фолиевой кислоты в дрожжевом экстракте. Количественное определение витамина С в морсах и соках.
7. Лабораторная работа № 7 (4 часа). «Нуклеиновые кислоты и нуклеопротеиды
». Выделение нуклеопротеидов. Обнаружение углеводов, пуриновых оснований, фосфорной кислоты, белков в составе нуклеопротеидов.
8. Лабораторная работа №8 (4 часа). Защита выполненных лабораторных работ.
ЛИТЕРАТУРА
1. Кучеренко, Н.Е. Биохимия: практикум / Н.Е. Кучеренко [и др.]. – К.: Высшая школа, 1988. – 128 с.
2. ГОСТ 7.32-2001 СИБИД. Отчет о научно-исследовательской работе. Структура и правила оформления.
3. ГОСТ 8.417-20002 ГСИ. Единицы физических величин.
4. Равич-Щербо, М.И. Физическая и коллоидная химия / М.И. Равич-Щербо, В.В. Новиков. – М.: Высшая школа, 1975. – 255 с.
5. Кушманова, О.Д. Руководство к лабораторным занятиям по биологической химии / О.Д. Кушманова, Г.М. Ивченко. – М.: Медицина, 1983. – 272 с.
6. Ленинджер, А. Биохимия / А. Ленинджер. – М.: Мир, 1974. – 957 с.
7. Методы практической биохимии // Под редакцией Б. Уильямс, К. Уилсон. – М.: Мир, 1978. – 268 с.
8. Березов, Т.Т. Биологическая химия / Т.Т. Березов, Б.Ф. Коровкин. – М.: Медицина, 1982. – 752 с.
9. Аверьянова, Е.В. Крахмал: методические указания по курсу «Методы переработки растительного сырья» / Е.В. Аверьянова, В.П. Севодин. – Бийск: Изд-во АлтГТУ, 1999. – 33 с.
10. Викторов, Д.П. Малый практикум по физиологии растений / Д.П. Викторов. – М: Высшая школа, 1983. – 120 с.
11. Гильманов, А.П. Методы очистки и изучения ферментов растений / А.П. Гильманов, О.В. Фурсов, А.П. Францев. – Алма-Ата: Наука, 1981. – 84 с.
12. Кошелев, Ю.А. Витамины: методические указания к лабораторному практикуму по курсам «Биохимия», «Пищевая химия» / Ю.А. Кошелев, М.Э. Ламберова. – Бийск: Изд-во АлтГТУ, 2005. – 56 с.
13. Мезенцева, Н.И. Определение активности оксидоредуктаз растений, экстрагируемых различными буферами / Н.И. Мезенцева // И.Л. КазГос ИНТИ ВК ЦНТИ. - № 2, 1995. – 4 с.
14. Мезенцева, Н.И. Применение электрофореза белков / Н.И. Мезенцева, С.В. Лаптев, И.В. Рогова // И.Л. КазГос ИНТИ ВК ЦНТИ. - № 1, 2000. – 4 с.
15. Мезенцева, Н.И. Биохимия: методические указания к изучению дисциплины и выполнению контрольных работ для студентов всех форм обучения / Н.И. Мезенцева, Е.В. Аверьянова, С.В. Лаптев. – Бийск: Изд-во АлтГТУ, 2006. – 96 с.
16. Пустовалова, Л.М. Практикум по биохимии / Л.М. Пустовалова. – Ростов-н/Д: Феникс, 1999. – 544 с.
17. Рухлядева, А.П. Методы определения активности гидролитических ферментов / А.П. Рухлядева, Г.В. Полыгалина. – М: Легкая и пищевая промышленность, 1981. – 287 с.
18. Савронь, Е.С. Практикум по биохимии животных / Е.С. Савронь, В.И. Воронянский. – М.: Высшая школа, 1967. – 239 с.
19. Северин С.Е. Практикум по биохимии / С.Е. Северин, Г.А. Соловьев. – М: Изд-во МГУ, 1989. – 509 с.
20. Третьяков, Н.Н. Практикум по физиологии растений / Н.Н. Третьяков, Т.В. Карнаухова, Л.А. Паничкин. – М: Агропромиздат, 1990. – 271 с.
21. Филиппович, Ю.Б. Практикум по общей биохимии / Ю.Б. Филиппович, Т.В. Бурова, Г.А. Севастьянова. – М: Изд-во МГУ, 1982. – 78 с.
22. Практикум по биохимии / под редакцией В.П. Комова. – М.: Дрофа, 2004. – 215 с.
24. Сельскохозяйственная биотехнология / под редакцией В.С. Шевелухи. – М.: Высшая школа, 1998. – 415 с.
25. Суханова, Г.А. Биохимия клетки / Г.А. Суханова, В.Ю. Серебров. – Томск: Изд-во ТГУ, 2000. – 184 с.
26. Лаптева, Т.А. Основы физколлоидной химии: учебно-методическое пособие для студентов факультета ветеринарной медицины / Т.А. Лаптева. – Томск: Изд-во ТСХИ, 2006. – 38 с.
27. Коряжнов, В.П., Макаров В.А. Практикум по ветеринарно-санитарной экспертизе молока и молочных продуктов / В.П. Коряжнов, В.А. Макаров. – М.: Колос, 1981. – 170 с.
28. Лаптев, С.В. Лабораторный практикум по ветеринарно-санитарной экспертизе с основами технологии и стандартизации продуктов / С.В. Лаптев, Н.И. Мезенцева. - Томск: Изд-во ТСХИ, 2008. - 146 с.
Классификация моносахаридов
Дисахариды

Глюконеогенез
Схема потока метаболитов пентозофосфатного пути и их связи с гликолизом
Взаимопревращение питательных веществ
Классификация аминокислот, основанная на полярности
и заряде
R
-групп
Элементы вторичной структуры белков: а
-
a
-спираль; б
-
b
-слой
| Некоторые
a
-аминокислоты, не входящие в состав белков, но играющие важную роль в метаболизме
|
|
Цикл мочевины (орнитиновый цикл)
b
-Окисление жирных кислот
Биосинтез жирных кислот
Коферменты


ПРИЛОЖЕНИЕ П
Нуклеотиды РНК и ДНК
Распад пуринов
Распад пиримидинов
Структура ДНК
Структура тРНК
Учебное издание
Мезенцева
Надежда Ивановна
Аверьянова
Елена Витальевна
Лаптев
Сергей Владимирович
БИОХИМИЯ
Практикум по курсу «Биохимия» для студентов специальностей 260204 «Технология бродильных производств и виноделие» и 240901 «Биотехнология»
Редактор Идт Л.И.
Подписано в печать 09.10.2009. Формат 60´84 1/16
Усл. п. л. - 4,9. Уч.-изд. л. - 4,6
Печать - ризография, множительно-копировальный аппарат «RISO EZ300»
Тираж 60 экз. Заказ 2009-105
Издательство Алтайского государственного
технического университета
656038, г. Барнаул, пр-т Ленина, 46
Оригинал-макет подготовлен ИИО БТИ АлтГТУ
Отпечатано в ИИО БТИ АлтГТУ
659305, г. Бийск, ул. Трофимова, 27
|