| Федеральное агентство по образованию
Донской государственный технический университет
Химия
Методические указания к лабораторным работам
Ростов-на-Дону
2009
УДК 54
А.В.Хохлов. Химия. Методические указания к лабораторным работам.
Ростов н/Д, Издательский центр ДГТУ. 2009. 15 с.
Методические указания для студентов специальностей 280202, 280102, 260100, 150206, 150501, 150204, 150202.
Печатается по решению редакционно-издательского совета
Факультета НиКМ
Научный редактор д.т.н., профессор А.С.Кужаров
© Донской государственный технический университет, 2009
Лабораторная работа № 1
Свойства основных классов неорганических соединений
 Опыт 1. Взаимодействие основных оксидов с водой.
В пробирку насыпьте немного оксида кальция CaO и добавьте 1 мл воды. Содержимое пробирки хорошо перемешайте и прибавьте 2-3 капли раствора фенолфталеина. Как изменится цвет индикатора и почему?
Опыт 2. Взаимодействие основных оксидов с кислотами.
В пробирку насыпьте немного оксида кальция (около 0,1 г) и добавьте 1 мл раствора соляной кислоты HCl. Что наблюдаете? Напишите уравнения реакций в молекулярной и ионной формах.
Опыт 3. Взаимодействие амфотерных оксидов со щелочами и кислотами.
В две пробирки насыпьте небольшое количество (около 0,1 г) оксида цинка ZnO. В первую прилейте 2-3 мл раствора соляной кислоты, во вторую 2-3 мл раствора гидроксида натрия. Что происходит? Проверьте растворимость оксида цинка в воде. Составьте уравнения всех процессов.
Опыт 4.
Взаимодействие оснований с кислотами (реакция нейтрализации).
В пробирку налейте 1-2 мл раствора гидроксида натрия NaOH, добавьте 1-2 капли раствора фенолфталеина и медленно, по каплям, прибавьте 1-2 мл соляной кислоты HCl до изменения окраски индикатора. Что происходит? Напишите уравнения реакций в молекулярной и ионной формах.
Опыт 5. Исследование амфотерности гидроксидов
цинка и
хрома (III).
Возьмите 2 пробирки. Налейте в первую пробирку 1 мл раствора сульфата цинка ZnSO4
, во вторую - 1мл раствора сульфата хрома(III) Cr2
(SO4
)3
. В каждую пробирку прибавьте по каплям раствор гидроксида натрия до образования осадков. Какого цвета осадки? Напишите уравнения реакций в молекулярной и ионной формах. Перемешайте осадки легким встряхиванием и каждый осадок разделите на 2 пробирки. К одной части осадков добавьте раствор соляной кислоты, а к другой - раствор гидроксида натрия (в избытке). Что наблюдаете? Напишите уравнения всех реакций в молекулярной и ионной формах.
Забиваем Сайты В ТОП КУВАЛДОЙ - Уникальные возможности от SeoHammer
Каждая ссылка анализируется по трем пакетам оценки: SEO, Трафик и SMM.
SeoHammer делает продвижение сайта прозрачным и простым занятием.
Ссылки, вечные ссылки, статьи, упоминания, пресс-релизы - используйте по максимуму потенциал SeoHammer для продвижения вашего сайта.
Что умеет делать SeoHammer
— Продвижение в один клик, интеллектуальный подбор запросов, покупка самых лучших ссылок с высокой степенью качества у лучших бирж ссылок.
— Регулярная проверка качества ссылок по более чем 100 показателям и ежедневный пересчет показателей качества проекта.
— Все известные форматы ссылок: арендные ссылки, вечные ссылки, публикации (упоминания, мнения, отзывы, статьи, пресс-релизы).
— SeoHammer покажет, где рост или падение, а также запросы, на которые нужно обратить внимание.
SeoHammer еще предоставляет технологию Буст, она ускоряет продвижение в десятки раз,
а первые результаты появляются уже в течение первых 7 дней.
Зарегистрироваться и Начать продвижение
Опыт 6. Получение нерастворимых оснований.
Налейте в пробирку 1 мл раствора хлорида железа(III) FeCI3
. Добавьте 1 мл раствора гидроксида натрия. Что образуется? Составьте уравнения реакций в молекулярной и ионной формах.
Опыт 7. Взаимодействие кислот с солями.
К 1-2 мл раствора нитрата свинца(II) Pb(NO3
)2
прилейте 1-2 мл раствора соляной кислоты. Что происходит? Напишите уравнения реакций в молекулярной и ионной формах.
Опыт 8. Взаимодействия кислот с металлами
Налейте в две пробирки по 1-2 мл разбавленной серной кислоты. В первую пробирку добавьте гранулу металлического цинка, а во вторую - кусочек металлической меди. Что наблюдаете? Составьте уравнения реакций.
Опыт 9. Получение солей из амфотерных гидроксидов.
Даны растворы солей: FeCI2
, BaCI2
, CuSO4
, ZnSO4
, NaCI, AI (NO3
)3
. Какие из этих солей могут служить исходными веществами для получения амфотерных гидроксидов? Отберите подходящие для этой цели растворы солей, налейте в пробирки по 5 мл и добавьте в каждую малыми порциями раствор щелочи до выпадения осадка. Выпавшие осадки разделите в разные пробирки на две части. В первую часть добавьте избыток щелочи, во вторую - немного раствора соляной или серной кислоты до растворения осадка. Объясните происходящие процессы. Составьте уравнения реакций.
Лабораторная работа № 2
Определение молярной массы эквивалента металла
Для экспериментального определения молярной массы эквивалента металла используют прибор, состоящий из бюретки, соединенной с воронкой резиновой трубкой. Через систему пробок и трубок к бюретке присоединяют пробирку. Система укрепляется на штативе и заливается подкрашенной водой. Следует помнить, что водород - очень летучий газ. Поэтому необходимо проверить герметичность установки, для чего при закрытых пробках и присоединенной пробирке надо опустить кольцо с воронкой. Если прибор герметичен, то уровень воды в бюретке, немного понизившись, останется постоянным. Если уровни жидкости в бюретке и воронке, как в сообщающихся сосудах, выравниваются, то герметичность нарушена, и следует обратиться к преподавателю. В пробирку налейте 3-4 мл раствора серной кислоты (разбавление 1:4). Полоской фильтровальной бумаги снимите со стенок пробирки капли кислоты. Удерживая пробирку наклонно (следить, чтобы не выливалась кислота), поместите на сухую стенку пробирки кусочек металла, взвешенный с точностью до 0,0001 г. (Необходимо следить, чтобы металл не соприкасался с кислотой). Присоедините пробирку к прибору, удерживая ее в наклонном положении. Отметьте уровень воды в бюретке /V1
с точностью до 0,1 мл. Придерживая пробирку, стряхните металл в раствор кислоты.
Сервис онлайн-записи на собственном Telegram-боте
Попробуйте сервис онлайн-записи VisitTime на основе вашего собственного Telegram-бота:
— Разгрузит мастера, специалиста или компанию;
— Позволит гибко управлять расписанием и загрузкой;
— Разошлет оповещения о новых услугах или акциях;
— Позволит принять оплату на карту/кошелек/счет;
— Позволит записываться на групповые и персональные посещения;
— Поможет получить от клиента отзывы о визите к вам;
— Включает в себя сервис чаевых.
Для новых пользователей первый месяц бесплатно.
Зарегистрироваться в сервисе
Выделяющийся водород будет собираться в бюретке. При этом вода из бюретки будет собираться в воронке. По окончании реакции дайте системе остыть и опустите кольцо с воронкой до нового уровня жидкости. Отметьте новый уровень жидкости V2
. Разность уровней жидкости в бюретке после опыта и до опыта равна объему выделившегося водорода.
VH
2
= V2
- V1
.
Отметьте условия проведения опыта: давление (р) и температуру (Т).
По табл. 2.1 определите давление насыщенного водяного пара (h) при температуре проведения опыта. Экспериментальные данные внесите в табл. 2.2.
Таблица 1
Давление насыщенного пара /h/, мм. рт. ст.
| T°С
|
h, мм рт.ст.
|
T°С
|
h, мм рт.ст.
|
| 16
|
13,63
|
21
|
18,65
|
| 17
|
14,43
|
22
|
19,83
|
| 18
|
15,48
|
23
|
21,07
|
| 19
|
16,48
|
24
|
22,38
|
| 20
|
17,54
|
25
|
23,76
|
Таблица 2
Экспериментальные наблюдения.
| Масса
Метал-ла
m, г
|
р,
мм рт.ст.
|
t, °C
|
Влажность h, мм рт.ст.
|
Уровень жидкости до опыта V1
, мл
|
Уровень жидкости после опыта
V,
мл
|
Объем выделившегося водорода VH
2
, мл
|
Для определения молярной массы эквивалента металла следует привести полученный объем водорода VH
2
к нормальным условиям VH
2
°, используя уравнение объединенного газового закона:
p° VH
2
°/T° = (p – h) VH
2
.
Отсюда находят
VH
2
° = (p – h) VH
2
T°/ p°T
И наконец, используя закон эквивалентов, получают:
ЭМ
= m ×11200 / VH
2
°.
Вычислите атомную массу металла, если валентность его равна 2.
Определите по таблице Д.И.Менделеева металл.
Вычислите теоретическое значение молярной массы эквивалента металла.
w,% = ôЭт
- Ээ
ô/ Эт
,
где Эт
– рассчитанная эквивалента металла;
Ээ
- экспериментальная молярная масса эквивалента металла.
Лабораторная работа № 3
Химическая кинетика и равновесие
Опыт 1. Зависимость скорости реакции от концентрации
реагирующих веществ.
Эту зависимость изучают на примере реакции:
Na2
S2
O3
+ H2
SO4
= H2
S2
O3
+ Na2
SO4
;
H2
S2
O3
= SO2
+ S¯ + H2
O,
которая идёт с образованием нерастворимой в воде мелкодисперсной серы
(коллоидный раствор), вызывающей опалесценцию раствора (светорассеяние). По времени появления опалесценции можно судить о скорости химической реакции.
В 4 стаканчика налейте разбавленный раствор Na2
S2
O3
: в первый – 5 мл, во второй – 10 мл, в третий – 15 мл и в четвёртый – 20 мл; затем добавьте в 1-й стаканчик 15 мл дистиллированной воды, во 2-й – 10 мл, в 3-й – 5 мл воды. В четыре пробирки отмерьте цилиндром по 5 мл разбавленной серной кислоты.
В четыре стаканчика с растворами тиосульфата вылейте из четырёх пробирок раствор серной кислоты. После сливания заметьте время появления опалесценции и внесите в табл. 5.1.
Таблица 4
| № стакана
|
Объем
Na2
S2
O3
, мл
|
Объем
H2
O, мл
|
Объем
H2
SO4
, мл
|
Время появления опалесценции
в сек
|
| 1
|
5
|
15
|
5
|
| 2
|
10
|
10
|
5
|
| 3
|
15
|
5
|
5
|
| 4
|
20
|
0
|
5
|
Начертите график зависимости скорости данной реакции от концентрации тиосульфата натрия. На оси абсцисс нанесите в определённом масштабе концентрации тиосульфата в мл, на оси ординат – величины, обратные времени появления опалесценции, где t – время в сек.
Запишите вывод о зависимости скорости реакции от концентрации реагирующих веществ для данного опыта. Как согласуются ваши наблюдения с законом действующих масс?
Опыт 2. Зависимость скорости реакции от температуры.
Для опыта возьмите те же растворы, что и в опыте 1 (Na2
S2
O3
и H2
SO4
). Налейте в две пробирки по 5 мл тиосульфата, в другие две пробирки - по 5 мл серной кислоты и разделите их на две пары: по пробирке с H2
SO4
и Na2
S2
O3
в каждой паре. Отметьте температуру раствора тиосульфата, опустив в него термометр, затем извлеките термометр и слейте растворы первой пары пробирок. Отметьте, через сколько секунд появится опалесценция. Вторую пару пробирок поместите в химический стакан с водой и нагрейте на 10° выше температуры первой пары пробирок. За температурой следите по термометру, опущенному в раствор тиосульфата натрия. Слейте содержимое пробирок и отметьте время протекания реакции (от начала реакции до появления опалесценции). Вычислите температурный коэффициент данной реакции, исходя из формулы Вант-Гоффа:
Vt
2
= Vt
1
· g t
2-
t
1/10
где g – температурный коэффициент.
Опыт 3. Влияние концентрации реагирующих веществ на химическое равновесие.
В пробирке смешайте по 5 мл разбавленных растворов хлорного железа и роданида калия. Появляющийся красный цвет раствора
обусловлен образованием роданида железа. Напишите уравнение реакции. По изменению интенсивности окраски можно судить об изменении концентрации роданида железа – Fe(CNS)3,
т.е. о смещении равновесия в ту или другую сторону.
Для этого разделите полученный раствор на 4 пробирки. В одну пробирку добавьте несколько капель концентрированного хлорного железа FeCl3
, во 2-ю – концентрированного роданида калия KCNS, в 3-ю – кристаллического хлорида калия KCl, а 4-ю – оставьте для сравнения.
Растворы во всех пробирках размешайте энергичным встряхиванием. Отметьте изменение интенсивности окраски в каждом случае (сравните с раствором в контрольной пробирке).
В каком направлении смещается равновесие в случае добавления: а) хлорида железа, б) роданида калия, в) хлорида калия?
Подтвердите свои наблюдения, исходя из общего выражения константы равновесия данной реакции.
Лабораторная работа № 4
Свойства растворов электролитов
Опыт 1. Сравнение степени диссоциации растворов кислот
и оснований:
а) В три пробирки налейте по 2-3 мл 0,1 N раствора серной, уксусной и борной кислот. В каждую из них добавьте по 2-3 капли раствора метилоранжа. Какую окраску приобрел раствор в каждой из пробирок?
В каждую пробирку бросьте по небольшому кусочку магния.
Что при этом наблюдается? Какой газ выделяется? Изменяется ли окраска индикатора к концу реакции? Почему? Напишите уравнения реакций в молекулярном и ионном видах. От концентрации каких ионов в растворе зависит скорость реакции между кислотой и магнием?
б) В две пробирки налейте 1-2 мл хлорида кальция. В одну пробирку добавьте немного 0,2 N раствора гидроксида натрия, а в другую - 0,2 N раствора гидроксида аммония.
Что при этом наблюдается? Напишите уравнения реакций в молекулярном и ионном видах.
Опыт 2.Реакции на ион хлора.
Налейте в пробирку 1-2 мл разбавленной соляной кислоты и добавьте в неё 2-3 капли раствора нитрата серебра.
Что при этом наблюдается? Напишите уравнения реакций в молекулярном и ионном виде. Проведите в отдельных пробирках реакции между растворами хлорида натрия, хлорида кальция и раствором нитрата серебра.
Какой ион является аналитическим на ион хлора?
Опыт 3. Реакции на ион SO4
2-
Налейте в пробирку 1-2 мл разбавленной серной кислоты и добавьте в неё 2-3 капли хлорида бария.
Что наблюдается? Напишите уравнения реакций в молекулярном и ионном виде. Между какими ионами идет реакция?
Проведите в отдельных пробирках реакции между растворами сульфата натрия, сульфата магния и раствором хлорида бария.
Какой ион является аналитическим на ион SO4
2-
?
Опыт 4. Смещение ионного равновесия слабого электролита.
Налейте в одну пробирку 3 мл 0,1 N раствора уксусной кислоты, а в другую - 3 мл чистой воды. Прибавьте в обе пробирки по 2-3 капли метилоранжа. Какую окраску имеет индикатор в каждой пробирке? Почему? Оставьте пробирку с водой для сравнения.
В пробирку с раствором уксусной кислоты насыпьте немного сухого ацетата натрия. Слегка взболтайте содержимое пробирки.
Как изменится окраска раствора? Почему?
Опыт 5. Гидролиз солей.
В 4 отдельные пробирки налейте по 2-3 мл разбавленных растворов следующих солей: в первую - раствор карбоната натрия, во вторую - сульфата алюминия, в третью - карбоната аммония, в четвертую хлорида натрия. В каждую пробирку опустите поочередно розовую и синюю лакмусовые или универсальную индикаторную бумажки. Как изменится окраска индикаторной бумажки в каждой из пробирок? Почему? Напишите в молекулярном и ионном виде уравнения реакций гидролиза солей. В какой пробирке гидролиз не происходит? Почему? Определите рН растворов
Лабораторная работа № 5
Окислительно-восстановительные реакции
Опыт 1.
К 2 - 3 см3
раствора иодида калия KI прилейте несколько капель раствора серной кислоты H2
SO4
и добавьте 2 - 3 см3
нитрита калия KNO2
. Наблюдайте и опишите изменения в пробирке. Определите изменение степени окисления иода и азота. Какие свойства проявляют эти элементы в данной реакции? Составьте уравнение реакции.
Опыт 2.
К 2 - 3 см3
раствора перманганата калия KMnO4
прилейте несколько капель раствора серной кислоты H2
SO4
и добавьте 2 - 3 см3
нитрита калия KNO2
. Наблюдайте и опишите изменения в пробирке. Определите изменение степени окисления азота и марганца. Какие свойства проявляют эти элементы в данной реакции? Сравните роль азота в первом и во втором опытах. Составьте уравнение реакции.
Опыт 3.
К 2 - 3 см3
раствора перманганата калия KMnO4
прилейте несколько капель раствора серной кислоты H2
SO4
и добавьте 2 - 3 см3
сульфита натрия Na2
SO3
. Наблюдайте и опишите изменения в пробирке. Определите изменение степени окисления серы и марганца. Какие свойства проявляют эти элементы в данной реакции? Сравните роль марганца во втором и третьем опытах. Составьте уравнение реакции.
Опыт 4.
К 2 - 3 см3
раствора перманганата калия KMnO4
добавьте 2 - 3 см3
сульфита натрия Na2
SO3
. Наблюдайте и опишите изменения в пробирке Определите изменение степени окисления серы и марганца. Какие свойства проявляют эти элементы в данной реакции? Составьте уравнение реакции.
Опыт 5.
К 2 - 3 см3
раствора перманганата калия KMnO4
прилейте немного раствора щелочи NaOH или KOH и добавьте 2 - 3 см3
сульфита натрия Na2
SO3
. Наблюдайте и опишите изменения в пробирке. Определите изменение степени окисления серы и марганца. Какие свойства проявляют эти элементы в данной реакции? Сделайте вывод о глубине протекания процесса восстановления марганца в кислой, нейтральной и щелочной средах. Составьте уравнение реакции.
Опыт 6.
К 2 - 3 см3
раствора бихромата калия K2
Cr2
O7
прилейте несколько капель раствора серной кислоты H2
SO4
и добавьте немного кристаллического сульфата железа (II) FeSO4
. Наблюдайте и опишите изменения в пробирке. Определите изменение степени окисления хрома и железа. Какие свойства проявляют эти элементы в данной реакции? Составьте уравнение реакции.
Лабораторная работа № 6
Свойства металлов
Опыт 1. Действие
кислот на металлы.
1.1.
В 1 н. растворы соляной, серной, уксусной кислот поместите по кусочку магния, цинка, железа, меди. Какие продукты получаются? Напишите уравнения реакций.
Опыт 2. Сравнительная активность металлов.
2.1. В пробирки с 2-3 мл водного раствора медного купороса поместите по кусочку железа, цинка, магния. Оставьте на 10 мин. Опишите наблюдения. Напишите реакции.
2.2. Используя кусочки меди, железа, цинка, магния, растворы их солей и разбавленную серную кислоту, по методике 2.1. составьте вытеснительный ряд для предложенных металлов. Определите место водорода в этом ряду.
Опыт 3. Гальванические элементы.
3.1.
В 10%-ный раствор серной кислоты поочередно поместите пластинку меди и пластинку цинка. Опишите наблюдения. Напишите уравнения протекающих реакции.
Соберите схему, состоящую из двух электродов медь-цинк, поместите электроды в раствор серной кислоты. Объясните наблюдения. Напишите реакции, протекающие на электродах.
Замкните цепь через лампочку /1В/. Опишите наблюдения в момент замыкания цепи и через 1 мин.
Определите разность потенциалов с помощью вольтметра.
Замкните цепь через насыщенный раствор сульфата натрия /на часовом стекле/, добавив несколько капель спиртового раствора фенолфталеина. Опишите наблюдения.
3.2. Составьте концентрационный гальванический элемент. В стакан, содержащий 1 М раствор сульфата меди, поместите медный электрод. В другой стакан, содержащий 0.0001 М раствор сульфата меди, также поместите медный электрод. Растворы соедините электрохимическим ключом (U -образная трубка, заполненная коллоидным раствором агар-агар, содержащим сульфат магния или натрия). С помощью милливольтметра определите разность потенциалов между электродами.
Лабораторная работа № 7
Диаграммы плавкости
Настоящие методические указания составлены в соответствии со стандартом по физической химии для студентов технических высших учебных заведений по одному из разделов курса "Фазовые равновесия", содержат краткое теоретическое введение и описание экспериментальной части работы.
Цель работы: Исследование процесса кристаллизации, приобретение навыка экспериментального построения диаграмм состояния сплавов.
Задачей работы является построение диаграммы плавкости для бинарной системы. Для этого следует построить, опираясь на экспериментальные данные, кривые охлаждения двух чистых веществ и нескольких сплавов заданного состава.
Диаграммой состояния называют графическое изображение зависимости какого-либо свойства от состава системы.
Для анализа замкнутых систем, находящихся в состоянии равновесия, применяют правило фаз Гиббса.
Фаза - часть системы, отделенная от других частей системы поверхностью раздела, при переходе через которую свойства меняются скачкой. Однофазные системы называются гомогенными, многофазные - гетерогенными.
Составная часть системы - совокупность частиц, которые могут устойчиво существовать вне системы.
Число компонентов - наименьшее число составных частей, достаточное для образования системы во всем многообразии ее состояний.
Число степеней свободы - это число параметров, определяющих состояние системы, которые можно произвольно изменять не вызывая при этом изменения числа фаз в системе. К таким параметрам относятся температура, давление и т.п. Правило фаз задается следующим уравнением:
Ф = К - С + 2,
где Ф - число фаз системы,
К - число независимых компонентов,
С - число степеней свободы,
2 - число независимых параметров системы, определяющих ее термодинамическое состояние (в данном случае - температура и давление).
Уравнение правила фаз дает возможность определить условия, при которых в равновесной системе сохраняется существующее число фаз и устанавливает математическую связь между числом степеней свободы, числом компонентов и числом фаз в системе, находящейся в равновесии. Например при равновесии воды с её насыщенным паром число независимых компонентов К = 1, число фаз Ф = 2, тогда число степеней свободы
С = К - Ф + 2 = 1 - 2 + 2 = 1.
Данная система моновариантна. В ней можно произвольно изменять лишь один параметр (температуру или давление, например), чтобы в системе сохранялись обе фазы - жидкая и газовая. Действительно, каждой температуре соответствует однозначно определенное давление водяного пара, или каждому внешнему давлению соответствует определенная температура кипения воды.
Рассмотрим диаграмму состояния для веществ взаимно неограниченно растворимых в жидком состоянии и нерастворимых в кристаллическом состоянии.
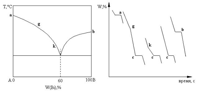
На рисунке 1 представлена диаграмма состояния системы Cd-Bi. По оси абсцисс отложен состав сплава. Ордината А отвечает 100% Cd, ордината В - 100% Bi. Точки а и b соответствуют температурам плавления чистых кадмия и висмута.
При анализе кривой охлаждения жидкофазной системы (рис. 2) понижение температуры до начала кристаллизации имеет прямолинейный характер - участок dа. С началом кристаллизации, сопровождающейся выделением теплоты, что компенсирует потери теплоты в окружающую среду, понижение температуры в системе прекращается - участок aa. После окончания кристаллизации продолжается равномерное понижение температуры - участок ае. Согласно правилу фаз число степеней свободы на участке аа при охлаждении одной жидкой фазы равно:
С = К - Ф + 1 = 1 - 1 + 1 = 1.
На участке da температура может меняться произвольно, т.к. состав здесь не меняется (чистое вещество), давление постоянно. В точке а начинается кристаллизация, появляется вторая фаза и становится нонвариантной:
С = К - Ф + 1 = 1 - 2 + 1 = 0
Таким образом видно, что температура должна оставаться постоянной, пока имеются две фазы - участок aa.
Когда кристаллизация заканчивается система становится вновь моновариантной и температура равномерно понижается - участок ае. Известно, что температура плавления чистых веществ выше температуры плавления сплавов. Для сплавов кадмия с висмутом различных составов (от 0% Вi до 100% Вi) строят кривые охлаждения и температуры плавления, в зависимости от состава сплава, отмечают на рис. 1. Получается кривая, имеющая перегиб в точке с - минимум. Точка с называется эвтектической (эвтектикой). При составе сплава, отвечающего эвтектической точке, происходит одновременная кристаллизация кадмия и висмута в виде мелкозернистой смеси. Во время кристаллизации в точке с одновременно существуют три фазы - две кристаллические и одна жидкая
С = К - Ф + 1 = 2 - 3 + 1 = О
 - система нонвариантная. Пока существуют три фазы, ни температура, ни состав не могут быть изменены произвольно. Кристаллизация должна идти при постоянных температуре и составе.
Рис. 1 Рис. 2
Как видно из кривых, при охлаждении сплава любого состава вначале выделяются кристаллы одного из веществ, находящегося в избытке по сравнению с его содержанием в эвтектической точке, до тех пор, пока состав расплава не достигнет эвтектического, после чего кристаллизация пойдет при постоянных составе расплава и температуре. Линия асb, соответствующая температурам начала кристаллизации (окончания плавления), называется линией ликвидус, горизонтальная линия, проходящая через точку с, соответствующая температурам окончания кристаллизации (начала плавления), называется линией солидус.
Эвтектический состав имеет самую низкую температуру плавления (из возможных для составов данной пары веществ).
Сплавы подобной системы любого состава (за исключением чистых веществ) также начинают плавиться при эвтектической температуре, однако в процессе плавления температура повышается. Плавление заканчивается при температуре, которая находится на линии ликвидуса сплава данного состава.
Диаграммы рассмотренного типа характерны не только для сплавов металлов, но и для сплавов сложных веществ: например, для некоторых сплавов солей, органических веществ, водных растворов солей и др.
Реактивы и оборудование
Штатив с зажимами, термометр до 200о
С, спиртовка (электропечь), мешалка, пробирки различного диаметра, снабженные пробками с отверстиями под термометр, мешалка или меньшая пробирка.
Ход работы
3-5 г указанного в задании, полученном у преподавателя (таблица 1), чистого вещества или сплава заданного состава помещают в пробирку, снабженную термометром и мешалкой (ртутный шарик термометра должен быть погружен в вещество) и расплавляют над электрической плиткой или в пламени спиртовки. Пробирку с расплавом помещают в термостат - пробирку большего диаметра, снабженную пробкой с отверстием под пробирку с веществом, чтобы охлаждение было не слишком быстрым, и приступают к записи показаний термометра через каждые 15 секунд.
По окончании кристаллизации производят еще несколько отсчетов температуры, вновь расплавляют состав и удаляют термометр. Операцию повторяют для каждого чистого вещества и сплава указанного состава.
В случае бинарных сплавов, образующих эвтектику, сначала кристаллизуется один из компонентов, и кривая охлаждения должна иметь небольшой перегиб или остановку, отвечающие уменьшению скорости охлаждения, которые наблюдатель ошибочно может принять за эвтектическую точку. Поэтому опыта здесь прекращать не следует, а надо продолжать запись температуры вплоть до той остановки, которая соответствует истинной эвтектической температуре и должна быть общей для сплавов всех составов.
Обработка результатов
Данные показаний термометра вносят в таблицу 2. На основании этих данных строят кривые охлаждения для чистых веществ и ряда сплавов заданного состава в координатах: температура (Со
) по оси ординат - время (секунда) по оси абсцисс. Температуры, соответствующие характерным точкам на кривых охлаждения, сводят в таблицу 3. На основании данных таблицы 3 строят диаграмму плавкости в координатах температура - состав (состав сплавов известен). По диаграмме плавкости определяют эвтектику данной системы.
Таблица 1
| №
За-
дания
|
Состав сплава
(мас.% 1-го компонентов)
|
№
За-
да-
ния
|
Состав сплава
(мас.% 1-го компонентов)
|
| 1
|
NH4
NO2
,
(NH4
)2
CO3
(0, 10, 30, 50, 70, 90,
100)
|
6
|
Ni(NO3
)2
·9H2
O,
Na2
B4
O7
·10H2
O
(0, 10, 30, 50, 70, 90, 100)
|
| 2
|
Al(NO)3
·9H2
O, CoCl2
·6H2
O
(0, 10, 30, 50, 70, 90, 100)
|
7
|
Al2
(SO4
)3
·18H2
O,
Na2
B4
O7
·10H2
O
(0, 10, 30, 50, 70, 90, 100)
|
| 3
|
Al2
(SO4
)3
·18H2
O, Co(NO3
)2
·6H2
O
(0, 10, 30, 50, 70, 90, 100)
|
8
|
Al(NO)3
·9H2
O,
CoSO4
·7H2
O
(0, 10, 30, 50, 70, 90, 100)
|
| 4
|
Mg(NO3
)2
·6H2
O, CoSO4
·7H2
O
(0, 10, 30, 50, 70, 90, 100)
|
9
|
Al2
(SO4
)3
·18H2
O,
(NH4
)2
CO3
(0, 10, 30, 50, 70, 90, 100)
|
| 5
|
Na2
B4
O7
·10H2
O, Na3
PO4
·9H2
O
(0, 10, 30, 50, 70, 90, 100)
|
10
|
Na2
B4
O7
·10H2
O,
(NH4
)2
CO3
(0, 10, 30, 50, 70, 90, 100)
|
Таблица 2
| Номер и состав сплава
|
| 1
|
2
|
3
|
4
|
5
|
Таблица 3
| №
Спла-
ва
|
Состав сплава, мас. %
|
Ход кристаллизации
|
| Начало
|
Окончание
|
| Показания
термометра
|
Показания
термометра
|
Лабораторная работа №8
Коэффициент распределения
Настоящие методические указания составлены в соответствии со стандартом по физической химии для студентов технических высших учебных заведений по одному из разделов курса "Термодинамика", содержат краткое теоретическое введение и описание экспериментальной части работы
Цель работы: Исследование процесса экстрагирования, приобретение навыка экспериментального определения коэффициента распределения.
Распределение вещества между двумя ограниченно растворимыми жидкостями подчиняется закону распределения. Вещество,
добавленное к системе, состоящей из двух нерастворимых жидкостей,
распределяется между обеими фазами в определенном, постоянном
при данной температуре отношении.
Этот закон характеризует равновесное состояние системы и может быть выражен через коэффициент распределения как отношение молярных концентраций растворенного вещества в обеих фазах:
 где c
1
, c
2
, - молярные концентрации растворенного вещества соответственно о верхней и нижней жидкой фазах; L
- коэффициент распределения.
Насыщенный раствор малорастворимого вещества является разбавленным раствором и удовлетворительно подчиняется законам идеальных растворов. Указанное простейшее соотношение справедливо только тогда, когда растворяемое вещество в каждой из равновесных фаз находится в одинаковом молекулярном состоянии. Закон распределения не выполняется во всех случаях изменения состояния растворенных молекул хотя бы в одной из фаз системы. Такими изменениями могут быть диссоциация или ассоциация молекул растворенного вещества. В таком случае коэффициент распределения выражается уравнением:
  где n - средняя молекулярная масса растворенного вещества во втором и первом растворителях
Коэффициент распределении есть величина постоянная, не зависящая от количества растворенного вещества, определяется только природой растворителей, растворенного вещества и температурой. Зависимость коэффициента распределения от температуры определяется уравнением:
 где Т
- абсолютная температура;
R
- универсальная газовая постоянная;
ΔH
- изменение энтальпии при переходе вещества из одной фазы в другую.
Самый распространенный пример применения закона распределения – экстрагирование, т.е. извлечение вещества из раствора другим растворителем, который не смешивается с первым и растворяет извлекаемое вещество в большем количестве, чем первый. Следует учитывать, что экстракцию выгоднее вести последовательно несколькими порциями экстрагирующего вещества, чем однократно таким же количеством растворителя, но одной порцией.
Пример.
Пусть в первой фазе объемом V
растворена масса m
0
вещества, подлежащего извлечению n
порциями другого растворителя (экстрагента) объемом v
каждая. Общий объем экстрагента V
, (фаза 2). Коэффициент распределения равен L
.
После первого экстрагирования в фазе 1 останется m
1
неизвлеченного вещества, а в экстракт перейдет (m
0
-
m
1
) растворенного вещества. Тогда
 Следовательно, после первого экстрагирования в фазе 1 останется

После второго экстрагирования в растворе останется m
2
неизвлеченного вещества, а в экстракт перейдет (m1
-m2
) вещества, т.е.


После n-ного экстрагирования в фазе 1 останется
(1)
растворенного вещества, а всего будет извлечено

После однократного экстрагирования этого же вещества из данного раствора (фаза 1) вторым растворителем (фаза 2) общим объемом V
2
=
nv
останется неизвлеченным
(2)
Из анализа (1) и (2) видно, что т
nv
>
mn
.
Реактивы и оборудование
Для определения коэффициента распределения необходимо иметь: технохимические весы с чувствительностью до 0,01 г, разновесы, три делительные воронки с притертой пробкой объемом 200 см3
, три колбы с пробкой объемом 200 см3
, стакан объемом 200 см3
, цилиндры объемом 10 и 100 см3
, бюретка, штативы с зажимами, толуол, дистиллированная вода, бензойная кислота, 0,1 н раствор Na2
CO3
, 1%-ный спиртовый раствор фенолфталеина.
Ход работы
В три делительные воронки напивают по 50 см3
дистиллированной воды. В каждую воронку добавляют соответственно 0,25, 0,50, 0,75 г бензойной кислоты и добавляют по 50 см3
толуола. Делительные воронки плотно закрывают притертыми пробками и интенсивно встряхивают в течение 25-30 минут. Затем закрепляют в штативе и дают отстояться в течение 30 минут. Затем водный слой из первой воронки отделяют, осторожно сливая нижнюю часть смеси в стакан. В коническую колбу приливают 10 см3
дистиллированной воды и добавляют 10 см3
толуольного раствора из делительной воронки и 3-4 капли раствора фенолфталеина. Добавление воды необходимо для улучшения результатов последующего титрования.
Приготовленный раствор титруют раствором Na2
CO3
заданной концентрации. Титрование повторяют 2-3 раза. Расхождение между отдельными определениями не должно превышать 0,2 см3
.
Аналогично проводят определение бензойной кислоты в водном (нижнем) слое.
Опыт выполняют для всех трех растворов.
Обработка результатов
Экспериментальные данные вносят в таблицу.
| Масса бензойной к-ты, г
|
Фаза органического растворителя
|
Водная фаза
|
Коэффициент распределения
|
| m
, г
|
V
,см3
Na2
CO3
|
c1
|
V
,см3
Na2
CO3
|
c1
|
L
|
| 1.
|
1.
|
1.
|
1.
|
| 0,25
|
2.
|
2.
|
2.
|
2.
|
| 3.
|
3.
|
3.
|
3.
|
| cр.
|
ср.
|
ср.
|
ср.
|
| 1.
|
1.
|
1.
|
1.
|
| 0,50
|
…
|
…
|
…
|
…
|
| 0,75
|
…
|
…
|
…
|
…
|
Концентрацию бензойной кислоты определяют по уравнению-

где c
(
Na
2
CO
3
)
- концентрация раствора карбоната натрия,
c
(б.к.)
– концентрация бензойной кислоты в исследуемой фазе,
V
(
Na
2
CO
3
)
– объем раствора карбоната натрия, израсходованного на титрование, см3
,
V
(б.к.)
- объем взятого для титрования раствора бензойной кислоты, см3
.
При вычислении коэффициента распределения берут отношение концентрации бензойной кислоты в водном слое к корню квадратному из концентрации бензойной кислоты в органическом слое.
Лабораторная работа № 9
Определение энтальпии реакции нейтрализации
Настоящие методические указания составлены в соответствии со стандартом по физической химии для студентов технических высших учебных заведений по одному из разделов курса "Термодинамика"
Целью работы является усвоение важнейших понятий в термодинамике, экспериментальное определение энтальпии химической реакции.
При подготовке к лабораторной работе необходимо обратить внимание на основные положения теории электролитической диссоциации, согласно которой реакции в растворах электролитов протекают между ионами. Поэтому реакцию нейтрализации можно представить как взаимодействие ионов водорода с гидроксильными ионами с образованием слабо диссоциирующих молекул воды
H+
+ OH-
→ H2
O + ΔH
Следовательно, при нейтрализации любой сильной кислоты сильным основанием должен наблюдаться практически одинаковый тепловой эффект ΔН
, который по мере разбавления растворов реагентов приближается к предельной величине, ровной -55,9 кДж/моль при 298°К (энтальпия нейтрализации).
Нейтрализации слабых кислот и оснований предшествует процесс диссоциации слабой кислоты (основания) на ионы, поэтому суммарная (интегральная) энтальпия нейтрализации в данном случае, как правило, меньше, чем 55,9 кДж/моль.
Реактивы и оборудование
Для определения теплоты нейтрализации используют калориметр, состоящий из реакционного сосуда емкостью 50 см3
, который помещен в изотермическую оболочку. В пробке, закрывающей реакционный сосуд, имеются отверстия для мешалки и термометра. Растворы реагирующих веществ напивают через боковой отросток.
Для работы необходимы также мерные колбочки объемом 25 и 50 см3
или пипетки объемом 25 и 50 см3
, весы с чувствительностью не менее 0,01 г, ступка с пестиком, секундомер, термометр с чувствительностью не менее 0,1°, калька, миллиметровая бумага.
В работе используют серии растворов НС1, Н2
SО4
, СН3
СООН (НАс), NН4
ОН, НNО3
, КОН, NaOH различной концентрации (2н, 1н, 0,5н), а также сухую соль КNО3
, предварительно высушенную при 110°С в течение 4 часов.
Ход работы.
Определение постоянной калориметра
Энтальпию ΔН
(тепловой эффект при постоянном давлении) процесса, протекающего а калориметре, определяют, измерив точно скачок температуры ΔТ
в результате реакции:
ΔH
= k
ΔT
,
где k
- постоянная калориметра.
Физически смысл постоянной калориметра есть теплоемкость калориметра, численно равная количеству теплоты, необходимому для нагревания всех частей калориметра на один градус.
Постоянную калориметра определяют по известной энтальпии растворения эталонного вещества, В данной работе применяют нитрат калия КNO3
. Для определения тщательно растирают соль в фарфоровой ступке и взвешивают с точностью до 0,01 г
примерно 2 г соли. В реакционный сосуд пипеткой вносят точно 50 см3
дистиллированной веды, закрывают его пробкой и укрепляют в ней термометр и мешалку. Непрерывно перемешивая воду, контролируя время с помощью секундомера, через каждые 30 секунд измеряют температуру воды с точностью до 0,1°. После установления постоянного изменения температуры в калориметре проводят 10 измерений температуры через каждые 30 секунд, которые составляют «предварительный период», затем быстро вносят навеску нитрата калия и, интенсивно перемешивая раствор, наблюдают за изменением температуры, продолжая измерения температуры в прежнем режиме («главный период»). Окончанием главного периода считают вновь установившийся равномерный ход изменения температуры. Проводят еще 10 измерений температуры («заключительный период»). Данные наблюдений вносят в таблицу 1.
Определение энтальпии нейтрализации
Студент получает у преподавателя один из следующих вариантов задания (см. табл.2).
Реакционный сосуд после определения постоянной калориметра несколько раз ополаскивают дистиллированной водой и пипеткой вносят в него 25 см3
кислоты, закрывают сосуд пробкой с мешалкой и термометром и производят 10 измерений температуры «предварительного периода» при равномерном перемешивании раствора. Через боковое ответвление реакционного сосуда вносят в него 25 см3
основания. При непрерывном перемешивании раствора производят измерения температуры в «главном» и «заключительном» периодах. Экспериментальные данные записывают в таблицу 1.
Таблица 1
Электролиты
(концентрация)
|
Температура, Т,°С
|
| (предварительный
период)
|
(главный период)
|
(заключительный период)
|
| KNO3
|
1.
|
11.
|
16.
|
| 2.
|
12.
|
17.
|
| …
|
…
|
…
|
| 1. МеОН(0.5н) + +НА(0,5н)
|
1.
|
11.
|
16.
|
| 2.
|
12.
|
17.
|
| …
|
...
|
…
|
| 2. ...
|
| 3. ...
|
Таблица 2
Вариант
|
Задание
|
Вариант
|
Задание
|
| 1.
|
NaOH + HCl (2н)
|
9.
|
NaOH + HNO3
(0,5н)
|
| NaOH + HAc (2н)
|
NH4
OH + HNO3
(0,5н)
|
| 2.
|
NaOH + HCl (1н)
|
10.
|
KOH + HCl (2н)
|
| NaOH + HAc (1н)
|
NH4
OH + HCl (2н)
|
| 3.
|
NaOH + HCl (0,5н)
|
11.
|
KOH + HCl (1н)
|
| NaOH + HAc (0,5н)
|
NH4
OH + HCl (1н)
|
| 4.
|
NaOH + H2
SO4
(2н)
|
12.
|
KOH + HCl (0,5н)
|
| KOH + HAc (2н)
|
NH4
OH + HCl (0,5н)
|
| 5.
|
NaOH + H2
SO4
(1н)
|
13.
|
KOH + H2
SO4
(2н)
|
| KOH + HAc (1н)
|
NH4
OH + H2
SO4
(2н)
|
| 6.
|
NaOH + H2
SO4
(0,5н)
|
14.
|
KOH + H2
SO4
(1н)
|
| KOH + HAc (0,5н)
|
NH4
OH + H2
SO4
(1н)
|
| 7.
|
NaOH + HNO3
(2н)
|
15.
|
KOH + H2
SO4
(0,5н)
|
| NH4
OH + HNO3
(2н)
|
NH4
OH + H2
SO4
(0,5н)
|
| 6.
|
NaOH + HNO3
(1н)
|
| NH4
OH + HNO3
(1н)
|
Обработка результатов Рис.1. Зависимость изменения температуры во времени
На основании экспериментальных данных (табл.1) вычерчивают на миллиметровой бумаге график изменения температуры во времени (рис.1.). На рисунке АВ - предварительный, BD -
главный, DE -заключительный периоды. Для графического определения точного значения ΔT проецируют точки В и D на ось ординат, находят середину отрезка BD и опускают перпендикуляр к оси ординат (сС). Продлевают линейные участки АВ и DE до пересечения с линией сС. Отрезок сс`
соответствует изменению температуры ΔТ в калориметрическом опыте с учетом поправки на теплообмен.
Определим значение ΔТ для нитрата калия, вычисляют постоянную калориметра k по уравнению:
, где ΔHраств
(KNO3
) - известная энтальпия растворения нитрата калия, равная 36,02 (при 29 1 К) или 34,93 (при 298K) кДж/моль; n - количество вещества нитрата калия, моль.
Определяют энтальпию нейтрализации (ΔНi
) для раствора данной i-той молярной концентрации (сi
) по уравнению
ΔHi
=
k
ΔT
Вычислив энтальпию нейтрализации для данного количества кислоты или основания, рассчитывают интегральную энтальпию нейтрализации ΔHнейтр
на один моль кислоты(основания).
где 25 – объем раствора, см3
.
Оценивают погрешность (П
%) полученного значения энтальпии нейтрализации по отношению к табличному значению:
 Учитывая, что при образовании 1 моль воды из ионов водорода и гидроксида выделяется 55,9 кДж, по закону Гесса определяют теплоту диссоциации уксусной кислоты или гидроксида аммония.
Результаты вычислений записывают в табл.3
Таблица З
| Электролит
|
С,моль/л
|
ΔT
, °C
|
ΔH,
КДж
|
ΔH
нейтр
,
кДж/моль
|
, кДж/моль
|
| KNO3
|
| NaOH+HCI
|
| NaOH+HAc
|
| (образец)
|
Выводы
Исходя из экспериментальных и расчетных значений необходимо оценить силу изученных кислот и оснований, объяснить отклонение полученной экспериментально энтальпии нейтрализации от теоретической.
Лабораторная работа № 10
Исследование кинетики сорбции полимерами
компонентов агрессивной среды
Настоящие методические указания составлены в соответствии со стандартом по физической и коллоидной химии для студентов технических высших учебных заведений по разделам курса "Химическая кинетика» и «Коллоидная химия".
Цель работы: Исследование процессов сорбции агрессивных сред полимерами, сравнительная оценка агрессивности различных сред и химического сопротивления различных полимерных материалов.
Конструкционные полимерные материалы часто эксплуатируются в присутствии агрессивных сред. При этом протекают физические и химические процессы, сопровождающиеся изменением структуры и свойств полимеров. Различают физически и химически агрессивные среды.
Физически активной средой является та, которая не вступает в химическое взаимодействие с полимерами. Такие среды, как правило, вызывают обратимые изменения в полимерном материале, но иногда их воздействие приводит и к необратимым изменениям. Под воздействием физически активных агрессивных сред протекают процессы адсорбции (поверхностные процессы) и сорбции (поглощение в объеме) компонентов агрессивной среды полимерами. Адсорбция приводит к изменению значения поверхностной энергии на границе полимер – среда. Сорбция агрессивных сред вызывает, обычно, ослабление межмолекулярного взаимодействия в полимерах. Интенсивность воздействия физически активных сред на полимеры приближенно оценивается величиной сорбции, которая, согласно гильдебранту, будет тем больше, чем меньше разность параметров растворимости полимера и среды. В таблице 1 представлены параметры растворимости некоторых полимеров и растворителей.
Под действием на полимеры физически активных сред, например органических растворителей, может происходить их набухание. При набу3хании уменьшается прочность полимерного материала вследствие возникновения растрескивания полимеров, что обусловлено тремя причинами. Во-первых, высокая скорость набухания приводит к увеличению объема растворителя в образце полимерного материала. Во-вторых, растворитель, накапливаясь в трещинах и пустотах полимера, вызывает осмотические и капиллярные явления. В-третьих, агрессивная среда, проникая на границу раздела фаз наполнителя и связующего, уменьшает когезионную прочность. Предельным случаем набухания является растворение полимера.
Таблица 1
Параметры растворимости σ в (МДж/м3
)1/2
| Полимеров
|
Растворителей
|
| Политетрафторэтилен 12,7
|
Диэтиловый эфир 15,5
|
| Полиэтилен 16,1
|
Бутилацетат 17,4
|
| Полистирол 17,8
|
Этилацетат 18,5
|
| Поливинилхлорид 19,8
|
Хлороформ 19,0
|
| Полипропилен 16,7
|
Ацетон 20,1
|
| Полиметилметакрилат 21,3
|
Этанол 26,0
|
| Каучук 20,2
|
Метанол 26,9
|
В отличие от физически активных, химически активные среды вызывают необратимые изменения химической структуры полимеров. Совокупность химических процессов, приводящих к изменению химической структуры полимера, его молекулярной массы под воздействием агрессивной среды, называется химической деструкцией. В этом процессе макромолекулы полимеров могут претерпевать распад основной цепи за счет:
· разрыва ковалентных связей и определяется законом случая или законом слабых связей;
· отщепления молекулы мономера от конца цепи макромолекулы – определяется законом концевых групп;
· превращение группы атомов в составе макромолекулы при сохранении исходной степени полимеризации;
· образование новых химических связей между макромолекулами, т.е. реакции сшивания, структурирования.
Химическая деструкция приводит к изменению массы полимерного материала и протекает либо на поверхности полимерного материала (внешняя диффузионно-кинетическая область), либо по объему изделия (внутренняя диффузионно-кинетическая или кинетическая область). При протекании деструкции во внешней диффузионно-кинетической области возможны два случая: если продукты деструкции растворимы в агрессивной среде, то масса полимерного изделия уменьшается значительно; если продукты деструкции практически не растворимы, то масса полимера будет уменьшаться в меньшей степени. При протекании деструкции во внутренней диффузионно-кинетической или кинетической областях, изменение массы будет зависеть от типа распада макромолекул и от способности продуктов деструкции растворяться в агрессивной среде. Если распад макромолекул происходит по закону случая, то масса полимерного изделия уменьшается незначительно. Если идет процесс деполимеризации макромолекул по закону концевых групп, то в случае растворения продуктов деструкции, масса полимера уменьшается в значительной степени. Очень часто процессы сорбции компонентов среды и деструкции происходят одновременно, что приводит к сложной зависимости изменения массы полимера от времени.
Реактивы и оборудование
Стаканы специальные, цилиндры мерные, весы аналитические, шкаф термостатический, спирт этиловый, набор агрессивных сред и образцы исследуемых полимерных материалов (по указанию преподавателя).
Опыт 1. Исследование кинетики сорбции агрессивной среды. Набухание полимеров.
1. Приготовить исследуемый раствор и залить его в стаканы.
2. Определить исходный объем (V0
) всех образцов из двух разных материалов. Определение объема полимера следует производить в воде и спирте. В цилиндр налить около 20 мл дистиллированной воды или этанола. Затем в тот же цилиндр поместить образец полимера и зафиксировать изменение объема. Разность между начальным (V2
) и конечным (V1
) фиксированными объемами равна собственному объему исследуемого образца. (V0
= V2
– V1
)
3. Осушить образец, промокнув фильтровальной бумагой, и погрузить его в агрессивный раствор.
Качественный анализ
1.1. ЛАБОРАТОРНАЯ РАБОТА №1
АНАЛИЗ СМЕСИ КАТИОНОВ
I
,
II
АНАЛИТИЧЕСКИХ ГРУПП
МЕТОДИЧЕСКИЕ УКАЗАНИЯ. Для выполнения лабораторной работы “АНАЛИЗ СМЕСИ КАТИОНОВ I, II АНАЛИТИЧЕСКИХ ГРУПП” необходимо знать основные понятия качественного анализа, классификацию катионов в сероводородном методе качественного анализа, теорию ионных равновесий, связанную с осаждением и образованием осадков, теорию осаждения, специфические реакции на катионы I и II аналитических групп.
КРАТКОЕ ТЕОРЕТИЧЕСКОЕ ВВЕДЕНИЕ.
Химическая идентификация (обнаружение) – это установление вида и состояния фаз, молекул, атомов, ионов и других составных частей вещества на основе сопоставления экспериментальных и соответствующих справочных данных для известных веществ.
Вещества, используемые для проведения аналитических реакций, называют реагентами или реактивами. При использовании в качественном анализе ионных реакций в растворах (аналитических реакций), последние должны удовлетворять следующим требованиям: иметь легко наблюдаемый внешний эффект за счет изменения окраски раствора, образования осадка, растворения осадка или выделения газа; протекать достаточно быстро; быть практически необратимыми; обладать достаточной чувствительностью.
Чувствительность аналитических реакций
характеризуется открываемым минимумом, минимальной (предельной) концентрацией и предельным разбавлением.
Аналитическая реакция тем чувствительнее, чем меньше открываемый минимум и предельная концентрация и чем больше предельное разбавление.
Реакции обнаружения иона, выполняемые в растворе его чистой соли, называются индивидуальными
. Индивидуальные реакции делят на характерные и общие.
Характерные реакции
– реакции, в которых участвуют реактивы, взаимодействующие с небольшим числом ионов или с одним ионом.
Общие реакции
– реакции, в которых участвуют реактивы, взаимодействующие со многими ионами. Строгой границы между общими и характерными реакциями нет.
Реактивы, дающие общие реакции, являются групповыми
и служат для отделения одной группы ионов от другой.
Реактивы, взаимодействующие с небольшим числом ионов, называются селективными
.
Реактивы, взаимодействующие с одним ионом, являются специфическими.
Они позволяют обнаружить искомый ион в присутствии любых других ионов.
Целью работы
является качественное определение состава раствора.
ВЫПОЛНЕНИЕ РАБОТЫ:
Раствор может содержать катионы: N
Н4
+
, К+
,
N
а +
, Ва2+
, Са2+
.
Краткая схема хода анализа смеси катионов
I
и
II
аналитических групп
1. Предварительные испытания: а) обнаружение иона аммония,
б) проба на присутствие катионов II группы.
2. Отделение катионов II группы от катионов I группы.
3. Анализ осадка: а) растворение осадка в СН3
СООН, б) обнаружение Ва2+
, в) осаждение Ва2+
,г) обнаружение Са2+
.
4. Анализ центрифугата: а) удаление NН4
+
, б) обнаружение К+
,
в) обнаружение Nа+
.
Проведение анализа смеси катионов
I
и
II
аналитических групп
1. Предварительные испытания:
а) Обнаружение иона аммония. К 1 капле исследуемого раствора прибляют 3 капли реактива Несслера. В присутствии ионов аммония образуется красно-бурый осадок (при очень малых количествах NН4
+
раствор окрашивается в желто-бурый или желтый цвет).
б) Проба на катионы II группы. К 2 каплям анализируемого раствора прибавляют несколько капель (до щелочной реакции) 2 н. раствора гидроксида аммония, 1 каплю раствора хлористого аммония и 3 капли раствора карбоната аммония. В присутствии катионов II группы выпадает белый осадок. В этом случае катионы II группы отделяют от катионов I группы, так как они мешают обнаружению последних. При отсутствии осадка дальнейший анализ упрощается и проводится по п. 4.
2. Отделение катионов
II
группы от катионов
I
группы
К исследуемому раствору (около 1 мл)
прибавляют несколько капель 2 н. раствора NH4
OH до появления слабого запаха аммиака, не исчезающего при перемешивании раствора, и 2 капли 2 н. раствора NН4
С1. Помещают пробирку с раствором в водяную баню и нагревают до 70°. К горячему раствору прибавляют 10 капель 2 н. раствора (NH4
)2
CO3
, хорошо перемешивают и снова нагревают на водяной бане. Осадок центрифугируют и, не сливая раствора, проверяют полноту осаждения прибавлением 1 капли раствора (NH4
)2
CO3
. Появление мути (осадка) означает, что полнота осаждения не была достигнута. В таком случае еще прибавляют 4—5 капель раствора (NH4
)2
CO3
, снова центрифугируют и вновь проверяют на полноту осаждения. Добившись полноты осаждения, сливают раствор с осадка в другую пробирку.
В осадке — ВаСО3
, СаСО3
, в центрифугате — NН4
+
, К+
, Nа +
. Осадок исследуют по п. 3, центрифугат — по п. 4.
3. Исследование осадка
а) Растворение осадка. Осадок карбонатов (см. п. 2) растворяют в 10 каплях 2 н. раствора уксусной кислоты при нагревании на водяной бане и перемешивании стеклянной палочкой. В растворе—ионы Ва2+
и Са2+
.
б) Обнаружение Ва2+. К 2 каплям полученного раствора прибавляют 3 капли раствора СН3
СООNa и 2 капли раствора К2
Сг2
О7
. В присутствии Ва2+
выделяется желтый осадок хромата бария ВаСгО4
.
Центрифугируют осадок ВаСrО4
, растворяют его в 1 капле концентрированной соляной кислоты и полученный раствор при помощи нихромовой проволоки вносят в бесцветное пламя горелки. Пламя окрашивается в желто-зеленый цвет, что подтверждает присутствие иона Ва2+
.
в) Отделение Ва2+
. Поскольку ион бария мешает обнаружению иона кальция, его удаляют. Для этого к раствору (см. п. 3, а) прибавляют 5 капель раствора CH3
COONa и затем добавлять по каплям раствор К2
Сг2
О7
, пока жидкость над осадком не окрасится в оранжево-желтый цвет. Раствор с осадком хорошо перемешивают, нагревают на бане (1—2 мин)
и центрифугируют. Осадок отбрасывают, центрифугат исследуют на ион кальция.
г) Обнаружение Са2+
. К полученному центрифугату (см. п. 3, в) прибавляют 5 капель раствора (NH4
)C2
O4
. В присутствии иона кальция выпадает белый кристаллический осадок. Отделяют осадок от раствора и рассматривают его на дне пробирки.
Обнаружение иона Са2+
подтверждают ми-крокристаллоскопической реакцией.
Для этого помещают на предметное стекло 1 каплю раствора соли кальция, прибавляют к ней 1 каплю 2 н. раствора Н2
SО4
, смесь осторожно нагревают до начала образования кристаллов. После остывания пластинки наблюдают под микроскопом длинные игольчатые кристаллы СаSО4
• 2Н2
О.
С помощью микрокристаллоскопической реакции нон кальция обнаруживают и в присутствии иона бария.
4. Исследование центрифугата:
а) Удаление NН4
+
. При анализе центрифугата (см. п. 2) следует иметь в виду, что в нем содержатся в большой концентрации ионы аммония, введенные при отделении катионов II группы от катионов I группы. В присутствии же ионов аммония нельзя обнаружить ионы К+
и Nа+
. Поэтому ионы аммония полностью удаляют из раствора. Для этой цели переносят исследуемый центрифугат в фарфоровый тигель (или чашку), укрепляют под тягой тигель в фарфоровом треугольнике и раствор осторожно выпаривают досуха. После выпаривания прокаливают тигель с остатком сухих солей до полного прекращения выделения белого дыма солей аммония.
Охлаждают тигель и делают пробу на полноту удаления. Для этого берут небольшую крупинку сухого остатка, растворяют в 2 каплях дистиллированной воды и прибавляют 2 капли реактива Несслера: отсутствие красно-бурого осадка служит признаком полного удаления NH4
+
. В случае неполного удаления иона аммония (образуется красно-бурый осадок) прокаливание продолжают до тех пор, пока проба с реактивом Несслера даст отрицательный результат.
Сухой остаток, свободный от солей аммония, растворяют в нескольких каплях дистиллированной воды (в том же тигле). Раствор разделяют на две части: одну исследуют на ион калия, другую — на ион натрия.
б) Обнаружение К+
. К первой части полученного раствора (п. 4,а) прибавляют 2—3 капли раствора Nа3
[Со(NО2
)6
] и дают постоять. Образование желтого кристаллического осадка свидетельствует о присутствии иона калия.
Проверочное обнаружение К+
проводится с тем же раствором по окрашиванию пламени в бледно-фиолетовый цвет, наблюдаемый через синее стекло. Для этого нихромовую проволочку смачивают в концентрированной соляной кислоте и прокаливают на пламени горелки (до полного исчезновения окраски пламени). Очищенную проволочку смачивают анализируемым раствором и снова вносят в бесцветное пламя. Наблюдают окраску пламени через синее стекло.
Ничтожные количества соединений натрия маскируют окраску пламени. Синее стекло поглощают желтые лучи и фиолетовое окрашивание будет заметно в присутствии солей натрия.
в) Обнаружение Nа+
. Ион натрия обнаруживают с помощью реактива КН2
SbО4
в нейтральной или слабощелочной среде.
Вторую часть (см. п. 4,а) проверяют на реакцию раствора и добиваются, чтобы она была нейтральной или слабощелочной. Затем осадок центрифугируют (если раствор не совсем прозрачен), к центрифугату прибавляют 2—3 капли раствора КН2
SbО4
и охлаждают водопроводной водой. В присутствии ионов натрия выпадают белые кристаллики соли натрия, образование которых ускоряется при трении стеклянной палочкой стенок пробирки. С помощью микроскопа убеждаются, что образуемый осадок кристаллический. Аморфный осадок не является критерием присутствия в растворе иона Na+
.
Проверочный способ - окрашивание пламени в яркий желтый цвет, не исчезающий в течение 10-15 секунд. Для этого нихромовую проволочку, смоченную исследуемым раствором, вносят в бесцветное пламя горелки.
2. КОЛИЧЕСТВЕННЫЙ АНАЛИЗ
2.1.Гравиметрический анализ
2.1.1.ЛАБОРАТОРНАЯ РАБОТА №2
Определение содержания сульфатов в питьевой воде
МЕТОДИЧЕСКИЕ УКАЗАНИЯ. Для выполнения лабораторной работы “Определение содержания сульфатов в питьевой воде гравиметрическим методом” необходимо знать теорию электролитической диссоциации, теорию ионных равновесий, связанную с осаждением и образованием осадков, теорию гравиметрического (весового) анализа.
КРАТКОЕ ТЕОРЕТИЧЕСКОЕ ВВЕДЕНИЕ. Питьевая вода, подаваемая населению централизованными системами водоснабжения, должна быть безопасной в эпидемиологическом отношении, безвредной по химическому составу и иметь благоприятные органолептические свойства (ГОСТ 2874-73). При наличии в воде веществ, придающих вкус (сульфаты, хлориды), сумма их концентраций, выраженная в долях от максимально допустимых концентраций каждого вещества в отдельности, не должна быть более 1.
Согласно ГОСТ 2874-73, химические свойства, влияющие на органолептические свойства воды, встречающиеся в природных водах или добавляемые процессе обработки, не должны превышать норм, указанных в таблице 1.
Таблица 1.
Концентрация химических веществ в воде (мг/л)
| Химическое вещество
|
Норма
|
| Сухой остаток
|
1000
|
| Хлориды
|
350
|
| Сульфаты
|
500
|
| Железо
|
0.3
|
| Марганец
|
0.1
|
| Медь
|
1.0
|
| Цинк
|
5.0
|
| Остаточный алюминий
|
0.5
|
| Гексаметафосфат
|
3.5
|
| Триполифосфат
|
3.5
|
| Общая жесткость, мг-экв./л
|
7.0
|
Содержание в питьевой воде повышенного количества сульфатов может оказать слабительное действие и изменить вкус воды. Качественное и количественное (мг/л) определение SO4
2-
-ионов основано на учете степени помутнения воды от сульфата бария, образовавшегося при взаимодействии сульфат-иона с хлоридом бария: Ba2+
+ SO4
2-
®
BaSO4
¯
Слабая муть, появляющаяся через несколько минут.…..1.0 -10
Слабая муть, появляющаяся сразу……….……………..….……10 - 100
Сильная муть……………………………………………………………..100 - 500
Большой осадок, быстро оседающий на дно…………….Более 500,
В насыщенном растворе малорастворимого электролита устанавливается равновесие между веществом в осадке и ионами его в растворе: BaSO4
Û
Ba2+
+ SO4
2 -
,
в осадке в растворе
константа равновесия которого 
называется произведением растворимости ПР, т.к. в насыщенном растворе величина [BaSO4
] при неизменной температуре является постоянной: [Ba2
+
][SO4
2-
] =
K [BaSO4
] = const.
Произведение растворимости при неизменной температуре и давлении - величина постоянная, количественно характеризующая способность данного электролита к растворению. В общем виде для малорастворимого электролита Ka
Ab
Ka
Ab
Û
aK+
+ bA-
произведение растворимости выражается уравнением:
ПРKa
Ab
= [K
+
]а
[A
-
]b
, где [K
+
] и [A
-
] - равновесные концентрации катионов и анионов, образующих при электролитической диссоциации электролита Ka
Ab
; a
и b
- стехиометрические коэффициенты в формуле у катиона и аниона.
Трудно растворимый электролит может оставаться в растворе до тех пор, пока произведение концентрации его ионов не превышает ПР. Если при смешивании растворов произведение концентраций ионов данного электролита окажется выше ПР, то избыточное количество электролита выпадает из раствора в виде осадка.
Процесс осаждения определяемого элемента из раствора в виде малорастворимого соединения лежит в основе гравиметрического метода химического анализа. Результаты гравиметрических определений обычно выражают в массовых процентах. Для вычислений в гравиметрическом анализе используют факторы пересчета F
, называемые также аналитическими факторами. Фактор пересчета представляет собой отношение молярной массы определяемого вещества (М1
) к молярной массе вещества, находящегося в осадке (М2
): F =
M
1
/
M
2
.
Фактор пересчета показывает, сколько граммов определяемого вещества содержит 1 г осадка.
Целью работы
является ознакомление и овладение основными принципами и приемами гравиметрического метода анализа, определение содержания сульфатов в питьевой воде.
ВЫПОЛНЕНИЕ РАБОТЫ:
Качественная проба.
В пробирку наливают 3 мл исследуемой воды, добавляют 0.5 мл соляной кислоты и 2 мл раствора хлорида бария. Образование осадка BaSO4
свидетельствует о присутствии в воде ионов SO4
2-
.
Количественное определение.
Пробу исследуемой питьевой воды объемом 100 мл фильтруют в колбу вместимостью 150 cм3
, в фильтрат добавляют 2-3 капли раствора метилового оранжевого и соляной кислоты до розовой окраски раствора. Смесь нагревают до кипения и выпаривают примерно наполовину на электроплитке. Дают отстояться раствору. При наличии мути или хлопьев фильтруют через беззольный фильтр. Фильтр промывают дистиллированной водой, фильтрат вместе с промывными водами вновь выпаривают наполовину. В кипящий раствор при помешивании приливают 10 мл горячего раствора хлорида бария. Раствор с осадком нагревают на водяной бане до осветления, проверяют полноту осаждения, прибавляя к прозрачному раствору 1-2 капли хлорида бария. Отсутствие мути указывает на полноту осаждения. Колбу накрывают часовым стеклом и нагревают на водяной бане в течение 20 минут, далее снимают и оставляют при комнатной температуре до охлаждения раствора.
Раствор фильтруют через плотный беззольный фильтр. Осадок BaSO4
несколько раз декантируют дистиллированной водой, отфильтровывая воду через беззольный фильтр. Осадок фильтруют через этот же фильтр, промывают горячей дистиллированной водой до тех пор, пока в фильтрате при добавлении раствора AgNO3
не будет появляться лишь небольшая муть. Фильтр с осадком аккуратно складывают в предварительно взвешенный тигель и помещают в муфельную печь. Прокаливают при доступе воздуха. Охлаждают в эксикаторе, взвешивают и определяют содержание сульфатов в исследуемом образце питьевой воды.
ОБРАБОТКА РЕЗУЛЬТАТОВ:
Содержание сульфатов (Х), мг/л, вычисляют по формуле
,
где a - масса тигеля с осадком, мг; b - масса тигеля, мг; 0.4115 - коэффициент для пересчета BaSO4
на SO4
2-
; V - объем воды, взятой для определения, мл.
2.2.Титриметрический анализ
2.2.1.Лабораторная работа №3
Определение качества хлебобулочных изделий
МЕТОДИЧЕСКИЕ УКАЗАНИЯ. Для выполнения лабораторной работы “Определение качества хлебобулочных изделий” по ГОСТ 5670-94 необходимо знать основы теории растворов и титриметрического метода анализа.
КРАТКОЕ ТЕОРЕТИЧЕСКОЕ ВВЕДЕНИЕ. Титриметрический анализ основан на законе эквивалентов и выполняется путем измерения количества реагента, необходимого для взаимодействия с определяемым компонентом в растворе. Для этого, раствор с точно известной концентрацией реагента (титрант) постепенно добавляют к раствору определяемого вещества, контролируя объем вводимого титранта. Процесс постепенного приливания раствора-титранта к раствору анализируемого вещества называют титрованием.
В ходе титрования необходимо установить момент окончания реакции, т.е. определить точку эквивалентности. Точку эквивалентности устанавливают по изменению окраски индикатора (индикаторный способ), или других свойств раствора (физико-химические способы). При титровании вещества X стандартным раствором вещества A в точке эквивалентности количества эквивалентов этих веществ равны n(X) = n(A).
Под эквивалентом в данном случае понимается некая реальная или условная частица (молекула, ион, атом или их часть), которая в данной кислотно-основной реакции равноценна одному иону водорода. Молярная масса эквивалента - масса вещества, численно равная эквиваленту, выраженная в граммах.
При титровании концентрации стандартных растворов С(А) выражают, как правило, в эквивалентной (нормальной) концентрации (Сн) - количеством молей эквивалента (молярных масс эквивалента) растворенного вещества в 1 л раствора С(А) = n(А)/1000, где n(А) - количество молей эквивалента (эквивалентных масс) вещества А.
Раствор, содержащий 1 моль эквивалента вещества А в 1 л раствора, называется нормальным раствором (1н). Если известна нормальная концентрация стандартного раствора-титранта, то, учитывая, что вещества реагируют между собой в эквивалентных количествах, концентрация исследуемого раствора определяется как: C(X) V(X) = C(A) V(A)
Кислотность хлебобулочных изделий выражается в градусах кислотности.
Градусом кислотности называется объем в см3
1н раствора NaOH, необходимый для нейтрализации кислот, содержащихся в 100 г мякиша хлеба и хлебобулочных изделий. Кислотность вычисляют с точностью до 0.5 град.
В норме кислотность хлеба из пшеничной муки
высшего и первого сорта
должна быть
не более 3
,
второго сорта - 4
, кислотность
ржаного
хлеба
не должна превышать 12 .
Целью работы
является освоение основных приемов титриметрического анализа, определение качества хлебобулочных изделий на основании величины кислотности.
ВЫПОЛНЕНИЕ РАБОТЫ:
Из хлебобулочного изделия массой 200-500 г отрезают кусок массой около 70 г, у которого срезают корки и подкорочный слой около 1 см и, удалив все инородные включения, получают мякиш, который помещают в фарфоровый стакан, измельчают и перемешивают. Навеску 25 г измельченного мякиша переносят в сухой стакан вместимостью 400 см3
и приливают 50 мл дистиллированной воды с температурой около 600
С. Хлеб в стакане быстро растирают фарфоровой ложкой до получения однородной массы и добавляют еще 200 мл горячей дистиллированной воды. Полученную смесь аккуратно переносят в колбу на 500 см3
. Колбу закрывают пробкой и энергично встряхивают в течение трех минут. После встряхивания дают смеси отстояться в течение одной минуты и отстоявшийся жидкий слой осторожно сливают в сухой стакан на 400 см3
через марлю. Из стакана отбирают пипеткой по 50 мл раствора в три конические колбы вместимостью по 100-150 см3
каждая и титруют 0.1 н раствором NaOH с 2-3 каплями фенолфталеина до получения слабо розового окрашивания, не исчезающего при перемешивании колбы в течение 1 минуты.
ОБРАБОТКА РЕЗУЛЬТАТОВ:
Кислотность (А) в градусах вычисляют по формуле

где V - объем 0.1 н раствора NaOH, см3
; 1/10 - приведение 1 н раствора NaOH к 1 моль/дм3
; 4 - коэффициент, приводящий к 100 г навески; 25 - масса навески испытуемого продукта, г; 250 - объем воды, взятый для извлечения кислот, см3
; 50 - объем испытуемого раствора, взятого для титрования.
После титриметрического определения кислотности хлеба проводят статистическую обработку, полученные результаты сводят в таблицу:
| Ai
|
ni
|
`A
|
S
|
P при a=0.95
|
D
|
где Ai
- объем щелочи, пошедшей на титрование, ni
- число определений, `A - среднее значение; a - доверительная вероятность; ta
- критерий Стьюдента; - стандартное отклонение; - правильность анализа; - доверительный интервал.
2.2.2.Лабораторная работа № 4.
Определение качества воды
МЕТОДИЧЕСКИЕ УКАЗАНИЯ. Для выполнения лабораторной работы «Определение качества воды»
необходимо знать основы теории растворов и титриметрического метода анализа.
КРАТКОЕ ТЕОРЕТИЧЕСКОЕ ВВЕДЕНИЕ. Присутствие в воде гидрокарбонатов кальция и магния определяет ее жесткость. Жесткостью воды называется сумма миллиэквивалентов ионов Ca2+
и Mg2+
, содержащихся в 1 литре воды (мэкв/л). Различают временную жесткость, обусловленную содержанием гидрокарбонатов, и постоянную, связанную с присутствием других солей Mg и Ca (сульфаты, хлориды).
Принято считать воду с жесткостью более 6,5 мэкв жесткой; 6,5-3 мэкв - средней жесткости, ниже этой величины – мягкой.
Определение временной (карбонатной) жесткости основано на взаимодействии ионов Ca
2+
и Mg2+
,
находящихся в воде в виде гидрокарбонатов, с соляной кислотой по реакциям
Ca(HCO3
)2
+ 2HCl = CaCl2
+ 2H2
O + 2CO2
Mg(HCO3
)2
+ 2HCl = MgCl2
+ 2H2
O + 2CO2
По объему соляной кислоты известной концентрации, пошедшей на взаимодействие с растворенными в воде солями, обусловливающими временную жесткость, рассчитывают содержание последних в исследуемой воде.
Определение временной жесткости проводится методом титрования. Для определения окончания реакции используют индикатор метилоранж, изменяющий окраску с желтой на оранжевую при появлении в исследуемом растворе небольшого избытка кислоты.
Определение общей жесткости основано на способности двузамещенной натриевой соли этилендиаминтетрауксусной кислоты ЭДТА (трилон Б) образовывать с ионами магния и кальция малодиссоциированные комплексы по реакции:
В качестве индикатора используется хромоген черный. Наиболее полно процесс комплексообразования ионов кальция и магния идет в щелочной среде при рН 10.
Целью работы
является ознакомление с основными методами титриметрического анализа, определение временной и общей жесткости воды.
Выполнение работы:
Определение временной (карбонатной) жесткости. Отмеряют в 4 конические колбы по 100 мл водопроводной воды и прибавляют в 3 по 5-6 капель метилоранжа. (Одна из колб служит контрольной). В каждую из колб поочередно приливают из бюретки по каплям раствор соляной кислоты до тех пор, пока от последней капли кислоты окраска из желтой перейдет в оранжевую (сравните с цветом в контрольной колбе). Находят среднее значение. Расчет временной жесткости производят по формуле:

где Жв
– временная жесткость воды в мэкв/л; Vк
– объем раствора кислоты, израсходованного на титрование, мл; Cн
- концентрация раствора кислоты; Vв
– объем воды в мл.
Определение общей жесткости. В коническую колбу на 200 мл вводят пипеткой 50 мл исследуемой водопроводной воды, добавляют 50 мл дистиллированной воды, 5 мл буферного раствора и 4-7 капель индикатора хромогена черного. Жидкость в конической колбе тщательно перемешивают и оттитровывают раствором ЭДТА известной концентрации до перехода окраски индикатора из винно-красной в синюю. Дальнейшее добавление трилона Б не изменяет окраски раствора, поэтому необходимо прекратить титрование в первый же момент после изменения окраски и точно измерить объем пошедшего на титрование раствора трилона Б. Титрование повторяют 3 раза. Расчет содержания ионов кальция и магния проводят по формуле
где Ж0
- общая жесткость воды; СЭДТА
– концентрация раствора ЭДТА, мг-экв/л; VЭДТА
– объем раствора ЭДТА, пошедшего на титрование; Vв
– объем водопроводной воды, взятой для исследования.
Постоянная жесткость Жп
рассчитывается:
2.2.3.Лабораторная работа № 5
Определение концентрации растворенного в воде кислорода
МЕТОДИЧЕСКИЕ УКАЗАНИЯ. Для выполнения лабораторной работы «Определение концентрации растворенного в воде кислорода» необходимо знать основы окислительно-восстановительных процессов, основные понятия и приемы титриметрического метода анализа.
КРАТКОЕ ТЕОРЕТИЧЕСКОЕ ВВЕДЕНИЕ. Природная вода находится в непрерывном взаимодействии с окружающей средой. Она растворяет органические и неорганические примеси, содержащиеся в почве, атмосфере, растительности и т.п. Среди растворенных примесей в воде есть кислород О2
, являющийся необходимым для жизни всех представителей водной фауны и флоры. Однако кислород — сильный окислитель, в его присутствии значительно возрастает скорость коррозии металлического оборудования, находящегося в контакте с природной водой. Поэтому его содержание в воде строго регламентируется и тщательно контролируется.
Контроль над содержанием растворенного кислорода осуществляется титриметрическим иодометрическим методом, основанным на способности соединений марганца количественно связывать кислород в щелочной среде:
MnCl
2
+2
NaOH
—
>
Mn
(
OH
)2
+ 2
NaCI
М
n
(ОН)2
+ 1/2О2
+
H
2
О—> М
n
О2
•2Н2
О
Дигидрат диоксида марганца МnО2
•2Н2
О (малорастворимое соединение коричневого цвета) является сильным окислителем. Он образуется в количестве, строго эквивалентном содержанию растворенного кислорода. Определив количество образовавшегося дигидрата, рассчитывают содержание в воде О2
. Определение МnО2
•2Н2
О основано на взаимодействии последнего с иодидом калия в кислой среде, протекающем с выделением свободного иода:
М
n
О
2
•2
Н
2
О
+
2KI + 2H2
SO4
-
MnSO4
+K2
S
О
4
+ I2
+ 4H2
О
Количество образующегося иода эквивалентно количеству реагирующего дигидрата диоксида марганца.
Иодометрическое определение содержания О2
в воде заканчивают титрованием свободного иода раствором тиосульфата натрия в присутствии крахмала до исчезновения синей окраски:
2
Na
2
S
2
О3
+
I
2
-->
Na
2
S
4
O
6
+
2
NaI
Целью работы
является определение концентрации растворенного в воде кислорода титриметрическим методом
Выполнение работы:
В коническую колбу вместимостью 250 мл мерным цилиндром наливают 100 мл водопроводной воды. Пипеткой отмерюют 1 мл раствора хлорида марганца и добавляют его в колбу с анализируемой пробой. Чистой пипеткой отмеряют 1 мл щелочного раствора иодида калия (KI+KOH) и вносят его в анализируемую пробу. Колбу закрывают пробкой и тщательно, но осторожно перемешивают раствор. Оставляют колбу на столе на 3-4 минуты. Составляют уравнения протекающих реакций.
Из бюретки добавляют в колбу с анализируемой пробой 3 мл раствора серной кислоты, закрывают пробкой и, осторожно перемешивая содержимое, добиваются полного растворения осадка. Оставляют колбу на столе на 2-3 минуты. Составляют уравнения протекающих реакций.
Приготовленную колбу оттитровывают раствором тиосульфата натрия, добавляют его к анализируемой пробе по каплям до тех пор, пока цвет раствора не станет бледно-желтым. Затем вводят в колбу несколько капель растворенного крахмала и продолжают титрование до исчезновения окраски.
Повторяют опыт 3 раза. Результаты титрований не должны отличаться друг от друга более чем на 0.2 мл. Находят средний объем раствора тиосульфата натрия, израсходованный на титрование пробы, V2
. Рассчитывают молярную концентрацию эквивалентов кислорода в анализируемой пробе Сэкв(1),
моль/л.
Концентрацию растворенного кислорода рассчитывают исходя из соотношения, устанавливающего эквивалентность реагентов в химических реакциях, протекающих в водных растворах: V1
Сэкв(1)
=
V
2
C
экв(2),
где V1
—объем анализируемой пробы воды, мл; V2
—объем раствора Na2
S2
О3,
израсходованный на титрование пробы, мл; Сэкв(1)
— молярная концентрация эквивалентов кислорода, растворенного в воде - С(1/4О2
), моль/л; Сэкв(2)
—молярная концентрация эквивалентов раствора Na2
S2
О3
— С (Na2
S2
О3
), моль/л.
Результаты измерений сведят в таблицу:
| V2
Na2
S2
O3
,
мл
|
Сэкв(2)
Na2
S2
O3
,
моль/л
|
V1
, мл
|
С экв(1)
, моль/л
|
Зная молярную концентрацию молярной массы эквивалента кислорода, растворенного в воде, определяют его массу в мкг/л и делают вывод об экологической пригодности воды.
2.3.Физико-химические методы анализа
2.3.1.Лабораторная работа №6
ОПРЕДЕЛЕНИЕ ЭКОЛОГИЧЕСКОГО СОСТОЯНИЯ ПОЧВЫ потенциометрическим методом
МЕТОДИЧЕСКИЕ УКАЗАНИЯ. Для выполнения лабораторной работы “Определение экологического состояния почвы” по ГОСТ 26423-85 необходимо знать теорию растворов электролитов, основы электрохимии.
КРАТКОЕ ТЕОРЕТИЧЕСКОЕ ВВЕДЕНИЕ. Анализ водной вытяжки из почвы дает сведения о составе и количестве в ней легко растворимых веществ и позволяет установить степень и характер засоления почвы.
При действии воды на почву происходит растворение минеральных соединений и частично гумусовых веществ, а в некоторых случаях идет также процесс разложения сложных силикатов. В дальнейшем почва взаимодействует уже не с водой, а с образовавшимся сложным раствором, где могут протекать реакции взаимного обмена между катионами вытяжки и катионами поглощающего комплекса почвы.
Важной характеристикой свойств почвы является величина рН водной суспензии. По рН солевой вытяжки из почвы судят о степени ее кислотности и необходимости известкования. Считают, что при рН 3-4 почва сильнокислая, 4-5- кислая, 5-6- слабокислая, 7 -нейтральная, 7-8 -слабощелочная, 8-9- щелочная, 9-11- сильнощелочная. Почвы с рН солевой вытяжки меньше 4.5 нуждаются в известковании.
Для определения рН водной суспензии почвы используют потенциометрический анализ, основанный на определении концентрации иона по электродвижущей силе (ЭДС) гальванического элемента, с использованием компенсационной схемы, в которой измеряемая ЭДС уравновешивается известной ЭДС источника постоянного тока.
Для измерения рН составляют ячейку из хлорсеребряного электрода, потенциал которого постоянен, заранее известен и не зависит от состава раствора, являющегося электродом сравнения, и индикаторного электрода, потенциал которого, зависящий от концентрации определяемого иона, измеряется относительно электрода сравнения. В качестве индикаторного при определении рН используют стеклянный электрод, представляющий собой тонкостенный шарик из литиевого стекла, при погружении в раствор которого происходит обмен ионами между раствором и поверхностью шарика, т.е. ионы лития проникают из стекла в раствор, а ионы водорода из раствора в стекло. Таким образом, на поверхности стеклянного электрода устанавливается потенциал, величина которого определяется концентрацией водородных ионов.
Целью работы
является ознакомление с одним из методов электрохимического анализа, определение кислотности и солесодержания почвы.
ВЫПОЛНЕНИЕ РАБОТЫ
ОПРЕДЕЛЕНИЕ pH
Приготовление водной вытяжки из почвы.
Пробу почвы массой 30 г помещают в коническую колбу с пробкой вместимостью 250 см3
, приливают 150 см3
дистиллированной воды. Почву с водой перемешивают в течение трех минут и оставляют на 5 минут для отстаивания. Часть почвенной суспензии объемом 15-20 см3
сливают в химический стакан вместимостью 50 см3
и используют для измерения рН. Измерение рН водной вытяжки почвы проводят с помощью рН-метра.
Для измерения рН почвенной суспензии стеклянный и хлорсеребряный электроды рН-метра погружают в стакан с испытуемым раствором. Перед каждым погружением в испытуемый раствор электроды тщательно промывают дистиллированной водой и затем чрезвычайно осторожно удаляют воду с их поверхности фильтровальной бумагой. Показания прибора считывают не ранее, чем через 1.5 минут после погружения электродов в измеряемую среду после прекращения дрейфа измерительного прибора. Полученные экспериментальные данные сводят в таблицу:
| Ai
|
ni
|
`A
|
S
|
P при a=0.95
|
D
|
где Аi
- показания рН-метра; ni
- число определений; А - среднее значение; ta
- критерий Стьюдента; a - доверительная вероятность; S - стандартное отклонение; P-правильность анализа; D - доверительный интервал.
ОПРЕДЕЛЕНИЕ СОДЕРЖАНИЯ СОЛЕЙ В ПОЧВЕ
Фильтрование суспензий.
Оставшуюся после определения рН часть почвенной суспензию взбалтывают и, не давая ей отстояться, фильтруют через двойной складчатый фильтр. В качестве приемника используют сухой химический стакан емкостью 150 см3
. Если первые порции фильтрата окажутся мутными, то его следует перефильтровать через этот же фильтр сразу, не дожидаясь конца фильтрования.
После того, как весь раствор будет отфильтрован, из приемника отбирают пипеткой 25 см3
фильтрата, помещают в высушенную и взвешенную с точностью 0.01 г фарфоровую чашку и ставят на водяную баню для выпаривания фильтрата. По окончании выпаривания чашку помещают в термостат, выдерживают в нем в течение 30 минут при температуре 105° С, охлаждают в эксикаторе и взвешивают с погрешностью до 0.01 г.
ОБРАБОТКА РЕЗУЛЬТАТОВ:
Содержание солей в почве (Х ) в процентах вычисляют по формуле:

где m1
- масса чашки с остатком, г; m
- масса пустой чашки, г; 500 - коэффициент пересчета; 25 - объем вытяжки, см3
2.3.2.Лабораторная работа №7
ФОТОМЕТРИЧЕСКИЙ МЕТОД ОПРЕДЕЛЕНИЯ ТИТАНА В МЕДЬСОДЕРЖАЩИХ СПЛАВАХ
МЕТОДИЧЕСКИЕ УКАЗАНИЯ. Для выполнения лабораторной работы «ФОТОМЕТРИЧЕСКИЙ МЕТОД ОПРЕДЕЛЕНИЯ ТИТАНА В МЕДЬСОДЕРЖАЩИХ СПЛАВАХ»
по ГОСТ 15027.14-77 необходимо знать теорию растворов, основные принципы фотометрического метода анализа.
КРАТКОЕ ТЕОРЕТИЧЕСКОЕ ВВЕДЕНИЕ. Фотометрический анализ - это группа методов, используемых в химическом анализе, основанных на измерении поглощения электромагнитного излучения в видимой и ближней УФ-области спектра растворами анализируемых веществ. При этом определяемый компонент сначала переводят в окрашенное соединение. При прохождении света через слой окрашенного вещества и, в частности, через окрашенный раствор происходит поглощение некоторой части его энергии. Остальная часть света проходит через раствор. Интенсивность монохроматического излучения, проходящего через исследуемый раствор, зависит от концентрации и толщины слоя раствора. Эта зависимость выражается законом Ламберта-Бугера-Бера A = e . C. l, где A - оптическая плотность раствора; e - коэффициент молярного поглощения л/моль см; С - концентрация раствора, моль/л, l - толщина слоя раствора, см.
Оптическая плотность раствора - безразмерная величина, определяемая из соотношения A = lg I0
/ I, где I0
- интенсивность падающего на раствор потока излучения, I - интенсивность прошедшего через раствор потока излучения.
Коэффициент молярного поглощения равен оптической плотности 1 М раствора толщиной 1 см. Величина e зависит от длины волны падающего излучения, температуры раствора, природы исследуемого вещества и не зависит от толщины поглощающего слоя и концентрации. Для определения концентрации окрашенного раствора измеряют его оптическую плотность с помощью фотометра.
Колориметрический метод определения титана основан на сравнении окраски раствора, полученной от действия пероксида водорода в разбавленном сернокислом растворе исследуемого вещества, с окраской, получаемой в стандартном растворе сульфата титана. Пероксид водорода в присутствии серной кислоты вызывает желто-оранжевое окрашивание, обусловленное образованием комплексной пероксидисульфотитановой кислоты:
H2
[TiO(SO4
)2
] + H2
O2
-----> H2
[TiO(H2
O2
)(SO4
)2
]
Целью работы
является определение содержания титана в медьсодержащем сплаве фотометрическим методом.
ВЫПОЛНЕНИЕ РАБОТЫ:
Приготовление стандартного раствора. Навеску 0.201 г металлического титана растворяют при нагревании (под тягой
!) в 100 мл серной кислоты (1:4), добавляют при кипячении по каплям азотную кислоту (1:1) до обесцвечивания раствора и продолжают кипятить еще в течение 2-3 минут. Полученный раствор переводят в мерную колбу вместимостью 500 см3
, доливают до метки водой, перемешивают.
Построение градуировочного графика. В мерные колбы вместимостью 50 см3
пипеткой вносят 0; 1.0; 2.0; 3.0; 4.0; 5.0 и 6.0 мл стандартного раствора титана, добавляют в каждую по 25 мл серной кислоты , 5 мл фосфорной кислоты и 1 мл пероксида водорода, доводят до метки водой, перемешивают и измеряют оптическую плотность растворов на фотометре (рис.1). Раствором сравнения служит раствор, не содержащий титана.
ПОРЯДОК РАБОТЫ НА ФОТОМЕТРЕ «ЭКСПЕРТ-003»

Рис.1. Клавиатура фотометра «Эксперт-003».
1. Включение фотометра
1.1 Включите фотометр нажатием (и удержанием в течение 1 секунды) кнопки «ВКЛ» до появления на индикаторе сообщения, сопровождаемого коротким звуковым сигналом. Фотометр готов к работе.
2.Градуировка (калибровка) фотометра
2.1 Нажмите кнопку «КЛБ». Прибор переходит в режим калибровки и на дисплей выводится сообщение: в верхней строке указана рабочая длина волны, во второй строке – номер градуировочного графика, в двух нижних строках – координаты градуировочной точки (значения концентрации и оптической плотности). В правом нижнем углу указан номер текущей градуировочной точки и общее число точек градуировки.
2.2 Присвойте номер градуировочного графика, выбрав один из 20 возможных кнопками « » и « ».
2.3 Нажмите кнопку «N», кнопками « » и « » установите количество точек градуировки, соответствующее числу градуировочных растворов, нажмите кнопку «ВВОД». Установленное число точек градуировки отразится в правом нижнем углу экрана после дробной черты.
2.4 Установите требуемые единицы измерения путем многократного нажатия кнопки «СОЛЬ» (мг/л). Далее кнопками « » и « » выберите первую точку градуировки n1.
2.5 Для ввода значения концентрации первого градуировочного раствора нажмите кнопку «ЧИСЛ», на дисплее появится сообщение: «ВВЕДИТЕ ЧИСЛО». Наберите на клавиатуре число, соответствующее концентрации раствора в выбранных единицах измерения, и нажмите кнопку «ВВОД». Для подтверждения запроса нажмите «ВВОД» еще раз. Введенное значение отобразится в третьей строке.
2.6 Нажмите кнопку «ИЗМ». Поместите кювету с дистиллированной водой (или раствором сравнения) в ячейку фотометра и нажмите «Ф1». Убедитесь, что показание оптической плотности составляет «0,000 Б». извлеките кювету с дистиллированной водой (или раствором сравнения) и вставьте кювету с первым градуировочным раствором с концентрацией, соответствующей введенному значению для точки n1.
2.7 После того, как значение установится (скорость изменения оптической плотности не более 0,005 Б/мин), нажмите кнопку «ВВОД» 2 раза. При этом в обозначении номера градуировочного графика вместо индекса «ХХХ» впишется значение длины волны.
2.8 Извлеките кювету, промойте ее дистиллированной водой и сполосните раствором, который собираетесь поместить в кювету.
2.9 Перейдите ко второй точке градуировки. Для этого кнопкой « » установите на дисплее окно с обозначением n2 в нижней строке. Ввод значения концентрации и градуировка по второму и остальным градуировочным растворам производится так же, как и для первого раствора (см. пункты 2.5 - 2.8).
2.10 После окончания градуировки нажмите кнопку «ОТМ».
3. Выполнение измерений
3.1 Нажмите кнопку «ИЗМ». Прибор автоматически активирует градуировочный график, построенный на заданной длине волны. Номер графика отразится во второй строке. Если графиков на данной длине волны несколько, то будет активирован последний использованный (для перехода к другим градуировочным графикам, в случае работы по предварительно построенной градуировке на данной длине волны, используйте кнопки « » и « »
).
3.2 Поместите кювету с дистиллированной водой (или раствором сравнения) в ячейку фотометра и нажмите «Ф1». Убедитесь, что показание оптической плотности составляет «0,000 Б», извлеките кювету с дистиллированной водой (или раствором сравнения) и вставьте кювету с анализируемым раствором.
3.3 После того, как значение установится (скорость изменения оптической плотности не более 0,005 Б/мин), произведите считывание результатов измерения.
3.4 Проведите три параллельных измерения оптической плотности анализируемого раствора, аналогично первому измерению (см. пункты 3.2-3.3).
3.4 Для выхода из режима измерения нажмите кнопку «ОТМ»
4. Выключение фотометра
4.1 После завершения работы отключите фотометр нажатием кнопки «ОТКЛ».
Полученные экспериментальные величины оптической плотности в зависимости от содержания титана в стандартных растворах вносят в таблицу 1.
Таблица 1
Экспериментальные данные (n = 7)
| Х
|
Количество
титана, мг
|
4.0×
10-4
|
8.0×
10-4
|
1.2×
10-3
|
1.6×
10-3
|
2.0×
10-3
|
2.4×
10-3
|
0
|
| У
|
Оптическая плотность раствора, А
|
Для определения правильного хода градуировочного графика из-за значительного разброса результатов измерения их обрабатывают методом наименьших квадратов. При этом рассчитывают a и b, где

и получают зависимость оптической плотности раствора от концентрации титана в медьсодержащем сплаве в виде Y = aХ + b, по которой строят градуировочный график, откладывая по оси абсцисс содержание титана в мг, а по оси ординат - соответствующие им оптические плотности растворов (рис.2).
Определение титана в медьсодержащем сплаве. Навеску медьсодержащего сплава массой 0.5 г помещают в стакан, приливают 10 мл азотной кислоты и растворяют при нагревании (под тягой
!). К раствору прибавляют 10 мл серной кислоты, выпаривают до выделения белого дыма серной кислоты, охлаждают, остаток растворяют в воде, раствор переносят в мерную колбу вместимостью 50 см3
, прибавляют 5 мл фосфорной кислоты, 1 мл пероксида водорода, доливают до метки водой, перемешивают и проводят три параллельных измерения оптической плотности исследуемого раствора на ФОТОМЕТРЕ «ЭКСПЕРТ-003» Раствором сравнения служит раствор, полученный при растворении анализируемого сплава, проведенный через все стадии анализа, но без добавления пероксида водорода. Содержание титана в исследуемом растворе определяют по градуировочному графику.
ОБРАБОТКА РЕЗУЛЬТАТОВ:
Массовую долю титана (Х) в медьсодержащем сплаве рассчитывают в соответствии с (3):

где m - масса титана, определенная по градуировочному графику, г., m1
- масса навески медьсодержащего сплава, г., взятого для анализа.
Полученные результаты обрабатывают методом математической статистики и сводят в таблицу 2.
Таблица 2
| Ai
|
ni
|
`A
|
S
|
P при a=0.95
|
D
|
где Ai
- массовая доля титана в сплаве, ni
- число определений, A - среднее значение; ta
- критерий Стьюдента; a - доверительная вероятность; S- стандартное отклонение; P - правильность анализа; D - доверительный интервал.
|