| СОДЕРЖАНИЕ
СОДЕРЖАНИЕ. 3
I. ВВЕДЕНИЕ. 4
1.1 Биомеханика. 4
1.2 . Cтержни. 10
1.3 Кинематика деформирования стержней. 12
1.4 Метод конечных элементов. 14
2 КРИВОЛИНЕЙНЫЕ СТЕРЖНИ. 20
3 МКЭ ДЛЯ КРИВОЛИНЕЙНОГО СТЕРЖНЯ. 30
3.1 Типы конечных элементов. 30
3.2 Разбиение области на элементы. Симплекс-элемент. 31
3.3 . Моделирование стержневых систем методом конечных элементов. 39
3.4 Вариационный принцип Лагранжа. 42
3.5 Конечный элемент стержня в локальной системе координат. 47
3.6 Алгоритм составления матричных характеристик ансамбля конечных элементов. 57
3.7 . Интерпретация результатов конечно-элементных расчетов. 60
4 МКЭ – МОДЕЛЬ ДЕФОРМИРОВАНИЯ ВИТКА ПРУЖИНЫ.. 63
4.1 Математическая модель динамики криволинейного стержня. 63
4.2 Сетка конечных элементов для витка пружины.. 66
4.3 Расчет частот свободных колебаний витка пружины. 70
5 конечный элемент криволинейного стержня. 74
5.1 Функционал Лагранжа для плоского криволинейного стержня. 74
5.2 Решение задачи динамики для кругового стержня. 78
ЗАКЛЮЧЕНИЕ. 81
ЛИТЕРАТУРА.. 83
I. ВВЕДЕНИЕ.
1.1 Биомеханика.
Современная теория биомеханики имеет в своей основе системно-структурный подход к рассмотрению явлений и процессов (как конкретизацию диалектико-материалистического понимания): субстрата движений (тело человека), самих процессов движения (двигательные действия) и их развития.
Системно-структурный подход представляет собой принцип научного познания целостности сложных объектов и процессов (систем), исходя из взаимодействия элементов (структура систем), из которых они состоят. Системно-структурный подход как методологическая основа в известной мере объединяет механическое, функционально-анатомическое и физиологическое направления в развитии теории биомеханики. Существо этого подхода заключается в изучении явлений как целостных сложных объектов (системы). Понятие о системе (целом), в котором множество элементов (ее состав) закономерно объединено взаимными связями, взаимозависимостью (ее структура), стало общепризнанным в современной науке. В биомеханике этот подход проявляется в изучении тела человека и его движений как сложных систем. [9], [12]
На возникновение биомеханики как науки о движениях животных оказало решающее влияние развитие механики. Классическая механика описывает движения материальной точки и абстрактного абсолютно твердого тела. На ее основе разрабатывалось и учение о движении абсолютно упругого тела.
Забиваем Сайты В ТОП КУВАЛДОЙ - Уникальные возможности от SeoHammer
Каждая ссылка анализируется по трем пакетам оценки: SEO, Трафик и SMM.
SeoHammer делает продвижение сайта прозрачным и простым занятием.
Ссылки, вечные ссылки, статьи, упоминания, пресс-релизы - используйте по максимуму потенциал SeoHammer для продвижения вашего сайта.
Что умеет делать SeoHammer
— Продвижение в один клик, интеллектуальный подбор запросов, покупка самых лучших ссылок с высокой степенью качества у лучших бирж ссылок.
— Регулярная проверка качества ссылок по более чем 100 показателям и ежедневный пересчет показателей качества проекта.
— Все известные форматы ссылок: арендные ссылки, вечные ссылки, публикации (упоминания, мнения, отзывы, статьи, пресс-релизы).
— SeoHammer покажет, где рост или падение, а также запросы, на которые нужно обратить внимание.
SeoHammer еще предоставляет технологию Буст, она ускоряет продвижение в десятки раз,
а первые результаты появляются уже в течение первых 7 дней.
Зарегистрироваться и Начать продвижение
Математические науки, сыгравшие свою роль в развитии механики, в дальнейшем разрослись в самостоятельные области знаний. Их применение в биомеханике все более расширяется. Речь идет не только о математической обработке собранного материала, но и о самостоятельных математических методах исследования (в частности, о моделировании).
Элементы движений: а) суставные движения звеньев и систем звеньев (элементарные действия) и б) фазы движений. Для изучения движений строят модель тела – биомеханическую систему.
Кинематические цепи.
Множество частей тела, соединенных подвижно, образует биокинематические цепи. К ним приложены силы (нагрузки), которые вызывают деформации и изменения движений. Механические свойства (особенности строения и функции) этих цепей влияют на выполнение движений.
Биокинематическая пара –
это подвижное (кинематическое) соединений двух костных звеньев, в котором возможности движения определяются строением соединения и управляющим воздействием мышц.
Биокинематическая цепь –
это последовательное (или разветвленное) соединение ряда биокинематических пар. В незамкнутых цепях имеется последнее («свободное») звено, входящее лишь в одну пару; в замкнутых цепях нет свободного конечного звена, каждое звено входит в две пары. [9]
Если на физическое тело не наложено никаких ограничений (связей), оно может двигаться во всех трех измерениях, т.е. относительно трех взаимно перпендикулярных осей (поступательно), а также вокруг них (вращательно). Следовательно, у него шесть степеней свободы. [35]
Каждая наложенная связь уменьшает количество степеней свободы. Зафиксировав одну точку свободного тела, сразу лишают его трех степеней свободы – возможных линейных перемещений относительно трех основных осей координат. Закрепление двух точек тела равносильно фиксации его на оси, проходящей через эти точки: остается одна степень свободы. Закрепление третьей точки, не лежащей на этой оси, полностью лишает тело свободы движения. Следовательно, такое соединение к суставам не относится. Так как почти во всех суставах тела человека имеется две и более степеней свободы движения, каждое такое соединение является неполносвязным механизмом. В нем, следовательно, заключены возможности множества механизмов. [12]
Сервис онлайн-записи на собственном Telegram-боте
Попробуйте сервис онлайн-записи VisitTime на основе вашего собственного Telegram-бота:
— Разгрузит мастера, специалиста или компанию;
— Позволит гибко управлять расписанием и загрузкой;
— Разошлет оповещения о новых услугах или акциях;
— Позволит принять оплату на карту/кошелек/счет;
— Позволит записываться на групповые и персональные посещения;
— Поможет получить от клиента отзывы о визите к вам;
— Включает в себя сервис чаевых.
Для новых пользователей первый месяц бесплатно.
Зарегистрироваться в сервисе
Кости, соединенные подвижно, образуют основу биокинематических цепей. Приложенные к ним силы (мышечной тяги и др.) действуют на звенья биокинематических цепей, как на рычаги. Это позволяет передавать действие силы по цепям на расстояние, а также изменять эффект приложенных сил.
Костные рычаги, подвижно соединенные в суставах, могут под действием приложенных сил сохранять положение и изменять его. Для равновесия либо равномерного вращательного движения звена как рычага необходимо, чтобы противоположно направленные моменты сил относительно оси рычага были равны. При ускорении звена один момент силы преобладает над другим.
Момент движущих сил, преобладая над моментом тормозящих, придает звену положительное ускорение (в сторону движения). Момент тормозящих сил, если он преобладает, вызывает торможение звена. Для сохранения положения звена в суставе, естественно, необходимо равенство моментов сил. [9], [12]
Работа, совершаемая силой, приложенной на плече рычага, передается на другое плечо.
Сила тяги мышцы обычно приложена на более коротком плече рычага, и поэтому плечо ее силы невелико. Это связано с тем, что в большей части случаев мышцы прикрепляются вблизи суставов. В тех же случаях, когда они расположены вдоль звена и прикрепляются вдалеке от сустава, угол тяги мышцы очень мал и поэтому плечо силы также очень невелико. В связи с этим мышцы, действующие на костные рычаги, почти всегда дают выигрыш в скорости, естественно, проигрывая в силе. [9]
В связи с особенностями приложения мышечных тяг к костным рычагам возникают значительные напряжения мышц при скоростных движениях. Выигрыш в скорости и укрепление суставов требуют значительного развития силы мышц. [12]
Тело человека – самодвижущаяся система, в которой передача движения от звена к звену неоднозначна. Следовательно, надо разбирать силы, определяющие движение в каждом звене. У самодвижущихся систем силы, приложенные к многим подвижным звеньям, нельзя заменить равнодействующими: каждое звено движется под действием именно к нему приложенных сил. При этом не следует отбрасывать действие противоположно направленных сил, поскольку в биомеханике особенно важна роль каждой силы, ее вклад в движение, задачи совершенствования ее использования.
Силы, приложенные к звеньям тела, создают относительно осей суставов моменты. Действие их в основном такое же, как и самих сил, - ускоряющее, замедляющее, поворачивающее. В конечном счете именно действие этих моментов сил и вызывает изменение положений тела и изменение движений. Говоря коротко, действие сил вызывает изменение движений. [9], [12]
При биомеханическом разборе движений особенно важно глубоко понимать физическую сущность действия сил на биокинематические цепи.
На тело человека при выполнении физических упражнений действует множество сил, играющих разную роль.
Во-первых, надо выделить силы, которые обеспечивают сохранение позы и положения, - уравновешивающие силы. Под действием этих сил тело «отвердевает», т.е. ряд подвижных звеньев обращается как бы в одно звено. Так фиксируется либо положение всего тела человека, либо положение части его звеньев – опорных.
Во-вторых, надо выделить силы ускоряющие, под действием которых изменяются скорости звеньев, направления их движений, увеличиваются или уменьшаются количество движения, кинетический момент, кинетическая энергия тела.
И те и другие силы деформируют ткани тела, на что расходуется значительная часть механической энергии. Источниками всей механической энергии служит работа сил: внутренних относительно тела человека и внешних. В земных условиях внешние силы действуют на тело человека непрерывно. Они подводят механическую энергию, действуя в направлении движения, и отнимают ее, действуя в противоположном направлении.
Кроме того, тело человека как самодвижущая система несет в себе запасы химической энергии, которая превращается в потенциальную (механическую) энергию напрягающихся мышц и далее в кинетическую энергию движущихся звеньев тела. Так возникают внутренние силы – усилия мышц.
Силы, приложенные к телу человека, определяют его движения. Движения же самого человека определяют силу его действия на внешнее физическое окружение. Сила действия человека передается через его рабочие точки в форме передачи движения (количество движения, кинетический момент) и в форме передачи кинетической энергии поступательного и вращательного движения. [9]
Гимнаст сохраняет положение тела в исходных и конечных неподвижных положениях, а также в равновесиях. Кроме того, почти во всех упражнениях бывает необходимо сохранять положения в отдельных суставах. Положение тела зависит: 1) от позы (взаимное относительно расположение звеньев тела); 2) от его ориентации в пространстве; 3) от местоположения тела в пространстве; 4) от отношения тела к опоре. Для сохранения положения тела нужно закрепить звенья в суставах и не допустить, чтобы внешние силы изменили его ориентацию в пространстве, местоположение (исключить повороты и перемещения) и его связь с опорой. Названные задачи решаются посредством уравновешивания действующих сил и моментов сил. Основу сохранения положения тела составляет уравновешивание сил.
Устойчивость тела человека определяется его возможностями активно уравновешивать возмущающие силы, останавливать начинающееся отклонение и восстанавливать положение. Гимнаст, стремясь сохранить положение (даже утратив равновесие), с помощью активных действий может еще восстановить положение в известных пределах отклонения. Зона восстановления положения – это область, в которой невозможно равновесие, но из которой гимнаст еще способен вернуться в заданное положение.
Поза тела характеризует взаимное расположение звеньев тела относительно друг друга. Нельзя смешивать понятия «положение тела» и «поза тела», поскольку положение тела характеризуется помимо позы еще ориентацией и местом тела. [12]
В анатомии для описания поз и движений в суставах используют термины: сгибание – разгибание, отведение – приведение, пронация – супинация и другие производные от названных. Эта терминология описательная. Она не основана на изучении особенностей движения в отдельных суставах (например, движения сочленяющихся суставных поверхностей при сгибании в тазобедренном и коленном суставах совершенно различны). При биомеханическом описании движений в суставах в трехмерном пространстве обычно используют углы Эйлера. А чтобы в этом случае можно было использовать аппарат теоретической механики, делают, как правило, следующие предположения:
1. Звенья модели (тела человека) абсолютно твердые. Поскольку это предположение во многих случаях для туловища нельзя считать оправданным, его моделируют системой из двух или трех звеньев.
2. Геометрические параметры звеньев модели (их длина и т. п.) совпадают с соответствующими параметрами сегментов тела человека.
3. Звенья модели соединены в идеальные кинематические пары III класса (шаровыми шарнирами).
Модели такого типа получили название базовых.
Моделирование суставов идеальными шарнирами, предполагающее, что любое движение в суставе – это сферическое движение относительно неподвижного центра, упрощает реальную ситуацию. В действительности положение мгновенных осей вращения может меняться. Важность этого обстоятельства, и, следовательно, возможность пренебрегать им зависит от изучаемых вопросов. В частности, смещение осей вращения не изменяет существенно геометрию масс, но оказывает сильное слияние на плечи сил отдельных мышц. Смещение мгновенных осей вращения объясняется тем, что в суставах возможны три основных типа движений сочленяющихся поверхностей: скольжение, что соответствует повороту звена относительно оси, сдвиг и качение.
Вопрос о числе степеней свободы подробно изучался польскими исследователями, которые, рассматривая проблему с точки зрения теории машин и механизмов, определяют тело человека – как сложный биомеханизм, кости – как жесткие звенья, а суставы – как кинематические пары определенных классов. [9], [12]
Резюме:
задача расчета криволинейных стержней интересна тем, что как система пространственных криволинейных стержней может рассматриваться опорно-двигательный аппарат человека, где один стержень – это один конечный элемент. К примеру, 16 ребер человека будут составлять 16 конечных элементов.
1.2 .
Cтержни.
Пусть в пространстве задана некоторая гладкая кривая уравнением r = `r(s), где где r – радиус-вектор точки в декартовой системе координат, – параметр, имеющий смысл длины дуги. Располагая вектор-функцией r(s) можно считать известными геометрические характеристики кривой в окрестности произвольно выбранной точки этой кривой. Представим себе плоскую фигуру, в общем случае деформируемую, которая движется по этой кривой, будем полагать площадь фигуры функцией дуговой координаты: A
= A
(
s
)
.
Будем считать, что задана плоская фигура и для нее определен центр тяжести и главные центральные оси инерции. Выберем на кривой начало отсчета – точку О
, совместим ее с центром тяжести фигуры и повернем фигуру так, чтобы одна из главных центральных осей инерции была направлена вдоль нормали, а вторая – вдоль бинормали. [2], [28], [29] Тогда касательная к кривой перпендикулярна плоской фигуре. В дальнейшем таким образом расположенную плоскую фигуру будем называть поперечным сечением.
Перемещая плоскую фигуру вдоль кривой так, чтобы описанное положение главных осей инерции не изменялось, получим объем, ограниченный начальным и конечным положением фигуры (торцами) и поверхностью, которую заметает контур С.
Если заполнить этот объем деформируемой средой, то полученное тело называют стержнем.
По умолчанию предполагается, что расстояние между торцами, отсчитанное вдоль образующей, превосходит наибольший характерный размер поперечного сечения. Будем считать, что внутри стержня изменение физико-механических характеристик (плотности, модулей упругости и т.д.) определяется гладкими и непрерывными функциями координат. То же самое можно сказать и о фигуре поперечного сечения. [5]
Если имеются нерегулярности физико-механических или геометрических свойств, то такой объект будем называть стержневой системой.
Классификация стержней осуществляется по следующим признакам:
1) вид оси стержня: прямые стержни, плоские криволинейные, пространственные, естественно-закрученные.
2) по изменению геометрических и физических характеристик вдоль оси: однородные (когда все постоянно), неоднородные (когда хоть что-нибудь меняется).
3) по форме поперечного сечения: круглого, квадратного сечения стержни и т.д.
4) по соотношению размеров: если длина стержня имеет порядок более десяти размеров поперечного сечения и если аналогичное соотношение существует между наименьшим радиусом кривизны и характерным поперечным размером, то стержень называют толстым, а все, что между ними – стержень средней толщины.
1.3 Кинематика деформирования стержней.
Деформирование стержней связано с движением поперечного сечению совместно с осью. Для сведения задачи о деформировании стержней к одномерной, принимается геометрическая гипотеза, позволяющая определить распределение продольных перемещений по поперечному сечению. Деформирование стержней рассматривается на основании кинематической гипотезы Бернулли
: поперечные сечения стержня, плоские и перпендикулярные его оси до деформирования, остаются плоскими и перпендикулярными оси после деформирования
`r = rn
× `n + rb
×`b
`r¢ = rn
× `n¢ + rb
×`b¢
Кинематическая гипотеза Бернулли исключает из рассмотрения эффект Пуассона, то есть уменьшение поперечного сечения при одноосном растяжении прямого стержня. Это является одним из источников погрешности теории стержней, основанной на гипотезе Бернулли. [22]
В соответствии с принятой гипотезой деформирование стержня можно рассматривать как следствие относительного движения двух близко расположенных поперечных сечений.
Допустим, что одно из этих сечений неподвижно. Если второе поперечное сечение перемещается относительно первого таким образом, что нормаль к поперечному сечению всегда совпадает с вектором t недеформированной оси, то говорят, что стержень находится в состоянии растяжения/сжатия.
При таком виде напряженно-деформированного состояния отсутствуют деформации сдвига, а деформация растяжения/сжатия любого волокна, эквидистантного оси стержня, не зависит от длины радиус-вектора `r.
Если второе поперечное сечение поворачивается в пространстве относительно вектора `t, причем последний не меняет своего направления, то такое напряженно-деформируемое состояние называется кручением
. [11], [25]
При рассмотрении кручения пренебрегают удлинением волокна, связанным с его поворотом (эффект Пойнтинга). Такое допустимо только при малых углах относительного поворота.
Если при деформировании поперечное сечение поворачивается относительно единичных векторов `b и `n, то говорят, что стержень находится в состоянии изгиба
.
Если второе поперечное сечение перемещается по направлению нормали или бинормали и при этом не поворачивается, то такое напряженно-деформируемое состояние называют сдвигом
.
В дальнейшем при рассмотрении различных напряженно-деформированных состояний будем считать перемещения оси стержня малыми, имеющими порядок половины наименьшего размера поперечного сечения;
угловые перемещения также будем считать малыми в смысле sinq » q, cosq » 1.
1.4 Метод конечных элементов.
История метода и область применения.
Метод конечных элементов является численным методом решения дифференциальных уравнений, встречающиеся в физике и технике. Возникновение этого метода связано с решением задач космических исследований (1950 г.). Впервые он был опубликован в работе Тернера, Клужа, Мартина и Топпа. Эта работа способствовала появлению других работ; был опубликован ряд статей с применениями метода конечных элементов к задачам строительной механики и механики сплошных сред. Важный вклад в теоретическую разработку метода сделал в 1963 г. Мелош, который показал, что метод .конечных элементов можно рассматривать как один из вариантов хорошо известного метода Рэлея—Ритца. В строительной механике метод конечных элементов минимизацией потенциальной энергии позволяет свести задачу к системе линейных уравнений равновесия. [20]
Связь метода конечных элементов с процедурой минимизации привела к широкому использованию его при решении задач в других областях техники. Метод применялся к задачам, описываемым уравнениями Лапласа или Пуассона. Решение этих уравнений также связано с минимизацией некоторого функционала. В первых публикациях с помощью метода конечных элементов решались задачи распространения тепла. Затем метод был применен к задачам гидромеханики, в частности к задаче течения жидкости в пористой среде. [33]
Область применения метода конечных элементов существенно расширилась, когда было показано что уравнения, определяющие элементы в задачах строительной механики, распространения тепла, гидромеханики, могут быть легко получены с помощью таких вариантов метода взвешенных невязок, как метод Галерейка или способ наименьших квадратов. Установление этого факта сыграло важную роль в теоретическом обоснования метода конечных элементов, так. как позволило применять его при решении любых дифференциальных уравнений. Следует отметить, что более общие теоретические обоснования исключают необходимость вариационной формулировки физических задач. [13]
Метод конечных элементов из численной процедуры решения задач строительной механики превратился в общий метод численного решения дифференциального уравнения или системы дифференциальных уравнений. Этот прогресс был достигнут за пятнадцатилетний период за счет совершенствования быстродействующих цифровых вычислительных машин, необходимых для более точного расчета конструкций летательных аппаратов, а также благодаря помощи Национального комитета по исследованию космического пространства. Вычислительная машина позволила ускорить проведение многих сложных численных расчетов. Изучение космического пространства потребовало выделения средств на проведение фундаментальных исследований и стимулировало совершенствование универсальных вычислительных программ. Метод конечных элементов применяется при проектировании самолетов, ракет, различных пространственных оболочек и т. п.
Основная концепция метода конечных элементов.
Основная идея метода конечных элементов состоит в том, что
любую непрерывную величину, такую, как температура, давление
и перемещение можно аппроксимировать дискретной моделью,
которая строится на множестве
кусочно-непрерывных функций, определенных на конечном числе подобластей.
Кусочно-непрерывные функции определяются с помощью значении непрерывной величины в коечном числе точек рассматриваемой области. [30]
В общем случае непрерывная величина заранее неизвестна, и нужно определить значения этой величины в некоторых внутренних точках области. Дискретную модель однако очень легко построить, если сначала предположить, что числовые значения этой величины в каждой внутренней точке области известны. После этого можно перейти к общему случаю. Итак, при построении дискретной модели непрерывной величины поступают следующим образом:
1. В рассматриваемой области фиксируется конечное число точек. Эти точки называются узловыми точками или просто узлами.
2. Значение непрерывной величины в каждой узловой точке считается переменной, которая должна быть определена.
3. Область определения непрерывной величины разбивается на конечное число подобластей, называемых элементами. Эти элементы имеют общие узловые точки и в совокупности аппроксимируют форму области.
4. Непрерывная величина аппроксимируется на каждом элементе полиномом, который определяется с помощью узловых значений этой величины. Для каждого элемента определяется свой полином, но полиномы подбираются таким образом, чтобы сохранялась непрерывность величины вдоль границ элемента.
Если рассматривается задача распространения тепла, то минимизируется функционал, связанный с соответствующим дифференциальным уравнением. Процесс минимизаций сводится к решению систем линейных алгебраических уравнений относительно узловых значений T
(
x
).
[21]
При построении дискретной модели непрерывной величины, определенной в двух- или трехмерной области, основная концепция метода конечных элементов используется аналогично. В двумерном случае элементы описываются функциями от х, у,
при этом чаще всего рассматриваются элементы в форме треугольника или четырехугольника. Функции элементов изображаются теперь плоскими или криволинейными поверхностями. Функция элементов будет представляться плоскостью, если для данного элемента взято минимальное число узловых точек, которое для треугольного элемента равняется трем, а для четырехугольного— четырем.
Если используемое число узлов больше минимального, то функции элемента будет соответствовать криволинейная поверхность. Кроме того, избыточное число узлов позволяет рассматривать элементы с криволинейными границами. Окончательной аппроксимацией двумерной непрерывной величины (x, у)
будет служить совокупность кусочно-непрерывных поверхностей, каждая из которых определяется на отдельном элементе с помощью значений (х, у) -
в соответствующих узловых точках.
Важным аспектом метода конечных элементов является возможность выделить из набора элементов типичный элемент при определении функции элемента. Это позволяет определять функцию элемента независимо от относительного положения элемента в общей связной модели и от других функций элементов. Задание функции элемента через произвольное множество узловых значений и координат позволяет использовать функции элемента для аппроксимации геометрии области.
Преимущества и недостатки.
В настоящее время область применения метода конечных элементов очень обширна и охватывает все физические задачи, которые могут быть описаны дифференциальными уравнениями. Наиболее важными преимуществами
метода конечных элементов, благодаря которым он широко используется, являются следующие:
1. Свойства материалов смежных элементов не должны быть обязательно одинаковыми. Это позволяет применять метод к телам, составленным из нескольких материалов.
2. Криволинейная область может быть аппроксимирована с помощью прямолинейных элементов или описана точно с помощью криволинейных элементов. Таким образом, методом можно пользоваться не только для областей с «хорошей» формой границы.
3. Размеры элементов могут быть переменными. Это позволяет укрупнить или измельчить сеть разбиения области на элементы, если в этом есть необходимость.
4. С помощью метода конечных элементов не представляет труда рассмотрение граничных условий с разрывной поверхностной нагрузкой, а также смешанных граничных условий.
5. Указанные выше преимущества метода конечных элементов могут быть использованы при составлении достаточно общей программы для решения частных задач определенного класса. Например, с помощью программы для осесимметрической задачи о распространении тепла можно решать любую частную задачу этого теша. Факторами, препятствующими расширению круга задач, решаемых методом конечных элементов, являются ограниченность машинной памяти и высокая стоимость вычислительных работ.[30], [24], [23]
Главный недостаток
метода конечных элементов заключается в необходимости составления вычислительных программ и применения вычислительной техники. Вычисления, которые требуется проводить при использовании метода конечных элементов, слишком громоздки для ручного счета даже в случае решения очень простых задач. Для решения сложных задач необходимо использовать быстродействующую ЭВМ, обладающую большой памятью. В настоящее время имеются технологические возможности для создания достаточно мощных ЭВМ. Некоторые коммерческие и управляющие организации располагают обширными комплектами вычислительных программ. Смягчить основной недостаток метода конечных элементов могут совершенствование вычислительных программ и создание мощных. ЭВМ. [26], [4]
Цель работы
состоит в том, чтобы построить конечный элемент криволинейного стержня на основании решения задачи динамики кривого стержня..
В разделе II излагается уравнение динамики криволинейного стержня (вместе с его выводом), в разделе III - общий принцип метода конечных элементов, определение матрицы направляющих косинусов для криволинейного стержня. В разделе IV - примеры расчета криволинейных стержней. В разделе V приводятся соотношения для получения матричных характеристик для КЭ в форме плоского кругового стержня и проводится решение той же задачи, что и в разд. IV. Сравнение результатов позволяет определить достоинства и недостатки нового КЭ.
2 КРИВОЛИНЕЙНЫЕ СТЕРЖНИ.
Выведем уравнение динамики для криволинейных стержней. Особенностью работы конструкции при динамическом воздействии является необходимость учитывать силы инерции, связанные с относительным перемещением точки деформируемого тела. Принципиально эта проблема решается путем добавления инерциального слагаемого в правую часть уравнения равновесия, которое после добавки называют уравнением движения. Следовательно, для статических задач это слагаемое не учитываем.
Принимаем обозначения:
n – нормаль, b – бинормаль, t – касательная, F – некоторая сила, S – параметр, имеющий смысл длины дуги и dS – сама длина дуги, r – радиус-вектор точки, U - поле перемещений (задано в разложении по подвижному векторному базису материального волокна: ), - удлинение, k – кривизна, t - крутка. [25], [22]
 Определим вид системы уравнений движения стержня с пространственно кривой осью. С этой целью, запишем уравнения равновесия элемента стержня бесконечно малой длины ds
в форме предложенной Даламбером.
В дальнейших рассуждениях будем полагать, что поле перемещений, внутренние силовые факторы в сечении стержня, а также интенсивность внешней нагрузки q
, – есть функции двух переменных: дуговой координаты и времени. Производную по времени будем обозначать точкой.
Уравнение равенства нулю главного вектора всех сил, действующих на элемент стержня, получается очевидным образом при суммировании внутренних сил в сечениях элемента стержня, переносных инерционных сил и внешней нагрузки, в векторной форме оно имеет вид:
. (2.1)
Разложив вектора, входящие в уравнение (2.1) по собственному базису оси стержня и учтя формулы Френе-Серре, можно переписать последнее соотношение в виде системы дифференциальных уравнений:
. (2.2)
Уравнение равенства нулю главного момента всех сил формально состоит из трех слагаемых:
, (2.3)
где:
· d
M
– главный вектор всех моментов, возникающих в сечениях элемента стержня;
· d
M
F
– главный вектор моментов сил, возникающих в сечениях элемента стержня;
· d
M
I
– вектор инерционных моментов.
Вид первого слагаемого очевиден:
, (2.4)
также очевидным представляется и третье слагаемое:
, (2.5)
где J
t
, J
n
, J
b
– моменты инерции сечения стержня относительно осей, направленных вдоль соответствующих базисных векторов.
Для выяснения природы второго слагаемого равенства (2.3) обратимся к общей записи момента некоторой силы F
, приложенной к концу элемента стержня в точке O1
(см. рис.2) относительно другого его конца – O2
.
По определению момента, согласно рис.2, имеем:
. (2.6)
Представим d
r
*
в виде суммы и удержим в разложении слагаемых только выражения стоящие при первых степенях приращения дуговой координаты Ds
. Таким образом, в разложении по базису векторов трехгранника Френе, будем иметь:
. (2.7)
Раскроем правую часть последнего соотношения, используя формулы дифференцирования векторов, а также правила векторного умножения взаимно ортогональных базисных векторов, приведем окончательный вид равенства для вычисления момента силы F
:
(2.8)
Используем полученное соотношение (2.8) для записи главного момента сил, относительно конца стержня O2
. Сгруппировав выражения, стоящие при одинаковых силах, получим:
(2.9)
Рассмотрев выражения стоящие в скобках при каждой силе, можно заметить, что согласно (2.3), (2.4) и (2.5):
· – угол поворота сечения вокруг бинормали;
· – угол поворота сечения вокруг нормали;
· – линейный вариант выражения удлинения материального волокна.
Выпишем систему уравнений равновесия элемента стержня в скалярной форме:
(2.10)
Чтобы замкнуть приведенную систему уравнений, необходимо дополнить ее геометрическими и физическими уравнениями связи между различными параметрами напряженно-деформированного состояния стержня, как, например, формулы связывающие углы поворота сечения и компоненты вектора перемещений, связь продольной силы N
и продольной деформации оси стержня.
Следует отметить, что система (2.10) имеет геометрически нелинейный вид, это обусловлено тем, что уравнения системы записаны опираясь на геометрию актуального состояния стержня. Тем самым учитываются нелинейные эффекты, связанные с влиянием значительной деформации и поворотов сечения на напряженно-деформированное состояние стержня. [22], [25]
Решение такого рода задач является, само по себе, серьезной проблемой механики деформируемого твердого тела, заслуживающее отдельного рассмотрения, по этому это выходит за рамки данной работы.
Предположим, что перемещения и деформации стержня невелики, это позволяет линеаризовать систему уравнений, записав ее в геометрии начального состояния:
. (2.11)
Дополним систему (2.11) уравнениями связи. Кинематические соотношения уже известны, получим уравнения связи силовых и кинематических параметров состояния, используя закон Гука и определение внутренних силовых факторов как интегральных характеристик поля напряжений в сечении стержня.
Напряжения в любой точке сечения стержня можно, согласно закону Гука, записать как:
, (2.12)
подставив в это соотношение представление деформации, принимая деформацию оси стержня по линейному варианту, получим:
, (2.13)
где e
– деформация оси стержня:
.
Используя равенство (2.13) легко можно вычислить все внутренние силовые факторы в сечении стержня по классическим формулам:
, (2.14)
, (2.15)
, (2.16)
, (2.17)
, . (2.18)
Вычислив интегралы в равенствах (2.14) – (2.18), имеем:
(2.19)
где
· – статические моменты сечения стержня; (2.20)
· – (2.21)
· осевые и полярный моменты инерции сечения;
· – центробежный момент инерции сечения стержня; (2.22)
Согласно введенным в предыдущем параграфе гипотезам можно сказать, что статические моменты и центробежный момент инерции сечения стержня равны нулю. В этом случае уравнения (2.19) примут более простой вид:
(2.23)
Выпишем на основании (2.23) систему уравнений, описывающих линейно-упругие связи между обобщенными деформациями и внутренними силовыми факторами:
. (2.24)
Объединение (2.11) и (2.24) в единую систему уравнений приводит к решению поставленной цели этого раздела:
(2.25)
Здесь N – продольная сила, Qn
, Qb
– поперечные силы, Mt
– крутящий момент, Mn
, Mb
– изгибающие моменты, u, v, w – компоненты перемещения, -углы поворота относительно главных центральных осей инерции, k – кривизна, t - крутка, ЕА – жесткость, Е – модуль упругости, q – нагрузка, G – модуль сдвига, It
, In
, Ib
– моменты инерции, - инерция поворота.
Таким образом, полученная система уравнений (2.25), в общем виде, может быть использована для решения задач о вынужденных движения пространственно кривого стержня. В этом случае ее необходимо дополнить условиями на краях, а также начальными условиями. [22]
Также она легко модифицируется для постановки статических задач и проблемы собственных движений путем исключения ненужных слагаемых, постановки задач для частных видов геометрии и состояний стержней, таких как, например: прямой стержень, стержень, ось которого имеет постоянные кривизну и крутку и т.п.
Мы получили систему уравнений 12-ого порядка. Решать ее проблематично. Но даже если она решена, то возникает проблема – объединение стержней в единую систему. У криволинейного стержня локальная система координат определяется трехгранником Френе. Чтобы соединить два и более стержней в единую систему, надо уметь пересчитывать локальные координаты в глобальные, т. е. преобразовывать компоненты векторов перемещения, сил и моментов из координат, связанных с подвижным трехгранником в неподвижную ДПСК.
3 МКЭ ДЛЯ КРИВОЛИНЕЙНОГО СТЕРЖНЯ.
Разбиение области на подобласти представляет собой первый шаг на пути к решению задачи, и именно этот шаг не имеет теоретического обоснования. Искусство разбиения области зависит от имеющихся инженерных навыков. Плохое или несовершенное разбиение будет приводить к ошибочным результатам, если даже остальные этапы метода осуществляются с достаточной точностью.
Дискретизация области (тела) включает задание числа, размеров и формы подобластей, которые используются для построения дискретной модели реального тела. Как инженеры мы сталкиваемся при этом с довольно деликатной ситуацией. С одной стороны, элементы должны быть выбраны достаточно малыми, чтобы получались приемлемые результаты, а с другой стороны, применение достаточно крупных элементов сокращает вычислительную работу. Нужно иметь некоторые общие соображения об окончательных значениях, с тем, чтобы можно было уменьшить размеры элементов в тех областях, где ожидаемый результат может очень сильно меняться (большие величины градиентов), и увеличить их там, где ожидаемый результат почти постоянен.
Навыки в дискретизации области приходят с опытом. Однако некоторые общие правила можно сформулировать. Эти правила и некоторые советы относительно дискретизации и обсуждаются в этой главе. [18]
3.1 Типы конечных элементов.
Простейшим среди элементов является одномерный элемент. Схематически он обычно изображается в виде отрезка, хотя и имеет поперечное сечение. Площадь поперечного сечения может изменяться по длине, но во многих встречающихся задачах она считается постоянной. Наиболее часто такой элемент используется в одномерных задачах распространения тепла и в задачахстроительной механики при расчете стержневых элементов конструкций (типа ферм). [6]
Простейший одномерный элемент имеет два узла, по одному на каждом конце. Элементы более высокого порядка, трехузловые (квадратичные) и четырехузловые (кубические). Одномерный элемент может быть криволинейным при условии, что длина дуги входит в уравнения, определяющие элементы.
3.2 Разбиение области на элементы. Симплекс-элемент.
Процесс дискретизации может быть разделен на два этапа: разбиение тела на элементы и нумерация элементов и узлов. Последний этап логически совершенно прост, но усложняется в связи с нашим желанием повысить эффективность вычислений.
Дискретизация одномерного тела почти тривиальна, так как она сводится только к делению отрезка на более короткие участки. При решении задач методом конечных элементов используются разнообразные элементы. Линейный одномерный элемент с двумя узлами относится к группе симплекс-элементов. [1]
Метод конечных элементов основан на идее аппроксимации непрерывной функции (температуры, давления, перемещения и т. д.) дискретной моделью, которая строится на множестве кусочно-непрерывных функций, определенных на конечном числе подобластей, называемых элементами. В качестве функции элемента чаще всего применяется полином. Порядок полинома зависит от числа используемых в каждом узле элемента данных о непрерывной функции.
Классификация конечных элементов может быть проведена в соответствии с порядком полиномиальных функций этих элементов. При этом рассматриваются три следующие группы элементов: Симплекс-, комплекс- и мультиплекс-элементы. Симплекс-элементам соответствуют полиномы, содержащие константу и линейные члены. Число коэффициентов в таком полиноме на единицу больше размерности координатного пространства. Полином представляет собой симплексную функцию для двумерного треугольного элемента. Этот полином линеен по х
и у
и содержит три коэффициента, потому что треугольник имеет три узла.
(3.1)
Симплекс-элемент представляет собой прямолинейный отрезок длины L
с двумя узлами, по одному на каждом конце отрезка. Узлы обозначаются индексами i
и j
, узловые значения — через и соответственно.
Начало системы координат располагается вне элемента. Полиномиальная функция  для скалярной величины[1]
имеет вид
. (3.2)
Коэффициенты и могут быть определены с помощью условий в узловых точках:
при ,
при .
Эти узловые условия приводят к системе двух уравнений
,
,
решение которой дает
3.3)
и
(3.4)
Подставляя найденные значения и в формулу (3.3), получаем для выражение, которое может быть переписано в виде
. (3.5)
Линейные функции от х
в формуле (3.5) называются функциями формы или интерполяционными функциями. Эти функций всюду обозначаются через N.
Каждая функция формы должна быть снабжена нижним индексом для обозначения узла, к которому она относится. Произвольную функцию формы будем обозначать через . В соотношение (3.5) входят следующие функции формы:
и .
Соотношение (3.5) может быть записано в матричном виде
, (3.6)
где —матричная строка и —вектор-столбец. Как видно из формулы (3.5), функция
равна единице в узле с номером i
и равна нулю в j
-м узле. Аналогично функция
равна нулю в i
-м узле и равна единице в узле с -номером j
. Эти значения характерны для функций формы. Они равны единице в одном определенном узле и обращаются в нуль во всех других узлах. [1], [7]
Уравнения метода конечных элементов: теория упругости.
Наша конечная цель — получить для узловых величин такие числовые значения, при которых соотношения для элементов очень точно аппроксимируют некоторый важный физический параметр. В задачах теории поля (перенос тепла, течение грунтовых вод, расчет магнитных полей и др.) минимизировался некоторый функционал. Этот функционал обладает тем свойством, что любая минимизирующая его функция удовлетворяет как исходным дифференциальным уравнениям, так и граничным условиям. Окончательные результаты, как для задач теории поля, так и для задач теории упругости, представлены в виде поверхностных и объемных интегралов, которые вычисляются при рассмотрении конкретных областей применения. [14]
Решение задач теории упругости может быть проведено одним из двух методов. С помощью первого метода решают дифференциальные уравнения с заданными граничными условиями. Второй метод заключается в минимизации интегральной величины. Для решения задач теории упругости методом конечных элементов используется последний подход. Если задача решается в перемещениях и на границе заданы их значения, то нужно минимизировать потенциальную энергию системы. Если задача решается в напряжениях с заданными на границе усилиями, то нужно минимизировать дополнительную работу системы. Общепринятая формулировка метода конечных элементов предполагает отыскание поля перемещений и тем самым связана с минимизацией потенциальной энергии системы при отыскании, узловых значений вектора перемещений. После того как перемещения будут определены, можно вычислить компоненты тензоров деформаций и напряжений. [14], [15]
Поскольку далее мы будем пользоваться формулировкой метода конечных элементов, связанной с минимизацией потенциальной энергии, приведем здесь теорему о потенциальной энергии.
Из всех перемещений, удовлетворяющих кинематическим гра
ничным условиям, стационарное (экстремальное) значение потенциальной анергии сообщают те перемещения, которые удовлетворяют уравнениям, равновесия.
Важное требование этой теоремы состоит в том, что искомые перемещения должны удовлетворять заданным значениям на границе.
Полная потенциальная энергия упругой системы может быть разделена на две части, одна из которых соответствует энергия деформаций в теле, а другая определяется потенциальной энергией массовых сил и приложенных поверхностных сил. В соответствии с этим запишем полную потенциальную энергию в виде
, (3.7)
где —энергия деформаций, a —потенциальная энергия приложенных сил. Работа внешних сил противоположна по знаку их потенциальной энергии:
. (3.8)
Из формул (3.7) и (3.8) получаем
. (3.9)
После разбиения области на элементы равенство (3.9) записывается е виде суммы
. (3.10)
Общий случай.
Энергия деформации бесконечно малого объема dV
дается формулой
, (3.11)
где —полная деформация, а —начальная деформация. Величина называется плотностью энергии деформации, а полная энергия деформации получается интегрированием этой величины по объему тела:
. (3.12)
Вид векторных столбцов
и зависит от того, какая задача решается. Например, для двумерного случая плоской деформации эти вектор - столбцы имеют вид

и
.
В основе курса теории упругости лежат два важных соотношения: закон Гука, который связывает компоненты тензоров напряжений и деформаций, и соотношения связи между деформациями и перемещениями. Закон Гука в общей форме имеет вид
, (3.13)
где [
D
]
содержит упругие константы материала. Соотношения связи между деформациями и перемещениями записываются как
,
, , , (3.14)
где и,
и w
— компоненты перемещений в направления координатных осей х, у
и z
соответственно[2]
. Эти компоненты перемещений были выражены в гл. 3 через узловые значения следующим образом:
. (3.15)
Здесь [
N
]
—матрица функций формы. С помощью формул (3.14) можно выразить вектор деформации через узловые перемещения {
U
}
. Общая форма этих соотношений такова
. (3.16)
Здесь [В]
—матрица, получаемая дифференцировал нем надлежащим образом матрицы [
N
]
. Фактические значения коэффициентов матрицы [В]
зависят от вида используемого элемента и от типа рассматриваемой задачи. Поэтому точное определение [В]
будет отложено до рассмотрения конкретных примеров. [30]
Энергия деформации отдельного элемента с помощью формул (3.13) и (3.16) может быть записала в следующем виде:
. (3.17)
Последнее слагаемое в (5.68) не зависит от узловых значений , поэтому оно не влияет на процесс минимизации и в дальнейших ссылках не будет приниматься во внимание. [30]
Работа, совершаемая внешними силами, может быть разделена на три различные части: работа ,
совершаемая сосредоточенными силами, работа ,
которая получается в результате действия компонент напряжений на внешней стороне поверхности, работа ,
совершаемая массовыми силами.
Работу сосредоточенных сил легко определить, если в каждой точке приложения сосредоточенной силы поместить узел. Работа сосредоточенной силы равна произведению величины этой силы на длину пути, нa котором эта сила действует. Таким образом, работа отдельной силы равна
.
Обозначая узловые силы через {Р}
, а узловые перемещения через {
U
},
совершенную работу можно записать в виде произведения матриц:
. (3.18)
Это определение предполагает, что силы разложены на компоненты, параллельные компонентам перемещений. Эта часть полной работы не входит в сумму (3.2), так как рассмотренные силы сосредоточены в узлах. [30], [34]
Работа объемных сил χ, ỳ, £ дается формулой

где и,
и w
— компоненты вектора перемещений внутри элемента по осям х, у
и z
соответственно. Интеграл здесь необходим, так как и,
и
вместе с χ, ỳ и £ могут изменяться внутри элемента. Используя равенство (3.14), формулу (3.18) можно переписать в виде
. (3.19)
Работа поверхностных сил определяется следующим образом:
, (3.20)
где и, 
и w
— компоненты вектора перемещений, а рх
,
py
и pz
— компоненты вектора напряжений, параллельные координатным осям х, у
и z
.
Сравнение формул (3.20) и (3.18) показывает, что они идентичны по форме. Поэтому
. (3.21)
Используя формулы (3.2), (3.10), (3.17), (3.19) и (3.21), получаем выражение для полной потенциальной энергии:
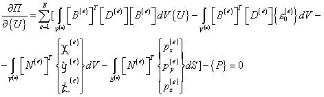
, (3.22)
Чтобы минимизировать величину П
, продифференцируем выражение (3.22) по {
U
}
в приравняем результат нулю. Эту операцию можно выполнить, используя дифференциальные соотношения Б1 и Б2. В результате будем иметь
. (3.23)
Интегралы в формуле (3.23) определяют для каждого элемента вектор нагрузки {
f
(
e
)
}
и матрицу жесткости , которые можно объединить следующим образом:
. (3.24)
В рассматриваемом случае — объемный интеграл вида
, (3.25)
а —сумма нескольких интегралов:
(3.26)
Матрица жесткости элемента (3.25) не содержит поверхностный интеграл, который встречается в задачах теории поля. [30]
Глобальная матрица жесткости [К]
и глобальный вектор-столбец {
F
}
в матричном уравнении
(3.27)
даются соотношениями
, (3.28)
. (3.29)
3.3 . Моделирование стержневых систем методом конечных элементов.
В методе конечных элементов основной идеей является замена исходной непрерывной системы (деформируемого тела) множеством связанных материальных точек.
Будем считать, что определена неподвижная система координат (глобальные координаты) по отношению к которой определяется движение материальных точек. В дальнейшем будем называть узлами
материальные точки, принадлежащие деформируемому твердому телу, для которых указаны начальные координаты и нумерация, причем каждая точка имеет уникальный номер. Количество таких точек будем считать конечным. [11]
Некоторое множество таких точек принимают за вершины многогранника, причем множество всех возможных многогранников, определенное на множестве узлов, отличается тем, что многогранники не пересекаются между собой и полностью заполняют объем тела. Последнее требование может быть ослаблено вблизи границ тела, в том смысле, что грань многогранника, вершины которой принадлежат поверхности, может не принадлежать поверхности тела. Такие многогранники, каждому из которых приписаны уникальные номера, называют конечными элементами
.
Если установлено однозначное соответствие между номерами многогранников и номерами узлов, которые являются их вершинами, то говорят, что определена сетка конечных элементов. [6]
Переход от непрерывного тела к его конечно-элементной модели осуществляется путем выбора способа определения некоторой искомой функции в произвольной точке объема по ее значениям в узлах.
Функции, которые осуществляют эту интерполяцию, называют функциями формы.
Основное отличие метода конечных элементов от других численных методов заключается в том, что интерполяция осуществляется только по узлам, принадлежащим конечному элементу.  (3.1.1)
Функции формы, реализующие кусочную интерполяцию, наделяют следующими свойствами:
1) функции формы должны принадлежать множеству функций, интегрируемых в пределах конечного элемента.

2) функция формы с определенным номером К должна принимать значение, равное 1, в этом узле и равное 0 во всех других узлах. [1]
vk
(xk
, yk
, zk
) = 1;
vk
(xi
, yi
, zi
) = 0.
3) функция формы должна быть однозначной в пределах объема конечного элемента.
Если производится интерполяция с помощью некоторой функции, для которой не выполняется условие 2), но выполняются условия 1) и 3), то эту так называемую аппроксимирующую функцию следует нормировать, составляя систему уравнений.

Для определения значений функции в узлах в рамках МКЭ используются различные функционалы, минимум которых соответствует реальному значению искомой функции. Таким функционалом может быть невязка между строгим решением уравнения равновесия и приближенным решением; невязка между значениями функции на границе и заданными краевыми условиями.
Вариационный функционал Лагранжа (принцип возможных перемещений), вариационный функционал Кастильяно (принцип минимума дополнительной работы) и т. д. [6]
Выбор вариационного функционала определяет модификацию МКЭ: если используются функционалы невязки между значениями функции на границе или некоторыми дифференциальными операторами над ней в объеме, то МКЭ можно считать дискретным вариантом метода Бубнова-Галеркина. Если используется функционал Лагранжа, то МКЭ можно трактовать как вариант метода Ритца. [24]
Функции формы:
Растяжение/сжатие, кручение - , где , изгиб -
3.4 Вариационный принцип Лагранжа.
Теоретическая основа МКЭ базируется на известном принципе возможных перемещений Лагранжа, который формулируется так: «если система материальных точек находится в равновесии, то работа всех приложенных к ней сил на любых возможных бесконечно малых отклонений от положения равновесия равна нулю». [16]
Использовать принцип Лагранжа целесообразно потому, что в задаче динамики присутствуют силы инерции, которые определяются через перемещения.

 (безразмерная величина)
(3.2.1)
3.2.2)
В трехмерном случае: 
Элементарная работа внутренних сил:

В последней формуле символ «d» обозначает кинематически допустимую вариацию, т.е. произвольно изменяется поле перемещений на бесконечно малую величину d`u, причем кинематчески краевые условия (ограничения на перемещение некоторых точек тела) остаются справедливыми как для вектора перемещений `u, так и для его вариации.
При малых деформациях объем, по которому производится интегрирование, можно считать неизменным, и поменять местами символы интегрирования и варьирования.
Если выполняется обобщенный закон Гука, то подынтегральное выражение есть квадратичная форма по компонентам деформации:
sij
eij
= Ckmij
ekm
eij
, тогда
(3.2.3)
Работа внутренних сил:
(3.2.4)
Элементарную работу внутренних сил для упругого тела отождествляют с потенциальной энергией деформируемого состояния. [11]
Если к телу приложены внешние массовые, поверхностные и сосредоточенные силы, то они совершают работу на перемещениях точек, лежащих внутри тела и на его границах.
Если задана кинематически допустимая вариация d`u, то элементарная работа внешних сил вычисляется по формуле:
(3.2.5)
Векторы `rm
есть радиус-векторы точек приложения сосредоточенных сил `Pm
.
Если пренебречь эффектами выделения тепла при деформировании и считать процесс деформации адиабатическим, то элементарные работы внешних и внутренних сил равны между собой. Тогда вариационное уравнение принимает вид:
(3.2.6)
Представленная общая форма принципа возможных перемещений может быть модифицирована путем принятия некоторых кинематических и статических гипотез. В частности для стержней гипотеза Бернулли приводит к тому, что из всех слагаемых, определяющих потенциальную энергию деформаций ненулевым становится только одно, определяющее деформацию растяжения/сжатия волокон, параллельных оси стержня. [3]
В связи с тем, что принятие этой гипотезы приводит к линейному распределению перемещений по площади поперечного сечения, а также к линейному распределению деформаций, то можно вычислить интегралы по площади поперечного сечения.
Тогда вариационное уравнение будет содержать только интеграл по длине стержня



(3.2.7)
Все слагаемые с поперечными координатами в первой степени и их произведениями уничтожаются при интегрировании, т.к. выбранная система координат есть главная центральная система поперечного сечения. [11]
В теории стержней помимо сосредоточенных сил рассматриваются сосредоточенные моменты. Дополним выражением вариационного принципа возможной работой сосредоточенных моментов Мx
, Мy
, Мz
[Н-м]

Окончательно принцип возможных перемещений для стержня следует записать в виде:
  (3.2.8)
В последней формуле px
, py
, pz
– компоненты нагрузки, распределенной вдоль оси стержня; mx
, my
, mz
– компоненты момента, распределенного вдоль оси стержня, хk
– точка приложения сосредоточенных сил и моментов Рхk
, Руk
, … Мzk
. 
Данная формула справедлива только в том случае, если компоненты массовой силы kx
, ky
, kz
равномерно распределены по поперечному сечению с координатой х, а также при постоянной по сечению плотности.
(3.2.9)
Последние два интеграла представляют собой работу сосредоточенной силы и сосредоточенного момента, которые являются главным вектором и главным моментом распределенной по торцу нагрузки q. [30]
(3.2.10)
, 
Приведенные рассуждения показывают, что распределенные по торцам нагрузки действительно можно заменить их главными векторами и главными моментами относительно центра тяжести поперечного сечения.
Проделаем аналогичное рассуждение для произвольного поперечного сечения с текущей координатой х и рассмотрим работу нагрузок, распределенных по боковой поверхности стержня.

(3.2.11)
qt
= `q×`n(r)
Распределенными изгибающими и крутящими моментами для тонких стержней обычно пренебрегают в силу малости этих величин, имеющих порядок mx
, my
, mz
~ где а – характерный поперечный размер стержня.
В дальнейшем при построении варианта метода конечных элементов для расчета стержней и стержневых систем будем использовать формулировку вариационного принципа (3.2.8), пренебрегая распределенными моментами mx
, my
, mz
.
Будем рассматривать вариант метода конечных элементов в перемещениях на основании вариационного уравнения Лагранжа
. Будем считать, что конечно-элементная сетка задана, т.е. установлено соответствие между номерами узлов и номерами конечных элементов и определены координаты узлов. Для каждого конечного элемента будем считать заданными функции формы так, что перемещение произвольной точки, принадлежащей конечному элементу, однозначно определяется перемещениями его узлов
`u(`r) = [Ф(`r)]`qn
, `r Î vn
(3.2.12)
vn
– многогранник, определяющий конечный элемент. Введем в рассмотрение векторы напряжений и деформации
`s = {s11
s22
s33
s12
s23
s13
}
`e = {e11
e22
e33
e12
e23
e13
} (3.2.13)
так, что произведение этих двух векторов дает работу
dA(r) = d`e T
`s (`r )
`r – радиус-вектор произвольной точки.
3.5 Конечный элемент стержня в локальной системе координат.
Благодаря тому, что выбранная система координат включает в себя главные центральные оси инерции поперечного сечения, вариационный функционал Лагранжа можно разделить на 4 части, каждая из которых будет включать в себя единственную искомую функцию
(3.3.1) (растяжение/сжатие)
(3.3.2) (кручение)
  (3.3.3)
(оба изгиба в главных плоскостях поперечного сечения).
В силу независимости вариационных уравнений (3.3.1 – 3.3.3) четыре сформулированные уравнения можно решать раздельно. [1]
Простейшей формой конечного элемента является стержень с двумя узлами. 1) При выборе функции формы для такого конечного элемента ограничимся полиномами, степень которых обеспечивает ненулевые производные необходимого порядка: для растяжения/сжатия и кручения минимальная степень полинома равна 1, для изгиба - 2.
v(x) = u1
(1 – x/l
) + u2
x/l
- для растяжения/сжатия (3.3.4)
j(x) = j1
(1 – x/l
) + j2
x/l
- для кручения
Для изгиба удобнее выбирать полиномы третьей степени, причем в качестве основных неизвестных следует задавать поперечные перемещения узлов и углы поворота узловых сечений. [13]
v(x) = a0
+ a1
x + a2
x2
+ a3
x3
v(x) = v1
P1
(x) + J1
l
P2
(x) + v2
P3
(x) + J2
l
P4
(x)


P1
(x) = 1 - 3x2
+ 2x2
, где x = x/l
P2
(x) = x(1 - x)2
P3
(x) = x2
(2 - 3x)
P4
(x) = x2
(x - 1) (3.3.5)
Матрица градиентов для этих случаев представляет собой скалярные операторы:

Вектор деформации:

Работа внутренних сил при растяжении:

Матрица жесткости в локальных координатах:


Для плоского изгиба матрица дифференциальных операторов имеет вид

Матрица градиентов функции форм:

Матрица жесткости при изгибе:
(3.3.6)
Момент инерции в этой формуле выбирается в зависимости от плоскости изгиба.
Рассмотрим элементарную работу распределенных нагрузок. Для растяжения/сжатия


Если нагрузка px
постоянна, то выражение для вектора х можно вычислить аналитически

Вектор узловых сил: 2) Важным частным случаем растяжения является растяжение или сжатие собственным весом.
Sx = -N(x) + rgAx = 0
N(x) = rgAx
Nx
(0) = 0; Nx
(l
) = rgAl
где 

Введенные расчетные формулы пригодны и для кручения, только в них под распределенной нагрузкой следует понимать распределенный крутящий момент mx
, а вектор узловых нагрузок будет состоять из двух крутящих моментов, приложенных в узлах конечных элементов в статически эквивалентных к распределенному моменту.
(3.3.7)
При изгибе распределенная поперечная нагрузка совершает элементарную работу:

`Ru
- вектор узловых поперечных сил и изгибающих моментов
(3.3.8)
Нагрузка pnon
есть либо py
либо pz
в зависимости от плоскости изгиба.
Рассмотрим физический смысл компонент матрицы жесткости. С этой целью запишем уравнение состояния одного конечного элемента:
[k]`q = `R
В соответствии с этой формулой можно утверждать, что произведение [k]`q имеет размерность силы; так как `R внешняя сила, то указанное произведение есть внутренняя сила и уравнение состояния имеет смысл уравнения равновесия. [11]
Поясним физический смысл компонент матрицы жесткости на примере конечного элемента стержня, работающего на плоский изгиб.
q3
= v2
= 0
q4
= Q2
= 0
q2
= Q1
= 0
`q(1)
= {1; 0; 0; 0}
Q1
= K11
M1
= K12
Q2
= K13
M2
= K14
Физический смысл коэффициентов матрицы жесткости следующий: диагональная компонента матрицы жесткости равна внешней нагрузке, которую следует приложить к одному из узлов конечного элемента в схеме закрепления конечных элементов, когда у выбранного узла свободной является только одна из степеней свободы; внешняя нагрузка, соответствующая этой степени свободы должна обеспечивать перемещение, равное единице. Все остальные внедиагональные компоненты равны опорным реакциям, возникающим в этой схеме закрепления. [17]
Из физического смысла компонент матрицы жесткости следует положительность диагональных коэффициентов и из теоремы взаимности перемещения – симметрии матрицы. Ранг матрицы жесткости равен разности между количеством степеней свободы конечных элементов (количество компонент вектора узловых перемещений) и количеством степеней свободы конечных элементов как абсолютно твердого тела. Все приведенные рассуждения относились к локальной координатной системе, связанной с конечными элементами.
Сборка конечных элементов в единый ансамбль (конечно-элементную модель стержневой системы) производится в неподвижной системе, чаще всего декартовых координат. Рассмотрим возможные способы пересчета перемещения стержня из локальных в глобальные координаты.
Взаимное расположение двух систем координат характеризуется одним параметром
`u = ux
`x0
+ uh
`h0
= ux
`x0
+ uy
`y0
ux
= ux
`x0
× `x0
+ uy
`y0
×`x0
| × `x0
uh
= ux
`x0
× `h0
+ uy
`y0
×`h0
| × `h0
В матричной форме это уравнение имеет вид:
`u(л)
= [cos]`u(г
)
(3.3.9)
[cos] – матрица направляющих косинусов в глобальной и локальной системе координат. Для пересчета вектора узловых перемещений в глобальные координаты отметим, что он составляется из векторов перемещений узлов, следовательно, каждый из этих векторов должен преобразовываться независимо от другого. [10] Тогда матрица преобразования вектора узловых перемещений будет блочно-диагональной
(3.3.10)
Здесь n, n+1 – номера узлов конечного элемента; диагональные подматрицы определены формулой (3.3.9). Для прямого стержня диагональные подматрицы одинаковы, для криволинейного стержня могут быть разными. Тогда формула пересчета вектора узловых перемещений из локальных координат в глобальные может быть записана следующим образом

(d`qг
)T
[сos
]T
{[K][с
os
]`qг
-`Rл
} = 0
(d`qг
)T
{[Kг
]`qг
- `Rг
} = 0

Последнее выражение переводит матрицу жесткости с индексом m из локальных в глобальные координаты.
Матрица жесткости одного конечного элемента имеет вид (см. Приложение 1)
(3.3.11)
Эта формула пересчитывает вектор узловых нагрузок из локальных в глобальные координаты.
Вектор узловых нагрузок имеет следующий вид: 
Разрешающее уравнение МКЭ в глобальных координатах – система равновесия (или движения) узлов конечных элементов в проекциях на оси глобальной системы координат.
Для конечного элемента стержня в пространственной системе координат рассуждения полностью сохраняются; отличия заключаются в том, что и локальная и глобальная системы координат являются трехмерными и исходным для вывода матрицы направляющих косинусов является тождество
u
x
`
x
0
+ u
h
`
h
0
+ u
V
`
V
0
= ux
`
x0
+ uy
`
y0
+ uz
`
z0
.
ux
= ux
`x0
× `x0
+ uy
`y0
×`x0
+ uz
`z0
×`x0
uh
= ux
`x0
× `h0
+ uy
`y0
×`h0
+ uz
`z0
×`h0
uz
= ux
`x0
× `z0
+ uy
`y0
×`z0
+ uz
`z0
×`z0
Скалярное произведение единичных векторов локальных и глобальных координат могут быть выражены через три независимых угла Эйлера. [10]
Используем матрицу направляющих косинусов, имеющую следующий вид (здесь углы Эйлера обозначены через j, y, q): [8]

Матрица перехода от локальных координат к глобальным для криволинейного стержня будет иметь вид

где
 - вектор узловых перемещений в локальных координатах.
= - вектор узловых перемещений в глобальных координатах
Здесь u
,
v
,
w
–
компоненты вектора перемещений, j
- угол закручивания, - углы поворота поперечного сечения относительно главных центральных осей инерции, N
– продольная сила, Qy
,
Qz
– поперечные силы, М
x
,
My
,
Mz
– моменты.
Если соединение конечных элементов в ансамбль осуществляется по всем степеням свободы узлов и деформации системы малы, то матрицу направляющих косинусов можно считать постоянной; в противном случае необходимо учитывать возможность конечных поворотов локальной координатной системы относительно глобальной. В этом случае в качестве независимых параметров, определяющих взаимную ориентацию координатных систем вместо углов Эйлера удобнее использовать параметры Родрига-Гамильтона.
Удобство заключается в том, что упомянутые параметры связаны с угловой скоростью вращения локальной координатной системы относительно глобальной квазилинейным дифференциальным уравнением первого порядка. [30]
3.6 Алгоритм составления матричных характеристик ансамбля конечных элементов.
Термин «ансамбль конечных элементов» обозначает объединение отдельно взятых конечных элементов в единое целое – модель изучаемого тела.
Так как разрешающее уравнение МКЭ имеет смысл уравнения равновесия, то такое объединение в рамках метода перемещений осуществляется по кинематическому принципу: предположим, что в одном узле с глобальным номером М сходятся несколько конечных элементов с номерами ni
, i = 1, 2, … Если этот узел – общий для всех конечных элементов, то и компоненты его перемещений в глобальной координатной системе не зависят от номера конечного элемента. [11]
Математически это условие можно написать так:

(Простейшим примером такого объединения является объединение двух прямолинейных стержней в один при одноосном растяжении/сжатии).

Сформулируем алгоритм формирования матричной характеристики ансамбля конечных элементов. С этой целью введем информационные массивы, описывающие сетку конечных элементов. Матрицу координат узлов XYZ, у которой столько строк, сколько узлов в сетке и столько столбцов, сколько независимых компонент по векторам перемещения, и матрицу связей, у которой столько строк, сколько узлов в конечном элементе и столько столбцов, сколько конечных элементов в ансамбле. Размеры матриц будем считать известными.
XYZ: Ny
´ nссу
Con: nуз
´ Nкэ
Кроме этого предполагают известными характеристики материалов.
M = Nуз
× Nссу

| № лок. узла.
|
№ КЭ
|
1
|
2
|
3
|
4
|
5
|
| 0
|
1
|
2
|
2
|
3
|
4
|
| 1
|
2
|
3
|
4
|
4
|
5
|
При решении задач статики в уравнение Лагранжа не входит работа внешних сил на перемещение ансамбля как абсолютно твердого тела. Вследствие этого, матрица жесткости ансамбля имеет ранг
r = M = Nуз
× Nссу
- NAT
где NAT
– число степеней свободы абсолютно твердого тела (для плоской задачи NAT
= 3, для пространственной задачи NAT
=6).
Для этого, чтобы однозначно определить состояние ансамбля конечных элементов для него следует наложить не менее NAT
-связей.
При формулировке разрешающего конечно-элементного уравнения для ансамбля, мы предполагали вариации узловых перемещений не равными нулю, откуда следовало, что множители при них – нулевые и каждый такой множитель давал одно разрешающее уравнение. [1], [3]
Если на ансамбль наложены кинематические связи, т.е. заданы законы движения некоторых узлов в виде
`uk
= fk
(t) (3.4.1)
то вариации соответствующих узловых перемещений равны нулю, и множители при нулевых вариациях не обязательно равны нулю.
Следовательно, в разрешающей системе уравнений количество неизвестных больше количества уравнений на количество наложенных связей. Такая система уравнений имеет полный ранг, но количество неизвестных больше, чем количество уравнений. Рассмотрим простейший случай, когда кинематические условия однородны, т.е. fk
(t) = 0. В этом случае достаточно исключить из системы уравнений ml
, которые соответствуют вариациям заданных перемещений и заменить их на тождество qm
= 0.
Рассмотрим алгоритм удовлетворения однородным кинематическим краевым условиям. Исходными данными для этого алгоритма являются матрица жесткости ансамбля МЖА, вектор нагрузок ансамбля и список закрепленных степеней свободы. Этот список удобно оформить в следующем виде:

Все остальные столбцы, число которых равно Nссц
номеру степеней свободы узла, заполняются кодами закрепления:
1 – есть закрепления
0 – нет закрепления.
Этот алгоритм делает конечно-элементную систему расчетов более гибкой и экономичной в том смысле, что позволяет просчитывать несколько вариантов закрепления без формирования матричных характеристик ансамбля, которые предполагаются вычисленными заранее и сохраненными на магнитном носителе.
После выполнения этого алгоритма система уравнений имеет полный ранг и может быть решена. [3]
Для метода конечных элементов характерны плохо заполненные матрицы, т.е. в матрице жесткости примерно 80% элементов равны нулю. В связи с этим важным становится вопрос о способе хранения этой матрицы.
Нужно отметить, что способ хранения матрицы разрешающей системы уравнений накладывает определенные требования на алгоритм решения алгебраической задачи. Справедливо и обратное.
При решении задач метода конечных элементов наиболее универсальным является алгоритм Гаусса с частичным или полным выбором ведущего элемента. Это объясняется возможностью решения проблем для симметричной и несимметричной матрице и отсутствием ограничения на знак определителя.
Для решения задач статики при однородных краевых условиях оптимальным является алгоритм Халецкого, использующий верхнюю треугольную часть матрицы.
При очень высоких порядках систем > 104
полезным оказывается итерационное уточнение по алгоритму Гаусса-Зейделя. [24]
3.7 . Интерпретация результатов конечно-элементных расчетов.
После определения узловых перемещений можно судить о жесткости конструкции, то есть о величине наибольшего перемещения под действием заданной системы нагрузок.
Суждение о прочности можно высказать, если определить поле напряжений – всех компонент тензора напряжений и эквивалентного напряжения в объеме конструкции.
Расчетная формула определения напряжений имеет вид:
sn
(` r) = [Сn
][ Вn
(` r)]`qn
sn
– вектор напряжений, Сn
– матрица упругих свойств, Вn
– матрица градиентов функции формы, `qn
– вектор узловых перемещений n-ого конечного элемента, `r Îvn
– вектор места точки внутри конечного элемента n = 1, 2, … Nкэ
– номер конечного элемента. [6], [11], [30]
Непосредственное применение этой формулы для определения напряжений чревато тем, что для одного и того же узла мы получаем разные значения напряжений при выборе разных конечных элементов, включающих этот узел. Причиной тому является отсутствие требований непрерывности напряжений при выборе функций формы.
Простейший путь сглаживания поля напряжений – осреднение результатов по узлам. Исходными данными для алгоритма сглаживания являются:
1) конечноэлементная сетка (матрица связей и координаты узлов);
2) вектор узловых перемещений ансамбля конечных элементов;
3) свойства материала каждого конечного элемента.
Этот алгоритм применяют при решении практически всех задач; исключение составляют задача о стержневой системе типа строительной фермы. [33]
Для этой задачи основное значение представляют усилия в стержнях. Их следует вычислять в цикле по конечным элементам, используя формулу
Nn
= (EA)n
[Bn
]`qn
, где Nn
– усилие в стержне (конечном элементе) с номером n.
Результаты вычислений для быстрого анализа удобно представить в графической форме. Форма должна давать представление о деформированном состоянии конструкции и действующих силовых факторах.
Рекомендуется визуализацию поля напряжений сопоставлять с пределом текучести, таким образом, чтобы цветовая гамма была однотонной, а предел текучести соответствовал бы среднему оттенку этой гаммы. Тогда при анализе упругой конструкции легко увидеть области, в которых напряжение превосходит предел текучести. Полезно на этом рисунке указывать внешние нагрузки. [11], [33]
Одной из основных задач метода конечных элементов является объединение конечных элементов в систему, осуществление перехода от локальных к глобальным координатам.
Далее решается тестовая задача для криволинейных стержней с целью отработки этого алгоритма.
4 МКЭ – МОДЕЛЬ ДЕФОРМИРОВАНИЯ ВИТКА ПРУЖИНЫ
В данном разделе рассматривается пример применения общих принципов МКЭ – моделирования систем стержней к витку цилиндрической пружины растяжения – сжатия, который является типичным примером пространственно-криволинейного стержня. В то же время, в силу широкого распространения цилиндрических пружин в технике, решение задачи об осадке цилиндрической пружины получено рядом авторов и содержится в справочных изданиях. Поэтому оно является удобным тестом для МКЭ – модели пространственного стержня.
4.1 Математическая модель динамики криволинейного стержня
Рассмотрим известную математическую модель деформирования цилиндрической пружины. Ее ось описывается винтовой линией:

(
4.1)
где х, y, z – декартовы координаты точки оси, R
– радиус витка, y = сonst – угол подъема витка.
При формулировке уравнений состояния стержня приняты следующие системы координат: (x
,
y
,
z
) – неподвижная декартова система координат; (x, h, z) – подвижная система координат, представляющая собой трехгранник Френе [22], начало которого находится в центре тяжести сечения витка, а его положение относительно начала пружины определяется дуговой координатой s
. Производная по длине дуги определяется выражением:
,
( 4.2)
кривизна и крутка винтовой линии:
.
( 4.3)
Базисные векторы подвижного трехгранника имеют вид:

( 4.4)
Принимаются следующие основные гиптезы:
1. Материал стержня линейно-упругий, подчиняющийся закону Гука.
2. Деформации растяжения/сжатия и сдвиги считаются малыми.
3. Поперечные сечения, плоские до деформации, не искривляются и не меняют своих поперечных размеров и остаются перпендиулярными к деформированной оси стержня (гипотеза плоских сечений).
4. Волокна, параллельные оси стержня, не надавливают друг на друга. .
5. Перемещения считаем малыми по сравнению с размерами пружины.
6. Угол подъема витка пружины считаем малым.
Гипотезы 3 и 4 (Кирхгоффа) обеспечивают отсутствие нормальных напряжений на площадках, параллельных оси стержня. Последняя гипотеза позволяет считать виток пружины тором (плоским замкнутым кольцом). При таких предположениях можно получить несвязанные между собой уравнения малых колебаний эквивалентного бруса [5], которые описывают продольные, крутильные, поперечные колебания и колебания в плоскости витка. Полная система уравнений, описывающая малые колебания, имеет вид:
- продольные колебания;
(
4.5)
- крутильные колебания,
( 4.6)
- поперечные колебания.
(
4.7)
Колебаниями в плоскости витка, связанными с изменением его диаметра и поворотом относительно оси пружины пренебрежем. В последних формулах приняты обозначения:
- продольная жесткость,
( 4.8)
- крутильная жесткость,
( 4.9)
- поворотная жесткость,
( 4.10)
- сдвиговая жесткость,
( 4.11)
- площадь эквивалентного бруса,
( 4.12)
, 
( 4.13)
моменты инерции тора относительно оси, перпендикулярной плоскости колебаний и относительно оси пружины,
-упругая продольная сила,
( 4.14)
Е
, G
, m - модуль Юнга, модуль сдвига и коэффициент Пуассона материала пружины, d
– диаметр проволоки, D
– диаметр пружины, y - угол подъема витка. Эти характеристики определяют динамику эквивалентного бруса.
Для уравнения ( 4.5) имеем общее решение однородного уравнения, описывающего свободные колебания [5]:
,
(
4.15)
где x=х/Н
, а2
=В1
/
r
АН.
Параметры ak
определяются из краевых условий:
( 4.16)
Так как пружина предварительно поджата с осадкой l0
, то начальное перемещение и скорость
,
то постоянные в ( 4.15) определяются разложением начальных условий в ряд Фурье по координате x:

( 4.17)
Это известное решение послужит в качестве теста для МКЭ.
4.2 Сетка конечных элементов для витка пружины
Для построения МКЭ-модели витка пружины введем следующие параметры сетки, принимая за основной полный полярный угол витка jmax
=2p. Количество конечных элементов N
е
полностью определяет матрицу связей, которая вычисляется элементарно:

( 4.18)
Здесь n1
, n2
– глобальные номера узлов, соответствующие локальным номерам 1 и 2.
Координаты узлов в глобальной декартовой системе вычисляются по формулам ( 4.1):

( 4.19)
Для формирования матриц направляющих косинусов определим локальную систему координат конечного элемента, направляя ось x вдоль оси стержня. В глобальных координатах единичный вектор этой оси имеет вид:

( 4.20)
Считая, что виток имеет круглое сечение, главные центральные оси инерции поперечного сечения можем выбирать произвольно. Примем, что одна из них направлена перпендикулярно плоскости, которая проходит через ось конечного элемента и перпендикулярна координатной плоскости xOy
глобальной системы координат. Ее единичный вектор имеет вид:

( 4.21)
Тогда третий единичный вектор определим так, чтобы они образовывали правую тройку:

( 4.22)
Компоненты этих векторов образуют матрицу направляющих косинусов, позволяющую преобразовать компоненты вектора, заданного в локальных координатах, в глобальную систему координат:
,
(
4.23)

( 4.24)
где нижний индекс показывает, в какой СК определены компоненты вектора а
: g соответствует глобальной, а l
– локальной координатным системам (ГСК и ЛСК). Для установки связей между КЭ в ансамбле определим матрицы взаимной ориентации векторов:

( 4.25)
что соответствует пересчету компонент вектора из ЛСК элемента n
в ГСК, а затем – из ГСК в ЛСК элемента m
.
Это преобразование справедливо для компонент векторов перемещений, сил и моментов. Для преобразования углов поворота нормали вспомним, что углы поворота предполагаютмя малыми; тогда их можно ассоциировать с единичным вектором малого поворота трехгранника Дарбу, определенного в одном из узлов КЭ:

( 4.26)
и преобразовывать его компоненты по формуле ( 4.23). Суммарный поворот (конечно, только при малости углов) можно представить вектором

( 4.27)
и тогда пересчет углов поворота осуществляется по той же формуле ( 4.23).
Вектор узловых перемещений в локальных координатах представляется в виде:
;
его преобразование осуществляется с помощью блочно-диагональной матрицы, составленной из матриц взаимного поворота:

( 4.28)
Матрицы жесткостей и масс для пространственного КЭ имеют вид, известный из литературы:
 
( 4.29)
где

( 4.30)

( 4.31)

( 4.32)
Приведенные формулы составляют математическую модель конечного элемента в виде прямого стержня постоянного сечения, произвольно ориентированного в пространстве.
Объединение таких конечных элементов в ансамбль, т.е. получение матрицы жесткости и матрицы масс ансамбля КЭ, осуществляется стандартным алгоритмом МКЭ, программы, реализующие который в математическом пакете MathCad 7.0 Pro, приведены в приложении.
4.3 Расчет частот свободных колебаний витка пружины.
Изложенная математическая модель применялась для решения задачи о свободных колебаниях витка пружины. Были приняты следующие исходные данные: диаметр витка 2R = 40 мм; диаметр проволоки d
=2мм; угол подъема пружины варьировался в пределах (0.05…0.2)p. Решалась задача определения частот свободных колебаний :
,
( 4.33)
где К, М – матрицы жесткости и масс ансамбля КЭ, w - частота свободных колебаний. Сетка конечных элементов в глобальных координатах показана на рис. 1.
Исследовалось влияние количества КЭ на точность определения частот свободных колебаний, определенных по формулам п. 4.1 [6]. Результаты расчетов для различных углов подъема пружины приведены на рис. 2…4. На рисунках приведены зависимости первой, второй и третьей частот свободных колебаний, отнесенных к их теоретическим значениям, в зависимости от количества КЭ. Результаты показывают, что для первой собственной частоты сходимость удовлетворительная при малых углах подъема витка. При его увеличении ошибка определения частоты возрастает. Вторая и третья частоты определяются значительно хуже; это можно объяснить недостаточным количеством КЭ (Ne
<100). С другой стороны, измельчение сетки может привести к нарушению основного предположения о малости поперечных размеров проволоки по сравнению с длиной КЭ. Тогда следует изменить функции
формы, например, используя аналитические решения задачи динамики криволинейного стержня.
5 конечный элемент криволинейного стержня
В данном разделе приводится новый тип конечного элемента для моделирования динамических состояний криволинейных стержней. Основной идеей построения конечного элемента является использование в качестве функций формы аналитических решений задачи динамики для стержня с постоянными параметрами. Физически конечный элемент представляет собой участок кругового стержня, т.е. плоскую кривую; при сборке ансамбля КЭ стыковка осуществляется обычным способом – переходом от локальной системы координат, связанной с плоской кривой к глобальной декартовой координатной системе и суммированию компонент матриц жесткости и масс, имеющих одинаковый физический смысл.
Функции формы для такого конечного элемента получаются с помощью метода начальных параметров. При этом все силовые параметры (продольная и поперечная силы и изгибающий момент ) исключаются из разрешающих уравнений через кинематические параметры состояния (продольное и поперечное перемещения и угол поворота) концевого сечения. Дальнейшая процедура построения матричных характеристик КЭ обычна для метода.
Приводятся результаты вычисления спектра свободных колебаний криволинейного стержня и его сопоставление с результатами, полученными при использовании прямолинейных конечных элементов.
5.1 Функционал Лагранжа для плоского криволинейного стержня.
При конструировании конечного элемента будем исходить из следующих соображений. Примем, что конечный элемент имеет ось в виде плоской кривой – дуги окружности. Плоскость, в которой лежит ось конечного элемента, определяется положением трех точек на истинной оси стержня: начальной, конечной и средней. Таким образом, локальная координатная система однозначно связывается с глобальной декартовой координатной системой. Рассмотрим деформирование стержня – конечного элемента в локальной координатной системе. Кривизна стержня будет постоянной:

( 5.1)
где R
– радиус оси, а начальная крутка равна нулю.
Выпишем соотношения п. 1.3 для основных деформаций волокна, отстоящего от оси стержня на вектор R
, лежащий в плоскости поперечно сечения:

( 5.2)
где eR
– деформация растяжения/сжатия, gR
– сдвиг. Углы поворота сечения относительно векторов подвижного трехгранника:

( 5.3)
Угол поворота относительно касательной к оси qt
считаем независимой функцией дуговой координаты s
. Считая, что материал стержня линейно-упругий, запишем функционал Лагранжа с учетом инерционных сил поступательного перемещения сечения:

(
5.4)
Первое слагаемое представляет собой элементарную работу внутренних сил. Перепишем его, учитывая особенности геометрии стержня и производя интегрирование по площади. Так как стержень имеет круговую ось, то от интеграла по длине удобнее перейти к интегралу по углу, заменяя
.

( 5.5)
Здесь (‘) обозначает дифференцирование по переменной j. Переходя к типичным для МКЭ матричным обозначениям, введем вектор обобщенного перемещения:

( 5.6)
и матричный оператор дифференцирования:
.
( 5.7)
Считая, что определена матрица функций формы, выражающая компоненты перемещения через перемещения начального и конечного узлов, получим обычное для МКЭ выражение вектора перемещений через узловые перемещения:

( 5.8)
где

( 5.9)
- вектор узловых перемещений. Тогда можно определить матрицу жесткости КЭ:

( 5.10)
Аналогично вычислим матрицу масс КЭ, интегрируя по площади сечения и переходя от переменной s
к j во втором слагаемом ( 5.4), которое представляет элементарную работу сил инерции:

( 5.11)
Элементарную работу распределенных нагрузок определим так:

( 5.12)
Тем самым получена стандартная формулировка МКЭ-соотношений:

( 5.13)
после чего можно конкретизировать вывод функций формы, рассматривая состояние кругового стержня.
5.2 Функции формы для кругового стержня.
Выпишем систему уравнений состояния плоского кругового стержня:

( 5.14)
и упростим ее, учитывая особенности геометрии стержня и считая отсутствующими внешние нагрузки. Кроме того, будем считать, что стержень совершает свободные колебания по закону:
.
тогда после преобразований, получим:

(
5.15)
Последняя однородная система уравнений определяет формы колебаний. Перепишем ее в матричной форме, вводя вектор состояния:

( 5.16)
и зависящую от параметра матрицу системы ( 5.15):

(
5.17)
Для решения этого уравнения используем универсальную подстановку:
,
где р
играет роль параметра. Для его определения имеем характеристическое уравнение

( 5.18)
Прежде всего отметим, что структура матриц А и В такова, что на главной диагонали матрицы А – W2
В располагаются только нулевые элементы и, следовательно, соблюдается соотношение между корнями ( 5.19)следующее из теоремы Виета [47]:
.
(
5.19)
Здесь tr
(A)=A
11
+ A
22
+…+ Ann
– след матрицы А.
Нулевых корней быть не должно, так как им соответствует постоянная компонента, что противоречит уравнению ( 5.17). Так как среди корней встречаются вещественные, мнимые, и комплексные, то на основании ( 5.19) можно утверждать, что вещественные и мнимые корни могут встречаться только парами, симметричными относительно мнимой и вещественной осей, т.е. для всякого вещественного корня х
>0 существует парный корень –х
; для всякого мнимого iy
(y
>0) – корень –iy
. Каждой паре комплексно сопряженных корней должна соответствовать пара . В этом случае условие ( 5.19) выполняется автоматически. Вследствие этого можно представить характеристический полином в виде произведения:
,
( 5.20)
где Р
4
– полином 4-й степени по р
, не имеющий нулевых корней. Таким образом, можно утверждать, что существует минимальный полином матрицы А0
– w2
В:
.
( 5.21)
Но в [47] показано, что корни минимального и характеристического полиномов совпадают в совокупности, и характеристический полином отличается от минимального только кратностью корней. Следовательно, других корней, кроме отмеченных выше, быть не может.
Это обстоятельство существенно облегчает поиск корней характеристического уравнения: достаточно исследовать первый квадрант комплексной плоскости, включая вещественную и мнимую полуоси. Но нельзя забывать, что среди отмеченных восьми корней четыре могут быть кратными; обнаружить их можно, деля характеристический полином на соответствующий каждому корню двучлен или трехчлен. Если остаток от деления равен нулю при значении параметра р
, равного корню, то этот корень – кратный. Отсюда можно определить функциональный базис для построения общего решения однородного уравнения ( 5.17): он будет состоять из собственных векторов матрицы А - w2
В, домноженных на собственные функции вида и , причем последние будут соответствовать только четырем кратным корням.
Особенностью полученного решения является то, что и собственные векторы, и собственные числа (корни характеристического уравнения) будут зависеть от частоты свободных колебаний w, которая заранее не известна. Обозначим матрицу решения, которая имеет следующий вид:

( 5.22)
причем последние четыре столбца – собственные векторы, соответствующие кратным корням и потребуем выполнения тождества:

и найдем произвольные постоянные С
через условия в начале стержня:
;
Тогда общее решение, удовлетворяющее заданным начальным условиям, примет вид:

(
5.23)
Записывая ( 5.23) для конца стержня, получим:

( 5.24)
Но в число параметров вектора состояния входят шесть кинематических и шесть силовых параметров; выразим силовые параметры вектора Y
(0) через кинематические параметры вектора Y
k
. Для этого в последнем уравнении разобьем матрицу D и векторы на клетки:
,
где F –
множество силовых параметров состояния, q –
множество кинематических параметров. Из последнего уравнения имеем:

Из второго уравнения, записанного для произвольного угла j, получим:

( 5.25)
Из последнего уравнения видно, что матрица функций формы принимает вид:

(
5.26)
Таким образом, матрица функций формы построена на базисе строгих решений однородного уравнения, описывающего формы свободных колебаний кругового стержня.
Исходя из структуры общего решения, в котором собственные векторы не зависят от j, можно утверждать, что во входящих в ( 5.26) матрицах у каждого столбца имеется скалярный множитель, зависящий от координаты j. Поэтому все операции дифференцирования и интегрирования, выполняемые над функциями формы при вычислении матричных характеристик КЭ (см. п. 5.2) могут быть выполнены над этими множителями.
ЗАКЛЮЧЕНИЕ
В работе рассмотрены вопросы конечноэлементного моделирования биомеханических систем. К таковым, в первую очередь, относится опорно-двигательный аппарат – скелет организма. Анализируя его состав, выяснено, что большая часть его элементов представляет собой криволинейные стержни. Таким образом, проблема моделирования биомеханических систем в кочестве основной включает задачу анализа состояний опорно-двигательного аппарата как системы криволинейных стержней.
Рассмотренные варианты метода конечных элементов позволяют сделать вывод о том, что массовым является применение полиномиальных функций формы. Один из вариантов таких функций – полиномы первой и третьей степени – были использованы в моей работе при решении задачи о свободных колебаниях витка цилиндрической пружины, который по своим геометрическим свойствам близок к элементам скелета. Результаты расчетов – частоты свободных колебаний – показали, что при небольшом ~102
количестве КЭ только первая частота получается близкой к аналитическому решению. Уточнение за счет измельчения сетки имеет ограниченные возможности, так как короткие КЭ имеют длину, сравнимую с размерами поперечного сечения и вряд ли их можно считать тонкими стержнями. Тогда перспективным становится направление, связанное с применением в качестве функций формы аналитических решений задач теории криволинейных стержней.
В работе предложен вариант построения конечного элемента в виде плоского стержня с круговой осью. В качестве функций формы использовались комбинации аналитических решений уравнений динамики кругового стержня. Решение тестовых задач показало, что спектр криволинейного стержня, полученный с помощью такого конечного элемента, дает хорошее приближение уже при количестве КЭ, на порядок меньшем, чем при использовании классических прямолинейных КЭ с полиномиальной аппроксимацией. Недостатком разработанного КЭ является необходимость решения сложного уравнения для определения частот свободных колебаний, причем в отличие от классической МКЭ-формулировки частотная задача не является задачей собственных значений линейной алгебры. Однако применение численного метода половинного деления, обладающего абсолютной сходимостью, позволяет решить эту задачу за обозримое время порядка 10..20 мин при использовании высокопроизводительных ПЭВМ.
ЛИТЕРАТУРА
1. Агапов В. П. Метод конечных элементов в статике, динамике и устойчивости пространственных тонкостенных подкрепленных конструкций. Учеб. пособие/М; Изд. АСВ, 200, 152 стр, с илл.
2. Биргер И. А. Стержни, пластинки, оболочки. – М.: Физматлит, 1992.- 392 с.-ISBN 5-02-014296-4.
3. Борискин О. Ф. Автоматизированные системы расчета колебаний МКЭ. – Иркутск: Изд-во Иркут. Ун-та, 1984. – 188 с.
4. Вальтер А. И., Дорохин Н. Б. Метод конечных элементов в технологических задачах пластичности: Учеб. пособие/ Тул. гос. ун-т. Тула. 1999. – 134 с.
5. Вибрации в технике./ Справочник в 6 томах // Т.3. Колебания машин, конструкций и их элементов. Под ред. Ф.М. Диментберга, К.С. Колесникова. – М.: Машиностроение, 1980. – 544с
.
6. Вибрации в технике./ Справочник в 6 томах // Т.4. Вибрационные процессы и машины. Под ред.
Э.Э. Лавендела. – М.: Машиностроение, 1981. – 510с.
7. Вибрации в технике: Справочник. В 6-ти т./Ред. В. Н. Челомей (пред). – М.: Машиностроение, 1980 – Т. З. Колебания машин, конструкций и их элементов/ Под ред. Ф. М. Диментберга и К.С. Колесникова. 1980. 544 с, ил.
8. Галлагер Р. Метод конечных элементов. Основы: Пер. с англ. – М.: Мир, 1984, - 428 с., ил.
9. Деклу Ж. Метод конечных элементов. Изд-во «Мир», Москва. 1986. Перевод на русский язык, «Мир», 1976.
10. Детали машин. Расчет и конструирование/ Справочник в 2-х томах Под ред.
Н.С. Ачеркана.// Т.2. – М.: Машиностроение, 1968. _ 408с.
11. Диментберг Ф. М. Винтовое исчисление и его приложение в механике. Изд-во «Наука», гл.ред.физ-мат. лит-ры. М, 1965 г., 200 стр. и илл.
12. Донской Д. Д. Учеб.пособие для студентов фак. физ. воспитания пед. ин-тов. М., «Просвещение», 1975.
13. Ефимов Н. В. Краткий курс аналитической геометрии. М., 1975 г., 275 стр. с илл.
14. Желтков В. И. Лекции по курсу «Прикладные задачи механики твердого деформированного тела».
15. Зациорский В. М. и др. Биомеханика двигательного аппарата человека. Зациорский В.М., Аруин А. С., Селуянов В. Н. – М.: Физкультура и спорт, 1981. – 143 с. ил. – (Наука – спорту).
16. Зенкевич О., Морган К. Конечные элементы и аппроксимация: Пер. с англ. – М.: Мир, 1986.-318 с., ил.
17. Зенкевич О., Чанг И. Метод конечных элементов в теории сооружений и в механике сплошных сред. Нью-Йорк, 1967. Пер. с англ. А. П. Троицкого и С.В. Соловьева под ред. докт. техн. наук Ю. К. Зарецкого. М., «Недра».
18. Ильюшин А. А., Победря Б, Е. Основы математической теории термовязко-упругости. Изд-во «Наука». 1970.
19. Карнеев С. В., Карпухин В.П. Расчет оболочек с неканонической поверхностью методом конечных элементов и суперэлементов. – Тула: Тульский полиграфист, 2001. – 128 с.: ил.
20. Кац А. С. Расчет неупругих строительных конструкций. – Л.: Стройиздат, Ленинг. отд-ние, 1989. - 168 с., ил. ISBN 5-274-00367-2
21. Колокольцев В. А. Основы применения метода конечных элементов в расчетах деталей машин: учеб. пособие. Саратов: Сарат. гос. техн. ун-т, 2003. 84 с.
22. Корн Г., Корн Т. Справочник по математике.- М.: Мир, 1970. – 720с.
23. Красносельский М. А., Лифшиц Е.А., Соболев А. В. Позитивные линейные системы: метод положительных операторов. – М.: Наука. Главная редакция физико-математической литературы, 1985. – 256 с.
24. Крылов О. В. Метод конечных элементов и его применение в инженерных расчетах: учеб. пособие для вузов. – М.: Радио и связь, 2002. – 104 с.; ил.
25. Лурье А. И. Теория упругости. Изд-во «Наука», Гл. ред. физ-мат. Литературы. Москва, 1970 г.
26. Макушин В.М. Поперечные колебания и устойчивость пружин. / в кн. Динамика и прочность пружин. – М.: АН СССР, 1950 - 354с..
27. Механика твердых деформируемых тел. Техн. ред. Л. А. Белова. Производственно-издательский комбинат ВИНИТИ, Люберцы, Октябрьский пр., 403
28. Норри Д., де Фриз Ж. Введение в метод конечных элементов: пер. с англ. – М.: Мир, 1981. – 304 с., ил.
29. Победря Б. Е. Численные методы в теории упругости и пластичности. Изд-во Московского университета. 1981.
30. Пономарев С.Д. Расчет и конструкция витых пружин. – М.: ОНТИ, 1938 - 352с.
31. Работнов Ю.Н. Механика твердого деформируемого тела. Изд-во «Наука», гл. ред. физ.-мат. лит-ры. Москва. 1988.
32. Расчет изделий из высокоэластического материала / С.И. Дымников, Э.Э. лавендел, А.А. Павловский, М.И. Сниегс. – Рига, Зинтане, 1980. – 182с.
33. Расчеты на прочность в машиностроении. / Справочник в 3-х томах. Под ред. С.Д. Пономарева, В.Л. Бидермана, К.К. Лихарева.//
Т.2. – М.: Машиностроение, 1958 – 974с.
34. Розин Л.А., Константинов И. А., Смелов В. А. Расчет статически неопределимых стержневых систем: Учеб. пособие. – Л.: Издательство Ленинградского университета. 1987. 328 с.
35. Сборник задач по сопротивлению материалов/Под ред. А. С. Вольмира. – М.: Наука, Главная редакция физико-математической литературы, 1984. – 408 с.
36. Светлицкий В. А. Механика стержней: Учеб. для втузов. В 2-х ч. Ч. I. Статика. – М.: Высш. шк., 1987. – 320 с.: ил.
37. Светлицкий В. А. Механика стержней: Учеб. для втузов. В 2-х ч. Ч. II. Динамика. – М.: Высш. шк., 1987. – 304 с.: ил.
38. Сегерлинд Л. Применение методов конечных элементов. Москва; Изд-во «Мир», 1979.
39. Справочник по математике для инженеров и учащихся втузов. Издание переработанное. Под ред. Г. Гроше и В. Циглера. Издв-во «Тойбнер», Лейпчиг, 1979. Москва «Наука», Главная редакция физ.-мат.литературы, 1980.
40. Тимошенко С. П. Сопротивление материалов. Перевод В.Н. Федорова с 3его амер. издания. Гос. изд-во физ.-мат. лит-ры. Москва. 1960.
41. Товстик П.Е. Асимптотический метод интегрирования уравнений колебаний пружин. –Вестник ЛГУ. Математика, механика, астрономия. Вып.27. – Л.: ЛГУ, 1963.
42. Товстик П.Е. Вынужденные колебания плоских пружин. // В кн.Исследования по упругости и пластичности. Вып.3. – Л.: ЛГУ, 1963.
43. Хвингия М.В. Вибрации пружин. – М.: Машиностроение, 1969 – 286с.
44. Хечумов Р. А., Кеплер Х., Прокофьев В. И. Применение метода конечных элементов к расчету конструкций. Изд-во ассоциации строительных вузов. Москва, 1994.
45. Черных К. Ф. Нелинейная теория упругости в машиностроительных расчетах». Ленинградское отделение ордена Трудового Красного Знамени издательства «Машиностроение». 1985 г.
46. Яблонский А. А., Никифорова В. М. Курс теоретической механики. Ч.I. Статика.
47. Фаддеев Д.К., Фаддеева В.Н. Вычислительные методы линейной алгебры. – М.-Л.: Физматгиз, 1963. – 734с
[1]
Буква используется для обозначения произвольной скалярной величины. Буквы и применяются соответственно для обозначения температуры и давления, когда речь идет о конкретных приложениях.
[2]
Для того, чтобы компоненты деформаций образовывали тензор, необходимо правые части выражений , , умножить на ½.
|