| МИНИСТЕРСТВО РЕГИОНАЛЬНОГО РАЗВИТИЯ
РОССИЙСКОЙ ФЕДЕРАЦИИ
===============================================
СВОД ПРАВИЛ СП__________________
МЕТРОПОЛИТЕНЫ
Актуализированная редакция
СНиП 32-02-2003
Издание официальное
==============================================================
Москва 2012
ПРЕДИСЛОВИЕ
Цели и принципы стандартизации в Российской Федерации установлены Федеральным законом от 27 декабря 2002 г. № 184-ФЗ «О техническом регулировании», а правила разработки – постановлением Правительства Российской Федерации от 19 ноября 2008 г. №858 «О порядке разработки и утверждения сводов правил»
Сведения о своде правил
1 ИСПОЛНИТЕЛЬ – ОАО «МЕТРОГИПРОТРАНС»
2 ВНЕСЕН Техническим комитетом по стандартизации ТК 465 «Строительство»
3 ПОДГОТОВЛЕН к утверждению Департаментом архитектуры, строительства и градостроительной политики
4 УТВЕРЖДЕН приказом Министерства регионального развития Российской Федерации (Минрегион России) от _____________________
№ ________
и введен в действие с________
5 ЗАРЕГИСТРИРОВАН Федеральным агенством по техническому регулированию и метрологии (Росстандарт)
Содержание
ПРЕДИСЛОВИЕ.. II
ВВЕДЕНИЕ.. VI
1 ОБЛАСТЬ ПРИМЕНЕНИЯ.. 1
2 НОРМАТИВНЫЕ ССЫЛКИ, ТЕРМИНЫ И ОПРЕДЕЛЕНИЯ, СОКРАЩЕНИЯ.. 1
3 ОБЩИЕ ПОЛОЖЕНИЯ.. 1
4 ИНЖЕНЕРНЫЕ ИЗЫСКАНИЯ.. 4
4.1 Инженерно-геологические изыскания. 4
4.2 Инженерно-геодезические изыскания. 9
4.3 Инженерно-экологические изыскания. 12
5 ПРОЕКТИРОВАНИЕ.. 13
5.1 Пропускная и провозная способность. 13
5.2 План и продольный профиль. 14
5.3 Станции. 17
5.4 Перегонные и соединительные тоннели, притоннельные сооружения, объекты городской инфраструктуры.. 22
5.5 Доступность метрополитена для инвалидов и маломобильных групп населения. 24
5.5.1 Общие положения. 24
5.5.2 Входы и пути движения. 24
5.5.3 Лестницы и пандусы.. 25
5.5.4 Лифты и подъемники. 25
5.6 Строительные конструкции. 26
5.6.1 Основные несущие конструкции. 26
5.6.2 Материалы.. 27
5.6.3 Обделки и гидроизоляция. 28
5.6.4 Нагрузки и воздействия. 32
5.6.5 Расчеты конструкций подземных сооружений. 39
5.7 Путь и контактный рельс. 42
5.7.1 Путь. 42
5.7.2 Контактный рельс. 47
5.8 Вентиляция, теплоснабжение, отопление, сжатый воздух. 49
5.8.1 Общие положения. 49
Забиваем Сайты В ТОП КУВАЛДОЙ - Уникальные возможности от SeoHammer
Каждая ссылка анализируется по трем пакетам оценки: SEO, Трафик и SMM.
SeoHammer делает продвижение сайта прозрачным и простым занятием.
Ссылки, вечные ссылки, статьи, упоминания, пресс-релизы - используйте по максимуму потенциал SeoHammer для продвижения вашего сайта.
Что умеет делать SeoHammer
— Продвижение в один клик, интеллектуальный подбор запросов, покупка самых лучших ссылок с высокой степенью качества у лучших бирж ссылок.
— Регулярная проверка качества ссылок по более чем 100 показателям и ежедневный пересчет показателей качества проекта.
— Все известные форматы ссылок: арендные ссылки, вечные ссылки, публикации (упоминания, мнения, отзывы, статьи, пресс-релизы).
— SeoHammer покажет, где рост или падение, а также запросы, на которые нужно обратить внимание.
SeoHammer еще предоставляет технологию Буст, она ускоряет продвижение в десятки раз,
а первые результаты появляются уже в течение первых 7 дней.
Зарегистрироваться и Начать продвижение
5.8.2 Вентиляция. 51
5.8.3 Теплоснабжение. 62
5.8.4 Отопление. 62
5.8.5 Сжатый воздух. 64
5.9 Водоснабжение, водоотвод, канализация. 64
5.9.1 Водоснабжение. 64
5.9.2 Водоотвод. 67
5.9.3 Канализация. 69
5.9.4 Трубопроводы.. 70
5.10 Электроснабжение. 70
5.10.1 Общие положения. 70
5.10.2 Электрические расчеты. Заземление. 72
5.10.3 Подстанции. 74
5.10.4 Тяговая сеть. 75
5.10.5 Электромеханические установки. 78
5.10.6 Освещение. 79
5.10.7 Кабельная сеть. 83
5.11 Управление электроустановками. 85
5.12 Автоматика и телемеханика управления движением поездов (АТДП) 88
5.13 Средства связи. 93
5.14 Размещение эксплуатационного персонала. 96
5.15 Электродепо. 97
5.15.1 Здания и сооружения. 97
5.15.2 Путь и контактный рельс. 101
5.15.3 Электроснабжение. 105
5.15.4 Управление движением поездов. Автоматика и телемеханика движения поездов. 107
5.15.5 Связь. 108
5.16 Пожарная безопасность. 109
5.16.1 Строительные конструкции и материалы.. 109
5.16.2 Категории помещений и сооружений по взрывопожарной и пожарной опасности 112
5.16.3 Водоснабжение. 112
5.16.4 Автоматические установки обнаружения и тушения пожара, средства оповещения о пожаре и управления эвакуацией. 114
5.16.5 Вентиляция и противодымная защита. 117
5.16.6 Эвакуация людей. 120
5.16.7 Электроснабжение, управление. 123
5.17 Санитарно-гигиеническое обеспечение. 124
5.17.1 Общие положения. 124
5.17.2 Линии метрополитена. 124
5.17.3 Электродепо, производственные и административные здания. 127
5.17.4 Радиационная безопасность. 128
5.18 Охрана окружающей среды.. 129
5.18.1 Атмосферный воздух. 129
5.18.2 Водные объекты.. 129
5.18.3 Сохранение памятников истории и культуры.. 130
5.18.4 Геологическая среда. 131
5.18.5 Почвы.. 131
5.18.6 Твердые отходы.. 132
5.19 Защита городских сооружений от шума, вибрации и блуждающих токов. 132
5.19.1 Защита от шума и вибраций. 132
5.19.2 Защита от блуждающих токов. 133
5.20 Защита конструкций от воздействия агрессивных сред. 133
5.21 Защита сооружений и устройств метрополитенов от коррозии блуждающими токами 137
5.22 Охранные и антитеррористические мероприятия. 139
5.23 Административно-производственные здания. 140
5.24 Организация строительства. 141
5.25 Промышленная безопасность. 142
5.26 Технические и охранные зоны.. 143
6 СТРОИТЕЛЬСТВО.. 144
6.1 Общие положения. 144
6.2 Организационно-технологическая подготовка. 144
6.3 Геодезическо-маркшейдерское обеспечение. 144
6.3.1 Планово-высотная сеть на поверхности. 144
6.3.2 Ориентирование подземной планово-высотной сети. 146
Сервис онлайн-записи на собственном Telegram-боте
Попробуйте сервис онлайн-записи VisitTime на основе вашего собственного Telegram-бота:
— Разгрузит мастера, специалиста или компанию;
— Позволит гибко управлять расписанием и загрузкой;
— Разошлет оповещения о новых услугах или акциях;
— Позволит принять оплату на карту/кошелек/счет;
— Позволит записываться на групповые и персональные посещения;
— Поможет получить от клиента отзывы о визите к вам;
— Включает в себя сервис чаевых.
Для новых пользователей первый месяц бесплатно.
Зарегистрироваться в сервисе
6.3.3 Планово-высотная сеть в подземных выработках. 147
6.3.4 Геодезическое и маркшейдерское обеспечение строительно-монтажных работ. 148
6.3.5 Укладка постоянного пути. 152
6.3.6 Наблюдения за осадками земной поверхности, деформациями зданий и подземных сооружений. 153
6.3.7 Исполнительная маркшейдерская документация. 154
6.4 Инженерно-геологическое обеспечение. 155
6.4.1 Общие положения. 155
6.4.2 Состав работ при строительстве сооружений закрытым способом.. 156
6.4.3 Состав работ при строительстве сооружений открытым способом.. 160
6.4.4 Локальный мониторинг окружающей среды и природно-технических систем.. 160
6.4.5 Камеральная обработка результатов инженерно-геологических работ. 161
6.5 Открытый способ работ. 161
6.5.1 Общие положения. 161
6.5.2 Земляные работы, крепление котлованов и траншей, подготовка оснований сооружений 161
6.5.3 Возведение несущих конструкций из сборного железобетона. 163
6.5.4 Возведение несущих конструкций из монолитного железобетона. 163
6.5.5 Обратная засыпка котлованов. 163
6.6 Закрытый способ работ. 164
6.6.1 Общие положения. 164
6.6.2 Сооружение стволов шахт. 164
6.6.3 Сооружение перегонных тоннелей. 166
6.6.4 Сооружение станций. 167
6.6.5 Сооружение эскалаторных тоннелей. 168
6.7 Специальные методы работ. 169
6.7.1 Водопонижение. 169
6.7.2 Искусственное замораживание грунтов. 170
6.7.3 Инъекционное закрепление грунтов. 172
6.8 Строительные площадки. 182
6.9 Верхнее строение пути и контактный рельс. 184
6.10 Монтаж оборудования. 185
6.10.1 Подготовка к производству работ. 185
6.10.2 Монтажные работы.. 186
6.10.3 Индивидуальные испытания оборудования. 187
6.11 Санитарно-гигиеническое обеспечение. 189
7 ПРИЕМКА В ЭКСПЛУАТАЦИЮ... 190
7.1 Общие положения. 190
7.2 Приемочные комиссии. 191
7.3 Контроль качества, приемка строительных работ и сооружений. 192
7.4 Пусконаладочные работы.. 195
7.5 Приемка объектов строительства в эксплуатацию.. 196
Приложение 2А Нормативные ссылки и инструктивные материалы.. 198
Приложение 2Б Термины и определения, сокращения. 206
Приложение 3А Система управления работой станции (сурс) 213
Приложение 5.13А Виды и абоненты оперативно-технологических связей. 217
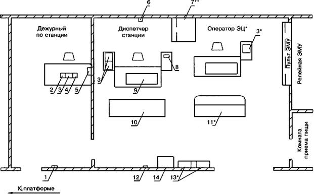
Приложение 5.14А Производственные помещения на уровне платформы станции. 221
Приложение 5.16А Перечень помещений и сооружений с указанием категорий по взрывопожарной и пожарной опасности и классов пожароопасных зон. 222
Приложение 6А Допустимые отклонения фактических размеров сборных обделок от проектного положения. 231
Приложение 7А Перечень документации, предъявляемой при приемке объектов строительства метрополитена в эксплуатацию 239
ПриложениЕ 7Б Акт рабочей комиссии о готовности законченного строительством объекта 243
Приложение 7В Акт государственной приемочной комиссии о приемке в эксплуатацию законченного строительством объекта. 247
Приложение 7Г Паспорт линии. 253
ВВЕДЕНИЕ
Настоящий свод правил составлен с целью повышения уровня безопасности пассажиров метрополитена, сохранности материальных ценностей, повышения эксплуатационной надежности метрополитена в соответствии с Федеральным законом от 30 декабря 2009 г. № 384-ФЗ «Технический регламент о безопасности зданий и сооружений». Учитывались также требования Федерального закона от 22 июля 2006 г. № 123-ФЗ «Технический регламент о требованиях пожарной безопасности» и сводов правил системы противопожарной защиты.
Свод правил содержит нормы по проектированию новых и реконструируемых метрополитенов, в том числе трассирование линий, размещение и объемно-планировочные решения станционных комплексов, локомотивных депо, административно-бытовых зданий, расчет и конструирование несущих и внутренних конструкций станций, перегонных тоннелей, систем управления движением поездов, работой станций и системами энергомеханических и электротехнических устройств и сооружений, строительство метрополитенов и приемку их в эксплуатацию.
Работа выполнена коллективом ОАО «Метрогипротранс»
(Абрамсон В.М., Минц А.М., Земельман А.М., Авдеев А.А., Рядчиков А.Н., Дорман И.Я., Исаев А.Г., Шумаков Н.И., Александрова Е.И., Арефьева Г.И., Борисова С.В., Быкова С.А., Власова О.В., Власюк В.Р., Волкова Н.Г., Гусев Ф.В., Жуков В.Г., Касаткин А.Г., Кемеж С.Н., Кесарев А.И., Кирик М.В., Королев Е.Г., Лавров Д.Б., Лысенкова Л.А., Морозов П.В., Насибов А.М., Павлов П.Д., Перова Г.М., Родина М.А., Ромадина Л.В., Савельева Д.Е., Савельева О.В., Сергеев В.В., Силуянов В.И., Солодкова Е.М., Сорокина Е.Л., Тверской Д.Д., Тран В.Б., Тремасов Д.Н., Федорова М.П., Филиппов В.З., Харламов А.И., Почечуев В.В., Казанская Е.А.).
при участии:
ОАО «Ленметрогипротранс»
(Алферова Н.В.. Бойцов Д.А., Бородина Л.А., Ворончихин Ю.И., Данилов А.И., Домбровский Ю.А., Захаров Г.Р., Левина Е.К., Марков В.А., Навольская М.Э., Нагорный С.Я., Соловьева М.Г., Титов Ю.Н., Фадеева В.Б., Шабанова В.В),
ГУП «Московский метрополитен»
(Бабушкин Н.Ф.),
Тоннельная Ассоциация России
(Синицкий Г.М., Касапов Р.И.),
ООО «Инжтоннельгеодезия»
(Шерифов Н.А., Михайлов А.А., Старостенко Я.И.),
ФБУЗ «Центр гигиены и эпидемиологии в городе Москве» (Филиал на метрополитене)
(Стовбур Н.Н., Дубровская Т.А., Свижевский В.А.),
НИЦ ТМ ОАО "ЦНИИС"
(Меркин В.Е., Щекудов Е.В., Гарбер В.А., Смирнова Г.О., Малый И.М., Иванова Н.М., Чеботаев В.В.),
ОАО "Московский метрострой"
(Яцков Б.И.),
ОАО «Институт «Казгражданпроект»(
Устинова Н.П.),
ЗАО "ИГИТ
(Пашкин Е.М.),
ЗАО «НПЦ ИРЭБ»
(Белов В.В.),
СПб ФВНИИПО МЧС России
(Голиков А.Д., Агеев П.Н.).
СВОД ПРАВИЛ
------------------------------------------------------------------------------------------------------------
МЕТРОПОЛИТЕНЫ
Subways
Дата введения ………………….
Настоящие нормы распространяются на инженерные изыскания, проектирование, строительство, реконструкцию и приемку в эксплуатацию новых сооружений и устройств метрополитенов.
В настоящих нормах использованы нормативные и инструктивные ссылки, рекомендательная литература (Приложение 2А), термины и сокращения (Приложение 2Б).
Примечание:
При использовании ссылок на нормативные документы целесообразно проверить их действие в информационной системе общего пользования – на официальном сайте национального органа Российской Федерации по стандартизации в сети Интернет или по ежегодно издаваемому указателю «Национальные стандарты», который публикуется по состоянию на 1 января текущего года, и по соответствующим ежемесячно издаваемым информационным указателям текущего года. Если ссылочный документ заменен (изменен), то при пользовании настоящими нормами следует руководствоваться замененным (измененным) документом. Если ссылочный документ отменен без замены, то положение, в котором дана ссылка на него, применяется в части, не затрагивающей эту ссылку.
3.1
Метрополитены в соответствии с Градостроительным кодексом Российской Федерации относятся к особо опасным и техническим сложным объектам при проектировании, строительстве и реконструкции которых следует предусматривать:
- технические решения, обеспечивающие безаварийный процесс строительства и эксплуатации сооружений;
- применение современных материалов, оборудования, изделий, соответствующих стандартам и другим нормативным документам Российской Федерации, а также применение материалов, оборудования и изделий, изготовленных по зарубежным нормам и стандартам, имеющих сертификаты соответствия и технические свидетельства Российской Федерации;
- индустриализацию строительства на базе современных средств комплексной механизации и автоматизации строительного производства, а также применение типовых конструкций и узлов оборудования и аппаратуры, отвечающих мировым стандартам;
- технические средства, объемно-планировочные решения подземных сооружений и условия эксплуатации, обеспечивающие пожарную безопасность и безопасность движения поездов, безопасность пассажиров при нахождении во всех пассажирских помещениях станционных комплексов и подвижном составе;
- технические решения, обеспечивающие выполнение требований санитарных норм и правил, правил охраны труда рабочих и служащих в периоды строительства и эксплуатации;
- максимальную механизацию и автоматизацию процессов эксплуатации, повышение комфорта проезда пассажиров, повышение производительности труда персонала, соблюдение принципов эргономики и технической эстетики;
- мероприятия по охране окружающей среды, памятников истории и культуры.
- мероприятия, обеспечивающие необходимый уровень доступности в зданиях и сооружениях, связанных с перевозкой пассажиров всех категорий.
3.2
Линии метрополитена следует проектировать на основе Комплексной схемы развития всех видов городского транспорта, утвержденной схемы развития метрополитена, отражающей направление, протяженность, места расположения станций, электродепо, административных зданий и производственных предприятий, соединения с путями общей сети железных дорог.
3.3
Линии метрополитена следует проектировать, как правило, подземными мелкого и глубокого заложения. При пересечении водных преград, в незаселенных местах, вдоль линий железных дорог и т.п. возможно предусматривать наземные или надземные участки в галереях закрытого типа, а также открытые наземные и надземные участки линий.
3.4
Прокладка участков линий мелкого заложения, сооружаемых открытым способом, на землях заповедников, заказников, ботанических садов, дендрологических парков, лесопарков и в охранных зонах памятников истории и культуры не допускается.
3.5
Для обеспечения строительства участков линий мелкого заложения необходимо предусматривать технические зоны шириной не менее 40 м. Возведение зданий в технической зоне до окончания строительства сооружений метрополитена не допускается.
3.6
Прокладку подземных коммуникаций, посадку кустарника и устройство газонов в технической зоне, а также застройку территории шириной 30 м с обеих сторон от границ технической зоны следует предусматривать по согласованию с организацией, проектирующей метрополитен.
3.7
Пересечение линий метрополитена между собой и с линиями других видов транспорта следует предусматривать в разных уровнях.
Линию метрополитена необходимо соединять
- с одной или двумя пересекающими ее линиями однопутной соединительной веткой;
- с электродепо на этой линии двухпутной соединительной веткой.
3.8
На каждой линии метрополитена следует предусматривать автономное движение поездов. В сложных транспортных узлах допускается предусматривать соединения между линиями и организацию маршрутного движения поездов.
3.9
Линии метрополитена следует проектировать двухпутными с правосторонним движением поездов.
3.10
Первая линия метрополитена должна иметь соединение с путями общей сети железных дорог. При увеличении сети метрополитена на каждые 50 км следует предусматривать при необходимости, дополнительные соединения с путями общей сети железных дорог.
3.11
Станции следует предусматривать в центрах пассажироформирующих нагрузок территорий, вблизи железнодорожных, автобусных и речных вокзалов и других объектов массового посещения города.
3.12
Трассу линии в плане и профиле назначать исходя из размещения станций в пассажирообразующих узлах, минимальных затрат времени пассажиров на поездку, применения наиболее экономичного продольного профиля по расходу электроэнергии, а также с учетом инженерно-геологических, геоморфологических, гидрологических условий и коррозионной активности среды.
3.13
На каждой линии необходимо предусматривать электродепо, тупики и пункт технического обслуживания подвижного состава.
3.14
На линии при длине до 20 км (в двухпутном исчислении) должно сооружаться одно электродепо, при длине линии более 20 км и свыше 40 км - соответственно второе и третье электродепо.
Допускается использование одного электродепо для двух линий с однотипным подвижным составом в течение первого периода эксплуатации второй линии.
3.15
На линии через 5-8 км предусматривать тупик за станцией. Длину тупика принимать с учетом необходимого числа составов на линии при максимальных размерах движения. При необходимости возможно устройство оборота поездов перед станцией с учетом отстоя поездов на главных путях.
На первом пусковом участке линии протяженностью до 20 км в одном из тупиков предусматривать пункт технического обслуживания подвижного состава с производственными и санитарно-бытовыми помещениями.
При протяженности линии свыше 20 км второй ПТО размещать за станцией, которая в качестве конечной будет эксплуатироваться более 5 лет. В дальнейшем число ПТО на линии определять расчетом.
У станции, вблизи которой предусматривается строительство электродепо, ПТО не размещается.
3.16
Ночной отстой составов предусматривать в электродепо и на станционных путях линии. Комнаты ночного отдыха локомотивных бригад располагать, как правило, в наземных зданиях или в наземных вестибюлях (павильонах) станций (не ниже уровня кассового зала). При невозможности такого размещения в сложившейся городской застройке, допускается располагать комнаты ночного отдыха в подземных вестибюлях не ниже уровня кассового зала с соблюдением санитарных норм для спальных помещений.
3.17
При расстоянии между торцами платформ соседних станций 3500 м и более в средней части перегона следует предусматривать дополнительный выход для эвакуации пассажиров из тоннеля на поверхность или зону коллективной защиты пассажиров.
3.18
При проектировании линий метрополитена предусматривать возможность ввода их в эксплуатацию отдельными участками.
3.19
Основные параметры сооружений и устройств линии, обеспечивающие ее провозную и пропускную способность, следует устанавливать по максимальным расчетным пассажирским потокам в следующие периоды эксплуатации линии:
а) первый период - с первого по десятый годы;
б) второй период - с десятого по двадцатый годы;
в) третий период - расчетный срок (более 20 лет).
3.20
Конструкция входов в подземные сооружения должна исключать возможность поступления в них вод при паводках и наводнениях с вероятностью превышения высшего уровня вод 1 раз в 300 лет.
3.21
На линиях метрополитена следует предусматривать мероприятия по защите помещений станций, а также зданий, расположенных вдоль трассы, от шума и вибрации, возникающих при движении поездов, работе эскалаторов и других установок метрополитена.
3.22
В метрополитене должны предусматриваться дополнительные сооружения и устройства, позволяющие использовать его как защитное сооружение в соответствии с СП-32-106-2004 [1].
Примечание:
При проектировании новых участков линий метрополитена в сложившейся городской застройке, в которой имеются укрытия гражданской обороны, допускается по согласованию с администрацией региона и территориальным органом МЧС не проектировать в метрополитене устройства ГО.
3.23
Для размещения административно-управленческого и эксплуатационного персонала, диспетчерских служб, ремонтно-монтажных, медицинских и других специализированных подразделений следует предусматривать наземные здания.
Подразделения персонала, непосредственно связанные с обслуживанием линии, следует располагать на станциях.
3.24
Торговые зоны, павильоны и другие объекты попутного обслуживания пассажиров в сооружениях метрополитена не допускается размещать ниже уровня кассового зала вестибюля станции.
Указанные объекты не должны ограничивать зоны прохода и обслуживания пассажиров и отрицательно воздействовать на технологию обслуживания метрополитена.
3.25
Внедрение новых технических решений и новой техники в области строительства и эксплуатации метрополитенов, не отраженных в нормативных документах, может выполняться первоначально в экспериментальном порядке при соответствующем научном сопровождении, согласовании с надзорными органами и с последующей, при необходимости, корректировкой проектной документации.
3.26
При проектировании, строительстве и реконструкции станций следует предусматривать безбарьерную среду для маломобильных групп населения.
3.27
На линиях метрополитена предусматривать единую автоматизированную систему оплаты проезда и контроля прохода пассажиров на станции, автоматизированное управление движением поездов, эскалаторами и другими производственными установками из диспетчерских пунктов линий и станций.
Управление работой станций предусматривать с применением СУРС согласно Приложению 3.
Диспетчерские пункты линий должны состоять из отраслевых ДП: управления движением поездов, электроснабжения, эскалаторов, электромеханических устройств, а также ДП охраны общественного порядка и безопасности, пожарной безопасности.
ДП оборудуются автоматизированными рабочими местами, системами телеуправления и необходимыми видами диспетчерских связей на современной элементной базе.
3.28
На метрополитене рекомендуется предусматривать Центр эпидемиологического санитарного надзора, поликлинику и загородный профилакторий санаторного типа.
4.1.1
Инженерно-геологические изыскания проводят на этапах разработки предпроектной документации, проектной документации, рабочей документации и в период строительства и эксплуатации сооружений.
Соотношение объёмов работ по этапам должно составлять: предпроектная документация - 10-20%, проектная документация - 70-80%, рабочая документация - 10-20%.
4.1.2
На каждый этап изысканий составляется техническое задание и программа инженерно-геологических изысканий. Техническое задание на выполнение инженерно-геологических изысканий должно содержать данные о расположении и длине трассы, включая её варианты, глубине заложения тоннелей, размещении станций, вестибюльных павильонов и других сооружений, а также данные о техногенных нагрузках на геологическую среду.
Программа изысканий устанавливает состав и объёмы инженерно-геологических изысканий в зависимости от особенностей проектируемого сооружения, стадии изысканий, степени изученности территории, категории сложности инженерно-геологических условий и технологии проходки. Категория сложности инженерно-геологических условий устанавливается по СП 11-105-97 [2]. При необходимости к составлению технического задания и программы инженерно-геологических изысканий на территориях со сложными инженерно-геологическими условиями привлекаются специализированные и научно-исследовательские организаций. Выполнение инженерно-геологических изысканий без программы изысканий не допускается.
4.1.3
Инженерно-геологические изыскания для разработки предпроектной документации
4.1.3.1
Инженерно-геологические изыскания на этапе разработки предпроектной документации проводятся в объёме, достаточном для оценки инженерно-геологических условий всех вариантов трассы проектируемого сооружения.
4.1.3.2
Проведение инженерно-геологических изысканий на этом этапе должно обеспечивать составление инженерно-геологических карт-схем и разрезов в масштабе 1:5000 - 1:10000 (в соответствии с техническим заданием заказчика) на основе использования имеющихся геологических, гидрогеологических и других материалов требуемого масштаба, а также дешифрирования аэро- и космоматериалов, при максимальном использовании материалов инженерно-геологических изысканий прошлых лет.
4.1.3.3
В случае недостаточности данных проводить изыскания на стадии предпроектной документации в соответствии с СП 11-105-97 [2].
4.1.4
Инженерно-геологические изыскания для разработки проектной документации.
4.1.4.1
На этом этапе изыскания проводить с целью определения и детализации инженерно-геологических условий и уточнения инженерно-геологической обстановки.
4.1.4.2
Инженерно-геологические изыскания на этапе разработки проектной документации проводятся в объёме, необходимом для комплексного изучения инженерно-геологических условий выбранной трассы и прогнозных изменений в период строительства с детальностью, достаточной для:
- выбора оптимального варианта положения трассы в плане и по глубине заложения;
- выбора видов конструкций и способов производства работ, позволяющих вести строительство с минимальным воздействием на окружающую геологическую среду и поверхностную инфраструктуру;
- проектирования перегонных тоннелей, станций, наклонных эскалаторных тоннелей, стволов шахт, других подземных и надземных сооружений.
4.1.4.3
В состав изысканий должны входить следующие основные работы:
- сбор, обобщение и анализ архивных инженерно-геологических материалов;
- рекогносцировка местности вдоль трассы;
- плановая разбивка, планово - высотная привязка и скважин;
- -проходка разведочных выработок;
- опробование грунтов и подземных вод;
- полевые исследования грунтов;
- опытно-фильтрационные работы;
- геофизические исследования;
- лабораторные исследования грунтов и химического состава подземных вод;
- камеральная обработка результатов изысканий и составление отчёта.
Для районов с неблагоприятными инженерно-геологическими условиями следует проводить целевые научно-исследовательские работы с привлечением специализированных организаций.
Примерные расстояния между скважинами по трассе при выполнении изысканий для стадии проектная документация должны соответствовать таблице 4.1.
Таблица 4.1
| Категория сложности геологических условий по СП-11-105 [2]
|
Примерное расстояние между скважинами по трассе, м
|
| Глубокое заложение
|
Мелкое заложение
|
| Открытый способ строительства
|
Закрытый способ строительства
|
| I
|
200-250 (300)
|
150-200
|
100-120 (200)
|
| II
|
80-120 (200)
|
100-150
|
80-100 (150)
|
| III
|
50-100
|
50-100
|
Менее 80 м*
|
| Примечание: В таблице не учтены объёмы бурения для опытно-фильтрационных работ, гидрогеологического мониторинга, инженерно-геологических изысканий на участках строительства стволов шахт, станций, инженерно-геологических аномалий в виде тектонических разломов, погребённых речных долин и участков распространения специфических грунтов. В скобках приведены расстояния между скважинами для I и II категорий сложности при использовании тоннелепроходческих комплексов. Для детально изученных территорий расстояния между скважинами допускается увеличивать на 10-15% для I и II категорий сложности условий.
* расстояния между скважинами уточняются в процессе проведения изысканий
|
4.1.4.4
В результате проведения изысканий и исследований устанавливать и оценивать:
- геологическое строение (генезис, стратиграфическая принадлежность, залегание, формы избирательной эрозии, состав и состояние пород), геоморфологические, тектонические и неотектонические условия;
- гидрогеологические условия;
- геологические процессы и явления;
- складчатые и разрывные нарушения, трещиноватость пород;
- микросейсмическое районирование;
- геокриологические условия;
- физико-механические свойства грунтов;
- агрессивность подземных вод и грунтов.
4.1.4.5
При проведении изысканий особое внимание обращать на выявление:
- зон ослабленных грунтов в массиве, прослоев пластичных глин и водонасыщенных песчано-глинистых отложений, специфических грунтов, сильно разрушенных скальных грунтов;
- зон с высокими фильтрационными свойствами грунтов и высокими гидростатическими напорами;
- грунтов и подземных вод с высокой степенью агрессивности к материалам строительных конструкций.
При выявлении неблагоприятных для строительства зон устанавливать границы их распространения, интенсивность развития, степень влияния на условия строительства и работу сооружения.
4.1.4.6
Показатель степени нарушенности скальных грунтов по методу RQD (отношение суммы ненарушенных кусков керна длиной 10 см и более к длине исследуемого интервала скважины, %) рекомендуется принимать по таблице 4.2.
Таблица 4.2.
| Величина RQD
|
Состояние грунта
|
| 90-100
|
Ненарушенное
|
| 45-90
|
Незначительно нарушенное
|
| 50-75
|
Слабо нарушенное
|
| 25-50
|
Сильно нарушенное
|
| 0-25
|
Весьма сильно нарушенное
|
4.1.4.7
Скважины, пробуренные в процессе изысканий, подлежат обязательной ликвидации с тампонированием ствола скважины в соответствии с техническими условиями на ликвидацию скважин.
Акты на тампонирование скважин с указанием способа тампонажа выпускаются отдельным отчётом.
4.1.4.8
При попадании разведочных скважин в сечение проектируемых выработок глубокого заложения или на расстояние менее 10 м от контура сооружения акты на тампонаж, координаты скважин направляются в строительную организацию для составления специального проекта производства работ в зоне расположения скважин. Глубина разведочных скважин должна превышать глубину заложения подошвы тоннеля на 10-15 м ниже лотка проектируемого тоннеля.
4.1.4.9
Обязательным является выполнение геофизических исследований. Выбор вида геофизических исследований определять в соответствии с поставленными задачами, плотностью городской застройки, а также с наличием и уровнем помех, возникающих от движения транспорта (шум, вибрация), воздействия электрических установок. Результаты геофизических исследований увязываются с данными других исследований и отражаются в отчёте.
4.1.4.10
Гидрогеологические исследования обеспечивают получение исходных данных для определения водопритоков в строящихся сооружениях, размеров будущих депрессионных воронок, способа выполнения строительных работ, оценки возможного барражирования от воздействия строящихся сооружений, направления и скорости движения грунтовых вод, гидростатического давления на обделку, температуры, химического состава и агрессивности подземных вод к материалу конструкции сооружений. С этой целью проводятся опытные наливы, откачки, геофизические исследования, расчеты.
4.1.4.11
В случае необходимости определения свойств песчано-глинистых грунтов в зоне взаимодействия геологической среды с сооружениями проводятся полевые исследования свойств грунтов (статическое и динамическое зондирование, прессиометрические и штамповые испытания).
4.1.4.12
Комплекс лабораторных исследований физико-механических свойств грунтов проводить в соответствии с СП 11-105-97 [2], в случае необходимости получения дополнительной информации по отдельному заданию проводятся специальные исследования свойств грунтов.
4.1.4.13
По итогам проведенных изысканий и исследований составляется технический отчет, состав и содержание которого должны соответствовать требованиям СНиП 11-02-96. В заключении отчета должны быть сформулированы рекомендации по инженерно-геологическим условиям проходки тоннелей и предложения о необходимости последующих изысканий, рекомендации по проектированию.
4.1.5
Инженерно-геологические изыскания для разработки рабочей документации.
4.1.5.1
Инженерно-геологические изыскания на стадии рабочей документации проводятся с целью детализации сведений об инженерно-геологических условиях, уточнения инженерно-геологической обстановки на участках применения специальных методов работ, подготовки мониторинга геологической среды.
4.1.5.2
В состав изысканий должны входить следующие основные работы:
- сбор, обобщение и анализ инженерно-геологических материалов;
- рекогносцировка местности вдоль трассы;
- плановая разбивка, плановая и высотная привязка и скважин;
- проходка разведочных выработок;
- опробование грунтов и подземных вод;
- полевые исследования грунтов;
- опытно-фильтрационные работы;
- геофизические исследования;
- лабораторные исследования грунтов и химического состава подземных вод;
- камеральная обработка результатов изысканий и составление отчёта.
В районах развития неблагоприятных инженерно-геологических процессов, при необходимости, рекомендуется проводить научно-исследовательские работы с привлечением специализированных организаций.
4.1.5.3
В результате изысканий и исследований небходимо детализировать:
- геологическое строение (условия залегания, состав пород), геоморфологию, тектонику, неотектонику;
- гидрогеологические условия;
- геологические процессы и явления;
- складчатые и разрывные нарушения, трещиноватость пород;
- геокриологические условия;
- физико-механические свойства грунтов;
- агрессивность подземных вод и грунтов;
- температуру подземных вод и грунтов.
4.1.5.4
Примерные расстояния между скважинами по трассе для стадии рабочей документации с учетом скважин, пробуренных на стадии разработки проектной документации, должны соответствовать таблице 4.3.
Таблица 4.3
| Категория сложности инженерно-геологических условий
|
Примерное расстояние между скважинами по трассе, м
|
| Глубокое заложение
|
Мелкое заложение
|
| Открытый способ строительства
|
Закрытый способ строительства
|
| I
|
100-150 (200)
|
80-100
|
50-80 (120)
|
| II
|
50-100 (150)
|
50-80
|
30-50 (100)
|
| III
|
30-60
|
30-50
|
Менее 30*
|
| Примечание: В таблице не учтены объёмы бурения для опытно-фильтрационных работ, гидрогеологического мониторинга, инженерно-геологических изысканий на участках строительства стволов шахт, станций, инженерно-геологических аномалий в виде тектонических разломов, погребенных речных долин и участков распространения специфических грунтов. В скобках приведены расстояния между скважинами для I и II категорий сложности при использовании тоннелепроходческих комплексов. Для территорий детально изученных расстояния между скважинами можно увеличивать на 10 -15% для I и II категорий сложности.
* расстояния между скважинами уточняются в процессе проведения изысканий
|
4.1.5.5
Скважины, пробуренные в процессе изысканий, подлежат обязательной ликвидации с тампонированием ствола скважины в соответствии с техническими условиями на ликвидацию скважин.
Акты на тампонирование скважин с указанием способа тампонажа выпускаются отдельным отчётом.
4.1.5.6
При попадании разведочных скважин в сечение проектируемых выработок глубокого заложения или на расстояние менее 10 м от контура сооружения акты на тампонаж, координаты скважин направляются в строительную организацию для составления специального проекта производства работ в зоне расположения скважин. Глубина разведочных скважин должна превышать глубину заложения подошвы тоннеля на 10-15м.
4.1.5.7
Обязательным является выполнение геофизических исследований. Выбор вида геофизических исследований определять в соответствии с поставленными задачами, плотностью городской застройки, а также с наличием и уровнем помех, возникающих от движения транспорта (шум, вибрация), воздействия электрических установок. Результаты геофизических исследований увязываются с данными других исследований и отражаются в отчёте.
4.1.5.8
Гидрогеологические исследования обеспечивают получение исходных данных для определения водопритоков в строящихся сооружениях, размеров будущих депрессионных воронок, способа выполнения строительных работ, оценки возможного барражирования от воздействия строящихся сооружений, гидростатического давления на обделку, определение температуры, химического состава и агрессивности подземных вод к материалу конструкции сооружений. С этой целью проводятся опытные наливы, откачки, геофизические исследования, расчеты.
4.1.5.9
В случае необходимости определения свойств песчано-глинистых грунтов в зоне взаимодействия геологической среды с сооружениям проводятся полевые исследования свойств грунтов (статическое и динамическое зондирование, прессиометрические и штамповые испытания).
4.1.5.10
Комплекс лабораторных исследований физико-механических свойств грунтов проводить в соответствии с СП 11-105-97 [2], в случае необходимости получения дополнительной информации по отдельному заданию проводятся специальные исследования свойств грунтов.
4.1.5.11
По итогам проведенных изысканий и исследований составляется технический отчет, состав и содержание которого должны соответствовать требованиям СП 11-105-97 [2], включающий текстовую и графическую части. В заключении отчета должны быть сформулированы рекомендации по проектированию.
4.1.6
Инженерно-геологические изыскания в период строительства и эксплуатации.
4.1.6.1
Инженерно-геологические изыскания в период строительства и эксплуатации должны предоставлять материалы о состоянии и изменениях компонентов геологической среды в сфере ее взаимодействия с тоннелями на основании СНиП 11-02.
4.1.6.2
В период строительства следует устанавливать соответствие инженерно-геологических условий, принятых в проектной и рабочей документации, фактическим, на основе обследования инженерно-геологической обстановки при проходке тоннелей, шахт, котлованов и других выработок для оперативного решения вопросов по увязке полученных данных с производством строительных работ.
4.1.6.3
Результаты инженерно-геологических изысканий в период строительства следует представлять в соответствии с требованиями СНиП 11-02 в виде технического отчета, в котором должны быть отражены результаты анализов грунтов, грунтовых вод, геофизических исследований и стационарных наблюдений с приложением зарисовок в масштабе от 1:20 до 1:100. Инженерно-геологическую документацию и наблюдения в тоннелях и котлованах следует выполнять в соответствии с требованиями ведомственных нормативных документов.
4.1.6.4
При выполнении инженерно-геологических изысканий для проектирования реконструкций станций проводить инженерно-геологические изысканий по отдельному техническому заданию и программе с учетом особенностей сооружений.
4.1.6.5
В период эксплуатации метрополитенов следует осуществлять локальный мониторинг за отдельными компонентами геологической среды на основе сети наблюдательных пунктов для наблюдений за развитием опасных инженерно-геологических процессов, деформациями зданий, земной поверхности. Локальный мониторинг следует осуществлять по программе с применением геодезических и геофизических методов, зондирования и контрольно-измерительной аппаратуры, установленной в несущих конструкциях тоннелей и расположенных в сфере взаимодействия зданий и сооружений, а также на участках развития геологических и инженерно-геологических процессов.
4.2.1
Инженерно-геодезические изыскания должны обеспечивать получение топографо-геодезических материалов и данных о ситуации, рельефе местности (в том числе дна водотоков, водоемов и акваторий), существующих зданиях и сооружениях (наземных, подземных) и других элементах планировки, необходимых для комплексной оценки природных и техногенных условий по проектируемой трассе линии, обоснования проектирования, строительства и эксплуатации метрополитена.
4.2.2
Основные исходные данные для производства работ, задачи изысканий, требования к точности, достоверности и полноте топографо-геодезических материалов устанавливать в техническом задании.
4.2.3
Геодезические приборы, используемые для изысканий, должны быть аттестованы и поверены в соответствии с требованиями нормативных документов Госстандарта России.
4.2.4
Изыскания на стадии разработки проектной документации проводить по всем вариантам проектируемых трасс.
В состав работ должны входить:
- сбор и анализ топографических (инженерно-топографических) карт и планов в масштабах 1:500-1:2000, фотопланов (аэро- и космофотопланов), землеустроительных и лесоустроительных планов, материалов изысканий прошлых лет по развитию опорных геодезических сетей, земельного, градостроительного и иных кадастров;
- обследование пунктов государственной геодезической опорной сети и выполнение сгущения или развития ее в случае необходимости;
- обновление топографических карт и планов, если они не соответствуют современному состоянию ситуации, рельефа местности и расположения подземных коммуникаций;
- создание съемочного обоснования и выполнение топографической съемки в случае отсутствия необходимых топографических материалов;
- промеры глубин на реках и водоемах, нивелирование поверхности дна водотоков и составление продольного профиля на исследуемом участке реки и поперечных профилей по промерным створам;
- геодезические работы при изучении опасных природных и техноприродных процессов (карст, склоновые процессы, переработка берегов рек, морей, озер и водохранилищ, а также в случаях подрабатывания и подтопления территории);
- изучение материалов по деформациям оснований зданий и сооружений на земной поверхности, происшедшим до начала строительства;
- рекогносцировочное обследование вариантов трассы и мест расположения сооружений при необходимости визуальных осмотров с целью дополнительной проверки достоверности имеющихся материалов.
Изыскания на стадии разработки проекта должны обеспечивать составление:
- уточненного ситуационного плана в масштабах 1:2000 - 1:500 с указанием на нем существующих и проектируемых внешних коммуникаций, инженерных сетей;
- проекта инженерной подготовки строительных площадок с указанием существующих и подлежащих сносу зданий и сооружений;
- чертежей плана линии и вертикальной планировки территории;
- природоохранных мероприятий;
- материалов геодезического обеспечения строительства.
4.2.5
Ширину полосы съемки вдоль трассы устанавливать с учетом полосы отвода для строительства и природных условий местности, производства инженерно-геологических изысканий и градостроительной ситуации.
4.2.6
Предпроектные проработки проводить по топографическим картам и аэроснимкам в масштабе 1:25000 или плана в масштабе 1:10000. На сложных участках использовать топографическую съемку в масштабах 1:5000-1:2000.
4.2.7
Технический отчет составлять в следующем составе:
- общие сведения о физико-географических и геологических особенностях района работ, о топографо-геодезической изученности района изысканий;
- схемы созданной геодезической планово-высотной основы, картограмма топографо-геодезической изученности по трассе строительства, абрисы закрепленных пунктов геодезической планово-высотной основы, а также каталоги их координат и высот;
- планы подземных сооружений;
- планы и продольные профили по вариантам трасс (по согласованию с заказчиком последние могут не составляться);
- графики наблюдений за оседаниями и деформациями сооружений, земной поверхности;
- сведения о методике и технологии выполненных работ, о проведении технического контроля и приемке работ;
- заключение о результатах работ;
- схемы расположения геологических выработок или выкопировок с карты, каталог координат и высот.
4.2.8
Изыскания на стадии разработки рабочей документации должны обеспечить получение дополнительных топографо-геодезических материалов и данных для доработки генерального плана трассы, уточнения и детализации проектных решений.
В состав изысканий входят:
- анализ и доработка материалов, выполненных на предшествующих стадиях проектирования;
- рекогносцировочное обследование участков трассы и сооружений вдоль проектируемой трассы линии;
- полевое трассирование (вынос трассы в натуру);
- планово-высотная привязка трассы к пунктам государственной (опорной) геодезической сети;
- топографическая съемка полосы местности вдоль трассы (съемка текущих изменений при наличии планов) в масштабах 1:1000-1:500, на сложных участках в масштабе 1:200, досъемка переходов, пересечений и вновь появившихся (после уточнений для разработки проекта) инженерных коммуникаций;
- привязка геолого-разведочных скважин, выработок, геофизических и других точек инженерных изысканий;
- инструментальные наблюдения за оседаниями и деформациями зданий, сооружений и земной поверхности до начала строительства;
- составление и размножение инженерно-топографических планов;
- геодезическое обеспечение других видов изысканий;
- составление технического отчета.
4.2.9
В состав изысканий для обеспечения строительно-монтажных работ входят:
- определение проектного положения объекта строительства на местности и в подземных горных выработках;
- создание опорной планово-высотной геодезической разбивочной сети для строительства на поверхности и в подземных горных выработках;
- создание планово-высотных сетей сгущения и подходных сетей вдоль трассы;
- геодезическо-маркшейдерское обеспечение строительства в соответствии с проектной документацией;
- наблюдения за осадками и деформациями зданий и сооружений на поверхности и подземных сооружений, в том числе при выполнении локального мониторинга, за опасными природными и техноприродными процессами;
- геодезическо-маркшейдерские работы по определению в натуре скрытых подземных сооружений при строительстве, ремонтных и других работах;
- составление исполнительных чертежей подземных и наземных сооружений и другой технической документации.
4.3.1
Инженерно-экологические изыскания (ИЭИ) выполняются для подготовки проектной документации строительства (реконструкции) объектов метрополитена. Не допускаются подготовка и реализация проектной документации без выполнения ИЭИ.
4.3.2
К работам в рамках ИЭИ привлекаются организации или индивидуальные предприниматели, имеющие выданные саморегулируемой организацией свидетельства о допуске к таким видам работ.
4.3.3
ИЭИ для подготовки проектной документации строительства (реконструкции) выполняются для оценки современного состояния окружающей природной среды и прогноза ее возможных изменений, обусловленных влиянием проектируемого объекта.
4.3.4
Инженерно-экологические изыскания проводятся с целью:
- получения материалов о природных условиях территории, на которой будут осуществляться строительство (реконструкция) объектов метрополитена, и факторах техногенного воздействия на окружающую среду;
- получения материалов, необходимых для разработки мероприятий по охране окружающей среды, направленных на предотвращение, минимизацию или ликвидацию нежелательных экологических последствий.
4.3.5
Инженерно-экологические изыскания проводятся на основании заключаемого между заказчиком и исполнителем договора, к которому прилагаются техническое задание и программа выполнения инженерно-экологических изысканий.
4.3.6
Заказчик и исполнитель определяют состав работ, осуществляемых в ходе ИЭИ, их объем и метод выполнения с учетом специфики соответствующих территорий и расположенных на них земельных участков.
4.3.7
При подготовке программы и технического задания ИЭИ должны быть учтены как природные и техногенные особенности территории, так и специфика проектируемого объекта метрополитена.
4.3.8
Программа и техническое задание инженерно-экологических изысканий разрабатывается согласно СП 11-102-97 [3].
4.3.9
Инженерно-экологические изыскания для строительства должны проводиться в три этапа: подготовительный, полевые исследования, камеральная обработка материалов.
На подготовительном этапе осуществляется сбор и анализ фондовых и опубликованных материалов и данных о состоянии природной среды, предполевое дешифрирование, поиск объектов-аналогов, функционирующих в сходных природных условиях.
На основании технического задания в состав полевых исследований могут быть включены:
- маршрутные наблюдения с покомпонентным описанием природной среды и ландшафтов в целом, состояния наземных и водных экосистем, источников и признаков загрязнения;
- эколого-гидрогеологические исследования;
- почвенные исследования;
- геоэкологическое опробование и оценка загрязненности атмосферного воздуха, почв, грунтов, поверхностных и подземных вод;
- исследование и оценка радиационной обстановки;
- газогеохимические исследования;
- исследование и оценка физических воздействий;
- изучение растительности и животного мира;
- социально-экономические исследования;
- санитарно-эпидемиологические и медико-биологические исследования;
- стационарные наблюдения (экологический мониторинг).
Геоэкологическое опробование почв, грунтов и подземных вод целесообразно проводить в увязке с инженерно-геологическими изысканиями.
На этапе камеральной обработки материалов проводятся химико-аналитические и другие лабораторные исследования, анализ полученных данных, разработка прогнозов и рекомендаций, составляется технический отчет.
4.3.10
Отчетная документация о выполнении инженерных изысканий (технический отчет) должна содержать текстовую и графическую части, а также приложения (в текстовой, графической и цифровой формах).
4.3.11
При оформлении технического отчета руководствоваться положениями СНиП 11-02.
5.1.1
Пропускную способность линии следует принимать не более 40 пар поездов в час.
Для расчетов устройств электроснабжения пропускную способность линии следует увеличивать на 10 %.
5.1.2
Максимальное число вагонов в поезде необходимо определять для каждого периода эксплуатации.
5.1.3
Пропускную и провозную способность линии на периоды эксплуатации определять в зависимости от расчетного числа пассажиров в поезде на перегоне, наиболее загруженном в часы максимальных перевозок (часы пик).
При определении размеров движения на линии в часы пик (число пар поездов в час и число вагонов в поезде) вместимость вагонов принимать из расчета, что все места для сидения заняты пассажирами и на 1 м2
свободной площади пола пассажирского салона размещается 4,5 стоящих пассажира.
5.1.4
Пропускную способность линии, поперечные размеры проходов на участках пути движения пассажиров, число входов, эскалаторов, контрольно-пропускных пунктов, касс и кассовых автоматов определять расчетом по величине 15-минутного пассажирского потока в часы пик.
Пропускную способность участков пути принимать по таблице 5.1.1.
Таблица 5.1.1
| Участок пути
|
Ширина пути, м
|
Пропускная способность, чел/ч, не менее
|
| Горизонтальный путь:
|
| одностороннее движение
|
1,0
|
4000
|
| двустороннее движение
|
1,0
|
3400
|
| Дверной проем
|
0,8
|
3200
|
| Касса с автоматизированным рабочим местом кассира (АРМ КБ)
|
-
|
*
|
| Контрольный пункт:
|
| автоматический на входе
|
0,6
|
**
|
| то же, на выходе
|
0,6
|
2500
|
| Эскалатор
|
1,0
|
8200
|
| Лестница:
|
| одностороннее движение вверх
|
1,0
|
3000
|
| то же, вниз
|
1,0
|
3500
|
| двустороннее движение вверх и вниз
|
1,0
|
3200
|
| Примечание:
* Пропускную способность уточнять по Техническим условиям на применяемую конструкцию АКП;
** пропускная способность зависит от пропускной способности технологического оборудования АСОП и от применяемых видов средств оплаты проезда.
|
Величину 15-минутного пассажирского потока рассчитывать по максимальному пассажирскому потоку, ожидаемому в час пик, с учетом коэффициентов неравномерности их распределения в течение одного часа:
а) для пересадочных и временно конечных станций, для станций, расположенных вблизи железнодорожных и автобусных вокзалов и стадионов, в местах пересечения значительного количества линий городского транспорта, транспортно-пересадочных узлов, сосредоточения предприятий и учреждений – 1.4;
б) для остальных станций – 1.2.
5.1.5
Пропускная способность смежных участков пути движения пассажирских потоков на станции или переходе между станциями должна быть одинакова.
На участках пути, являющихся путями эвакуации наружу или на смежную станцию, сужение поперечных размеров проходов не рекомендуется.
При наличии участков пути движения пассажирских потоков с разной пропускной способностью определяющим является участок с минимальным значением пропускной способности.
5.2.1
При сопряжении прямых участков линии радиусы круговых кривых в плане должны быть не менее, м:
а) на главных и станционных путях - 600;
б) на соединительных путях - 150.
В трудных условиях величины радиусов могут быть уменьшены соответственно до 300 и 100 м.
5.2.2
Минимальную глубину заложения подземных сооружений следует принимать с учетом защиты верха строительных конструкций от промерзания, а также возможности устройства дорожного покрытия.
5.2.3
Расстояние от поверхности земли до верха конструкций подземной станции должно быть не менее толщины дорожного покрытия и теплоизоляционного слоя.
Над перегонными тоннелями, на участках пересечения магистральных улиц и дорог это расстояние принимать, как правило, не менее 3 м. В остальных местах допускается уменьшение расстояния при условии защиты тоннелей от промерзания и возможности устройства над ними дорожного покрытия.
5.2.4
Стрелочные переводы размещать на прямых участках пути с уклоном не более 5 ‰; в трудных условиях - с уклоном не более 10 ‰. Расстояние от начальных точек кривых в плане, а также от вертикальных кривых в профиле до центра стрелочного перевода - не менее
20 м. Расстояние от центра стрелочного перевода до начала платформы станции - не менее 25 м. Стрелочные переводы и перекрёстные съезды не должны располагаться на стыках пролётных строений.
5.2.5
Прямые и кривые участки главного пути в плане радиусом
2000 м и менее, а также составные круговые кривые разных радиусов сопрягать посредством переходных кривых, длины которых принимать по таблице 5.2.1.
Таблица 5.2.1
| Главные пути
|
Соединительные пути
|
| Радиус кривой, м
|
Возвышение наружного рельса, мм
|
Длина переходной кривой, м
|
Скорость движения поездов, км/ч, при непогашенном ускорении, м/с2
|
Радиус кривой, м
|
Возвышение наружного рельса, мм
|
Длина переходной кривой, м
|
Скорость движения поездов, км/ч, при непогашенном ускорении, м/с2
|
| -0,4
|
0
|
+0,4
|
0
|
+0,7
|
| 3000
|
-
|
-
|
-
|
-
|
125
|
600
|
-
|
0 - 60
|
-
|
75
|
| 2000
|
10
|
20 - 30
|
-
|
40
|
110
|
500
|
-
|
0 - 60
|
-
|
65
|
| 1500
|
20
|
20 - 40
|
-
|
50
|
100
|
400
|
-
|
0 - 60
|
-
|
60
|
| 1200
|
40
|
20 - 50
|
-
|
60
|
100
|
350
|
-
|
0 - 60
|
-
|
55
|
| 1000
|
60
|
30 - 70
|
-
|
70
|
100
|
300
|
-
|
0 - 60
|
-
|
50
|
| 800
|
80
|
40 - 80
|
30
|
70
|
95
|
250
|
-
|
0 - 60
|
-
|
45
|
| 600
|
100
|
50 - 80
|
40
|
70
|
90
|
200
|
10
|
0 - 60
|
10
|
45
|
| 500
|
120
|
60 - 60
|
45
|
70
|
85
|
175
|
30
|
0 - 60
|
20
|
45
|
| 400
|
120
|
60 - 80
|
40
|
60
|
75
|
150
|
40
|
0 - 60
|
20
|
45
|
| 350
|
120
|
60 - 80
|
40
|
60
|
70
|
125
|
70
|
0 - 60
|
25
|
45
|
| 300
|
120
|
60 - 80
|
35
|
55
|
65
|
100
|
110
|
0 - 60
|
30
|
45
|
| Примечания
1. Переходные кривые разбиваются по радиоидальной спирали.
2. На главных путях при возможности принимать большие значения переходных кривых.
3. В трудных условиях на главных путях длины переходных кривых и величины возвышения наружного рельса определять расчетом.
|
5.2.6
На кривых участках пути, за исключением станционных путей в пределах постоянных служебных платформ, стрелочных переводов и съездов, путей в границах платформ станций, укладку наружного рельса предусматривать с возвышением над внутренним рельсом.
Возвышение наружного рельса в тоннелях и на закрытых наземных участках предусматривать путем поднятия наружного рельса на половину требуемой величины возвышения и опускания на ту же величину внутреннего рельса, на открытых наземных участках - путем поднятия наружного рельса на полную величину требуемого возвышения.
При расположении кривой частично в тоннеле и на открытом наземном участке возвышение наружного рельса устраивается так же, как на кривых, расположенных в тоннелях.
Отвод возвышения наружного рельса предусматривать на протяжении переходной кривой, а при отсутствии переходной кривой - на круговой кривой и на прямом участке, примыкающем к круговой кривой, по расчету.
Уклон отвода возвышения наружного рельса принимать не более 2 ‰ на обе нити, для трудных условий - 3 ‰.
Величина возвышения наружного рельса приведена в таблице 5.2.1.
5.2.7
Смежные круговые кривые на главных путях допускается сопрягать без переходных кривых при условии
где R1 и R2 - радиусы первой и второй кривых.
На соединительных путях прямые и кривые участки допускается сопрягать без переходных кривых.
Длина круговой кривой с постоянной величиной возвышения наружного рельса должна быть не менее 15 м.
Длину прямого участка, не имеющего возвышения наружного рельса, принимать не менее, м:
а) на главных путях - 20, в трудных условиях - 15;
б) на соединительных путях - 15.
5.2.8
Габариты приближения строений и расстояния между осями смежных путей следует принимать по ГОСТ 23961.
5.2.9
Продольный уклон подземных и закрытых наземных участков линий принимать не менее 3‰. В обоснованных случаях допускается располагать отдельные участки линий на горизонтальной площадке. При этом продольный уклон дна водоотводного лотка принимать не менее 2‰.
Продольный уклон подземных и закрытых наземных участков линий принимать не более 40‰.
В трудных условиях на одном или двух смежных подземных и закрытых наземных участках общей протяженностью не более 1500 м, которые разделены станцией или перегоном протяженностью до 500 м, допускается принимать продольный уклон не более 45‰ с учетом уклона отвода возвышения наружного рельса при его наличии. При необходимости на этих участках скорость движения поездов ограничивать с применением технических средств.
Станционные пути, предназначенные для оборота и отстоя поездов, располагать на уклоне 3‰ с подъемом к станции.
Сопряжение двух элементов продольного профиля, направленных в разные стороны с уклонами, превышающими 5‰, выполнять элементом профиля с уклоном не более 5‰.
Прямолинейные смежные элементы продольного профиля при алгебраической разности значений уклонов, равной или превышающей 2‰, сопрягать в вертикальной плоскости круговыми кривыми радиусами: 3000 м - на главных путях у станции; 5000 м - на главных путях перегонов; 1500 м - на соединительных путях. Для трудных условий допускается уменьшать радиусы вертикальных кривых на главных путях у станций до 2000 м, на перегонах - до 3000м.
Длину элемента продольного профиля принимать не менее расчетной длины поезда на перспективу, за исключением смежных элементов, направленных в одну сторону с алгебраической разностью значений уклонов менее 2‰, сумма длин которых должна быть не менее расчетной длины поезда на перспективу; длину прямой вставки между смежными кривыми - не менее 50 м.
5.2.10
На мостах и эстакадах принимать такие же сочетания плана и продольного профиля, как на других участках линии.
5.2.11
На станциях с путевым развитием для оборота и отстоя поездов предусматривать один или два станционных пути.
Длину станционного пути определять как расстояние от центра стрелочного перевода до бруса упора.
Длина станционного пути для оборота поездов и отстоя составов в ночное время должна быть на 100 м - для подземных станций и 135 м - для наземных и надземных больше длины поезда в перспективе.
Длину станционного пути для оборота поездов и отстоя в ночное время нескольких составов определять как сумму длин составов в перспективе и расстояний, м:
а) между составами - 5;
б) от состава до бруса упора - 7, при наличии ПТО – 15.
Длину станционного пути за временно конечной станцией, предназначенного для отстоя составов, определять как сумму длины состава в перспективе и расстояний, м:
а) между составами - 5;
б) от состава до бруса упора - 7;
в) дополнительно, при противошерстном движении поездов по стрелочному переводу на станционный путь - 47, при пошерстном движении - 22.
Длина пути должна быть кратной 12,5 м.
Длина предохранительного пути должна быть не менее 135 м, пути, не используемого для указанной цели, - не менее 47 м.
При применении других схем станционных путей для оборота и отстоя поездов соблюдать указанные выше расстояния.
5.2.12
На участке станционных путей, предназначенных для оборота поездов, располагать служебную платформу, длина которой должна на
11 м превышать максимальную расчетную длину поезда. Начало платформы принимать на расстоянии 25,6 м от центра стрелочного перевода, ширину 1100 мм, высоту - 1150 мм от уровня головок рельсов на прямых участках (на кривых – по расчету).
Служебная платформа по всей длине должна иметь ограждение высотой не менее 1100мм с разрывами напротив дверей вагонов. Ограждение должно располагаться на расстоянии не менее 100мм от края платформы и обеспечивать безопасный зазор при открытых дверях вагона. Для спуска с платформы в торцах предусматривать лестницы 2-го типа шириной не менее 500мм из негорючих материалов с ограждением высотой 1100мм.
При двух станционных путях платформу размещать между путями, при одном пути – с левой стороны пути по направлению движения поезда со станции.
При обороте поездов с использованием главного пути временно конечной станции в тоннеле предусматривать временную служебную платформу.
В тупиках располагать мусоросборник.
5.2.13
В тупике пункта технического обслуживания (ПТО) по оси каждого станционного пути предусматривать смотровые канавы.
Размеры канавы принимать, м:
а) ширина - 1,2;
б) длина между нижними ступенями схода - на 2 м больше максимальной расчетной длины поезда;
в) длина схода в плане - 1,5;
г) глубина от уровня головки рельсов в однопутных тоннелях кругового очертания - 1,2; в тоннелях прямоугольного очертания и двухпутных тоннелях кругового очертания - 1,4.
Допускается смотровую канаву размещать за зоной оборота подвижного состава. Служебная платформа в этом случае может не предусматриваться.
В тупиках временно используемых для оборота и отстоя подвижного состава, смотровую канаву не предусматривать.
5.3.1
Станции необходимо располагать в плане на прямых участках пути, в профиле на односкатном уклоне, равном 3‰. Допускается размещение станции в плане на кривых участках пути радиусом не менее 800 м и на продольном уклоне до 5‰ или на горизонтальной площадке. При этом продольный уклон дна водоотводного лотка должен быть не менее 2‰.
5.3.2
Планировочные решения станций и пересадочных сооружений должны обеспечивать организацию движения пассажиров по возможности без пересечения их потоков и максимальное снижение эффекта "дутья" от движения поездов.
5.3.3
Пассажирские платформы станций могут быть островные, боковые или островные и боковые. Длина посадочной части платформы должна не менее чем на 8 м превышать расчетную длину поезда в перспективе.
Длину беспроемных участков по концам посадочной части платформ станции глубокого заложения принимать не более 1/3 длины посадочной платформы и определять из условий, что освобождение пассажирами этого участка должно осуществляться за время не более минимального интервала между поездами и в пределах расчетного времени эвакуации пассажиров со станции.
5.3.4
Ширину платформ, коридоров и лестниц принимать по 5.1 и таблице 5.3.1.
Таблица 5.3.1
| Показатель
|
Размер, м, не менее
|
| Ширина островной платформы станции:
|
| мелкого заложения, наземной, односводчатой глубокого заложения
|
10,0
|
| то же, колонной глубокого заложения
|
12,0
|
| Ширина боковой платформы
|
4,0
|
| Расстояние от края платформы:
|
| до колонн станции мелкого и глубокого заложения
|
1,6
|
| до пилонов и стен беспроемных частей станции
|
2,3
|
| Ширина проходов между боковыми и средним залами станции пилонного типа
|
2,5
|
| Ширина лестницы между островной платформой и вестибюлем или промежуточным залом
|
5,0
|
| То же, ширина коридоров
|
1,2
|
| Примечание:
Размеры показаны до облицовки сооружений.
|
Длину участка в уровне кассового зала в вестибюле от касс до АКП и от АКП до балюстрады эскалатора принимать не менее 5,0 м.
Длину участка в уровне платформы станции длину участка от выступающего оборудования перед эскалаторами (барьеры, кабины и т.п.) до упоров МК принимать не менее 4,5 м для станции глубокого заложения; для станций мелкого заложения от выступающего оборудования перед эскалаторами до платформы принимать не менее 5,0 м.
Высоту проходов по оси движения пассажиров принимать 2,5 м; при обосновании - не менее 2,1 м.
Высоту производственных, бытовых и др. помещений до низа конструкций перекрытия принимать не менее 2,5 м, помещений для размещения оборудования УДП и связи – не менее 2,75 м; при обосновании допускается местное снижение высоты до 2,1м.
5.3.5
Число вестибюлей станций метрополитена следует определять расчетом в зависимости от величины максимальных расчетных пассажирских потоков, а также из условия эвакуации пассажиров в экстремальных случаях.
При проектировании станции с одним вестибюлем, в целях перспективного развития, как правило, допускается предусматривать возможность строительства второго вестибюля.
На пересадочных станциях для каждой станции следует предусматривать, как правило, отдельный вестибюль.
5.3.6
Станции и пересадочные сооружения между станциями на путях движения пассажиров при высоте подъема свыше 4,0 м и высоте спуска свыше 5,0 м следует оборудовать эскалаторами.
При реконструкции станций допускается увеличение высоты подъема и спуска до 5,5 м без устройства эскалаторов.
Число эскалаторов на станции необходимо определять исходя одновременно из следующих условий:
1 В обычном эксплуатационном режиме:
- пропуск максимального расчетного потока пассажиров;
- вывод одного эскалатора в ремонт.
2 В режиме эвакуации пассажиров в экстремальных случаях:
- пропуск максимального расчетного потока пассажиров в режиме их эвакуации со станции;
- вывод одного эскалатора в ремонт;
- остановка одного эскалатора по непредвиденным причинам.
При этом на станции глубокого заложения в одном вестибюле следует предусматривать не менее 4-х эскалаторов, в другом - по расчету, но не менее 3-х.
В пересадочном сооружении, не имеющем разделения пассажирских потоков по направлениям, число эскалаторов следует принимать по расчёту, но не менее 4-х; при разделении потоков – по расчёту, но не менее 2-х в каждом направлении.
5.3.7
В пассажирских помещениях и помещениях с постоянным пребыванием эксплуатационного персонала станций глубокого заложения предусматривать водоотводящие зонты при расположении помещений под сводом обделки.
От зонтов и из-за пространства между стенами и конструкциями декоративной облицовки помещений, выполняемыми на относе, предусматривать отвод воды в общую водоотводящую сеть. Обеспечить возможность проветривания пространства между зонтом и несущей конструкцией.
В производственных помещениях станций глубокого заложения, предназначенных для размещения электрооборудования, аппаратуры связи и управления предусматривать металлоизоляцию над этими помещениями или другие меры по обеспечению водонепроницаемости.
В производственных помещениях станций мелкого заложения, предназначенных для размещения электрооборудования, аппаратуры связи и управления. Расположенных на верхнем этаже (под основным перекрытием) предусматривать металлоизоляцию или зонты.
Для тех же помещений, расположенных под междуэтажными перекрытиями, в конструкции полов над ними предусматривать оклеечную гидроизоляцию.
5.3.8
Покрытие полов в пассажирских помещениях предусматривать полированными плитами, на площадках и ступенях лестниц, в подуличных пешеходных переходах - шлифованными плитами из горных пород или искусственных материалов.
Поверхность ступеней лестниц и площадок должна иметь шероховатую структуру, препятствующую скольжению.
Применяемые для облицовки полов в пассажирских помещениях материалы должны иметь прочность на сжатие не менее 60 МПа и по истираемости - не более 0,5 г/см2
по ГОСТ 9479.
Полы должны иметь уклон в сторону лотков для приема воды.
5.3.9
Лестницы для движения пассажиров принимать с уклоном 1:3; в отдельных случаях - с увеличением уклона, но не более 1:2,6.
Ширину проступи ступеней принимать не менее 30 см и не более 36 см.
Число ступеней в одном лестничном марше или на перепаде уровней принимать не менее 3 и не более 18.
В проходах из среднего зала к пересадочному коридору над путями и в других обоснованных случаях допускается уклон лестниц 1:2 и число ступеней в одном лестничном марше не более 22.
Лестницы на путях следования пассажиров должны оборудоваться перилами, начинающимися от первой ступени и заканчивающимися на последней.
5.3.10
Вестибюли станций принимать наземного или подземного типа исходя из градостроительных условий.
Лестничные сходы в подуличные пешеходные переходы, примыкающие к подземным вестибюлям, рекомендуется закрывать павильонами.
На входах в вестибюли предусматривать тамбуры с двумя рядами дверей, на входах в павильоны предусматривать один ряд дверей.
5.3.11
С каждой стороны улицы в одном из лестничных сходов в пешеходный переход и на лестничном сходе из кассового зала на платформу, при отсутствии лифта, предусматривать возможность для движения пассажиров с детскими колясками.
5.3.12
В подуличных пешеходных переходах с открытыми лестничными сходами участок примыкания вестибюля отделять перегородками с одним рядом дверей.
5.3.13
Перед входом (выходом) в наземный или сходом в подземный вестибюль должна быть обогреваемая площадка высотой 12-15 см от максимальной отметки вертикальной планировки тротуара. В местах, подверженных затоплению при дождях или авариях водоводов, высоту площадки определять расчетом. Между площадкой и тротуаром предусматривать пандус для детских колясок, если они есть на лестничном сходе.
5.3.14
Около вестибюлей с эскалаторами предусматривать площадку для временного складирования узлов эскалаторов с возможностью подъезда автотранспорта.
5.3.15
Для сбора воды и грязи предусматривать приямки:
а) в подуличных пешеходных переходах - у нижней ступени лестничного схода;
б) в наземном вестибюле - в теплой зоне;
в) на платформе станции мелкого заложения - у нижней ступени лестницы из кассового зала вестибюля.
Минимальные размеры решеток по пути движения пассажиров принимать для: а) - 1,0 м; б) - 3,0 м; в) - 0,5 м.
Решетки устанавливать по всей ширине лестничных маршей.
Ширина щелей в решетках должна быть не более 15 мм.
5.3.16
В пассажирской зоне вестибюля размещать:
- АКП на входах и выходах;
- кассовый блок;
- кабину контролера, оборудуемую средствами контроля за работой АКП, устройствами связи, громкоговорящего оповещения и электроотопления;
- барьеры у эскалаторов и лестниц для направления пассажиропотоков;
- автоматы для продажи проездных документов;
- пульт управления эскалаторами рядом с эскалатором со стороны входа в машинное помещение;
- шкафы с пожарными и поливочными кранами;
- схему линий метрополитена, схему прилегающего района, правила пользования метрополитеном;
- элементы визуальной информации пассажиров;
- часы, громкоговорители, телекамеры.
В уровне платформы станции размещать:
- кабину дежурного у эскалаторов, оборудуемую пультом остановки эскалаторов, экранами теленаблюдения, устройствами связи, громкоговорящего оповещения и электроотопления;
- кабину дежурного по приему и отправлению поездов на конечных станциях и станциях с путями в электродепо, оборудуемую устройствами связи и электроотопления;
- барьеры у эскалаторов с перекрывателями движения для направления пассажиропотоков;
- визуальную информацию для пассажиров;
- телекамеры, громкоговорители, телефонные аппараты ОТС;
- шкафы для инвентарных огнетушителей;
- шкафы с пожарными и поливочными кранами;
- пульт управления эскалаторами;
- обзорные зеркала, мониторы заднего вида у головной кабины управления поезда;
- сходные устройства на каждый путь в концах платформы;
- ограждающие барьеры у дверей входа в перегонные тоннели;
- скамьи для отдыха.
5.3.17
Служебный мостик в тоннеле должен иметь ширину прохода на уровне 1,5 м от пола не менее 0,75 м и сетчатое ограждение на всю длину высотой 2,1 м со съемными элементами, при необходимости, в месте входа в коридор блока производственных помещений.
Открывание двери мостика предусматривать в сторону платформы.
Для спуска с мостика или с платформы станции в тоннель предусматривать лестницу 2-го типа из негорючих материалов с ограждением высотой 1,2 м. Ширину марша лестницы при входе на мостик или платформу принимать не менее 0,7 м, уклон - не более 1:1, ширину проступи - не менее 25 см, высоту ступени - не более 22 см.
5.3.18
Скамьи для отдыха, размещаемые на платформе, не должны затруднять движение пассажиров.
5.3.19
Места для хранения и подзарядки поломоечных машин, подъемного оборудования, лестниц и вышек в уровнях кассовых залов и платформ предусматривать вне пределов пассажирских помещений.
5.3.20
Отделку помещений с постоянным пребыванием персонала предусматривать согласно СНиП 2.09.04.
Для отделки потолков и стен помещений ДПС, медицинского пункта, машиниста эскалаторов, пункта смены машинистов, кассового блока, помещения персонала участков Службы сигнализации и связи применять звукопоглощающие материалы.
Прочность элементов помещений, возводимых из легких материалов, должна обеспечивать возможность крепления к ним технологических коммуникаций (венткоробов, кабелей, труб, канализационных устройств и т.д.).
5.3.21
Полы в производственных помещениях и коридорах предусматривать из негорючих и нетоксичных материалов с высокой степенью сопротивляемости истиранию и низким уровнем водопоглощения.
Полы во всех помещениях должны выдерживать нагрузку не менее 5 кН/м2
, в производственных помещениях - с учетом нагрузки от устанавливаемого в них оборудования.
5.3.22
Двери во всех помещениях применять однотипные, минимальной шириной 0,8 и минимальной высотой 2,0 м, с открыванием, как правило, по направлению выхода из помещения. Для помещений категорий А и Б, а также для помещений с одновременным пребыванием более 5 человек открывание дверей в обязательном порядке предусматривать по направлению выхода из помещений. Размеры дверей в производственных помещениях определять исходя из условий транспортирования размещаемого в них оборудования. При обосновании допускается высоту дверей принимать равной 1,8 м. Подземные помещения категорий В3 и выше должны иметь противопожарные двери.
Двери помещений, открывающиеся на пути эвакуации пассажиров, не должны препятствовать движению эвакуационного потока.
Двери помещений оборудуются замками и устройствами для самозакрывания.
Дверь в кассовый блок предусматривать металлической, с двумя замками, цепочкой и "глазком". С внутренней стороны дверь в кассовый блок дополнительно ограждать решетчатой металлической дверью.
Двери на всех путях движения пассажиров должны быть открывающимися в обе стороны, прозрачными, из ударопрочного материала, высотой не менее 2,2 м и шириной - не менее 0,8 м. Нижняя часть дверей должна быть защищена противоударной полосой шириной 0,3 м. На поверхность прозрачных дверей наноситься контрастная маркировка, низ которой располагается на уровне 1,5 м от пола.
Двери вестибюлей, ведущие наружу, должны иметь приспособления для фиксации в открытом положении. При необходимости устройства тамбура расстояние между рядами дверей должно быть не менее 2,2 м.
5.3.23
В помещениях с постоянным пребыванием персонала и в производственных помещениях АТДП и связи прокладка транзитных технологических коммуникаций (венткоробов, труб, кабелей) не допускается.
5.3.24
Станции и подходы к ним оборудовать системой визуальной информации пассажиров в виде указателей, символов и электронных табло.
Указатели размещать по направлению движения пассажиров:
- перед входом (выходом) в подземный вестибюль из пешеходного перехода;
- вверху и внизу перед эскалатором (лестницей) из кассового зала вестибюля на платформу станции и в пересадочное сооружение;
- на платформе станции в среднем зале и в проходах между пилонами (колоннами) на станциях глубокого заложения.
По длине станции, с каждой стороны направления движения поездов, размещать не менее двух маршрутных схем линии с указанием пересадок на станции других линий.
На порталах лестниц в пешеходные переходы, примыкающие к подземным вестибюлям станций, на павильонах над лестничными сходами, на наземных вестибюлях и лифтовых павильонах устанавливать светящиеся символы - букву "М" - и текст названия станции.
5.3.25
Для транспортировки крупногабаритного оборудования эскалаторов из машинного помещения на поверхность земли или на путь линии предусматривать ходки и шахту с подъемно-транспортным устройством грузоподъемностью не менее веса главного вала эскалатора и площадкой для обслуживания этого устройства.
При расположении выхода шахты на поверхность земли в месте, удобном для подъезда автотранспорта и проведения такелажных работ, допускается доставка оборудования через шахту с помощью крана. Конструкция выхода должна быть сборно-разборной и иметь гидроизоляцию.
Для транспортировки оборудования через вестибюль или средний зал станции в перекрытии машинного зала предусматривать съемные плиты перекрытия, а для мелкого оборудования - люк размерами не менее 1,5х2,0 м.
При проектировании демонтажные шахты оформлять, при технической возможности, в виде киосков со съёмным перекрытием.
5.3.26
На станциях метрополитена предусматривать обходные кабельные тоннели, рассчитанные на прокладку основного потока кабелей. Эти тоннели необходимо соединять с пристанционными сооружениями и перегонными тоннелями.
Обходные кабельные тоннели в местах соединения с пристанционными сооружениями и перегонными тоннелями должны иметь противопожарные перегородки и двери согласно 5.16.
В обходных кабельных тоннелях предусматривать не менее одной перегородки; длина отсека, выделяемая перегородками, должна быть не более 150 м.
5.4.1
Перегонные тоннели в зависимости от глубины заложения, инженерно-геологических условий, типа принятых конструкций обделки и способов сооружения могут приниматься однопутными либо двухпутными, кругового, подковообразного или прямоугольного очертания. Они должны иметь внутренние размеры, обеспечивающие пропуск поездов в соответствии с требованиями ГОСТ 23961, а также размещение в них путевых устройств, служебных мостиков, оборудования, светильников, кабельных коммуникаций и др.
В устойчивых грунтах возможно применение тоннелей подковообразного очертания.
5.4.2
Расположение и внутренние размеры притоннельных сооружений производственного назначения, дополнительных выходов на поверхность земли и зон коллективной защиты пассажиров, а также проходов между однопутными перегонными тоннелями должны устанавливаться исходя из их назначения с учетом технологических и эксплуатационных требований, градостроительной ситуации и обеспечения пожарной безопасности.
5.4.3
При расположении перекрытия тоннелей выше глубины промерзания предусматривать его теплоизоляцию с защитой от увлажнения и механических повреждений. На припортальных участках, где в наиболее холодный месяц температура внутреннего воздуха будет ниже 0 °С, теплоизоляцию допускается не предусматривать.
Материал и толщину изоляции принимать по расчету.
Порталы тоннелей, выходящих на поверхность земли, оборудовать воздушными или воздушно-тепловыми завесами (см. 5.8.1.2.19).
На открытых наземных участках линий следует предусматривать освещение и сплошное ограждение высотой не менее 2,5 м.
5.4.4
В тоннелях, перед примыканием к ним притоннельных сооружений, предусматривать служебные мостики.
5.4.5
Внутреннюю поверхность чугунных тюбингов обделок тоннелей покрывать водостойкими негорючими составами светлых тонов на длине по 50 м от торцов станций по условиям лучшей видимости машинистам метропоездов.
5.4.6
В тоннелях размещать сигнальные знаки согласно Инструкции [4] и Правилам [5].
5.4.7
Притоннельные сооружения (вентиляционные, водоотливные, водозаборные, канализационные установки, эвакуационные выходы на поверхность земли, другие сооружения производственного назначения) располагать по возможности между перегонными тоннелями. Объемно-планировочные решения притоннельных сооружений определять согласно технологическому назначению и противопожарным требованиям.
5.4.8
Конструкция дверей в притоннельные сооружения, их запирающих и фиксирующих устройств должна быть устойчивой при воздействии на них длительных знакопеременных нагрузок, возникающих от "поршневого" действия поездов и иметь уплотнение в притворах. Открывание дверей должно предусматриваться внутрь помещений.
5.4.9
В перегонных тоннелях предусмотреть установку контейнеров для мусора. Контейнер вставляется в основание стаканного типа, которое закрепляется в путевом бетоне.
5.4.10
Проектирование линий метрополитена должно осуществляться с учетом комплексного использования городской территории, в увязке с предполагаемым примыканием к станциям и тоннелям подземных и наземных объектов городской инфраструктуры. Функционирование этих объектов не должно оказывать отрицательного влияния на обеспечение безопасности на объектах метрополитена.
5.4.11
Системы инженерного обеспечения и пожарной безопасности объектов городской инфраструктуры должны быть полностью независимы от соответствующих систем метрополитена.
5.4.12
Ограждающие конструкции объектов городской инфраструктуры и примыкающие к ним конструкции метрополитена рекомендуется проектировать и сооружать одновременно, внутренние конструкции и инженерное оборудование - в соответствии с установленными сроками ввода их в эксплуатацию.
5.5.1 Общие положения
5.5.1.1
При новом проектировании и реконструкции объектов метрополитена следует предусматривать для инвалидов и граждан других маломобильных групп населения (МГН) технические средства беспрепятственного передвижения в пассажирских зонах в соответствии с требованиями нормативных и инструктивных документов, приведённых в Приложении 2А.
5.5.1.2
Система средств информационной поддержки должна быть обеспечена на всех путях движения, доступных для МГН на все время эксплуатации. В системе визуальной информации пассажиров следует предусматривать световые и цветовые указатели и символы, а также электронные табло с изменяемой информацией.
5.5.1.3
На станциях следует предусматривать технические устройства для доставки инвалидов с поверхности на уровень пассажирской платформы (лифты на станциях мелкого заложения, наклонные самодвижущиеся платформы, пандусы и др.).
5.5.2 Входы и пути движения
5.5.2.1
На каждой станции или ином объекте метрополитена, предназначенном для пассажиров, должен быть как минимум один вход, приспособленный для МГН, с поверхности земли и из каждого доступного для МГН подземного или надземного перехода, соединенного с этой станцией или другим пассажирским объектом.
5.5.2.2
На пути следования инвалидов необходимо предусматривать возможность беспрепятственного прохода и проезда инвалидных колясок, перила, специальные турникеты, двери необходимой ширины с фиксированным открыванием.
5.5.2.3
Тактильные средства, выполняющие предупредительную функцию на покрытии пешеходных путей на прилегающем к объекту метрополитена участке, следует размещать не менее чем за 0,8 м до начала опасного участка, изменения направления движения, входа и т.п. Правила применения, назначение, место расположения тактильных средств должны соответствовать требованиям ГОСТ Р 52875-2007.
5.5.2.4
Продольный уклон пути движения, по которому возможен проезд инвалидов на креслах-колясках, как правило, не должен превышать 5%. В исключительных случаях допускается увеличивать продольный уклон до 8% на протяжении не более 10 м. Поперечный уклон пути движения следует принимать в пределах 1-2 %.
5.5.2.5
На путях движения МГН не допускается применять вращающиеся двери и вращающиеся турникеты.
5.5.2.6
В каждом ряду турникетов входа/выхода метрополитена следует предусматривать не менее одного расширенного прохода, позволяющего проезд кресла-коляски.
5.5.2.7
Прозрачные двери и ограждения следует выполнять из ударопрочного материала. На прозрачных полотнах дверей следует предусматривать яркую контрастную маркировку желтого цвета в виде прямоугольника высотой не менее 0,1 м и шириной не менее 0,2 м или круга диаметром 0,15 м, расположенную на уровне не ниже 1,2 м не выше 1,5 м от поверхности пешеходного пути.
5.5.2.8
Ширина дверных и открытых проемов в стене должна быть не менее 0,9 м. Дверные проемы, как правило, не должны иметь порогов и перепадов высот пола. При необходимости устройства порогов их высота или перепад высот не должен превышать 0,025 м.
5.5.2.9
Глубина пространства для маневрирования кресла-коляски перед дверью при открывании «от себя» должна быть не менее 1,2 м, а при открывании «к себе» - не менее 1,5 м при ширине не менее 1,5 м.
5.5.2.10
При наличии контроля на входе следует предусматривать контрольные устройства, приспособленные для пропуска тех категорий инвалидов, для которых будет доступен данный объект.
5.5.2.11
Участки пола на путях движения на расстоянии 0,6 м перед дверными проемами и входами на лестницы и пандусы, а также перед поворотом коммуникационных путей должны иметь предупредительную рифленую и/или контрастно окрашенную поверхность. Тактильные поверхности покрытий полов должны обеспечивать возможность их быстрого распознавания, а также уборки (очистки). Они не должны самопроизвольно сдвигаться, зацепляться и задираться обувью или средствами реабилитации. Правила применения, назначение, место расположения тактильных средств должны соответствовать требованиям ГОСТ Р 52875-2007.
5.5.2.12
Покрытие участка платформ шириной 60 см от края предусматривать термообработанным гранитом с шероховатой поверхностью. На расстоянии 60 см от края платформы укладывать полосу из контрастного материала шириной 10 см, на расстоянии 120 см - полосу гранита с шероховатой поверхностью со снятыми фасками, выступающую на 5 мм из плоскости пола для обеспечения ориентации на платформе слабовидящих и слепых пассажиров.
5.5.3 Лестницы и пандусы
5.5.3.1
Подземные переходы метрополитена следует, как правило, оборудовать пандусами или подъемными устройствами для инвалидов и других МГН. Ширина одностороннего пандуса должна быть не менее 1.3 м, двустороннего – 1.8м. В исключительных случаях допускается предусматривать винтовые пандусы.
5.5.3.2
Пандус должен выполняться из материала с шероховатой текстурой поверхности. По обеим сторонам пандуса следует предусматривать поручни и ограждения. Поручни пандусов следует, как правило, располагать на высоте 0,7 и 0,9 м, отстоящие от стены на 40 мм, круглого или прямоугольного сечения, удобного для охвата рукой.
5.5.3.3
Лестницы на путях следования инвалидов и других МГН должны по обе стороны оборудоваться поручнями. Поручни следует предусматривать, как правило, на высоте 0.7- 0,9 м, отстоящие от стены на 40 мм, круглого или прямоугольного сечения, удобного для охвата рукой.
Поручни должны быть непрерывными по всей высоте лестницы или пандуса. Концы поручней должны быть округленными и гладкими, исключающими травмирование.
Поручни пандусов и лестниц должны соответствовать техническим требованиям к опорным стационарным устройствам по ГОСТ Р 51261-99.
5.5.3.4
Лестницы могут дублироваться не только пандусами, но и другими средствами подъема (платформами подъемными для инвалидов, лифтами и т.п.).
5.5.3.5
Ступени лестниц на путях движения инвалидов и других МГН должны быть ровными, без выступов, иметь шероховатую структуру, препятствующую скольжению. Край первых ступеней лестниц при спуске и подъеме, в том числе крайних ступеней между площадками на лестничных маршах, необходимо выделять полосами яркой контрастной окраски желтого цвета.
5.5.4 Лифты и подъемники
5.5.4.1
Лифт на платформу станции при технической возможности следует предусматривать непосредственно с поверхности земли в наиболее доступном для инвалидов месте. Над входом в лифт необходимо устраивать павильон или встраивать его в другие здания или сооружения.
При отсутствии возможности предусмотреть лифт с поверхности земли на платформу, на станциях мелкого заложения следует предусматривать лифт на платформу станции с уровня кассового зала вестибюля, а на лестницах с каждой стороны пешеходного перехода, примыкающего к вестибюлю с лифтом, устанавливать платформы подъемные для инвалидов или лифты рядом с лестницей.
5.5.4.2
На станциях глубокого заложения при наличии технической возможности необходимо предусматривать лифт с поверхности земли в уровень платформы или в коридор, размещаемый в промежуточном уровне, и платформу подъемную для инвалидов из коридора на платформу
5.5.4.3
Выбор и установку лифтов и платформ подъемных для инвалидов следует предусматривать в соответствии с требованиями ГОСТ Р 51631-2008 и ГОСТ Р 51630-2000.
5.5.4.4
Во всем остальном, что не предусмотрено техническими требованиями настоящего раздела по обеспечению доступности для инвалидов и других маломобильных групп населения, следует руководствоваться действующим законодательством и нормативными документами , основные из которых приведены в Приложении 2А.
5.6.1 Основные несущие конструкции
5.6.1.1
Ограждающие и внутренние несущие конструкции подземных сооружений, а также материалы архитектурной отделки должны отвечать требованиям прочности, долговечности, пожарной безопасности, устойчивости к различным воздействиям внешней среды.
5.6.1.2
Тип обделки принимать на основе сравнения различных их вариантов. При этом учитывать совместную работу обделок с окружающим грунтом и предусматривать меры, исключающие отрицательное влияние строительства на здания, коммуникации и другие сооружения и устройства городской инфраструктуры.
5.6.1.3
Обделки должны быть замкнутыми и состоять из сборных железобетонных или чугунных элементов , из монолитного бетона , железобетона или набрызгбетона.
5.6.1.4
Подземные сооружения должны быть защищены от проникновения поверхностных, грунтовых и других вод и жидкостей.
Дренирование грунтовых вод в тоннель не допускается.
5.6.1.5
При проектировании сооружений, возводимых закрытым способом, в следующих условиях предусматривать обделки из чугунных тюбингов:
- в несвязных водоносных грунтах и слабых (текучих, текуче-пластичных и мягкопластичных) глинистых грунтах;
- в водоносных грунтах с гидростатическим давлением на конструкцию свыше 0,15 МПа (1,5 кгс/см2);
- при притоках воды в забой свыше 20м3/ч;
- для вентиляционных шахт и тоннелей, эксплуатируемых при знакопеременных температурах, а также для перегонных тоннелей по 150м в обе стороны от примыкания венттоннелей;
- в непосредственной близости от других сооружений метрополитена, путей железных дорог, трамвайных линий, а также коммуникаций и сооружений подземного хозяйства, когда применение нечугунной обделки создает опасность их повреждения;
- на отдельных участках длиной менее 25м, когда это вызывается технической необходимостью, связанной с производством работ (прорезные кольца, монтажные камеры, короткие притоннельныесооружения и др.) или с укладкой проемных колец в местах примыкания притоннельных сооружений.
Обделки перегонных тоннелей из чугунных тюбингов необходимо предусматривать внутренним диаметром не менее 5,1 м за исключением переходных участков с глубокого на мелкое заложение и участков тоннелей, сооружаемых методом продавливания, где следует предусматривать обделки внутренним диаметром не менее 5.6м.
5.6.1.6
Сборные обделки смежных станционных и других расположенных в зоне взаимного влияния тоннелей, в нескальных грунтах, а также тоннелей, располагаемых на расстоянии менее 2м от подстилающих водоносных песчаных или слабых глинистых грунтов, должны иметь конструктивные связи растяжения.
5.6.1.7
При проектировании тоннелей в несвязных водоносных или слабых глинистых грунтах, на переходных участках сборные обделки следует предусматривать внутренним диаметром не менее 5.4м с продольными и поперечными связями растяжения и перевязкой швов.
5.6.1.8
Сборную унифицированную железобетонную обделку наружным диаметром 5,5м допускается применять при гидростатическом давлении на конструкцию не выше 0,05 МПа (0,5 кгс/см2
).
5.6.1.9
Эскалаторные тоннели следует предусматривать из чугунных тюбингов или высокоточных железобетонных элементов с продольными и поперечными связями растяжения и перевязкой швов.
5.6.1.10
Внутренние несущие конструкции станций и других подземных сооружений предусматривать, как правило, из монолитного или сборного железобетона. Применение стальных конструкций допускается в сооружениях, возводимых закрытым способом для:
- станционных колонн и перемычек, прогонов, затяжек и элементов их соединений;
- гидроизоляции наиболее ответственных узлов конструкций;
- сопряжений сборных обделок тоннелей различных диаметров;
- отдельных элементов реконструируемых сооружений в сложных инженерно-геологических условиях.
5.6.2 Материалы
5.6.2.1
Материалы для обделок и их гидроизоляции, для внутренних строительных конструкций, а также отделочные материалы должны отвечать требованиям прочности, долговечности, пожарной безопасности, устойчивости к химической агрессивности грунтовых вод, другим видам агрессивного воздействия внешней среды, в том числе воздействию микроорганизмов, не выделять токсичных соединений в условиях строительства и эксплуатации сооружений.
5.6.2.2
Бетонные и железобетонные несущие конструкции предусматривать из тяжелых бетонов по ГОСТ 26633. При соответствующем обосновании допускается применение бетонов плотностью не ниже 1600 кг/м3
на искусственных и природных пористых заполнителях.
5.6.2.3
Классы бетона по прочности на сжатие для обделок, их элементов и внутренних бетонных и железобетонных конструкций принимать не ниже указанных в таблице 5.6.1.
Таблица 5.6.1
| Вид конструкции
|
Класс бетона
|
| Высокоточные железобетонные блоки обделок из водонепроницаемого бетона для закрытого способа работ, предварительно напряженные железобетонные элементы конструкций
|
В40
|
| Обычные железобетонные блоки обделок для закрытого способа работ
|
В30
|
| Железобетонные элементы обделок для открытого способа работ (включая цельносекционные), несущих конструкций "стен в грунте" и внутренних конструкций
|
В25
|
| Железобетонные и бетонные монолитные несущие "стены в грунте" и обделки, бетонные монолитно-прессованные обделки
|
В20
|
| "Стены в грунте" для крепления котлованов, внутренние монолитные железобетонные конструкции, бетонные подготовки под гидроизоляцию
|
В15
|
| Путевой бетонный слой верхнего строения пути
|
В15
|
| Жесткое основание пути, бетонное основание под полы, бетон для водоотводящих и кабельных лотков
|
В15
|
5.6.2.4
Проектную марку бетона обделок по водонепроницаемости принимать по таблице 5.20.1.
5.6.2.5
Проектную марку бетона обделок и внутренних конструкций по морозостойкости в зонах знакопеременных температур принимать по таблице 5.20.2.
При отсутствии знакопеременных температур проектные марки бетона по морозостойкости не должны быть ниже F100.
5.6.2.6
Железобетонные водосборники (зумпфы ВОУ, ямы для очистки ног) выполнять без внутренней гидроизоляции из бетона класса не ниже В25, марки по водонепроницаемости W10, марки по морозостойкости F300 в солях. При обосновании, допускается применение бетонов по пп. 5.6.2.4 и 5.6.2.5 с устройством внутренней гидроизоляции с усиленной защитой от механических воздействий.
5.6.2.7
Для армирования железобетонных конструкций применять арматуру по СНиП 52-01.
5.6.2.8
Характеристики чугуна тюбинговых обделок из серого литейного чугуна должны соответствовать ГОСТ 1412, из высокопрочного чугуна - ГОСТ 7293.
5.6.2.9
Нормативные и расчетные сопротивления проката для стальных конструкций и отливок из серого чугуна разных марок принимать по СНиП II-23.
5.6.3 Обделки и гидроизоляция
5.6.3.1
Конструкция обделок при закрытом способе работ
5.6.3.1.1
При закрытом способе работ обделки должны быть кругового или сводчатого очертания. Очертания стен и сводов при наличии бокового давления, пучения грунтов или гидростатического давления должны определяться расчетом.
Пустоты за обделкой заполнять твердеющими составами в соответствии с ВСН 132 [6] или обеспечивать силовое прижатие монтируемых колец обделки к грунту.
5.6.3.1.2
Элементы сборных обделок должны иметь по внутреннему контуру фальцы, образующие в собранной обделке чеканочные канавки. При герметизации стыков упругими резиновыми прокладками или прокладками из других материалов на боковых поверхностях элементов предусматривать пазы.
5.6.3.1.3
Устройство однослойных обделок из набрызгбетона допускается в малообводненных скальных грунтах в сочетании с арматурной сеткой, анкерами, металлическими арками или при условии армирования набрызгбетона фибрами.
5.6.3.1.4
Размеры монолитных и сборных железобетонных обделок следует назначать по расчёту, из условий выполнения требований СНиП 52-01.
Элементы бетонных и железобетонных обделок должны иметь толщину не менее, мм:
а) железобетонные блоки сплошного сечения - 150;
б) ребра и спинки ребристых железобетонных блоков - 60;
в) своды и стены из монолитного бетона и железобетона - 200;
г) своды и стены из набрызгбетона - 100.
5.6.3.1.5
При раскрытии выработок в скальных грунтах по частям возможно применение обделок в виде свода переменной жесткости (с выносными пятами) из монолитного бетона, опирающегося одновременно на облегченные стены и на грунт.
5.6.3.1.6
Монолитные железобетонные конструкции и рамы сопряжения обделок закрытого способа работ проектировать, как правило, с внутренней металлической изоляцией, заанкеренной в бетон обделки.
Конструкцию металлоизоляции назначать в зависимости от гидростатического давления и в соответствии с инструкцией Главтоннельметростроя [34].
Толщину листа металлоизоляции назначать не менее 8 мм. Для торцевых стен – не менее 10 мм.
5.6.3.1.7
Для сооружений, эксплуатируемых в условиях гидростатического давления свыше 0,3 МПа или знакопеременных температур, могут применяться сборно-монолитные сталебетонные обделки в виде блоков металлоизоляции с арматурными каркасами, бетонируемыми после их монтажа.
5.6.3.1.8
При сооружении тоннелей способом продавливания применять обделки кругового очертания из чугунных тюбингов или обделки в виде цельных секций (жестких рамных конструкций) прямоугольного очертания из монолитного железобетона.
Железобетонные секции заводского изготовления предусматривать максимальной длины, определяемой возможностями транспортного и грузоподъемного оборудования. Секции, изготовляемые непосредственно на строительной площадке, могут иметь длину до 20-30 м и более.
Для объединения цельных секций в продольном направлении использовать сварку выпусков арматуры, болтовые скрепления закладных деталей в пазах по торцам секций или соединение и обжатие продольной преднапряженной арматурой.
5.6.3.1.9
В обделках из монолитного бетона предусматривать деформационные швы через 30 м, из монолитного железобетона - 40 м. В обделках из сборных элементов с омоноличенными стыками через 60 м.
5.6.3.2
Конструкции обделок при открытом способе работ
5.6.3.2.1
Обделки тоннелей при открытом способе работ предусматривать в виде одно-, двух-, трех- или многопролетных замкнутых рам либо в виде сводчатых конструкций из сборного, монолитного или сборно-монолитного железобетона. Преимущественно рекомендуется применять обделки прямоугольного очертания.
5.6.3.2.2
В качестве сборных конструкций, возводимых в открытом котловане, использовать типовые обделки, состоящие из блоков перекрытия, стеновых, фундаментных и лотковых блоков, подколонников, колонн и прогонов. Модификации типовых конструкций осуществлять путем изменения конфигурации, размеров и типов отдельных блоков.
Объединение сборных элементов в рамную конструкцию предусматривать сваркой выпусков арматуры или закладных деталей, бетонированием зазоров, заполнением швов безусадочным цементным раствором.
При пролетах перекрытия длиной более 12 м целесообразно применять предварительно напряженные железобетонные балки Т-образного или коробчатого сечения.
5.6.3.2.3
Обделки тоннелей при слабом грунтовом основании (пылеватые и мелкие водоносные пески, слабые глинистые грунты) предусматривать с предварительным устройством распределительной железобетонной плиты толщиной не менее 30 см, если состояние грунтов не требует проведения специальных работ, предотвращающих осадки конструкции.
5.6.3.2.4
При наличии соответствующей производственной базы рамные конструкции обделок перегонных тоннелей возможно применять в виде цельных секций. При преодолении водных преград возможно использовать обделку из погружных секций.
5.6.3.2.5
Конструкции, возводимые с применением технологии траншейных стен в грунте, выполнять по СТО-ГК "Трансстрой" 014 [7].
5.6.3.2.6
Конструкции открытого способа работ следует разделять сквозными вертикальными деформационными швами. Расстояние между швами должно быть не более 60 м. При назначении мест устройства деформационных швов дополнительно учитывать:
- изменение типа конструкции;
- изменение вида грунта в основании;
- резкое изменение нагрузок на конструкцию.
Детали архитектурной отделки станций также должны иметь швы по линии деформационных швов конструкций.
5.6.3.2.7
При строительстве тоннельных сооружений в сейсмических районах расстояние между деформационными швами определять расчетом [8].
5.6.3.3
Гидроизоляция обделок
5.6.3.3.1
Необходимость устройства гидроизоляции и ее тип для обделок разных видов определяются инженерно-геологическими условиями строительства, величиной гидростатического давления, наличием агрессивных воздействий внешней среды, типом обделки, возможностями обеспечения водонепроницаемости бетона при принятой технологии ведения строительных работ, другими производственными условиями.
5.6.3.3.2
Конструкции тоннелей, сооружаемых открытым способом, должны иметь сплошную наружную гидроизоляцию по всему контуру.
При наличии естественного стока воды под тоннелем в качестве дополнительной защиты его от воды использовать пристенный дренаж. В случае недостаточной фильтрационной способности грунтов основания предусматривать устройство под лотковой частью тоннеля пластового дренажа с водоотводом.
5.6.3.3.3
Гидроизоляцию из битумно-полимерных и полимерных материалов (наплавляемую, распыляемую, оклеечную, мембранного типа и др.) при открытом способе производства работ предусматривать из материалов, соответствующих требованиям таблицы 5.6.2 и ГОСТ 30547.
Таблица 5.6.2
| Наименование показателя
|
Показатели для материалов
|
| битумно-полимерных (на полимерной основе)
|
полимерных (безосновных)
|
| Условная прочность, МПа, не менее
|
Не нормируется
|
10,0
|
| Разрывная сила при растяжении, Н, не менее
|
600
|
Не нормируется
|
| Водопоглощение в течение 24 час, % по массе, не более
|
1,0
|
1,0
|
| Водонепроницаемость при гидростатическом давлении, МПа, не менее
|
0,2
|
0,3
|
| Температура хрупкости вяжущего, °С, не выше
|
Минус 25
|
Минус 50
|
| Гибкость на брусе с закруглением радиусом 10,0±0,2 мм, не выше
|
Минус 15
|
Минус 40
|
| Теплостойкость, °С в течение 2 час, не ниже
|
85
|
85
|
| Относительное удлинение при разрыве, %, (1)
|
30-40
|
150-200
|
| Адгезия к бетону, МПа, не менее, (2)
|
0,5
|
0,5
|
| Химическая стойкость (снижение условной прочности и относительного удлинения или разрывной силы при воздействии солей, кислот, щелочей, бензина, минеральных масел и др.), %, не более, (3)
|
10
|
10
|
| Примечания:
1. Определяется условиями эксплуатации тоннеля.
2. За исключением гидроизоляционных мембран, не имеющим адгезии к ж/б конструкциям.
3. Для гидроизоляции тоннельных конструкций, подверженных воздействию агрессивных сред.
|
5.6.3.3.4
В лотковой части гидроизоляцию укладывать на бетонную подготовку (класс бетона не ниже В15) толщиной не менее 10см с выравнивающей стяжкой из цементно-песчанного раствора или мелкозернистого бетона.
В местах устройства деформационных швов для наружной гидроизоляции предусматривать компенсаторы, а в качестве дополнительной гарантии водонепроницаемости обделки - применение гидрошпонок или иных конструкций.
При устройстве гидроизоляции, предварительно наносимой на поверхность элементов сборной обделки, предусматривать надежные способы соединения гидроизоляции отдельных элементов в процессе их монтажа и защиты ее в процессе строительства от повреждений.
5.6.3.3.5
Гидроизоляционное покрытие должно быть надежно защищено от возможных механических повреждений. Защиту покрытия гидроизоляции предусматривать с учетом условий эксплуатации подземного сооружения, его конструктивных особенностей, технологии ведения строительных работ и вида применяемого гидроизоляционного материала.
Защитные покрытия для лотковой части и перекрытия сооружения предусматривать из мелкозернистого бетона класса не ниже В25 толщиной 4-10 см. Защитный слой на перекрытии армировать сетками из арматурной стали с ячейками 100х100 или 150х150 мм.
Гидроизоляцию по стенам сооружения защищать кирпичной стенкой, набрызг-бетоном по сетке, полимерными профилированными мембранами или другими эффективными материалами.
5.6.3.3.6
Гидроизоляцию "стен в грунте", используемых в качестве несущих конструкций в обводненных грунтах, допускается осуществлять металлическими листами толщиной не менее 10 мм.
5.6.3.3.7
При сооружении тоннелей закрытым способом по технологии НАТМ сплошную гидроизоляцию заключать между временной наружной набрызгбетонной и внутренней железобетонной несущей конструкцией тоннеля.
5.6.3.3.8
Гибкую гидроизоляцию, устраиваемую, при необходимости, с внутренней стороны обделки, защищать железобетонной "рубашкой", рассчитанной на восприятие ожидаемого гидростатического давления. При этом обеспечивать плотное прижатие внутренней железобетонной конструкции к гидроизоляции.
5.6.3.3.9
В сборных железобетонных и чугунных обделках тоннелей закрытого способа работ должна быть обеспечена герметизация швов между элементами обделки, болтовых отверстий (при чугунной обделке) и отверстий для нагнетания постановкой упругих уплотнителей или чеканкой в соответствии с ВСН 130 [9] и инструкцией Главтоннельметростроя [34].
5.6.4 Нагрузки и воздействия
5.6.4.1
Виды нагрузок и воздействий
5.6.4.1.1
Нагрузки и воздействия по продолжительности их действия на обделки тоннелей подразделять по СНиП 2.01.07 на постоянные и временные (длительные, кратковременные и особые).
5.6.4.1.2
К постоянным нагрузкам и воздействиям относить:
- вес насыпного грунта, горное давление;
- гидростатическое давление;
- собственный вес конструкций;
- вес зданий и сооружений, находящихся в зонах их воздействия на подземную конструкцию;
- сохраняющиеся усилия от предварительного обжатия обделки.
5.6.4.1.3
К временным длительным нагрузкам и воздействиям относить:
- силы морозного пучения грунта;
- вес стационарного оборудования;
- сезонные температурные воздействия, воздействия усадки и ползучести бетона и некоторые другие по СНиП 2.01.07;
- усилия от предварительного обжатия обделки.
К кратковременным нагрузкам относить:
- нагрузки и воздействия от внутритоннельного и наземного транспорта;
- нагрузки и воздействия в процессе сооружения тоннеля: от давления щитовых домкратов, от нагнетания раствора за обделку, от усилий, возникающих при подаче и монтаже элементов сборных конструкций, от воздействия веса проходческого и другого строительного оборудования и некоторые другие, определяемые особенностями производства работ.
5.6.4.1.4
К особым воздействиям и нагрузкам относить сейсмические и взрывные воздействия, температурные воздействия, воздействия от сдвиговых деформаций грунтового массива и некоторые другие особые нагрузки по СНиП 2.01.07, которые могут иметь отношение к проектируемому объекту.
5.6.4.2
Постоянные нагрузки и воздействия
5.6.4.2.1
Вертикальные и горизонтальные нагрузки от веса насыпного грунта при открытом способе работ, от давления грунта при закрытом способе работ или от других постоянных нагрузок, действующих в пределах всего пролета или всей высоты сооружения или выработки, при расчетах тоннельных обделок допускается принимать как равномерно распределенные.
5.6.4.2.2
Для объектов, сооружаемых открытым способом, величину нормативной вертикальной нагрузки от насыпного грунта принимать в соответствии с давлением всей его толщи над сооружением с учетом веса наземных зданий и других сооружений, строительство которых предусмотрено над данным объектом или в пределах призмы обрушения грунта.
5.6.4.2.3
Нормативные вертикальные и горизонтальные нагрузки на обделки тоннелей, сооружаемых закрытым способом, определять по результатам инженерно-геологических изысканий с учетом возможности образования в грунтах самонесущего свода (рисунок 1).
Рисунок 1 - Схема для расчета высоты свода обрушения
5.6.4.2.4
В неустойчивых грунтах, в которых сводообразование невозможно (водонасыщенные несвязные и слабые глинистые грунты), нагрузки принимать с учетом давления всей толщи грунтов над тоннельным сооружением. Нормативную вертикальную и горизонтальную нагрузки q
H
и p
H
, кН/м2
, определять в таких случаях по формулам:
;
,
где Yi
- нормативная плотность грунта соответствующего слоя напластования, кН/м3
;
Hi
- толщина соответствующего слоя напластования, м;
n
- число слоев напластований;
- кажущийся угол внутреннего трения грунта в уровне сечения тоннеля, градус.
Такие же нагрузки принимать и при наличии сводообразования, если расстояние от вершины свода обрушения до земной поверхности или до контакта с неустойчивыми грунтами меньше высоты свода обрушения.
5.6.4.2.5
Нормативные равномерно распределенные нагрузки: вертикальную - q
H
и горизонтальную - p
H
, кН/м2
, в условиях сводообразования для однородной толщи грунта определять по формулам:
;
,
где h1
- высота свода обрушения над верхней точкой обделки, м (рисунок 1), определяемая по пп. 5.6.4.2.6 и 5.6.4.2.7;
- нормативная плотность грунта, кН/м3
;
h
- высота выработки, м;
- нормативный (кажущийся) угол внутреннего трения грунта в уровне сечения тоннеля, градус.
5.6.4.2.6
Высоту свода обрушения h1
над верхней точкой обделки в условиях сводообразования (рисунок 1) для нескальных необводненных грунтов определять по формуле:
,
где L
- величина пролета свода обрушения, определяемая по формуле:
;
f
– коэффициент крепости, принимаемый на основании геологических изысканий. Допускается данный коэффициент принимать по таблице 5.6.3;
b
- величина пролета выработки, м.
Таблица 5.6.3
| Вид грунта в сечении и кровле выработки
|
Коэффициент f
|
| Глины твердые литифицированные (сланцеватые, аргиллитоподобные, мергелистые и т.п.)
|
1,0
|
| Глины твердой консистенции переуплотненные типа верхнекаменноугольных или протерозойских
|
0,9
|
| Крупнообломочные грунты с супесчано-песчаным заполнителем плотные, глины и суглинки твердой консистенции
|
0,8
|
| Пески плотные маловлажные или супесчано-суглинистые грунты
|
0,7
|
| Глины и суглинки полутвердой консистенции
|
0,6
|
Высоту свода обрушения h
1
над верхней точкой обделки для тоннелей, сооружаемых в глинистых грунтах на глубине более 45 м, принимать с коэффициентом К
=Н
/45, где Н
- глубина заложения тоннеля от поверхности земли до низа тоннельной обделки, м.
При заложении тоннелей в глинистых грунтах, прочность которых уменьшается под влиянием поступающих подземных вод, высоту свода обрушения h
1
увеличивать в пределах до 30%.
Примечание - Для трехсводчатых станций за величину пролета выработки “b
” принимается суммарная ширина станционных выработок.
5.6.4.2.7
Высоту свода обрушения h
1
над верхней точкой обделки в условиях сводообразования для скальных грунтов определять по формулам:
а) для скальных грунтов, оказывающих вертикальное и горизонтальное давление:
,
б) для скальных грунтов, оказывающих только вертикальное давление:
,
где R
- предел прочности грунта на сжатие "в куске" (образце), МПа;
- коэффициент, учитывающий влияние трещиноватости массива, принимаемый по таблице 5.6.4 исходя из предела прочности грунта на сжатие "в куске" и категории массива по степени трещиноватости, которая определяется в зависимости от трещинной пустотности и густоты трещин (среднего расстояния между трещинами наиболее развитой их системы) по таблице 5.6.5 и дополнительных характеристик трещиноватости по СН 484 [10].
Таблица 5.6.4
| Категория массива скальных грунтов по степени трещиноватости
|
Коэффициент при пределе прочности грунта "в куске" на сжатие, МПа
|
| 10
|
20
|
40
|
80
|
160
|
| I - практически нетрещиноватые
|
1,7
|
1,4
|
1,2
|
1,1
|
1,0
|
| II - малотрещиноватые
|
1,4
|
1,2
|
1,0
|
0,9
|
0,8
|
| III - среднетрещиноватые
|
1,2
|
0,9
|
0,7
|
0,6
|
0,5
|
| IV - сильнотрещиноватые
|
0,9
|
0,7
|
0,5
|
0,4
|
0,3
|
| V - раздробленные (разборная скала)
|
0,7
|
0,4
|
0,3
|
0,2
|
0,1
|
Таблица 5.6.5
| Трещинная пустотность, %
|
Категория грунтов при густоте трещин, м
|
| очень редкой (более 1,0)
|
редкой (1,0-0,3)
|
густой (0,3-0,1)
|
очень густой (менее 0,1)
|
| Малая - менее 0,3
|
I
|
II
|
III
|
IV
|
| Средняя - 0,3-1,0
|
II
|
III
|
IV
|
V
|
| Большая - 1,0-3,0
|
III
|
IV
|
V
|
V
|
| Очень большая - более 3,0
|
IV
|
V
|
V
|
V
|
| Примечания:
1 При определении трещинной пустотности рыхлый или глиноподобный материал заполнения трещин не учитывается.
2 При большой и очень большой трещинной пустотности и одновременно хорошо выраженной расчлененности массива на блоки по степени трещиноватости его относить к V категории (раздробленным) вне зависимости от густоты трещин.
3 В условиях ожидаемого полного нарушения сплошности скальных грунтов в результате интенсивного их расслоения (кливаж) грунты относить к V категории.
4 При наличии поверхностей скольжения категорию грунта по степени трещиноватости повышать на одну ступень.
5 При трещинах, залеченных частично твердым (кристаллическим) материалом, категорию грунта по степени трещиноватости понижать на одну ступень, а при полностью залеченных трещинах - принимать по I категории.
|
Наличие горизонтального давления скального грунта устанавливается по опыту строительства в аналогичных условиях. При отсутствии аналогов расчет обделки выполнять в двух вариантах: при наличии горизонтального давления и без него.
5.6.4.2.8
Полученную по формулам п.5.6.4.2.7 высоту свода обрушения скальных грунтов корректировать умножением ее на коэффициенты, учитывающие влияние следующих факторов:
а) приток воды в выработку для случаев, когда трещины заполнены рыхлым или размокаемым глиноподобным материалом, - 1,2;
б) расположение трещин наиболее развитой их системы под углом к оси тоннеля менее 45° - 1,1;
в) проходка выработок без применения буровзрывных работ - 0,8.
5.6.4.2.9
В случаях когда в грунтовом массиве возможно развитие неблагоприятных для обделки процессов (проявления тектонической напряженности, пучение, ползучесть грунтов, карстово-суффозионные явления) или предполагается значительное изменение свойств или состояния грунтов в результате применения специальных способов производства работ, величины нагрузок на обделки устанавливать на основании специальных исследований.
5.6.4.2.10
При высоте свода обрушения скального грунта менее 1/6 его пролета расчет подземных конструкций выполнять на воздействие вывалов. Вертикальную нагрузку интенсивностью, полученной из условия сводообразования, распределять по площади, соответствующей 1/4 пролета выработки в наиболее невыгодном для работы обделки положении.
5.6.4.2.11
При наличии над тоннельным сооружением в пределах свода обрушения контакта с менее прочным грунтом нагрузку на обделку определять от свода обрушения по параметрам менее прочного грунта, а при наличии слабых грунтов, не обладающих способностью к сводообразованию, - от веса всей вышележащей толщи грунтов.
Если контакт с более слабым грунтом находится в границах от одной до трех высот свода обрушения, значение нормативной вертикальной нагрузки q
H
, кН/м2
, определять по формуле
,
где - нормативная вертикальная нагрузка, полученная от свода обрушения по параметрам менее прочного грунта, или нагрузка от веса всей толщи грунтов над тоннельным сооружением (при наличии в пределах от одной до трех высот свода обрушения слабых грунтов, не обладающих способностью к сводообразованию), кН/м2
;
- нормативная вертикальная нагрузка от грунта, вмещающего тоннель, кН/м2
;
a
- расстояние от вершины свода обрушения до контакта с менее прочным грунтом или со слабым грунтом, не обладающим способностью к сводообразованию, м;
h
1
- высота свода обрушения грунта, вмещающего тоннель, м.
5.6.4.2.12
Величину вертикальной нагрузки от горного давления на обделки параллельных близко расположенных тоннелей при возможности сводообразования определять в зависимости от размеров выработок, размеров и несущей способности целиков между ними, а также технологии производства работ:
а) при условии образования самостоятельного свода обрушения над каждой выработкой - для каждой выработки в отдельности;
б) при условии образования общего свода обрушения над выработками - как для выработки, пролет которой равен сумме пролетов всех выработок и ширины целиков между ними.
5.6.4.2.13
Значение нормативной нагрузки на обделку тоннеля в водонасыщенных несвязных грунтах, содержащих свободную воду, принимать в виде совместного действия гидростатического давления воды и давления грунта во взвешенном состоянии. При этом нормативный объемный вес взвешенного в воде грунта gвзв, кН/м3, определять по формуле
,
где gS
- нормативный объемный вес грунта, определяемый по данным лабораторных исследований, кН/м2
;
Δ - объемный вес воды, принимаемый равным 10 кН/м3
;
e - значение коэффициента пористости грунта, определяемое по опытным данным.
Величину гидростатического давления принимать с учетом наивысшего уровня, который установится после окончания строительства.
5.6.4.2.14
Нагрузку от веса зданий, расположенных над тоннельным сооружением, принимать в зависимости от их этажности в размере 10 кН/м2
(1т/м2
) на один этаж.
При расположении зданий и других наземных сооружений в пределах призмы обрушения грунта учитывать соответствующее увеличение горизонтальной нагрузки.
5.6.4.2.15
Нормативную горизонтальную нагрузку на обделки кругового очертания в глинистых грунтах текучей и пластичной консистенции, водонасыщенных грунтах, а также в грунтах, переходящих в условиях эксплуатации в разжиженное состояние, принимать не более 0,75 величины нормативной вертикальной нагрузки, определяемой в соответствии с весом вышележащей толщи грунтов.
5.6.4.2.16
Нормативную вертикальную нагрузку от собственного веса конструкций определять исходя из проектных размеров конструкций и удельного веса материалов.
5.6.4.2.17
Коэффициенты надежности на постоянные нагрузки при расчетах конструкций обделок по потере несущей способности принимать по таблице 5.6.6.
Таблица 5.6.6
| Вид нагрузки
|
Коэффициент надежности
|
| Вертикальная от давления грунта:
|
| от веса всей толщи грунта над тоннелем;
|
| а)в природном залегании
|
1,1 (0,9)
|
| б) насыпные
|
1,15 (0,9)
|
| от горного давления при сводообразовании для грунтов:
|
| а) скальных
|
1,6
|
| б) глинистых
|
1,5
|
| в) песков и крупнообломочных
|
1,4
|
| от давления грунта при вывалах
|
1,8
|
| Горизонтальная - от давления грунта
|
1,2(0,8)
|
| Гидростатическое давление
|
1,1(0,9)
|
| Собственный вес конструкции:
|
| сборной железобетонной
|
1,1(0,9)
|
| монолитной бетонной и железобетонной
|
1,2(0,8)
|
| металлической
|
1,05
|
| изоляционных, выравнивающих, отделочных слоев
|
1,3
|
| Сохраняющиеся усилия от предварительного обжатия обделки и давления щитовых домкратов
|
1,3
|
Коэффициент надежности по таблице 5.6.6 в скобках принимать в случае, когда уменьшение нагрузки приводит к более невыгодному нагружению обделки.
При расчетах конструкций на прочность и устойчивость для стадии строительства коэффициенты надежности по постоянным нагрузкам принимать равными 1.
5.6.4.2.18
Обделки тоннелей, заложенные ниже прогнозируемого уровня подземных вод, следует рассчитывать на
всплытие на расчетные нагрузки по формуле
,
где åG
- сумма всех постоянных, сопротивляющихся всплытию, вертикальных расчетных нагрузок с минимальными коэффициентами надежности по нагрузке, действующих на длину одного метра тоннеля;
А
- площадь подошвы тоннеля на длину одного метра;
h
w
- расстояние от уровня грунтовых вод до подошвы тоннеля (без учета бетонной подготовки);
gw
- удельный вес воды, равный 1т/м3
;
gf
- коэффициент надежности по нагрузке, принимаемый равным 1,2.
5.6.4.3
Временные и особые нагрузки и воздействия
5.6.4.3.1
Нормативную временную вертикальную и горизонтальную нагрузки на обделки от наземного транспорта, коэффициенты надежности и коэффициенты динамичности принимать по СНиП 2.05.03.
5.6.4.3.2
Нормативную временную вертикальную нагрузку на рельсовый путь (рис. 2) от каждой оси подвижного состава с пассажирами принимать равной 150 кН(15тс).
Рисунок 2 - Схема нагружения от подвижного состава на рельсовый путь
(размеры в метрах)
Нормативную горизонтальную поперечную нагрузку от центробежной силы и ударов подвижного состава, продольную нагрузку от торможения или силы тяги, а также коэффициенты надежности и динамические коэффициенты к этим нагрузкам принимать согласно СНиП 2.05.03.
5.6.4.3.3
Временную нормативную равномерно распределенную нагрузку на платформы станций, лестницы, перекрытия машинных помещений эскалаторов, кассовых залов и другие перекрытия, по которым предусматривается передвижение пассажиров, принимать равной 4 кН/м2
(400 кгс/м2
) с коэффициентом надежности 1,4.
5.6.4.3.4
Временные нагрузки на обделки, возникающие в процессе строительства, определять в соответствии с принятой технологией производства работ с учетом характера воздействия на обделку проходческого, подъемно-транспортного, монтажного или другого оборудования.
Коэффициент надежности по нагрузке к временной нагрузке от давления щитовых домкратов на обделку принимать равным 1,3.
5.6.4.3.5
Воздействие морозного пучения грунта в пределах слоя сезонного промерзания (оттаивания) следует принимать в виде приложенных по периметру сооружения вертикальных касательных сил. Для сооружений на пучинистых грунтах, сезонно промерзающих на глубину до 2,0м, величины сил морозного пучения следует принимать в соответствии с требованиями СНиП 2.02.01. Для сооружений на вечномерзлых грунтах, а также на пучинистых грунтах, сезонно промерзающих на глубину свыше 2,0м, величины сил морозного пучения следует принимать в соответствии с требованиями СНиП 2.02.04.
Коэффициент надежности по нагрузке при определении нагрузки от сил морозного пучения принимать как для нагрузки от горного давления при сводообразовании по таблице 5.6.6.
5.6.4.3.6
Коэффициенты надежности к временной нагрузке для других временных нагрузок или воздействий, которые следует учитывать при проектировании специфических строительных конструкций или по условиям производства работ (вес стационарного оборудования, нагрузка от подвесного кранового оборудования, воздействие усадки и ползучести бетона и др.) и принимать по СНиП 2.01.07.
5.6.4.3.7
Сейсмическое воздействие на тоннельную обделку для сооружений, возводимых в районах (зонах) сейсмичностью 7 баллов и более следует принимать в соответствии с требованиями СНиП II-7 и ВСН 193 [8].
5.6.5 Расчеты конструкций подземных сооружений
5.6.5.1
Расчеты подземных конструкций следует выполнять по предельным состояниям с учетом возможных неблагоприятных сочетаний нагрузок и воздействий на отдельные элементы или сооружение в целом, которые могут действовать одновременно при строительстве или при эксплуатации.
Расчетные схемы конструкций должны в максимальной степени соответствовать условиям работы сооружений и особенностям взаимодействия элементов проектируемой конструкции между собой и грунтом.
5.6.5.2
Расчеты подземных конструкций вести в соответствии с основными положениями ГОСТ 27751 с учетом возможных для отдельных элементов или всего сооружения в целом неблагоприятных сочетаний нагрузок и воздействий, которые могут действовать одновременно при строительстве или при эксплуатации. При этом необходимо рассматривать:
- основные сочетания нагрузок, составляемые из постоянных и временных (длительных и кратковременных) нагрузок и воздействий;
- особые сочетания нагрузок, составляемые из постоянных нагрузок, наиболее вероятных временных и одной из особых нагрузок или воздействий.
Одновременно действующие временные нагрузки учитывать согласно СНиП 2.01.07.
5.6.5.3
Конструкции рассчитывать по предельным состояниям первой и второй групп.
5.6.5.4
Расчеты по предельным состояниям первой группы обязательны для всех конструкций. Их выполняют на основные и особые сочетания нагрузок с применением коэффициентов надежности, коэффициентов сочетаний нагрузок согласно СНиП 2.01.07, коэффициентов условий работы конструкций и расчетных значений прочностных характеристик их материалов, а при необходимости и динамических коэффициентов.
Тоннельные обделки на выносливость не проверяются, за исключением обделок пролетом более 9 метров с минимальной засыпкой над перекрытием менее 1 м , расчет которых ведется по мостовой схеме.
5.6.5.5
Расчеты конструкций, возводимых закрытым способом, по предельным состояниям первой группы выполнять с учетом особенностей их работы:
а) для монолитных бетонных и монолитных железобетонных обделок в необводненных грунтах или при наличии гидроизоляции - возможности образования в наиболее напряженных сечениях пластических шарниров;
б) для чугунных и сборных железобетонных обделок со связями растяжения - податливости стыков и возможности образования пластических шарниров.
При расчетах бетонных и железобетонных обделок применять дополнительный коэффициент условий работы конструкции, равный 0,9, отражающий для монолитных обделок неточность в назначении расчетной схемы, для сборных обделок - деформативность стыков.
5.6.5.6
Расчеты обделок по предельным состояниям второй группы выполнять на основные сочетания нагрузок с использованием коэффициентов надежности по нагрузкам и по условиям работы конструкции, равных 1, и нормативных значений прочностных характеристик материалов.
При расчетах обделок открытого способа работ учитывать следующие требования:
- для железобетонных элементов перекрытий определять величины вертикальных прогибов и раскрытия трещин, при этом величина прогиба от воздействия постоянной и временной вертикальной нагрузок в пределах пролета не должна превышать 1/200L
(L
- длина расчетного пролета) при предельной величине длительного раскрытия отдельных трещин до 0,2 мм, кратковременного - до 0,3мм;
- для железобетонных элементов стен определять величину горизонтальных прогибов и раскрытия трещин, при этом величина прогиба от воздействия постоянной и временной нагрузок для стен подземных сооружений не должна превышать 1/300Н
, для стен рамп - 1/200Н
(Н
- расчетная высота стены) при предельной величине длительного раскрытия отдельных трещин до 0,3, кратковременного до 0,4 мм.
Конструкции кругового очертания, возводимые закрытым способом, на деформативность не проверяются.
Примечание - Расчеты конструкций по предельным состояниям второй группы допускается не проводить, если практика применения аналогичных конструкций или опытная проверка запроектированных конструкций подтверждает, что жесткость их достаточна и конструкции обеспечивают нормальную эксплуатацию сооружений.
5.6.5.7
Железобетонные элементы сборных обделок тоннелей без устройства сплошной гидроизоляции, сооружаемых закрытым способом в обводненных грунтах, рассчитывать на нагрузки с учетом коэффициентов надежности по нагрузке согласно п.5.6.4.2.17 исходя из условия недопущения образования трещин на всех стадиях их работы (изготовление, складирование, транспортирование, монтаж и эксплуатация).
В обделках тоннелей, сооружаемых в необводненных грунтах, а также в обделках с гидроизоляцией по всему их контуру величина длительного раскрытия трещин допускается не более 0,2 мм.
5.6.5.8
Напряженное состояние обделок, усилия в них от горного давления (статические расчеты обделок) всех видов для тоннелей, сооружаемых открытым и закрытым способами, могут выполняться методами строительной механики на заданные нагрузки или методами механики сплошной среды. Расчеты обделок тоннелей на заданные нагрузки проводить с учетом отпора грунтового массива.
5.6.5.9
Предварительные и поверочные (при реконструкции) расчеты конструкций допускается проводить исходя из предпосылки линейной работы материала конструкции и грунтового массива с использованием данных по коэффициенту упругого отпора.
Деформационные характеристики грунтового массива (модуль деформации, коэффициент поперечной деформации, коэффициент упругого отпора) определять на основании данных инженерно-геологических изысканий, натурных и лабораторных исследований, а также данных, полученных при строительстве тоннелей в аналогичных инженерно-геологических условиях. При отсутствии опытных данных коэффициент отпора допускается принимать по таблице 5.6.7.
Таблица 5.6.7
| Грунты в сечении выработки
|
Коэффициент отпора, Н/см3
(кгс/см3
)
|
| при удельном давлении на грунт до 0,4 МПа (4 кгс/см2
)
|
при удельном давлении на грунт свыше 0,4 МПа (4 кгс/см2
)
|
| Скальные средней прочности (временное сопротивление одноосному сжатию в водонасыщенном состоянии 25-40 МПа (250-400 кгс/см2
):
|
| слаботрещиноватые
|
1000-1500 (100-150)
|
1000-1500 (100-150)
|
| сильнотрещиноватые
|
400-600 (40-60)
|
400-600 (40-60)
|
| Скальные средней прочности и малопрочные (временное сопротивление одноосному сжатию в водонасыщенном состоянии 8-25 МПа (80-250 кгс/см2
):
|
| слаботрещиноватые
|
700-1000 (70-100)
|
700-1000 (70-100)
|
| сильнотрещиноватые
|
200-400 (20-40)
|
200-400 (20-40)
|
| Глины твердые ненарушенные
|
150-250 (15-25)
|
80-150 (8-15)
|
| Глины полутвердые или твердые нарушенные
|
100-200 (10-20)
|
50-100 (5-10)
|
| Крупнообломочные, пески плотные
|
70-100 (7-10)
|
50-70 (5-7)
|
В уточненных расчетах учитывать свойства ползучести и нелинейности работы материала конструкции и соответствующие характеристики, полученные экспериментальным путем для окружающего тоннель грунта, с применением метода последовательного нагружения конструкции до предельного состояния.
5.6.5.10
Силы трения и сцепления между тоннельной обделкой и грунтом учитывать (в случаях, когда проектом предусматриваются мероприятия, обеспечивающие надежный контакт обделки с грунтом, кроме случаев заложения тоннеля в слабых грунтах. При этом величины передаваемых на грунт касательных напряжений не должны превышать величин предельных сдвигающих напряжений для грунта.
5.6.5.11
Для сборных обделок тоннелей, в основании которых залегают обводненные мелкие и пылеватые пески или переувлажненные связанные грунты, рекомендуется выполнять проверку прочности кольцевых стыков с учетом воздействия временной нагрузки от движения поездов метрополитена.
Обделку в целом рассчитывать как балку на упругом основании под нагрузкой от проходящего поезда. При скорости поезда до 70 км/ч коэффициент динамичности принимать равным 1, при скорости 70 км/ч и более - 1,1.
5.6.5.12
При расчетах обделок, обжимаемых в грунт, в основном сочетании нагрузок на стадии их монтажа учитывать полное усилие обжатия и временные строительные нагрузки. Для стадии эксплуатации обделок остаточное усилие обжатия учитывать в случае, если оно превышает нормальную силу от горного давления. В противном случае расчет ведется так же, как для необжатых обделок.
5.6.5.13
Стыки бетонных и железобетонных блоков и тюбингов рассчитывать на прочность и трещиностойкость при наиболее неблагоприятном возможном распределении контактных усилий в стыке.
Предельную нормальную силу в цилиндрическом стыке (несущую способность стыка) N
K
, МПа, определять по формуле
,
где R
б
- расчетное сопротивление бетона осевому сжатию, МПа;
b
- ширина блока или тюбинга, м;
h
э
- высота поперечного сечения элемента, м;
e
- возможный эксцентриситет в стыке (при отсутствии данных принимается равным h
э
/30), м.
5.6.5.14
Проверку прочности сечений бетонных и железобетонных обделок проводить по СНиП 52-01.
Проверку прочности сечений чугунных тоннельных обделок по предельным состояниям проводить по СНиП II-23.
5.6.5.15
Ребра элементов сборной обделки, стягиваемые болтами, рассчитывать на прочность и трещиностойкость при предельных усилиях в болтах. Эти усилия вычислять по нормативному сопротивлению болтовой стали с коэффициентом 1,25.
5.6.5.16
Конструкции колонных станций, сооружаемых закрытым способом при последовательном возведении отдельных станционных тоннелей, проверять по расчетным схемам, предусматривающим различные стадии напряженно-деформированного состояния конструкции и отдельных ее частей в процессе строительства.
Стальные колонны проектировать с учетом коэффициента условий работы, равного 0,8, и эксцентриситетов в поперечном и продольном направлениях станции, принимаемых в зависимости от конструкции опорных узлов, см:
а) при шарнирном опирании - 3;
б) при плоском опирании - 10;
в) при опирании через центрирующие прокладки - от 5 до 9 (в зависимости от их размеров);
г) при шарнирах с тангенциальными опорными частями - 2.
При соблюдении мер, исключающих смещение колонн в процессе строительства и раскрытие стыков между колоннами и торцами тюбингов при плоском их опирании, эксцентриситеты в поперечном направлении допускается уменьшать до 5 см.
5.7.1 Путь
5.7.1.1
Электрифицированные рельсовые пути на линии следует предусматривать под расчетные статические нагрузки и скорости движения поездов согласно таблице 5.7.1.
Таблица 5.7.1.
| Пути
|
Статическая нагрузка от оси пассажирского вагона на рельсы, кН (тс)
|
Скорость движения поездов, км/ч, не более
|
| Главные
|
147 (15)
|
100
|
| Станционные
|
78 (8)
|
40
|
| Соединительные
|
78 (8)
|
75
|
Все элементы пути должны обеспечивать:
- безопасное и плавное движение поездов с установленными скоростями;
- стабильность рельсовой колеи и пути в целом;
- изоляцию электрических рельсовых цепей;
- технологичность текущего содержания и ремонтов пути.
Конструкции пути должны быть однотипными и ремонтопригодными.
5.7.1.2
Рельсы путей следует использовать также в качестве электрических проводников в сети электроснабжения подвижного состава, в устройствах управления движением поездов и контроля целостности рельсовых нитей.
5.7.1.3
Параметры плана и продольного профиля путей должны соответствовать п.5.2.
5.7.1.4
В качестве нижнего строения пути предусматривать:
а) на подземных участках - плоское основание из железобетона или монолитного бетона по таблице 5.6.1;
б) на наземных участках - плоское основание из железобетона или земляное полотно по СНиП 32-01 для железных дорог I категории;
в) на надземных участках - железобетонные или металлические конструкции мостов (в том числе путепроводов, эстакад) по СНиП 2.05.03.
5.7.1.5
Для земляного полотна наземных участков предусматривать:
- уплотнение грунтов в насыпях;
- защитный слой из песков (за исключением мелких и пылеватых) под балластной призмой по таблице 5.7.2. Крутизна откосов защитного слоя должна быть 1:2;
- отвод поверхностных и грунтовых вод от земляного полотна;
- укрепление откосов земляного полотна.
Таблица 5.7.2
| Пути
|
Толщина защитного слоя (песчаной подушки), м, не менее, при грунтах земляного полотна
|
| дренирующих
|
недренирующих
|
| Главные
|
0,2
|
1,1
|
| Станционные и соединительные
|
0,2
|
0,8
|
5.7.1.6
В качестве верхнего строения пути предусматривать рельсы, рельсовые скрепления, стрелочные переводы, перекрестные съезды, подрельсовое основание, путевой бетонный или балластный слой.
5.7.1.7
Верхнее строение пути должно соответствовать таблице 5.7.3.
Таблица 5.7.3
| Показатель
|
Главные пути
|
Станционные пути
|
Соединительные пути
|
| вне границ платформ станции
|
в границах платформ станции
|
вне границ смотровых канав
|
в границах смотровых канав
|
| Тип рельсов
|
Р50
|
Р50; Р50(С)
|
Р50; Р50(С)
|
| Число подрельсовых оснований, шт., на 1 км пути:
|
| шпалы на путевом бетонном слое
|
1680
1840
|
-
|
1680
1840
|
-
|
1680
1840
|
| шпалы на балластном слое
|
1840
2000
|
1600
1760
|
-
|
1600
1760
|
| шпалы-коротыши на путевом бетонном слое
|
2х1680
2х1840
|
2х1680
2х1840
|
2х1600
2х1600
|
2х1680
2х1840
|
| лежни на путевом бетонном слое
|
2х400
2х400
|
2х400
2х400
|
-
|
2х400
2х400
|
| Примечания:
1. Буквой «С» указаны типы старогодных рельсов.
2. Число подрельсовых оснований указано: над чертой - на прямых и кривых участках радиусом 1200 м и более, под чертой - на кривых участках радиусом менее 1200 м.
3. Род подрельсового основания (дерево, композиционный материал, железобетон) принимать в соответствии с техническим заданием.
4. Лежни располагаются вдоль пути, на каждом лежне предусматривается не менее четырех промежуточных рельсовых скреплений.
5. При обосновании допускается применять рельсы более тяжелых типов.
|
5.7.1.8
Ширина колеи на путях линии между внутренними гранями головок рельсов должна составлять, мм:
на прямых и кривых участках радиусом от 1200 м и более 1520;
на кривых участках радиусом от 600 до 1200 м 1524;
то же, от 400 до 600 м 1530;
то же, от 125 до 400 м 1535;
то же, от 100 до 125 м 1540.
Отклонения от нормы ширины колеи на прямых и кривых участках не должны превышать 2 мм.
5.7.1.9
Ширину колеи на кривых участках пути принимать:
а) на двухпутных участках главных путей с шириной междупутья менее 6,5 м - одинаковой для обоих путей в зависимости от радиуса кривой по разбивочной оси междупутья;
б) на других участках главных путей, а также на станционных и соединительных путях - по каждому пути в отдельности в зависимости от радиуса кривой по разбивочной оси пути при наличии переходной кривой и в зависимости от радиуса кривой по оси пути при отсутствии переходной кривой.
5.7.1.10
Рельсы главных путей на прямых и кривых подземных участках радиусом 300м и более следует сваривать в рельсовые плети.
5.7.1.11
Сварку рельсов в рельсовые плети предусматривать электроконтактным и алюминотермитным способами.
5.7.1.12
На надземных участках линий следует предусматривать охранные приспособления в виде контррельсов мостового типа или контруголков.
5.7.1.13
Контррельсы мостового типа на надземных участках пути должны соответствовать типу укладываемых рельсов и устанавливаться внутри колеи вдоль обоих рельсов каждого пути. В качестве контррельсов рекомендуется использовать старогодные рельсы.
5.7.1.14
На металлических мостах с температурными пролетами более 100 м для компенсации продольного перемещения рельсов применять уравнительные приборы, соответствующие типу укладываемых рельсов, с обводными электросоединителями.
5.7.1.15
Промежуточные рельсовые скрепления должны обеспечивать:
- электрическую изоляцию рельсов от нижнего строения пути, тоннельной обделки, путевого бетонного слоя, железобетонного подрельсового основания согласно п.5.21;
- возможность быстрой смены рельсов и регулировки их положения по высоте при подрельсовом основании, уложенном на путевом бетонном слое.
Скрепления, устанавливаемые на деревянном подрельсовом основании, предусматривать с рельсовыми подкладками и путевыми шурупами:
а) на подземных участках вне границ смотровых канав и наземных участках при подрельсовом основании, уложенном на путевом бетонном слое, - раздельного типа с упругим или свободным закреплением рельса и упругими прокладками;
б) на подземных участках в границах смотровых канав - нераздельного типа;
в) на наземных участках при подрельсовом основании, уложенном на балластном слое, - раздельного типа на главных путях, раздельного или нераздельного типа на станционных и соединительных путях;
г) на надземных участках и подходах к ним длиной по 200 м с каждой стороны и на стрелочных переводах, размещенных на этих участках, - раздельного типа с обеспечением электрической изоляции рельсовых подкладок от подрельсового основания, путевых шурупов и промежуточных шурупных скреплений контррельсов мостового типа.
На кривых подземных и наземных участков главных путей радиусом 400 м и менее на деревянном подрельсовом основании, укладываемых на путевом бетонном слое, частично применять промежуточные скрепления с удлиненными восьмидырными рельсовыми подкладками.
Скрепления для подрельсового основания другого рода принимать в соответствии с утвержденной технической документацией.
Болтовые рельсовые стыки предусматривать электропроводящими или изолирующими согласно 5.21.
5.7.1.16
Для обеспечения электропроводимости болтовых рельсовых стыков применять:
а) на подземных и закрытых наземных (надземных) участках, где эффективный тяговый ток в часы пик в обоих рельсах одного пути не превышает 1500 А, - графитную смазку или тарельчатые пружины, где превышает 1500 А - графитную смазку совместно с электросоединителями или тарельчатые пружины;
б) на открытых наземных (надземных) участках – тарельчатые пружины, в отдельных случаях совместно с электросоединителями;
в) на стрелочных переводах и перекрестных съездах - электросоединители.
Электрическое сопротивление болтового рельсового стыка должно быть не более сопротивления целого участка рельса длиной 1 м.
Величина зазоров в электропроводящих болтовых рельсовых стыках должна соответствовать таблице 5.7.4.
Таблица 5.7.4
| Температура рельсов* при сборке стыка, °С:
|
Зазоры в стыках, мм
|
| от
|
до
|
подземные участки, расположенные на расстоянии более 200 м от портала тоннеля
|
подземные участки, расположенные на расстоянии менее 200 м от портала тоннеля, наземные и надземные участки
|
| рельсы длиной 25 м и менее
|
рельсовые плети длиной 300 м и менее
|
рельсы длиной 12,5 м
|
рельсы длиной 25 м
|
| -60
|
-50
|
-
|
-
|
18,0
|
| -50
|
-40
|
-
|
-
|
16,5
|
21,0
|
| -40
|
-25
|
-
|
-
|
15,0
|
| -25
|
-20
|
-
|
-
|
13,5
|
19,5
|
| -20
|
-15
|
-
|
-
|
18,0
|
| -15
|
-10
|
-
|
-
|
12,0
|
16,5
|
| -10
|
-5
|
9,0
|
12,0
|
10,5
|
15,0
|
| -5
|
0
|
13,5
|
| 0
|
5
|
7,0
|
9,0
|
9,0
|
12,0
|
| 5
|
10
|
10,5
|
| 10
|
15
|
4,5
|
6,0
|
7,5
|
9,0
|
| 15
|
20
|
7,5
|
| 20
|
25
|
2,0
|
3,0
|
6,0
|
6,0
|
| 25
|
30
|
4,5
|
| 30
|
35
|
0
|
0
|
4,5
|
3,0
|
| 35
|
40
|
1,5
|
| 40
|
50
|
-
|
-
|
3,0
|
0
|
| 50
|
60
|
-
|
-
|
0
|
| * Отрицательные температуры рельсов указаны со знаком "-".
|
Изолирующие болтовые рельсовые стыки предусматривать с полимерными накладками или клееболтового типа.
5.7.1.17
Стрелочные переводы и перекрестные съезды путей должны соответствовать типу укладываемых рельсов и иметь крестовины соответственно марки 1:9 и 2:9.
5.7.1.18
На главных путях перед остряками стрелочных переводов, располагаемых противошерстно для поездов, следующих в правильном направлении, должны быть установлены отбойные брусья. Такие же брусья должны быть установлены перед остряками стрелочных переводов и перекрестных съездов на станционных путях независимо от направления движения поездов.
На подземных и закрытых наземных и надземных участках вблизи мест укладки стрелочных переводов и перекрестных съездов предусматривать площадки в уровне головок рельсов для хранения металлических частей переводов и съездов.
5.7.1.19
Стрелочные переводы и перекрестные съезды, располагаемые на открытых наземных и надземных участках и включаемые в электрическую централизацию, должны оборудоваться устройствами автопневмообдува или, согласно заданию на проектирование, устройствами электрообогрева.
5.7.1.20
В качестве подрельсового основания предусматривать:
- деревянные шпалы и деревянные шпалы-коротыши по ГОСТ 22830;
- деревянные брусья для стрелочных переводов и перекрестных съездов по ГОСТ 8816;
- железобетонные шпалы по ГОСТ 10629;
- железобетонные, композиционные и другие конструкции по утвержденной технической документации.
Деревянные подрельсовые основания должны пропитываться антисептиками, не проводящими электрического тока.
5.7.1.21
Для укладки подрельсового основания предусматривать:
а) на плоском основании из железобетона или монолитного бетона - как правило, путевой бетонный слой;
б) на земляном полотне - балластный слой;
в) на конструкциях мостов - балластный слой;
г) на стрелочных переводах и перекрестных съездах - балластный слой.
Деревянное подрельсовое основание, укладываемое на путевом бетонном слое, располагать верхней пластью вниз, на балластном слое - верхней пластью вверх.
Длину деревянных шпал-коротышей на главных путях в границах платформ станций принимать равной 0,9 м, на станционных путях в границах смотровых канав - 0,75 м.
Торцы деревянных шпал, распиливаемых при укладке в путь, и вновь просверленные в деревянном подрельсовом основании шурупные отверстия должны быть три раза промазаны антисептиками, не проводящими электрического тока.
Для путевого бетонного слоя предусматривать бетон класса В 15 по прочности на сжатие по СНиП 52-01, для балластного слоя - щебень из плотных горных пород для балластного слоя железнодорожного пути марки по истираемости И1 по ГОСТ 7392.
Поперечный профиль путевого бетонного слоя должен обеспечивать отвод воды от рельсов и промежуточных рельсовых скреплений.
Ширину балластной призмы поверху на однопутных открытых наземных участках принимать, м, не менее:
а) на главных путях - 3,6;
б) на станционных и соединительных путях - 3,4.
На кривых участках главного пути радиусом менее 600 м ширину балластной призмы с наружной стороны увеличивать на 0,1 м.
Крутизна откосов балластной призмы должна быть 1:1,5.
Поверхность балластной призмы должна быть на 3 см ниже верхней пласти деревянного подрельсового основания и в одном уровне с верхом средней части железобетонных шпал.
Наименьшую толщину путевого бетонного и балластного слоя под деревянным подрельсовым основанием принимать по таблице 5.7.5.
Таблица 5.7.5
| Показатель
|
Толщина слоя, см, не менее
|
| в местах расположения рельсов
|
в местах расположения внутреннего рельса на кривых участках с возвышением наружного рельса
|
| на прямых и кривых участках без возвышения наружного рельса
|
на стрелочных переводах и перекрестных съездах
|
| Путевой бетонный слой
|
16
|
-
|
10
|
| Балластный слой в уплотненном состоянии:
|
| на плоском основании из железобетона или монолитного бетона
|
30
|
24
|
24
|
| на земляном полотне
|
30
25
|
30
25
|
30
25
|
| на надземных участках
|
24
|
-
|
24
|
| Примечание:
Толщина балластного слоя над чертой - на главных путях; под чертой - на станционных и соединительных путях.
|
Толщину балластного слоя под железобетонными шпалами принимать на 5 см больше, чем под деревянным подрельсовым основанием.
5.7.1.22
У подземных станций, а также посередине подземных и надземных перегонов длиной между осями станций более 1,5 км размещать кладовую службы пути, площадью 15-18 м2
для хранения тяжелого путейского инструмента и материалов. В кладовой предусматривать освещение и металлический ящик для хранения ГСМ. Электропитание путейского инструмента предусматривать от ящика для подключения ручного электроинструмента, который устанавливается вне кладовой тоннеле не дальше 5 м от нее. Пол кладовой устраивать в уровне головок рельсов.
У камер съездов размещать кабину стрелочника площадью не менее 1,5 м2
. В кабине предусматривать освещение, электроотопление и телефон станционной связи.
5.7.2 Контактный рельс
5.7.2.1
Электрифицированные пути должны быть оборудованы контактным рельсом с нижним токосъемом.
Контактный рельс следует закрывать электроизоляционным защитным коробом.
5.7.2.2
Контактный рельс располагать с левой стороны по направлению движения поездов, на отдельных участках - с правой стороны.
На кривых подземных участков пути радиусом менее 200 м контактный рельс располагать с внешней стороны кривой, в границах островных платформ подземных станций и служебных платформ - под платформой.
5.7.2.3
Устройства крепления контактного рельса должны обеспечивать:
- электрическую изоляцию контактного рельса от верхнего строения пути и тоннельной обделки;
- возможность регулировки положения контактного рельса;
- возможность подключения к контактному рельсу устройств электроснабжения.
5.7.2.4
Расстояние между кронштейнами для крепления контактного рельса принимать от 4,5 до 5,4 м.
На участках главных путей с продольным уклоном более 40‰ и на кривых в плане радиусом 400 м и менее расстояние между кронштейнами уменьшать до 2,5 м.
5.7.2.5
Сварку контактного рельса в плети предусматривать электроконтактным способом. Длина плетей должна составлять, м, не более:
а) на подземных участках, расположенных на расстоянии более 200 м от портала тоннеля, при тяговом токе до 3000 А - 100, при тяговом токе, превышающем 3000 А, - 75;
б) на подземных участках, расположенных на расстоянии менее 200 м от портала тоннеля, наземных и надземных участках - 37,5.
В местах соединений сварных плетей предусматривать температурные стыки.
Электрическое сопротивление температурного стыка должно быть не более сопротивления целого участка контактного рельса длиной 1,25 м.
Зазоры в температурных стыках принимать по таблице 5.7.6.
Таблица 5.7.6
| Температура рельсов* при сборке стыка, °С
|
Зазоры в стыках, мм
|
| от
|
до
|
подземные участки на расстоянии более 200 м от портала тоннеля
|
подземные участки на расстоянии менее 200 м от портала тоннеля, наземные и надземные участки
|
| Менее -30
|
-
|
38
|
| -29
|
-26
|
-
|
32
|
| -25
|
-21
|
-
|
30
|
| -20
|
-16
|
-
|
27
|
| -15
|
-11
|
-
|
25
|
| -10
|
-6
|
38
|
23
|
| -5
|
-1
|
36
|
20
|
| 0
|
4
|
32
|
18
|
| 5
|
9
|
26
|
16
|
| 10
|
14
|
20
|
14
|
| 15
|
19
|
14
|
11
|
| 20
|
24
|
8
|
9
|
| 25
|
29
|
2
|
7
|
| 30
|
34
|
0
|
5
|
| 35
|
39
|
-
|
2
|
| 40 и более
|
-
|
0
|
| * Отрицательные температуры рельсов указаны со знаком "-".
|
Расстояние между кронштейнами, смежными с температурным стыком, принимать не более 2,5 м.
5.7.2.6
Контактный рельс закреплять от угона путем установки четырех противоугонов на сварную плеть независимо от ее длины. На главных путях, располагаемых на продольном уклоне более 30‰, и в границах платформ станций в середине сварной плети дополнительно предусматривать спаренные кронштейны с противоугонами.
5.7.2.7
В местах секционирования контактной сети, в местах расположения стрелочных переводов, перекрестных съездов, уравнительных приборов и оборудования, размещаемого в зоне прокладки контактного рельса, предусматривать воздушные промежутки контактного рельса.
5.7.2.8
В местах устройства воздушных промежутков на контактном рельсе главных путей предусматривать концевые отводы с уклоном 1:30 (принимающий конец) и 1:25 (отдающий конец), на станционных и соединительных путях - 1:25.
Расстояние между металлическими концами отводов контактного рельса, перекрываемое токоприемниками одного пассажирского вагона, должно быть не более 10 м, не перекрываемое токоприемниками вагона - не менее 14 м.
Оборудование, устанавливаемое в пределах воздушного промежутка контактного рельса, располагать на расстоянии не менее 0,8м от металлического конца отвода.
5.7.2.9
Длина контактного рельса с концевыми отводами должна быть не менее 18,7м. В стесненных условиях, при необходимости размещения оборудования в зоне прокладки контактного рельса, длину контактного рельса с концевыми отводами допускается принимать не менее 12,5 м с его закреплением противоугонами на каждом кронштейне.
5.7.2.10
Длину контактного рельса в пределах смотровой канавы станционного пути, размещаемой за зоной оборота подвижного состава, допускается принимать по 5.7.2.9.
5.7.2.11
Рельсы путей должны быть закреплены от угона.
5.7.2.12
Вдоль путей предусматривать установку путевых и сигнальных знаков.
У стрелочных переводов и перекрестных съездов предусматривать установку предельных реек (предельных столбиков).
5.7.2.13
Проектная документация на сооружение пути должна содержать следующие сведения об элементах пути:
- пикеты и высотные отметки путейских реперов;
- пикеты и геометрические параметры элементов плана и продольного профиля оси пути, рельсовых нитей и рельсовых стыков.
В состав документации на новые конструкции пути должны входить проект производства путевых работ и инструкция по их эксплуатации.
5.7.2.14
Расчеты верхнего строения пути и контактного рельса выполнять исходя из следующих интервалов колебания температуры рельсов:
а) на подземных участках, расположенных на расстоянии более 200 м от портала тоннеля, - от 0 до 30 °С;
б) на подземных участках, расположенных на расстоянии менее 200 м от портала тоннеля, наземных и надземных участках - по Техническим указаниям [11].
5.7.2.15
На станционных путях пункта технического обслуживания (ПТО) для удобного осмотра подвижного состава контактный рельс располагать со стороны служебной платформы.
Длина контактного рельса должна соответствовать длине служебной платформы, обеспечивать безопасный проход к помещениям ПТО и спуск в канавы.
5.8.1 Общие положения
5.8.1.1
Подземные сооружения следует оборудовать системами тоннельной и местной вентиляции с механическим побуждением воздуха.
5.8.1.2
Системы вентиляции должны обеспечивать нормируемые воздухообмен и скорости движения воздуха в сооружениях и помещениях.
5.8.1.3
Местную вентиляцию следует предусматривать для подземных и наземных производственных, бытовых и других помещений.
5.8.1.4
В помещениях станций в холодный и переходный периоды года следует предусматривать отопление и подогрев приточного воздуха, в теплый период года, при необходимости, - охлаждение приточного воздуха.
5.8.1.5
Расчетную температуру и теплосодержание наружного воздуха для помещений, в которые приточный воздух подается с поверхности земли, следует принимать согласно СНиП 23-01 с учетом изменения параметров при прохождении его по воздушным каналам. Для подземных помещений, в которые приточный воздух подается из тоннелей, температуру воздуха следует принимать равной расчетному значению в соответствующем участке тоннеля с учетом принятой схемы тоннельной вентиляции.
5.8.1.6
Отопление наземных помещений, зданий и других сооружений следует проектировать согласно СНиП 41-01.
5.8.1.7
Присоединение к тепловым сетям и наружные тепловые сети следует предусматривать по СНиП 41-02.
5.8.1.8
Для нужд отопления в качестве вторичных энергоресурсов могут быть использованы: воздух, удаляемый системами вентиляции, а также тепло- и холодоносители производственных установок, пригодные для этих целей.
5.8.1.9
Допустимые уровни звукового давления в помещениях станций и перегонных тоннелях принимать согласно таблице 5.17.1.
В качестве материалов для шумоглушения использовать пористые бетонные блоки, конструкции с синтетическими и другими материалами, отвечающие условиям эксплуатации в сооружениях метрополитена.
5.8.1.10
Подземные и закрытые наземные участки линий оборудовать телеметрической системой контроля следующих параметров воздуха:
а) температуры (°С), относительной влажности (%), СО2 (% по объёму), СО (мг/м3, ppm) в центре станции, в вестибюлях (кассовых залах) станций, в центре переходов между станциями, в местах сосредоточения пассажиров, в вентиляционных киосках УТВ, по центру перегона между станцией и перегонной УТВ и по центру между УТВ при их количестве на перегоне более 1;
б) взрывоопасных и ядовитых газов на участках: пересечение газоносных геологических слоев, газо- и нефтепроводов, близко расположенных к АЗС, промышленным предприятиям и др. - в машинных помещениях УТВ.
5.8.1.11
Тоннельная вентиляция в комплексе с другими инженерно-техническими мероприятиями в режиме дымоудаления должна обеспечивать эффективную противодымную защиту путей эвакуации в подземных и наземных закрытых станциях, пересадочных сооружениях между станциями, перегонных и тупиковых тоннелях, тоннелях соединительных веток, а также наземных закрытых участках линий.
5.8.1.12
Конструкции вентиляционных установок не должны способствовать накоплению пыли, микроорганизмов и распространению их в обслуживаемые помещения.
Воздуховоды и другие элементы установок, способные накапливать пыль, должны иметь устройства для возможности очистки внутренних поверхностей.
5.8.1.13
В вентиляционных установках предусматривать устройства для обеспечения возможности замеров производительности систем.
5.8.1.14
Воздухозаборные киоски следует размещать в местах с наименьшей концентрацией вредных веществ и пыли в воздухе, при возможности - в зонах существующих или специально создаваемых зеленых насаждений (деревьев и кустарников).
Расстояние от наземных вентиляционных киосков установок тоннельной вентиляции до магистральных улиц и дорог, открытых и закрытых стоянок автотранспорта, торговых мест и окон зданий и сооружений должно быть не менее 25м, до автозаправочных станций, складов нефти и нефтепродуктов, горючих газов, лесоматериалов, газо- и нефтепроводов, объектов нефтеперерабатывающей и химической промышленности - не менее 100м.
В условиях стесненной городской застройки киоски вентиляционных установок, в постоянном режиме эксплуатации, работающих на выброс, возможно, размещать на расстоянии менее 25м от проезжей части дорог.
Киоски УТВ глубокого заложения располагать с относом от стволов шахт с учетом градостроительных условий и требований по охране окружающей среды. Расположение киосков непосредственно на оголовке ствола допускается в исключительных случаях.
Отверстия в воздухозаборных и воздуховыпускных каналах тоннельной вентиляции, встроенных в здания или размещаемых на расстоянии от здания менее нормированного значения, располагать на высоте не менее 2м над кровлей более высокой части здания.
Расположение киосков станционных установок при их работе в режиме дымоудаления не должно препятствовать эвакуации пассажиров и персонала.
Вентиляционные киоски УМВ могут быть отдельно стоящими, встроенными в наземные вестибюли станций или пристроенными к другим зданиям.
Воздухозаборные и воздуховыпускные отверстия киосков размещать на расстоянии, исключающем рециркуляцию удаляемого воздуха, и принимать, не менее:
а) для УТВ - 25м по горизонтали; по вертикале – согласно расчету, но не менее 6м;
б) для УМВ - 10м по горизонтали или 6м по вертикали.
Расстояние от низа отверстий киосков до поверхности земли принимать не менее 2м (для периодически подтапливаемых мест - выше уровня подтопления).
Конструкция решеток на воздухозаборных и воздуховыпускных отверстиях киосков должна исключать попадание внутрь атмосферных осадков. С внутренней стороны решеток закреплять металлическую сетку с ячейками 20х20 мм и антивандальные решётки.
Конструкция киосков должна исключать несанкционированное попадание внутрь людей, животных, птиц и посторонних предметов.
Входы в киоски должны иметь пороги высотой 0,2м от уровня земли.
Киоски должны иметь охранную сигнализацию согласно 5.22.
В киосках УТВ предусматривать балку грузоподъемностью не менее 1 т.
5.8.1.15
В вентиляционных установках предусматривать размещение оборудования, обеспечивающее его удобную и безопасную эксплуатацию, площадки для обслуживания, монтажные проемы, грузоподъемные устройства и другие средства механизации для его транспортировки через вентиляционные киоски и перегонные тоннели.
Грузоподъемность и размеры устройств принимать, исходя из условий транспортирования наибольшего по массе и размерам элемента оборудования.
Зоны обслуживания вентиляторов, размеры проемов и размещение грузоподъемных устройств предусматривать с учетом указаний предприятий - изготовителей оборудования.
5.8.1.16
Электроснабжение и управление вентиляционными установками предусматривать согласно 5.10, 5.11 и 5.16.
5.8.2 Вентиляция
5.8.2.1
Тоннельная вентиляция
5.8.2.1.1
Тоннельную вентиляцию следует предусматривать для пассажирских помещений подземных и наземных закрытых станций, пересадочных коридоров между станциями, перегонных и тупиковых тоннелей, тоннелей соединительных веток, а также наземных закрытых участков линий.
5.8.2.1.2
При проектировании системы тоннельной вентиляции следует учитывать:
- нормируемые параметры микроклимата и состава воздуха в сооружениях согласно 5.17;
- нормируемые метеорологические условия города;
- гидрогеологические условия залегания линии;
- наличие термальных и сернистых вод в окружающих грунтах;
- выделение радона, метана и иных газов из окружающих грунтов;
- преобладание количества приточного воздуха над удаляемым на 15 - 20 %;
- обеспечение не менее чем трехкратного воздухообмена в час по внутреннему объему пассажирских и других помещений, обслуживаемых тоннельной вентиляцией;
- подачу наружного воздуха не менее 30 м3
/ч, а в часы пик - не менее 50 м3
/ч на одного пассажира;
- обеспечение предельно допустимых концентраций вредных веществ в воздухе тоннелей и пассажирских помещений согласно 5.17;
- годовой тепловой баланс, обеспечивающий допустимые параметры температуры и относительной влажности воздуха при минимальном росте температуры окружающих грунтов;
- дымоудаление при пожаре на станции или в тоннеле;
- влияние негативных факторов, возникающих при прогнозируемых чрезвычайных ситуациях техногенного и другого характера;
- применение устройств для снижения шума и вибрации, возникающих при работе вентиляционных агрегатов;
- применение мероприятий по снижению влияния эффекта «дутья», возникающего при движении поездов.
5.8.2.1.3
В городах, расположенных в районах с континентальным климатом, системы тоннельной вентиляции для холодного периода года следует предусматривать исходя из обеспечения нормируемых условий микроклимата и ПДК вредных веществ без учета трехкратного воздухообмена.
Допустимые уровни звукового давления на станциях и в перегонных тоннелях следует принимать согласно 5.17, на поверхности земли - по СНиП 23-03.
5.8.2.1.4
Схемы вентиляции принимать однонаправленными - с круглогодичной подачей наружного воздуха в перегонные тоннели или на станции либо реверсивными - с сезонной подачей наружного воздуха в перегонные тоннели или на станции с удалением воздуха, соответственно, со станций или из перегонных тоннелей.
Для закрытых наземных участков линии допускается принимать естественную вентиляцию за счет использования поршневого действия поездов. Возможность использования естественной вентиляции в режиме дымоудаления определять расчётом.
Допускается применение иных схем вентиляции, обеспечивающих реализацию нормируемых требований во всех эксплуатационных режимах.
5.8.2.1.5
Для обеспечения нормируемых условий в помещениях станций и тоннелях при обосновании допускается применять охлаждение или нагрев подаваемого вентиляционными установками воздуха, рециркуляцию вытяжного воздуха с сохранением подачи нормируемого количества наружного воздуха и обеспечения режима дымоудаления.
5.8.2.1.6
Для вентиляции тоннелей оборотно-отстойных тупиков и тупиковых участков тоннелей главных путей предусматривать отдельные вентиляционные установки с удалением воздуха непосредственно на поверхность земли.
Для вентиляции тоннеля однопутного тупика, расположенного на перегоне, предусматривать сбойки в тоннели главных путей; при необходимости в одной из них устанавливать вентилятор.
5.8.2.1.7
Количество приточного воздуха (или смеси наружного и рециркуляционного воздуха) для обеспечения нормируемых метеорологических условий, кратности воздухообмена, требований раздела 5.16 и СНиП 41-01 определять расчетом.
5.8.2.1.8
Для вентиляции тоннелей соединительных веток допускается забирать воздух с поверхности земли или из перегонных тоннелей.
5.8.2.1.9
При применении охлаждения или нагрева приточного воздуха в вентиляционных установках использовать поверхностные теплообменники. При использовании контактных воздухоохладителей предусматривать оборотное водоснабжение с очисткой воды до параметров согласно СанПиН 2.1.4.1074.
Системы холодоснабжения предусматривать по СНиП 41-01.
5.8.2.1.10
УТВ должны обеспечивать нормативные микроклиматические условия в пассажирских помещениях согласно 5.17 СНиП 32-02, при этом принимать следующие расчетные параметры микроклимата в обслуживаемых сооружениях и помещениях:
- в теплый период года:
а) температуру воздуха в платформенных и кассовых залах станций и в коридорах между станциями, не выше:
1) 28 °С - для городов с расчетными температурами наружного воздуха по параметру А 24 °С и менее;
2) 30 °С - для городов с расчетными температурами наружного воздуха по параметру А более 24 °С;
б) температуру удаляемого воздуха в конце расчетного участка для городов с расчетными температурами наружного воздуха по параметру А 24 °С и менее:
1) при пропускной способности линии 40 пар поездов в час - не выше, соответственно, 33 °С - при удалении на перегоне, при соблюдении нормативных значений величины интегрального показателя тепловой нагрузки в соответствии с Приложениями 2 и 3 СанПиН 2.2.4.548;
2) для городов с расчетными температурами наружного воздуха по параметру А более 24 °С независимо от пропускной способности линии - не выше 35 °С – при удалении на перегоне, при соблюдении нормативных значений величины интегрального показателя тепловой нагрузки согласно Приложениям 2 и 3 СанПиН 2.2.4.548;
- в холодный период года:
а) температуру воздуха в платформенных залах станций и в коридорах между станциями:
1) для городов с расчетной температурой наружного воздуха для теплого периода года по параметру А 24 °С и менее - не выше чем на 2 °С естественной температуры грунта, но не ниже 5 °С;
2) для городов с расчетной температурой наружного воздуха для теплого периода года по параметру А более 24 °С - не выше естественной температуры грунта, но не ниже 10 °С;
б) температуру воздуха в кассовых залах - не ниже 10°С.
Необеспеченность указанных параметров должна определяться расчетом и составлять не более 10% от времени работы в течение года.
5.8.2.1.11
Концентрация вредных веществ в тоннелях и на станциях не должна превышать ПДК согласно ГОСТ 12.1.005 с учетом фоновых концентраций этих веществ в местах размещения воздухоприемных устройств.
Концентрацию вредных веществ в местах забора наружного воздуха принимать с учетом фоновых концентраций этих веществ, но не более ПДК в воздухе населенных мест.
При превышении ПДК вредных веществ в местах забора воздуха обеспечение подачи приточного воздуха с нормируемым содержанием вредных веществ должно осуществляться путем снижения их концентрации до нормируемых величин. Мероприятия и затраты по нормализации воздушной среды определять на ранних стадиях проектирования с участием территориальных органов власти и служб Роспотребнадзора.
5.8.2.1.12
В расчётах систем вентиляции подземных и закрытых наземных линий принимать следующие параметры наружного воздуха:
а) в теплый период года - параметры А согласно СНиП 41-01;
б) в холодный период года - для подземных линий - средние температуры и соответствующие им теплосодержания в этот период согласно СНиП 23-01;
в) для закрытых наземных участков линий - параметры Б согласно СНиП 41-01.
Расчеты проводить с учетом следующих положений:
а) для линий глубокого заложения - изменения расчетной температуры приточного воздуха в каналах вентиляционной установки с учетом их протяженности и расчетного периода года;
б) для линий мелкого заложения в теплый период года - влияния солнечной радиации на температуру прилегающих к тоннелям грунтов;
в) для однонаправленной схемы вентиляции с круглогодичной подачей наружного воздуха на перегоне и удалением со станции - принимать температуру в конце расчетного участка равной нормируемым параметрам на станциях в соответствующий период года.
В холодный период года температуру воздуха на платформах станций и в коридорах между станциями, при обосновании невозможности поддержания нормируемых верхних пределов температуры, принимать по результатам расчета, при которой достигаются нормируемые значения параметров воздушной среды в течение расчетного срока эксплуатации. При этом предельную температуру воздуха принимать равной 16 °С.
5.8.2.1.13
В УТВ станций, перегонных тоннелей и тупиков предусматривать не менее двух вентиляторов, в УТВ соединительных тоннелей и однопутных тупиков - один вентилятор, с применением устройств плавного пуска и при необходимости регулирования производительности.
Вентиляторы должны обеспечивать поддержание расчетных условий в заданных режимах эксплуатации, включая дымоудаление, с учетом местных климатических условий.
Производительность каждого вентилятора, в зависимости от применяемой схемы вентиляции, должна составлять 50% или 100% требуемой производительности УТВ.
Производительность и напор вентиляторов определять с учетом:
- параллельной работы вентиляторов;
- влияния поршневого эффекта, возникающего при движении поездов;
- обеспечения дымоудаления при пожаре или задымлении согласно 5.16.
Электрооборудование размещать в отдельном помещении (щитовой), примыкающем к машинному помещению. В щитовой должны быть системы вентиляции и отопления, обеспечивающие температуру воздуха не менее 5 °С.
Машинные помещения и щитовые располагать в уровне перегонных тоннелей, допускается и в уровне верхнего вентиляционного тоннеля.
5.8.2.1.14
Для вентиляции тоннелей ветки в электродепо предусматривать отдельную вентиляционную или эжекционную установку, располагаемую в припортальной части.
В эжекционной установке для создания эжекционного эффекта использовать смесь воздуха, забираемого с поверхности земли и из тоннеля в соотношении, определяемом расчетом и периодом года, или только из тоннеля. В установке предусматривать один вентилятор. Расположение установки принимать исходя из конструкции тоннеля и трассы ветки.
5.8.2.1.15
Примыкание вентиляционных тоннелей УТВ предусматривать независимо к каждому тоннелю. Допускается примыкание к одному тоннелю при условии сооружения сбойки между тоннелями, площадь живого сечения которой определять расчетом и обеспечения режима дымоудаления из каждого тоннеля независимо от другого.
Примыкание к перегонным тоннелям предусматривать сбоку, к сбойке между тоннелями - сверху или, в исключительных случаях, - снизу с обеспечением возможности удаления дренажных вод из вентиляционных тоннелей, расположенных ниже уровня головок рельсов.
Примыкание каналов сверху (за исключением каналов эжекционной вентиляционной установки) или снизу непосредственно к перегонным тоннелям не допускается.
Примыкание приточных каналов предусматривать не ближе 200м от ВОУ. При невозможности соблюдения этого требования предусматривать технические решения, обеспечивающие работоспособность ВОУ при воздействии отрицательных температур.
5.8.2.1.16
Количество приточного воздуха для теплого и холодного периодов года определять с учетом пп.5.8.2.1.4, 5.8.2.1.7, 5.8.2.1.9:
а) по теплоизбыткам, составляющим разницу между тепловыделениями в тоннелях и теплопоступлениями в грунт, - для теплого периода года;
б) по тепловыделениям, составляющим сумму тепловыделений в тоннелях и теплопоступлений из грунтов, - для холодного периода года, и принимать наибольший из полученных результатов.
В расчетах определять:
- среднечасовые значения суммарных тепловыделений в тоннелях и на станциях от поездов, оборудования, осветительных приборов, кабельных сетей и пассажиров в течение суток за период движения поездов;
- нестационарный тепловой поток из тоннелей в грунт в теплый период года, а также из грунта в тоннели в холодный период года для охлаждения грунтов до температуры, минимально превышающей естественную температуру грунта, определенную до начала эксплуатации линии;
- циркуляционные потоки воздуха, возникающие при движении поездов;
- аэродинамическое сопротивление воздушного тракта (включая перегонные тоннели и станционные пассажирские помещения) при движении по нему воздуха, подаваемого вентиляторами с учетом циркуляционных потоков воздуха, создаваемых поршневым действием при движении поездов.
За расчетный участок принимать расстояние между осями двух смежных станций или между осью станции и вентиляционной установкой, расположенной в конце тупика.
Удаление избыточного тепла, аккумулированного грунтом в теплый период года, предусматривать путем использования максимальной производительности вентиляционных установок в переходные периоды года при температуре наружного воздуха выше 0°С и ниже температуры грунтов, окружающих тоннели, включая ночное время суток.
5.8.2.1.17
Подачу и удаление воздуха предусматривать:
а) в уровне пассажирских платформ станций - по горизонтальным каналам под платформами или над ними и по вертикальным каналам у обоих концов платформ и через отверстия под и над платформой или в их концах; на станциях пилонного типа, кроме того (при конструктивной возможности), по вертикальным каналам в каждом пилоне, с выпуском (забором) воздуха со стороны платформенных и средних залов и другие способы удаления с учетом принятой схемы тоннельной вентиляции;
б) в эскалаторном тоннеле - раздельно по двум частям сечения тоннеля: верхней - пассажирской и нижней - вентиляционно-кабельному отсеку (вместо вентиляционно-кабельного отсека возможно использовать ствол станционной шахты, сооружаемой для обеспечения подземных строительных работ, специально сооружаемые ствол или скважины);
в) в коридорах между станциями длиной менее 50м - по сечению коридора, более 50м - по воздуховоду (каналу) с выпуском воздуха равномерно вдоль коридора или сосредоточенно и удалением - по сечению коридора;
г) в перегонных тоннелях, тупиковых и соединительных тоннелях, кассовых залах вестибюлей станций, подуличных пешеходных переходах - по сечению указанных сооружений.
Высоту горизонтальных каналов в свету принимать не менее 1,8м; на отдельных участках длиной не более 15м допускается уменьшение их высоты до 1,1м.
5.8.2.1.18
Перегонные УТВ располагать с учетом принятой системы вентиляции:
а) для схем вентиляции обоих тоннелей одной установкой - в середине перегона и, по возможности, между тоннелями. Для линий в городах с расчетной температурой наружного воздуха самого холодного месяца ниже 0 °С допускается расстояние от конца платформы станции до места примыкания вентиляционного тоннеля к перегонному тоннелю принимать равным 1/3 длины перегона, но не менее 400м;
б) для схем с раздельной вентиляцией каждого тоннеля - у станций, с принятием технических решений, исключающих охлаждение станций.
5.8.2.1.19
УТВ на станциях располагать между тоннелями, сбоку, а для станций мелкого заложения - и над перекрытием станций с учетом их планировочных особенностей.
Вход в машинные помещения с уровня платформы станции предусматривать через тамбуры.
5.8.2.1.20
При расположении УТВ двух линий в месте их пересечения в качестве воздушного вертикального канала допускается использовать вентиляционный ствол шахты одной из установок с устройством в нем сплошной плотной разделительной перегородки с пределом огнестойкости не менее R 90. Расстояние между вентиляционными киосками установок определять расчетом, но принимать не менее 25м.
5.8.2.1.21
Скорость движения воздуха, м/с, принимать, не более:
а) в горизонтальных и вертикальных вентиляционных тоннелях - 8;
б) в вентиляционно-кабельных отсеках эскалаторных тоннелей, а также, при обосновании, в вентиляционных тоннелях - 15;
в) через решетки вентиляционных киосков - 5.
5.8.2.1.22
Для защиты тоннелей от переохлаждения в местах их выхода на поверхность использовать:
- воздушные завесы шиберующего типа или воздушно-тепловые завесы смесительного типа;
- сбойки между тоннелями у порталов (площадь сечения определять расчетом) и диафрагмы, ограничивающие площадь живого сечения тоннелей до предельно допустимой, располагаемые в каждом однопутном тоннеле после сбойки (по направлению движения поезда);
- подпор воздуха на прилегающем участке линии.
5.8.2.1.23
Воздуховыпускные и воздухозаборные отверстия на станции предусматривать с регулируемым сечением.
5.8.2.1.24
Регулирование количества подаваемого или удаляемого воздуха при различных режимах работы предусматривать путем изменения числа работающих вентиляторов, числа оборотов рабочих колес вентиляторов, угла установки лопаток рабочих колес, применения дросселирующих устройств и других способов.
5.8.2.1.25
Для снижения эффекта "дутья" на станциях мелкого заложения между прилегающими к ней перегонными тоннелями предусматривать по две циркуляционные сбойки:
а) первая - на расстоянии 70 – 120 м от конца платформы, площадь поперечного сечения 40 – 50 м2
;
б) вторая - на расстоянии не более 250 м от первой и не менее расчетной длины поезда на перспективу, площадь поперечного сечения 20 – 30 м2
.
При обосновании невозможности сооружения второй сбойки в вестибюлях станции предусматривать установку дополнительно одного ряда входных дверей.
У станций с путевым развитием циркуляционные сбойки предусматривать только со стороны, противоположной путевому развитию.
При обосновании расчетом вентсбойки возможно не предусматривать.
При превышении нормируемых расчетных скоростей воздуха принимать объемно-планировочные решения станций, обеспечивающие снижение скорости воздуха.
5.8.2.1.26
Места примыкания проемов машинных помещений и тоннелей УТВ, вентиляционных сбоек (кроме циркуляционных сбоек) к перегонным и тупиковым тоннелям закрывать решетками с дверями, открывающимися внутрь. Узлы крепления решеток должны обеспечивать их удобный и быстрый демонтаж.
5.8.2.1.27
В УТВ в качестве регулирующих и перекрывающих устройств использовать клапаны с плотным прилеганием створок на нагрузку не менее 100 кгс/м2 (1 кПа). В зависимости от условий применения клапаны должны иметь электрический и ручной или только ручной приводы и сигнализацию положения.
В перегородках машинных помещений, разделяющих зоны всасывания и нагнетания, применять уплотненные двери, обеспечивающие безопасный проход при работающих вентиляторах, оборудованные сигнализацией положения, или тамбуры.
5.8.2.1.28
Системы тоннельной вентиляции должны обеспечивать дымоудаление и эффективную противодымную защиту путей эвакуации людей в соответствии с 5.16.
При невозможности создания условий незадымляемости эскалаторного тоннеля при работе тоннельной вентиляции допускается предусматривать установку аварийного подпорного вентилятора в вестибюле станции или использовать другие методы повышения критической скорости воздуха.
5.8.2.2
Местная вентиляция
5.8.2.2.1
Для вентиляции подземных кассовых залов вестибюлей станций, примыкающих к ним подуличных переходов, кабельных тоннелей и коридоров между станциями использовать воздух, подаваемый на станции системой тоннельной вентиляции.
Для вентиляции подземных вестибюлей станций, включающих в свой объем зоны попутного обслуживания пассажиров (магазины, предприятия общественного питания и т.д.), возможно использовать наружный воздух.
5.8.2.2.2
Количество приточного воздуха (наружного или смеси наружного и рециркуляционного воздуха) определять расчетом по СНиП 41-01 или по кратности воздухообмена согласно таблице 5.8.1 исходя из обеспечения нормируемых метеорологических условий, требований 5.17 или кратности воздухообмена. Расчет воздухообмена в производственных помещениях с избытками тепла выполнять с учетом ассимиляции тепла приточным воздухом без учета тепла, поступающего в грунт.
Кратность воздухообмена согласно таблице 5.8.1 для помещений наземных вестибюлей с окнами, за исключением помещений по поз. 4, 5, 10,12,13, уменьшать на 60%.
Таблица 5.8.1
| Назначение (наименование) помещения
|
Расчетная температура воздуха, °С, в период года
|
Кратность воздухообмена в час
|
| холодный
|
тёплый
|
приток
|
вытяжка
|
| 1 Пассажирские помещения
|
Не ниже 10
|
Примечание 1
|
-
|
-
|
| 2 Платформа станции
|
Не ниже 5
|
-
|
-
|
-
|
| 3 Помещение старшего кассира, помещение бригадира кассового участка, помещение начальника станции, помещение поста полиции, помещение мастера эскалаторной службы, помещение машиниста эскалатора, линейный пункт машинистов, ДПС**, ДСП-КПОП**
|
20
|
22
|
6*
|
4*
|
| 4 Механики служб, помещение подсчета монет
|
20
|
Примечание 1
|
6*
|
4*
|
| 5 Комнаты ночного отдыха локомотивных бригад (ММ)
|
22-24
|
22
|
6*
|
4*
|
| 6 Медицинский пункт
|
22 - 24
|
23 - 25
|
4
|
6
|
| 7 Помещение приема пищи
|
22
|
Примечание 1
|
4*
|
6*
|
| 8 Кладовые (за исключением кладовых ГСМ), машинные помещения вентиляционных установок
|
Примечание 1***
|
То же
|
4*
|
4*
|
| 9 Кладовая ГСМ
|
То же
|
»
|
-
|
20
|
| 10 Кубовая
|
16
|
»
|
6
|
10
|
| 11 Мастерская, гардеробная
|
16
|
»
|
6
|
6
|
| 12 Душевая
|
25
|
»
|
-
|
6
|
| 13 Помещение для сушки специальной одежды
|
16
|
»
|
-
|
25 м3
/ч от шкафа
|
| 14 Гардеробная при душевой
|
23
|
Примечание 1
|
6
|
-
|
| 15 Туалет
|
16
|
То же
|
-
|
100 м3
/ч на унитаз
|
| 16 Умывальная, кладовая на перегоне***, натяжная камера***.
|
16
|
»
|
-
|
4
|
| 17 Насосная на станции ***, насосная на перегоне, камера артезианской скважины, камера сантехнической скважины
|
5
|
»
|
-
|
5
|
| 18 Тепловой пункт*, водомерный узел
|
5***
|
»
|
4
|
4
|
| 19 Аккумуляторная
|
Примечание 1***
|
20
|
3*
|
3*
|
| 19 Аккумуляторная
|
Примечание 1***
|
20
|
3*
|
3*
|
| 20 Машинное помещение подстанции
|
То же
|
35
|
4*
|
4*
|
| 21 Помещение РУ подстанции, щитовая
|
16**
|
30
|
4*
|
4*
|
| 22 Кабельный тоннель
|
-
|
35
|
4
|
4
|
| 23 Машинное помещение эскалаторов
|
16***
|
Примечание 2
|
8*
|
6*
|
| 24 Кабина контролёра АКП, кабина оператора эскалатора, помещение стрелочника
|
22**
|
Примечание 1
|
-
|
3 (но не менее 60 м3
/ч)
|
| 25 Коридор между станциями*, служебные коридоры
|
Примечание 1***
|
Примечание 2
|
4
|
4
|
| 26 Релейная, аппаратная, кроссовая, радиоузел, ЛАЦ
|
18**
|
28
|
6*
|
4*
|
| 27 Щитовые ИБП, СГЭ, серверная
|
20**
|
20
|
4*
|
4*
|
| *
Проверять расчётом, принимать по максимальному значению, **
- применять электроотопление, ***
- отопление не требуется.
Примечания
1. Расчётную температуру принимать по п. 5.8.2.1.10 применительно к пассажирским помещениям станций (здесь и ниже - с учётом ***
).
2. Принимать на 5 °С выше расчётной наружной температуры, но не более 28 °С.
3. В помещениях с постоянным пребыванием персонала, где более 40 % поверхности стен, потолков и пола непосредственно примыкает к грунту, расчётную температуру воздуха для отопления принимать на 2 °С выше указанной в таблице.
|
5.8.2.2.3
Вентиляционные установки машинных помещений ТПП, производственных, административных и других помещений с постоянным пребыванием людей на подземных станциях предусматривать не менее чем с двумя приточными и двумя вытяжными вентиляторами; производительность каждого из них должна быть не менее 50% от расчетной производительности установки.
5.8.2.2.4
Для помещений с постоянным пребыванием людей, в которые предусматривается подача наружного воздуха, принимать отдельные вентиляционные установки с подогревом воздуха в холодный период года воздухонагревателями или охлаждение его в теплый период кондиционерами.
Наружные блоки кондиционеров устанавливать в отдельных помещениях, оборудованных системой приточно-вытяжной вентиляции, или на поверхности в венткиосках. Допускается наружные блоки кондиционеров устанавливать в помещениях, соединяемых проёмами с пешеходными переходами, вентилируемыми системой тоннельной вентиляции; на фасаде, крыше вестибюля при условии обеспечения доступа для обслуживания оборудования. Расход приточного воздуха для вентиляции помещения наружных блоков кондиционеров определять из условия ассимиляции избыточного тепла, выделяемого при работе оборудования.
Подачу воздуха в производственные и бытовые помещения без постоянного пребывания людей предусматривать из тоннелей или со станций. Подачу наружного воздуха в такие помещения предусматривать при невозможности обеспечения нормируемых параметров воздуха в помещениях приточным воздухом, забираемым из тоннелей или со станций.
5.8.2.2.5
Помещения медицинских пунктов, туалетов, канализационных установок, кладовых ГСМ, ТБО и опилок, комнаты приема пищи оборудовать отдельными вытяжными установками.
5.8.2.2.6
Оборудование УMB помещений, туалетов, медицинских пунктов, кладовых ГСМ устанавливать в отдельных помещениях.
5.8.2.2.7
При размещении отверстий для притока или выброса воздуха в перекрытии перегонных тоннелей проекция отверстия в плане должна располагаться за пределами габарита подвижного состава.
5.8.2.2.8
Воздухозаборы и воздуховыпуски установок допускается размещать в подуличных переходах, являющихся входами в подземные вестибюли станций на высоте не менее 2 метров, за исключением воздуховыпусков из помещений туалетов, кладовых ГСМ, машинных помещений эскалаторов, медпунктов и душевых. Скорость движения воздуха через решетки воздухозаборных и воздуховыпускных устройств определять из условий их расположения, но не более 5 м/с.
5.8.2.2.9
Расход воздуха, подаваемого в лестничные клетки между помещениями трех и более этажей, определять с учетом создания в них избыточного давления 20 Па (при закрытых дверях) по отношению к давлению в помещениях. Двери лестничных клеток должны соответствовать 5.16.
Расход приточного воздуха в машинные помещения эскалаторов и ТПП определять из условий ассимиляции избыточного тепла, выделяемого при работе оборудования.
Расход приточного воздуха для помещений АБ, в зависимости от типа батареи, определять расчетом.
При использовании в аккумуляторных герметизированных необслуживаемых аккумуляторов забор воздуха предусматривать из перегонного тоннеля, по которому поезд прибывает на станцию, выброс в перегонный тоннель, по которому поезд уходит со станции.
При применении АБ открытого типа выбросы с помещений АБ осуществлять на поверхность земли.
5.8.2.2.10
Воздух, подаваемый в производственные и бытовые помещения подземных станций, забирать:
а) в помещения на уровнях этажей вестибюля - с поверхности земли, из подуличного перехода у лестничного схода или из тоннеля;
б) в помещения на уровне платформенной части станции - со станции или из перегонного тоннеля.
Воздух из помещений туалетов и канализационных установок, кладовых ГСМ, медпунктов, душевых и помещения для сушки спецодежды, комнат приема пищи, машинных помещений эскалаторов удалять на поверхность земли. При обосновании допускается удаление воздуха из помещений медпунктов и туалетов в тоннель. В вентиляционных установках при этом предусматривать резервные вентиляторы и фильтры на полную производительность системы.
При удалении воздуха на поверхность земли из помещений туалетов и канализационных установок на станциях глубокого заложения использовать кольцевое пространство между напорным трубопроводом установки и обсадной трубой ее скважины, из помещений туалетов на станциях мелкого заложения - самостоятельный воздуховод.
Воздух, удаляемый из других помещений, возвращать в тоннель за местом его забора по направлению движения поезда, уходящего со станции, на поверхность земли или в подуличный пешеходный переход.
5.8.2.2.11
Для аппаратных АТДП, аккумуляторных и машинных помещений эскалаторов предусматривать отдельные приточно-вытяжные вентиляционные установки. При необходимости предусматривать рециркуляцию, а также подогрев или охлаждение воздуха.
Удаление воздуха из машинных помещений эскалаторов пересадочных сооружений станций глубокого заложения предусматривать в тоннели или вентиляционные каналы под платформой с учетом работы тоннельной вентиляции и организации режима дымоудаления.
5.8.2.2.12
Для кладовых ГСМ предусматривать отдельные вытяжные вентиляционные установки. Поступление воздуха предусматривать из коридоров, через клапаны избыточного давления, устанавливаемые в стенах тамбур-шлюзов на входах в тамбур-шлюз из коридора и отверстия в стенах разделяющих тамбур-шлюзы и помещения с установкой огнезадерживающих клапанов во взрывозащищённом исполнении с электроприводом и возвратной пружиной.
Для машинных помещений подземных ТПП предусматривать отдельные приточно-вытяжные вентиляционные установки с забором воздуха с поверхности земли или из перегонного тоннеля, по которому поезд прибывает на станцию, и выпуском воздуха на поверхность или в перегонный тоннель после станции по направлению движения поезда, для помещений РУ подстанций - приточно-вытяжные установки с забором воздуха из перегонного тоннеля.
Допускается применение рециркуляционных систем вентиляции с охлаждением воздуха.
5.8.2.2.13
Для вентиляции помещений водоотливных установок и зумпфа использовать вытяжную вентиляцию с забором и удалением воздуха из одного тоннеля и зумфа, независимо от места расположения установки. Выброс воздуха в тоннель располагать за местом забора воздуха по ходу движения поезда.
5.8.2.2.14
Размещение оборудования вентиляционных установок предусматривать согласно СНиП 41-01. Используемые в вентиляционных системах противопожарные клапаны должны отвечать требованиям противопожарных норм.
Вентиляторы вытяжных установок кладовых ГСМ принимать взрывозащищенного типа с взрывозащищенным электродвигателем. На всасывающем участке воздуховода, при входе его в машинное помещение установки, предусматривать огнезадерживающий клапан во взрывозащищённом исполнении с электроприводом, сблокированный с вентилятором. При возникновении пожара вентилятор должен автоматически отключаться, противопожарный клапан закрывается.
В машинных помещениях установок предусматривать закладные элементы для крепления инвентарных грузоподъемных средств малой механизации.
5.8.2.2.15
Для обеспечения в вестибюлях и платформенных залах станций нормируемых параметров воздушной среды в холодный период года в городах со средней температурой наружного воздуха самого холодного месяца ниже 0 °С предусматривать воздушно-тепловую или воздушную завесу. Температуру и теплосодержание наружного воздуха для расчета ВТЗ принимать по параметрам Б СНиП 41-01.
Забор воздуха для ВТЗ предусматривать из помещения кассового зала вестибюля, подачу - в тамбур между двумя линиями дверей входов в кассовый зал. Допускаются иные схемы подачи и забора воздуха (вертикальной струей, односторонней подачей в тамбур и в кассовый зал), а также использование подвесных и напольных ВТЗ.
При горизонтальной подаче скорость воздуха в подающей решетке должна быть не более 6 м/с, низ решетки располагать на высоте 0,3 м от пола, верх - не выше 1,5 м.
При вертикальной подаче скорость воздуха определять в зависимости от высоты расположения приточной решетки.
Перед калориферами предусматривать очистку подаваемого воздуха в противопыльных фильтрах.
ВТЗ рассчитывать на подачу в тамбур воздуха температурой не выше 45 °С в объеме, обеспечивающем подогрев поступающего в кассовый зал наружного воздуха до температуры 10 °С.
На трубопроводах теплоснабжения ВТЗ следует устанавливать шаровые вентили с электроприводами, сблокированные с работой ВТЗ.
Необходимость устройства ВЗ или ВТЗ в порталах тоннелей устанавливать расчетом исходя из обеспечения в холодный период года температуры воздуха на ближайшей к порталу станции не ниже 5 °С.
5.8.2.2.16
В производственных и бытовых помещениях станций применять воздуховоды из негорючих материалов, соответствующих санитарно-гигиеническим требованиям.
Транзитные воздуховоды, прокладываемые до санитарно-бытовых, бытовых и производственных помещений или через эти помещения в местах прохода через конструкции с нормируемыми пределами огнестойкости, должны отвечать СНиП 41-01. Пределы огнестойкости воздуховодов определять по НПБ 239 [12].
Прокладка транзитных воздуховодов через помещение ГСМ не допускается.
5.8.2.2.17
Разработку технических решений по использованию тепловых вторичных энергетических ресурсов выполнять по СНиП 41-01.
5.8.3 Теплоснабжение
5.8.3.1
Для каждого вестибюля станции следует предусматривать самостоятельный ввод тепловой сети и тепловой пункт. При обосновании возможно предусматривать один ввод на два вестибюля станции.
5.8.3.2
Вводы наружных тепловых сетей предусматривать в помещения тепловых пунктов, располагаемые в вестибюлях станций; высота помещения - не менее 2,2 м, ширина проходов для обслуживания оборудования - не менее 0,8 м. Тепловые пункты предусматривать с учетом СП 41-101 [13].
Не допускается размещение тепловых пунктов, ВТЗ и УМВ с перегретой водой в качестве теплоносителя над пассажирскими помещениями, помещениями аппаратных, релейных, кроссовых, подстанций, машинных помещений эскалаторов, над перегонными тоннелями. Полы помещений теплового пункта, ВТЗ и УМВ должны иметь металлическую гидроизоляцию с выводом на стены на 200 мм выше отметки чистого пола.
5.8.3.3
При применении на станции одного теплового ввода тепловые пункты вестибюлей соединять трубопроводом, который прокладывать в подземном канале высотой не менее 1100 мм. На станции мелкого заложения допускается прокладка трубопровода в вентиляционном канале под платформой, при этом на трубопроводе в тепловых пунктах устанавливать задвижки с электроприводом и дистанционным управлением из ДПС, выполнять инструментальную проверку качества сварки всех стыков и защиту стыков футлярами длиной 300 мм.
5.8.3.4
Прокладку тепловой сети к вестибюлям станций предусматривать в проходных, полупроходных и непроходных каналах высотой не менее 1100 мм с уклоном в сторону городской теплосети Примыкающие к вестибюлям станций каналы тепловой сети на длине 5 м предусматривать из монолитного железобетона с гидроизоляцией. Допускается применение бесканальной прокладки вводов тепловых сетей к вестибюлям из стальных трубопроводов с индустриальной тепловой изоляцией из пенополиуретана в полиэтиленовой оболочке и с системой ОДК.
5.8.3.5
Ввод трубопроводов предусматривать через неподвижные опоры, устанавливаемые в стене подземного вестибюля с устройством сальниковых узлов. Стена должна иметь теплостойкую гидроизоляцию по площади примыкающего канала тепловой сети.
На трубопроводах вводов предусматривать стальные задвижки, электроизолирующие фланцы.
Оборудование теплового пункта и водомерного узла располагать в отдельных помещениях.
5.8.3.6
Удаление воды из каналов тепловой сети предусматривать в городские канализационные сети.
5.8.3.7
На водах тепловых сетей следует предусматривать телеметрические устройства контроля работы тепловых пунктов, коммерческого учета и учета расхода тепла с передачей информации на диспетчерский пункт.
5.8.3.8
В тепловых сетях применять трубы следующих типов:
а) магистральные трубопроводы тепловой сети – стальные бесшовные трубы по ГОСТ 8732 и стальные электросварные прямошовные трубы по ГОСТ 10704;
б) разводящая сеть – трубы стальные оцинкованные по ГОСТ 3262.
5.8.3.9
Трубопроводную арматуру выбирать в соответствии с рабочим давлением в сети. Запорную арматуру диаметром 50 мм и менее применять из цветных сплавов.
5.8.3.10
Стальные трубопроводы должны иметь защиту от химической коррозии и электрокоррозии согласно ГОСТ 9.602 и 5.21.
5.8.4 Отопление
5.8.4.1
Отопление предусматривать:
а) в городах со средней температурой наружного воздуха самого холодного месяца ниже 0 °С - в кассовых залах, санитарно-бытовых, производственных и других помещениях вестибюлей подземных и наземных станций. При размещении касс в уровне пешеходных переходов с оплатой проезда пассажирами из этой зоны, отопление в пешеходном переходе не требуется.
б) в городах со средней температурой выше 0 °С - в помещениях кассиров и помещениях с постоянным пребыванием персонала.
Расчетные температуры и теплосодержание наружного воздуха для расчета систем отопления (в том числе воздушного) наземных помещений принимать по параметру Б СНиП 41-01.
Расчетные температуры в помещениях принимать согласно таблице 5.8.1.
5.8.4.2
В качестве источников теплоснабжения использовать городские распределительные тепловые сети ТЭЦ, районные котельные, водяные или паровые котельные предприятий или жилых зданий, а также автономные источники тепла.
5.8.4.3
В качестве теплоносителя предусматривать:
а) для отопления бытовых и производственных помещений наземных и подземных вестибюлей станций, а также помещений станций мелкого заложения - воду с температурой 95 -70 °С или электрические приборы отопления;
б) для воздухонагревателей ВТЗ на входах в кассовые залы вестибюлей станций, приточных УМВ, регистров обогрева подножных решеток в наземных вестибюлях, приборов отопления кассовых залов вестибюлей – перегретую воду. Допускается, при сложных объемно-планировочных решениях, использовать воду с параметрами 95°С- 70 °. При обосновании для отопления помещений вестибюлей станций, включая кассовый зал, допускается применять электрическую энергию;
в) для бытовых и производственных помещений в уровне платформенной части станций глубокого заложения, а также для кабин дежурных у АКП, у эскалаторов и на платформе станции электрические приборы отопления;
г) для подогрева ступеней лестниц подуличных переходов, совмещенных с входами в подземные вестибюли станций, а также примыкающих к лестницам участков тротуаров длиной 3 м, - электрические нагревательные кабели, электрические инфракрасные излучатели с защищенными нагревательными элементами или другие устройства, обеспечивающие расчетную температуру поверхности подогреваемых поверхностей не ниже 3 °С.
Для перегонных тоннелей и других сооружений, склонных к обледенению, допускается применение электрических инфракрасных излучателей с защищенными нагревательными элементами.
5.8.4.4
Нагревательные приборы в кассовых залах вестибюлей станций закрывать съемной металлической сеткой с ячейками 10х10 мм и декоративными решетками из негорючих материалов. Расстояние до низа решеток должно обеспечивать возможность уборки пола. Под приборами водяного отопления кассовых залов вестибюлей предусматривать устройство водоотводящих лотков и трапов.
5.8.4.5
Обогрев подножных решеток в наземных вестибюлях станций предусматривать только в городах со средней температурой наружного воздуха самого холодного месяца ниже 0 °С. Для обогрева подножных решеток применять инфракрасные обогреватели с закрытыми нагревательными элементами, приточную вентиляцию с подогревом воздуха и другие способы обогрева.
Подогрев ступеней лестниц и участков тротуаров перед лестницами предусматривать для районов со средней температурой наружного воздуха самого холодного месяца ниже 0 °С.
5.8.4.6
В помещениях ВОУ, располагаемых сбоку от перегонных тоннелей или на участках тоннелей, где возможна температура воздуха ниже 5 °С, предусматривать электрическое отопление.
5.8.4.7
Электрические приборы отопления применять с закрытыми нагревательными элементами и температурой поверхности не более 95 °С, они должны закрепляться стационарно, их присоединение к электрической сети предусматривать согласно 5.10.4.8.
5.8.4.8
Трубопроводы систем отопления, теплоснабжения воздухонагревателей, систем вентиляции, кондиционирования и воздушно-тепловых завес (далее – трубопроводы систем отопления) следует проектировать из стальных, медных и полимерных труб, разрешённых к применению в строительстве.
5.8.4.9
В системах отопления и теплоснабжения воздухонагревателей стальные трубы применять следующих типов:
а) трубопроводы с наружным диаметром до 60 мм – стальные электросварные по ГОСТ 10704, стальные водогазопроводные лёгкие по ГОСТ 3262;
б) трубопроводы с наружным диаметром свыше 60 мм – стальные электросварные по ГОСТ 10704, стальные бесшовные трубы по ГОСТ 8732;
в) для дренажных и воздуховыпускных трубопроводов – оцинкованные трубы по ГОСТ 3262.
5.8.5 Сжатый воздух
5.8.5.1
В нижней части эскалаторного тоннеля или в одном из проходов между конструкциями эскалаторов предусматривать стальную трубу условным диаметром 50 мм. На трубе через 25 м устанавливать патрубки с вентилями для присоединения пневматических механизмов.
Подачу сжатого воздуха в трубу предусматривать от передвижного компрессора. Трубу выводить на поверхность земли в место, исключающее неконтролируемое присоединение к ней.
5.9.1 Водоснабжение
5.9.1.1
Сооружения метрополитена должны иметь внутреннюю объединенную или раздельные системы хозяйственно-питьевого, противопожарного и технологического водопровода.
Источником водоснабжения должна быть сеть городского водопровода или другие источники.
При объединенной системе должно быть два ввода от различных участков источника водоснабжения, при отдельных системах – один ввод для хозяйственно-питьевых и технологических нужд и не менее двух вводов для противопожарных нужд.
На подземных и закрытых наземных участках должна быть объединенная система магистральных линий водопровода для подачи воды на станции, в тоннели и в притоннельные сооружения и локальные разводящие сети от магистральных линий до потребителей воды.
Выбор системы внутреннего водопровода следует производить в зависимости от технико-экономической целесообразности, санитарно-гигиенических и противопожарных требований, а также с учетом принятой системы наружного водопровода и технологических требований.
5.9.1.2
На каждую станцию следует предусматривать два ввода:
- для станций глубокого заложения двумя трубопроводами в каждый вестибюль;
- для станций мелкого заложения либо двумя трубопроводами в один из вестибюлей, либо в каждый вестибюль по одному трубопроводу.
Водопроводные вводы должны быть закольцованы в пределах станции.
На вводах предусматривать задвижки с электроприводом, обратные клапаны, электроизолирующие фланцы и приборы для дистанционного и местного учета расхода воды.
Для пропуска противопожарного расхода воды на водомерном узле предусматривать обводную линию, оборудуемую задвижкой с электроприводом.
Водомерные узлы размещать в отдельном помещении.
Диаметры водопроводных вводов определяются расчетом. Проходы труб через наружные стены выполнять с применением сальников.
5.9.1.3
При недостаточном гидростатическогом напоре на вводе необходимо предусматривать самостоятельные насосные установки для противопожарных и хозяйственно-питьевых нужд, с размещением их в отдельном помещении или в помещении водомерного узла.
Противопожарные повысительные насосы должны обеспечивать требуемую производительность пожарной струи и напор у пожарного крана при пожаротушении в вестибюлях, на платформе и на участках перегонов, обслуживаемых станцией линий мелкого заложения и в вестибюлях станций глубокого заложения.
Установки оборудуются двумя насосами, один из которых является резервным и включается автоматически при остановке основного насоса.
5.9.1.4
Сеть объединенного водопровода должна обеспечивать пропуск расчетного расхода воды на пожаротушение включая максимальный расход её на хозяйственно-питьевые и производственные нужды. При этом расход воды на пользование душами, поливку территории, промывку сооружений и устройств не учитывать.
5.9.1.5
Расход воды на хозяйственно-питьевые нужды принимать по числу водопотребителей в наиболее многочисленной смене согласно СНиП 2.04.01.
Расход воды на технологические нужды определять исходя из потребности соответствующего оборудования.
Для влажной уборки помещений станции и примыкающих к ней перегонных тоннелей принимать для поливочных кранов следующие расходы воды, л/с:
а) поливочный кран диаметром 50 мм - 3,0;
б) поливочный кран диаметром 20мм-0,3;
в) заполнение агрегата для мытья тоннелей с использованием 2 кранов диаметром 50мм – 6. Расход и диаметр уточняется в зависимости от типа используемого агрегата.
Количество воды на одновременную работу устройств определяется расчётом на основании регламента технологического обслуживания метрополитена.
5.9.1.6
Расход воды на пожаротушение определять согласно разделу 5.16. и п.5.9.1.4.
Условный диаметр труб элементов водопроводной сети принимать не менее, мм:
а) обводная линия водомерного узла, магистрали на станциях и в тупиках - 100;
б) магистрали в тоннелях - 80;
в) разводящая сеть - по расчету.
5.9.1.7
Прокладку водопровода предусматривать в каждом тоннеле на высоте 0,6-0,8м от уровня головки рельсов на слаботочной стороне. При размещении водопровода со стороны контактного рельса трубопровод заключать в футляр. В двухпутном тоннеле водопровод прокладывать по обеим сторонам.
Трубопровод, прокладываемый в штрабах путевого бетонного слоя, небходимо выделять с двух сторон задвижками с ручным приводом и элктроизолирующими фланцами с соблюдением требований п.5.21.
5.9.1.8
На тоннельном водопроводе и на участках, закрытых галереями, следует устанавливать задвижки с ручным приводом не более чем через 500м.
Запорная арматура с электроприводом устанавливаются:
- на тоннельном водопроводе с размещением их на станции;
- на выделяемых участках водопровода в тоннелях, примыкающих к приточной УТВ и попадающих в зону отрицательных температур. Задвижки следует размещать в зоне тоннеля с положительной температурой.
На участке тоннельного водопровода между станцией и вентиляционной шахтой необходимо устраивать перемычку.
Тупиковые участки тоннельного водопровода соединять между собой перемычкой через ближайшую сбойку с установкой в ней задвижки с ручным приводом.
5.9.1.9
На водопроводной сети устанавливать:
- поливочные краны диаметром не менее 20 мм:
а) у лестничных сходов, у наземных и подземных входов на станцию, в кассовых залах вестибюлей;
б) в начале крайних подбаллюстрадных проходов машинных помещений эскалаторов, в натяжных камерах, в помещениях вентиляционных и насосных установок, калориферных, в подвальных помещениях подстанций, в коридорах между станциями;
в) в пешеходных подуличных переходах, кабельных коллекторах, проходных вентиляционных каналах и в венттоннелях, в подплатформенной части станции, в вентиляционно-кабельном отсеке эскалаторных тоннелей. Расстояние между поливочными кранами принимать не более 20м;
г) в перегонных тоннелях и на наземных закрытых участках. Расстояние между поливочными кранами в тоннеле принимать не более 30 м.
На коротких участках трассы размещать не менее 2 кранов:
- водоразборные краны диаметром 20 мм размещать на высоте 0,5-0,7м от пола с подводкой к одному холодной, к другому горячей воды:
а) в блоках технологических и служебных помещений на станции глубокого заложения;
б) на всех уровнях вестибюля в кубовых или в помещениях женского санузла, при отсутствии этих помещений – в коридоре.
- пожарные краны в соответствии с разделом 5.16;
- краны для наполнения промывочных агрегатов через 450 м (два вентиля диаметром 50 мм с соединительными головками - см. 5.9.1.5.в) на водопроводе в тоннелях и на наземных закрытых участках линии или на платформах станций.
5.9.1.10
На входах в вестибюли станций и у лестничных сходов в подуличные переходы предусматривать поливочные краны диаметром не менее 25мм с соединительной головкой для промывки приямков подножных решеток.
5.9.1.11
Прокладку магистральных и разводящих сетей водопровода предусматривать открыто в кабельных тоннелях, коридорах, производственных помещениях. В помещениях электрощитовых, аппаратных кроссовых, кладовых прокладка водопровода не допускается.
Участки водопровода холодной воды диаметром 50 мм и более (за исключением подводок к пожарным кранам) в коридорах и помещениях вестибюлей станций и участки магистральных трубопроводов горячего водоснабжения, должны иметь теплоизоляцию.
На станциях глубокого заложения водопровод на участке от вестибюля до уровня пассажирских платформ прокладывать через специальную скважину, расположенную в вестибюле, или в вентиляционно-кабельном отсеке эскалаторного тоннеля.
5.9.1.12
В вестибюлях станций подачу горячей воды к санитарно-техническим приборам предусматривать от централизованной системы горячего водоснабжения или от электрических водонагревателей. На период отключения системы теплоснабжения в санитарных узлах предусматривать электроводонагреватели для подачи горячей воды к двум душевым сеткам.
Душевые и умывальные в ПТО, раковины в ТПП и в машинных помещениях эскалаторов обеспечивать горячей водой от электроводонагревателей.
В помещениях приема пищи, медпункта и одной из кубовых в вестибюле станции предусматривать установку электроводонагревателей, емкости которых определять расчетом.
5.9.1.13
В сооружениях и предприятиях с большим потреблением воды на производственные нужды применять системы оборотного водоснабжения.
5.9.2 Водоотвод
5.9.2.1
Подземные сооружения должны иметь систему самотечного сбора и принудительного отвода воды при нарушениях водонепроницаемости обделок, при тушении пожара, промывке сооружений, работе технологического оборудования. В систему водоотвода входят самотечные лотки и трубы, приемные колодцы и трапы, водоотливные насосные установки, напорные трубопроводы и наружные сети.
5.9.2.2
Отвод воды из подуличных переходов, коридоров между станциями, вентиляционных и кабельных тоннелей, путевых и станционных тоннелей с бетонным основанием пути в водосборники ВОУ предусматривать самотеком по открытым лоткам или трубам. Для прокладки лотков между однопутными перегонными тоннелями закрытого способа работ предусматривать ходки.
5.9.2.3
Прием воды через трапы или колодцы с решетками и отвод ее самотеком по трубам предусматривать:
- в тоннелях со щебеночным основанием пути;
- на платформах станций, в кассовых залах вестибюлей , в коридорах между станциями;
- в машинных помещениях эскалаторов, в помещениях УМВ, водопроводных вводов, тепловых пунктов, кубовых, аккумуляторных, в коридорах служебных помещений.
Слив воды из поломоечных машин необходимо предусматривать в грязесборный колодец объёмом не менее 1 м3
.
5.9.2.4
Диаметр самотечных труб предусматривать не менее 100 мм, отводы не менее 120°, уклон лотков - не менее 0,003, расстояние между колодцами - не более 20 м. В начале, в середине и в конце платформы предусматривать трапы.
Водоотводящие лотки в сооружениях предусматривать из водостойкого материала, площадь поперечного сечения принимать не менее 76 см2
.
Лотки под платформой на станциях мелкого заложения, в которые поступает вода от трапов, принимать размером 200х150(h) и перекрывать съемной перфорированной сталью.
Отвод воды в перегонных тоннелях с щебеночным основанием пути необходимо предусматривать по двум трубам диаметром 200мм, в стесненных условиях – по трем трубам диаметром 150мм.
Трапы и колодцы располагать в местах, доступных для их прочистки.
5.9.2.5
Глубина приямков с подножными решетками на входах в наземный вестибюль станции должна быть 1 м при водяном отоплении ямы и 0,6м при поверхностном обогреве ямы, у лестничных сходов в подуличные переходы - не менее 0,6 м, емкость отстойной части - не менее 2 м3
.
Приямки и отстойники располагать в местах, доступных для механизированной очистки.
У водоотливных установок для лестничных входов предусматривать трубопровод диаметром 250 мм, соединяющий ВОУ с люком на поверхности, для очистки водосборника передвижными агрегатами. Люк оборудовать запорным устройством.
Дополнительно, у ВОУ лестничных входов при необходимости предусматривать колодец (накопитель) емкостью до 3-4 м³ для сбора осадка из водосборника в зимнее время, очистку которых предусматривается производить передвижными агрегатами.
5.9.2.6
Водоотливные установки в зависимости от их назначения и расположения разделяются на основные, транзитные и местные. Водоотливные установки следует располагать:
- основные – в пониженных местах трассы линии, а также на станциях мелкого заложения, когда установка принимает воду из перегонных тоннелей;
- транзитные – на середине участков с затяжными уклонами трассы при расстоянии от водораздела до пониженной точки более 1500м;
- местные – в пониженных местах станций и притоннельных сооружений, откуда вода не может быть удалена самотеком.
Каждая ВОУ должна располагаться в отдельном помещении. Водосборники ВОУ должны быть доступны для механизированной очистки.
В городах со средней температурой наружного воздуха самого холодного месяца ниже 0°С расстояние между примыканием к тоннелю приточной УТВ и ВОУ определяется в зависимости от климатических условий.
5.9.2.7
Основную водоотливную насосную установку на линии следует оборудовать тремя насосами, транзитную и местную - двумя; местную насосную установку у лестничного схода подземного вестибюля станции – одним стационарным насосом и одним переносным.
В нормальном режиме работы в основной насосной установке следует предусматривать работу двух насосов, в транзитной или местной насосной установке – одного насоса, в аварийном режиме – работу всех насосов установки.
Водоотливные установки предусматривать с системой управления работой насосов по циклу.
Производительность каждого насоса, м3
/ч, должна быть не менее:
- основной и транзитной установок:
а) на линиях глубокого заложения - 150;
б) на линиях мелкого заложения - 50;
- местной установки - 50.
Объем водосборников в установках принимать согласно таблице 5.9.1.
Таблица 5.9.1
| Тип установки
|
Объем водосборника, м3
, не менее
|
| рабочий
|
общий
|
| Линия глубокого заложения:
|
| Основная
|
30
|
70
|
| Транзитная
|
15
|
40
|
| Местная
|
7
|
8
|
| Линия мелкого заложения:
|
| основная и транзитная
|
15
|
30
|
| Местная
|
4
|
5
|
Рабочий объем водосборника определять от уровня воды, при котором отключаются все насосы, до уровня воды, при котором включается последний из установленных насосов. Общий объем водосборника определять от уровня воды, при котором отключаются все насосы, до низа перекрытия водосборника ВОУ на станции мелкого заложения, в тупиках и на лестничных входах, в МВУ на станциях глубокого заложения до отметки чистого пола коридора под натяжной и до подошвы шпал - в остальных установках.
Предусматривать возможность механизированной очистки водосборников.
В ВОУ предусматривать устройства для залива горизонтальных насосов.
5.9.2.8
Помещения ВОУ оборудовать подъемно-транспортными механизмами с ручным приводом.
5.9.2.9
Для ВОУ: основных, транзитных и местных (кроме установок у лестничных сходов) предусматривать по два напорных трубопровода.
Самотечные трубопроводы от ямы для очистки ног присоединять к городской сети водостока через колодцы с отстойной частью емкостью не менее 2 м3
.
На напорных трубопроводах ВОУ предусматривать приборы для дистанционного учета объема удаляемой воды.
На участках линии глубокого заложения удаление воды из водосборников местных ВОУ предусматривать в водоотводящие лотки перегонных тоннелей.
5.9.2.10
В основных и транзитных ВОУ водосборники должны иметь три отделения (из них одно отстойное), в местных - два (одно отстойное).
В каждом отделении должны быть смотровые люки, лестницы и мостики, перепускные клапаны и переливные окна в перегородках, устройства для взмучивания осадка. Под приемными клапанами всасывающей линии насосов устраивать приямки глубиной 200 мм. Уклон дна водосборника к приямкам принимать не менее 0,02.
В водосборниках устанавливать датчики уровней воды.
5.9.2.11
Уровень пола ВОУ принимать:
а) в основных и транзитных установках - выше уровня головок рельсов пути на 0,25 м; в ВОУ тупиков со смотровыми канавами - допускается ниже уровня головок рельсов на 0,15 м;
б) в местных и основных ВОУ на станциях мелкого заложения - не выше уровня пола соседних помещений.
Высота фундаментов насосов - не менее 0,2 м от уровня чистого пола.
5.9.2.12
Прокладку напорных трубопроводов от основных и транзитных ВОУ до поверхности земли предусматривать в сантехнических скважинах.
По тоннелям трубопроводы водоотвода, за исключением резервных трубопроводов, должны прокладываться в зоне положительных температур с учетом зоны влияния приточных УТВ в холодный период года.
5.9.2.13
Сброс сточных вод от сооружений метрополитена в городские сети ливневой канализации предусматривать в соответствии с СНиП 2.04.03, СанПиН 2.2.1/2.1.1.1200 , ГН 2.1.5.1315 и 2.1.5.1316.
5.9.3 Канализация
5.9.3.1
Сооружения метрополитена должны иметь систему бытовой канализации для приема и отвода сточных вод от санитарно-технических приборов. Для отвода сточных вод из сооружений, располагаемых ниже поверхности земли, применять канализационные насосные установки и приемные резервуары.
В помещениях медпунктов, санузлов и касс следует устанавливать умывальники, а в помещениях приема пищи, тягово-понизительных подстанциях, кубовых и машинных помещениях эскалаторов – раковины.
Внутренние сети канализации сооружений метрополитена проектировать согласно СНиП 2.04.01 и СНиП 2.04.03.
5.9.3.2
В канализационных установках предусматривать два насоса - один рабочий и один резервный; в отдельных случаях допускается установка одного рабочего насоса и хранение запасного насоса на складе.
Установку насосов предусматривать под заливом от уровня сточных вод в приемном резервуаре.
Канализационные установки располагать в отдельных помещениях.
5.9.3.3
Для каждого канализационного насоса предусматривать отдельный всасывающий трубопровод с подъемом к насосу не менее 0,005. На всасывающем и напорном трубопроводах каждого насоса устанавливать задвижки, на напорном трубопроводе, кроме того, - обратный клапан.
5.9.3.4
В приемном резервуаре канализационных установок предусматривать: устройства для взмучивания осадка, герметические смотровые люки, ограждающую решетку на всасывающих трубопроводах насосов, датчики уровней стоков.
Уклон дна резервуара к приямкам принимать не менее 0,1.
5.9.3.5
Исключить прокладку по тоннелю напорных трубопроводов канализации от служебных станционных санитарных узлов.
Напорный трубопровод от канализационных установок присоединять к городской сети канализации.
На канализационных установках размещать приборы для дистанционного учета объема сбрасываемых стоков.
На линиях глубокого заложения прокладку напорных трубопроводов до поверхности земли предусматривать в скважинах.
5.9.4 Трубопроводы
5.9.4.1
В сетях водопровода, водоотвода и канализации применять трубы следующих типов:
а) магистрали водопровода - трубы из коррозионно-стойкой стали по ГОСТ 9940; разводящая сеть - трубы стальные оцинкованные по ГОСТ 3262;
б) напорные трубопроводы водоотвода и канализации - стальные бесшовные трубы по ГОСТ 8732;
в) самотечные трубопроводы при открытой или закрытой прокладке - стальные электросварные трубы по ГОСТ 10704 или чугунные канализационные трубы по ГОСТ 6942. При прокладке за пределами строительных конструкций - трубы чугунные напорные ВЧШГ по ТУ 1461-037-50254094-2008 [14].
При обосновании допускается применение труб из композитных, синтетических и других сертифицированных материалов, обеспечивающих условия эксплуатации и долговечности.
5.9.4.2
Трубопроводную, водоразборную и смесительную арматуру выбирать в соответствии с рабочим давлением в сети и другими параметрами. Запорную арматуру диаметром 50 мм и менее применять из цветных сплавов.
5.9.4.3
Стальные трубопроводы должны иметь защиту от химической коррозии и электрокоррозии согласно ГОСТ 9.602 и разделу 5.21.
5.9.4.4
Крепление трубопроводов из композитных материалов выполнять с учетом физико-механических характеристик материала и диаметра трубопровода, и рекомендаций завода-изготовителя.
На трубопроводе из композитного материала предусмотреть установку компенсаторов. Количество и тип компенсатора определяется расчетом с учетом температурных зон прокладки трубопроводов в тоннеле.
5.10.1 Общие положения
5.10.1.1
Электроснабжение потребителей линии метрополитена следует предусматривать от тяговопонизительных (ТПП), тяговых (Т) и понизительных (ПП) подстанций.
ТПП и Т следует размещать на станциях при необходимости на пернгонах, ПП - на станциях, вестибюлях станций глубокого заложения и перегонах в местах сосредоточения нагрузок и при расстоянии меду ТПП более 1,8км.
5.10.1.2
Электроснабжение ТПП, Т и ПП должно осуществляться по кабельным сетям напряжением 6, 10 и 20 кВ от трех, а при отсутствии технической возможности, от двух независимых источников питания энергосистемы города. В качестве первого источника питания следует принимать непосредственно подстанцию энергосистемы (предпочтительно электростанцию), второго и третьего источников - соседние ТПП, Т линии.
5.10.1.3
В части обеспечения надежности электроснабжения приемники электрической энергии следует относить к следующим категориям по ПУЭ [15]:
а) особая группа электроприемников I категории - установки связи, автоматизированные системы оплаты проезда (АСОП), установки управления движением поездов, устройства дистанционного и телеуправления электроустановками, сети аварийного и эвакуационного освещения;
б) I категория - тяговая сеть, эскалаторы, сети рабочего освещения тоннелей, автоматические установки пожарной сигнализации, оповещения о пожаре и пожаротушения, установки противодымной защиты, водоотливные установки, установки охранной сигнализации;
в) II категория - сети рабочего освещения станций;
г) III категория - установки местной вентиляции, не используемые в системе противодымной защиты, и другие электропотребители.
Устройства автоматического включения резервного питания для особой группы электроприемников I категории и электроприемников I категории следует размещать у потребителей электроэнергии.
Перерыв в электроснабжении тяговой сети допускается на время переключения питания диспетчером средствами телеуправления.
5.10.1.4
В качестве третьего независимого источника питания для особой группы электроприемников I категории следует предусматривать источники бесперебойного питания, обеспечивающие питание расчетных нагрузок в течение 1 ч.
Источники бесперебойного питания необходимо размещать, как правило, отдельно от ТПП и ПП в помещениях с независимыми входами и системами вентиляции. В исключительных случаях допускается размещение источников бесперебойного питания на ТПП, Т и ПП.
5.10.1.5
Электрические сети переменного тока напряжением до 1 кВ следует предусматривать согласно ПУЭ [15] с глухозаземленной нейтралью трансформаторов по системам TN-C, TN-S, TN-C-S. Применение системы с глухозаземленной нейтралью на участках продления действующих линий где используется система IT, необходимо отражать в задании на проектирование.
Параметры электрической сети переменного тока напряжением до 1 кВ установок управления движением поездов следует принимать по технической документации на соответствующие системы управления.
5.10.1.6
Для электроснабжения приемников электроэнергии следует принимать следующие напряжения, В:
- в сетях постоянного тока:
а) 825 - тяговая сеть, на шинах ТППТ, Т;
б) 750, 550 и 975 - на токоприемниках подвижного состава, соответственно номинальное, наименьшее допустимое и наибольшее допустимое;
в) 220 - цепи управления и сигнализации на подстанциях;
- в сетях переменного тока:
а) 380/220 - эскалаторы, вентиляционные и насосные установки, осветительные сети (рабочие и аварийные), установки связи и автоматизированные системы оплаты проезда (АСОП);
б) 220 - осветительные и нагревательные приборы;
в) 12 - переносное и местное освещение.
5.10.1.7
Для подземных сооружений и помещений следует применять рабочее, аварийное и эвакуационное освещение.
Аварийное освещение необходимо предусматривать в пассажирских, производственных и санитарно-бытовых помещениях станций, в перегонных тоннелях и в притоннельных сооружениях.
Аварийное освещение должно обеспечивать функции освещения безопасности при эвакуации.
Эвакуационное освещение должно обеспечивать указание направления и пути эвакуации.
5.10.1.8
Положительный полюс источника питания тяговой сети следует подводить к контактным рельсам, отрицательный - к ходовым рельсам путей.
Контактную сеть линии следует разделять на секции неперекрываемыми воздушными промежутками контактного рельса на главных путях в зонах размещения ТПП и Т, на съездах между главными путями и в местах разделения главных путей и путей другого назначения.
Питание контактной сети каждого главного пути, станционных и соединительных путей от ТПП и Т следует предусматривать раздельным.
В контактной сети главных путей, при необходимости, следует применять пункты параллельного соединения.
5.10.1.9
Электрические сети должны иметь защиту от токов короткого замыкания и от перегрузок сверх установленных норм, а элементы тяговой сети (преобразовательные агрегаты, распределительные устройства 825 В, кабели и оборудование контактной сети), кроме того, - защиту от замыкания на «землю».
Сети переменного тока до 1 кВ с глухозаземлённой нейтралью должны иметь устройства защитного отключения (УЗО).
Электрические сети 20 кВ с резистивно заземлённой нейтралью должны дополнительно иметь защиту от однофазных замыканий на землю, а при двух параллельно работающих вводах 20 кВ - ещё и направленную защиту от однофазных замыканий на землю.
При невозможности обеспечить указанные защиты необходимо предусматривать специальные технические решения.
5.10.1.10
В контактной сети оборудование (кроме быстродействующих выключателей, изготавливаемых на номинальное напряжение 1050 В) и кабели следует принимать на номинальное напряжение 3 кВ.
5.10.1.11
В электрических сетях следует применять кабели не распространяющие горение, с пониженным дымо – и газовыделением, безгалогенные, огнестойкие с медными жилами, в зависимости от типа установки.
5.10.1.12
Средства контроля и защиты от электрокоррозионного воздействия следует предусматривать согласно 5.21.
5.10.1.13
На линии необходимо предусматривать единую систему защитного заземления.
5.10.2 Электрические расчеты. Заземление
5.10.2.1
Расчет сети электроснабжения ТПП, Т напряжением 6, 10, 20 кВ выполнять для нормального, рабочего и аварийного режимов исходя из следующих условий:
а) нормальный режим - электроснабжение ТПП, Т от первого источника питания энергосистемы по двум параллельным линиям, от второго или третьего источника питания - по одной линии. На рассчитываемой ТПП, Т принимать напряжение на 5% выше номинального, на соседних - номинальное;
б) рабочий режим - выход из работы одной линии от первого источника питания. На рассчитываемой ТПП, Т принимать напряжение на 5% выше номинального, на соседних - номинальное;
в) аварийный режим - выход из работы первого источника питания. Электроснабжение ТПП, Т осуществлять от соседних ТПП, Т. При наличии двух линий (перемычек) между ТПП, Т и питании от одной ТПП, Т предусматривать включенные секционные выключатели РУ 6, 10, 20 кВ и номинальное напряжение на обеих ТПП, Т.
Кабели для нормального и рабочего режимов питания выбирать по допустимым длительным токам, для аварийного режима - с допустимой перегрузкой кабелей согласно 5.10.2.3.
Кабели проверять на термическую стойкость в режиме КЗ.
5.10.2.2
Тяговые нагрузки определять без учета рекуперации.
При расчете тяговых нагрузок для выбора числа преобразовательных агрегатов, кабельных линий и оборудования тяговой сети принимать:
- частоту движения поездов в часы пик и число вагонов в них для первого периода эксплуатации и при максимальном развитии линии;
- влияние внешних характеристик ТПП, Т и отклонение от графиков движения поездов в пределах ±15 с;
- напряжение на шинах РУ 6, 10, 20 кВ рассчитываемой ТПП, Т в нормальном режиме на 5% выше номинального, на соседних ТПП, Т - номинальное;
- отключение одного ПА на рассчитываемой ТПП, Т и включение всех ПА на соседних ТПП, Т. На рассчитываемой ТПП, Т напряжение на шинах РУ 6, 10, 20 кВ принимать на 5% выше номинального, на соседних ТПП, Т - номинальное.
К установке на ТПП, Т принимать не менее трех ПА (с учетом резервного ПА).
5.10.2.3
Параметры электрооборудования, коммутационной аппаратуры, кабелей, проводов и шин принимать по результатам расчетов нагрузок и токов КЗ для нормального, рабочего и аварийного режимов работы, исключающих наличие "мертвых зон".
Ток нагрузки кабельных линий для аварийного режима принимать равным 115% по отношению к установленному нормативной документацией длительно допустимому току.
5.10.2.4
На основании результатов расчетов тяговых нагрузок и параметров тяговой сети определять максимально допустимую частоту движения поездов на линии при выходе из работы РУ 825 В одной из ТПП, Т и нормальном режиме работы других ТПП, Т (расчет выполнять для каждой ТПП, Т при номинальном напряжении на шинах 6, 10, 20 кВ соседних ТПП, Т).
5.10.2.5
Электрические сети напряжением 6, 10, 20 кВ и 825 В, а также размеры подстанций предусматривать на максимальные расчетные параметры в любом из периодов.
5.10.2.6
Потеря напряжения в электрических сетях 380/220 В от шин РУ подстанций до электроприемников должна составлять, %, не более:
- на станциях - 5;
- в перегонных тоннелях:
а) нормальный режим питания - 8;
б) аварийный режим - 12.
5.10.2.7
Расчеты токов КЗ для электроустановок переменного тока напряжением свыше 1 кВ выполнять по РД 153-34.0-20.527 [16] с учетом ПУЭ [15].
5.10.2.8
В системе заземления электроустановок линии в качестве заземлителей использовать чугунную обделку тоннелей, металлоизоляцию железобетонных конструкций, металлические конструкции крепления котлованов, специально забиваемые трубы. В качестве заземляющих проводников допускается использовать стальные полосы, предназначаемые для прокладки одиночных кабелей освещения в перегонных тоннелях).
Сопротивление заземляющих устройств ТПП, Т должно быть не более 0,5 Ом.
Для ПП, размещаемых в вестибюлях станций и на других участках линии, отдельные заземлители допускается не предусматривать.
Конструктивное выполнение заземляющих устройств предусматривать по ПУЭ [15].
5.10.3 Подстанции
5.10.3.1
ТПП предусматривать на каждой станции, иное решение подтверждать расчетами.
ТПП, Т размещать в уровне перегонных тоннелей.
ПП применять на станциях при отсутствии на ней ТПП, в вестибюлях станций глубокого заложения и, при необходимости, на перегонах и в отдельно располагаемых сооружениях.
5.10.3.2
Первый источник питания подключать к первой секции шин РУ 6, 10, 20 кВ ТПП, Т, второй источник (от первой секции шин РУ 6, 10, 20 кВ соседней ТПП) - ко второй секции шин РУ 6, 10, 20 кВ. Подключение третьего источника питания, при его наличии, определять при разработке схемы электроснабжения подстанций линии.
Электроснабжение ПП предусматривать от одной или двух ближайших ТПП, Т исходя из их расположения.
5.10.3.3
Шины РУ 6, 10, 20кВ ТПП разделять на две секции с выключателями между ними. Для присоединения к РУ 6, 10, 20кВ трансформаторов АТДП, устройств связи, АСОП и трансформаторов напряжения предусматривать высоковольтные предохранители с разъединителем или выкатной тележкой, для других присоединений- выключатели с электроприводом
5.10.3.4
Шины РУ 825 В предусматривать без секционирования. В состав РУ 825 В должны входить основные питающие линии контактной сети, одна или две резервные питающие линии по одной на каждый путь, для замещения основных питающих линий, а также заземляющий разъединитель положительной шины.
В качестве коммутационных аппаратов и защиты от тока КЗ применять быстродействующие выключатели.
Отрицательная шина 825 В должна быть изолирована.
5.10.3.5
На ТПП предусматривать отдельные РУ 380/220 В для питания:
- электромеханических установок (РУ1);
- осветительных установок (РУ2);
- установок связи, АСОП (РУ3 - для станций мелкого заложения); для станций глубокого заложения установки АСОП получают питание от РУ380/220В ПП вестибюля;
- установки УДП(РУ4) получают питание по технической документации на соответствующие системы управления.
РУ должны состоять их двух секций шин, в РУ2 допускается предусматривать три секции - две рабочие и резервируемую, предназначенную для питания сети рабочего освещения перегонных тоннелей.
Резервируемую секцию допускается подключать к рабочим секциям шин выключателями с электроприводом.
В РУ для присоединения трансформаторов и отходящих линий применять автоматические выключатели.
5.10.3.6
Питание каждой рабочей секции шин РУ 380/220 В предусматривать от трансформатора, присоединяемого к соответствующей секции шин РУ 6, 10, 20 кВ.
Каждый трансформатор в аварийном режиме (отключение одного из трансформаторов) должен с допустимой перегрузкой обеспечивать расчетную нагрузку обеих секций РУ 380/220 В.
Расчет мощности трансформаторов можно выполнять по Приложению 5.10А СП 32-105 [17].
5.10.3.7
Число трансформаторов и схему первичных соединений на ПП определять в зависимости от ее назначения.
5.10.3.8
ИБП(СГЭ) состоит из агрегата бесперебойного питания 380/220 В с аккумуляторной батареей, предназначенной для установки в обычных (не взрывоопасных) помещениях, и РУ переменного тока.
Мощность ИБП(СГЭ) определять расчетом исходя из режима работы (нагрузка, цикличность) электроприемников особой группы I категории. В расчете учитывать нагрузки аварийного освещения станции, ТПП, Т, ПП и прилегающих к ней участков тоннелей.
Для резервирования электроснабжения установок АТДП и связи применять отдельные ИБП.
На ТПП, Т предусматривать АБ для питания цепей управления и сигнализации.
Помещение АБ должно иметь усиленную гидроизоляцию строительных конструкций пола с применением кислотостойких материалов.
5.10.3.9
На подземных подстанциях применение маслонаполненного электрооборудования не допускается.
5.10.3.10
Размещение оборудования на подстанциях должно обеспечивать возможность его замены и транспортировки с использованием стационарных приспособлений для механизации подъемно-транспортных операций.
5.10.3.11
Прокладка транзитных коммуникаций (кабелей, труб, воздуховодов) через помещения подстанций не допускается.
5.10.3.12
На подстанциях предусматривать вспомогательные производственные, а также бытовые помещения согласно таблице 5.10.1.
Таблица 5.10.1
| Назначение помещения
|
Площадь помещения, м2
|
| ТПП, Т
|
ПП
|
| Мастерская
|
10
|
10
|
| Кладовая
|
8
|
8
|
| Помещение для оперативного персонала
|
8
|
8
|
| То же, ремонтного персонала
|
10
|
-
|
| Помещение для приема пищи и отдыха (с умывальником)
|
8
|
-
|
В помещениях предусматривать места для размещения инвентаря по технике безопасности и противопожарного оборудования.
5.10.3.13
Лестницы в помещениях подстанций должны иметь перила и предусматриваться с уклоном до 45°, шириной до 0,9 м со ступенями высотой не более 0,15 м.
Из помещений подстанций предусматривать не менее двух выходов: основной - в зону, из которой обеспечивается свободный выход на поверхность в любое время, второй - непосредственно в перегонные тоннели или в другую зону.
При расположении подстанций между перегонными тоннелями грузовые выходы предусматривать на оба пути. Допускается один из грузовых выходов принимать меньшего размера.
5.10.3.14
Для подключения коммерческих потребителей электроэнергии на подстанциях по заданию заказчика предусматривать дополнительную мощность, отдельные питающие линии и счетчики электроэнергии.
5.10.4 Тяговая сеть
5.10.4.1
Размещение контактного рельса принимать согласно 5.7.
5.10.4.2
Секционирование контактной сети неперекрываемыми ВПКР предусматривать:
- на главных путях, в местах расположения промежуточных ТПП;
- между главными путями и станционными путями;
- между главными путями и соединительными путями;
- между соединительными путями и парковыми путями электродепо (у портала тоннеля);
- между главными путями.
У конечных ТПП, Т контактную сеть главных путей допускается предусматривать без секционирования, но схему питания сети разрабатывать с учетом дальнейшего продления линии.
На главных путях секционирование контактных рельсов предусматривать в местах, проходимых поездом на выбеге.
У стрелочных переводов и затворов применять перекрываемые ВПКР.
Устройство ВПКР в других местах допускается при соответствующем обосновании.
5.10.4.3
В контактной сети главных путей промежуточной станции с путевым развитием предусматривать:
- со стороны станционного пути (тупика):
а) на пути отправления поездов со станции - перекрываемый ВПКР на расстоянии не менее 125 м от выходного светофора;
б) на пути прибытия поездов на станцию - неперекрываемый ВПКР у стрелочного перевода;
- со стороны соединения между главными путями:
а) на пути отправления поездов со станции на другой главный путь - перекрываемый ВПКР на расстоянии не менее 125 м от выходного светофора;
б) на пути прибытия поездов на станцию - перекрываемый ВПКР на расстоянии от центра стрелочного перевода, превышающем на 35 м длину поезда в перспективе.
Примечание - Положение ВПКР указано для варианта соединения между путями, когда ближний стрелочный перевод располагается на пути отправления поезда со станции.
На главном пути за временно конечной станцией, который используется для отстоя поездов, предусматривать перекрываемый ВПКР.
Допускается применение неперекрываемых ВПКР, если на этих участках пути поезда движутся на выбеге.
В кабельных перемычках ВПКР предусматривать разъединители с электроприводом.
5.10.4.4
Каждая секция контактной сети главного пути должна получать питание от двух ТПП, Т по основным и резервным питающим линиям.
Допускается установка одной резервной линии со стороны отправления поезда со станции.
5.10.4.5
Питание распределительных пунктов контактных рельсов станционных путей для оборота и отстоя составов со смотровыми канавами предусматривать:
а) основное - по отдельной питающей линии от ТПП, Т;
б) резервное - по общей резервной линии от ТПП, Т и от контактного рельса одного из главных путей.
При двух станционных путях предусматривать РП для каждого пути. Основная питающая линия подключается к РП1 разъединителем с электроприводом, резервная - к РП2 разъединителем с ручным приводом.
Шины РП1 и РП2 соединять между собой. В соединительной линии предусматривать разъединители: в РП1 - с ручным приводом, в РП2 - с электроприводом.
Для одного станционного пути со смотровой канавой применять один РП.
В зоне расположения смотровой канавы допускается устанавливать два контактных поста 825 В для обеспечения возможности подачи напряжения на отдельные вагоны.
В РП для подключения контактных рельсов, контактных постов и ходовых рельсов участка станционного пути со смотровой канавой, а также для заземления отключенного контактного рельса участка пути применять разъединители с ручными приводами. Разъединители питающей и отсасывающей линий должны иметь общий ручной привод, механически сблокированный с приводом заземляющего разъединителя.
РП размещать в зоне за рельсовым упором вне габарита подвижного состава.
5.10.4.6
Ходовые рельсы участка станционного пути со смотровой канавой изолировать от ходовых рельсов съездов на главные пути. При подаче напряжения на контактный рельс этого пути изолирующие стыки ходовых рельсов должны автоматически шунтироваться.
Разъединители отсасывающих линий РП1 и РП2 соединять между собой и с ходовыми рельсами главных путей.
5.10.4.7
Пути в зоне расположения смотровых канав должны иметь звуковую сигнализацию о подаче напряжения на контактный рельс и световую сигнализацию о наличии или отсутствии напряжения на нем. Световая сигнализация при наличии напряжения должны гореть красным огнём, а при отсутствии напряжения – зеленым. Светильники располагать в смотровой канаве и на стене тупика.
5.10.4.8
Основное и резервное питание контактной сети станционных путей без смотровых канав предусматривать от контактных рельсов главных путей. В питающих линиях применять разъединители с электроприводами, размещаемые у контактных рельсов главных путей.
5.10.4.9
Питание контактного рельса соединительного пути между двумя линиями предусматривать:
а) основное - от контактного рельса главного пути или (при обосновании) от ближайшей ТПП, Т одной из линий;
б) резервное - от контактного рельса главного пути другой линии.
Подключение основной линии осуществлять разъединителем с электроприводом, резервной линии - разъединителем с ручным приводом.
Ходовые рельсы соединительного пути должны быть изолированы от ходовых рельсов главных путей линии, от которой контактная сеть соединительного пути получает резервное питание. Для соединения ходовых рельсов путей предусматривать разъединитель, имеющий общий ручной привод с разъединителем резервного питания контактного рельса.
5.10.4.10
Основное питание контактных рельсов соединительных путей ветки в электродепо предусматривать от соответствующих контактных рельсов главных путей. Подключение питания осуществлять разъединителями с электроприводами.
При длине путей более 700 м основное питание предусматривать от ближайшей ТПП, Т линии по отдельной питающей линии. Линию подключать к контактному рельсу каждого пути ветки разъединителем с электроприводом.
Резервное питание контактных рельсов каждого соединительного пути предусматривать от контактных рельсов парковых путей. Соединение контактных рельсов предусматривать разъединителями с ручным приводом.
Ходовые рельсы соединительных путей ветки должны быть изолированы от ходовых рельсов парковых путей. Их соединение предусматривать разъединителем, имеющим общий ручной привод с разъединителем резервного питания контактного рельса.
В ошиновке разъединителя "+825 В" со стороны электродепо рекомендуется предусматривать нормально снятое звено.
Примечание - Снятие звена, помимо отключения разъединителей, обеспечивает безопасность выполнения работ на соединительной ветке.
5.10.4.11
Отсасывающие линии и междупутные соединители ходовых рельсов присоединять к средним выводам ДТ.
5.10.4.12
Питающие и отсасывающие линии, перемычки контактного рельса и ходовых рельсов должны состоять не менее чем из двух кабелей.
5.10.4.13
Кабельные линии тяговой сети рассчитывать исходя из нагрузок нормального и аварийного режимов работы. В качестве аварийного режима принимать отключение питания контактного рельса от соседней ТПП, Т.
Основные питающие линии на нагрузки нормального режима рассчитывать без перегрузки кабелей, на нагрузки аварийного режима - с перегрузкой кабелей.
Резервные питающие линии рассчитывать на нагрузки нормального режима с перегрузкой кабелей.
Кабели в перемычках контактного рельса рассчитывать на нагрузки нормального режима при отключении в них одного кабеля с перегрузкой оставшихся и на нагрузки аварийного режима с перегрузкой всех кабелей в перемычке.
Кабели отсасывающих линий рассчитывать на нагрузки нормального режима при отключении в них одного кабеля с перегрузкой оставшихся и на нагрузки аварийного режима с перегрузкой всех кабелей в линии.
Кабели междупутных соединителей ходовых рельсов должны отвечать требованиям 5.21.
5.10.5 Электромеханические установки
5.10.5.1
Электроснабжение электромеханических и других установок предусматривать от подстанций непосредственно или от общих магистральных питающих линий исходя из установленной категории надежности питания, их расположения и мощности.
5.10.5.2
Электроснабжение эскалаторов предусматривать непосредственно от ТПП или ПП.
Расчетную мощность эскалаторов принимать исходя из установленной нагрузки для соответствующей высоты подъема (Приложение 5.10Б СП 32-105 [17]) и следующих условий работы:
- при трех эскалаторах:
а) в нормальном режиме: два - на подъем, один - на спуск;
б) в аварийном режиме - три на подъем;
- при четырех эскалаторах:
а) в нормальном режиме: два - на подъем, два - на спуск;
б) в аварийном режиме: четыре - на подъем.
5.10.5.3
Электроснабжение основной и транзитной ВОУ предусматривать непосредственно от ТПП или ПП по одной питающей линии. Вторую линию допускается подключать к общей магистральной линии.
Электроснабжение местных ВОУ и противопожарных повысительных насосных установок обеспечивать от общих магистральных линий.
Каждую питающую линию ВОУ рассчитывать на одновременную работу в нормальном режиме двух насосов в основной и одного насоса в транзитной и местной установках, в аварийном режиме - всех насосов.
Каждую питающую линию противопожарной установки рассчитывать на работу одного насоса.
Для ВОУ с двумя и более насосами предусматривать питание по двум одновременно включенным питающим линиям.
Для местных ВОУ с одним стационарно установленным насосом и для противопожарной установки предусматривать одну рабочую, вторую резервную питающие линии.
5.10.5.4
Электроснабжение УТВ с двумя вентиляторами предусматривать непосредственно от ТПП или ПП по двум рабочим линиям.
Каждую питающую линию УТВ рассчитывать на работу в нормальном режиме одного вентилятора, в аварийном режиме - двух вентиляторов. Расчет по аварийному режиму выполнять при использовании данной УТВ в системе противопожарной защиты.
5.10.5.5
Электроснабжение отдельных притоннельных установок и передвижных агрегатов общей мощностью до 60 кВт в перегонных тоннелях предусматривать от общих магистральных линий. Для присоединения к магистральным линиям применять путейские ящики (ПЯ) с автоматическими выключателями и штепсельными разъемами.
ПЯ устанавливать:
- в кабельных коллекторах;
- под платформой станции в вентиляционно-кабельном канале;
- в перегонных тоннелях:
а) у платформы станции;
б) у стрелочных переводов;
в) у основных и транзитных ВОУ;
г) через 100 м (не более) между вышеуказанными местами.
Расстояние между конечными ПЯ в зоне токораздела магистральных линий между соседними подстанциями принимать не более 15 м.
5.10.5.6
При применении электрических нагревательных кабелей в системе обогрева ступеней лестниц согласно 5.8.3 обеспечивать техническую возможность обслуживания и замены кабелей без проведения строительных работ.
5.10.5.7
Для питания ремонтных механизмов мощностью до 20 кВт и ручного электроинструмента до 3 кВт в машинных и натяжных помещениях эскалаторов, в машинных помещениях и венткиосках УТВ, в ВОУ, канализационных и водозаборных установках предусматривать ПЯ и ящики с автоматическими выключателями и штепсельными разъемами, подключаемые к ближайшим распределительным пунктам 380/220 В.
5.10.5.8
Питание отдельных установок напряжением 220 В - электрических приборов отопления, кондиционеров, шкафов сушки спецодежды, ремонтных и уборочных механизмов и др. предусматривать, как правило, от распределительной сети 380/220 В в соответствии с требованиями ПУЭ [15].
Для присоединения стационарных электроприемников применять автоматические выключатели, для передвижных ремонтных и уборочных механизмов - штепсельные разъемы с защитными контактами.
Штепсельные разъемы предусматривать в машинных и натяжных помещениях эскалаторов, в производственных помещениях, в пассажирских помещениях станции на расстоянии не более 50 м. Число полюсов штепсельных разъемов определять в зависимости от вида подключаемого оборудования.
5.10.6 Освещение
5.10.6.1
Рабочее и аварийное освещение помещений предусматривать с учетом СП 2.5.2623-10 [18] и ПУЭ [15] исходя из функциональных, эстетических, архитектурно-художественных и эксплуатационных условий.
5.10.6.2
В пассажирских помещениях станций применять общее равномерное или локализованное рабочее освещение, выполняемое световыми приборами с электронными ПРА, энергосберегающими источниками света – газоразрядными лампами низкого и высокого давления. Аварийное освещение пассажирских помещений станций выполняется световыми приборами с электронными ПРА, энергосберегающими источниками света – газоразрядными лампами низкого давления. Применение газоразрядных ламп высокого давления для аварийного освещения в пассажирских помещениях станций допускается при питании сети аварийного освещения через ИБП (СГЭ). Световые приборы освещения с использованием светодиодных ламп, должны иметь защитный угол, исключающий попадание в поле зрения пассажиров и обслуживающего персонала прямого излучения.
Неравномерность общего и аварийного освещения не должна превышать 1,5:1.
Элементы осветительных установок по классу светораспределения могут быть прямого (П), преимущественно прямого (Н), равномерного (Р), преимущественно отраженного (В) и отраженного (О) света.
5.10.6.3
В пассажирских помещениях станций и перегонных тоннелях нормируемые значения горизонтальной освещенности принимать по таблице 5.10.2.
Таблица 5.10.2
| Помещение
|
Плоскость нормирования освещенности
|
Горизонтальная освещенность, лк
|
| Станция:
|
| средний и платформенный залы для закрытых станций
|
Уровень пола
|
200
|
| для открытых станций
|
Уровень пола
|
100
|
| кассовый зал
|
То же
|
200
|
| предэскалаторная зона
|
"
|
100
|
| гребенки эскалаторов и лестничные марши
|
Уровень гребенки, ступени
|
100
|
| Коридоры между станциями (тамбуры)
|
Уровень пола
|
100
|
| Входные коридоры и подуличные переходы
|
То же
|
75
|
| Тоннель перегонный, тупиковый, соединительный
|
Уровень головок рельсов
|
20
|
| Участок тоннеля длиной 25 м перед платформой станции и после нее
|
То же
|
60
|
| Участок тоннеля перед порталом длиной, м:
|
| 5
|
Уровень головок рельсов
|
1000
|
| от 5 до 25
|
То же
|
750
|
| " 25 " 50
|
"
|
500
|
| " 50 " 75
|
"
|
300
|
| " 75 " 100
|
"
|
150
|
| " 100 " 125
|
"
|
60
|
| " 125 " 150
|
"
|
20
|
| Остряки стрелочных переводов путей
|
"
|
20
|
| Служебная платформа в тупиковом тоннеле
|
Платформа
|
30
|
| Примечания
1 Значение освещенности приведено для газоразрядных источников света. При использовании ламп накаливания норму освещенности понижать на одну ступень шкалы освещенности.
2 Коэффициенты запаса и неравномерности освещенности для пассажирских помещений станции принимать по Рекомендациям [19].
|
Допустимое отклонение горизонтальной освещенности от нормативной должно составлять не более 20% и не менее 10%.
Расчет осветительных установок пассажирских помещений станций можно выполнять по методике Приложения 5.10В СП 32-105 [17].
5.10.6.4
В ОУ пассажирских помещений среднее значение показателя дискомфорта должно быть не более 20 с допустимым превышением до 20%.
При наличии специальных архитектурно-художественных требований среднее значение цилиндрической освещенности принимать равным 75 лк с допустимым отклонением не более 20%, не менее 10%
5.10.6.5
Освещенность производственных, административных, медицинских, бытовых и других помещений принимать согласно КСЦ Метро-2 [20].
5.10.6.6
Аварийное (эвакуационное) освещение предусматривать в пассажирских, производственных и бытовых помещениях станций, в тоннелях и в притоннельных установках. Освещенность в пассажирских помещениях и тоннелях должна составлять 5% уровня, нормируемого для рабочего освещения, но не менее 10 лк в пассажирских помещениях и 0,5 лк в тоннелях.
5.10.6.7
Освещение платформенных и средних залов станций предусматривать светильниками, расположенными в карнизах свода, кессонах потолка, а также открыто с применением рассеивателей, исключающих ослепление машинистов поездов.
Светильники применять, как правило, промышленного производства с пониженным уровнем шума на напряжение 220 и 380 В переменного тока.
Допускается использование светильников индивидуального изготовления, отвечающих требованиям норм пожарной безопасности. В рабочей документации указывать технические характеристики и правила обслуживания таких светильников.
Светильники располагать в местах, доступных для обслуживания; не допускается их размещение над эскалаторами и ступенями лестниц, над рельсами путей и на высоте более 5 м.
Подвесные светильники (люстры) с одним узлом крепления должны иметь страховочные и спускные устройства.
Для обслуживания светильников предусматривать инвентарные (разборные, складные) лестницы и вышки.
5.10.6.8
Для освещения пространства под краем платформы станции предусматривать отдельную группу рабочего освещения с размещением светильников через 6 м.
5.10.6.9
В перегонных, соединительных и тупиковых тоннелях для рабочего и аварийного освещения применять светильники с люминесцентными лампами.
Напряжение на светильниках в рабочем и аварийном режимах питания должно быть не ниже 90% и не более 105% от номинального.
5.10.6.10
Рабочее освещение станций и перегонных тоннелей не должно ухудшать видимость сигнальных огней.
5.10.6.11
Световые указатели на путях эвакуации согласно 5.16 подключать к сети аварийного освещения.
На входах в соединительные сбойки предусматривать указатели "Аварийный выход на 1 (2) путь", а при выходе из сбойки – указатели направления движения к станциям с их названиями и расстояниями до них. В местах установки эвакуационных указателей предусматривать дополнительное освещение от сети аварийного освещения.
5.10.6.12
В однопутном тоннеле группы рабочего освещения располагать на обеих сторонах, группу аварийного освещения - на сильноточной стороне тоннеля; в двухпутном тоннеле группы рабочего и аварийного освещения - на обеих сторонах тоннеля.
5.10.6.13
В тупиках предусмотреть общее и местное освещение смотровых канав станционных путей.
Общее освещение выполнять светильниками напряжением 220В с установкой их с интервалом через 5м м с каждой стороны тоннеля и канавы в шахматном порядке.
В местах ночного отстоя и технического обслуживания подвижного состава ПТО светильники верхнего освещения располагать вдоль состава на высоте не более 3м (на уровне окон вагонов).
Светильники должны быть антивандального исполнения; местное освещение – переносными светильниками 12 В. Штепсельные розетки для их подключения располагать по одной стороне канавы через 20м.
В тупиках без смотровых канав станционных путей штепсельные розетки для переносных светильников 12 В размещать в местах отстоя составов на стенах через 20м.
5.10.6.14
Питание групп рабочего освещения перегонных, тупиковых и соединительных тоннелей предусматривать от ТПП или ПП по двум кабельным линиям, групп аварийного освещения - по одной кабельной линии.
5.10.6.15
Усиленное освещение в перегонных тоннелях перед порталами тоннелей предусматривать согласно таблице 5.10.2.
Усиленное освещение тоннелей перед платформами станций должно предусматриваться со стороны подхода поезда на участке 150м и 25м со стороны отправления поезда со станции.
Для усиления освещения следует предусматривать отдельные питающие линии и дистанционное управление из ДСП.
5.10.6.16
В перегонных и соединительных тоннелях предусматривать отдельную питающую линию 380/220 В с автоматическими выключателями и штепсельными разъемами в ящиках для подключения ручного электроинструмента мощностью до 5 кВт и переносных светильников для создания усиленного местного освещения. Ящики с двух- и трехполюсными штепсельными разъемами с защитным контактом размещать в однопутном тоннеле на слаботочной стороне тоннеля, в двухпутном - на обеих сторонах в шахматном порядке, с шагом не более 50 м.
К этой же линии подключать ящики с понижающим трансформатором 220/12 В и штепсельным разъемом. Ящики устанавливать в местах расположения устройств АТДП, стрелочных переводов и затворов.
Допустимая потеря напряжения в питающей линии при одновременном подключении двух нагрузок суммарной мощностью 10 кВт - 9%.
В тупиках ящики со штепсельными разъемами и понижающими трансформаторами присоединять к сетям ручного электроинструмента.
5.10.6.17
Для освещения остряков стрелочных переводов предусматривать отдельную группу аварийного освещения.
5.10.6.18
Питание нагрузок мощностью до 100 Вт напряжением 220 В в шкафах связи на станциях и в тупиках предусматривать от сетей ручного электроинструмента.
В тоннелях и притоннельных сооружениях у шкафов связи предусматривать двухполюсную штепсельную розетку с защитным контактом на напряжение 220 В.
5.10.6.19
В притоннельных сооружениях питание сети рабочего освещения предусматривать от местных РП 380/220 В, сети аварийного освещения - от групп аварийного освещения перегонных тоннелей.
5.10.6.20
В сетях освещения притоннельных сооружений, имеющих входы из тоннелей и с поверхности земли, аппараты включения светильников размещать у каждого входа.
5.10.6.21
Штепсельные розетки для подключения переносных светильников напряжением 12 В предусматривать в производственных помещениях, в проходах между эскалаторами, в помещениях тепловых пунктов и ВТЗ через 20 м, у водосборников и фекальных баков насосных установок.
В концах платформ станций и в середине платформ станций с путевым развитием предусматривать штепсельные розетки для фонарей ограждения и специальные штепсельные разъемы согласно 5.16.7.
В подуличных переходах вблизи лестничных сходов предусматривать двухполюсные штепсельные розетки на напряжение 220 В.
5.10.6.22
На входах в вестибюли станций и в кассовые блоки предусматривать электрические звонки с установкой кнопок с внешней стороны входов.
5.10.6.23
В пассажирских помещениях станций предусматривать скрытую электропроводку в тонкостенных металлических трубах; в карнизах допускается открытая электропроводка кабелями.
В производственных, бытовых и других помещениях станций, в тоннелях и притоннельных сооружениях, в кабельных тоннелях и под платформой станций предусматривать открытую электропроводку кабелями; в смотровых канавах станционных путей - электропроводку в тонкостенных металлических трубах.
5.10.6.24
Прокладку кабелей рабочего и аварийного освещения в помещениях предусматривать по раздельным трассам.
5.10.7 Кабельная сеть
5.10.7.1
В тоннелях, притоннельных сооружениях, вентиляционно-кабельных каналах, отсеках и кабельных тоннелях станций в магистральных сетях, а также в распределительных сетях притоннельных сооружений применять бронированные кабели, в производственных и других помещениях станций - небронированные кабели.
5.10.7.2
Прокладку кабелей во всех помещениях и сооружениях, кроме пассажирских помещений, предусматривать открыто, без ограждений и перегородок.
5.10.7.3
Наименьшие расстояния между кронштейнами и между кабелями, а также размеры кабельных помещений принимать по таблице 5.10.3.
Таблица 5.10.3
| Показатель
|
Размер, мм
|
| по вертикали
|
по горизонтали
|
| Расстояние:
|
| между рожками кронштейна
|
125
|
-
|
| между полками
|
150
|
-
|
| между кронштейнами
|
1000-1200
|
800-1100
|
| Высота вентиляционно-кабельного канала под платформой станции в проходной части и в зоне прокладки кабелей
|
1800
|
-
|
| Высота кабельного этажа на подстанции
|
1800
|
-
|
| Расстояние в свету между кабелями:
|
| силовыми напряжением до 3 кВ
|
60
|
15
|
| то же, 6, 10, 20 кВ
|
100
|
Примечание 1
|
| силовыми до 3 кВ и 6, 10, 20 кВ
|
100
|
Примечание 1
|
| силовым до 1 кВ и контрольными
|
60
|
15
|
| силовыми и связи или контрольными:
|
| а) кабели связи или контрольные над кабелями 3-20 кВ
|
500
|
-
|
| б) кабели до 1 кВ над кабелями 3-20 кВ
|
100
|
-
|
| в) кабели связи или контрольные под кабелями 6, 10 кВ
|
100
|
-
|
| г) кабели связи или контрольные под кабелями 20 кВ
|
250
|
| д) пересечение кабелей связи или контрольных с кабелями до 1 кВ
|
15
|
15
|
| е) то же, с кабелями 3-20 кВ
|
Примечание 2
|
| Примечания:
1 Размер по горизонтали принимать не менее диаметра кабеля.
2 Кабели одной из групп прокладывать в трубах или разделять несгораемой перегородкой.
|
5.10.7.4
В однопутных перегонных тоннелях силовые и контрольные кабели располагать по сильноточной стороне тоннеля, кабели установок АТДП и связи - по слаботочной стороне.
Допускается прокладка отдельных кабелей установок АТДП и связи по сильноточной стороне, как правило, ниже силовых кабелей, а силовых кабелей - по слаботочной стороне тоннеля, как правило, выше кабелей связи.
Кабели перемычек контактной сети 825 В и кабели отсасывающей сети 825 В по обеим сторонам тоннеля прокладывать на дополнительных кронштейнах, устанавливаемых ниже основного кабельного кронштейна.
5.10.7.5
Кабели, в зависимости от напряжения и назначения, располагать на кронштейнах в следующей последовательности (сверху вниз):
- сильноточная сторона: кабели 6, 10, 20 кВ; 825 В; 380/220 В; контрольные; магистральные (кабели ПЯ);
- слаботочная сторона: кабели и провода связи; сигнально-блокировочные и контрольные кабели АТДП и связи.
В двухпутном тоннеле допускается смешанная прокладка кабелей по обеим сторонам тоннеля с соблюдением указанных выше требований.
5.10.7.6
Количество прокладывемых кабелей на одном рожке кронштейна должно соответствовать диаметру рожка.
Совместная прокладка на одном рожке кронштейна силового кабеля, кабеля связи или сигнально-блокировочного не допускается.
В пределах одного перегона каждый кабель на кабельных кронштейнах должен, как правило, занимать один и тот же уровень, определяемый по наиболее загруженной зоне.
5.10.7.7
Обход кабелями проемов в стенах тоннелей и переход кабелей с одной стороны тоннеля на другую предусматривать на специальных конструкциях или кронштейнах, располагаемых через 1 м, с креплением кабелей скобами.
Прокладка кабелей под путями линии не допускается.
5.10.7.8
В вентиляционно-кабельном отсеке эскалаторного тоннеля прокладку кабелей предусматривать с креплением скобами к каждому пятому кронштейну.
Прокладка транзитных кабелей в кабельных каналах машинного помещения эскалаторов не допускается.
В стволах шахт прокладку кабелей предусматривать в центральной зоне сечения ствола на металлических конструкциях с площадками через 3 м и лестницами между ними. Крепление кабелей предусматривать скобами к каждому кронштейну.
В местах изменения направления трассы трубной кабельной канализации, а также через 60 м на ее прямолинейных участках размещать колодцы или шкафы; трубы между колодцами или шкафами должны иметь односторонний уклон не менее 3‰.
5.10.7.9
Прокладку взаиморезервирующих кабелей предусматривать в разных перегонных тоннелях.
Прокладку взаиморезервирующих кабелей по станции и в помещениях предусматривать по разным трассам. При необходимости прокладки таких кабелей по общей трассе их разделять асбестоцементными перегородками.
5.10.7.10
В местах пересечения температурных швов на мостах, в местах перехода с конструкций мостов на эстакады, а также на наземных участках в галереях прокладку кабелей предусматривать с запасом по длине, достаточным для компенсации возможных смещений.
5.10.7.11
На соединительных муфтах кабелей напряжением 6, 10, 20 кВ устанавливать специальные противопожарные металлические кожухи. Ограничения в размещении соединительных муфт кабелей 6, 10, 20 кВ принимать по 5.16.
5.10.7.12
Прокладку кабелей через стены и перекрытия сооружений предусматривать в трубах, уплотняемых негорючим материалом.
5.10.7.13
Мероприятия по защите от электрокоррозии предусматривать по 5.21.
5.10.7.14
В перегонных тоннелях и других сооружениях с бетонной и железобетонной обделками предусматривать заземление каждого кабельного кронштейна.
5.10.7.15
Крепление кабельных кронштейнов, заземляющих проводников и других металлоконструкций к железобетонным обделкам тоннелей предусматривать сваркой к закладным деталям в железобетонных обделках или с применением разборных узлов (дюбель-шурупов).
5.10.7.16
Все кабели, выходящие за пределы метрополитена и входящие в метрополитен, должны иметь изолирующие муфты, устанавливаемые на расстоянии 10-20м от выхода (входа) за пределы метрополитена.
Для ввода высоковольтных линий от питающих центров предусматривать помещения кабельных вводов:
- для станций мелкого заложения кабельные вводы предусматривать у ТПП, Т, ПП;
- для станций глубокого заложения вводы предусматривать в кабельных или кабельно-вентиляционных каналах вестибюля ближнего к ТПП, Т, ПП.
При невозможности прокладки питающих линий к кабельным вводам, допускается ввести питающие кабели в венткиоск вентшахты, ближайшей к ТПП, Т, ПП.
5.10.7.17
В контактной сети оборудование (кроме быстродействующих выключателей, изготавливаемых на номинальное напряжение 1050 В) и кабели следует принимать на номинальное напряжение 3 кВ с медными жилами.
5.10.7.18
Средства контроля и защиты подземных сооружений от электрокоррозионного воздействия следует предусматривать согласно 5.21.
5.10.7.19
На линии необходимо предусматривать единую систему защитного заземления.
5.11.1
Электроустановки должны иметь местное управление, а также, при необходимости, дистанционное управление, телеуправление, автоматизированный учет электроэнергии, сигнализацию и измерения.
5.11.2
Устройства управления должны обеспечивать максимальную автоматизацию процесса эксплуатации установок, контроль заданных режимов их работы и сигнализацию при отклонении от них.
5.11.3
Дистанционное управление сетями освещения, электромеханическими установками на станциях и в прилегающих перегонных тоннелях необходимо предусматривать из диспетчерских пунктов станций (ДПС), разъединителями контактной сети — из ТПП, Т. Отдельные разъединители контактной сети на станциях с путевым развитием диспетчерских должны иметь управление из ДПС.
5.11.4
Телеуправление, телесигнализация и телеизмерение электроустановок следует предусматривать из диспетчерского пункта линии в соответствии с принятой структурой метрополитена.
5.11.5
На ТПП, Т и ПП предусматривать:
- местное поэлементное управление объектами; световую сигнализацию положения управляемых объектов, световую и звуковую сигнализации об их аварийном отключении, автоматический контроль наличия напряжения в цепях оперативного тока;
- местное автоматизированное управление объектами;
- отключение выключателей в сетях 6, 10, 20 кВ от действия защит и блокировку включения по условиям безопасности;
- автоматизированную систему учета электрической энергии на вводах и отходящих линиях 6, 10, 20 кВ, на ПА и трансформаторах с размещением центральной станции системы в ДПЛ.
Кроме того, на ТПП, Т предусматривать:
- местное поэлементное управление выключателями 6, 10, 20 кВ и 825 В, разъединителями питающих линий 825 В, заземляющими разъединителями в РУ 825 В;
- контроль наличия напряжения на шинах РУ 825 В;
- отключение ПА при замыканиях на "землю" в них и подключенных к ним кабелях 825 В;
- отключение питающей линии 825 В при замыкании в кабеле на "землю";
- отключение ПА и питающих линий 825 В при замыкании на "землю" в РУ 825 В;
- однократное повторное включение питающих линий 825 В после отключения от перегрузки или КЗ в контактной сети;
- отключение питающих линий 825 В при аварийном отключении сблокированных с ними питающих линий на соседних ТПП, Т (в зависимости от принятой схемы тяговой сети).
5.11.6
На ТПП, Т, ПП и в тяговой сети предусматривать из ДПЛ:
- телеуправление:
а) всеми выключателями 6, 10, 20 кВ;
б) выключателями 825 В и заземляющими разъединителями в РУ 825 В ТПП, Т, а также разъединителями с электроприводами в контактной сети;
в) программное управление ПА, выключателями и разъединителями питающих линий 825 В, заземляющими разъединителями в РУ 825 В;
- телесигнализацию положения телеуправляемых объектов и нарушения нормального режима работы подстанции. Допускается объединение телесигналов, требующих одинаковых действий диспетчера;
- телеизмерение:
а) напряжения на секциях шин РУ 6, 10, 20 кВ и РУ напряжением до 1 кВ переменного и постоянного тока;
б) тока нагрузок питающих линий 6, 10, 20 кВ;
в) тока нагрузок ПА, основных и резервных питающих линий 825 В;
г) информации с микропроцессорных устройств защиты питающих линий 6, 10, 20 кВ и 825 В (по мере их внедрения);
- автоматизированный учет расхода электроэнергии по трансформаторам, ПА, питающим линиям 6, 10, 20 кВ. В соответствии с заданием, информацию по учету расхода электроэнергии допускается предусматривать также на рабочих местах главных энергетиков метрополитена и службы электроснабжения.
5.11.7
В ИБП(СГЭ) предусматривать:
- автоматическое переключение РУ 380/220 В на питание от ИБП(СГЭ) при отключении питания от ТПП без режимов переключений;
- телеметрический контроль исправного состояния оборудования, исчезновения напряжения на шинах ИБП(СГЭ), аварийных переключений.
5.11.8
В тяговой сети 825 В станций с путевым развитием предусматривать дистанционное управление из ДПС:
- разъединителями кабельных перемычек между участками контактного рельса и линий резервного питания контактной сети тупиков от контактного рельса главного пути;
- секционным разъединителем между РП1 и РП2 тупиков;
- коммутационным аппаратом в цепи питания электроприводов этих разъединителей.
5.11.9
В Электромеханических установках предусматривать:
- местное поэлементное управление, световую сигнализацию положения (состояния) объектов;
- местное автоматизированное управление объектами:
а) в насосных установках, в ВТЗ, ВЗ, УМВ и ИТП на станции и подстанции в зависимости от установленных параметров (уровня жидкости в сборниках, температуры воды и воздуха и т.д.);
б) отключение УМВ станции и подстанции, закрытие огнезадерживающих клапанов УМВ кладовых ГСМ при срабатывании АУПС;
- дистанционное управление объектами из ДПС:
а) УМВ станции и притоннельных сооружений;
б) повысительными насосами водозаборных скважин;
- дистанционный пуск противопожарных повысительных насосов на водопроводе и открытие задвижек обводной линии водомерного узла кнопочными постами у шкафов пожарных кранов на станциях мелкого заложения и в вестибюлях станций глубокого заложения;
- дистанционное управление объектами из ДПС и телеуправление из ДПЛ предусматривать с учетом их расположения и границ токораздела:
а) агрегатами УТВ, ВТЗ и ВЗ и клапанами систем тоннельной вентиляции, включая клапаны в противодутьевых и вентиляционных сбойках.;
б) противопожарными повысительными насосами и задвижками на водопроводе;
в) погружными насосами и задвижками водозаборных скважин;
- дистанционную сигнализацию в ДПС и телесигнализацию в ДПЛ:
а) положения и состояние дистанционно и телеуправляемых объектов;
б) состояние ВОУ, а также в канализационных установок на станции и в ПТО в тупиках;
в) неисправность и отсутствия напряжения в цепях ДУ и ДС;
г) срабатывания АУПС и АУПТ на станции и превышения допустимой температуры воздуха в машинных помещениях и распределительных устройствах ТПП, Т и ПП; машинных помещениях эскалаторов, помещений щитовых ИБП(СГЭ);
д) состояние цепей управления ДУ-ТУ.
5.11.10
Устройства управления, сигнализации и контроля установками эскалаторов, включая автоматическое переключение питающих линий 380 В в машинном помещении эскалаторов, а также требования по управлению эскалаторами из ДПС и ДПЛ принимать в соответствии с электротехническими заданиями предприятия - изготовителя эскалаторов.
5.11.11
В сетях освещения станций и перегонных тоннелей предусматривать:
- местное индивидуальное управление группами освещения станции и перегонных тоннелей;
- дистанционное управление из ДПС:
а) группами освещения пассажирских помещений станции;
б) группами освещения подплатформенных вентиляционно-кабельных каналов, зоны контактного рельса под козырьком платформы станции, а также перегонных тоннелей;
в) централизованным отключением групп рабочего освещения перегонных тоннелей и подачи светового сигнала;
г) сетями электрообогрева ступеней лестничных сходов в подуличные переходы или коридоры на входах в подземные вестибюли станций;
- автоматическое управление группами усиленного освещения перегонных тоннелей перед платформами станций и порталами тоннелей при приближении поезда;
- автоматическое управление (в зависимости от уровня освещенности в дневное время) группами освещения символов "М" и козырьков над лестничными сходами в подземные вестибюли.
5.11.12
В пассажирских помещениях, в помещениях с постоянным пребыванием персонала, на эскалаторах и лестничных маршах станции предусматривать автоматическое включение групп аварийного освещения при отключении соответствующих групп рабочего освещения. В остальных помещениях, а также в перегонных тоннелях, тупиках и ПТО включение аварийного освещения предусматривать вручную.
5.11.13
Метрополитен должен быть оборудован телеметрической системой измерения и контроля параметров микроклимата, расхода воды, потребления тепла, удаления сточных и использованных вод для передачи на АРМ-ДПЛ по отдельному каналу связи.
5.11.14
Система телеуправления электромеханическими объектами станций метрополитена должна состоять из станционного оборудования нижнего уровня – АРМ-ДПС и верхнего уровня – АРМ-ДПЛ.
Программное обеспечение АРМ-ДПС и АРМ-ДПЛ должно обеспечивать контроль и телеуправление электромеханическими объектами станций.
5.12.1
Линия метрополитена должна быть оборудована системами (устройствами) автоматики и телемеханики движения поездов (АТДП), к которым относятся:
- система автоматического регулирования скорости и безопасности движения поездов (АРС);
- система централизации маршрутов, стрелок и сигналов;
- система автоматического управления поездом (АУП);
- система автоматической блокировка (АБ).
5.12.2
Системы АТДП должны предусматривать возможность функционирования в комплексе автоматизированного управления технологическими процессами на линии.
Примечание — Объем оснащения и этапы внедрения автоматического управления движением поездов определяются техническим заданием.
5.12.3
На соединительных ветках между линиями следует предусматривать системы для движения поездов в обоих направлениях.
5.12.4
Устройства АБ следует предусматривать для вывода с линии поезда с отключенными (или неисправными) поездными устройствами АРС и для регулирования движения хозяйственных и вспомогательных подвижных единиц в ночное время, если последние не оборудованы системой АРС.
5.12.5
Пути линии следует оборудовать рельсовыми цепями. Применение систем АТДП без использования рельсовых цепей, входящих в состав системы автоматического регулирования скорости и обеспечения безопасности движения поездов, должно быть обосновано нормативными документами и выбранными системами. В этом случае должен обеспечиваться контроль целостности ходовых рельсов.
5.12.6
Системы АТДП должны отвечать требованиям Инструкции [4] и Правил [5].
5.12.7
Максимальную пропускную способность линии рассчитывать только по параметрам системы интервального регулирования и безопасности движения поездов. Система АРС при реализации максимального расчетного графика движения поездов должна обеспечивать непрерывный контроль за соблюдением допустимой скорости движения, автоматическое торможение при превышении поездом этой скорости и остановку поезда при непринятии машинистом мер к ее снижению.
Систему АРС предусматривать на принципах автоматического регулирования скорости путем формирования и передачи по каналам связи кодовых сигналов АРС (частотных, цифровых и пр.) на поездные устройства о допустимой скорости движения поезда на данном путевом участке и следующем участке по направлению движения поезда.
В качестве каналов связи могут использоваться ходовые рельсы, напольные датчики, излучающий (щелевой) кабель и другие устройства.
Система АРС должна состоять из стационарных и поездных полукомплектов оборудования.
Примечание - Поездные полукомплекты входят в состав вагонного оборудования и поставляются с подвижным составом.
Систему АРС предусматривать на всех путях линии и соединительных путях между линиями, а так же линией и электродепо.
На участках пути с двусторонним движением поездов систему АРС предусматривать для каждого направления движения.
5.12.8
При расчетах пропускной способности линии учитывать запас времени на восприятие кодового сигнала АРС, разрешающего движение поезда на перегоне, не менее 15 с, на подходе к станции и станционных путях - не менее 5 с.
При необходимости главные и станционные пути могут быть оборудованы внепоездным контролем скорости.
5.12.9
На двухпутных соединительных ветках в электродепо, где каждый путь предназначен, в основном, для движения в одном направлении, допускается не предусматривать устройства автоматической блокировки (АБ) для движения поездов в противоположном направлении.
5.12.10
АБ должна быть нормально отключена. Включение АБ предусматривать из ДПС - отдельными участками, из ДПЛ - отдельными участками и по линии в целом.
5.12.11
В устройствах предусматривать светофоры типа "Метро", на открытых участках линии – допускаются применять типовые железнодорожные светофоры.
В светофорах применять светодиоды или двухнитевые лампы.
Светофоры на главных путях обозначать нечетными номерами для первого пути и четными для второго пути.
Номер светофора составляется из номера перегона (одна или две первые цифры) и порядкового номера светофора на перегоне (последняя цифра).
На светофорах полуавтоматического действия перед номером вводить две буквы, сокращенно обозначающие название станции. Маневровые светофоры могут обозначаться только одной буквой.
5.12.12
Двузначные светофоры автоматического действия предусматривать только на выходе со станции; они должны находиться нормально в отключенном положении.
Светофоры полуавтоматического действия должны иметь два режима работы: при отключенной и при включенной АБ.
5.12.13
Установку светофоров предусматривать, как правило, с правой стороны по направлению движения. В однопутных тоннелях, в местах плохой видимости, и малодействующих маршрутах допускается устанавливать светофоры с левой стороны.
5.12.14
На светофорах полуавтоматического действия (кроме светофоров, разрешающих движение по главным путям в неправильном направлении) предусматривать пригласительные сигналы. Схемы пригласительных сигналов должны обеспечивать контроль положения стрелок по направлению движения поездов.
5.12.15
На светофорах, разрешающих движение в нескольких направлениях, в том числе и по пригласительному сигналу, предусматривать маршрутные указатели.
5.12.16
На путях линии предусматривать двухниточные рельсовые цепи без изолирующих стыков и с изолирующими стыками.
Однониточные РЦ допускаются на перекрестных съездах и парковых путях электродепо.
Рельсовые цепи должны быть защищены:
- от взаимного влияния смежных РЦ при замыкании изолирующих стыков между ними;
- от влияния тягового тока в рельсах и блуждающих токов;
- от влияния токов РЦ наложения, используемых в других схемах.
5.12.17
Каждая РЦ должна иметь не менее двух выходов тягового тока и использоваться также для контроля целостности ходовых рельсов.
В каждой неразветвленной РЦ с изолирующими стыками должно быть не более двух дроссель-трансформаторов (ДТ) для пропуска тягового тока. В разветвленных РЦ допускается установка трех ДТ.
В однониточной РЦ для пропуска тягового тока использовать ходовой рельс, расположенный ближе к контактному рельсу.
5.12.18
Присоединение к ходовому рельсу проводов и кабелей различного назначения (отсос тягового тока, междупутные соединители) при двухниточной РЦ осуществлять через средний вывод ДТ не чаще чем через два изолирующих стыка или три РЦ.
При этом параметры цепи обхода по параллельным и смежным РЦ не должны быть меньше приведенных в таблицах 5.12.1 (для резонансных РЦ частотой 50Гц) и 5.12.2 (для тональных РЦ (ТРЦ) несущей частотой 420-780 Гц и частотой модуляции 8 и 12 Гц).
Для других двухниточных РЦ параметры цепи обхода сигнального тока по параллельным и смежным РЦ не должны быть меньше, указанных в технических требованиях на соответствующие РЦ.
Таблица 5.12.1 Резонансные РЦ частотой 50 Гц
| Lрц
, м
|
Lобх,
м
|
Lтп
, м
|
Zобх,
Ом
|
| 100
|
540
|
320
|
1,0
|
| 125
|
560
|
340
|
1,1
|
| 150
|
580
|
370
|
1,15
|
| 175
|
600
|
390
|
1,2
|
| 200
|
615
|
410
|
1,22
|
| 225
|
640
|
430
|
1,3
|
| 250
|
670
|
460
|
1,33
|
| 275
|
700
|
490
|
1,4
|
| 300
|
720
|
510
|
1,45
|
| 325
|
760
|
540
|
1,5
|
| 350
|
790
|
570
|
1,6
|
| 375
|
820
|
600
|
1,65
|
| 400
|
850
|
630
|
1,7
|
| 425
|
900
|
660
|
1,8
|
| 450
|
930
|
690
|
1,85
|
| 475
|
975
|
730
|
1,95
|
| 500
|
1000
|
750
|
2,0
|
| Lрц
, м - длина РЦ наибольшей длины;
Lобх
, м - минимально допустимая длина цепи обхода;
Lтп
, м - расстояние между точками подключения междупутных соединителей;
Zобх
, Ом - минимально допустимое сопротивление цепи обхода.
|
Таблица 5.12.2
Тональные РЦ несущей частотой 420-780 Гц и частотой модуляции 8 и 12 Гц
| lРЦ
, м
|
25
|
50
|
75
|
100
|
125
|
150
|
| lТП
, м
|
125
|
250
|
375
|
400
|
500
|
600
|
| lРЦ
– наибольшая длина РЦ в контуре
lТП
– расстояние между точками подключения междупутных соединителей
|
5.12.19
В устройства централизации включаются все стрелки станции с путевым развитием.
Централизация должна быть увязана с устройствами АРС.
Управление маршрутами, стрелками и сигналами, контроль поездного положения осуществлять с АРМ ДПЛ или АРМ ДПС (допускается в ДПС устанавливать пульт-табло).
В аппаратной АТДП предусматривать АРМ электромеханика для контроля за работой систем и поездным положением на участке.
5.12.20
Кодовый канал АРС, разрешающий движение по маршруту в границах станции с путевым развитием, включать после установки и замыкания маршрута, одновременно с открытием светофора на разрешающее показание.
В рельсовую цепь перед светофором полуавтоматического действия при незаданном маршруте подавать кодовый сигнал АРС абсолютной остановки, с учетом алгоритма работы поездной аппаратуры.
Маршрут должен размыкаться после освобождения любой подвижной единицей всего маршрута (или его части при секционном размыкании).
Маршрут, не использованный поездом, должен размыкаться при условии отсутствия поезда на предмаршрутном участке.
Искусственное размыкание маршрута как с АРМ ДПЛ, так и с АРМ ДПС (или пульт-табло) должно выполняться только при запрещающем показании светофора и отсутствии разрешающего сигнала АРС.
5.12.21
Схема управления стрелкой должна обеспечивать:
- невозможность перевода стрелки, замкнутой в маршруте и при занятой стрелочной рельсовой цепи;
- постоянный контроль положения остряков стрелки;
- доведение остряков стрелки до крайних положений при наезде подвижного состава на стрелочный участок в момент начавшегося перевода стрелки;
- исключение возможности перевода стрелки и появления ложного контроля при замыкании проводов, их заземлении и попадании тока от постороннего источника питания, включая самопроизвольный перевод стрелки под подвижным составом;
- контроль взреза стрелки с фиксацией сигнала о взрезе;
- возможность перевода стрелки при занятой стрелочной рельсовой цепи с фиксацией этого действия и соблюдения соответствующих правил пользования;
- возможность перевода управления стрелкой на макет;
- возможность отключения схемы стрелки.
5.12.22
Часто повторяющиеся маршруты на станциях должны иметь возможность перевода на автоматическое действие. При этом одновременно со светофорами на главных путях на автоматическое действие должны, как правило, переключаться пригласительные сигналы этих светофоров.
5.12.23
В устройствах централизации одновременное управление стрелками и сигналами из ДПЛ и ДПС не допускается.
Выбор режима управления предусматривать из ДПС по указанию ДПЛ.
В случае нарушения целостности цепей между устройствами ДПС и ДПЛ (при управление из ДПЛ) должны автоматически отключаться открытые пригласительные сигналы.
5.12.24
Системы централизации должны иметь защиту от несанкционированного доступа - управление объектами может осуществляться только при введении личного кода (шифра) диспетчера, распознаваемого системой.
5.12.25
Системы АТДП на линии оборудовать устройствами:
- автоматического считывания (передачи) номеров маршрутов поездов;
- проверки технического состояния подвижного состава на ходу поезда.
Устройства должны быть увязаны со схемами АРС и централизации.
Фиксация устройствами нештатных (аварийных) ситуаций должна автоматически передаваться в ДПС и ДПЛ.
5.12.26
Системы АТДП увязывать со счетчиками интервалов времени, с путевыми затворами и другими устройствами.
5.12.27
Аппаратуру АТДП размещать в ДПЛ и, как правило, на каждой станции.
В тоннеле размещать напольное оборудование: светофоры, путевые ящики, ДТ, стрелочные приводы, путевые датчики, курбельные аппараты, а также, при необходимости, релейные шкафы с аппаратурой.
5.12.28
На станциях для размещения устройств предусматривать аппаратную и щитовую АТДП.
На станциях с путевым развитием в помещении ДПС предусматривать АРМ (или пульт-табло) для управления маршрутами, стрелками и сигналами, контроля за поездным положением, в аппаратных – АРМ электромеханика АТДП.
5.12.29
Электропитание систем АТДП в соответствии с разделом 5.10.
5.12.30
В щитовой АТДП (или в аппаратной) предусматривать электропитающую установку, обеспечивающую:
- подключение питающих линий переменного тока напряжением, в соотвествии с требованиями к системе управления;
- распределение электропитания по нагрузкам разлиного назначения;
- автоматическое и ручное переключение питающих линий;
- световую и звуковую сигнализаци об отсутствии напряжения в питающих линиях;
- измерение напряжения и токов в питающих линиях.
5.12.31
В сетях, выходящих за пределы аппаратных, предусматривать двухполюсное размыкание каждой цепи.
5.12.32
Для отключения всех видов электропитания предусматривать специальный щит, размещаемый в отдельном помещении, рядом с аппаратной.
При установке вводно-распределительных панелей в отдельной щитовой щит выключения питания допускается не применять.
5.12.33
В системах АТДП применять кабели , нераспространяющие горение, не содержащие галогены с пониженным дымо- и газовыделением.
5.12.34
Цепи стрелочных электроприводов, светофоров, питающих и релейных концов РЦ предусматривать в разных кабелях. Допускается объединение в одном кабеле цепей различного назначения, за исключением приемных цепей путевых реле и контрольных цепей стрелок.
5.12.35
Для систем АТДП по каждому пути предусматривать отдельные кабельные линии. Допускается объединение в одном кабеле вспомогательных цепей, относящихся к разным путям.
В кабельной линии предусматривать одну свободную кабельную пару с выходом на каждую сигнальную точку для проведения регулировочных работ и использования, при необходимости, в качестве резерва.
5.12.36
В сигнально-блокировочных кабелях предусматривать резервные жилы - не менее 10% их общего числа, но не менее двух жил.
5.12.37
У каждой сигнальной точки, стрелочного привода и курбельного аппарата предусматривать розетки для подключения аппаратов связи АТДП.
5.12.38
Заземление металлических конструкций и корпусов оборудования, за исключением корпусов ДТ и стрелочных приводов, предусматривать на единую систему защитного заземления электроустановок линии.
5.13.1
На линии следует предусматривать линейные и станционные оперативно-технологические связи (ОТС) и административно-хозяйственную связь (АХС).
5.13.2
В состав линейных ОТС должны входить диспетчерские и междиспетчерские связи, поездная радиосвязь, связи охраны порядка, пожарной безопасности и служебные связи, теленаблюдение, единая радиоинформационная сеть метрополитена, колонны экстренного вызова, обеспечивающие оперативное руководство и управление работой линии, подразделениями и службами метрополитена.
Все виды диспетчерских связей должны оборудоваться устройствами звуковой записи.
5.13.3
В состав станционных ОТС должны входить телефонные связи, электрочасы, системы громкоговорящего оповещения и теленаблюдения с цифровой видеозаписью, обеспечивающие контроль за движением поездов, регулирование пассажирских потоков, управление из ДПС процессом эвакуации людей при пожаре, а также связи диспетчера ДПС и других руководителей с персоналом на станции и прилегающих к ней участков перегонов.
5.13.4
Для организации линейных и станционных ОТС следует предусматривать магистральные, станционные, тоннельные и местные сети связи и передачи информации.
5.13.5
Перечень абонентов, оснащаемых линейными и станционными ОТС, а так же городских видов связи, представлен в Приложении 5.1ЗА.
По заданию могут дополнительно предусматриваться линейные ОТС связи совещаний для аппарата управления метрополитена, служб и дистанций.
Все виды диспетчерских и служебных связей организовывать по групповому принципу.
5.13.6
Пульты диспетчерских видов связи устанавливать у рабочих мест соответствующих диспетчеров, пульты служебной связи - в помещениях аппаратных и релейных, абонентские и оконечные устройства - согласно Приложению 5.1ЗА.
5.13.7
В состав линейных и станционных ОТС должны входить виды связей согласно таблице 5.13.1.
Таблица 5.13.1
| ОТС
|
Обозначение
|
| 1 Линейные
|
| 1.1 Диспетчерские:
|
| движения поездов
|
СДД
|
| электроснабжения
|
СДЭ
|
| эскалаторная
|
СДЭС
|
| электромеханическая
|
СДЭМ
|
| охраны порядка
|
СОП
|
| пожарной безопасности
|
СПБ
|
| 1.2 Поездная радио
|
ПРС
|
| 1.3 Тоннельная
|
Т
|
| 1.4 Оперативная
|
О
|
| 1.5 Административно-хозяйственная
|
АХС
|
| 1.6 Звукозапись диспетчерских переговоров
|
МЗД
|
| 1.7 Междиспетчерская
|
СМД
|
| 1.8 Междиспетчерская СДЭ с ДПЭ города
|
МДЭГ
|
| 1.9 Служебные:
|
| между диспетчерскими и линейными устройствами телеуправления движением поездов
|
СТД
|
| то же, электроснабжения
|
СТЭ
|
| " эскалаторами
|
СТЭС
|
| " электромеханических установок
|
СТЭМ
|
| 1.10 Теленаблюдение
|
ТН
|
| 1.11 Единая радиоинформационная сеть
|
ЕРИС-М
|
| 1.12 Колонны экстренного вызова
|
КЭВ
|
| 2 Станционные
|
| 2.1 Станционная
|
С
|
| 2.2 Управление движением поездов
|
АТДП
|
| 2.3 Эскалаторная
|
ЭС
|
| 2.4 Местная подстанционная
|
М
|
| 2.5 Громкоговорящее оповещение
|
ГГО
|
| 2.6 Теленаблюдение с цифровой видеозаписью
|
ТНЗц
|
| 2.7 Электрочасы
|
ЭЧ
|
| 2.8 Стрелочная
|
СТР
|
5.13.8
Радиостанции ПРС устанавливать: стационарные - на станции, локомотивные - в кабинах машинистов поездов.
ПРС между пультом поездного диспетчера и стационарными радиостанциями организовывать по проводному каналу, между стационарными и локомотивными радиостанциями - по радиоканалу.
В качестве направляющих линий (антенн) для радиоканала, как правило, применять излучающие кабели.
Примечание - Локомотивные радиостанции и их антенны входят в комплект вагонного оборудования и поставляются с подвижным составом.
5.13.9
Аппаратура связи Т должна обеспечивать:
- прием и сигнализацию поступления вызова на пульт ДПД;
- подключение линии тоннельной связи к линии диспетчерской связи.
У телефонных аппаратов в тоннелях предусматривать также телефонные розетки АХС.
5.13.10
Линии СМД должны обеспечивать подключение диспетчером-распорядителем своего канала избирательной связи к каналу другого диспетчера.
5.13.11
Связь О предусматривать при наличии в сети метрополитена не менее трех линий.
5.13.12
Для организации административно-хозяйственной связи предусматривать АТС сети метрополитена. Число, емкость, места расположения и увязка АТС определяются при проектировании.
Расстановку телефонных аппаратов АТС принимать согласно Приложению 5.1ЗА и дополнительному перечню заказчика.
5.13.13
Для переговоров диспетчеров с аварийно-восстановительными формированиями использовать средства мобильной связи.
5.13.14
Пульты (коммутаторы) связи станционных ОТС размещать на рабочих местах соответствующих руководителей (дежурных) и организовывать между ними соединительные линии связи.
5.13.15
Местную подстанционную связь организовывать с использованием жил контрольных кабелей подстанционной автоматики в качестве линий связи.
5.13.16
В сети ГГО группы организовывать по следующим участкам линии:
а) тоннельные - тоннели и УТВ;
б) платформенные - платформы и средний зал станции;
в) эскалаторные - эскалаторный тоннель и зоны подхода к нему;
г) вестибюльные - кассовый зал и зоны входа и выхода из него в пешеходных переходах;
д) уличные - территория перед входом в вестибюль станции или в подземный переход;
е) служебные - коридоры производственных и бытовых помещений станций на всех уровнях.
Оповещение предусматривать:
а) из ДПС и ДСП (смежном с ДПС) - по всем группам;
б) из кабины дежурного контролера - по вестибюльной и уличной группам;
в) из кабины оператора у нижних площадок эскалаторов - по эскалаторной группе;
г) из кабины ДСП станций с путевым развитием - по платформенной группе.
5.13.17
Теленаблюдение из ДПС должно охватывать следующие зоны станции:
- входы на станцию (навстречу потоку пассажиров);
- кассовый зал вестибюля, кабину дежурного котролера (навстречу потоку пассажиров), лестничные марши;
- верхнюю и нижнюю площадки эскалаторов;
- средний зал, лестничные марши переходов;
- пассажирские платформы 1 и 2-го путей по всей длине, номера маршрутов поездов;
- балконы, галереи на всем протяжении;
- торцевые двери платформ со стороны тоннеля, с охватом служебного мостика;
- коридоры пересадочного сооружения (навстречу потоку пассажиров);
- участок примыкания коридора пересадочного сооружения к среднему залу станции, если эта зона не контролируется другими телекамерами;
- подуличные переходы в зоне контроля метрополитена;
- рампы и порталы тоннелей на открытых участках линии;
- телеконтроль других зон станции согласно заданию на проектирование;
- стрелочные переводы.
5.13.18
Устройство теленаблюдения на других объектах метрополитена, а также необходимость передачи телеизображения отдельных зон наблюдения в ДПЛ (в ситуационный центр) отражать в задании на проектирование.
5.13.19
На кассовых окнах предусматривать переговорное устройство (мембрану) "пассажир-кассир".
На станциях глубокого заложения предусматривать линию с разъемами для подключения переговорных устройств пожарных подразделений согласно 5.16.7.
5.13.20
На метрополитене предусматривать единую систему точного времени.
В качестве первичных часов – центральная электрочасовая станция (ЦЭЧС) с коррекцией хода по сигналам точного времени.
Управление сетью вторичных электрочасов и контроль их хода предусматривать от ЦЭЧС.
5.13.21
Оповестительную сигнализацию предусматривать из ДПС - в кассы и кабины дежурного контролера.
Сигнализацию вызова по любому виду связи предусматривать:
а) из помещения поста полиции - в кассовый зал;
б) из помещения машиниста эскалаторов - в машинное помещение и натяжную;
в) из ДПС - в платформенные залы;
г) от стола дежурного подстанции - в помещения подстанции.
На телефонных аппаратах наружной установки предусматривать повторители громкого вызова во всех видах связи, кроме связи Т.
5.13.22
По заданию заказчика для телефонов-автоматов на станцию предусматривать ввод городской телефонной сети.
5.13.23
Магистральные сети предусматривать в линейных ОТС на участке от ДПЛ до станций и между станциями.
Мощность магистральных сетей определять с учетом обеспечения всех видов линейных ОТС, резервных каналов, запасных жил и перспективы развития линии, а также с учетом каналов ТМ и передачи данных.
5.13.24
Способ организации магистральных сетей (первичные, вторичные или смешанные) определять с учетом:
- протяженности и перспективы развития линии (или ее участка);
- удаленности линии от ДПЛ;
- числа станций на линии;
- возможности совмещения в одной сети различных цепей связи и других цепей передачи информации.
5.13.25
Первичную магистральную сеть организовывать с использованием аппаратуры цифровых систем передачи информации и обеспечивать образование групповых трактов и каналов тональной частоты для цепей связи.
В качестве линий связи использовать волоконно-оптические кабели. Линии связи резервировать путем применения параллельных кабелей и блоков аппаратуры ЦСП, обеспечивающих переключение линий связи на резервный тракт.
5.13.26
Вторичную магистральную сеть организовывать, как правило, по физическим кабельным цепям. Резервируемые цепи предусматривать в разных кабелях.
5.13.27
Станционные и тоннельные сети предусматривать по физическим кабельным цепям. Границами тоннельных сетей принимать путевые затворы или, при их отсутствии, токоразделы сетей освещения.
5.13.28
Электропитание средств связи и АСОП в соответствии с разделом 5.10.
5.13.29
Для размещения аппаратуры связи предусматривать следующие основные помещения:
а) в здании ДПЛ - линейно-аппаратный цех для аппаратуры ЦСП и линейно-аппаратный зал для распорядительной и управляющей аппаратуры ОТС. Допускается предусматривать объединенную аппаратную связи;
б) на станции - ЛАЦ, кроссовую и радиоузел.
5.14.1
Персонал эксплуатационных подразделений, непосредственно осуществляющий обслуживание пассажиров на станциях, организацию движения поездов на линии, текущее обслуживание оборудования и содержание сооружений, должен размещаться на станциях.
Состав, численность и нормативы образования эксплуатационных подразделений, размещаемых на станциях, определятся заказчиком конкретно для каждого города, где проектируется метрополитен, исходя из длины линий, пассажиропотоков и справочно приведены в Приложениях СП 32-105 [17]. Помещения на уровне платформы станции, связанные с обеспечением движения поездов, приведены в приложении 5.14А.
Размещение административно-управленческого аппарата служб и управления метрополитена, а также персонала линий, непосредственно не связанного с работами на станциях и в тоннелях, следует предусматривать согласно 5.23.
5.14.2
Состав и численность эксплуатационных подразделений для участков продления действующих линий определять с учетом существующих на линии подразделений.
5.14.3
Распределение персонала подразделений предусматривать в пределах участков обслуживания и, по возможности, равномерно по станциям линии.
5.15.1 Здания и сооружения
5.15.1.1
Электродепо следует предусматривать для технического обслуживания, текущего, среднего, капитального (при наличии ремонтной базы) и непланового ремонта электроподвижного состава и моторно-рельсового транспорта.
5.15.1.2
На территории электродепо следует размещать административные и производственные здания и сооружения, внутриплощадочные инженерные сети, парковые пути, пожарные проезды и дороги с усовершенствованным типом покрытия, соединенные с городскими проездами, с учетом перспективы развития линии и электродепо.
Территория должна быть благоустроена, иметь освещение и сплошное ограждение высотой не менее 2,5 м, оборудованное охранным освещением. Вдоль ограждения с наружной стороны необходимо предусматривать санитарно-защитную зону.
Ширину санитарно-защитной зоны от крайних парковых путей до жилых зданий следует принимать по СанПиН 2.2.1/2.1.1.1200-03.
5.15.1.3
Производственные здания для размещения электроподстанций, мастерских, складов различного назначения и персонала следует предусматривать преимущественно 3- или 4-этажными.
Здания должны отвечать требованиям СНиП 2.09.04, СНиП 31-03, СНиП 31-04 с учетом требований 5.16.
Здания должны быть радиофицированы, телефонизированы, оборудованы электрочасами, системами пожарной безопасности и охранной сигнализации.
5.15.1.4
На территории электродепо размещать следующие здания и сооружения:
а) для обеспечения деятельности электродепо:
1) административно-бытовой корпус;
2) отстойно-ремонтный корпус;
3) производственные мастерские;
4) цех ТР-3; СР и КР;
5) цех восстановительной окраски и сушки вагонов;
6) камеру мойки подвижного состава;
7) подстанции ТПП и ПП;
8) компрессорную станцию;
9) пост ЭЦ;
10) очистные сооружения;
11) топливно-заправочный пункт мотовозов и автомобилей;
12) склады: материальный, запасных агрегатов, узлов и деталей, горюче-смазочных материалов;
13) парковые пути;
14) парковый околоток и стрелочный пост с бытовыми помещениями, мастерскими и кладовыми;
15) проходную с автоматизированными устройствами контроля входа и выхода;
16) пост охраны портала тоннеля;
17) участок для отстоя, технического обслуживания и ремонта внутридеповского транспорта;
18) крытые площадки для грузов и металлолома, оборудованные электрическими кранами;
19) снеготаялку или снегоотвал;
20) ЦТП или котельную;
21) грузовую эстакаду у железнодорожного пути;
22) спортивную площадку;
23) охраняемую стоянку личного автотранспорта;
б) для обеспечения работы линии:
1) мотодепо;
2) здание эксплуатационного персонала служб метрополитена;
3) базу аварийно-восстановительных формирований (АВФ) служб метрополитена;
4) площадку для хранения элементов верхнего строения пути;
5) поворотный круг или треугольник;
6) склады различного назначения в блоках с производственными зданиями или отдельно стоящие;
7) площадку с бункерами для хранения цемента и песка, оборудованную электрическим краном;
8) площадку для сбора и механизированной отгрузки мусора и металлолома с пунктом мойки контейнеров;
9) отстойник для слива пульпы, емкости для слива по видам отработанных нефтепродуктов;
10) мастерские эксплуатационных служб;
11) рельсосварочную станцию (в электродепо, имеющем соединительную ветку с железной дорогой).
Сооружения по подпункту а) 19 предусматривать в районах со средней высотой снежного покрова за зиму более 20 см; по а) 20 - при отсутствии городской тепловой сети; по а) 23 - за ограждением электродепо.
Состав и требования к зданиям и сооружениям, перечисленным в подпункте б), отражать в задании на проектирование линии и электродепо.
Сооружения по подпунктам а) 8, 10, 11, 12, 20 предусматривать по типовым или повторно применяемым проектам.
5.15.1.5
Техническое оснащение производственных зданий и сооружений должно соответствовать технологическим процессам обслуживания и ремонта подвижного состава с применением прогрессивных технологий и оборудования.
Архитектурно-строительные решения по зданиям и сооружениям должны гармонировать с природным ландшафтом и городской застройкой.
5.15.1.6
Отопление и вентиляцию зданий предусматривать по СНиП 41-01, теплоснабжение от городских сетей - по СНиП 41-02 или, при отсутствии городских сетей, от самостоятельной котельной, водоснабжение от городских сетей, внутренний водопровод и канализацию - по СНиП 2.04.01, СНиП 2.04.02, СНиП 2.04.03.
5.15.1.7
Парковые пути располагать с одной стороны, при обосновании - с двух сторон отстойно-ремонтного корпуса.
Число путей в ОРК определять из условия размещения на них эксплуатационного парка вагонов, резервных вагонов в количестве 10% эксплуатационного парка и специальных вагонов (грузового, путеизмерителя, лаборатории), за исключением вагонов, размещаемых на линии.
При инвентарном парке до 200 вагонов число путей увеличивать на один путь для маневровых передвижений, при парке более 200 вагонов - на два пути, кроме того, предусматривать один путь для очистки и мойки подвагонного оборудования.
Длину каждого пути определять исходя из длины расцепленного состава при расстоянии 1 м между автосцепками смежных вагонов.
В первый период эксплуатации линии, при меньшем числе вагонов в поезде, на каждом пути допускается установка двух расцепленных составов с расстоянием между составами не менее 3 м.
5.15.1.8
Размеры в пролетах ОРК принимать согласно таблице 5.15.1.
Таблица 5.15.1
| Наименование
|
Размер, не менее, м, в пролетах для
|
| ТО-1, ТО-2, ТО-4
|
ТО-3,ТР-1, ТР-2
|
ТР-3, СР, КР
|
| Высота от головок рельсов до низа несущих конструкций
|
4,8
|
6,0
|
9,6
|
| Ширина прохода:
|
| между кузовами вагонов (при отсутствии колонн в междупутье)
|
1,6
|
2,0
|
3,1
|
| между колоннами и кузовом вагона
|
1,35
|
1,5
|
-
|
| между стенами пролета и кузовом вагона
|
1,15 (1,1)
|
-
|
-
|
| между стеной мастерских и кузовом вагона
|
-
|
2,6
|
2,8
|
| между стеной, противоположной стене мастерских, и кузовом вагона
|
-
|
1,7 (1,1)
|
3,8 (2,4)
|
| от передней торцевой стены до верхней ступени схода в смотровую канаву
|
2,3
|
| то же, от задней торцевой стены
|
3,0
|
4,5
|
| Расстояние от верхней ступени схода в смотровую канаву до оси автосцепки вагона
|
1,5
|
| Глубина смотровой канавы от головок рельсов
|
1.5
|
| Ширина смотровой канавы
|
1,35
|
| Ворота: высота от головок рельсов и ширина
|
3,9х3,8
|
| Примечания - В скобках указано допустимое сужение прохода на длине не более 6 м.
|
5.15.1.9
Все пути ОРК и цеха ТР-3 должны иметь смотровые канавы. В канавах предусматривать ниши по обеим сторонам через 20 м для установки электрооборудования и трубопроводы сжатого воздуха с воздухозаборными кранами через 20 м и влаго-маслосборником перед первым краном.
На всех путях ОРК предусматривать скобы срывного клапана вагона и тупиковые упоры. На одном из путей размещать специальный станок для обточки колесных пар без выкатки их из-под вагона.
5.15.1.10
В цех ТР-3 предусматривать отдельный въезд для автотранспорта, оборудованный воздушно-тепловой завесой.
В цехе устанавливать не менее двух мостовых кранов грузоподъемностью по 10т.
5.15.1.11
Уровень пола в пролетах ОРК, кроме пролета ТР-3, принимать ниже уровня головок рельсов на 0,5 м. В пролете ТР-3 уровень пола принимать в уровне головок рельсов.
5.15.1.12
Полотна ворот ОРК должны быть оборудованы электроприводами, иметь уплотнение в закрытом положении, запорные устройства для открытого и закрытого положений и смотровые окна на уровне 1,4 м от уровня головок рельсов. В одном из полотен ворот каждого пролета должна быть дверь размером 0,8х1,8 м.
5.15.1.13
Вдоль передней стены ОРК предусматривать три подземных смежных коридора: первый - для подачи воздуха к ВТЗ ворот, второй и третий - для кабельных и тепловых сетей. В первом коридоре допускается прокладка сетей отопления и горячего водоснабжения.
5.15.1.14
В АБК предусматривать блок помещений для ночного отдыха локомотивных бригад, помещения для административно-управленческого персонала, производственного персонала цеха эксплуатации и цеха ремонта подвижного состава, здравпункт, столовую и санитарно-бытовые помещения.
Состав и площади помещений определять расчетом согласно штатному расписанию электродепо.
5.15.1.15
Камеры мойки подвижного состава предусматривать в составе первой очереди строительства электродепо.
5.15.1.16
Мотодепо размещать в отдельном здании. Допускается его блокировать с другими производственными зданиями.
В мотодепо предусматривать блок санитарно-бытовых и производственных помещений, в состав которых должны входить помещения для зарядки, технического обслуживания и хранения аккумуляторов.
Длину цехов рассчитывать исходя из числа тяговых и прицепных единиц, но не менее 36 м, высоту - 6,2 м до низа фермы.
Число путей в каждом цехе определять расчетом, но принимать не менее четырех.
На каждом пути предусматривать смотровую канаву с размерами по таблице 5.15.1.
В цехах должны быть кран-балки грузоподъемностью 3,2 т.
В цехах предусматривать блок санитарно-бытовых и производственных помещений, в состав которых для электровозного цеха должны входить помещения для хранения и обслуживания аккумуляторов и зарядное РУ 825 В.
Вывод электровозов из цеха предусматривать на аккумуляторной тяге.
5.15.1.17
Компрессорную станцию размещать в отдельном здании. Число компрессоров и производительность станции определять расчетом с учетом одной резервной машины.
На станции предусматривать меры по снижению уровней шума и вибрации до уровня согласно 5.17.
Допускается блокирование с другими производственными зданиями при условии обеспечения нормируемых уровней шума и вибраций согласно 5.17.
5.15.1.18
Производственные мастерские размещать в ОРК рядом с цехом ТР-3. В стене между ними предусматривать технологические проемы.
Здание мастерских предусматривать двух- трехэтажным, шириной 12 м и длиной, равной длине ОРК. Назначение и площади помещений принимать согласно утвержденным повторно применяемым решениям.
В мастерских предусматривать участок для очистки и промывки противопылевых фильтров систем местной вентиляции линии и электродепо.
5.15.1.19
Цех восстановительной окраски и сушки вагонов размещать в отдельном здании. Допускается его блокирование со зданием другого назначения при соблюдении противопожарных требований.
Площадь здания определять исходя из размещения двух вагономест, производственных помещений (вентиляционных, электрощитовых, установок пожаротушения и др.), кладовых, помещений для персонала и санитарно-бытовых.
5.15.1.20
ТПП размещать в отдельном здании. Допускается блокировать с мотовозным цехом или зданием другого назначения. ПП размещать в блоке производственных мастерских и в других производственных зданиях исходя из их потребности в электроэнергии.
5.15.1.21
В электодепо предусматривать ценрализованные сети горячего водоснабжения. В АБК и производственных зданиях на период отключения системы теплоснабжения устанавливать элетроводонагреватели для подачи горячей воды:
- в АБК горячую воду от электронагревателей подводить к столовой и двум душевым секциям;
- в ОРК – к раковинам;
- в цехе ТР-3 к одной раковине.
5.15.1.22
У передней и задней стен ОРК по осям смежных пролетов предусматривать раковины с подводкой холодной и горячей воды и присоединением их к сети бытовой канализации.
5.15.1.23
Отопление смотровых канав и ВТЗ проемов ворот ОРК предусматривать согласно СНиП 41-01.
5.15.2 Путь и контактный рельс
5.15.2.1
Путь
5.15.2.1.1
Отстойно-ремонтный корпус и парковые пути следует предусматривать на первый период эксплуатации линии.
В составе парковых путей должны быть предусмотрены два вытяжных пути, используемые как маневровые и предохранительные, и обкаточный путь.
Полезная длина каждого вытяжного пути должна быть не менее максимальной расчетной длины поезда в периодах эксплуатации по 3.13, обкаточного пути - от 600 до 800 м. Один из вытяжных путей может использоваться в качестве части обкаточного пути.
5.15.2.1.2
Электрифицированные и неэлектрифицированные рельсовые пути необходимо предусматривать под расчетные нагрузки и скорости движения поездов согласно таблице 5.15.2.
Таблица 5.15.2
| Пути
|
Статическая нагрузка от оси пассажирского вагона на рельсы, кН (тс)
|
Скорость движения поездов, км/ч, не более
|
| Парковые
|
78 (8)
|
15
|
| Деповские
|
78 (8)
|
10
|
5.15.2.1.3
Рельсы электрифицированных путей следует использовать также в качестве электрических проводников в сети электроснабжения подвижного состава, в установках управления движением поездов и контроля целостности рельсовых нитей.
5.15.2.1.4
Габариты приближения строений и расстояния между осями смежных путей следует принимать по ГОСТ 23961.
5.15.2.1.5
Ширина колеи пути между внутренними гранями головок рельсов должна составлять:
а) на прямых и кривых участках радиусом 100 м и более - согласно 5.7.3;
б) на кривых участках радиусом от 60 до 100 м - 1544 мм.
Отклонения от нормы ширины колеи на прямых и кривых участках не должны превышать 2 мм.
5.15.2.1.6
Для соединения парковых путей следует применять стрелочные переводы типа Р50 с крестовинами марки 1:5.
5.15.2.1.7
Электрифицированные парковые пути должны быть оборудованы контактным рельсом с нижним токосъемом.
Контактный рельс следует закрывать электроизоляционным защитным коробом.
5.15.2.1.8
Расстояние от ближайшего паркового пути следует принимать:
- до ограды - 2.5 м;
- до стен зданий - 3 м;
- в случае отсутствия в стене дверей допускается принимать – 2.5 м.
5.15.2.1.9
План и продольный профиль путей должны соответствовать таблице 5.15.3.
Таблица 5.15.3
| Параметр
|
Норма
|
| основная
|
в трудных условиях
|
| Радиус кривой в плане на парковых путях, м, не менее
|
75
|
60
|
| Марка крестовин стрелочных переводов на путях для обращения подвижного состава:
|
| метрополитена
|
1:5
|
-
|
| железных дорог колеи 1520 мм
|
1:9
|
-
|
| Длина прямого участка электрифицированного паркового пути, м, не менее, расположенного между двумя кривыми в плане, направленными:
|
| в одну сторону
|
3
|
-
|
| в разные стороны
|
15
|
-
|
| Длина прямого участка неэлектрифицированного паркового пути, м, не менее, расположенного между двумя кривыми в плане
|
3
|
-
|
| Расстояние от начальных точек кривых в плане и вертикальных кривых в профиле, м, не менее:
|
| до передней стены отстойно-ремонтного корпуса
|
20
|
8
|
| до центра стрелочного перевода марки 1:5 со стороны рамных рельсов
|
10
|
8
|
| Продольный уклон парковых путей, ‰, не более:
|
| в местах укладки стрелочных переводов
|
5
|
10
|
| в местах возможной остановки поезда (вытяжные пути, перед ОРК)
|
1,5
|
-
|
| Продольный уклон деповских путей, ‰
|
0
|
-
|
| Радиус вертикальной кривой при алгебраической разности значений уклонов 2 и более о/оо, м, не менее
|
1500
|
-
|
| Длина элемента продольного профиля парковых путей:
|
| электрифицированных
|
Примеч.2
|
-
|
| неэлектрифицированных, м, не менее
|
50
|
40
|
| Примечания
1 Трудные условия - это условия, связанные с ограниченными размерами территории электродепо.
2 Длину элемента принимать не менее длины поезда в перспективе.
|
5.15.2.1.10
Кривые участки парковых путей устраивать без возвышения наружного рельса над внутренним рельсом и сопрягать с прямыми участками без переходных кривых.
5.15.2.1.11
Парковые пути в местах укладки стрелочных переводов и деповские пути размещать на прямых участках в плане и профиле.
5.15.2.1.12
В качестве нижнего строения пути предусматривать:
а) на парковых путях - земляное полотно по СНиП 32-01 для железных дорог II категории или плоское основание из железобетона по 5.6;
б) на деповских путях - железобетонные конструкции канав или плоское основание из железобетона.
В качестве верхнего строения пути предусматривать рельсы, рельсовые скрепления, стрелочные переводы, подрельсовое основание, балластный слой.
5.15.2.1.13
Для земляного полотна парковых путей предусматривать:
- уплотнение грунтов в насыпях;
- защитный слой из песков (за исключением мелких и пылеватых) под балластной призмой;
- отвод поверхностных и грунтовых вод от земляного полотна;
- укрепление откосов земляного полотна.
Толщину защитного слоя (песчаной подушки) при дренирующих грунтах принимать не менее 0,2 м, при недренирующих грунтах - 0,8 м.
Крутизна откосов защитного слоя должна быть 1:2.
5.15.2.1.14
Верхнее строение пути должно соответствовать таблице 5.15.4.
Таблица 5.15.4
| Показатель
|
Пути
|
| парковые
|
деповские
|
| Тип рельсов
|
старогодные Р50
|
| Шпалы
|
Деревянные, ж/б
|
| Число шпал на 1 км пути, шт.:
|
| на прямых и кривых участках радиусом 1200 м и более
|
1600
|
2х400
|
| на кривых участках радиусом менее 1200 м
|
1760
|
-
|
| Примечание - На деповских путях ОРК и мотовозного цеха шпалы располагаются вдоль пути.
|
5.15.2.1.15
Ширину колеи на кривых участках парковых путей устанавливать по каждому пути в отдельности, в зависимости от радиуса кривой по оси пути.
5.15.2.1.16
Промежуточные рельсовые скрепления предусматривать нераздельного типа с рельсовыми подкладками и путевыми шурупами.
На электрифицированных путях скрепления должны обеспечивать электрическую изоляцию рельсов от нижнего строения пути.
5.15.2.1.17
Для обеспечения электропроводимости болтовых рельсовых стыков на стрелочных переводах, включаемых в электрическую централизацию, применять электросоединители, на других участках электрифицированных путей - тарельчатые пружины. В исключительных случаях вместо тарельчатых пружин допускается применение электросоединителей.
Электрическое сопротивление болтового рельсового стыка должно быть не более сопротивления целого участка рельса длиной 1 м.
Величина зазоров в электропроводящих болтовых рельсовых стыках должна соответствовать таблице 5.7.4.
Изолирующие болтовые рельсовые стыки предусматривать с полимерными накладками или клееболтового типа.
5.15.2.1.18
Рельсы электрифицированных деповских путей отделять от рельсов электрифицированных парковых путей двумя парами изолирующих стыков, располагаемых по обе стороны от стены здания с расстоянием между ними 12,5 м.
5.15.2.1.19
На стрелочных переводах парковых путей, включаемых в электрическую централизацию, предусматривать устройства автопневмообдува или, по требованию заказчика, устройства электрообогрева.
У всех стрелочных переводов предусматривать предельные столбики.
5.15.2.1.20
В качестве подрельсового основания предусматривать деревянные шпалы по ГОСТ 22830 и деревянные брусья для стрелочных переводов по ГОСТ 8816.
Деревянное подрельсовое основание на электрифицированных путях должно быть пропитано антисептиками, не проводящими электрического тока.
Укладку деревянного подрельсового основания на парковых путях предусматривать верхней пластью вверх, на деповских путях - верхней пластью вниз.
Шурупные отверстия, просверленные в деревянном подрельсовом основании при укладке пути, должны быть три раза промазаны антисептиками, не проводящими электрического тока.
5.15.2.1.21
Для балластного слоя парковых путей предусматривать щебень из плотных горных пород для балластного слоя железнодорожного пути марки по истираемости И1 по ГОСТ 7392.
Ширину балластной призмы поверху на однопутных участках парковых путей принимать не менее 3,2 м.
Поверхность балластной призмы должна быть на 3 см ниже верхней плоскости деревянного подрельсового основания, крутизна откосов балластной призмы - 1:1,5.
Толщина балластного слоя под деревянным подрельсовым основанием в местах расположения рельсов должна быть не менее 25 см.
5.15.2.1.22
Внешние железнодорожные подъездные пути, соединяющие пути электродепо с путями общей сети железных дорог, и внутренние железнодорожные пути, расположенные на территории электродепо и предназначенные для обращения подвижного состава железных дорог колеи 1520 мм, предусматривать соответственно по СТН Ц-01 [21] и СНиП 2.05.07.
5.15.2.1.23
Расчеты верхнего строения пути выполнять с учетом интервалов колебания температуры рельсов по 5.7.1.
5.15.2.2
Контактный рельс
5.15.2.2.1
Расстояние между кронштейнами для крепления контактного рельса принимать на парковых путях от 4,5 до 5,4 м.
5.15.2.2.2
Сварку контактного рельса в плети предусматривать электроконтактным способом. Длину плетей на парковых путях принимать не более 37,5 м, на деповском пути в камере обдува составов - 100 м.
В местах соединений сварных плетей контактного рельса предусматривать температурные стыки.
Электрическое сопротивление и величина зазоров в температурных стыках должны соответствовать 5.7.2.
Расстояние между кронштейнами, смежными с температурным стыком, принимать не более 2,5 м.
5.15.2.2.3
Контактный рельс закреплять от угона путем установки четырех противоугонов на каждую сварную плеть независимо от ее длины.
5.15.2.2.4
В местах секционирования контактной сети, в местах расположения стрелочных переводов и оборудования предусматривать воздушные промежутки контактного рельса.
На контактном рельсе в местах устройства воздушных промежутков предусматривать концевые отводы с уклоном 1:25.
Расстояние между металлическими концами отводов контактного рельса, перекрываемое токоприемниками одного вагона, должно быть не более 10 м, неперекрываемое - не менее 14 м.
Оборудование, устанавливаемое в пределах воздушного промежутка контактного рельса, располагать на расстоянии не менее 0,8 м от металлического конца отвода.
Расстояние от края автомобильной дороги до металлического конца отвода контактного рельса должно быть не менее 1,5 м.
На парковых путях воздушные промежутки располагать с учетом обеспечения наиболее удобных проходов к стрелочным постам, кладовым, оборудованию.
5.15.2.2.5
Длина контактного рельса с концевыми отводами должна быть не менее 18,7 м. В стесненных условиях, при необходимости размещения оборудования в зоне прокладки контактного рельса, допускается предусматривать длину контактного рельса с концевыми отводами не менее 9,0 м с его закреплением противоугонами на каждом кронштейне.
5.15.2.2.6
Не разрешается оборудовать контактным рельсом:
- парковые пути цехов различного назначения, а также пути для погрузки и выгрузки грузов и обращения подвижного состава железных дорог колеи 1520 мм;
- деповские пути ОРК, цехов различного назначения и камеры мойки составов.
5.15.2.2.7
Расчеты контактного рельса выполнять с учетом интервалов колебания температуры рельсов согласно 5.7.1.
5.15.3 Электроснабжение
5.15.3.1
Электроснабжение зданий, сооружений и сетей следует предусматривать от собственных ТПП и ПП.
Электроснабжение ТПП и ПП предусматривать аналогично 5.10.2.
5.15.3.2
Питание тяговой сети следует предусматривать постоянным током напряжением 825 В.
Питание силовых и осветительных электроприемников следует предусматривать напряжением 380/220 В переменного тока от общих трансформаторов с глухо заземленной нейтралью по системе TN-C, TN-C-S , установок управления движением поездов - от отдельных трансформаторов аналогично 5.10.5.
Для каждой группы потребителей необходимо принимать по два трансформатора.
5.15.3.3
Парковые пути следует оборудовать устройствами электрической централизации стрелок, светофорами полуавтоматического действия (с пригласительными сигналами и маршрутными указателями на отдельных светофорах) и, как правило, однониточными рельсовыми цепями.
5.15.3.4
Электроснабжение ТПП и Т предусматривать аналогично 5.10.2.
Электроснабжение ПП предусматривать по двум вводам от разных секций РУ 10 кВ ТПП.
5.15.3.5
Питание тяговой сети 825 В предусматривать: основное - от ТПП и Т; резервное - от контактных рельсов соединительных путей ветки в электродепо.
На ТПП предусматривать два преобразовательных агрегата, к каждому из которых подключать питающую линию, оборудуемую быстродействующим выключателем и линейным разъединителем с электроприводом.
Одна питающая линия подключается к распределительному пункту РП1 в ОРК, вторая - к РП2 на парковых путях. РП оборудовать разъединителями с ручными приводами. Допускаются разъединители вводов и отходящих линий в РП предусматривать с электроприводом.
От РП1 обеспечивается питание контактной сети ОРК и парковых путей, примыкающих к ОРК, от РП2 - питание контактных рельсов парковых путей.
РП1 размещать в отдельном помещении.
Соединение РП1 и РП2 между собой предусматривать через контактные рельсы парковых путей, кабельные перемычки между ними и положительную шину 825 В ОРК.
При наличии электровозного цеха и обкаточного пути на ТПП предусматривать РУ 825 В. Питание зарядного РП электровозного цеха и контактного рельса обкаточного пути предусматривать непосредственно от ТПП. Допускается их питание предусматривать от ближайшего контактного рельса.
5.15.3.6
Контактные рельсы парковых путей разделять на группы по 4-5 путей; питание каждой группы обеспечивать непосредственно от РП1 и РП2.
5.15.3.7
На электрифицированных парковых путях в отсасывающей сети использовать один ходовой рельс пути, как правило, со стороны расположения контактного рельса.
Соединение тяговых нитей ходовых рельсов путей между собой предусматривать исходя из условия, что каждый участок пути должен иметь не менее двух выходов тягового тока в отсасывающую сеть.
5.15.3.8
Каждая питающая и отсасывающая линия, а также перемычки контактного и ходового рельсов должны состоять не менее чем из двух кабелей или проводов. При кольцевой схеме питания контактного рельса в перемычках может быть один кабель.
5.15.3.9
В ОРК, кроме цеха ТР-3, СР и КР, вдоль каждого пути предусматривать контактный шинопровод 825В со специальными токосъемными каретками.
Сборные шины 825В располагать над воротами ОРК на высоте, позволяющей разместить устройства подъёмных ворот.
Контактный шинопровод и тяговую нить ходового рельса каждого пути подключать к сборным положительной и отрицательной шинам 825 В разъединителями с общим ручным приводом. Отрицательная шина не менее чем двумя перемычками должна соединяться с ходовыми рельсами парковых путей.
Соединение контактного шинопровода с тяговой нитью ходового рельса при снятии напряжения с данного пути предусматривать с использованием наконечника токосъемной каретки, узел "закорачивания" располагать в начале канавы.
Для опережающего соединения ходового рельса с отсасывающей сетью при включении разъединителя на его ноже предусматривать контактные дуги ("рога").
Положительную шину подключать к РП1 (основное питание) и к контактному рельсу последнего паркового пути, ведущего в корпус (резервное питание), разъединителями с ручными приводами.
Сборные шины располагать над воротами.
5.15.3.10
Каждый деповской путь ОРК оборудовать звуковой и световой сигнализацией, предупреждающей о подаче напряжения 825В в контактный шинопровод этого пути. При работе световая сигнализация должна гореть красным мигающим огнём.
5.15.3.11
Светильники 220В должны иметь антивандальное исполнение и степень защиты IP65. Светильники размещать через 5 м по каждой стороне канавы в шахматном порядке или сплошными световыми линиями энергосберегающими светильниками, в том числе светодиодными.
Для общего искусственного освещения помещений применять светильники с газоразрядными лампами, если это не оговаривается отдельными требованиями.
Освещение смотровых канав предусматривать общее - стационарными светильниками напряжением 220 В переменного тока и местное - переносными светильниками напряжением 12 В. Прокладку сети освещения в канавах предусматривать в трубах. Конструкция светильников 220 В должна исключать возможность доступа к лампе без применения инструмента. Для подключения переносных светильников предусматривать штепсельные розетки через 10 м по одной стороне канавы, в канавах путей текущего ремонта - по каждой стороне канавы в шахматном порядке.
В проходах между путями с пониженным полом по внешней боковой поверхности шпалы каждого пути предусматривать сеть местного освещения напряжением 12 В со штепсельными розетками через 20 м.
5.15.3.12
В пролетах текущего ремонта вагонов ОРК вдоль продольных стен и колонн предусматривать сети напряжением 380/220 В со штепсельными разъемами через 20 м для присоединения сварочных и регулировочных агрегатов мощностью 20 кВт.
В пролетах ТР-1, ТР-2 и ТР-3 на путях прокатки вагонов в смотровых канавах предусматривать сеть постоянного тока напряжением 65 В со штепсельными разъемами 160 А через 15 м с питанием от выпрямительных агрегатов мощностью 10 кВт.
5.15.3.13
Территория электродепо должна иметь общее освещение прожекторами, в том числе на зданиях и охранное освещение по периметру ограждения территории согласно КСЦ Метро-2 [20]. Управление освещением должно быть дистанционным и автоматическим в зависимости от уличной освещенности.
5.15.3.14
На парковых путях предусматривать трехфазные сети напряжением 380/220 В с путейскими ящиками для подключения агрегатов мощностью до 60 кВт и напряжением 220 В с ящиками для подключения электроинструментов до 10 кВт; ящики располагать: первые - через 100 м, вторые - через 50 м на площади путей.
5.15.3.15
Прокладку кабелей по территории электродепо предусматривать в кабельном тоннеле, открыто по кабельным конструкциям, в отдельных или в общих кабельных лотках с разделением их асбестоцементными перегородками.
Совместная прокладка в лотках силовых кабелей и кабелей систем АТДП не допускается.
Прокладку кабелей под парковыми путями предусматривать в металлических трубах с усиленным защитным покрытием по ГОСТ 9.602 независимо от коррозионной активности грунта. Прокладка кабелей под стрелками и крестовинами стрелочных переводов не допускается.
Способ прокладки выбирать исходя из числа кабелей в потоке, зоны их прокладки и возможности защиты от механических повреждений.
5.15.4 Управление движением поездов. Автоматика и телемеханика движения поездов
5.15.4.1
Парковые пути следует оборудовать устройствами централизации стрелок, светофорами полуавтоматического действия (с пригласительными сигналами и маршрутными указателями) и рельсовыми цепями.
Управление стрелками и светофорами должно осуществляться из поста централизации.
5.15.4.2
Стрелочные переводы на электрифицированных парковых путях предусматривать с электроприводами и включать в систему централизации. При задании маршрута движения поезда допускается маршрутное управление стрелками.
Стрелочные переводы на неэлектрифицированных парковых путях предусматривать с ручными переводными механизмами.
5.15.4.3
Пригласительные сигналы устанавливать на входные и выходные светофоры, групповые выходные светофоры с парковых путей и светофоры предохранительных путей.
5.15.4.4
На парковых путях светофоры предусматривать типа «Метро» или карликового типа, применяемые на российских железных дорогах. Допускается применять типовые железнодорожные светофоры на укороченных мачтах.
Светофоры обозначать буквами алфавита, дополненными порядковым номером светофора или номером пути ОРК.
5.15.4.5
На путевых участках перед выходными светофорами и обкаточном пути предусматривать устройства АРС.
На деповских путях, за исключением путей ТР и путей мойки и обдува вагонов, устанавливать устройства проверки работоспособности поездной аппаратуры АРС.
5.15.4.6
Заземление металлических конструкций и корпусов оборудования, за исключением корпусов ДТ и стрелочных приводов, предусматривать на единую систему защитного заземления электроустановок электродепо.
5.15.4.7
Прокладку кабелей под парковыми путями предусматривать в асбестоцементных трубах или кабельных желобах. Прокладка кабелей под стрелками и крестовинами стрелочных переводов не допускается.
5.15.4.8
Устройства АТДП должны отвечать требованиям Инструкции [4] и Правил [5].
5.15.5 Связь
5.15.5.1
В электродепо следует предусматривать линейные и деповские оперативно-технологические связи.
В состав линейных ОТС должны входить диспетчерские связи движения поездов и электроснабжения, тоннельная связь, административно-хозяйственная связь.
В состав деповских ОТС должны входить связи дежурного по электродепо и стрелочная, прямая связь, поездная маневровая и ремонтно-оперативная радиосвязи, громкоговорящие связь и оповещение.
5.15.5.2
Прокладку кабелей следует предусматривать в кабельных сооружениях, а также открыто на отдельно стоящих конструкциях.
5.15.5.3
Абонентские аппараты линейных ОТС предусматривать в следующих помещениях (зонах):
а) связь СДД - в помещениях дежурного по электродепо, ПВС, поста ЭЦ и постов на парковых путях;
б) связь СДЭ - в ТПП и ПП;
в) связь Т - у входных и выходных светофоров парковых путей.
Примечание - Обозначения видов связей - по 5.13.
5.15.5.4
Для организации административно-хозяйственной связи предусматривать, как правило, АТС. Перечень абонентов, включаемых в АТС, отражать в задании на проектирование.
5.15.5.5
В состав ОТС депо должны входить виды связей согласно таблице 5.15.5.
Таблица 5.15.5
| ОТС
|
Обозначение
|
| Стрелочная
|
СТР
|
| Дежурного по электродепо
|
Д
|
| Начальника электродепо
|
П
|
| Маневровая радио
|
МРС
|
| Ремонтно-оперативная радио
|
РОРС
|
5.15.5.6
Пульты (коммутаторы) деповских ОТС размещать у руководителей работ с организацией между ними соединительных линий связи.
Связь СТР предусматривать между постом ЭЦ и постами на парковых путях и в ОРК, дежурными по электродепо, мотовозным и электровозным цехами.
Телефонные аппараты СТР устанавливать:
- вблизи группы стрелочных приводов;
- у одиночных стрелочных приводов;
- в стрелочных постах на парковых путях;
- на передней стене ОРК.
Связь Д предусматривать между дежурным по электродепо и постами ОРК, а также с абонентами по списку, предоставляемому заказчиком.
Связь П предусматривать между начальником, главным инженером электродепо, дежурным по электродепо и начальниками цехов и отделений.
Связь МРС предусматривать:
- между дежурным поста ЭЦ и машинистами составов, находящихся на парковых путях;
- между работниками КИП и машинистами составов, находящихся в ОРК (при проверке локомотивных радиостанций).
Связь РОРС предусматривать между дежурным по электродепо и дежурным поста ЭЦ и персоналом, находящимся на парковых путях и в ОРК.
В состав технических средств радиосвязи должны входить стационарные и переносные радиостанции. В пределах электродепо может организовываться несколько кругов радиосвязи. Все радиостанции одного круга радиосвязи должны работать на одной выделенной рабочей частоте. Разрешение на использование радиостанций и радиочастот выдает заказчик.
5.15.5.7
ГГО предусматривать с разделением на следующие группы оповещения:
- пролеты ОРК;
- парковые пути;
- производственные мастерские;
- АБК;
- мотовозный и электровозный цехи.
Кроме того, в эти или дополнительные группы оповещения включать громкоговорители в цехе ТР, цехе окраски и сушки вагонов, камерах мойки и обдува вагонов, на подстанциях и в других вспомогательных сооружениях.
Оповещение вести:
а) от дежурного по электродепо - по всем группам;
б) с постов на передней стене пролетов ОРК - по группам ОРК;
в) от дежурного поста ЭЦ - по группе парковых путей;
г) от начальника электродепо - по группам производственных мастерских и АБК.
Громкоговорители на парковых путях размещать с учетом направленного действия звука и снижения уровня шума за пределами электродепо.
5.15.5.8
Теленаблюдение из помещения охраны электродепо должно охватывать ограждение территории (на всем протяжении), зоны входов и въездов автомобилей, рампу и портал тоннеля ветки в электродепо.
5.15.5.9
В АБК предусматривать вводы городской телефонной и радиотрансляционной сетей.
5.16.1 Строительные конструкции и материалы
5.16.1.1
Все строительные конструкции подземных помещений и сооружений должны соответствовать классу пожарной опасности КО.
5.16.1.2
Наземные вестибюли станций, здания и сооружения электродепо и наземные здания другого назначения должны быть не ниже II степени огнестойкости и иметь класс конструктивной пожарной опасности не ниже С1.
5.16.1.3
Строительные конструкции подземных сооружений должны иметь пределы огнестойкости, приведенные в таблице 5.16.1.
Таблица 5.16.1
| Наименование строительной конструкции
|
Предел огнестойкости, не менее
|
| Обделки платформенных и среднего залов станций, тоннелей, пристанционных и притоннельных сооружений
|
R 90
|
| Обделки перегонных и тупиковых тоннелей
|
R 90
|
| Пилоны и колонны станций
|
R 90
|
| Ограждения стволов шахт лифтов и лестниц в шахтах
|
RЕI 60
|
| Стен лестничных клеток
|
RЕI 120
|
| Стены подстанций
|
R 90/ЕI 60
|
| Стены (перегородки), пеpекрытия кладовых горючесмазочных и покрасочных материалов
|
RЕI 60
|
| Обделки эскалаторных тоннелей и вестибюлей станции
|
R 60
|
| Стены ограждений между путями и вентиляционно-кабельными каналами
|
R 45
|
| Косоуры, балки, марши, площадки лестничных клеток
|
R 60
|
| Конструкции внутренних перекрытий:
плиты
балки
|
RЕI 60
R 60
|
| Ограждений пересадочных коридоров над путями
|
ЕI 30
|
| Стены (перегородки) соединительных эвакуационных сбоек между тоннелями
|
R 45 (ЕI 45)
|
| Противопожарные двери
|
ЕI 30
|
| Несущие и ограждающие конструкции переходов над платформой и путями станции
|
RЕI 90
|
5.16.1.4
Помещения разных категорий А, Б, В1, В2, В3 следует отделять одно от другого, а также эти помещения от помещений категорий В4, Г и Д и коридоров противопожарными перегородками и противопожарными перекрытиями следующих типов:
в зданиях I степени огнестойкости — противопожарными перегородками 1-го типа, противопожарными перекрытиями (междуэтажными и над подвалом) 2-го типа;
в зданиях II и III степеней огнестойкости — противопожарными перегородками 1-го типа и противопожарными перекрытиями (междуэтажными и над подвалом) 3-го типа;
5.16.1.5
Строительные конструкции галерей наземных (надземных) участков линий, а также закрытых наземных станций должны соответствовать классу пожарной опасности не ниже КО и иметь предел огнестойкости не менее R 45.
5.16.1.6
Строительные конструкции кабельных каналов на станциях и электроподстанциях, вентиляционно-кабельных каналов под платформами станций должны иметь предел огнестойкости не менее R 45, люки каналов, выходящие на платформу, — не менее EI30. В вентиляционно-кабельных каналах допускается иметь открытые проемы для забора (выпуска) воздуха из пассажирских помещений.
5.16.1.7
В обходных кабельных тоннелях станций следует предусматривать не менее одной перегородки. Перегородки должны быть противопожарными 1-го типа. Двери в тоннель и в перегородках должны быть противопожарными 2-го типа с пределом огнестойкости не менее ЕI 30. Каждый отсек должен быть оборудован автоматической установкой пожарной сигнализации, а при пожарной нагрузке более 180 МДж-м-2
, кроме того, и автоматической установкой пожаротушения.
5.16.1.8
Вестибюль станции, встроенный в здание другого назначения или пристроенный к нему, должен быть отделен противопожарными стенами и перекрытиями 1-го типа и иметь выход непосредственно наружу.
5.16.1.9
Подземные помещения в стенах и перегородках с нормируемым пределом огнестойкости должны иметь противопожарные двери с пределами огнестойкости не менее ЕI 30.
Противопожарные двери кладовых ГСМ и покрасочных материалов должны быть самозакрывающимися и открываться по направлению выхода из помещения. В дверном проёме следует предусматривать порожек или пандус высотой не менее 0,15 м.
К материалам полотен дверей входов в наземные вестибюли, павильоны над лестничными сходами в подземные переходы, кассовые залы подземных вестибюлей, помещения без постоянных рабочих мест, душевые и другие подобные помещения, противопожарные требования не предъявляются и пределы огнестойкости не нормируются. Решетки на окнах вестибюлей, выходящих на улицу, должны быть раздвижными.
5.16.1.10
Защитный короб контактного рельса следует предусматривать из материалов с группой горючести Г1.
5.16.1.11
Для облицовки строительных конструкций и покрытия полов сооружений станций следует применять негорючие и, в отдельных случаях, трудногорючие материалы.
Отделку и облицовку стен и потолков на путях эвакуации следует предусматривать из негорючих и, при обосновании, трудногорючих, не выделяющих при нагревании токсичных веществ, материалов. Для окраски следует применять, как правило, негорючие краски.
Для отдельных элементов отделки и облицовки стен и потолков станции при обосновании допускается применять материалы с характеристиками пожарной опасности не ниже, чем группы Г1,В1,Д2,Т2.
5.16.1.12
В помещениях станций с постоянным пребыванием персонала покрытие полов следует предусматривать линолеумом с характеристиками пожарной опасности не более высокими, чем группы Г2, В2, РП2, Д2, Т2.
В бытовых, производственных и других помещениях без рабочих мест следует предусматривать покрытие из негорючих материалов.
Звукопоглощающую отделку помещений и конструкции подвесных потолков следует предусматривать из негорючих материалов. В бытовых помещениях для отделки и облицовки не допускается применять материалы с характеристиками пожарной опасности более высокими, чем группы Г2, ВЗ, ДЗ, ТЗ.
5.16.1.13
Конструкции скамей на платформах станций следует предусматривать из негорючих материалов, сиденья — из материалов с характеристиками пожарной опасности Г2, Д2, Т2.
5.16.1.14
Участки нового строительства в местах примыкания к действующим линиям метрополитена отделять противопожарными перегородками 1-го типа, исключающими проникновение пожара и продуктов горения в действующую часть метрополитена и наоборот.
5.16.1.15
Размещаемая на станциях реклама из горючих материалов должна занимать не более 5 % площади внутренней поверхности сооружения.
Толщина горючего материала рекламы должна быть не более 0,4 мм и наклеена на негорючее основание без воздушных зазоров. Размеры рекламных щитов не должны превышать в ширину 5 м, в высоту — 2 м. Расстояние между щитами должно быть не менее 1 м. Конструкции рекламы должны выполняться из негорючих материалов, крепления щитов на путях эвакуации должны выдерживать температуру 300 °С в течение 1 часа.
5.16.1.16
Перекрытие вентиляционно-кабельного отсека в эскалаторном тоннеле должно быть герметичным и иметь предел огнестойкости не менее REI 45. Вывод вентиляционного канала на поверхность следует располагать, как правило, не менее чем в 15 м от входов в вестибюль.
5.16.1.17
Основные складские помещения, предназначенные для хранения горючих материалов, должны располагаться в наземной части сооружений метрополитена.
Кладовые для хранения расходных запасов горючесмазочных и покрасочных материалов следует размещать в уровне пешеходных переходов и машинного помещения эскалаторов.
5.16.2 Категории помещений и сооружений по взрывопожарной и пожарной опасности
5.16.2.1
Производственные и складские помещения наземных и подземных сооружений подлежат категорированию по взрывопожарной и пожарной опасности.
5.16.2.2
Категории помещений по взрывопожарной и пожарной опасности принимать по Приложению 5.16А и расчетным путём.
5.16.2.3
При выборе категорий помещений и сооружений, а также их зон определять максимальную удельную величину пожарной нагрузки для однотипных групп помещений и сооружений, а также их зон с учетом следующего:
- в наклонных эскалаторных тоннелях площадь размещения пожарной нагрузки принимать как горизонтальную проекцию наклонного участка;
- подсчет удельной пожарной нагрузки, представленной электрическими кабелями, выполнять по формуле

где - удельная пожарная нагрузка, МДж·м-2
;
0,272 - коэффициент, учитывающий осредненную массовую долю горючих материалов кабелей в кабельном помещении;
- низшая теплота сгорания изоляционных материалов кабелей, равная 37,6 МДж·кг -1
;
- масса погонного метра i-го кабеля в поперечном сечении помещения, кг·м-1
;
- число кабелей в наиболее насыщенном ими поперечном сечении помещения;
- высота кабельного сооружения, м;
- площадь поперечного сечения помещения, м2
.
5.16.3 Водоснабжение
5.16.3.1
Противопожарное водоснабжение наземных сооружений должно выполняться по действующим нормативным документам для наземных зданий, для станций, вестибюлей и других подземных сооружений — по настоящим нормам и правилам.
5.16.3.2
На сети городского водопровода необходимо предусматривать установку не менее двух пожарных гидрантов на расстоянии не более 100 м от входа на станцию.
В электродепо пожарные гидранты следует предусматривать на площадке парковых путей с расстоянием между ними не более 100 м, а также у зданий. Гидранты должны иметь световые указатели.
На территории электродепо для забора воды пожарной техникой допускается предусматривать наружные водоисточники (резервуары) при условии обеспечения использования их в любое время года.
5.16.3.3
Сеть противопожарного водоснабжения подземных сооружений предусматривать согласно п. 5.9.
5.16.3.4
В эскалаторных тоннелях станций глубокого заложения и в стволах шахт УТВ предусматривать прокладку сухотруба условным диаметром 80 мм. Для присоединения рукавов пожарных автомобилей на сухотрубе наверху должна быть одна соединительная головка, внизу— две соединительные головки. Перед соединительными головками предусматривать запорную арматуру, а головки снабжать заглушками. Тип и диаметр соединительных головок принимать по согласованию с противопожарной службой города.
5.16.3.5
Гидравлический напор в системе хозяйственно-противопожарного водопровода на отметке наиболее низко расположенного пожарного крана не должен превышать 60 м.
При превышении этой величины и отсутствии редукционных узлов на станции, при напорах у пожарных кранов свыше 40 м при водоразборе между пожарным краном и соединительной головкой предусматривать установку диафрагм, снижающих избыточный напор.
5.16.3.6
Расход воды на внутреннее пожаротушение определять исходя из следующих условий:
а) число пожаров на линии — 1;
б) число струй для:
1) платформенной части станции, тупика —3;
2) кассового зала вестибюля, коридоров служебных и производственных помещений, машинного помещения эскалаторов и эскалаторного тоннеля, тоннелей перегона и соединительной ветки, галерей наземного участка, коридора пересадочного узла— 2;
в) расход воды на одну струю принимать, л-с-1
, для:
1) платформенной части станции и тупика —3,3;
2) тоннелей перегона и соединительной ветки, галереи наземного участка, кассового зала вестибюля, коридоров служебных, производственных и прочих помещений и сооружений — 2,5;
г) радиус компактной части струи не менее, м, для
1) платформенной части станции, тоннелей и соединительной ветки, галереи наземного участка — 10;
2) перегонного тоннеля, кассового зала вестибюля, коридоров служебных, производственных и прочих помещений и сооружений — 6.
Необходимость применения противопожарных насосных повысительных установок определять расчётом.
5.16.3.7
Пожарные краны размещать в количестве:
а) с одним пожарным рукавом 20 м и стволом:
1) в кассовом зале вестибюля — 2;
2) в начале и конце пересадочного коридора, у входов в помещения, примыкающие к пересадочному коридору. — 1;
3) в предэскалаторной зоне, машинном помещении и натяжной эскалаторов — 1;
4) в ПТО подвижного состава — 1 на этаж;
5) в коридорах служебных и производственных помещений — 1 через 20 м. Для расположенных в пересадочном коридоре помещений с размерами, превышающими зону применения пожарного крана (26 м), предусматривать установку кранов и внутри помещений.
6) в натяжной камере эскалаторов;
б) с двумя пожарными рукавами по 20 м и стволом:
1) в обоих концах платформы станции каждого пути — 1;
2) в начале, середине и конце тоннеля однопутного тупика — по одной стороне, двухпутного тупика — по каждой стороне — 1;
в) без рукава и ствола с расстоянием между ними, м:
1) в эскалаторном тоннеле, в каждом проходе под балюстрадой эскалатора — 30;
2) в однопутном перегонном тоннеле — по одной стороне, в двухпутном перегонном тоннеле и галерее наземного участка по каждой стороне в шахматном порядке — 90;
г) в тоннеле однопутного тупика—по одной стороне, двухпутного тупика по каждой стороне — 30.
При длине платформы больше 100 м пожарный кран без рукава и ствола устанавливать на стене в шкафу в средней части платформы по каждому пути. Размещение пожарных кранов на платформах в люках допускается при невозможности их установки на стене в шкафу.
5.16.3.8
Пожарные краны с рукавами и стволами, должны размещаться в шкафах на стенах. Глубину пожарных шкафов выбирать минимальной. Диаметр пожарного крана принимать не менее 50 мм, внутренний диаметр пожарного рукава не менее 51 мм, диаметр спрыска наконечников пожарных стволов в платформенных залах станций, в тупиках и в остальных местах — 16 мм.
Местонахождение пожарных кранов должны быть обозначены. Крышки люков пожарных кранов должны иметь буквенную чеканку (наварку) «ПК».
В местах, недоступных для пассажиров, пожарные краны допускается размещать открыто; при этом рукава размещать в кассетах.
Пожарные краны без рукавов размещать в люках или на стенах. При размещении пожарного крана в люке должно быть обеспечено удобство его эксплуатации и технического обслуживания. Расстояние от вентиля пожарного крана и соединительной головки до крышки люка должно составлять не более 30 см.
5.16.3.9
В каждом конце платформы 1 и 2-го пути станции предусматривать установку встроенного или напольного шкафа размером 0,9х0,25х 1,0 м для ручных огнетушителей и двух пожарных рукавов длиной по 20 м со стволами, а также напольного шкафа размером не более 0,6x0,6x1,7 м для передвижного порошкового (углекислотного) огнетушителя.
5.16.4 Автоматические установки обнаружения и тушения пожара, средства оповещения о пожаре и управления эвакуацией
5.16.4.1
Наземные здания, сооружения и помещения необходимо оборудовать автоматическими установками пожаротушения и пожарной сигнализации по действующим нормам для наземных сооружений, подземные — по таблице 5.16.2.
Зоны на станционных путях (в тупиках), где предусматривается ночной отстой подвижного состава, должны оснащаться установками локального пожаротушения.
Таблица 5.16.2
| Помещение, сооружение, оборудование
|
Автоматические установки пожаротушения
|
Автоматические установки пожарной сигнализации
|
| Нормативный показатель при пожарной нагрузке
|
| Кабельные каналы, тоннели вдоль станций, кабельные этажи
|
Более 180 МДжм-2
|
180 МДжм-2
и менее
|
| Вентиляционно-кабельные каналы
|
—
|
Независимо от площади
|
| Помещения распределительных устройств 10 кВ; 825,В; 380В
|
—
|
То же
|
| Электрощитовые
|
—
|
»
|
| Кладовые горючесмазочных материалов и покрасочных материалов
|
Независимо от площади
|
—
|
| Помещения категории В1 по пожарной опасности
|
То же
|
—
|
| Помещения категорий В2 и ВЗ по пожарной опасности
|
300 м2
и более
|
Менее 300 м2
|
| Шкафы вводов питания и управления эскалаторами в машинных помещениях
|
Внутренний объем шкафа
|
—
|
| Зоны отстойных и ремонтных пролетов в зданиях электродепо при площади пожарного отсека
|
4500 м2
и более
|
Менее 4500 м2
|
5.16.4.2
Электроснабжение противопожарных устройств следует предусматривать согласно п. 5.10.
5.16.4.3
На каждой станции, в пристанционных сооружениях и перегонных тоннелях следует предусматривать систему оповещения и управления эвакуацией людей при пожарах и чрезвычайных ситуациях.
5.16.4.4
Системы АУПТ и АУПС предусматривать по действующим нормативным документам.
Приемную станцию АУПС размещать в помещении ДПС.
При срабатывании установок АУПС должны автоматически отключаться системы вентиляции и кондицианирования :
а) на станциях и вестибюлях;
б) в помещениях притоннельных сооружений категории В1.
Включение систем вентиляции для работы в режиме дымоудаления предусматривать из ДПС.
При срабатывании АУПТ в ОРК электродепо должно автоматически отключаться питание внутренней сети 825 В. Сигнал на отключение напряжения подавать при срабатывании извещателей, установленных не менее чем на 2 шлейфах.
Общий сигнал о пожаре на станции и в притоннельных сооружениях передавать в ДПЛ через ДПС, о пожаре в электродепо — непосредственно в ДПЛ.
5.16.4.5
При устройстве автоматического водяного пожаротушения учитывать одновременное действие пожарных кранов и спринклер или дренчерных установок.
5.16.4.6
На верхних и нижних предэскалаторных площадках вблизи шкафов управления эскалаторами предусматривать разъемы для подключения переговорных устройств пожарных подразделений. Тип разъема принимать по согласованию с противопожарной службой города.
5.16.4.7
Тип СОУЭ необходимо предусматривать по СП 3.13130.2009. В зависимости от суммарного пассажиропотока на станции в часы пик разделять на три типа: 1 — до 51; 2 — от 51 до 79 и 3 свыше 79 тыс. чел. ч-1. Выбор типа СОУЭ выполнять по таблице 5.16.3.
Таблица 5.16.3
| Тип
|
Показатель
|
Зоны размещения элементов СОУЭ
|
| Перегонный тоннель
|
Платформа станции
|
Пешеходный переход
|
Эскалаторный тоннель
|
Вестибюль
|
Помещения персонала, машинное помещение эскалаторов, ТПП
|
Улица
|
| I
|
Способ оповещения:
|
| звуковой (звонки, тонированный сигнал)
|
—
|
—
|
—
|
—
|
—
|
+
|
—
|
| речевой (запись и передача спецтекстов)
|
+
|
+
|
*
|
| световой:
|
| светоуказатели «Выход»
|
—
|
+
|
*
|
+
|
+
|
—
|
—
|
| светоуказатели направления движения
|
*
|
*
|
*
|
*
|
+
|
*
|
*
|
| Двусторонняя связь с ДПС
|
+
|
+
|
—
|
+
|
+
|
*2)
|
_
|
| Видеоконтроль
|
—
|
—
|
—
|
—
|
—
|
+
|
—
|
| II
|
Способ оповещения:
|
| звуковой (звонки, тонированный сигнал)
|
—
|
—
|
—
|
—
|
—
|
+
|
__
|
| речевой (запись и передача спецтекстов)
|
__
|
+
|
+1)
|
+
|
+
|
__
|
__
|
| световой:
|
| светоуказатели «Выход»
|
*
|
+
|
*
|
*
|
+
|
—
|
—
|
| светоуказатели направления движения
|
*
|
*
|
+
|
+
|
+
|
*
|
__
|
| Двусторонняя связь с ДПС
|
+
|
+
|
*
|
+
|
+
|
*2)
|
*
|
| Видеоконтроль
|
__
|
+
|
*
|
*
|
+
|
—
|
*
|
| III
|
Способ оповещения:
|
__
|
__
|
| звуковой (звонки, тонированный сигнал)
|
*
|
*
|
*
|
+
|
—
|
| речевой (запись и передача спецтекстов)
|
*
|
+
|
+1
|
+
|
+
|
__
|
*
__
|
| световой:
|
| светоуказатели «Выход»
|
*
|
+
|
*
|
*
|
+
|
*
|
__
|
| светоуказатели направления движения
|
+
|
+
|
*
|
*
|
+
|
*
|
| Двусторонняя связь с ДПС
|
+
|
+
|
+
|
+
|
+
|
*2)
|
*
|
| Видеоконтроль
|
—
|
+
|
+
|
+
|
+
|
—
|
*
|
| Примечание — «+» - требуется;
«*» - рекомендуется; «__» - не требуется;
«1)» - при длине пешеходного перехода свыше 20 м; «2)» - в обоснованных случаях (например, с постом милиции).
|
5.16.4.8
Суммарный пассажиропоток в часы пик, тыс. чел-ч-1
, определять из выражения
П= П1
+ П2
+Пвх
+Пп
,
где П1
, П2
— пассажиропотоки соответственно для 1-го и 2-го путей;
Пвх
— суммарный пассажиропоток входа с поверхности;
Пп
— пассажиропоток со смежной линии (для пересадочной станции).
5.16.4.9
СОУЭ должна обеспечивать:
- передачу звуковых и, при необходимости, световых сигналов в помещения и сооружения, в которых находится персонал;
- трансляцию речевых сообщений в случае пожара;
- передачу в отдельные зоны сооружений и помещений сообщений о месте возникновения загорания, путях эвакуации и действиях, обеспечивающих личную безопасность;
- включение эвакуационного освещения;
- двустороннюю связь ДПС со всеми помещениями, в которых находится персонал, ответственный за обеспечение безопасной эвакуации людей;
- включение звуковых и световых указателей рекомендуемого направления эвакуации;
- передачу сигналов оповещения одновременно в несколько зон и, при необходимости, последовательно в отдельные зоны;
- функционирование в течение всего времени эвакуации, включая эвакуацию из перегонных тоннелей.
Число оповещателей звуковых, речевых, их расстановка и мощность должны обеспечивать необходимую слышимость во всех местах пребывания людей. Оповещатели не должны иметь регуляторов громкости и должны подключаться к сети без разъемных устройств.
Приборы управления и аппаратура СОУЭ должны соответствовать требованиям ГОСТ.
5.16.4.10
СОУЭ должна обеспечивать оперативную корректировку управляющих команд и, кроме трансляции фонограммы с магнитофона, предусматривать прямую трансляцию речевого оповещения и управляющих команд через микрофоны из ДПС.
5.16.5 Вентиляция и противодымная защита
5.16.5.1
Противодымная защита (ПДЗ) путей эвакуации на станциях и пересадочных сооружениях между станциями должна обеспечивать эвакуацию пассажиров и персонала и незадымление прилегающих к станции тоннелей.
ПДЗ следует предусматривать также на путях эвакуации персонала в вестибюлях подземных станций с тремя и более уровнями размещения производственных, административных, санитарно-бытовых и других служебных помещений.
5.16.5.2
Для ПДЗ станций и тоннелей следует использовать установки тоннельной и местной вентиляции, а при необходимости дополнительные технические средства — специальные подпорные вентиляционные установки и перегородки в верхней части платформенного (среднего) зала станции для создания дымовых зон.
5.16.5.3
ПДЗ путей эвакуации в перегонных тоннелях должна обеспечивать направление воздушного потока навстречу эвакуирующимся людям и его устойчивость на участках, склонных к изменению направления воздушного потока (при эвакуации людей в одном направлении от очага пожара).
5.16.5.4
Расчеты системы ПДЗ следует производить:
- для станции - при пожаре в вагоне поезда только для одного пути станции;
- для перегона- при пожаре в головном, хвостовом, среднем вагонах поезда для на 1-м и 2-м пути.
5.16.5.5
ПДЗ путей эвакуации станции должна обеспечивать:
- оперативный перевод УТВ в аварийный режим работы;
- защиту людей от дыма при их движении по путям эвакуации до выхода наружу или по пересадочным эскалаторам, коридорам по назначеным маршрутам в зависимости от расположения очага пожара на станции.
Расчеты системы ПДЗ следует производить:
а) для станции:
- при пожаре в вагоне поезда;
- в вестибюле;
- при пожаре в эскалаторном тоннеле, в машинном помещении эскалаторов;
- при пожаре пересадочного эскалатора;
б) для перегонного тоннеля - при пожаре в головном, хвостовом, среднем вагонах поезда – без остановки поезда на перегоне.
5.16.5.6
Система тоннельной вентиляции в режиме ПДЗ должна обеспечивать эвакуацию людей из подземных сооружений при пожаре. При невозможности достижения целей ПДЗ с помощью тоннельной вентиляции применять:
- конструктивную противодымную защиту, включающую другие планировочные решения, противодымные перегородки в верхней части сооружений, быстровозводимые вентиляционные перемычки в перегонных тоннелях;
- удаление дыма из верхней зоны платформенных залов станции через специальные или эксплуатационные вентиляционные каналы;
- увеличение производительности вентиляторов УТВ;
- подпорные вентиляторы в вестибюлях;
- систему вентиляции с раздельным проветриванием перегонных тоннелей.
Для реверсивных вентиляторов станционной УТВ рекомендуется предусматривать максимальную производительность в режиме вытяжки.
5.16.5.7
Защиту людей от дыма в период эвакуации из платформенных залов станции рекомендуется осуществлять путем создания под сводом залов «резервуара дыма» необходимого объема или удаления дыма из верхней части сооружения.
Предельным временем эвакуации (временем блокирования путей эвакуации) считать время достижения нижней границей дыма уровня 2,5 м от пола зала. При определении этого времени учитывать изменение площади (периметра) пожара от момента его возникновения, удаление части дыма вентиляцией. Для расчета принимать пожар поезда, возникший в тоннеле, при линейной скорости распространения горения 1 м·мин-1
.
5.16.5.8
Для защиты людей от проникновения дыма на пути эвакуации предусматривать:
- создание воздушного потока в зоне примыкания эвакуационных путей к платформенным залам станции со скоростью не ниже 1,7 м·с-1
;
- отделение верхней зоны зала станции от путей эвакуации противодымной перегородкой с высотой от уровня пола пути эвакуации не более 2,5 м и не менее 2,2 м;
- выгораживание путей эвакуации от платформенного зала станции противодымной перегородкой.
Высота проема между залом станции и эскалаторным тоннелем (лестничными сходами) должна быть не более 2,5 м и не менее 2,2 м. Скорость воздуха в проеме должна быть не ниже 1,3 м·с-1
.
Если система тоннельной вентиляции не обеспечивает указанные параметры, применять подпорные вентиляторы в вестибюле с забором воздуха с поверхности для подачи воздуха в эскалаторный тоннель (лестничные сходы). Подпорные вентиляторы должны включаться только при работе станционной УТВ на вытяжку.
Примечание — Если эвакуация людей наружу в соответствии с расчетами завершается до блокирования путей эвакуации опасными факторами пожара в зале станции, то требования к параметрам воздушных потоков не применяются.
5.16.5.9
Незадымление прилегающих к станции тоннелей обеспечивать созданием в них воздушного потока в сторону станции со скоростью не ниже 0,5 м·с-1
.
5.16.5.10
В расчетную статическую схему вентиляционной сети станции должны входить сооружения и вентиляторы на участке трассы, включая соседние станции; для пересадочной станции — смежная станция и участки до соседних с ней станций.
При расчетах учитывать наличие остановленных в тоннелях поездов и открытое положение дверей вестибюля на выходе.
5.16.5.11
Устойчивость воздушного потока в тоннелях определять из условия

где Vp
- расчетная скорость воздуха в тоннеле при введении аварийного вентиляционного режима, м·с-1
;
V
ТР
- скорость воздуха в тоннеле, требуемая для предотвращения распространения дыма навстречу вентиляционному потоку, м-с-1
.
Требуемую скорость воздуха принимать, по таблице 5.16.4.
Таблица 5.16.4
| Тоннель перегонный
|
Требуемая скорость воздуха, м·с-1
|
| Уклон тоннеля, ‰
|
| 0
|
10
|
20
|
30
|
40
|
50
|
| Кругового очертания внутренним диаметром 5,6 м
|
2,17
|
2,23
|
2,30
|
2,38
|
2,43
|
2,50
|
| Тоже 5,1 м
|
2,23
|
2,30
|
2,36
|
2,43
|
2,50
|
2,56
|
| Прямоугольного очертания однопутный
|
2,28
|
2,35
|
2,42
|
2,49
|
2,56
|
2,63
|
| То же, двухпутный
|
1,8
|
1,86
|
1,91
|
1,97
|
2,02
|
2,07
|
Расчетная схема вентиляционной сети должна включать участки трассы с не менее чем двумя УТВ с обеих сторон от аварийного участка тоннеля.
Для участков трассы с уклонами более 10 ‰ необходимо предусматривать схему раздельного проветривания тоннелей.
5.16.5.12
Для повышения устойчивости нисходящего проветривания тоннеля, создания «нулевого режима вентиляции» на аварийных участках и предотвращения поступления дыма на станцию, а также для обеспечения параметров ПДЗ на станции, в перегонных тоннелях рекомендуется устраивать быстровозводимые вентиляционные перемычки, обеспечивающие проход сквозь них эвакуирующихся людей.
5.16.5.13
Для оценки условий работы вентиляторов и другого оборудования при пожаре рекомендуется выполнять теплофизические расчеты. Значения рабочих температур в условиях пожара должны быть не ниже 150 °С для станционых УТВ и не ниже 250 °С для перегонных УТВ. В этих условиях должна обеспечиваться работоспособность УТВ в течение 1 часа.
5.16.5.14
В коридорах блоков служебных помещений с тремя и более уровнями в подземных вестибюлях дымоудаление предусматривать соласно СП 7.13130.2009. Вентиляционную установку дымоудаления размещать на верхнем уровне.
Допускается не предусматривать дымоудаление при условии разделения коридоров служебных помещений на отсеки длиной не более 15 м противопожарными перегородками с заполнением проемов нормально открытыми противопожарными дверями, закрывающимися от системы пожарной сигнализации.
5.16.5.15
УМВ машинных помещений эскалаторов в режиме ПДЗ должны обеспечивать удаление дыма на поверхность земли. Расход удаляемого воздуха рассчитывать на обеспечение разрежения не менее 20 Па в машинном помещении по отношению к объему пассажирской зоны эскалаторного тоннеля. Расчет выполнять из условия, что двери (люк) натяжной камеры, двери машинного помещения, ведущие в вестибюль, и ворота демонтажной шахты закрыты.
Допускается обеспечивать удаление дыма после пожара в машинных помещениях эскалаторов системами общеобменной вентиляции, при использовании автоматической системы порошкового пожаротушения. Удаление осадочной порошковой массы из нижней зоны производится передвижными (переносными) установками пылеуборки.
В местах пересечения воздуховодами систем общеобменной вентиляции, используемых для удаления дыма, ограждений помещения, защищаемого установками порошкового пожаротушения, предусматривать противопажарные клапаны двойного действия.
5.16.5.16
В подземных помещениях (сооружениях) на воздуховодах систем общеобменной вентиляции, воздушного отопления и кондиционирования (далее — системы вентиляции) необходимо предусматривать в целях предотвращения проникания в помещения продуктов горения (дыма) во время пожара противопожарные нормально открытые клапаны — на воздуховодах, обслуживающих помещения, категорий А, Б, В1, В2 или В3, кладовые горючих материалов, комнаты приёма пищи, а также на воздуховодах систем местных отсосов взрыво- и пожароопасных смесей в местах пересечения воздуховодами противопожарной преграды обслуживаемого помещения.
В наземных помещениях (сооружениях) пересечение противопожарных преград воздуховодами следует предусматривать по действующим нормативным документам для наземных зданий.
5.16.6 Эвакуация людей
5.16.6.1
Из подземных сооружений должна обеспечиваться эвакуация людей при пожаре. На путях эвакуации следует предусматривать защиту людей от воздействия опасных факторов пожара. Расчетное время эвакуации людей со станции следует определять до наступления критических значений опасных факторов пожара на высоте 1,7 м от пола эвакуационного пути с учетом особенностей планировочных решений станций до защищённых путей эвакуации. При расчёте времени эвакуации учитывать все защищённые эвакуационные пути. Расчётную численность людей, находящихся в сооружениях станции необходимо определять исходя из максимальных перспективных пассажиропотоков проектируемой станции.
5.16.6.2
Для эвакуации из платформенных залов станции следует предусматривать следующие пути:
а) по эскалаторам и (или) лестницам 2-го типа, коридорам, через кассовые залы вестибюлей, подземные переходы — до выхода наружу;
б) через пересадочные сооружения — на станцию другой линии и далее по а).
5.16.6.3
Длина тупиковых участков помещений и сооружений (коридоров, кабельных тоннелей, вентиляционных каналов и др.) должна быть не более 25 м.
5.16.6.4
На пересадочных станциях глубокого заложения с общим вестибюлем необходимо предусматривать возможность раздельной эксплуатации станций и их защиту от проникновения опасных факторов при пожаре на одной из станций (устройство противопожарных зон с подпором воздуха, тамбур-шлюзов с подпором воздуха, выходов через воздушную зону).
5.16.6.5
В бытовых и производственных помещениях ширину коридоров и лестниц следует принимать, м, не менее:
а) коридора —1,2;
б) маршей лестничных клеток — 1,0;
в) открытых лестниц между двумя этажами внутри подстанции — 0,8.
Ширина лестничных площадок должна быть не менее ширины марша.
Высота горизонтальных участков путей эвакуации в свету должна быть не менее 2 м. В местах эвакуации персонала допускается снижение высоты до 1,8 м на длине до 0,6 м.
5.16.6.6
Для эвакуации пассажиров из поезда, остановленного в перегонном тоннеле, следует предусматривать эвакуационные пути: в однопутных тоннелях — по одной стороне и в двухпутных тоннелях — по двум сторонам.
Ширина эвакуационного пути в тоннелях на высоте 1,5 м от покрытия пешеходной дорожки должна быть не менее 0,7 м. Допускается уменьшение ширины в местах установки оборудования.
При круглом сечении тоннеля ширина прохода на уровне пола должна быть не менее 0,4 м.
5.16.6.7
При проектировании новых метрополитенов все вагоны должны иметь принудительную систему вентиляции, оборудованы видеонаблюдением и автономной системой пожаротушения двигателя и салона.
При возгорании двигателя одного из вагонов поезда, движущегося в перегонном тоннеле, автоматически включается автономная система пожаротушения с передачей информации машинисту поезда и диспетчеру.
При возгорании какого-либо элемента салона, информация от датчиков возгорания или задымления поступает машинисту поезда, который на основании видеонаблюдения принимает решение о необходимости включения системы пожаротушения салона и изменении режима вентиляции на дымоудаление. Это гарантирует защиту пуска системы пожаротушения вагона от ложного срабатывания датчиков.
5.16.6.8
Эвакуация пассажиров из вагона, в котором произошло возгорание и включена система пожаротушения, осуществляется путем перехода пассажиров в соседние вагоны. В новых метрополитенов все вагоны должны быть оборудованы торцевыми сдвигающимися дверями с возможностью их ручного управления. Поезд продолжает движение до ближайшей станции, в которой происходит эвакуация пассажиров и устранение неисправностей вагона.
5.16.6.9
Эвакуации пассажиров из остановленного в перегонном тоннеле поезда осуществляется в соответствии с 5.16.6.6. до ближайшей станции или сбойки между тоннелями. Пассажиры спускаются на путь и продолжают движение до ближайшей станции или до ближайшей сбойки между перегонными тоннелями. Ширина людской сбойки должна быть не менее 1,5 м, высота — 2 м, ширина дверного проема — 1 м. Открывание двери в дверном проеме не нормируется. Сбойки совмещаются с технологическими помещениями между тоннелями (ВОУ, санузлы на перегонах, венткамеры, подстанции и др.). При этом расстояния между сбойками не должно превышать 500м.
5.16.6.10
В случае проектирования по условиям строительства участка трассы метрополитена со станцией на проход поездов, на случай пожара на этой станции необходимо предусматривать следующие мероприятия:
а) центральный зал станции следует отделить от боковых платформенных залов станции 1 и 2 пути противопожарной перегородкой 1 - го типа с заполнением проемов противопожарными дверями 2-го типа шириной не менее 1,2 м и обеспечением прохода пассажиров между платформами 1 и 2 пути не меньше, чем через 3 эвакуационных прохода шириной не меньше 1,8 м;
б) на платформах 1 и 2 путей станции и в эвакуационных проходах между платформами следует предусмотреть постоянно включенное аварийное освещение с уровнем освещенности не менее 2,5 лк;
в) у входов в эвакуационные проходы следует предусмотреть размещение указателей «Выход», при входе в тоннели - указателей со стрелками направления движения и указанием расстояний до соседних станций с подключением к аварийному освещению;
г) платформы 1 и 2 путей станции следует оборудовать оповещением при пожаре с возможностью передачи речевых сообщений из помещения ДПС;
д) в каждом торце станции по 1 и 2 путям, на платформе станции - через каждые 30 м следует устанавливать пожарные краны. Каждый пожарный кран, размещаемый в торце станции, должен быть оснащен двумя пожарными рукавами по 20 м каждый и пожарным стволом;
е) тоннельная вентиляции указанного участка трассы должна обеспечивать защиту путей эвакуации по параллельному не аварийному тоннелю, в стороны действующих станций.
5.16.6.11
Для эвакуации людей из подземных бытовых и производственных помещений предусматривать следующие пути:
а) из помещений в уровне кассового зала вестибюля — по коридору, через кассовый зал, подуличный переход или коридор до выхода наружу, а также по лестнице 2-го типа и (или) эскалаторам — на платформу станции;
б) из машинного помещения эскалаторов — по лестнице 2-го типа в кассовый (промежуточный) зал или через подбалюстрадное пространство и натяжную — в предэскалаторную зону;
в) из подплатформенных помещений — по коридору, лестницам 1-го типа в торцах коридора – на платформу станции (допускается использовать в качестве аварийного выхода);
Примечание — При размещении в них помещений площадью не более 150 м2
предусматривать устройство одного эвакуационного и одного аварийного выходов.
г) из подплатформенных вентиляционно-кабельных каналов — через люк размером 0,7x0,9 м в каждом конце канала, по металлической лестнице - на платформу станции;
д) из помещений в уровне платформы — по коридорам в тоннели 1-го и (или) 2-го пути и по коридорам, служебным мостикам (в тоннелях 1-го и 2-го пути) — на платформу станции;
е) из помещений в уровнях между кассовым залом вестибюля и платформой станций мелкого заложения — по коридорам, лестницам 1-го типа, коридорам в кассовый зал или в подуличный переход до выхода наружу, а также по коридорам, лестницам 1-го типа, по служебным мостикам в тоннелях 1-го и 2-го пути — на платформа станции и в тоннели;
ж) из помещений 2-го этажа ПТО подвижного состава в тупике (при нахождении в них не более 5 человек) — по металлической лестнице, из помещений 1-го этажа — в тоннель тупика (при расстоянии не более 25 м), далее по тоннелям — на платформу станции;
з) из притоннельных сооружений без постоянного пребывания людей (рабочих мест) — в перегонный тоннель, далее — на платформу станции.
5.16.6.12
Двери эвакуационных выходов должны открываться по направлению эвакуации из сооружений метрополитена. Открывание дверей не нормируется:
- из помещений не оборудованных рабочими местами;
- из помещений с числом людей не более 10;
- в эвакуационных сбойках между тоннелями.
5.16.6.13
Двери лестничных клеток должны иметь приспособления для самозакрывания и уплотнения в притворах, кроме нижней кромки. Двери, выходящие на лестничную клетку, в открытом положении не должны уменьшать расчетную ширину лестничных площадок и маршей. При размещении на путях эвакуации запираемых по условиям эксплуатации дверей в них должны быть предусмотрены запоры, позволяющие открывать замок запертой двери без ключа с внутренней стороны.
5.16.6.14
Проход по мостику в тоннеле из блока производственных помещений на платформу станции принимать по п. 5.3.
5.16.6.15
Выход из натяжной камеры эскалаторов в нижнюю предэскалаторную зону предусматривать по вертикальной металлической лестнице через люк в перекрытии размером 0,7x0,9 м.
Допускается установка наклонных лестниц с углом наклона к горизонту более 75°.
5.16.6.16
В местах переформирования людских потоков в тоннеле (перед входом в соединительные сбойки и в перегонный тоннель, в местах установки оборудования, между ходовыми рельсами в местах перехода через контактный рельс) предусматривать пешеходные мостки (средства подмащивания) и ступени.
Перед входом в сбойки длина средств подмащивания должна соответствовать ширине сбойки, но быть не менее 2 м, перед входом на станцию — не менее 3 м.
В местах установки оборудования длина средств подмащивания должна на 2 м превышать длину зоны размещения оборудования.
Средства подмащивания предусматривать из материалов, относящихся к группам НГ, Г1 или Г2.
5.16.6.17
Опасные участки (места установки оборудования, разрывы пешеходных дорожек и др.), примыкающие к путям эвакуации, выделять сплошной полосой белого цвета шириной 100 мм.
5.16.6.18
Торговые зоны, павильоны, киоски и другие аналогичные объекты попутного обслуживания пассажиров разделять на группы, составляющие не более 5 объектов. Длина одной группы в плане не должна превышать 15 м. Между группами предусматривать противопожарные преграды с пределом огнестойкости не менее ЕI 45.
5.16.6.19
Оборудование применяемых на станциях пассажирских конвейеров, лифтов и ППИ должно соответствовать специально разрабатываемым противопожарным требованиям или техническим условиям.
5.16.7 Электроснабжение, управление
5.16.7.1
В сетях напряжением 6,10 и 20 кВ на соединительных свинцовых муфтах кабелей предусматривать специальные защитные металлические противопожарные кожухи.
5.16.7.2
В кабельных этажах подстанций и, как правило, в вентиляционно-кабельных каналах под платформой станций установка соединительных муфт на кабелях напряжением 10 кВ не допускается. В случаях размещения соединительной муфты на кабеле в вентиляционно-кабельном канале предусматривать огнезащитное покрытие всех кабелей, расположенных выше и ниже муфты на участке длиной 2 м в стороны от кожуха.
5.16.7.3
В каждом конце платформы станции по обоим путям предусматривать штепсельные разъемы, присоединенные к сети аварийного освещения, для подключения приборов освещения и инструментов пожарных подразделений общей мощностью до 3 кВт.
На станциях глубокого заложения предусматривать линию с разъемами у верхнего и нижнего пультов управления эскалаторами и в местах входа с платформы в перегонные тоннели для подключения переговорных устройств пожарных подразделений. Типы разъемов принимать по согласованию с противопожарной службой города.
5.16.7.4
На линиях мелкого заложения дистанционное включение насоса противопожарной повысительной установки на вводе водопровода станции и одновременное открытие задвижки на обводной линии предусматривать из ДПС и из шкафов пожарных кранов на всех уровнях станции в тупиках.
На линиях глубокого заложения дистанционное включение насоса повысительной установки предусматривать из пожарного шкафа в вестибюле, а открытие задвижек на обводной линии — от всех пожарных кранов.
5.16.7.5
На станциях и вестибюлях световые указатели путей эвакуации подключать к сети аварийного освещения.
5.16.7.6
Электрооборудование должно соответствовать классам пожароопасных зон согласно ПУЭ [15].
5.17.1 Общие положения
5.17.1.1
В сооружениях метрополитена должны соблюдаться санитарные и гигиенические требования, обеспечивающие благоприятные и безопасные условия перевозки пассажиров и работы персонала метрополитена и строительных организаций, а также мероприятия по защите сооружений и помещений от грызунов и насекомых.
5.17.1.2
Материалы, используемые в конструкциях и при отделке интерьеров, должны иметь санитарно-эпидемиологическое заключение и не должны выделять в воздух, почву и грунтовые воды вредные химические вещества в концентрациях, превышающих действующие ПДК для населенных мест. Элементы интерьеров и отделочные материалы для ограждающих поверхностей помещений должны быть пригодны для обработки моющими средствами, дезинфекции, быть эстетически выразительными и не должны обладать специфическими запахами.
5.17.1.3
Объемно-планировочные решения зданий, сооружений и помещений должны соответствовать СНиП 2.09.04 с учетом санитарных характеристик и групп производственных процессов.
Планировка помещений и элементы интерьеров не должны нарушать работу систем вентиляции и кондиционирования воздуха, создавать застойные зоны воздуха, затруднять проходы, быть травмоопасными, снижать освещенность поверхностей, а также не должны быть накопителями пыли и микроорганизмов.
5.17.1.4
Помещения с постоянным пребыванием людей, технические устройства и оборудование, находящееся на одном рабочем месте (в одном помещении или сооружении), должны соответствовать требованиям технической эстетики.
5.17.1.5
Технологическое оборудование и устройства должны быть травмобезопасными, иметь системы звуковой, световой и иной сигнализаций об опасности. При этом предусматривать мероприятия по снижению вредного воздействия на работающих и пассажиров техногенных факторов физической, химической и биологической природы до предельно допустимых уровней и концентраций в соответствии с гигиеническими нормативами.
5.17.1.6
Мероприятия по защите сооружений и помещений от грызунов и насекомых предусматривать согласно СП 3.5.3.1129 [23] и СанПиН 3.5.2.1376.
5.17.2 Линии метрополитена
5.17.2.1
В пассажирских помещениях должны быть обеспечены следующие параметры микроклимата:
а) в теплый период года (среднесуточная температура наружного воздуха выше 10 °С) - температура воздуха от 18 °С до 28 °С, средняя скорость движения воздуха от 0,5 до 2,0 м/с;
б) в холодный период года (среднесуточная температура наружного воздуха равна или ниже 10 °С) - температура воздуха от 5 °С до 16 °С, средняя скорость движения воздуха от 0,5 до 2,0 м/с.
Превышение средней скорости движения воздуха на платформах станций при подходе и отходе поездов допускается не более чем в два раза.
5.17.2.2
В производственных помещениях с постоянным пребыванием персонала и в помещениях здравоохранения должны быть обеспечены оптимальные условия микроклимата, в остальных бытовых и производственных помещениях с временным пребыванием персонала – соответствовать допустимым величинам в соответствии с СанПиН 2.2.4.548.
5.17.2.3
В воздухе тоннелей и пассажирских помещений содержание загрязняющих веществ не должно превышать максимальных разовых ПДК и ОБУВ для атмосферного воздуха населенных мест в соответствии с ГН 2.1.6.1338 и ГН 2.1.6.2309.
5.17.2.4
В воздухе производственных помещений содержание вредных веществ должно соответствовать ГН 2.2.5.1313 и ГН 2.2.5.2308.
5.17.2.5
Содержание двуокиси углерода в воздухе пассажирских помещений не должно превышать в теплый период года 0,1 %, в холодный период - 0,12 % по объему.
5.17.2.6
Удаление воздуха из сооружений и помещений с потенциальной возможностью наличия вредных веществ предусматривать только наружу. Воздуховыпускные киоски располагать согласно 5.8.1.
5.17.2.7
Венткиоски, стволы шахт, машинные помещения, воздуховоды систем вентиляции, в которых может скапливаться пыль, оборудовать приспособлениями для сбора пыли или ее смыва.
Воздушные тракты должны иметь дверцы, съемные люки и пр., позволяющие проводить очистку воздуховодов. Для быстро загрязняющихся элементов воздушного тракта предусматривать их кассетную замену.
5.17.2.8
Системы общеобменной вентиляции и кондиционирования воздуха не должны совмещаться с местной вытяжной и технологической вентиляцией, а также с локальными воздухоотсосами. Рециркуляция воздуха и воды в системах общеобменной вентиляции не допускается.
Все участки воздушного и водного контуров систем вентиляции и кондиционирования воздуха должны иметь технические возможности (люки, дверцы и пр.) для периодической чистки и дезинфекции их внутренних поверхностей.
5.17.2.9
В системах кондиционирования с применением увлажнения воздуха и его охлаждения контактным ("мокрым") способом может использоваться только водопроводная вода, отвечающая требованиям СанПиН 2.1.4.1074.
В помещениях с постоянным пребыванием персонала рециркуляция воздуха не допускается.
5.17.2.10
Состав и расположение датчиков системы автоматического контроля качества воздуха должны обеспечивать получение информации о состоянии воздушной среды в пассажирских помещениях (платформы, вестибюли станций, пересадочные коридоры), а также в производственных и бытовых помещениях с постоянным пребыванием персонала.
5.17.2.11
Конструкция систем отопления должна предусматривать решения, предотвращающие накопление пыли и ее термическую возгонку.
5.17.2.12
Расчет водоснабжения на хозяйственно-питьевые нужды выполнять на рабочую смену с наибольшей численностью. При снижении водопотребления предусматривать мероприятия по предупреждению застойных явлений в водопроводе и снижения качества воды.
5.17.2.13
Уровни звукового давления, уровни звука и эквивалентные уровни звука, а также максимальные уровни звука не должны превышать значений, приведенных в таблице 5.17.1.
5.17.2.14
Время реверберации в среднечастотном диапазоне (500 - 2000 Гц) должно быть в интервале 1,2 - 1,4 с для платформ с двумя путями и 1,4 - 1,6 с - для платформ с тремя путями.
Таблица 5.17.1
| Вид помещения
|
Уровни звукового давления, дБ, в октавных полосах со среднегеометрическими частотами, Гц
|
Уровни звука и эквивалентные уровни звука, дБа
|
Максимальные уровни звука LАмакс
, дБа
|
| 31,5
|
63
|
125
|
250
|
500
|
1000
|
2000
|
4000
|
8000
|
| 1 Производственные помещения и рабочие места персонала в пассажирских помещениях
|
Предельно допустимые уровни звукового давления, уровни звука и эквивалентные уровни звука для основных наиболее типичных видов трудовой деятельности и рабочих мест не должны превышать требований СН 2.2.4/2.1.8.562
|
| 2 Пассажирские помещения:
|
| 2.1 на подземных станциях
|
| 2.1.1 платформенный зал
|
80
|
95
|
| 2.2.2 кассовый зал
|
60
|
75
|
| 2.2.3 пересадочный коридор между станциями
|
60
|
75
|
| 2.2 на открытых наземных станциях
|
-
|
75
|
90
|
| 3 Помещения здравоохранения
|
76
|
59
|
48
|
40
|
34
|
30
|
27
|
25
|
23
|
35
|
50
|
| 4 Комнаты отдыха локомотивных бригад
|
76
|
59
|
48
|
40
|
34
|
30
|
27
|
25
|
23
|
35
|
50
|
| 5 Бытовые помещения (кроме пп. 3 и 4)
|
90
|
75
|
66
|
59
|
54
|
50
|
47
|
45
|
44
|
55
|
70
|
5.17.2.15
Уровни звукового давления и общий уровень звукового давления инфразвука не должны превышать предельно допустимых и допустимых уровней по таблице СН 2.2.4/2.1.8.583: для пассажирских и бытовых помещений по графе 3, для производственных помещений по графе 1.
Для колеблющегося во времени и прерывистого инфразвука уровень звукового давления не должен превышать 120 дБ.
5.17.2.16
Уровни звукового давления воздушного ультразвука на рабочих местах, пиковые значения виброскорости и уровни виброскорости контактного ультразвука для работающих не должны превышать предельно допустимых величин, регламентированных СанПиН 2.2.4/2.1.8.582.
5.17.2.17
Выбор объемно-планировочных решений и архитектурно-художественного оформления интерьеров, подбор звукопоглощающих материалов, акустические расчеты выполнять по СНиП 23-03.
Во избежание повышенных уровней шума в помещениях с постоянным пребыванием персонала не допускается размещение их под машинным помещением эскалаторов, рядом с эскалаторами и установками тоннельной вентиляции.
5.17.2.18
Значения виброускорения и виброскорости общей вибрации не должны превышать предельно допустимых и допустимых величин согласно таблиц в СН 2.2.4/2.1.8.566:
а) в пассажирских помещениях - по таблице 10 с учетом примечания 1;
б) в производственных помещениях с наличием источников вибраций - по таблице 6, без наличия источников вибраций и в бытовых помещениях (кроме помещений здравоохранения) - по таблице 7;
в) в помещениях здравоохранения - по таблице 9 с учетом примечаний 1 и 2.
5.17.2.19
Значения виброускорения и виброскорости локальных вибраций не должны превышать предельно допустимых величин согласно СН 2.2.4/2.1.8.566.
5.17.2.20
Уровни воздействия ослабленного геомагнитного поля, электростатического поля, постоянного магнитного поля, электромагнитного поля промышленной частоты (50 ГЦ), электромагнитных полей диапазона радиочастот (10 кГц - 300 гГц) для персонала, профессионально связанного с эксплуатацией и обслуживанием источников ЭМП не должны превышать предельно допустимых уровней согласно СанПиН 2.2.4.1191, для остального персонала и пассажиров, согласно СанПиН 2.1.8/2.4.1383, СанПиН 2.1. 8/2.4.1190, ГН 2.1.8/2.2.4.2262-07 и СанПин 2.1.2.2645-10.
5.17.2.21
Уровни ионизирующих излучений для персонала и пассажиров должны соответствовать СанПиН 2.6.1.2523 (НРБ-99/2009).
5.17.2.22
При применении ПЭВМ помещения, рабочие места, микроклимат, аэроионный и химический состав воздушной среды, шум, вибрация, освещение и условия отдыха персонала должны соответствовать СанПиН 2.2.2/2.4.1340.
5.17.2.23
На входах в наземные вестибюли станций предусматривать подножные решетки, площадь которых определять с учетом пассажиропотока, а приямки под ними оборудовать устройствами для обогрева, очистки и промывки.
5.17.2.24
На станциях предусматривать места и контейнеры для временного хранения отработавших ртутьсодержащих электроламп, для мусора и бытовых отходов с учетом удобства их погрузки и вывоза.
5.17.2.25
В пунктах смены машинистов, техосмотра подвижного состава, помещениях подстанций, машинных залов эскалаторов, в кассовом блоке предусматривать умывальники; в туалетах - отделения для гигиены женщин.
5.17.3 Электродепо, производственные и административные здания
5.17.3.1
В производственных и бытовых помещениях с постоянным пребыванием людей предусматривать естественное освещенние и вентиляцию. Конструктивные решения окон должны обеспечивать необходимую эффективность естественной вентиляции и освещения при неблагоприятных погодных условиях (снег, листопад и пр.), а также удобство для их очистки и влажной уборки.
5.17.3.2
Технологические процессы и операции, сопровождающиеся вредным воздействием химических, физических и биологических факторов (мотовозный и электровозный цехи, компрессорная станция, цехи мойки, сушки и окраски подвижного состава, пункт сбора и погрузки контейнеров с мусором и отходами и др.), предусматривать в отдельно стоящих зданиях или на площадках с выполнением мероприятий по защите окружающей среды и соблюдением санитарно-эпидемиологических норм и правил.
5.17.3.3
Размер санитарно-защитных зон на период строительства и эксплуатации метрополитена следует устанавливать по СанПиН 2.2.1/2.1.1.1200.
5.17.3.4
При наличии вредных выбросов в атмосферу предусматривать мероприятия по обеспечению безопасности для окружающей среды (повышение уровня выбросов над землей, удаление их от воздухозаборных устройств на необходимое расстояние, установка очистительных устройств, внедрение замкнутых технологических циклов и др.).
5.17.3.5
Технологические процессы очистки и мойки подвижного состава должны быть автоматизированы и изолированы от окружающей среды. Предназначенные для этого камеры должны иметь приспособления для дезинфекции, дегазации и дезактивации вагонов, а также технические системы сбора пыли и других отходов.
5.17.3.6
Производственные сточные воды, содержащие горючие жидкости, взвешенные вещества, жиры, масла, кислоты и другие вещества, нарушающие нормальную работу или вызывающие разрушение сетей, следует очищать до поступления их в наружную сеть канализации на локальных очистных сооружениях.
Перед сбросом в городскую дождевую сеть канализации на территории электродепо необходимо предусматривать очистные сооружения поверхностного (дождевого, талого и поливомоечного) и производственных стоков, близких к ним по загрязненности.
5.17.3.7
Ограждающие поверхности смотровых канав на путях, предназначенных для ремонта подвижного состава, облицовывать материалами, очистка которых от масел возможна с помощью специальных растворителей, не адсорбирующих последние.
5.17.3.8
В производственных помещениях и в крытых переходах между зданиями, расположенных в районах с холодным климатом, предусматривать дополнительное отопление (воздушное и панельное отопление, воздушно-тепловые завесы на воротах, подогрев пола, местные электрокалориферы и пр.), исключающее резкие перепады температуры воздуха по вертикали и горизонтали и поддерживающее нормативные параметры микроклимата, в том числе в пониженных относительно пола участках зданий (смотровые канавы и пр.).
5.17.3.9
Столовая электродепо должна проектироваться из расчета обслуживания максимального числа работающих в смену.
5.17.3.10
В составе производственных зданий должны быть предусмотрены гардеробы, душевые с ножными ваннами, туалеты, умывальники, сушилки для спецодежды и обуви, помещения для приема пищи, отдыха и психофизиологической разгрузки, оказания медицинской помощи.
5.17.3.11
В административно-производственных зданиях по 5.23 предусматривать блок бытовых помещений, включающий:
- столовую или буфет;
- здравпункт и аптечный киоск;
- помещения для отдыха и оптимизации функционального состояния персонала;
- другие бытовые помещения.
5.17.4 Радиационная безопасность
5.17.4.1
Радиационно-экологические работы проводить на этапах изысканий, строительства и перед сдачей объектов в эксплуатацию согласно таблицы 5.17.2.
Таблица 5.17.2
| Этапы работ
|
Назначение работ
|
Оцениваемые показатели
|
| Предпроектные и проектные изыскания
|
Получение исходных данных для принятия решений о радиологической пригодности участков застройки
|
Мощность эквивалентной дозы (МЭД) внешнего гамма-излучения в районе строительства; удельная эффективная активность естественных радионуклидов в пробах грунтов; плотность потока радона из почвы
|
| Строительство
|
Оценка реальной радиационной опасности в отрытых котлованах и тоннелях, строительных материалов
|
МЭД внешнего гамма-излучения в котлованах и тоннелях; средневзвешенная по площади плотность потока радона в котлованах и тоннелях; удельная эффективная активность радионуклидов в строительных материалах
|
| Сдача объекта в эксплуатацию
|
Проверка соответствия нормам радиационной безопасности реальных радиологических параметров в сооружениях и на территориях метрополитена
|
МЭД гамма-излучения в сооружениях и на территориях; средневзвешенная по площади плотность потока радона внутри сооружений; эквивалентная равновесная объемная активность радона (среднегодовая) внутри сооружений
|
5.17.4.2
Радиационно-экологические работы должны выполняться специализированными организациями, имеющими соответствующие разрешения (лицензии).
Строительные работы на свалках, бывших полях орошения, на участках с насыпным грунтом должны начинаться только после тщательного исследования радиационной опасности с учетом возможного техногенного радиационного загрязнения.
При обнаружении радиоактивного загрязнения почв и грунтов вопросы необходимости дальнейших изысканий, возможности строительства в этом районе, проведения соответствующих профилактических мероприятий должны решаться отдельно с привлечением органов Роспотребнадзора.
Результаты радиационно-экологических работ отражать в технических отчетах, содержащих анализ результатов радиологических измерений на стадиях согласно таблице 5.17.2 и в соответствующих заключениях.
Мероприятия по охране окружающей среды разрабатывать на основании данных инженерно-геологических и инженерно-экологических изысканий согласно 4.1 и 4.3, фондовых материалов, экологических карт и СНиП 23-01.
5.18.1 Атмосферный воздух
5.18.1.1
Для строящихся объектов и сооружений, являющихся источниками загрязнения атмосферного воздуха, оценивать изменения общего климатического фона в районе строительства, его микроклиматические изменения под влиянием местных факторов подстилающей поверхности, прогнозировать возможные негативные нарушения химического состава, инсоляции, влажностного и ветрового режимов.
Общий климатический фон (температуру и относительную влажность воздуха, осадки и ветровой режим) оценивать по данным местных метеостанций и согласно СНиП 23-01.
Микроклиматическую оценку проводить с учетом топографии местности, микроклиматических обследований территории и закономерностей изменения метеоэлементов в зависимости от условий подстилающей поверхности в соответствии с Методическими указаниями [24].
5.18.1.2
При размещении электродепо, котельных, столярных, гальванических участков и т.п. на территории, характеризующейся высоким ПЗА, размеры санитарно-защитной зоны, установленной по санитарной классификации данного производства, при его отнесении к V классу вредности увеличивать.
5.18.1.3
В электродепо выбросы вредных веществ от участков промывки и заливки аккумуляторов, гальванических ванн, окрасочных камер, сварки и пр. классифицировать по принадлежности к ПДВ.
5.18.1.4
Мероприятия по охране атмосферного воздуха предусматривать согласно ГН 2.1.6.2309-07 и Инструкции ОНД-1 [25].
5.18.2 Водные объекты
5.18.2.1
Размещение подземных сооружений не должно нарушать гидрологический режим существующих водных объектов и гидрогеологические условия прилегающих территорий.
Расчетные гидрологические характеристики водного объекта при выборе вида его пересечения принимать по СП 33-101 [26].
При проложении участков линии в водоохранных зонах (полосах) и на водных объектах руководствоваться Положением [27].
5.18.2.2
В сооружениях и предприятиях с большим потреблением воды на производственные нужды применять системы оборотного водоснабжения. Степень очистки воды на очистных сооружениях должна соответствовать СНиП 2.04.03,СанПиН 2.2.1/2.1.1.1200-03, ГН 2.1.5.1315-03 и 2.1.5.1316-03.
5.18.2.3
Сброс сточных вод из сооружений метрополитена в водные объекты предусматривать в соответствии с ГОСТ 17.1.3.13-86 и СанПиН 2.1.5.980-00.
5.18.2.4
Сброс сточных вод от сооружений метрополитена в городские сети ливневой канализации предусматривать в соответствии с СНиП 2.04.03,СанПиН 2.2.1/2.1.1.1200-03, ГН 2.1.5.1315-03 и 2.1.5.1316-03.
5.18.3 Сохранение памятников истории и культуры
5.18.3.1
При проектировании метрополитена должна быть исключена возможность нанесения каких-либо негативных воздействий на памятники истории и культуры. В случае необходимости следует разрабатывать мероприятия по их сохранению как в период строительства, так и в процессе эксплуатации метрополитена.
5.18.3.2
Оценку состояния памятников проводить на основе данных:
- характеристики объектов историко-культурного наследия, их состояния, возможности сохранения и реставрации, полученной по материалам натурных исследований памятников истории и культуры;
- обследований состояния надземных несущих конструкций с учетом возможного воздействия на них вибрационных нагрузок;
- деформационной поэтажной съемки, включающей фиксацию параметров трещин, установку на трещинах маяков или специальных реперов для измерения деформаций индикаторами;
- обследований состояния фундаментов, цоколей погруженных в техногенные накопления, деревянных свай, лежней, древних дренажных сооружений, колодцев, при этом особенное внимание обращается на сохранность деревянных конструкций, свай и лежней;
- инженерно- и гидрогеологических условий и гидродинамической обстановки, которые могут влиять на состояние памятников;
- результатов длительного водопонижения, оттаивания грунтов, особенно глинистых, при их искусственном замораживании, вибрационных нагрузок, нарушающих состояние памятников.
5.18.3.3
На участках трассы, где имеется опасность создания влияния проектируемого метрополитена на сохранность зданий и сооружений памятников, особо чувствительных к воздействиям технологии проходки, необходимо предусматривать стационарные наблюдения в рамках локального экологического мониторинга;
5.18.3.4
Мероприятия по инженерной защите памятников разрабатывать согласно СНиП 22-02 на основе:
- результатов инженерно-геологических и инженерно-геодезических изысканий и наблюдений за состоянием памятников;
- данных, характеризующих особенности исторических территорий (курганы, валы, рвы, могильники, культурный слой и т.п.), зданий и сооружений памятников, размещенных по трассе;
- вариантных решений по способам строительства подземных и надземных сооружений;
- данных о допускаемых деформациях памятников;
- технико-экономических сравнений вариантов проектных решений инженерной защиты.
5.18.3.5
Разработку проектной документации на реконструкцию станций метрополитена, являющихся памятниками архитектуры, проводить с учетом результатов технического обследования сооружений и в соответствии с действующим законодательством.
5.18.4 Геологическая среда
5.18.4.1
Инженерно-технические мероприятия по обеспечению устойчивости геологической среды, зданий и сооружений от опасных инженерно-геологических процессов разрабатывать согласно СНиП 2.02.01, СНиП 2.06.15 и СНиП 22-02.
При этом необходимо:
- оценивать характеристику современного состояния геологической среды по основным ее компонентам;
- давать анализ проектных решений и прогноз изменения компонентов геологической среды с учетом существующих и проектируемых техногенных нагрузок на среду;
- разрабатывать основные направления защиты геологической среды от возможных негативных техногенных процессов исходя из конструктивных и технологических особенностей сооружений, глубины заложения, условий их строительства и эксплуатации.
Оценку проводить на основании материалов инженерно-геологических и гидрогеологических изысканий.
В прогнозе изменений компонентов геологической среды рассматривать динамику изменений режима и загрязнения подземных вод, напряженного состояния грунтового массива и активизации инженерно-геологических процессов. В сложных инженерно-геологических условиях прогноз выполнять методами математического моделирования.
5.18.4.2
Степень защищенности подземных вод от загрязнения определять по Методике [28].
Территории по защищенности подземных вод подразделять на следующие категории:
а) I категория - благоприятные условия защищенности с высокой степенью надежности. В кровле водоносных горизонтов залегают глины мощностью более 10 м или суглинки суммарной мощностью более 100 м;
б) II категория - относительно благоприятные условия с относительной степенью надежности. В кровле водоносных горизонтов залегают глины мощностью более 3 м, но менее 10 м и суглинки мощностью более 50 м, но менее 100 м;
в) III категория - неблагоприятные условия защищенности с низкой степенью надежности. В кровле водоносных горизонтов залегают глины мощностью менее 3 м и суглинки мощностью менее 50 м.
5.18.5 Почвы
5.18.5.1
Оценку состояния почвенного покрова при открытом способе строительства подземных сооружений и строительстве наземных сооружений проводить по геохимическому составу почв, степени химического загрязнения и санитарного состояния согласно ГОСТ 17.4.2.01 и ГОСТ 17.4.3.06.
5.18.5.2
Экологическое состояние почв в зависимости от степени загрязнения почв определять исходя из суммарного показателя концентрации (СПК) аномальных химических элементов (цинк, кадмий, свинец, ртуть, медь, кобальт, никель, мышьяк) согласно таблице 5.18.1.
Таблица 5.18.1
| Величина СПК
|
Уровень загрязнения
|
Категория загрязнения
|
Оценка экологической обстановки
|
| Меньше 16
|
Слабый (низкий)
|
Допустимая
|
Относительно удовлетворительная
|
| 16-32
|
Средний
|
Умеренно опасная
|
Напряженная и критическая
|
| 32-128
|
Сильный (высокий)
|
Опасная
|
Кризисная
|
| Больше 128
|
Максимальный
|
Чрезвычайно опасная
|
Катастрофическая
|
Возможность использования плодородного слоя почв определять в зависимости от СПК:
а) менее 32 - почвы могут использоваться для восстановления (рекультивации) нарушенных земель, а также для благоустройства и озеленения районов застройки;
б) от 32 до 128 - почвы могут использоваться для рекультивации и благоустройства при их разбавлении экологически чистым грунтом;
в) более 128 - почвы не могут использоваться и должны вывозиться на специальные полигоны для их последующего захоронения.
5.18.6 Твердые отходы
5.18.6.1
При проектировании выявлять объемы и состав грунтов, извлекаемых при строительстве наземных и подземных сооружений, определять возможность их использования в качестве обратной засыпки сооружений или необходимость вывоза в места, отведенные администрацией города.
5.18.6.2
Места сбора и накопления любых видов отходов должны соответствовать Правилам [29], оборудоваться и располагаться так, чтобы не оказывать вредного воздействия на состояние окружающей среды, сооружения и здоровье людей.
5.18.6.3
На площадках накопления отходов и в пределах их воздействия на окружающую среду предусматривать мероприятия по мониторингу состояния окружающей среды в порядке, установленном уполномоченными федеральными органами исполнительной власти в области обращения с отходами в соответствии со своей компетенцией.
5.19.1 Защита от шума и вибраций
5.19.1.1
Городские здания и сооружения следует защищать от шума и вибрации, возникающих при проведении строительных работ, от движения поездов при эксплуатации метрополитена и от инженерно-технического оборудования метрополитена в соответствии с ВСН 211-91 [30].
5.19.1.2
В помещениях жилых и общественных зданий уровни шума не должны превышать значений согласно СН 2.2.4/2.1.8.562, уровни инфразвука (вибраций) - СН 2.2.4/2.1.8.583.
Акустический расчет ожидаемых уровней шума на территории жилой застройки, а также выбор и оценку шумозащитных мероприятий выполнять по СП 23-104 [31].
- пропуск максимального расчетного потока пассажиров;
Проверку эффективности защиты помещений жилых и общественных зданий от шума и вибраций следует выполнять при движении поездов в эксплуатационном режиме.
5.19.1.3
Максимальные средние квадратические значения виброскорости в октавных полосах со средними геометрическими частотами 16; 31,5 и 63 Гц не должны превышать допустимых значений, приведенных в таблице 5.19.
Таблица 5.19
| Помещения, здания
|
Допустимое значение
|
| м/с
|
дБ
|
| Жилые
|
0,00011
|
67
|
| Палаты больниц, санаториев
|
0,00008
|
64
|
| Административно-управленческие, общественные здания
|
0,00028
|
75
|
| Учебные заведения, читальные залы библиотек
|
0,0002
|
72
|
| Примечания
1 Для корректированных значений виброскорости допустимые значения, приведенные в м/с, увеличиваются в 2,1 раза (+6 дБ), для эквивалентных значений - уменьшаются в 0,32 раза (минус 10 дБ).
2 В дневное время в жилых помещениях, палатах больниц и санаториев допускается превышение нормативных значений в 1,8 раза (+5 дБ).
|
5.19.1.4
Участки тоннелей, в которых используются виброзащитные конструкции , должны удовлетворять следующим требованиям:
- длину виброзащитного участка и его расположение в плане определять расчетом по СП 23-105-2004 [32];
- между обычной и виброзащитной конструкциями должны быть переходные участки длиной не менее 10 м с плавным изменением физико-механических характеристик.
5.19.2 Защита от блуждающих токов
5.19.2.1
При совмещении сооружений метрополитена (например, станций или электродепо) с сооружениями другого назначения их внутренние металлические конструкции, заземляющие устройства и арматура железобетонных конструкций должны выполняться раздельно и не иметь гальванических связей и на эти сооружения должны распространяться требования 5.21.
Исключение могут составлять сооружения, электроснабжение которых обеспечивается от подстанций метрополитена. В этом случае к сооружениям в части мер ограничения блуждающих токов должны предъявляться требования в соответствии с настоящими правилами.
5.19.2.2
Прокладку городских кабелей на участках, расположенных вблизи линий метрополитена, целесообразно осуществлять в кабельных блоках или применять кабели в неметаллической оболочке, а их защиту от влияния блуждающих токов (электрокоррозии) следует предусматривать согласно ГОСТ 9.602.
5.19.2.3
При совместной прокладке по мосту (эстакаде) путей метрополитена и железной дороги или трамвая сооружения и конструкции метрополитена (рельсы, кабели, трубопроводы и т.п.) не должны иметь металлических связей с железнодорожными или трамвайными конструкциями, кабелями, трубопроводами и т.п.
5.19.2.4
В местах сближения в плане (до 50 м) и местах пересечения тоннелей метрополитена мелкого заложения с трамвайными или электрифицированными железнодорожными путями железобетонная обделка тоннелей должна иметь внешнее усиленное защитное и электроизоляционное покрытие. В местах пересечения усиленное защитное и электроизоляционное покрытие укладывать непосредственно под путями трамвая или железной дороги и на 50 м в каждую сторону от них.
5.20.1
Строительные конструкции зданий, сооружений, оборудование (эскалаторы, вентиляторы, насосов, электрооборудованиу, кабели и т.п.) и металлические элементы устройств (шкафы, металлоконструкции и т.п.) должны иметь защиту от коррозии, вызываемой воздействием агрессивных сред природного и техногенного происхождения.
Разработку мер защиты строительных конструкций от коррозии выполнять по СНиП 2.03.11 на основании оценки опасности агрессивного воздействия среды.
Исходные данные по агрессивным воздействиям принимать по материалам инженерно-геологических и инженерно-экологических изысканий по трассе линии, данным по загрязнению атмосферного воздуха.
5.20.2
Способы защиты строительных конструкций, сооружений и устройств выбирать на основании оценки агрессивного воздействия сред на материалы и конструкции по таблицам СНиП 2.03.11 и требований по их первичной и вторичной защите.
5.20.3
Антикоррозионную защиту стальных конструкций выполнять по СНиП 2.03.11 и СНиП 3.04.03. При этом подготовка металлической поверхности должна выполняться согласно главе 2 СНиП 3.04.03 и отвечать 1-й степени очистки по обезжириванию и 2-й степени очистки по ГОСТ 9.402 от окислов (оксидов). Радиус закругления острых кромок принимать не менее 2 мм.
5.20.4
Расчет железобетонных конструкций подземных сооружений, подверженных воздействию агрессивных сред, выполнять с учетом требований к трещиностойкости и предельно допустимой ширине продолжительного раскрытия трещин по таблице 5.20.1.
Таблица 5.20.1
| Степень агрессивного воздействия среды
|
Категория требований к трещиностойкости (над чертой) и предельно допустимая ширина продолжительного раскрытия трещин, мм, (под чертой) конструкций, контактирующих с грунтом
|
Толщина защитного слоя со стороны контакта с грунтом **, мм
|
Марка бетона по водонепроницаемости, не менее
|
| в зоне обводне-ния без гидро-изоляции
|
в зоне обводне-ния с гидро-изоляцией и в необвод-ненной зоне
|
| в зоне обводнения без гидроизоляции
|
в зоне обводнения с гидроизоляцией и в необводненной зоне*
|
| Неагрессивная
|
1/-
|
3/0,20
|
30
|
W8
|
W6
|
| Слабоагрессивная
|
1/-
|
3/0,15
|
30
|
W8
|
W6
|
| Среднеагрессивная
|
1/-
|
3/0,10
|
35
|
W10
|
W8
|
| Сильноагрессивная
|
1/-
|
2/0,10
|
35
|
W12
|
W8
|
| * Распространяется на конструкции с арматурной сталью 1-й группы СНиП 2.03.11.
** При использовании набрызг-бетона толщина защитного слоя может быть уменьшена на 10 мм.
|
5.20.5
Минимальные проектные марки бетона по морозостойкости железобетонных конструкций, назначать в зависимости от климатических условий района строительства и условий увлажнения элементов конструкций водой или атмосферными осадками согласно таблице 5.20.2.
Таблица 5.20.2
| Климатические условия со среднемесячной температурой наиболее холодного месяца, °С, по СНиП 23-01
|
Наземные конструкции на открытом воздухе
|
Подземные конструкции в зоне промерзания, контактирующие с грунтом
|
| контактирующие с водой
|
контактирующие с грунтом
|
без навеса
|
под навесом
|
| Умеренные, минус 10 и выше
|
200
|
150
|
100
|
100
|
100
|
| Суровые, ниже минус 10 до минус 20 включительно
|
300
|
200
|
150
|
100
|
150
|
| Особо суровые, ниже минус 20
|
400
|
300
|
200
|
150
|
200
|
Для конструкций, контактирующих с сильноминерализованными водами с содержанием солей более 1% по массе, засоленными грунтами, растворами солей-антиобледенителей и подвергающихся циклическому замораживанию и оттаиванию, марку бетона по морозостойкости назначать и контролировать как для бетона дорожных покрытий по ГОСТ 10060.0.
5.20.6
На участках, расположенных в зонах, подверженных воздействию агрессивных сред, в первую очередь предусматривать следующие мероприятия по снижению агрессивных воздействий:
- при строительстве открытым способом на территориях, загрязненных агрессивными веществами (старые свалки, поля аэрации, площадки промышленных предприятий, загрязненные различными техническими продуктами), применять, при обосновании, замену загрязненного грунта на чистый грунт, нейтрализацию агрессивных веществ добавками в грунт. В необходимых случаях использовать экраны из бентонитовой глины, стены в грунте, дренаж и т.п., удалять источники загрязнения грунта (химические производства, склады, автозаправочные станции и т.п.) от трассы метрополитена за пределы зоны их распространения;
- при строительстве закрытым способом на участках с грунтом, содержащим сульфиды (пирит, марказит), а также сульфатредуцирующие, тионовые и нитрифицирующие бактерии, по возможности исключать применение кессонного метода проходки или использовать специальные меры по защите строительных конструкций от агрессивных воздействий;
- не допускать прокладки нефте- и бензопроводов и других трубопроводов, транспортирующих агрессивные химические продукты в пределах зоны отвода территорий для строительства. Допускается пересечение нефте- и бензопроводами трассы линии с принятием мер, исключающих при их повреждении попадание нефтепродуктов в грунт в пределах вышеуказанной зоны.
5.20.7
Способы защиты подземных сооружений предусматривать с использованием:
а) гидроизоляции;
б) водонепроницаемых и коррозионно-стойких материалов обделок;
в) нагнетания за обделку специальных растворов;
г) герметизации стыков между элементами сборных обделок и деформационных швов, а также отверстий для нагнетания раствора и болтовых соединений.
5.20.8
Для защиты конструкций подземных сооружений со стороны контакта с агрессивным грунтом и грунтовыми водами предусматривать следующие способы (один из них или комбинации нескольких способов):
- покрытие слоем бетона или цементно-песчаного раствора;
- оклеечную изоляцию из листовых или рулонных материалов;
- обмазку или пропитку;
- металлизацию цинком или алюминием стальных элементов, дополнительную обработку полимерными материалами;
- катодную защиту.
5.20.9
Мероприятия по защите наружных поверхностей конструкций тоннелей назначать в зависимости от способа производства работ (закрытый или открытый) и типов обделок (сборная из чугунных, бетонных или железобетонных элементов, монолитная или монолитно-прессованная бетонная обделка).
5.20.10
Бетон и цементно-песчаный раствор, наносимые на поверхность конструкций в качестве изолирующего слоя, предусматривать плотной структуры (водонепроницаемость не менее W6) и коррозионно-стойкими к агрессивному воздействию среды. Коррозионную стойкость достигать применением соответствующих видов цементов, заполнителей, химических добавок с учетом требований СНиП 2.03.11.
5.20.11
В подземных сооружениях, возводимых открытым способом, оклеечную изоляцию из листовых и рулонных материалов применять в общих случаях в качестве гидроизоляции, а при наличии средне- и сильноагрессивных сред - в виде химически стойких изоляционных материалов, защищающих конструкции от воздействия среды.
Гидроизоляционные покрытия могут одновременно применяться в качестве защиты от коррозии, если они обладают необходимой химической стойкостью и биостойкостью к конкретным агрессивным средам.
Листовую и рулонную изоляцию предусматривать с обеспечением сплошности и непроницаемости для жидкостей.
5.20.12
При применении гидроизоляции, предварительно наносимой на поверхность сборных элементов обделки, обеспечивать в стыках сборных элементов непроницаемость и стойкость, равнозначные предварительно наносимой гидроизоляции.
5.20.13
Наружная изоляция должна иметь защиту от механических повреждений. Для предупреждения разрыва оклеечной изоляции в местах устройства деформационных швов предусматривать компенсаторы.
5.20.14
Обмазки (битумные, гудроновые, битумно-полимерные, эпоксидные, эпоксидно-фурановые, эпоксидно-сланцевые и т.п.) для защиты поверхностей подземных конструкций применять с учетом их стойкости к агрессивному воздействию среды. В грунтах и грунтовых водах, загрязненных органическими веществами (масла, нефтепродукты, растворители), применение защитных рулонных, листовых, обмазочных материалов, а также композиций герметиков на основе битумов не допускается.
5.20.15
Защиту поверхности металлических элементов, недоступных для возобновления защитных покрытий, предусматривать эффективными долговечными противокоррозионными покрытиями. Во избежание повреждения противокоррозионных покрытий при сварке крепление элементов рекомендуется осуществлять с помощью болтовых соединений, защищенных от коррозии.
5.20.16
Защиту конструкций от биокоррозии предусматривать химически стойкими и биостойкими полимерными материалами, применяемыми для сильноагрессивных газовых и жидких сред согласно СНиП 2.03.11.
5.20.17
Внутреннюю поверхность чугунных тюбингов и стальных конструкций на станциях, в пристанционных сооружениях, в перегонных тоннелях и в притоннельных сооружениях рекомендуется покрывать негорючими противокоррозионными составами, в первую очередь цементными и цементно-полимерными.
5.20.18
Борта чугунных тюбингов (зазоры в местах соприкосновения) в дополнение к существующим методам гидроизоляции и защиты от "щелевой" коррозии рекомендуется защищать углеводородными смазками (петролатум, технический вазелин) с добавлением улучшающих добавок (окисленный петролатум, каучук) и ингибиторов (Приложение 5.20А [17]).
Для предупреждения протечек и связанной с ними "щелевой" коррозии чугунных тюбингов швы в чугунной обделке зачеканивать свинцом или уплотнять упругоэластичными резиновыми неопреновыми уплотнителями.
Болтовые отверстия и отверстия для нагнетания уплотнять путем использования шайб и колец, изготовленных из коррозионно-стойких материалов.
Швы в сборных железобетонных обделках, зачеканенные расширяющимся цементом, рекомендуется покрывать эпоксидными, полиуретановыми или другими стойкими обмазками.
5.21.1
Защиту сооружений и устройств метрополитенов от коррозии блуждающими токами (электрокоррозии) следует предусматривать по ГОСТ 9.602 и требованиям настоящих норм и правил.
5.21.2
Арматура железобетонных элементов и металлоконструкции метромостов и эстакад не должны иметь гальванической связи с ходовыми рельсами и с обделкой тоннелей.
5.21.3
На подземных участках линий, на мостах и эстакадах должны быть предусмотрены контрольно-измерительные пункты блуждающих токов.
5.21.4
В устройствах пути предусматривать:
- электрическую изоляцию ходовых рельсов путем установки изолирующих элементов (прокладок, втулок) в местах сопряжения деталей, находящихся под потенциалом рельсов, с поверхностью бетона, арматурой и т.п.;
- зазор не менее 50 мм между ходовыми рельсами, деталями рельсовых скреплений и путевым бетоном или щебеночным балластом, а также трубопроводами, кабелями, корпусами электрооборудования и другими заземленными конструкциями;
- электрическую изоляцию соединенных с ходовыми рельсами металлических частей стрелочных приводов от щебеночного балласта или путевого бетона и тоннельной обделки;
- пропитку деревянных шпал и шурупных отверстий в них антисептиками, не проводящими электрического тока. Шурупные отверстия не должны быть сквозными;
- укладку ходовых рельсов на металлических или железобетонных эстакадах и метромостах, а также на расстоянии 200 м с двух сторон от них на деревянные шпалы с изолирующими прокладками и втулками в рельсовых скреплениях (резина, полиэтилен или другие полимерные материалы);
- два изолирующих стыка в каждом ходовом рельсе между электрифицированными и неэлектрифицированными путями на расстоянии, исключающем возможность их одновременного перекрытия подвижным составом;
- одинарные изолирующие стыки у тупиковых упоров;
- исключение возможности соприкосновения рельсов покилометрового запаса в тоннеле с какими-либо металлическими элементами конструкции верхнего строения пути;
- использование амортизирующих конструктивных элементов верхнего строения пути, исключающих снижение переходного сопротивления между рельсами и обделкой тоннеля;
- расположение анкерных болтов крепления продольных брусьев к железобетонному подрельсовому основанию между рельсовыми подкладками;
- использование для сборных стыков ходовых рельсов и стрелочных переводов инвентарных электрических соединителей промышленного производства.
Удельное переходное сопротивление между ходовыми рельсами одного пути (две рельсовые нити в параллель) и обделкой (землей) должно быть не менее, Ом·км:
а) в тоннелях и закрытых наземных участках, на участках, смежных с метромостами (до 200 м по обе стороны от моста), - 1,5;
б) на эстакадах, метромостах и в зданиях электродепо - 3;
в) на парковых путях электродепо, на открытых наземных участках - 0,5.
5.21.5
В строительных конструкциях обделок тоннелей предусматривать:
- гальваническое разделение продольных металлических связей арматуры железобетонных обделок с шагом не более 60 м. Места разделения арматуры обозначать вертикальной белой полосой, наносимой на внутреннюю сторону обделки;
- шунтирование стальной шиной сечением не менее 160 мм2
участков обделок (вставок) из бетона или железобетона в тоннелях с обделкой из чугунных тюбингов, комбинированной обделкой из чугунных тюбингов и железобетонных блоков, сталебетонной обделкой;
- способы стыковки железобетонных тюбингов (блоков), а также узлы крепления к ним заземляющих шин, кронштейнов и т.п., исключающие возможность гальванических связей с арматурой и объединения ее в протяженную непрерывную металлическую сеть.
5.21.6
В устройствах электроснабжения предусматривать:
- секционирование положительной и отрицательной шин РУ 825 В при необходимости электроснабжения тяговых сетей разных линий в местах их сближения или пересечения от одной ТПП;
- защиту от замыкания токоведущих частей устройств контактной сети 825 В на "землю";
- применение междупутных соединителей ходовых рельсов в средней части перегона и, при необходимости, не менее чем через 500 м между ними.
Присоединение отсасывающих линий и междупутных соединителей к ходовым рельсам главных путей выполнять в соответствии с 5.12.
Электрическое сопротивление междупутного соединителя постоянному току должно быть не более 3·10-3
Ом.
5.21.7
Участок водопровода из металлических труб, прокладываемый под ходовыми рельсами, отделять от остальной сети изолирующими фланцами.
5.21.8
На кабелях и трубопроводах систем тепло и водоснабжения в местах их выхода из сооружений метрополитена предусматривать соответственно изолирующие муфты и фланцы, размещаемые в сооружениях метрополитена в сухих, доступных для осмотра местах.
Кабели и трубопроводы на участке от изолирующей муфты и фланца до места выхода изолировать от окружающих опорных и строительных конструкций, в т.ч. изолировать муфты и фланцы.
5.21.9
Электрическое сопротивление электропроводящих стыков ходовых рельсов и стрелочных переводов не должно превышать сопротивления участка целого рельса длиной 1 м, изолирующих стыков с дроссель-трансформаторами - 36 м.
5.21.10
В начале и конце метромостов и эстакад протяженностью более 300 м в кабельных линиях предусматривать вставки кабелей с неметаллической оболочкой, в трубопроводах - вставки труб из композитных материалов.
5.21.11
Контрольно-измерительные пункты КИП I применять для измерения потенциалов ходовых рельсов относительно заземляющего проводника (шины); КИП II - для измерения потенциалов чугунной обделки или арматуры железобетонной обделки относительно внешней (по отношению к обделке) среды.
5.21.12
КИП I устанавливать около ДТ:
- в начале и конце моста и эстакады;
- в каждом перегонном тоннеле через 500-800 м;
- в местах присоединения к ДТ отсасывающих линий или междупутных соединителей (на одном из путей).
5.21.13
КИП II устанавливать в перегонных тоннелях с чугунной обделкой на участках пересечения трасс метрополитена с трассами трамвая или электрифицированных на постоянном токе железных дорог и на участках, где эти линии проходят по параллельным трассам.
КИП II применять и в тоннелях с железобетонной обделкой, если выявлено многократное соединение арматуры обделки с заземленными конструкциями, узлами крепления трубопроводов и т.п.
На участках пересечения трасс КИП II устанавливать в одном из тоннелей вблизи пересечения и по обе стороны от него на расстоянии 200 м.
На участке параллельных трасс КИП II устанавливать по концам участка тоннеля, расположенного ближе к путям трамвая или железной дороги, а также через 300 м при расстоянии между трассами менее 100 м и через 500 м - при расстоянии от 100 до 200 м.
При расположении в указанных зонах тяговой подстанции трамвая или железной дороги один из КИП II размещать вблизи пункта отсоса этой подстанции.
КИП II размещать также в тоннелях, сооружаемых в агрессивной среде.
5.21.14
При совпадении мест установки КИП I и КИП II предусматривать установку только КИП II.
5.21.15
КИП I состоит из трехполюсного выключателя и соединительных клемм, установленных в ящике; КИП II - из КИП I и электрода-измерителя, устанавливаемого в обделку тоннеля.
КИП I и КИП II соединять контрольными кабелями с клеммными шкафами, размещаемыми на станциях. В шкафы предусматривать ввод переменного тока напряжением 220 В.
5.21.16
На ТПП предусматривать установку прибора (счетчика вольт-часов) для измерения среднесуточных потенциалов шины минус 825 В по отношению к заземляющему устройству подстанции.
5.21.17
Контроль за выполнением и эффективностью мер по защите от электрокоррозии при строительстве и приемке линий осуществлять согласно Приложению 7.3Ж [17].
5.22.1
Охрана метрополитена от противоправных действий, включающих несанкционированный доступ в служебные помещения, предотвращение преступлений, в том числе террористической направленности, включает комплекс мер в числе которых:
- автоматическая охранная сигнализация;
- видеонаблюдение по 5.13;
- специальные антитеррористические мероприятия и устройства.
5.22.2
Автоматической охранной сигнализацией и/или видеонаблюдением оборудовать:
- пассажирские входы в вестибюли станций;
- производственные входы в сооружения метрополитена с поверхности земли: вентиляционные киоски, порталы тоннелей, аварийные выходы;
- входы в перегонные тоннели с платформы станций;
- производственные помещения: подстанции, машинные помещения эскалаторов, аппаратные, релейные, кроссовые, медпункт;
- помещения кассового блока: операторов касс, старшего кассира, подсчета денег, старшего оператора АСОП и сервера;
- ограждения по периметру наземных объектов (электродепо, открытых участков линии и др.).
5.22.3
Устройствами контроля доступа оборудовать входы в помещения кассового блока, машинного помещения эскалаторов, медпункта, подстанций.
Перечень помещений, подлежащих постановке под охранную сигнализацию и оборудование контролем доступа, уточнять в задании на проектирование.
5.22.4
Приемно-контрольную аппаратуру АОС устанавливать в помещении ДПС и по помещениям кассового блока - у старшего оператора касс с выводом сигнала в ДПС и на пост милиции.
Передачу информации о срабатывании АОС предусматривать на диспетчерский пункт пожарной безопасности и охраны порядка по системе телекоммуникаций.
5.22.5
В помещениях оператора касс, старшего оператора и сервера кассового блока предусматривать двухрубежную АОС, в остальных - однорубежную.
Для однорубежной АОС предусматривать, как правило, магнитоконтактные извещатели для блокировки на открывание входных дверей и других проемов. В наземных вестибюлях блокировать также окна (на проникновение или открывание).
Для второго рубежа защиты, блокирующего определенные зоны помещений, применять поверхностные или объемные оптико-электронные извещатели.
5.22.6
В кассах, медпункте, ДПС, кабине ДСП на платформе предусматривать скрытую кнопку и педаль для передачи тревожного сигнала на приемно-контрольную аппаратуру АОС и на пост милиции. На посту милиции предусматривать световую индикацию объекта вызова.
5.22.7
Системы АОС и АУПС допускается объединять в едином комплекте приемно-контрольной аппаратуры.
5.22.8
До разработки и утверждения специального свода правил, регламентирующего мероприятия по противодействию террористических актов в метрополитене, антитеррористические требования при проектировании определяются застройщиком или заказчиком в задании на проектирование (п. 3 Постановления Правительства Российской Федерации № 73 от 15.02.2011 г).
5.23.1
Для обеспечения функционирования метрополитена должны предусматриваться:
5.23.1.1
Административное здание метрополитена для размещения аппарата управления, административно-технического персонала служб и других подразделений.
Объемно-планировочные решения и технологическое оснащение здания административного управления определяются заданием на проектирование.
5.23.1.2
Здание диспетчерского управления (Инженерный корпус).
В здании диспетчерского управления размещать:
- диспетчерские пункты линий, оснащенные автоматизированными рабочими местами, системами телеуправления установками линии и связи согласно 5.11, 5.12, 5.13, 5.16 и 5.22;
- вычислительный центр;
- лабораторно-ремонтные подразделения ДПЛ и ВЦ, оснащенные соответствующей аппаратурой и приборами;
- комнаты отдыха, приема пищи и психологической разгрузки диспетчерского персонала;
- административные и санитарно-бытовые помещения;
- грузовые и пассажирские лифты, кабельные шахты и поэтажные кабельные каналы;
- понизительную подстанцию.
Помещения здания диспетчерского управления должны иметь естественное освещение и защиту от шума и вибрации согласно 5.17.
5.23.1.3
Здание для размещения инженерно-технического (эксплуатационного) персонала дистанций служб, осуществляющего руководство эксплуатационными подразделениями линии).
В здании эксплуатационного персонала линии размещаются:
- руководители эксплуатационных подразделений служб;
- участки и бригады служб по обслуживанию строительных конструкций, путевых устройств и инженерного оборудования;
- мастерские по мелкому ремонту оборудования, кладовые;
- служебно-технические помещения пожарных подразделений и охраны;
- медпункт, фотарий, комнаты приема пищи и психологической разгрузки;
- административные и санитарно-бытовые помещения.
5.23.2
Здание диспетчерского управления метрополитена (Инженерный корпус) по возможности располагать в зоне пересечения линий метрополитена, в непосредственной близости от станции или совмещать его с вестибюлем станции. Здание должно иметь соединение с тоннелями линий, предназначенное для прохода персонала и прокладки кабелей.
5.23.3
Здание для размещения инженерно-технического персонала (ОЗЭП) следует предусматривать для каждой линии и располагать в непосредственной близости от станции или совмещать с вестибюлем станции либо на территории электродепо линии.
5.23.4
Здания диспетчерского управления линий и инженерно-технического персонала должны входить в состав участка первой линии метрополитена.
Для первого периода эксплуатации метрополитена возможно строительство только здания для размещения диспетчерских пунктов линий метрополитена с объединением в нем функций административного здания и здания для размещения инженерно-технического персонала.
5.23.5
Здания следует проектировать по отдельным техническим и архитектурно-планировочным заданиям и в соответствии со СНиП 2.09.04.
Площадь зданий следует принимать исходя из перспективы развития сети метрополитена.
5.23.6
Административные, санитарно-бытовые и подсобные помещения зданий принимать в соответствии со штатным расписанием подразделений.
5.24.1
Исходные данные для разработки проекта организации строительства (ПОС) включают сведения о климатических условиях района, об инженерных изысканиях, характере городской застройки, о принятых объемно-планировочных и конструктивно-технологических решениях, о подземных объектах и коммуникациях, находящихся в зоне строительства, о потребных энергоресурсах, условиях присоединения их к городским сетям и о директивном сроке строительства и др.
5.24.2
Состав и содержание ПОС должно соответствовать требованиям, установленным в [35] и Постановлениями Правительства Российской Федерации № 87 от 16.02.2008 г. и № 1006 от 07.12.2010 г.
Допольнительно, в состав ПОС в сложных инженерно-геологических условиях могут включаться работы по горно-экологическому мониторингу. В том числе, технические решения по обеспечению сохранности наземных и подземных сооружений и коммуникаций с указанием опасных зон.
5.24.3
При закрытом способе работ в зависимости от инженерно-геологических условий и градостроительной ситуации использовать механизированные комплексы, в том числе щиты с активным пригрузом забоя, щиты с рассекающими площадками, а также комбайновый или буровзрывной способ разработки грунта с устройством или без устройства временной крепи.
Разработку грунта буровзрывным способом предусматривать в соответствии с ПБ 13-407 [35].
На небольших по протяженности участках возможны применение продавливания обделки или проходка с устройством опережающего защитного экрана.
5.24.4
При организации проходки закрытым способом под водными преградами, в местах возможных прорывов воды или грунтовых масс предусматривать перемычки с герметическими дверями, рассчитанные на максимально возможное гидростатическое давление с коэффициентом надежности 1,5.
5.24.5
Монтаж и демонтаж элементов сборной обделки предусматривать механическими укладчиками.
Применение лебедок для этой цели допустимо на ограниченных по длине участках выработки, где невозможно или нецелесообразно использование укладчиков.
5.24.6
Разработку коротких выработок большого сечения в неустойчивых грунтах предусматривать с предварительным закреплением грунтов или с использованием опережающего защитного экрана и других мероприятий [36].
5.24.7
При применении обделки односводчатых станций из сборных железобетонных элементов возможно предусматривать ее сооружение с использованием обжатия в замке плоскими гидравлическими домкратами.
5.24.8
Пазухи котлована при открытом способе работ при необходимости устройства гидроизоляции обделки и отсутствии водопонизительных систем предусматривать шириной не менее 1,2 м, при наличии таких систем - 1,5 м.
В котлованах с откосами расстояние между стеной сооружения и заложением откоса при отсутствии дренажных устройств в лотке должно составлять не менее 0,5 м.
5.24.9
Проектная документация на сооружение котлованов в том числе его ограждающих конструкций, на сооружение буросекущихся свай (БСС), на сооружение «стены в грунте» (СвГ), анкерного крепления, специальные методы работ и др. являются проектом производства работ (ППР) с особо сложными конструкциями и методами производства работ и разрабатываются проектными организациями [7, 36, 37].
5.24.10
При прохождении трассы по участкам, загрязненным вредными веществами с превышением допустимых уровней воздействия вредных факторов, а также при расположении строительных площадок в черте санитарно-защитных зон действующих предприятий разрабатывать комплекс защитных мероприятий.
5.24.11
Стройгенпланы строительных площадок согласовывать с заинтересованными организациями в установленном законодательством РФ порядке.
5.24.12
При разработке проекта консервации или ликвидации объекта руководствоваться РД 07-225 [38].
5.25.1
В составе раздела ПОС проектной документации строительства линии метрополитена следует предусматривать комплекс мер организационного, технического и экономического характера, направленных на обеспечение безаварийной работы при строительстве, исключение ее негативного влияния на окружающую среду, предупреждение аварий и обеспечение готовности организаций к локализации и ликвидации их последствий.
5.25.2
Проектные решения должны разрабатываться в соответствии с ФЗ-116 , Постановлениями Правительства РФ от 16.02.2008г. №87, от 07.12.2010г. № 1006 и «Правилами безопасности при строительстве подземных сооружений» (ПБ-03-428-02) [39].
5.26.1
Охранные и технические зоны метрополитена должны наноситься на топографические планы городской территории масштаба 1:2000 по Правилам [41].
5.26.1
Проведение каких-либо работ в пределах технических и охранных зон допускается только по согласованию с организациями, проектирующими и эксплуатирующими метрополитен.
5.26.2
У наземных станций необходимо предусматривать строительные технические зоны шириной 20 м и длиной не менее 60 м в каждую сторону для обеспечения реконструкции, связанной с увеличением их размеров.
5.26.3
Технические зоны для обеспечения эксплуатации объектов метрополитена предусматривать:
- у наземных вестибюлей станций;
- у венткиосков и камер демонтажных шахт;
- с наружной стороны ограждений наземных участков линий метрополитена, соединительных веток, электродепо и других сооружений.
5.26.4
Границы технических зон устанавливать с целью создания нормальных условий для движения пассажиров и обеспечения ремонтно-профилактических работ исходя из реальной обстановки на прилегающих участках городской территории.
5.26.5
Граница технической зоны отдельно расположенного наземного вестибюля станции должна отстоять не менее чем на 5 м от наружного контура сооружения с увеличением в местах передвижения пассажиров и на участках, используемых для обеспечения ремонтных работ.
При размещении вестибюля в здании другого назначения границу технической зоны определять только для части здания, используемой метрополитеном.
5.26.6
У входа (выхода) в вестибюль или в подуличный переход границу технической зоны принимать на расстоянии 15 м от них, но не далее начала проезжей части.
5.26.7
В местах устройства площадок для размещения элементов эскалатора и другого эксплуатационного оборудования у вестибюлей станций, демонтажных шахт, над водопроводными, тепловыми и кабельными вводами и т.п. границы технической зоны назначать в соответствии с технологией ремонтных работ.
Ширина проездов к месту ремонтных работ должна быть не менее 4 м.
5.26.8
Границу технической зоны для отдельно стоящих зданий производственного назначения принимать на расстоянии 7 м от наружного контура здания в плане.
5.26.9
Границу технической зоны вокруг вентиляционных киосков принимать на расстоянии 25 м от их наружного контура.
5.26.10
Ширину технической зоны за пределами ограждений наземных участков линий и других наземных сооружений для устройства проездов принимать не менее 4 м.
5.26.11
Охранные зоны предусматривать над:
- подземными станциями независимо от глубины их заложения и подуличными переходами;
- стволами вентиляционных и демонтажных шахт, устьями скважин и колодцами водоотливных и канализационных установок;
- участками примыкания водопроводных, тепловых и кабельных вводов к сооружениям метрополитена.
Границы охранных зон определять с учетом градостроительной и транспортной обстановки.
5.26.12
Расстояние между наружным контуром сооружения в плане и границей охранной зоны должно составлять, м, для:
а) станции, сооружаемой закрытым способом, - 5;
б) станции, сооружаемой открытым способом, - 10;
в) других сооружений мелкого заложения на уровне до 8 м включительно от поверхности земли - 10.
5.26.13
На территории города для проектируемых, строящихся и эксплуатируемых зданий и сооружений метрополитена следует устанавливать охранные зоны от воздействия факторов природного и техногенного характера: 100 метров в обе стороны от внешнего контура.
6.1.1
Строительно-монтажные, в том числе подготовительные, работы должны начинаться после получения от заказчика разрешения на их выполнение.
Все земляные работы должны осуществляться в соответствии с «Правилами подготовки и производства земляных работ», утвержденными территориальными органами власти.
6.1.2
Заказчик совместно с генподрядной строительной организацией должен проводить наблюдение за состоянием зданий, сооружений и коммуникаций, находящихся в зоне возможных деформаций грунтового массива.
6.1.3
По завершении строительства объекта генеральный подрядчик обязан передавать заказчику техническую документацию по Приложению 7А.
На всех этапах строительства, монтажа, наладки и испытания оборудования должны составляться акты выполненных работ. Примерные формы актов приведены в [17].
6.2.1
Объекты строительства метрополитена, связанные с ведением горнопроходческих и строительно-монтажных работ в подземных условиях, следует относить к категории опасных производственных объектов.
6.2.2
Проект производства работ (ППР) разрабатывается на основании ПОС строительной организацией или по ее заданию - проектной (проектно-технологической) организацией.
Отступления от утвержденных проектных решений без согласования с разработчиком документации и заказчиком не допускаются.
6.2.3
Проекты производства работ должны соответствовать СНиП 12-01, СНиП 12-03, СНиП 12-04 и ПБ 03-428 [39].
Геодезическо-маркшейдерское обеспечение строительства должно проводиться с целью точного переноса в натуру отметок и оси строительного объекта и его частей с точностью установленных допусков для достижения необходимого уровня качества строительной продукции и наблюдений за деформациями существующих зданий и сооружений в зоне строительства.
Геодезическо-маркшейдерские наблюдения при выполнении строительно-монтажных работ должны обеспечивать контроль за соблюдением ГОСТ 23961 и допустимых отклонений фактических размеров сборных и монолитных обделок тоннелей от проектного положения.
6.3.1 Планово-высотная сеть на поверхности
6.3.1.1
Планово-высотное геодезическое обоснование входит в состав проекта и создается до начала основных строительных работ.
6.3.1.2
Плановые сети геодезического обоснования должны обеспечивать требуемую точность сбоек встречных забоев и перенесение в натуру осей сооружений.
Наземная геодезическая разбивочная основа создается методами триангуляции или полигонометрии ее заменяющей Iт, IIт, Шт, IVт разрядов.
Сгущение пунктов наземной геодезической разбивочной основы осуществляется методами основной и подходной полигонометрии или построением аналитической сети взамен основной полигонометрии.
Предельная средняя квадратическая ошибка m
взаимного определения пунктов плановой сети, от которой осуществляется сбойка тоннеля не должна превышать допусков: 25-28 мм или в относительной мере 1:35000 на 1км хода независимо от того как сооружается тоннель, открытым или закрытым способом.
6.3.1.3
Для создания плановой опорной геодезической сети (тоннельная триангуляция, полигонометрия взамен триангуляции, основная полигонометрия, аналитические сети взамен основной полигонометрии) рекомендуется применять технологию измерений с применением спутниковой навигационной системы (СНС).
При создании геодезической сети посредством СНС взаимная видимость между пунктами сети не обязательна.
Сеть измерений СНС создается на установленный период строительства с обязательными ежегодными повторными измерениями.
Точность определения взаимного планового положения пунктов при измерениях с геодезическими приемниками СНС должна быть от 5+1х10-6 L
до 10+2х10-6 L
, мм, где L
- расстояние между пунктами, км.
При проведении измерений с использованием одночастотных спутниковых приемников СНС длины сторон не должны превышать 10 км.
Измерения СНС следует проводить относительным методом позиционирования по фазе несущей частоты с соблюдением всех допусков и не менее двухкратных измерений на каждом пункте.
Относительный метод измерений накладывает требование синхронного приема сигналов на всех рабочих станциях минимум четырех общих спутников.
Рекомендуемый угол маски возвышения спутниковых приемников не должен быть менее 15°.
Целесообразно использование файла альманаха, актуального на период проведения работ. На основе его данных специальное программное обеспечение позволяет спрогнозировать наиболее благоприятный отрезок времени для спутниковых измерений на отдельной станции, обеспечивающий достаточное количество спутников с учетом угла маски возвышения. Особенно важно иметь эту информацию, планируя работу на станции с ограниченным обзором небесной сферы.
Комплект приемников должен пройти метрологическую аттестацию на эталонных плановых сетях.
Камеральную обработку выполнять на ПК с помощью специального программного обеспечения, поддерживающего режим постобработки.
Если применение СНС в условиях плотной многоэтажной застройки проблематично, рекомендуется создавать наземные опорные геодезические сети методами полигонометрии, с применением высокоточных оптических приборов или электронных тахеометров, с соблюдением технологии и допусков согласно ВСН 160-69 [61].
6.3.1.4
Плановые сети сгущения создаются с целью обеспечения исходными пунктами производства ориентирования подземных выработок, разбивочных работ и т.д. с требуемой для строительства точностью.
Определение пунктов сети выполнять дважды с разных пунктов опорной плановой сети. Между пунктами сети сгущения необходима взаимная видимость.
Рекомендуется прокладывать подходную полигонометрию с применением высокоточных оптических приборов, электронных тахеометров или СНС,опираясь на пункты планово-высотного обоснования строительства. Подходная полигонометрия должна удовлетворять следующим требованиям:
- угловая невязка - , где n- количество углов;
- линейная невязка 1:20000.
6.3.1.5
Высотное обоснование применять для перенесения проекта сооружения в натуру по высоте и подразделять на опорные сети и сети сгущения.
6.3.1.6
Опорную высотную сеть создавать методом геометрического нивелирования II класса с обязательной привязкой к государственной нивелирной сети I и II классов.
Нивелирование II класса выполнять с применением наиболее совершенных инструментов и методов измерений, с возможно полным исключением систематических ошибок.
Невязки в полигонах и по линиям нивелирования II класса допускаются не более 5 мм , где L
- периметр полигона или длина линии в км.
Для нивелирования II класса применять нивелиры и рейки, прошедшие метрологическую аттестацию.
Нивелирование II класса проводить с соблюдением установленных допусков.
Опорную нивелирную сеть создавать с допусками, не более:
- длина хода между исходными реперами 2 км;
- то же, между узловыми реперами - 1 км;
- расстояние между реперами, м:
а) в сложных узлах строительства - 100;
б) для застроенных районов - 200;
в) для малозастроенных районов - 300.
6.3.1.7
Высотную сеть сгущения создавать с целью обеспечения высотными отметками зоны строительства с требуемой густотой и выполнять нивелированием III класса.
Нивелирование вести замкнутыми полигонами или вытянутыми ходами с их привязкой к реперам высшего класса с соблюдением допусков, установленных Инструкцией [42].
6.3.2 Ориентирование подземной планово-высотной сети
6.3.2.1
Для ориентирования подземной планово-высотной сети дирекционные углы, координаты и высотные отметки передаются с поверхности земли в подземные выработки.
6.3.2.2
Передачу дирекционных углов вести гироскопическими приборами - гиротеодолитами. Гиротеодолиты эталонировать не реже чем через 3 месяца.
Ориентирование подземной полигонометрической сети включает:
- определение поправки гиротеодолита на стороне с известным дирекционным углом на поверхности земли;
- определение дирекционного угла ориентируемой стороны подземной полигонометрической сети;
- повторное определение поправки гиротеодолита на стороне с известным дирекционным углом.
Определение поправки гиротеодолита проводить одним пуском на каждый из двух гироблоков на двух смежных сторонах планового обоснования.
Длина стороны на поверхности для определения поправки - не менее 100 м. Расхождения между значениями поправок - не более 20" на каждый гироблок.
Ориентирование стороны подземной полигонометрической сети проводить двумя гироблоками.
Расхождение значений дирекционного угла подземной линии, определенной из нескольких ориентирований, - не более 20".
В определенный гиротеодолитом дирекционный угол ввести поправку за сближение меридианов по формуле
 ; для Москвы , где в сотнях метров;
- (Yопр
-Yисх
);
R – радиус Земли (6371км);
- широта места работы.
Точность определения -20 м.
Знак поправки определяется знаком .
В формуле обязательно соблюдать размерность и R.
6.3.2.3
Передачу координат в подземные выработки осуществлять через вертикальные стволы шахт с помощью лазерных приборов вертикального визирования или отвесов.
С пункта плановой сети сгущения приствольной (припортальной) точки СНС (подходной полигонометрии), расположенного вблизи ствола, определяются координаты точки, находящейся в стволе, и ее проекции в подземной выработке. Полученные на поверхности координаты проектируемой точки в подземной выработке принимаются за исходные.
Передачу координат и дирекционных углов через порталы выполнять методом полигонометрии при одинаковой температуре воздуха снаружи и в тоннеле.
При многоразовых передачах координат в тоннели значения координат знаков подземной полигонометрической сети уточнять при каждой новой передаче, а значения дирекционных углов - при каждом ориентировании.
Расхождения значений координат, полученных не менее чем из двух передач, - не более 15 мм.
6.3.2.4
Высотные отметки передавать в подземные выработки от двух и более реперов на поверхности и не менее чем на два полигонометрических знака в тоннеле при помощи лазерной рулетки, металлической рулетки, светодальномера. Расхождения высотных отметок, полученных из двух и более передач, не должны превышать 6 мм на 100м. Передачу высотных отметок через штольни проводить методом геометрического нивелирования.
Передачу отметок через эскалаторные тоннели и наклонные штольни производить методом тригонометрического нивелирования с соблюдением установленных допусков.
Расхождения в отметках подземного репера, полученных из разных передач через штольни и наклонные выработки, допускаются не более ±2 мм , где n
- число штативов.
6.3.3 Планово-высотная сеть в подземных выработках
6.3.3.1
Планово-высотная сеть в подземных выработках является основой для точного перенесения в натуру проекта всех тоннельных сооружений.
6.3.3.2
Развитие планово-высотной сети в подземных выработках осуществляется от исходных пунктов ,полученных из ориентирование через вертикальную шахту, или путем непосредственного примыкания к пунктам подземной геодезической основы через порталы, штольни и наклонные выработки.
Главный ход -150м-300м прокладывать по оси тоннеля с привязкой к пунктам основной подземной сети (выбор пунктов главного хода зависит от длины односторонней проходки на сбойку).
Подземную полигонометрическую сеть прокладывать со следующими допусками:
а) относительная линейная ошибка в периметре хода - не выше 1:25000 на 1 км для основных ходов;
б) средняя квадратическая ошибка измерения угла – 3".
Пункты подземной полигонометрической сети закреплять в зависимости от вида тоннельной обделки:
а) открытый способ строительства - стержень металлический в бетонном монолите со сферической головкой, в которой сверлом выполнено углубление, зачеканенное медью, бронзой или латунью. Стержни приварить к арматуре тоннельной обделки на расстоянии 250мм от конструкции обделки на уровне путевого бетона;
б) при закрытом способе строительства – выполненным сверлом - углублением, зачеканенным медью, бронзой или латунью на площадке, запиленной на ребре жесткости или борте чугунного тюбинга тоннельной обделки на уровне головок рельсов пути.
Все пункты планово-высотной подземной сети нумеровать. Пунктам левого тоннеля даются нечетные номера, правого – четные.
Нумерация пунктов для всей сооружаемой трассы должна быть единой и не иметь повторений.
Нумерация должна возрастать по ходу пикетажа.
6.3.3.3
Для соблюдения проектных уклонов и положения тоннеля в профиле необходимо, по мере удаления забоя, развивать высотную подземную сеть.
Подземное геометрическое нивелирование выполнять по знакам полигонометрической сети.
Передачу отметок на реперы к забою до сбойки выполнять нивелированием III класса. Заключительное нивелирование после сбойки проводить в прямом и обратном направлениях методом нивелирования II класса с соблюдением допусков установленных для нивелирования II класса.
а) невязки ходов, проложенных между реперами, отметки которых получены из передач через стволы шахт или вентиляционные скважины, - ± мм, где L’
- длина нивелирного хода в подземных выработках, км; L- длина нивелирного хода на поверхности, км;
б) для ходов подземного нивелирования, связанных с поверхностью непосредственно (через порталы или штольни), - ± мм.
Камеральную обработку планово-высотной подземной сети выполнять на ПК: до сбойки обрабатывать висячие ходы полигонометрической сети, после сбойки - проводить уравнивание сети с учетом соблюдения оптимальных габаритов сооружения; уравнивание нивелирных ходов до сбойки проводить как висячих, после сбойки - с учетом проектной документации укладки постоянного пути и фактического отклонения тоннеля от проектного положения.
Все пункты планово-высотной подземной сети нумеровать. Пунктам, расположенным в тоннеле 1-го пути, присваивать нечетные номера, в тоннеле 2-го пути - четные.
6.3.4 Геодезическое и маркшейдерское обеспечение строительно-монтажных работ
6.3.4.1
Геодезическое и маркшейдерское обеспечение строительно-монтажных работ (СМР) выполняют с целью перенесения проекта сооружений в натуру, строгого соблюдения установленных габаритов, точного ведения по проектной трассе проходческих механизмов, точного сопряжения сбоек тоннелей, других подземных сооружений и конструктивных элементов, производства съемочных работ, составления и пополнения графической документации, учета объемов основных строительных работ.
6.3.4.2
Рабочую планово-высотную сеть в подземных выработках создавать по мере удаления забоя на расстояние 150 м для определения положения проходческих механизмов, обеспечивающих сооружение обделок.
Рабочую подземную полигонометрическую сеть прокладывать со сторонами 25-50 м дважды. Длины линий измерять прямо и обратно, сходимость результатов измерений - ±3 мм.
Углы измерять тремя круговыми приемами с соблюдением допусков:
а) расхождение отсчетов на начальное направление при замыкании - 10";
б) колебание направлений, приведенных к нулю, - 15".
Рабочую сеть прокладывать цепочкой треугольников дважды независимыми наблюдателями и разновременно. Невязка в треугольнике - не более ±10"; расхождение между результатами измерений в углах - 10", в линиях – 3-5 мм.
Обработку сети вести как по коротким, так и по длинным сторонам треугольников.
В случае, если длины сторон сети менее 25 м, разрабатываются специальные методы измерений.
Высотную сеть выполнять по пунктам полигонометрической сети методом нивелирования IV класса с соблюдением следующих допусков:
а) неравенство расстояний от нивелира до реек на станции - не более 5 м, накопление их по секции - до 10 м;
б) невязка, полученная по линии нивелирования между исходными пунктами, - не более 20 мм , L
- длина хода, км.
6.3.4.3
При строительстве сооружений открытым способом разбивочные работы по переносу в натуру осей сооружения и проектных привязок выполнять для следующих работ:
- крепления котлована;
- разработки грунта;
- бетонной подготовки;
- монтажа конструкций из сборного и монолитного железобетона;
- осей основных и вспомогательных сооружений геометрически связанных с проектом трассы.
На основе проектных данных, координат и высотных отметок пунктов планово-высотной сети выполнять расчет разбивочных элементов для выноса проекта сооружений в натуру.
Разбивочные работы в плане могут выполняться любым методом, обеспечивающим необходимую точность разбивки.
Разбивочные работы вести с допусками, мм:
| а) передача высотной отметки на дно котлована
|
±10
|
| б) ограждающие котлован "стены в грунте" и свайное крепление
|
от -50 до +150
|
| в) "стены в грунте" и свайное крепление на уровне дна котлована
|
±150
|
| г) котлован в откосах
|
±50
|
| д) ось котлована
|
±10
|
При устройстве бетонной подготовки фиксировать ее верхний уровень с отклонением от проектного положения в профиле не более ±10 мм.
Проектные отметки для облицовки полов выносить инструментально с точностью ±3 мм.
Разбивки для опалубочных работ проводить от продольных и поперечных осей сооружения с запасом 20 мм в сторону увеличения размеров.
6.3.4.4
Для станций закрытого способа работ расчет разбивочных элементов выполнять так же, как для станций открытого способа работ с применением тех же геодезическо-маркшейдерских инструментов.
При сооружении станций оригинальной конструкции в проектной документации должны содержаться необходимые требования к геометрии сооружения и допускам.
6.3.4.5
При сооружении перегонных тоннелей из сборных обделок - тюбинговой чугунной, тюбинговой железобетонной и блочной железобетонной - все маркшейдерские работы по укладке колец обделки должны основываться на данных подземной планово-высотной сети.
На основании проектных данных, координат и высотных отметок подземной полигонометрической сети выполнять расчет разбивочных данных для выноса элементов тоннельных сооружений в натуру.
Для тоннеля из сборного железобетона кругового очертания допуски отклонений колец сохраняются те же, что и для чугунной обделки.
6.3.4.6
При обеспечении строительства притоннельных сооружений рекомендуется применять технологию проведения маркшейдерских работ и допуски, предусмотренные для тоннелей закрытого способа работ.
6.3.4.7
При сооружении тоннелей щитовым способом в состав маркшейдерских работ входят:
- закрепление в пределах монтажной камеры проектной оси тоннеля, нормали к оси и отметок, необходимых для сооружения основания под щит и его монтажа;
- определение правильности геометрической формы основания под щит;
- определение правильности геометрических форм монтируемого щита: совмещение оси щита с осью тоннеля в плане, соответствие ее положения в профиле проектному положению, отсутствие поперечного уклона (крена), правильность продольного уклона, отсутствие эллиптичности щита;
- закрепление маркшейдерских знаков и приборов на щите;
- закрепление сзади щита ориентирных сигналов для ведения его по проектной оси в плане и профиле;
- ведение щита в процессе проходки по трассе;
- определение положения щита в плане и профиле после каждого продвига;
- определение положения колец обделки после окончания укладки.
Для выполнения монтажных работ по сборке щита в камере необходимы следующие маркшейдерские данные:
- проектную продольную ось щита (тоннеля), закрепляемую в своде камеры тремя и более точками;
- нормаль к продольной оси щита (тоннеля);
- отметку условного горизонта, связанную с проектным центром щита.
При этом учитывать, что проектная отметка центра щита больше проектной отметки центра тоннеля на величину полуразности диаметров внутренней поверхности оболочки щита и внешней окружности кольца.
Первые три сегмента щита должны устанавливаться с участием маркшейдера с точностью в плане и по высоте не более ±10 мм, не допуская кручения.
После окончания монтажа щита проводить продольную и радиальную съемку, в результате которой определяются:
- длина ножевого кольца щита;
- длина опорного кольца щита (или длина нижней части опорного кольца, если оно монолитно объединяет оба кольца);
- длина оболочки щита (от опорного кольца до хвоста щита);
- по четыре диаметра: ножевой части, задней плоскости опорного кольца и хвоста оболочки щита.
Уклонения середины щита от проектного направления трассы в плане и профиле не должны превышать ±50 мм. Учитывая процесс вертикальной осадки колец тоннельной обделки по выходе из оболочки, рекомендуется вести щит в профиле выше проектной отметки на 2-3 см. Этот размер может изменяться на основании опыта проходки в данных геологических условиях.
Для определения положения щита в плане измерять расстояния между ножевой и хвостовой дугами, ножевой дугой и ножом, хвостовой дугой и хвостом, а также от осевых знаков до низа оболочки и до фактической продольной оси щита.
Определяя положения ножевой и хвостовой дуг относительно проектной оси трассы и используя соотношения расстояний между дугами и дугами ножа и хвоста, вычисляют положение ножа и хвоста относительно отметок проектной трассы.
Для определения положения щита в плане и профиле использовать лазерный задатчик направления, оптический щитовой прибор, нивелир или прибор автоматического ведения щита.
Сведения о величине кручения щита использовать для вычисления поправки в положение ножа и хвоста.
6.3.4.8
До начала сооружения эскалаторного тоннеля и наземного вестибюля на поверхности земли создается плановая и высотная геодезическая основа, обеспечивающая сбойку эскалаторного тоннеля со средним станционным тоннелем или другими подземными сооружениями. Точность геодезической основы должна соответствовать 6.3.1.
6.3.4.9
Для маркшейдерского обеспечения проходки эскалаторного тоннеля строго по его оси закладывать маркшейдерский столик, удовлетворяющий следующим требованиям:
- конструкция столика должна быть жесткой, изолированной от площадки наблюдателя и окружающих механизмов;
- визирная ось теодолита или лазерного задатчика направления, установленного на столике, должна совпадать с проектной осью тоннеля;
- со столика должна быть обеспечена видимость на три удаленные не менее чем на 50 м точки, одна из которых фиксирует направление оси тоннеля, а остальные являются контрольными. Должна быть также обеспечена постоянная видимость по проектной оси тоннеля;
- центр столика (проекция точки пересечения визирной и горизонтальной осей трубы) и места постановки подъемных винтов теодолита должны быть накернены на плите столика.
Столик оборудовать телефонной связью и световой сигнализацией для передачи указаний в забой.
6.3.4.10
При закладке первого кольца эскалаторного тоннеля учитывать набегание колец (удлинение тоннеля) из расчета 1 мм на кольцо, если оно не учтено в проектной документации.
При укладке сегментов первого кольца проверку его установки выполнять измерением восьми радиусов от проектного центра кольца. Измерения проводить до центров болтовых отверстий передней плоскости кольца.
6.3.4.11
При бетонировании фундаментов под эскалаторы выноску отметок для установки поперечных элементов конструкций проводить с занижением на 10 мм относительно проектной наклонной базы эскалаторов.
Фундаменты под эскалаторы сооружать с точностью: в плане - ±20 мм, в профиле - от 0 до минус 20 мм. Уровень наклонной базы закреплять на обеих сторонах тоннеля с точностью ±20".
Перед началом работ по монтажу эскалаторов выполнять контрольные промеры расстояния между верхней и нижней вертикальными базами по обеим сторонам эскалаторного тоннеля.
Рекомендуется также выполнить высотную связку верхней и нижней вертикальных баз.
Выноску отметок для установки продольных элементов конструкций эскалаторов выполнять с занижением на 10 мм относительно проектной наклонной базы с точностью ±5 мм. Выноску осей продольных элементов конструкций эскалаторов в плане осуществлять с точностью ±5 мм.
Выноски для установки реборд верхних направляющих ступеней эскалаторов выполнять в плане симметрично относительно осей эскалаторов с точностью ±1 мм.
Отклонение от перпендикулярности вынесенных поперечных и продольных осей в начале и в конце эскалаторов должно быть не более ±30", а монтажных струн в средней части - не более ±10".
Отклонения направляющих наклонных ферм эскалаторов допускаются в плане и по высоте не более 2 мм.
Отклонения при разбивке мест для установки анкерных болтов в фундаментах приводных и натяжных зон эскалаторов в плане и по высоте должны быть не более ±10 мм.
6.3.4.12
Для обеспечения проходки вертикальных стволов шахт выполнять разбивку центра ствола по привязкам от ситуации местности по плану в масштабе 1:500 или координатам согласно проектной документации.
Способ закрепления осей опускной крепи ствола на местности должен обеспечить возможность проверки их положения в любой момент погружения крепи. Реперы для контроля вертикальных отметок устанавливать за пределами возможных осадок и перемещений грунта.
Координаты вынесенного центра ствола определять с двух и более пунктов полигонометрической сети полярным способом. Фактически полученные координаты сообщать проектной организации для корректировки при необходимости проектной документации.
Разбивку осей ствола проводить с точностью ±10 мм.
При сооружении форшахты кружала устанавливать с точностью ±30 мм от закрепленных осей и центра ствола.
Съемку поперечных сечений ствола проводить через 5 м.
6.3.4.13
После проходки ствола до проектной отметки выполнять передачу отметки с поверхности. Расхождение значений отметок, полученных из передач при разных горизонтах или разных положений рулетки, - не более ±4 мм. Расхождения значений отметок по разновременным передачам - не более ±7 мм.
6.3.4.14
Обеспечение установки расстрелов и направляющих в стволе проводить от закрепленных осей с использованием отвесов.
Максимальное отклонение любой плоскости деревянных брусьев для направляющих клети - ±5 мм, для вертикальных направляющих - не более ±10 мм.
6.3.4.15
Высотные отметки на околоствольные выработки и сооружения передавать от приствольного репера при помощи нивелира.
Разбивку осей околоствольных выработок выполнять от геодезической основы. Продольную ось закреплять через 5 м в плане и по высоте с точностью 5 мм.
6.3.4.16
Исполнительную съемку сооружений проводить по мере их строительства. Съемку сечений сооружения выполнять на прямых участках через 10 м, на кривых - через 5 м, а также в наиболее характерных местах, необходимых для выполнения исполнительных чертежей. Помимо съемки сечений проводить продольное нивелирование лотка и свода тоннеля.
6.3.5 Укладка постоянного пути
6.3.5.1
Обеспечение работ по укладке пути выполнять после проведения контрольного нагнетания в тоннелях закрытого способа работ и окончания засыпки тоннелей открытого способа работ до проектных отметок и затухания осадок тоннеля.
При этом выполнить окончательные измерения в подземной полигонометрической сети и сети нивелирования, произвести их окончательное уравнивание с учетом оптимального соблюдения габаритов по ГОСТ 23961.
6.3.5.2
На основании проектных данных, координат и высотных отметок подземной планово-высотной сети вычислять геометрические параметры для:
- разбивки и закрепления горизонта, фиксирующего верхний уровень нижнего строения пути;
- установки опалубки дренажных лотков тоннеля;
- разбивки и закрепления основных точек пути, характеризующих его план и профиль;
- разбивки и закрепления мест установки путейских реперов, съемки установленных реперов по пикетам и высоте. Отклонения реперов от проектного пикетажа не должны превышать ±3 см, фактических отметок - ±2 мм. По окончании установки реперов по высоте произвести их двукратное контрольное нивелирование, после чего болты реперов закреплять путем бетонирования;
- вычисление расстояний от путейских реперов до внутренней грани ближайшего к реперу рельса;
- рихтовки пути перед бетонированием и наблюдений за путями в процессе бетонирования;
- детальной съемки пути;
- окончательного нивелирования головок рельсов после завершения "отделки" и обкатки пути и определения отметок дна дренажного лотка.
6.3.5.3
Допуски после окончательной рихтовки пути должны соответствовать Приложению 6А.
6.3.6 Наблюдения за осадками земной поверхности, деформациями зданий и подземных сооружений
6.3.6.1
Для обнаружения возможных осадок зданий, находящихся в мульде сдвижений земной поверхности в зоне строительства, и выявления их динамики закладывать наблюдательные станции.
6.3.6.2
На наблюдательных станциях с периодичностью, обусловленной проявляющимися осадками, осуществлять нивелирование деформационных реперов.
Наблюдения за осадками зданий выполнять в следующей последовательности:
- разрабатывать проект наблюдательной станции с указанием на плане масштаба 1:500 мульды сдвижений земной поверхности, равной по ширине удвоенной глубине заложения тоннеля и располагаемой по обе стороны от краев подземных выработок;
- на местности проводить рекогносцировку и отмечать места закладки опорных и деформационных реперов. На зданиях реперы закладывать на одинаковой высоте от поверхности земли через 15-20 м и обязательно на углах зданий и характерных выступах;
- выполнять нивелирование II класса по опорным реперам и III класса, по деформационным реперам, невязки в сетях нивелирования не должны превышать: для II класса ±5 мм , для III класса ±10 мм, где L
- длина хода в км. При наличии в ходе или полигоне более 16 штативов на 1 км хода невязка не должна превышать: для II класса ±1,2 мм , для III класса ±2,5 мм , где n
- число штативов в ходе;
- составлять ведомости отметок деформационных реперов. Проявление осадок устанавливается, если разность отметок одноименных реперов, полученных из разных циклов, превышает ±3 мм.
6.3.6.3
Наблюдения за деформацией подземных сооружений проводить по наблюдательным станциям.
В подземных сооружениях кругового очертания выполнять:
- прокладку ходов для получения планового положения полигонометрических пунктов. Углы измерять тремя приемами. Расхождения между приемами измерений 8";
- прокладку нивелирных ходов по полигонометрическим пунктам в прямом и обратном направлениях. Невязки в ходах и сетях нивелирования не должны превышать 2,5 мм , где n
- число штативов;
- измерение диаметров каждого пятого кольца (два наклонных и один горизонтальный). Ошибка в измерении диаметров не должна превышать ±10 мм;
- нивелирование свода каждого пятого кольца. Ошибка в определении отметки свода не должна превышать ±5 мм;
- измерение расстояния от створной линии до внутренней грани обделки на горизонтальном диаметре (домера) через 5 м с точностью ±5 мм.
6.3.6.4
В подземных сооружениях прямоугольного очертания выполнять:
- прокладку ходов для получения планового положения полигонометрических пунктов. Углы измерять тремя приемами. Расхождения между приемами измерений - 8";
- прокладку нивелирных ходов по полигонометрическим пунктам в прямом и обратном направлениях. Невязки в ходах и сетях нивелирования не должны превышать 2,5 мм , где n
- число штативов;
- нивелирование перекрытия тоннеля через 5 м;
- измерение горизонтальных размеров через 5 м на высоте 1,2 м от верха основания с точностью ±10 мм;
- определение отклонений от вертикальности стеновых блоков обделки;
- измерение расстояния от створной линии до ближайшей внутренней части обделки через 5 м на высоте 1,2 м от верха основания с точностью ±5 мм.
На основании анализа результатов динамики изменения углов, отметок свода и полигонометрических пунктов, эллиптичности колец и домеров делается вывод о деформации подземных сооружений.
6.3.6.5
Все линейные измерения при наблюдениях за деформациями подземных сооружений рекомендуется выполнять ручным лазерным дальномером.
6.3.7 Исполнительная маркшейдерская документация
Исполнительная маркшейдерская документация составляется для сдачи готовых сооружений в постоянную эксплуатацию. На исполнительных чертежах должны полностью отражаться конструкция построенных сооружений и детали сложных узлов конструктивных сопряжений. Перечень исполнительных чертежей - по таблице 6.3.7.
Таблица 6.3.7.
| Перечень чертежей
|
Масштаб: (г) - горизонтальный,
(в) - вертикальный
|
| Трасса линии:
|
| исполнительный план и профиль с геологическим разрезом
|
(г) - 1:5000, (в) - 1:500
|
| план поверхности земли и подземных сооружений
|
1:500
|
| геодезическо-маркшейдерская основа
|
-
|
| каталог путейских реперов
|
-
|
| Станции:
|
| а) платформенная часть:
|
| план
|
1:200
|
| продольные профили путевых тоннелей
|
(г) - 1:200, (в) - 1:100
|
| продольный разрез по оси среднего тоннеля
|
1:100 или 1:200
|
| план служебных помещений
|
1:100 или 1:200
|
| то же, поперечные сечения
|
1:100 или 1:50
|
| продольные разрезы служебных помещений
|
1:100 или 1:200
|
| то же, поперечные сечения
|
1:100 или 1:200
|
| б) вестибюль:
|
| поэтажные планы
|
1:100
|
| продольный разрез
|
1:100
|
| поперечный разрез
|
1:100
|
| в) эскалаторный тоннель:
|
| план
|
1:100 или 1:200
|
| продольный разрез
|
1:100 или 1:200
|
| поперечные сечения
|
1:50
|
| Перегонные тоннели:
|
| планы
|
1:200 или 1:500
|
| продольные профили
|
(г) - 1:200 или 1:500, (в) - 1:100 или 1:200
|
| поперечные сечения с таблицей сечений
|
1:50
|
| продольные разрезы служебных помещений
|
1:100 или 1:200
|
| то же, поперечные сечения
|
1:50 или 1:100
|
| планы присоединения скважин к городским коммуникациям
|
1:500
|
| то же, продольные профили
|
(г) - 1:500, (в) - 1:100
|
| Стволы шахт, околоствольные сооружения и выработки:
|
| вертикальные разрезы ствола шахты
|
1:200 или 1:100
|
| то же, поперечные сечения
|
1:50
|
| планы околоствольных сооружений и выработок
|
1:100 или 1:200
|
| то же, продольные разрезы
|
1:100 или 1:200
|
| то же, поперечные сечения
|
1:50
|
| Открытый участок линии:
|
| план станции
|
1:200
|
| план перегона
|
1:500
|
| продольный профиль перегона
|
(г) - 1:500, (в) - 1:200
|
| то же, станции
|
1:100 или 1:200
|
| поперечные сечения перегона
|
1:100 или 1:50
|
| то же, станции
|
1:100 или 1:50
|
| Электродепо и городские подземные коммуникации:
|
| план территории электродепо
|
1:500
|
| то же, продольный профиль земляного полотна
|
(г) - 1:500, (в) - 1:100
|
| то же, поперечные разрезы
|
1:100 или 1:200
|
| продольные профили городских подземных коммуникаций
|
(г) - 1:500, (в) - 1:100
|
6.4.1 Общие положения
6.4.1.1
Работы по инженерно-геологическому обеспечению проводить по техническому заданию заказчика.
К работе привлекать проектно-строительные и проектно-изыскательские организации, проводившие инженерно-геологические изыскания для проектирования строительства, или другие специализированные организации.
6.4.1.2
Инженерно-геологическое обеспечение строительства выработок с применением тоннелепроходческих комплексов с пригрузом забоя (бентонитовым, грунтовым) выполнять по программам, соответствующим конкретному виду комплекса.
6.4.1.3
При выявлении несоответствия между фактическими и отраженными в проектной документации инженерно-геологическими условиями ставить в известность об этом заказчика, строительную и проектную организации.
6.4.1.4
При необходимости уточнения инженерно-геологических условий проводить дополнительные изыскания и исследования.
Дополнительные изыскания и исследования выполнять, если при проходке выработок возникают следующие не предвиденные в проекте проблемы:
- несоответствие физико-механических свойств грунтов в забое параметрам свойств, принятым в проектной документации;
- наличие газопроявлений, а также загрязнений грунтов химическими продуктами;
- развитие горного давления и деформаций поверхности, превышающее их проектные величины, а также другие негативные процессы.
6.4.1.5
При выявлении в забое опасных инженерно-геологических условий работы останавливать, сообщать об этом руководителю горнопроходческих работ и вносить записи об этом в журнал авторского надзора.
В дальнейшем степень предполагаемой опасности и риска оценивать с участием представителей заказчика, строительной и проектной организаций и руководителя группы инженерно-геологического обеспечения.
6.4.2 Состав работ при строительстве сооружений закрытым способом
6.4.2.1
В состав инженерно-геологических работ входят:
- систематическое описание грунтов в забое, своде и стенах выработки;
- оценка прочности и устойчивости грунтов;
- проверка соответствия инженерно-геологических условий и расчетных показателей физико-механических свойств грунтов, принятых в проектной документации, фактическим данным, выявленным во время проведения строительных работ;
- оценка устойчивости грунтов в забое и ее прогноз для участков предстоящих горнопроходческих работ;
- изучение тектонических зон, трещиноватости, блочности, закарстованности и других участков ослабленных пород и учета их влияния на устойчивость грунтов в забое;
- определение категорий грунтов по разрабатываемоемости;
- определение величины водопритока в выработку.
6.4.2.2
В программе инженерно-геологического обеспечения работ отражать периодичность осмотра забоев, обеспечивающую необходимую степень детальности документации по выработкам в зависимости от изменчивости и сложности инженерно-геологических условий.
6.4.2.3
Результаты наблюдений, зарисовок и описаний в забоях заносить в стандартные бланки, на основании которых, по мере проходки, составлять продольный геологический профиль.
6.4.2.4
При составлении инженерно-геологической документации оценивать степень трещиноватости в забое по таблице 6.4.1, определять устойчивость лба забоя кровли и боковых стен выработки; фиксировать проявления горного давления, наличие вывалов и внегабаритных переборов грунта; отмечать особенности принятого способа проходки выработки, его влияние на состояние грунтов и их устойчивость, скорость проходки и проявление процессов, отрицательно влияющих на несущую способность постоянной обделки тоннеля.
Таблица 6.4.1
| Степень трещиноватости
|
Число трещин
|
Характеристика
|
| Нетрещиноватые
|
Отсутствуют
|
Видимые трещины на поверхности забоя и призабойной части стен отсутствуют. Грунты разбиты на крупные блоки объемом 10 м3
|
| Слаботрещиноватые
|
1-2
|
Среднее расстояние между трещинами различных систем - 0,7 м и более. Объем блоков грунта, отделяемых пересекающимися трещинами, - 0,5-6,0 м3
|
| Трещиноватые
|
3-5
|
Среднее расстояние между трещинами различных систем - 0,2-0,7 м и более. Объем блоков грунта, отделяемых пересекающимися трещинами, - 0,1-0,5 м3
|
| Сильнотрещиноватые
|
6-30
|
Расстояние между трещинами - 0,2-0,05 м. Объем блока грунта - 0,001-0,1 м3
|
| Раздробленные
|
Свыше 30
|
Трещины образуют на обнажении частую сетку. Грунты раздроблены до щебня и дресвы
|
| Примечания
1 Число трещин определяется на двух перпендикулярных плоскостях (например, забой и стена) на длине, превышающей среднее расстояние между трещинами в 8-10 раз. Учитываются трещины всех систем, независимо от их раскрытия и заполнения вторичными образованиями.
2 Категория грунтов по трудности разработки определяется в целом для всей массы разрабатываемых грунтов в забое. При наличии двух-трех различных групп грунтов дается и соотношение их категорий в процентах от площади забоя.
|
Устойчивость грунтов в выработке возможно ориентировочно оценивать в соответствии с классификацией согласно таблице 6.4.2. Рекомендуется составление местных классификаций по устойчивости грунтов применительно к конкретным инженерно-геологическим условиям с учетом принятых в проекте способов производства работ и площади забоя.
Таблица 6.4.2
| Степень устойчивости грунтов в забое
|
Грунты
|
Инженерно-геологические критерии
|
| Устойчивые
|
Скальные
|
Массивные, от очень прочных до малопрочных; трещиноватые и слаботрещиноватые, трещины закрыты или зацементированы вторичными материалами без следов подвижек. Тектонические нарушения отсутствуют. Крепеж отсутствует или слабый
|
| Глинистые
|
Твердые полутвердые однородные без нарушений сплошности. Водопроявление отсутствует
|
| Средней устойчивости
|
Скальные
|
Массивные или толстослоистые от очень прочных до малопрочных трещиноватые, но с благоприятным расположением трещин. Тектонические нарушения выражены слабо. Возможен слабый капеж
|
| Глинистые
|
Полутвердые и тугопластичные ненабухающие
|
| Слабой устойчивости
|
Скальные
|
Толсто-, тонко- и микрослоистые любой прочности; трещиноватые и сильнотрещиноватые с неблагоприятным расположением трещин. Трещины открытые или с глинистым заполнителем. Значительные тектонические нарушения. Кливаж. Водопроявления в виде сильного капежа и струй
|
| Глинистые
|
Туго- и мягкопластичные. Показатель текучести во времени увеличивается. Быстро размокаемые или набухающие. Возможен капеж
|
| Песчаные
|
Неводоносные
|
| Совершенно неустойчивые
|
Скальные
|
Весьма низкой прочности сильнотрещиноватые или раздробленные. Трещины открытые. Сильные тектонические нарушения. Обычно водообильные
|
| Глинистые
|
Текучепластичные и текучие. Набухающие
|
| Песчаные
|
Водоносные
|
| Примечания
1 Под устойчивостью грунтов понимают их способность сохранять в забое (в данных инженерно-геологических условиях, при данном способе горнопроходческих работ и конкретной площади забоя) состояние равновесия без каких-либо явных деформаций в течение времени, необходимого для установки крепления.
2 В случае залегания в своде выработки грунтов слабой устойчивости или совершенно неустойчивых, соответственно характеризуются и грунты в пределах забоя.
3 Степень устойчивости грунтов может определяться в зависимости от конкретных условий как одним критерием, так и их комплексом.
|
6.4.2.5
Проявление горного давления в своде, стенах или лотке выработки устанавливать на основании маркшейдерских данных, осмотра обделки и видимых деформаций обнаженных поверхностей породы. При составлении документации вывалов и обрушений выполнять их зарисовку, указывать их местоположение, линейные размеры в плане и профиле, примерный объем, время сохранения устойчивости от момента проходки, наличие или отсутствие крепи, деформация крепи и предполагаемые причины обрушения или вывала.
6.4.2.6
В процессе строительства осуществлять мониторинг для прогнозирования инженерно-геологических условий.
За основу прогноза принимать данные инженерно-геологических изысканий для проектирования с их дополнением и конкретизацией на основании текущей информации, полученной при составлении документации выработок. При прогнозе целесообразно использовать метод инженерно-геологической аналогии. В качестве объекта-аналога могут быть приняты уже сооруженные участки данной или других линий с несомненным геологическим подобием и с аналогичными конструктивными и технологическими решениями.
6.4.2.7
При гидрогеологических наблюдениях, являющихся частью инженерно-геологических работ в выработках, определять величину водопритока в забои, проводить замеры температуры воды и отбор ее проб на химический анализ.
Исходя из фактических водопритоков и данных гидрогеологического мониторинга, корректировать приведенные в проектной документации величины водопритоков на пройденных участках тоннелей и на участках предстоящей проходки.
Характеристика водопроявлений в выработках приведена в таблице 6.4.3.
Таблица 6.4.3
| Характер водопроявления
|
Визуальная характеристика
|
Приток воды в забой, м3
/ч
|
| Грунты сухие и влажные
|
Грунты в забое воздушно-сухие или влажные. Проявления воды отсутствуют
|
Нет
|
| Капеж слабый
|
По забою или со свода капает вода. Образование капель и их отрыв легко проследить глазами. Количество падающих капель незначительное, источником капежа служит пористость породы и отдельные трещины
|
0,01-0,5
|
| Капеж сильный
|
Капли падают часто. Образование капли и ее отрыв происходят быстро и с трудом просматриваются. Источником капежа служит система трещин
|
0,5-1,0
|
| Капеж прерывистыми струями
|
Из забоя, свода и стен выработки вода поступает очень частыми каплями, сливающимися в струйку. Впечатление сильного дождя. Источником поступления воды служат открытые трещины и каверны
|
1,0-5,0
|
| Приток воды сплошными струями
|
По забою и стенам выработки обильно струится вода. Из свода вода поступает сплошными струями. Впечатление ливневого дождя или душа. Напор воды при истечении не заметен. Источником поступления воды служат открытые трещины и каверны
|
До 50,0
|
| Сосредоточенный выход воды
|
Вода поступает сильными струями под напором из каверн, крупных открытых трещин или карстовых полостей
|
Более 50,0
|
При описании характера обводненности отмечать протяженность участков с водопроявлениями, места поступления воды (трещина, контакт пород), наличие напора, количество взвешенных частиц.
Величину притока воды в выработку определять два раза в месяц с использованием мерных сосудов, водосливов, водомеров или на основании замера водопритока в водоприемник водоотливной насосной установки при временном прекращении откачки.
6.4.2.8
Пробы воды для химических исследований ее состава и агрессивности отбирать:
- ежемесячно с участков выхода подземных вод для контроля за изменением их химического состава;
- при вскрытии горной выработкой нового горизонта подземных вод;
- в местах течей через бетонную обделку для выявления степени агрессивности воды по отношению к бетону.
6.4.3 Состав работ при строительстве сооружений открытым способом
6.4.3.1
В состав работ входят составление инженерно-геологической документации на котлованы и стационарные наблюдения за устойчивостью стен и откосов, режимом подземных вод, изменениями свойств грунтов в основании и стенах котлована.
Документацию котлованов вести нарастающей зарисовкой стен, откосов, берм и дна и подробно описывать:
- состояние откосов: высоту, углы откосов, вид временного крепления котлована и его состояние во время осмотра, наличие инженерно-геологических процессов (промоины, оплывины, осыпи, обрушения, суффозия);
- состояние дна котлована с оценкой несущей способности грунтов;
- выходы подземных вод.
При применении открытого водоотлива указывать количество откачиваемой воды, ее температуру, наличие в воде взвешенных частиц.
6.4.3.2
При раскрытии котлована до проектной отметки по вызову строителей выполнять освидетельствование и приемку грунтового основания под строительные конструкции. В акте приемки отражать характеристику грунтов в основании и условное расчетное давление на эти грунты.
6.4.3.3
Стационарные наблюдения (мониторинг) за состоянием котлована проводить путем периодического обследования определенных участков временного крепления стен, откосов и дна с целью выявления факторов (геологических, гидрогеологических, горно-технических и др.), снижающих устойчивость крепления, пород в откосах и дне котлована во время выполнения работ.
В процессе обследований необходимо:
- замерять углы откосов котлована в различных пунктах и в разных грунтах, отмечать скорость и причины выполаживания откосов до приобретения ими устойчивого состояния, устанавливать зависимость углов откоса от состояния грунтов, их консистенции, плотности и высоты откоса;
- замерять смещения, фиксировать вид и состояние временного крепления стен котлована, характер его деформаций (обрушение, выпирание, поломка и крен), оценивать опасность замеченных нарушений крепи и ставить об этом в известность администрацию участка строительства;
- отмечать изменение гидрогеологической обстановки в котловане: появление и исчезновение родников, высачивание воды в откосах, развитие суффозии;
- отбирать образцы грунта для лабораторных исследований, в случае расхождения фактических данных с проектными. При поступлении в котлован грунтовых вод отбирать их на химический анализ.
6.4.4 Локальный мониторинг окружающей среды и природно-технических систем
6.4.4.1
На участках со сложными инженерно-геологическими условиями проводить локальный мониторинг компонентов окружающей среды, в том числе организовывать наблюдения за развитием опасных геологических и гидрогеологических процессов, а также за другими факторами, оказывающими отрицательное влияние на устойчивость строящихся сооружений и вблизи расположенных зданий. Работы проводить в соответствии с «Методическим руководством..» [43].
6.4.4.2
Для осуществления геодезического мониторинга предусматривать устройство сети поверхностных реперов, для геодинамического мониторинга - глубинных реперов, для гидрогеологического - гидронаблюдательных скважин.
6.4.4.3
Результаты мониторинга должны использоваться для своевременного определения развития негативных инженерно-геологических процессов под влиянием строительства и определения мероприятий для их предотвращения.
6.4.5 Камеральная обработка результатов инженерно-геологических работ
6.4.5.1
В процессе первичной камеральной обработки материалов наблюдений выполнять ежедневный перенос черновых записей, сделанных в горных выработках, в журналы и бланки инженерно-геологической документации или в электронный формат, являющиеся основными документами для последующей окончательной обработки результатов наблюдений.
При окончательной обработке материалов все наблюдения и анализы обобщать и включать в отчет, содержащий:
- исполнительные инженерно-геологические разрезы;
- сводные ведомости анализов и испытаний грунтов и подземных вод;
- пояснительную записку.
6.4.5.2
Исполнительные инженерно-геологические разрезы составлять для тоннелей первого пути или, при различии их геологического строения, для тоннелей первого и второго путей на всю длину участка, сдаваемого в эксплуатацию, с использованием данных изысканий и наблюдений в период строительства.
Разрезы по тоннелям составлять от поверхности земли до глубины, превышающей на 10-15 м глубину лотка тоннелей. Масштаб разрезов горизонтальный - 1:2000, вертикальный - 1:200 (1:100).
На разрезах отражать все сведения, собранные во время изысканий и строительства: характеристика грунтов, их устойчивость, тип обделки, водопроявления, негативные инженерно-геологические процессы и другие.
Разрезы стволов шахт и эскалаторных тоннелей составлять в вертикальном масштабе 1:200 - 1:50 с указанием водопритоков, типов обделки, нумерации колец, границ распространения замороженных грунтов и физико-механических свойств грунтов.
6.4.5.3
Сводные ведомости должны содержать характеристику свойств грунтов, отобранных как из выработок при строительстве, так и из разведочных выработок, пройденных по трассе в процессе изысканий.
На основании сводных ведомостей проводить статистическую обработку показателей свойств всех видов грунтов.
Для каждого водоносного горизонта составлять сводные ведомости химического состава подземных вод с обобщением данных по агрессивности воды к бетону.
6.4.5.4
Отчет, включая исполнительные инженерно-геологические разрезы, передается строительной организации и заказчику для предъявления их при сдаче строительного объекта приемочной комиссии.
6.5.1 Общие положения
6.5.1.1
Обоснование принятого метода работ, организация строительства временных и постоянных сооружений, тип применяемых машин и оборудования отражаются в ПОС.
6.5.1.2
Организационно-технологическая подготовка строительства должна выполняться в соответствии с СНиП 12-01.
6.5.1.3
Подкрановые пути должны сооружаться в соответствии с СП 12-103 [33] и ПБ 10-382 [47].
6.5.2 Земляные работы, крепление котлованов и траншей, подготовка оснований сооружений
6.5.2.1
Котлованы могут быть без крепления с расположением боковых стен под углом естественного откоса или с вертикальными стенами.
6.5.2.2
При невозможности устройства котлована с откосами крепление вертикальных стен котлована выполнять с устройством ограждающих стен из свай: металлических профильных или трубчатых, погружаемых непосредственно в грунт или в предварительно пробуренные скважины; буроинъекционных; железобетонных буронабивных, прерывистого, касательного или секущего расположения; из шпунта; сплошных железобетонных, выполненных по технологии траншейных стен в грунте, а также с использованием укрепленного прилегающего грунтового массива (нагельное крепление, цементация, термоукрепление, замораживание).
При глубине до 5 м дополнительного крепления стен котлована в виде расстрелов или анкеров, как правило, не требуется. При больших глубинах котлованов параметры дополнительного крепления (число и расположение ярусов крепления, шаг крепления в ярусе, диаметр расстрелов из труб, длина анкеров и др.) должны определяться расчетом.
6.5.2.3
Все расчеты по работам п. 6.5.2.2 должны выполняться по сертифицированным методикам и геотехническим программам.
6.5.2.4
Разработку в нижней части котлована песков или связных грунтов, изменяющих свои свойства под влиянием воды (после водопонижения) и атмосферных воздействий, выполнять с недобором грунта до проектных отметок, оставляя защитный слой высотой не менее 0,3 м, с устройством временного водоотвода.
Удаление защитного слоя выполнять непосредственно перед устройством щебеночной подготовки захватками, размеры которых должны исключить затопление или промерзание подготовленного основания до укладки и уплотнения щебеночной подготовки.
6.5.2.5
В котлованах с основанием из обводненных мелких и пылеватых песков или переувлажненных связных грунтов срезку защитного слоя проводить с перебором относительно проектных отметок на 0,2-0,4 м в зависимости от показателя консистенции грунта.
Восполнение перебора выполнять щебнем гранитных пород фракций 40-70 мм или 20-40 мм. Щебень уплотнять виброкатком: первые 4-6 проходов по одному следу с выключенным вибратором, затем один-два прохода с вибрацией. При необходимости досыпать и планировать слой щебня до проектных отметок и доуплотнять его виброкатком с выключенным вибратором.
6.5.2.6
Величину перебора переувлажненного грунта основания и высоту вдавливаемого щебня устанавливать опытным уплотнением щебня в присутствии представителя проектной организации и согласовывать с заказчиком.
6.5.2.7
В местах, где основание выемки сложено скальными или крупнообломочными грунтами, не подверженными атмосферным воздействиям, разработку котлована выполнять сразу до проектных отметок, не допуская переборов и нарушения природного сложения грунта основания. Места переборов заполнять местным щебенистым грунтом с тщательным его уплотнением.
6.5.2.8
Перерыв между окончанием разработки котлована с подготовкой основания и устройством бетонной подготовки, как правило, не допускается. При вынужденных перерывах должны приниматься меры, препятствующие ухудшению качества грунта дна котлована.
6.5.2.9
Временные отвалы грунта, пригодного для обратной засыпки, размещать в местах, указанных в ПОС.
6.5.2.10
Пригодность использования снимаемого при земляных работах плодородного слоя почвы определять согласно 5.18.
6.5.2.11
При вскрытии действующих подземных коммуникаций разработка грунта механизированным способом разрешается на расстоянии не менее 2 м от боковой стены и не менее 1 м над верхом трубы, кабеля и др. Оставшийся грунт дорабатывать вручную без применения ударных инструментов с принятием мер, исключающих повреждение этих коммуникаций.
6.5.2.12
При разработке грунта вблизи ограждающих конструкций котлована оставлять целик, толщиной не менее 0,5 м, разработка которого выполняется вручную. Разработку остального грунта производить в соответствии с СНиП 3.02.01.
6.5.3 Возведение несущих конструкций из сборного железобетона
6.5.3.1
При монтаже конструкций обеспечивать требуемую точность монтажа, пространственную неизменяемость конструкций в процессе их сборки и устойчивость сооружения в целом, а также сохранность выполненной части гидроизоляции.
6.5.3.2
Лотковые, стеновые и фундаментные блоки конструкции устанавливать на защитный слой гидроизоляции с подливкой пластичного цементно-песчаного раствора.
6.5.3.3
При монтаже элементов сборных железобетонных конструкций отклонения от проектного положения не должны превышать допусков согласно Приложению 6.А.
6.5.4 Возведение несущих конструкций из монолитного железобетона
6.5.4.1
При возведении конструкций из монолитного железобетона предусматривать комплексную механизацию производственных процессов, применение инвентарной переставной или другой многооборачиваемой опалубки, укрупненных арматурных каркасов и сеток заводского изготовления, использование товарных бетонных смесей, приготовленных на автоматизированных бетоносмесительных установках, бетононасосов или бетоноукладчиков.
Бетонные работы вести в соответствии с СНиП 52-01 и СНиП 3.03.01.
6.5.4.2
Заготовку, монтаж и приемку арматуры выполнять согласно СНиП 3.03.01.
6.5.4.3
Установку опалубки основных элементов конструкции выполнять с точностью ±10 мм. Правильность установки опалубки стен, колонн и перекрытий и соблюдение строительного подъема согласно проектной документации должны проверяться инструментально через каждые 5 м по пикетажу или на каждой постановке передвижной опалубки.
6.5.4.4
В зимнее время при понижении температуры ниже расчетной выдерживаемый бетон дополнительно утеплять или обогревать до приобретения прочности, при которой может быть допущено его замораживание.
Искусственный обогрев монолитных бетонных и железобетонных конструкций предусматривать согласно СНиП 3.02.01.
6.5.4.5
При укладке бетона из каждых 50 м3
уложенной бетонной смеси у места укладки изготавливать 3 контрольных образца. Образцы должны храниться в тепловлажностных условиях, аналогичных условиям твердения бетона.
Контрольные образцы отбирать согласно СНиП 3.03.01.
Проверку прочности, морозостойкости и водонепроницаемости бетона выполнять по ГОСТ 10060.0, ГОСТ 10060.4, ГОСТ 10180.
6.5.4.6
Процесс выполнения бетонных и железобетонных работ отражать в журнале работ.
6.5.5 Обратная засыпка котлованов
6.5.5.1
Грунты, используемые для засыпки котлованов, должны быть экологически чистыми, не содержать плодородный слой, древесину и другие органические включения, водорастворимые соли. Размеры твердых включений для пазух не должны превышать 15 см. Не допускается использование глинистых грунтов текучей и текучепластичной консистенции.
6.5.5.2
Грунты засыпок котлованов уплотнять до проектной плотности в соответствии с СНиП 3.02.01.
6.5.5.3
Перед засыпкой все связи между свайным креплением котлована и защитным покрытием гидроизоляции должны быть сняты. Расстрелы или съемные части анкеров и продольные пояса снимать в процессе засыпки.
Засыпка пазух при наличии в них воды, льда, снега, строительного мусора и посторонних предметов не допускается.
6.5.5.4
Обратную засыпку котлованов выполнять с двух сторон конструкции равномерно горизонтальными слоями с послойным уплотнением грунта до проектной плотности. Толщину отсыпаемых слоев назначать исходя из вида грунта и уплотняющей способности средств уплотнения.
6.5.5.5
Пазухи между креплением котлована с вертикальными стенами и конструкцией сооружения заполнять песками крупно- и среднезернистыми или другими малосжимаемыми грунтами, при необходимости – низкомарочным бетоном.
6.5.5.6
К засыпке конструкций выше перекрытия приступать после приемки работ по уплотнению грунта в пазухах котлована.
Толщина слоя грунта над перекрытием конструкций для прохода по нему грунтоуплотняющих машин должна быть не менее 0,5 м.
6.6.1 Общие положения
6.6.1.1
В процессе проходки выработок вести систематические визуальные наблюдения за соответствием фактических инженерно-геологических условий проектным в части устойчивости забоя, изменения мощности или состава напластований грунтов, их трещиноватости, количественного изменения притока грунтовых вод.
Результаты наблюдений заносить в журнал - Приложение 7.2А [17]. Об отклонениях фактических условий проходки от проектных данных ставить в известность проектную организацию и заказчика.
6.6.1.2
При подходе забоя выработки к зонам разломов, подречных участков, погребенных размывов и в процессе проходки этих участков выполнять предусмотренные ПОС мероприятия, обеспечивающие безопасность работ.
6.6.2 Сооружение стволов шахт
6.6.2.1
Глубина заходки при проходке стволов в нескальных грунтах с подводкой колец обделки снизу не должна превышать ширину кольца более чем на 10-15 см. Грунты слабой устойчивости (таблица 6.4.2) разрабатывать в две заходки по 50-60 см, начиная от центра забоя и заканчивая у внутренней поверхности тюбингового крепления, с окончательной доборкой грунта по мере установки тюбингов. Временное крепление выполнять в виде затяжки из досок.
6.6.2.2
При проходке стволов с предварительным замораживанием грунтов на каждой заходке сначала разрабатывать грунт в пределах незамороженного ядра, а затем разрабатывать замороженный грунт.
При разработке грунта внутри ледогрунтового ограждения вода, остающаяся в незамороженном состоянии, должна удаляться. При поступлении в забой значительного количества воды вследствие наличия изъяна в ледогрунтовом ограждении работы приостановить, ствол залить водой до уровня грунтовых вод и провести дополнительное замораживание грунтов.
6.6.2.3
При сооружении стволов в обводненных или искусственно замороженных грунтах гидроизоляционные работы выполнять в процессе проходческих работ. Полные болтовые комплекты с гидроизоляционными шайбами устанавливать при монтаже обделки, а контрольное нагнетание проводить в непосредственной близости от забоя с подвесного полка. Контрольное нагнетание, подтяжку болтов, замену при необходимости болтовых комплектов, а также чеканку швов тюбинговой обделки вести с временных рабочих полков.
При проходке стволов с применением БВР чеканочные работы проводить на расстоянии 20-30 м от забоя.
Стволы рабочих шахт при отсутствии притока воды допускается сооружать без гидроизоляции.
6.6.2.4
Установку расстрелов армировки ствола, вентиляционного трубопровода и устройство лестниц выполнять в процессе проходческих работ. Вентиляционные трубопроводы до подвесного полка должны быть жесткими, от подвесного полка до забоя - гибкими.
6.6.2.5
Работы по сооружению стволов способом опускной крепи или специальными способами выполнять в соответствии с СНиП 3.02.01 и 6.7.
6.6.2.6
Разработку грунта при проходке ствола способом опускной крепи выполнять стреловым краном, оборудованным грейфером. Совмещение разработки грунта механизированным ручным инструментом с одновременной выдачей его из ствола грейфером не допускается.
6.6.2.7
Погружение крепи производить одновременно с разработкой забоя по мере выемки грунта. Во избежание обрушения грунта за крепью обеспечивать своевременную подачу глинистого раствора в пространство, образуемое уступом ножевой части, чтобы уровень раствора постоянно находился выше подошвы опорного воротника на 2 м.
Для исключения прорыва глинистого раствора в ствол в зоне неустойчивых грунтов ножевая часть крепи должна быть постоянно вдавлена в грунт не менее чем на 0,5 м, а грунт разрабатывать слоями по 0,3-0,5 м, не допуская опережения средней частью забоя нижней кромки ножа. В глинистых грунтах не допускается опережение средней частью забоя кромки ножа более чем на 0,5 м.
6.6.2.8
При пересечении зоны совершенно неустойчивых грунтов погружение крепи осуществлять под слоем воды в стволе, превышающем уровень водоносного горизонта не менее чем на 1 м. Выемку грунта при этом проводить из средней части забоя с оставлением по контуру выработки бермы, срезаемой ножевой частью при погружении крепи. Откачка воды допускается только после заглубления ножевой части в водоупор на глубину не менее 1,5 м ниже толщи водоносных грунтов.
На период проходки ствола предусматривать средства быстрой подачи воды в ствол для обеспечения, при необходимости, его аварийного затопления.
6.6.2.9
Проверку вертикальности и положения в плане опускной крепи проводить после каждой посадки крепи и не реже, чем через 1 м по мере ее опускания. Замеченные смещения и перекосы должны выправляться немедленно.
6.6.2.10
Тампонаж пространства за крепью, заполненного тиксотропным раствором, осуществлять после проходки ствола путем замены глинистого раствора цементно-песчаным. В отдельных случаях, при обосновании, глинистый раствор может быть оставлен за крепью.
6.6.2.11
Армировку ствола выполнять после завершения ремонта гидроизоляции.
Для монтажа армировки устанавливать контрольный ярус. Монтаж армировки выполнять, как правило, в направлении сверху вниз. При армировке в направлении снизу вверх на горизонте околоствольного двора дополнительно устанавливать контрольный ярус.
Контроль геометрических параметров армировки осуществляют по результатам маркшейдерской съемки.
6.6.2.12
При монтаже армировки ствола соблюдать следующие допуски:
а) отклонение расстояний между ярусами расстрелов - ±15 мм;
б) разность в отметках концов расстрела в местах крепления его к тюбингам - не больше 1:200 его длины;
в) отклонение расстрелов на двух смежных ярусах от их вертикальной плоскости - ±5 мм;
г) отклонение каждой нитки двухсторонних проводников от вертикали - ±5 мм;
д) смещение стыков проводников от середины ребра расстрелов - 50 мм;
е) отклонение системы армировки от проектного вертикального положения - не более 1:2000 глубины ствола.
На стыках проводники должны точно совмещаться торцами без выступов.
6.6.3 Сооружение перегонных тоннелей
6.6.3.1
Монтаж щита в монтажной камере выполнять по закрепленной продольной оси тоннеля и нормали к ней. Центры поперечных сечений ножеопорного кольца и хвостовой оболочки щита должны находиться на геометрической оси щита с отклонениями не более ±10 мм. Их эллиптичность допускается не более ±5 мм.
6.6.3.2
Отклонение щита от проектного положения в плане и профиле должно быть в пределах, обеспечивающих возведение обделки с допусками согласно Приложению 6А.
6.6.3.3
Проходку тоннелей с применением щитовых комплексов вести с заходкой на ширину одного кольца. Нагнетание тампонажного раствора за обделку выполнять за каждое собранное кольцо или через трубки в оболочке щита при его передвижке. Состав тампонажного раствора определяется в зависимости от условий проходки.
6.6.3.4
Проходку тоннелей механизированными щитами с уравновешиванием давления в призабойной зоне, обеспечивающими устойчивость окружающего грунтового массива, осуществлять с использованием активного гидравлического или грунтового пригруза забоя. Для корректировки величины давления пригруза вдоль трассы проходки организуется сеть гидронаблюдательных скважин с целью исключения случаев обрушения забоя.
6.6.3.5
Состав бентонитового раствора, зависящий от инженерно-геологических условий участка строительства и характеристик бентонитового порошка, определять для каждого конкретного случая технологическим регламентом.
6.6.3.6
Для проходки тоннелей в песках выше уровня грунтовых вод возможно использование частично механизированных проходческих комплексов с рассекающими площадками в щитах. Такие проходческие комплексы применять со сборными обделками или с обделками из монолитно-прессованного бетона.
6.6.3.7
При горном способе работ подземные выработки закреплять временной крепью в соответствии с паспортом с плотной забутовкой пустот между элементами крепления и грунтом.
Элементы временной деревянной крепи должны удаляться по мере монтажа обделки или укладки бетонной смеси за опалубку. Оставлять их за обделкой допускается в случае защемления или при возможности вывалов грунта.
6.6.3.8
Проходку перегонных тоннелей со сборной обделкой в устойчивых грунтах и грунтах средней устойчивости осуществлять тоннелепроходческими, щитовыми комплексами, буровзрывным способом с машинным обуриванием забоя или частично механизированными комплексами с разработкой грунта ручным механизированным инструментом и буровзрывным способом.
Разработку грунта буровзрывным способом осуществлять согласно СНиП 3.02.01, СНиП 3.02.03 и ПБ 13-407, как правило, методом контурного (гладкого) взрывания. На каждый забой составлять паспорт буровзрывных работ.
6.6.3.9
При сооружении тоннелей щитовыми комплексами рекомендуется применять высокоточные сборные железобетонные обделки кругового очертания, состоящие из колец одного типоразмера, пригодные как для прямолинейных участков трассы, так и для кривых в плане и профиле.
6.6.3.10
Первичное и контрольное нагнетание вести в соответствии с ВСН 132 [6].
6.6.3.11
Контрольное нагнетание за обделку из чугунных тюбингов выполнять до чеканки швов при давлении до 1 МПа, а за обделку из железобетонных блоков - при давлении не более 0,6 МПа после частичной заделки швов чеканочным материалом.
6.6.3.12
При сооружении тоннеля с использованием метода НАТМ предусматривать:
- механизированную разработку грунта с использованием горнопроходческих комбайнов или буровзрывным способом;
- набрызг-бетон для временного (постоянного) крепления выработки с контролем его напряженно-деформированного состояния;
- устройство постоянной бетонной или железобетонной обделки.
Перед устройством постоянной обделки по временному набрызг-бетонному креплению, при необходимости, укладывают гидроизоляцию из пленочных (мембранных) материалов.
Набрызг-бетон временного (постоянного) крепления выработки может быть армирован металлической сеткой, фибрами или применяться в сочетании с анкерами или арками. Установке арок и армосетки должно предшествовать нанесение выравнивающего слоя набрызг-бетона толщиной не менее 2-3 см.
Расчет несущего слоя набрызг-бетона и использования его в сочетании с анкерами может или арками может быть выполнен по ВСН 126 [44].
6.6.3.13
При применении набрызг-бетона в сочетании с арками доработку грунта под их пяты осуществлять ручным механизированным инструментом по маркшейдерским отметкам.
Допускаемое отклонение установленной арки от проектного положения - не более 25 мм.
6.6.3.14
При использовании НАТМ контролировать деформации стен и кровли выработки с проведением измерений действующих на временную крепь нагрузок и вызываемых ими деформаций.
6.6.3.15
По результатам измерений местных и общих деформаций временной крепи и постоянной обделки оценивать их напряженное состояние и достаточность несущей способности. При необходимости проводить дополнительные расчеты, уточнять расчетную схему, режимы работы временной крепи, корректировать параметры ее материалов и конструкцию крепи.
6.6.4 Сооружение станций
6.6.4.1
Строительство трехсводчатых станций осуществлять путем последовательной проходки станционных тоннелей - вначале боковых тоннелей, затем среднего. Проходку второго по времени бокового тоннеля вести с отставанием не менее 30 м относительно первого, среднего - не менее 50 м относительно второго бокового тоннеля.
Для обеспечения совпадения колец всех тоннелей по пикетажу их проходку вести в одном направлении.
6.6.4.2
Проходка тоннелей на полное сечение горным способом допускается в устойчивых грунтах или грунтах средней устойчивости.
При наличии давления со стороны лба забоя тоннели сооружать с предварительной проходкой пилот-тоннелей, передовых штолен или методом уступа, если это допустимо исходя из принятого конструктивного решения станции, или при помощи щитов.
6.6.4.3
Проходку тоннелей вести заходками на ширину одного кольца тоннельной обделки. Проходка с заходками на два кольца допускается при наличии предварительно пройденных пилот-тоннелей. При ширине колец пилот-тоннеля, равной 1 м, а станционных тоннелей - 0,75 м, для монтажа одного кольца станционного тоннеля выполнять две заходки, двух колец - три заходки.
6.6.4.4
При строительстве колонных станций проходку боковых тоннелей вести с учетом возможного последующего смещения их осей в сторону оси станции при проходке среднего тоннеля.
Проходку средних тоннелей пилонного и колонного типов осуществлять с принятием мер против деформации боковых тоннелей путем установки распорок, стяжек и др.
6.6.4.5
При укладке колец сборных обделок тоннелей отклонения фактических размеров от проектных не должны превышать установленных допусков согласно Приложения 6А.
6.6.4.6
Односводчатые станции со сборными и монолитными обделками в устойчивых грунтах и грунтах средней устойчивости сооружать горным способом, начиная с устройства опорных частей свода. Верхний свод станции возводить в калоттной выработке, нижний свод сооружать после разработки грунта ядра сооружения.
Опорные части сводов сооружать в предварительно пройденных тоннелях или в штольнях.
Сечение штолен должно быть достаточным для укладки в них откаточных путей после устройства станционных опор.
6.6.4.7
Сооружение обделки односводчатых станций со сборными сводами, обжатыми в породу, в грунтах слабой устойчивости допускается с применением опережающего защитного экрана. Разработку породы под его защитой выполнять экскаватором, проходческим комбайном или с применением взрывного способа.
6.6.5 Сооружение эскалаторных тоннелей
6.6.5.1
Сооружение эскалаторного тоннеля увязывать с проектом строительства станции в целом.
6.6.5.2
Устье эскалаторного тоннеля для монтажа тюбингоукладчика сооружать в открытом котловане с креплением его стен. Котлован разрабатывать с уклоном в сторону тоннеля до глубины, позволяющей смонтировать два первых кольца обделки, а при наличии грунтовых вод - до глубины, превышающей их уровень не менее чем на 0,5 м. На спланированном под углом 30° откосе дна котлована устраивать бетонный лоток, являющийся основанием для первых колец обделки и последующих полуколец временного оголовника.
6.6.5.3
Первые два кольца обделки закреплять бетоном, укладываемым между кольцами и стенами котлована. Отклонения фактических размеров от проектных должны отвечать установленным допускам.
Полукольца, необходимые для монтажа блокоукладчика, собирать на бетонном основании котлована, первые полные кольца, являющиеся временными, монтировать тюбингоукладчиком.
6.6.5.4
К работам по проходке в зоне замороженных грунтов разрешается приступать только после образования замкнутого ледогрунтового ограждения проектной толщины и прочности. Разрешение должно оформляться актом.
6.6.5.5
Проходку эскалаторных тоннелей вести на полный профиль. При наличии нижерасположенных горизонтальных выработок, примыкающих к эскалаторному тоннелю, допускается проходка с передовой штольней или скважиной.
6.6.5.6
При монтаже обделки вне зоны замороженных грунтов устанавливать полные болтовые комплекты, в зоне замороженных грунтов - временные болты с плоскими стальными шайбами с заменой их на полные болтовые комплекты при выполнении гидроизоляционных работ.
6.6.5.7
Растворы для нагнетания в зоне замороженных грунтов применять с добавками, предотвращающими его замерзание и ускоряющими схватывание.
Контрольное нагнетание за обделку и установка пробок с гидроизоляционными шайбами в отверстия для нагнетания в зоне замороженных грунтов должны заканчиваться до их оттаивания.
6.7.1 Водопонижение
6.7.1.1
Водопонижение применять для снижения уровня или уменьшения притока грунтовых вод, а также для снятия напора воды в нижележащем водоносном горизонте, в соответствии с ВСН-127 [45].
Не допускается применение водопонижения при распространении расчетного радиуса депрессионной воронки на расстояние менее 10 м от сооружений I и II уровней ответственности.
Выбор средств водопонижения определять с учетом:
- технологии сооружения и типа выработки;
- гидрогеологических условий;
- необходимой величины понижения уровня или уменьшения притока грунтовых вод;
- градостроительной ситуации, наличия в зоне влияния водопонижения подземных коммуникаций;
- продолжительности водопонижения.
6.7.1.2
В процессе водопонижения, а также при восстановлении естественных параметров грунтовых вод вести постоянное наблюдение за состоянием зданий, сооружений и коммуникаций с использованием наблюдательных станций.
6.7.1.3
В качестве средств водопонижения использовать:
- водопонизительные скважины;
- легкие иглофильтровые установки;
- эжекторные установки;
- скважины-дрены;
- дренажные выработки и скважины;
- открытый водоотлив из выработок;
- комбинированные средства.
При вскрытии горной выработкой двух и более водоносных горизонтов применять комбинированные системы водопонижения. При этом основное водопонижение осуществлять скважинами с погружными насосами, а остаточную воду отбирать легкими иглофильтровыми установками или открытым водоотливом.
6.7.1.4
Водопонизительные скважины, оборудованные насосами, применять в водоносном слое с коэффициентом фильтрации не менее 0,5 м/сут при достаточном слое дренирующего грунта между лотком сооружения и подстилающим водоупорным слоем.
Для повышения эффективности водопонижения скважины оснащать устройствами вакуумирования.
При водоупорном слое под лотком выработки малой мощности и залегании под ним напорного водоносного горизонта водопонизительные скважины применять для снятия напора.
6.7.1.5
Легкие иглофильтровые установки применять в грунтах с коэффициентом фильтрации от 0,2 до 50,0 м/сут при необходимости водопонижения на глубине не более 5 м от поверхности земли или от лотка сооружения. При разработке котлованов с откосами возможно проводить ступенчатое понижение уровня грунтовых вод. Иглофильтры на каждом ярусе подключать к отдельной установке.
6.7.1.6
Эжекторные установки применять, в основном, для водопонижения методом вакуумирования в грунтах с коэффициентами фильтрации от 0,2 до 5,0 м/сут.
6.7.1.7
Скважины-дрены применять для дренажа воды из вышележащего в нижележащий водоносный горизонт, обладающий большей водопроницаемостью.
6.7.1.8
Дренажные выработки и скважины использовать, как правило, в скальных и полускальных водоносных грунтах. Скважины устраивать, в основном, из горных выработок для осушения водоносных пластов с небольшими водопритоками.
6.7.1.9
Система водопонижения должна обеспечиваться резервным оборудованием.
6.7.1.10
На оборудование скважин фильтром и их прокачку составлять акты, согласно Приложениям 6.7.А1 и 6.7.А2 СП 32-105 [17].
До начала работ по водопонижению бурить наблюдательные скважины. При осушении нескольких горизонтов наблюдательные скважины устанавливать на каждый горизонт.
6.7.1.11
Работы по водопонижению проводить в три этапа.
1-й этап - сдача системы в эксплуатацию.
При сдаче системы в эксплуатацию предъявлять:
- фактический геологический разрез по каждой скважине с указанием типа бурового станка, конструкции скважины, типа и интервалов установки фильтра и насоса;
- план расположения водопонизительных средств, продольный фактический разрез с указанием установленных скважин, иглофильтров, наблюдательных скважин и фактического статического уровня воды в горизонтах.
Приемку установок в эксплуатацию осуществлять комиссией и оформлять актом согласно Приложению 6.7.А3 СП 32-105 [19].
2-й этап - эксплуатация системы.
При достижении проектных требований составлять акт о готовности участка для ведения основных работ согласно Приложению 6.7.А4 СП 32-105 [17].
3-й этап - окончание эксплуатации системы.
Решение о прекращении работ по водопонижению принимается комиссионно и оформляется актом согласно Приложению 6.7.А5 СП32-105 [17] с указанием о дальнейшем использовании скважин или их ликвидации в соответствии с РД 07-225 [37] и проектом.
6.7.2 Искусственное замораживание грунтов
6.7.2.1
Замораживание грунтов осуществлять с применением холодоносителя, циркулирующего в замкнутой системе - холодильная станция - замораживающие колонки, либо при непосредственном испарении хладагента - жидкого азота или твердой углекислоты в замораживающих колонках.
6.7.2.2
До начала работ обследовать здания, сооружения и подземные коммуникации, расположенные в зоне влияния замораживаемых грунтов. Для наблюдения за возможными их деформациями предусматривать установку наблюдательных станций.
6.7.2.3
Пуск в эксплуатацию замораживающей системы оформлять актом согласно Приложению 6.7.Б1 СП 32-105 [17]. К работам в зоне замороженных грунтов приступать только после образования ледогрунтового ограждения проектной толщины и температуры. Эксплуатацию замораживающей станции и рассольной сети разрешается после испытаний и приемки ее комиссией с участием представителя территориального органа Госгортехнадзора России. Разрешение на производство проходческих работ в зоне замороженных грунтов оформлять актом согласно Приложению 6.7.Б2 СП 32-105 [17].
6.7.2.4
Сооружение участков стволов шахт и эскалаторных тоннелей в неустойчивых обводненных грунтах осуществлять под защитой кольцевого ледогрунтового ограждения. При этом замораживающие колонки должны быть заглублены в водоупор.
При отсутствии водоупора или при недостаточной его мощности применять сплошное или зональное замораживание массива грунтов.
6.7.2.5
При проходке стволов шахт под защитой ледогрунтового ограждения на каждой заходке сначала разрабатывать грунт в пределах незамороженного ядра на величину, установленную ППР, затем разрабатывать замороженный грунт.
В случае поступления в забой значительного количества воды, указывающего на нарушение сплошности ледогрунтового ограждения, работы приостановить, ствол залить до статического уровня грунтовых вод и провести дополнительное замораживание грунтов.
6.7.2.6
Расстояние между замораживающими скважинами рекомендуется принимать, м, не более:
- при контурном замораживании:
а) стволов шахт - 1,2;
б) эскалаторных и перегонных тоннелей - 1,1;
- при замораживании открытых котлованов с расположением скважин в два ряда:
а) внутренний ряд - 1,25;
б) внешний ряд - 1,5;
в) между рядами - 3,0;
- при замораживании сплошного массива:
а) по контуру - 1,5;
б) внутри контура - 3,0.
6.7.2.7
В процессе работ по бурению замораживающих скважин определять фактическую температуру и скорость движения грунтовых вод и их засоленность.
В процессе бурения на каждой десятой скважине по контуру ледогрунтового ограждения определять фактическую глубину водоупора. При несовпадении фактических и проектных данных проектную документацию корректировать.
При отклонении скважин от проектного положения бурить дополнительные скважины и включать их в процесс замораживания.
Число дополнительных вертикальных скважин при глубине замораживания до 100 м допускается не более 10%, наклонных - 20%. При глубине замораживания более 100 м - соответственно 20 и 25%.
Глубина скважины при бурении должна превышать длину замораживающей колонки не менее чем на 1 м.
До начала расчетного срока активного замораживания грунтов предусматривать не менее 5 суток для вывода замораживающей станции на проектный режим.
6.7.2.8
Контроль за производством и приемкой работ по искусственному замораживанию грунтов проводить согласно таблице 6.7.1.
Таблица 6.7.1
| Технические требования
|
Предельные отклонения
|
Контроль (метод и объем)
|
| Линейные отклонения от заданного направления скважин:
|
Измерительный, через каждые 10 м
|
| вертикальных;
|
Не более 1% глубины
|
| наклонных
|
Не более 2% длины
|
| Отклонения от расположения скважин в плане
|
5 см
|
Измерительный, каждая скважина
|
| Герметичность холодильной системы:
|
| давление при гидравлическом испытании стыка каждой наращиваемой трубы и башмака замораживающей колонки;
|
Не менее 2,5 МПа
|
То же, с регистрацией в журнале
|
| уровень залитой в колонку жидкости
|
Изменение уровня жидкости не более чем на 3 мм за трое суток
|
То же
|
| Температура выходящего из колонки холодоносителя при установившемся режиме работы
|
Температура не должна отличаться более чем на 2 °С от температуры холодоносителя в распределителе на каждые 100 м глубины замораживания
|
"
Непрерывный*
|
| Достижение проектных размеров и сплошности ледогрунтового ограждения
|
Наличие отрицательной температуры во всех термометрических колонках, расположенных в пределах льдогрунтового ограждения
|
Непрерывный
Каждая колонка
|
| Подъем уровня воды в наблюдательных скважинах в замкнутом контуре
|
Фиксация уровня воды
|
| Стабильность температуры холодоносителя
|
Периодический
|
| Показание межскважинного акустического просвечивания
|
"
|
6.7.2.9
Для котлованов, где замороженный грунт используют как временные ограждающие конструкции, поддержание грунтов в замороженном состоянии осуществлять в активном режиме в течение всего периода строительных работ.
6.7.2.10
В случае попадания замораживающих колонок в сечение выработки их необходимо отключать от системы, удалять из них холодоноситель и заглушать. Оставшиеся части колонок вновь подключать к системе замораживания.
6.7.2.11
Решения о готовности участка для ведения основных работ и о прекращении работ по искусственному замораживанию грунтов оформлять актами согласно Приложениям 6.7.Б2 и 6.7.Б3 СП 32-105 [17].
6.7.2.12
При обосновании допускается совмещение работ по искусственному оттаиванию замороженных грунтов с другими строительно-монтажными работами.
6.7.3 Инъекционное закрепление грунтов
6.7.3.1
Инъекционное закрепление грунтов при строительстве подземных сооружений применять для преодоления участков несвязных водонасыщенных и нарушенных скальных грунтов, устройства ограждений котлованов, защитных экранов (завес), укрепления оснований и фундаментов зданий и других сооружений, находящихся в зоне влияния строительства, а также для ликвидации аварийных ситуаций, возникающих в процессе строительства.
6.7.3.2
Способы закрепления грунтов по типу используемых инъекционных материалов подразделяются на цементацию, силикатизацию и смолизацию, по методу введения раствора в грунт – на обычную инъекцию и струйную цементацию.
6.7.3.3
Способ закрепления грунтов выбирать на основании инженерно-геологических и гидрогеологических изысканий, требований экологии и технико-экономического сравнения вариантов закрепления.
В зависимости от инженерно-геологических условий, цели и принятого метода инъекции для обработки грунтов применять инъекционные растворы на основе минеральных вяжущих или полимерных материалов, обладающих широким диапазоном реологических и физико-механических характеристик и обеспечивающих повышение прочности, противофильтрационной плотности грунтов или водоподавление.
Границы применения различных способов приведены в таблице 6.7.2.
Таблица 6.7.2
| Способ закрепления грунтов
|
Характеристики закрепляемого грунта
|
Рекомендуемый тип и вид инъекционного раствора
|
| Тип (вид) грунтов
|
Коэффициент фильтрации, м/сут
|
| Цементация
|
Скальные, трещиноватые выветренные и закарстованные, крупнообломочные, крупно- и среднезернистые пески
|
20-100
|
Цементные
|
Различные виды цемента, с инертными и химическими добавками разного назначения, аэрированные растворы, растворы на вибродомолотых цементах
|
| Цементно- глинистые
|
Цемент, глина, добавки разного назначения
|
| Скальные малотрещинова-тые, нескальные грунты, включая мелкозернистые и пылеватые пески, супеси
|
От 0,3-5
|
ОТДВ Микродур
|
Различные марки Микродура с пластификатором и ускорителем схватывания
|
| Струйная цементация
|
Несвязные грунты от крупнозернистых до связных грунтов
|
Не регламенти-руется
|
Цементный для струйной цементации
|
Цементные, цементобентонитовые, с силикатом натрия и химическими добавками
|
| Силикатизация
|
Скальные трещиноватые, крупно-обломочные, пески, лессы
|
5-80
|
Двухрастворная силикатизация
|
Силикат натрия, хлористый кальций
|
| Скальные малотрещинова-тые, пески средне- и мелкозернистые и пылеватые, лессы
|
0,5-20
|
Однорастворная силикатизация
|
Мягкие и твердые гели силиката натрия с отвердителями - растворами кислот и окисей металлов
|
| Смолизация
|
Скальные малотрещинова-тые, пески средне- и мелкозернистые и пылеватые, супеси
|
От 0,3-5
|
Растворы смол
|
Карбамидные и другие виды полимерных смол
|
6.7.3.4
Для выбора способа закрепления грунтов и получения исходных данных для проектирования инъекционных работ в дополнение к основным инженерно-геологическим изысканиям проводить специальные изыскания и исследования.
На первом этапе получать подробные данные о геологическом строении грунтов, гидрогеологических условиях участка и физико-механических характеристиках грунтов на основании исследований, выполненных согласно 4.1, или проведенных дополнительно для уточнения инженерно-геологических условий применительно к особенностям ведения инъекционных работ.
На втором этапе выполнять лабораторные исследования и опытные работы по закреплению грунтов в натурных условиях, обеспечивающие выбор исходных материалов для приготовления раствора, определение его физико-механических и реологических характеристик.
После назначения вида и состава инъекционного раствора проводить опытное инъектирование грунта на строительной площадке для проверки и уточнения параметров инъекционного закрепления грунтов и уточнения технологии закрепления.
6.7.3.5
Опытное закрепление грунтов, как правило, проводить в тех случаях, когда закрепление грунтов должно применяться для особо ответственных сооружений или в особо сложных инженерно-геологических условиях, а также при необходимости гарантированного получения заданных характеристик закрепленного грунта.
При проведении опытных работ определяются расчетный объем и радиус закрепления, физико-механические характеристики закрепленных грунтов, уточняются технологические приемы и параметры инъекции (давление нагнетания, расход инъекционных материалов), время инъекции единицы объема грунта, а при струйной цементации давление нагнетания раствора и воздуха, скорость подъема и вращения монитора, количество и диаметр сопел, расход раствора на 1 м скважины.
Если опытная инъекция не проводится, то не менее 10% инъекционных скважин считаются опытными.
По результатам проведения опытных работ выполняется корректировка проектной документации на инъекционное закрепление грунтов.
6.7.3.6
В процессе производства работ технологические параметры инъекционных работ корректировать в зависимости от изменений геологических и гидрогеологических характеристик грунтов, выявляемых в процессе ведения работ.
6.7.3.7
Рабочую документацию инъекционного закрепления грунтов должна разрабатывать специализированная проектная организация. Документация должна содержать следующие технические решения и данные:
- технико-экономическое обоснование выбора способа закрепления грунтов;
- решение о назначении типа (вида) основания или другой конструкции из закрепленных грунтов и конструктивной схемы закрепления в соответствии с решаемой технической задачей;
- масштабные инженерно-геологические планы и разрезы с нанесением расчетных контуров и размеров закрепляемых массивов грунта, а также требования к прочностным, деформационным и другим свойствам закрепленных грунтов;
- данные об объемах закрепления грунтовых массивов и общем количестве необходимых для выполнения работ материалов;
- расположение в закрепляемом массиве грунтов инъекционных и контрольных скважин в плане и по глубине с указанием их глубин, наклонов, диаметров, допускаемых отклонений;
- данные о номенклатуре, характеристиках и количестве необходимых для выполнения работ механизмов и оборудования (бурового, забивного, насосного, инъекционного, компрессорного, емкостей и др.);
- порядок обработки грунтов инъекционными растворами, их удельный расход, давление нагнетания, порядок приготовления инъекционных растворов;
- технологические карты или схемы с описанием способов и технологической последовательности проводимых работ, трудозатрат и потребностей в механизмах и материалах по этапам, скорости вращения и подъема монитора при струйной цементации грунтов;
- объемы работ по контрольному закреплению грунтов и указания по их выполнению;
- дополнительные указания к мероприятиям по контролю качества работ, технике безопасности, охране окружающей среды;
- календарный план работ, в котором на основе объемов работ, технологии и наличия механизмов и оборудования устанавливаются последовательность и сроки выполнения отдельных видов работ;
- другие данные общестроительного характера (вспомогательные устройства, мероприятия при работах в зимних условиях и т.п.).
6.7.3.8
Работы по инъекционному закреплению грунтов должны выполняться строительной организацией или участком, имеющим опыт ведения буровых и инъекционных работ.
6.7.3.9
Организация работ по закреплению грунтов должна предусматривать:
- подготовку стройплощадки к работам, в том числе, сооружение (при необходимости) специальных камер, выработок при проходке зон неустойчивых водонасыщенных грунтов, ограждение рабочих участков, устройство временных бытовок, складов, навесов, утепление растворных узлов;
- обеспечение участка электроэнергией, водой, сжатым воздухом;
- геодезическую выноску оси и контура тоннеля при проведении работ с дневной поверхности;
- доставку, размещение, подключение и проверку технологического оборудования; доставку и складирование строительных материалов;
- организацию лабораторного поста.
6.7.3.10
Инъекционные работы подлежат обязательному документированию с указанием времени начала и окончания вида работ, номеров скважин и границ участков, в пределах которых ведутся работы, основных технических характеристик используемого оборудования, составов растворов. Необходимо также фиксировать данные о режимах и расходах растворов, их характеристиках, результаты гидроопробования скважин, отклонения от требований ППР и вызвавшие их причины.
При выполнении инъекционных работ следует вести общий журнал работ, а также журналы бурения и гидроопробования скважин, нагнетания и контроля параметров инъекционного раствора и тампонажного камня.
6.7.3.11
В случае обнаружения изменений инженерно-геологических условий, необходимости изменения способов производства работ и в других обоснованных случаях дальнейшие работы выполнять только после внесения в проектную документацию соответствующих изменений и дополнений.
6.7.3.12
К инъекционным растворам предъявляются следующие требования:
- высокая проникающая способность;
- обеспечение максимального выхода тампонажного камня;
- возможность регулирования технологических (реологических) параметров (вязкости, сроков схватывания или отверждения и др.);
- механическая прочность и противофильтрациоцная плотность закрепленного грунта, соответствующая цели инъекции.
Основные типы инъекционных растворов и их краткая характеристика представлены в таблице 6.7.3.
Таблица 6.7.3
| Вид инъекционного раствора
|
Характеристики инъекционных растворов
|
Характеристики закрепленного грунта
|
| Состав раствора
|
Плотность раствора, г/см3
|
Весовое или объемное соотно- шение компо- нентов
|
Время схваты- вания (начало - конец), ч
|
Подвиж- ность, см (вяз- кость, спз)
|
Проч- ность, МПа
|
Водонепро- ницаемость К
ф
, см/с
|
| Суспензии стабильные и неста- бильные
|
Цементные
|
Различные виды цемента, в том числе вибро- домолотый, с инертными и химическими добавками разного назначения
|
1,2-2,0
|
В:Ц=0,5-10
|
0,75-12
|
18-24
|
До 30
|
10-4
|
| Цементно- глинистые
|
Цемент, глина, добавки разного назначения
|
1,5-1,65
|
Ц:Г=1:1-1:4
В:Ц=0,5-5
|
4-24
|
То же
|
До 25
|
10-4
-10-6
|
| Цементные для струйной цементации
|
Цементные, цементобен- тонитовые, с силикатом натрия и химическими добавками
|
1,5-1,6
|
В:Ц=0,8-1
|
2-4
|
18-24
|
До 30
|
| ОТДВ Микродур
|
Микродур с пласти- фикатором и ускорителем схватывания
|
1,1-1,5
|
В:Ц=6-1
|
2,5-4,0
|
20-30
|
0,5-30
|
10-6
-10-9
|
| Растворы силикатов и смол
|
Двухрастворная силикатизация
|
Силикат натрия
|
1,35-1,44
|
1
|
0-0,01
|
(25-50)
|
1,5-3,5
|
10-4
-10-6
|
| Хлористый кальций
|
1,26
|
1
|
| Однорастворная силикатизация (мягкие гели)
|
Силикат натрия
|
1,04-1,19
|
1
|
0,5-16
|
(1,5-3,0)
|
2-4
|
10-6
-10-9
|
| Отвердители:
|
| фосфорная кислота
|
1,025
|
3-4
|
| серная кислота
|
1,06
|
0,87
|
| сернокислый алюминий
|
1,06
|
0,47
|
| алюминат натрия
|
1,05
|
2,0-0,35
|
| кремне- фтористо- водородная кислота
|
1,037
|
0,01-0,02
|
| То же (твердые гели)
|
Силикат натрия
|
1,3
|
1
|
0,5-1
|
(3-5)
|
20-40
|
| Кремне- фтористо- водородная кислота
|
1,08-1,10
|
0,2-0,3
|
| Растворы смол
|
Карбамидная смола марки КМ
|
1,08-1,16
|
1
|
0,07-4
|
(3-14)
|
До 30
|
| Отвердители:
|
| щавелевая кислота
|
1,03-1,04
|
0,03-0,15
|
| соляная кислота
|
То же
|
0,04-0,10
|
| Примечание - В:Ц - водоцементное отношение; Ц:Д - соотношение цемент:добавка.
|
При выборе типа и состава инъекционного раствора учитывать:
- геологические и гидрогеологические условия конкретного участка;
- цель инъекции (повышение прочности, стабильности или водонепроницаемости грунтов, заполнение крупных пустот или трещин, предотвращение водопритока и т.п.);
- назначение раствора (инъекционный, буровой, для устройства обоймы, грунтоцементных свай и др.);
- требования к физико-механическим характеристикам закрепленного грунта и к технологическим параметрам раствора (плотности, вязкости, срокам схватывания и др.);
- стоимость и экологические требования к материалам для приготовления растворов.
6.7.3.13
При обычной инъекции грунтов для обеспечения высоких прочностных характеристик грунтов (>1,0 МПа) используются все виды растворов (суспензий) на основе цемента с различными добавками, особо тонкодисперсных минеральных вяжущих Микродур, силикатные (твердые гели) с органическими и неорганическими отвердителями (в том числе двухрастворная силикатизация), а также растворы полимерных смол.
Для повышения водонепроницаемости (противофильтрационной плотности), устойчивости и обеспечения прочности закрепленного грунта от 0,3 до 1,0 МПа использовать цементные растворы жидких консистенций с силикатом натрия и бентонитовой глиной, ОТДВ Микродур, силикатные растворы с неорганическими отвердителями (однорастворная силикатизация), растворы на основе полимерных смол малой концентрации.
Для струйной цементации грунтов рекомендуется использовать суспензии минеральных вяжущих (цемент, бентонитовая глина и др.) жидких консистенций.
Для улучшения свойств растворов всех видов использовать различные добавки, регулирующие реологические свойства растворов (вязкость, время схватывания и твердения) и характеристики закрепленного грунта (прочность, водонепроницаемость и др.).
6.7.3.14
Инъекционные растворы (суспензии) на основе минеральных материалов (цемент, глина, зола, добавки) использовать для заполнения пустот, крупных пор и трещин, повышения прочности и снижения водопроницаемости крупнопористых несвязных грунтов с коэффициентом фильтрации от 50 м/сут и выше, а также трещиноватых скальных грунтов с величиной раскрытия трещин от 0,1 мм и более и удельным водопоглощением от 0,01 л/мин·мм вод.ст.
6.7.3.15
ОТДВ Микродур рекомендуется использовать для инъекции пористых грунтов (в том числе пылеватые и мелкозернистые пески) с коэффициентом фильтрации от 0,3 м/сут и тонкотрещиноватых скальных грунтов с раскрытием трещин от 0,05 мм, а также в случаях, когда требуется значительное повышение прочности обработанных грунтов или применение растворов смол запрещается экологическими требованиями.
6.7.3.16
Суспензии ОТДВ Микродур обладают свойствами обычных цементных суспензий, отличаясь от них гранулометрическим составом, что обеспечивает им вязкость, сопоставимую с вязкостью воды и бездисперсных вяжущих (водорастворимых полимерных смол). Они могут применяться для любых грунтовых условий, где возможно использование цементных суспензий и растворов силикатов и полимерных материалов.
6.7.3.17
Силикатные растворы использовать для повышения прочности и водонепроницаемости пористых грунтов с коэффициентом фильтрации от 0,5 до 80 м/сут и тонкотрещиноватых скальных грунтов с раскрытием трещин от 0,05 мм, а также для первичной или вторичной (после инъекции растворов на основе цемента) обработки грунтов.
Для обеспечения высоких прочностных характеристик грунта (от 2,0 МПа и выше) используется двухрастворная силикатизация, однорастворные рецептуры с отвердителем кремнефтористоводородной кислотой. Другие силикатные рецептуры обеспечивают прочность укрепленного грунта от 0,3 до 1,0 МПа, водонепроницаемость грунта и могут применяться как для обработки грунтов до и после их цементации, так и самостоятельно, в зависимости от гидрогеологических характеристик грунтов и требований к закреплению грунта.
6.7.3.18
Инъекционные растворы на основе полимерных смол (как правило, карбамидные смолы марок КМ, с отвердителем щавелевой кислотой) использовать для инъекции в мелкотрещиноватые и пористые грунты с коэффициентом фильтрации от 0,3 м/сут, однако, применение полимерных смол может ограничиваться экологическими требованиями.
6.7.3.19
В случаях, когда обрабатываемые грунты имеют повышенное содержание карбонатов или органических частиц (от 0,1 до 3,0%) или снизить степень отфильтровывания жидкой фазы суспензий на основе минеральных вяжущих при инъекции трещиновато-пористых грунтов, рекомендуется проводить предварительную обработку грунтов слабыми растворами кислот (отвердителей к растворам смол).
6.7.3.20
Состав работ по инъекционному закреплению грунтов включает бурение, обустройство и гидравлическое опробование скважин, приготовление и нагнетание инъекционного раствора, извлечение оборудования скважин (инъекторов, манжетных и т.п.), а также работы по контролю качества закрепления грунтов.
6.7.3.21
Состав работ по струйной цементации грунтов включает бурение направляющих скважин и спуск монитора в скважину, установку его на проектной глубине, приготовление инъекционного раствора, подъем монитора с одновременной подачей инъекционного раствора через сопла (форсунки), размыв в грунте полостей и заполнение их грунтоцементным материалом, извлечение рабочего органа и перемещение агрегата на новую точку.
6.7.3.22
Всем проектным скважинам до начала бурения присваивать номера, указывающие на закономерное положение скважин по фронту работ, независимо от времени бурения и инъекции.
Всем дополнительным скважинам, назначаемым по ходу инъекционных работ, присваивать номера близлежащих проектных скважин с добавлением букв "п" (повторная), "к" (контрольная) и т.п.
6.7.3.23
Бурение и инъекцию скважин проводить, как правило, от внешних контуров к внутренним, от нижних к вышерасположенным скважинам и способом последовательного сближения скважин - очередями. При такой последовательности последующие отдельные скважины или группы скважин являются контрольными по отношению к ранее обработанным или образованным при струйной цементации грунтоцементным сваям.
Фактическое отклонение устьев скважин от проектного не должно превышать 0,1 м.
6.7.3.24
Разведочные и инъекционные скважины на участках с высоким напором воды бурить через превенторные устройства, чтобы не допустить прорыва воды с неуправляемым выносом грунта и обеспечить возможность быстрого нагнетания раствора в скважину для ликвидации выноса.
6.7.3.25
В зависимости от гидрогеологических условий участка и принятой технологии инъекции при нагнетании раствора использовать кондукторы (для обеспечения заданного направления скважин, закрепления и герметизации скважин) или пакеры (для герметизации скважин) при обработке трещиноватых грунтов через буровой став или манжетную колонну, а также забивные инъекторы, инъекторы-тампоны или манжетные колонны при обработке несвязных грунтов.
Инъекционные суспензии на основе ОТДВ Микродур нагнетать в грунты только через манжетные колонны.
6.7.3.26
Бурение скважин и инъекцию растворов рекомендуется выполнять способом нисходящих (скважина бурится на глубину первой заходки, инъектируется, затем заинъектированная зона разбуривается и скважина бурится на длину второй заходки и т.д.) или восходящих заходок (скважина разбуривается на всю глубину и обработка грунта идет последовательно заходками, от забоя скважины до устья).
Глубина заходок (длина обрабатываемых скважин) не должна превышать 10 м. В неустойчивых нарушенных грунтах при пересечении участков с большим притоком воды их глубину уменьшать до 3 м.
6.7.3.27
Дополнительные скважины назначать в том случае, если среди заинъектированных скважин будут обнаружены зоны с поглощением раствора, превышающим в 10 раз среднее поглощение для данной очереди скважин, зоны с неполноценной инъекцией или участки скважин, которые не могли быть пробурены до проектной глубины по производственным обстоятельствам.
6.7.3.28
Оборудование для проведения инъекционных работ выбирать в зависимости от способа закрепления грунтов (инъекция, струйная цементация), объемов работ, типа инъекционного раствора и технологической схемы его приготовления и нагнетания.
Смесительное и нагнетательное оборудование должно обеспечивать тщательное перемешивание компонентов раствора и требуемое давление нагнетания, высокие темпы работ при минимальных трудовых и материальных затратах, наименьшее загромождение строительных площадок, удобство транспортировки, монтажа и демонтажа и безопасное обслуживание.
6.7.3.29
Материалы в процессе приготовления растворов механизированным способом дозировать по массе. Вода и водные растворы силикатов, смол и добавок дозируются по объему. Точность дозировки для воды и цемента - до 3%, для заданных объемов компонентов растворов на основе силикатов и смол, а также добавок - до 5%.
Загрузку в емкость растворомешалки каждого последующего компонента начинать при получении однородной смеси после загрузки предыдущих компонентов в полном количестве.
Добавки для улучшения свойств растворов готовятся заранее в виде раствора повышенной концентрации и вводятся в воду затворения в количестве, обеспечивающем рабочую концентрацию их в нагнетаемом растворе.
6.7.3.30
Компоненты растворов на основе цемента вводить в растворомешалку в очередности: вода - бентонитовая глина - цемент - силикат натрия. Приготовленный цементный раствор должен непрерывно перемешиваться или находиться в движении до момента его поступления в скважину и использоваться в течение четырех часов (не более) с момента его приготовления.
6.7.3.31
Суспензию ОТДВ Микродур готовить в высокоскоростной растворомешалке с числом оборотов смесителя не менее 3000 об/мин при мощности электродвигателя не менее 2 кВт или в турбулентном смесителе с активатором и автоматическим дозированием вяжущего, воды и добавок.
Очередность введения компонентов в растворомешалку: вода - суперпластификатор С-3 - ускоритель схватывания - минеральное вяжущее ОТДВ Микродур (постепенно и порционно).
6.7.3.32
При смешивании компонентов растворов силикатов и смол в растворомешалке отвердитель добавлять к силикату и смоле, а не наоборот, заданное время гелеобразования контролировать отбором проб раствора с фиксацией момента его гелеобразования.
6.7.3.33
Инъекционный раствор нагнетать в скважину непосредственно вслед за гидравлическим опробованием.
6.7.3.34
В зависимости от вида раствора нагнетание выполнять по однокомпонентной схеме одним насосом по одному раствороводу (компоненты раствора смешиваются в растворомешалке перед нагнетанием) или по двухкомпонентной - двумя насосами по двум раствороводам (компоненты раствора смешиваются на устье скважины в гидравлическом смесителе).
6.7.3.35
Нагнетание раствора выполнять зажимным способом при использовании насосов с регулируемым приводом или полуциркуляционным при использовании насосов с нерегулируемым приводом.
6.7.3.36
Нормальным режимом инъекции считать ход нагнетания раствора, при котором нагнетание ведется непрерывно, с постепенным снижением расхода раствора, при этом давление раствора соответствует давлению отказа, или постепенно возрастает до давления отказа, весь нагнетаемый раствор поступает в грунт.
Состав нагнетаемого раствора не должен меняться, если при непрерывном нагнетании расход раствора при постоянном давлении уменьшается или давление раствора при постоянном его расходе возрастает.
Плотность раствора увеличивать (сгущать) в тех случаях, когда при нагнетании раствора с максимальным достигнутым расходом давление не повышается или при достижении давления отказа расход раствора не уменьшается.
6.7.3.37
При обнаружении выхода раствора на поверхность или в другую скважину место выхода немедленно затампонировать (пакля, деревянные клинья и пробки, быстросхватывающийся раствор). Эффект может дать также сгущение раствора, уменьшение давления нагнетания и т.д.
В случае невозможности прекратить утечку раствора в процессе инъекции скважину оставляют на выстойку на срок от нескольких часов до 2-3 суток.
6.7.3.38
Нагнетание раствора при струйной цементации грунта проводить триплексными насосами высокого давления (до 60,0 МПа) по нагнетательным армированным шлангам, соединенным с монитором (буровым ставом).
Монитор спускать в скважину с подачей воды и воздуха с малым расходом и давлением. После установки монитора на проектной глубине при неподвижном положении монитора проводить разрушение грунта в течение 1-2 мин (до появления пульпы из скважины), затем увеличивать расход и давление раствора и воздуха до рабочих величин, после чего начинать подъем монитора.
Поднимать монитор плавно и непрерывно. Максимально допустимую скорость подъема устанавливать по результатам опытных работ.
6.7.3.39
Наиболее эффективная обработка несвязных и слабосвязных грунтов достигается при относительно больших расходах инъекционного раствора, а в связных грунтах (плотные, суглинки, глины) - при относительно высоких давлениях нагнетания раствора.
6.7.3.40
Расход инъекционного раствора при струйной цементации грунта регулировать по выносу раствора с грунтовой пульпой из скважины. Нормальный процесс цементации сопровождается незначительным выносом раствора, при чрезмерном выносе раствора расход его уменьшать, при отсутствии выноса - увеличивать.
6.7.3.41
При инъекции растворов на основе силикатов и смол режим нагнетания выбирать в зависимости от времени гелеобразования, позволяющего с учетом проницаемости грунтов, вязкости раствора и допустимого давления нагнетания выполнить нагнетание необходимого объема раствора.
6.7.3.42
Контроль качества и оценку достаточности инъекционных работ проводить систематически в следующем составе:
а) входной контроль поступающих материалов - проверка соответствия их стандартам, техническим условиям, паспортам и другим документам, подтверждающим качество материалов, проверка соблюдения требований их разгрузки и хранения;
б) оперативный контроль за выполнением работ - проверка соответствия их проекту и корректировка технологических параметров бурения и нагнетания растворов при уточнении инженерно-геологических условий;
в) контрольные работы по определению результатов закрепления грунта инъекцией или струйной цементацией и оценке качества после завершения проектного объема работ, а также приемочный контроль с составлением акта освидетельствования скрытых работ.
6.7.3.43
Качество инъекционного закрепления грунтов оценивать по результатам испытаний контрольных скважин и образцов закрепленного грунта.
Вид и объем контрольных испытаний назначать в зависимости от конкретных условий строительства на основании анализа исполнительной документации по инъекции грунтов.
6.7.3.44
Качество струйной цементации грунтов устанавливать по:
- устойчивости стенок и остаточному дебиту контрольных скважин;
- удельному водопоглощению контрольных скважин;
- отбору и испытанию кернов укрепленного грунта;
- динамическим зондированием или испытанием статической нагрузкой массива закрепленного грунта;
- геофизическим исследованием сплошности, однородности и прочности закрепленного грунта.
Инъекционные работы по закреплению грунта считаются законченными и удовлетворительными при достижении проектных объемов укрепления грунтов и обеспечении требуемых физико-механических характеристик закрепленного грунта (прочность, водонепроницаемость, водоустойчивость и др.).
6.7.3.45
Контроль качества и достаточности законченных работ проводить комиссией в составе представителей строительных организаций, заказчика и проектной организации.
Комиссии должны быть представлены:
- проектная документация на инъекционные работы, дополнения и изменения к ним;
- исполнительные чертежи по законченному участку работ, журналы производства работ согласно Приложениям 6.7.В1-6.7.В4 СП 32-105 [17], а также акты на выполненные работы согласно Приложениям 6.7.В5 и 6.7.В6 СП 32-105 [17];
- результаты определения характеристик использованных для инъекции материалов, данные испытаний инъекционных растворов, закрепленного грунта;
- документация по контрольным работам.
По результатам рассмотрения представленной документации комиссия составляет акт о готовности участка для ведения основных работ по форме Приложения 6.7.А4 СП 32-105 [17].
6.8.1
Разработку генерального плана стройплощадки выполнять с учетом наиболее рационального расположения постоянного оборудования и обустройств, минимальных расходов на устройство инженерных коммуникаций, постоянных и временных дорог и подъездных путей, сохранения существующих строений, подземных коммуникаций, зеленых насаждений, обеспечения нормальных условий жизни населения в районе стройплощадки, соблюдения противопожарных и санитарных требований.
6.8.2
Стройплощадки подразделяются на базовые и участковые.
На базовых стройплощадках могут быть размещены:
- душкомбинат;
- контора начальника участка и смены, маркшейдерская;
- механическая мастерская для текущего ремонта узлов машин и механизмов;
- пневматическая мастерская для профилактического ремонта инструмента;
- компрессорная станция;
- арматурный цех;
- комплектная трансформаторная подстанция.
Состав временных зданий и сооружений на участковых площадках определять исходя из назначения площадок.
6.8.3
При подготовке территории под стройплощадку обеспечить:
- расселение жильцов, вывод организаций и предприятий из зоны строительства;
- снос, перекладку или ликвидацию существующих инженерных сетей и сооружений;
- устройство объездных дорог или переключение транспортных потоков ни другие городские проезды с условием беспрепятственного проезда транспортных средств специального назначения ко всем зданиям в прилегающих к строительству кварталах города и прохода пешеходов;
- определение технического состояния зданий и сооружений, расположенных в зоне устройства стройплощадки, оформление соответствующих документов;
- вынос в натуру осей и контуров возводимых зданий и сооружений.
6.8.4
Генподрядная строительная организация должна приказом назначить ответственного за ведение работ на стройплощадке и предоставить ему следующие документы:
- акт о передаче заказчиком территории стройплощадки генподрядной организации;
- график работ, выполняемых генподрядной и субподрядными строительными организациями, и протокол разграничения их ответственности;
- журнал производства работ по освоению стройплощадки, оформленный и выданный заказчиком;
- журнал авторского надзора проектной организации.
6.8.5
Территория стройплощадки должна быть обнесена сплошным ограждением.
На ограждении, как правило, у въезда на стройплощадку устанавливать:
- информационный щит с наименованием объекта; адресом, сроками начала и окончания строительства; наименованием заказчика и генподрядной строительной организации; фамилией, должностью и телефоном ответственного производителя работ;
- щит со схемой движения автотранспорта по территории стройплощадки и знак ограничения скорости;
- щит с планом пожарной защиты объекта на период строительства с указанием въездов, зданий, сооружений и проездов, мест размещения источников воды, средств пожаротушения и связи.
6.8.6
Въезд на стройплощадку оборудовать воротами с дистанционным управлением, обеспечивающими проезд транспорта с негабаритным грузом.
Для пропуска людей оборудовать отдельные входы.
6.8.7
Территория стройплощадки должна быть спланирована и оборудована системой сбора и отвода поверхностных (ливневых и паводковых) вод в городскую ливневую канализацию.
6.8.8
Снятый при планировке растительный грунт вывозить в места временных отвалов или постоянного захоронения. Пригодность снятого грунта к проведению рекультивационных работ определять согласно 5.18.
6.8.9
Временные дороги с твердым покрытием прокладывать до начала работ по возведению временных зданий и сооружений. В местах пересечений дорог с временными инженерными коммуникациями закладывать футляры.
6.8.10
На выезде с территории стройплощадки предусматривать мойку колес автотранспорта с очистными сооружениями или системой оборотного водоснабжения.
6.8.11
Стройплощадки, при необходимости, оборудовать инженерными коммуникациями, системами электроснабжения и средствами мобильной связи.
Применение громкоговорящей связи при расположении площадки вблизи существующей жилой застройки не рекомендуется.
6.8.12
Устройство молниезащиты зданий и сооружений выполнять согласно СО 153-34.21.122 [46]; заземление электроустановок, металлических конструкций, фургонов и других сооружений на строительной площадке - согласно ПБ 03-428 [39] и ПУЭ [15].
6.8.13
Цветовую отделку временных зданий и сооружений выполнять в соответствии с архитектурно-композиционными решениями, согласованными с районной архитектурно-планировочной организацией.
На зданиях и ограждении стройплощадки возможно размещение коммерческой рекламы, информационных табло, художественного оформления и т.п. при условии регистрации рекламного оформления в установленном порядке.
6.8.14
Административные помещения, помещения для санитарно-гигиенического и бытового обслуживания работающих и помещения для обеспечения технологических потребностей строительства допускается размещать в существующих зданиях и сооружениях города при согласовании с органами административного, санитарного и пожарного надзора.
6.8.15
Меры по обеспечению пожарной безопасности, размещению первичных средств пожаротушения и системы оповещения о пожаре предусматривать согласно ПОС, ПБ 03-428 [39], а также 123-ФЗ «Технический регламент о требованиях пожарной безопасности» и сводов правил в его развитии.
6.8.16
Складирование строительных материалов и конструкций выполнять согласно СНиП 12-03 и ТУ на материалы и конструкции.
6.8.17
Грузоподъемные краны и технологическое оборудование устанавливать на выровненных площадках с жестким покрытием согласно паспортам, инструкциям по эксплуатации соответствующего оборудования и ПБ 10-382 [47].
6.8.18
В ППР границы опасных зон при работе механизмов и оборудования огораживать и обозначать предупредительными знаками и сигналами, хорошо видимыми в темное время суток. Не допускать размещение в опасных зонах оборудования, материалов, изделий и нахождение людей.
Пешеходные дорожки по территории строительных площадок рекомендуется устраивать при проходе без груза шириной не менее 1 м, с грузом - 2 м и прокладывать их с минимальным числом пересечений с проездами транспорта и подкрановыми путями.
Переходы через котлованы и траншеи оборудовать пешеходными мостиками шириной не менее 1 м с 2-сторонними перилами по ГОСТ 12.4.059. Проходы с наклоном более 20° оборудовать трапами шириной не менее 0,6 м со ступенями и односторонними перилами.
Проходы людей в темное время суток должны иметь освещение, исключающее ослепляющий эффект.
6.9.1
Путеукладочные работы в тоннелях начинать после установки и обетонирования путейских реперов, устройства и сдачи под монтаж пути бетонного основания.
Путевые работы рекомендуется выполнять по Наставлению [48].
6.9.2
Бригады, выполняющие путевые работы, в обязательном порядке оснащать технологическими комплектами малой механизации для устройства верхнего строения пути и бетонирования постоянных путей.
6.9.3
Доставку инструментов и материалов в тоннель осуществлять согласно ППР с использованием стволов шахт, материальных скважин и рельсоспусков; к месту укладки путей - электровозной или мотовозной тягой по путям узкой и нормальной колеи.
6.9.4
Смонтированный, отрихтованный и раскрепленный путь по акту передавать маркшейдерам генподрядной строительной организации под укладку путевого бетона.
6.9.5
Бетонное основание пути после сборки опалубки водоотводного лотка и противоугонных приямков очищать и промывать струей воды под напором, рельсовые стыки, узлы скрепления и стержни распорных домкратов - защищать от загрязнения.
6.9.6
Бетонирование пути выполнять участками длиной не менее 25 м с тщательным уплотнением уложенной бетонной смеси вибраторами.
При механизации бетонных работ с использованием бункерных тележек или бетононасосов целесообразно применение бетонных узлов на рельсовом ходу для приготовления бетонной смеси непосредственно на участке бетонирования.
Распорные домкраты, опалубку водоотводного лотка и противоугонных приямков снимать при достижении путевым бетоном не менее 50% проектной прочности.
Обнаруженные под шпалами и коротышами пустоты заполнять цементно-песчаным раствором состава 1:2, нагнетая его ручным насосом через пробуренные в бетоне отверстия.
Движение подвижного состава по забетонированному пути допускается для транспортных единиц весом до 0,5 т при достижении бетоном 30% проектной прочности и весом свыше 0,5 т - 70% проектной прочности.
6.9.7
Путеукладочные работы на наземных участках выполнять после:
- завершения работ по дренажным устройствам и прокладке всех подземных коммуникаций;
- подготовки земляного полотна и сдачи его под монтаж пути;
- установки путейских реперов.
Устройство земляного полотна и верхнего строения пути выполнять согласно СНиП 32-01.
6.9.8
Пути с железобетонными шпалами на наземных участках, включая парковые пути электродепо, укладывать на подготовленное земляное полотно звеньями по 25 м, материалы доставлять в голову укладки мотовозной тягой на платформах с краном по уложенным и отрихтованным участкам пути.
Укладку парковых путей вести одновременно с укладкой стрелочных переводов, начиная от рельсовых стыков за крестовинами или от стыков рамных рельсов.
Пути в зданиях электродепо укладывать на подготовленные конструкции смотровых канав в направлении от стыка парковых путей.
6.9.9
Установку контактного рельса выполнять сварными рельсовыми плетями согласно 5.7.2.
6.9.10
Перед сдачей пути в эксплуатацию ходовые и контактные рельсы, скрепления, кронштейны и защитный короб очищать от пыли и грязи, кронштейны и скобы изоляторов - покрывать асфальтовым лаком.
6.10.1 Подготовка к производству работ
6.10.1.1
ППР по транспортированию и монтажу оборудования должны разрабатываться, как правило, монтажной организацией и соответствовать СНиП 12-01.
6.10.1.2
Монтаж и использование грузоподъемных машин и механизмов, грузозахватных устройств, приспособлений и тары должны соответствовать ПБ 10-382 [47].
6.10.1.3
Оборудование, изделия и материалы в комплекте с технической документацией предприятий-изготовителей поставлять для монтажа в установленном ППР порядке и сроки.
Тяжеловесное и крупногабаритное оборудование поставлять непосредственно в монтажную зону. При доставке оборудования к месту монтажа в упаковке вскрывать ее в присутствии заказчика и подрядчика.
6.10.1.4
После выполнения ревизий или ремонта оборудования его соответствие технической и проектной документации определять комиссией с участием представителей заказчика, подрядчика, исполнителя ревизии или ремонта.
6.10.1.5
Доставку крупногабаритного оборудования к месту монтажа на участках линий, сооружаемых закрытым способом, целесообразно осуществлять преимущественно после укладки постоянных путей; для доставки кабельной продукции, труб и других длинномерных изделий использовать специальные скважины. На участках, сооружаемых открытым способом, для тех же целей оставлять проемы в перекрытиях и стенах сооружений.
6.10.1.6
Сооружения, сдаваемые под монтаж оборудования и коммуникаций, должны иметь временное освещение, вентиляцию, водоснабжение и электроснабжение.
К началу монтажных работ необходимо выполнить строительные работы в полном объеме.
6.10.1.7
Строительные объекты предъявлять к приемке для монтажа оборудования в целом или по частям в следующем составе:
- часть станции, включающая сооружения, расположенные в уровне платформы;
- эскалаторный тоннель с натяжной камерой, машинным помещением, соответствующими производственными и служебными помещениями;
- вестибюль с пешеходным переходом и лестничными сходами. Допускается приемка помещений по частям: помещения в уровне кассового зала; помещения в уровне платформы и промежуточного этажа; пешеходный переход; лестничные сходы с подлестничными помещениями. При этом в первую очередь предъявлять к приемке производственные помещения;
- участок перегонного тоннеля от станции до токораздела, включая сопряжения с притоннельными сооружениями;
- отдельное подземное или наземное сооружение.
6.10.1.8
Готовность строительной части сооружений для начала монтажных работ подтверждать комиссионной приемкой. При приемке помещений проверять соответствие выполненных работ данным проектной документации и технической документации предприятий - изготовителей оборудования.
6.10.1.9
Перед началом монтажа эскалаторов реперами обозначить:
- уровень нижней входной площадки;
- уровень верхней входной площадки;
- нижнюю вертикальную базу;
- верхнюю вертикальную базу;
- ось эскалаторного тоннеля;
- места для установки струн - осей эскалаторов.
Места установки реперов выбирать с учетом их использования на всех этапах монтажа и в период эксплуатации. При установке реперов допустимые отклонения от данных строительного задания принимать согласно 6.3.
6.10.2 Монтажные работы
6.10.2.1
Монтажные работы вести на основании следующих нормативных документов:
а) в электротехнических устройствах - СНиП 3.05.06, ГОСТ 10434 и ПУЭ [15];
б) в системах автоматизации - СНиП 3.05.07;
в) в устройствах управления движением поездов - ПР 32 ЦШ 10.02 [49] и ПР 32 ЦШ 10.01 [50];
г) в устройствах связи - ОСТН-600 [51];
д) в устройствах защитного заземления – ПУЭ [15];
е) в санитарно-технических установках - СНиП 3.05.01, СНиП 3.05.05;
ж) эскалаторов - ПБ 10-77 [52];
з) лифтов - ПБ 10-558 [53];
и) сосудов, работающих под давлением, - ПБ 03-576 [62];
к) кранов - ПБ10-382 [47].
6.10.2.2
При выполнении монтажных работ использовать нормокомплекты специальных инструментов, механизмов и приспособлений по видам работ.
6.10.2.3
Части эскалаторов с применением резины в случае хранения при отрицательной температуре перед монтажом выдерживать до достижения ими температуры воздуха в эскалаторном помещении, но не ниже 5 °С.
До монтажа лестничного полотна выполнить наладку механической части аварийного и рабочего тормозов.
При монтаже лестничного полотна допускается применение выносного пульта управления.
6.10.2.4
При установке оборудования окончательную затяжку гаек анкерных болтов осуществлять при достижении не менее 70% проектной прочности материала подливки гнезд. Опорная поверхность оборудования должна плотно прилегать к основанию.
6.10.2.5
Проходы электропроводок через несущие конструкции и перекрытия выполнять в стальных трубах, через перегородки - в проемах, коробах, трубах.
6.10.2.6
Заземляющие проводники должны быть защищены от коррозионных воздействий, механических повреждений и доступны для осмотра. При использовании стальных труб в качестве заземляющих проводников соблюдать непрерывность цепи в местах их соединения.
6.10.3 Индивидуальные испытания оборудования
6.10.3.1
Объем индивидуальных испытаний оборудования электроустановок должен соответствовать требованиям документации предприятий-изготовителей.
В состав испытаний входят:
- проверка соответствия установленного оборудования проектной документации и нормативным требованиям;
- подготовка к включению механического и электрооборудования;
- проверка работы установки на холостом ходу поэлементно на местном управлении с питанием по временной или постоянной схеме;
- испытание оборудования на холостом ходу и под нагрузкой.
6.10.3.2
До начала индивидуальных испытаний на электроустановке вводится режим согласно ПОТ РМ-016 /РД 153-34.0-03.150 [54].
6.10.3.3
При выявлении дефектов в процессе индивидуальных испытаний оборудования и трубопроводов испытание повторять после устранения дефектов.
6.10.3.4
Индивидуальные испытания эскалатора проводить в три этапа.
1-й этап - опробование привода. Проводить после монтажа зоны Е, блокировочных устройств и наладки электрооборудования. Опробованию подлежат аппараты схемы управления, рабочий тормоз, блокировочные устройства, главный и вспомогательный приводы.
2-й этап - опробование привода с лестничным полотном. Проводить после монтажа лестничного полотна. Эскалатор включается в работу от вспомогательного привода "на подъем" и "на спуск" до полного оборота лестничного полотна.
3-й этап - опробование работы эскалатора от главного привода по 1 ч в каждом из направлений при завершении всех монтажных работ.
6.10.3.5
Испытания санитарно-технических систем осуществлять по СНиП 3.05.01.
Испытания систем с применением пластмассовых трубопроводов проводить согласно СП 40-102 [55].
Испытания проводить до начала отделочных работ. Применяемые для испытаний манометры должны быть поверены согласно ГОСТ 8.002.
6.10.3.6
Системы внутреннего холодного и горячего водоснабжения испытывать гидростатическим или манометрическим методом до установки водоразборной арматуры.
Манометрические испытания систем проводить в следующей последовательности:
- систему заполнить воздухом давлением 0,15 МПа;
- при обнаружении утечек воздуха на слух снизить давление до атмосферного и устранить дефекты; затем систему заполнить воздухом давлением 0,1 МПа и выдержать ее под пробным давлением в течение 5 мин. Система признается выдержавшей испытание, если падение давления не превысит 0,01 МПа.
6.10.3.7
Испытание водяных систем отопления и теплоснабжения проводить при отключенных расширительных сосудах гидростатическим методом давлением, равным 1,5 рабочего давления, но не менее 0,2 МПа в самой нижней точке системы. Система признается выдержавшей испытание, если в течение 5 мин падение давления не превысит 0,02 МПа и отсутствуют течи в элементах системы.
6.10.3.8
Паровые системы отопления и теплоснабжения с рабочим давлением до 0,07 МПа испытывать гидростатическим методом давлением 0,25 МПа в нижней точке системы; системы с рабочим давлением более 0,07 МПа - гидростатическим методом давлением, равным рабочему давлению плюс 0,1 МПа, но не менее 0,3 МПа в верхней точке системы. Система признается выдержавшей испытание, если в течение 5 мин падение давления не превысит 0,02 МПа и отсутствуют течи в элементах системы.
6.10.3.9
Системы парового отопления и теплоснабжения после гидростатических или манометрических испытаний проверять путем пуска пара с рабочим давлением системы. При этом утечки пара не допускаются.
6.10.3.10
Системы внутренней канализации испытывать методом пролива воды путем одновременного открытия 75% санитарных приборов, подключенных к проверяемому участку в течение времени, необходимого для его осмотра. Выдержавшей испытание считается система, если при ее осмотре не обнаружены течи в местах соединений трубопроводов.
6.10.3.11
Системы внутренних водостоков испытывать наполнением их водой до уровня наивысшей водосточной воронки. Продолжительность испытания - не менее 10 мин. Водостоки считаются выдержавшими испытание, если при осмотре не обнаружены течи и уровень воды в стояках не понизился.
6.10.3.12
Напорные сети канализации и водоотлива, выполненные из стальных труб с чугунной арматурой, испытывать гидростатическим давлением 1,25 рабочего давления, но не менее давления 0,5 МПа. Продолжительность испытаний - не менее 10 мин, в течение которых давление не должно снижаться более чем на 0,05 МПа.
6.10.3.13
Системы вентиляции и кондиционирования воздуха испытывать после завершения общестроительных и отделочных работ в помещениях вентиляционных установок и проведения индивидуальных испытаний устройств электроснабжения, теплоснабжения и др.
Напорные воздуховоды вытяжной системы вентиляции аккумуляторных помещений (при установке в них открытых кислотных аккумуляторов) испытывать давлением, превышающим в 2 раза рабочее. При испытании в течение 1 ч допускается снижение давления не более чем на 10%.
Испытание вентиляторов систем тоннельной вентиляции проводить в соответствии с инструкциями предприятий-изготовителей.
6.10.3.14
Изоляцию электрооборудования напряжением выше 1 кВ испытывать повышенным напряжением постоянного тока согласно РД 34.45-51.300 [56].
6.10.3.15
Изоляцию электрооборудования напряжением от 60 В до 1 кВ включительно и цепей вторичной коммутации испытывать путем измерения ее сопротивления мегомметром на 2,5 кВ. Сопротивление изоляции должно быть не ниже 0,5 МОм.
Изоляцию электрооборудования иностранных фирм, имеющую электрическую прочность ниже нормы, при отсутствии указаний поставщика испытывать напряжением, составляющим 90% заводского испытательного напряжения.
Испытания заземляющих устройств электроустановок проводить согласно ПУЭ.
6.10.3.16
Прочность конструкций для подвешивания светильников при отсутствии указаний в проектной документации испытывать в течение 10 мин путем приложения к ним статической нагрузки, равной:
а) для светильников весом до 100 кгс - пятикратной к весу светильника;
б) для светильников весом более 100 кгс - двукратной к весу светильника плюс 80 кгс.
Конструкцию признают выдержавшей испытания при отсутствии видимых деформаций.
6.10.3.17
Индивидуальные испытания систем автоматизации и связи проводить автономно по каждой системе без нагрузки, под нагрузкой и с корректировкой параметров настройки систем в процессе индивидуального испытания оборудования.
6.10.3.18
Кабельные линии систем связи испытывать путем измерения:
- сопротивления изоляции;
- омического сопротивления шлейфа;
- омической асимметрии жил;
- переходного затухания на ближнем конце;
- переходного затухания на дальнем конце;
- входного сопротивления;
- рабочего затухания.
Парные кабели испытывать путем проведения комплекса измерений постоянным током до и после включения их в постоянные устройства, прослушивания и измерения переходных затуханий.
6.10.3.19
Волоконно-оптические линии систем связи испытывать путем измерения:
- затухания в оптическом волокне кабеля;
- уровня мощности оптического излучения на выходе оптического волокна или оптоэлектронного модуля;
- коэффициента ошибок в цифровом линейном тракте на выходах оконечного и промежуточного оборудования линейного световодного тракта;
- стыковых соединений.
Вносимое затухание в неразъемном соединении (муфте) для одномодовых оптических волокон должно быть не более 0,10 дБ, дополнительные потери, вносимые за счет компактной укладки волокон в муфте - не более 0,01 дБ; для многомодовых волокон - 0,30 дБ и 0,03 дБ соответственно.
При проведении измерений руководствоваться ГОСТ 26814 и ОСТ 45.62 [57].
6.11.1
Параметры микроклимата, химические и физические факторы в производственных и административно-бытовых помещениях на строительной площадке должны соответствовать СанПиН 2.2.4.548, ГН 2.2.5.686 и ГН 2.2.5.687.
6.11.2
Искусственное освещение в помещениях и на территории строительных площадок должно соответствовать СНиП 23-05 и Нормам [58].
6.11.3
В рабочей зоне подземных выработок должны быть обеспечены параметры микроклимата согласно таблице 6.11.1. При невозможности достижения указанных параметров следует предусматривать защитные мероприятия по ПБ 03-428 [39].
Таблица 6.11.1
| Факторы микроклимата
|
Допустимые значения
|
| Температура воздуха, °С
|
16 - 19
|
20 - 23
|
24 - 26
|
| Относительная влажность, %
|
80 - 30
|
75 - 30
|
70 - 30
|
| Скорость движения воздуха, м/с
|
0,1 - 0,5
|
0,6 - 1,0
|
1,1 - 1,5
|
| Примечания
1 В обводненных грунтах допускается превышение относительной влажности на 10 %.
2 Большая скорость движения воздуха соответствует его максимальной температуре.
|
6.11.4
Химический состав воздуха в рабочей зоне, содержание в нем пыли и аэрозолей должны соответствовать ГН 2.2.5.686, ПБ 03-428 и ПБ 13-407.
6.11.5
Помещения, в которых может происходить выделение вредных химических веществ, оборудовать специальными обособленными приточно-вытяжными системами вентиляции.
Вентиляционные системы должны обеспечивать нормативные параметры воздушной среды в расчете на максимальную рабочую смену и с учетом возможного загрязнения воздуха вредными газами, пылью, масляными и сварочными аэрозолями, токсичными выделениями из битума, красок, лаков и др.
6.11.6
Для снижения концентрации пыли в воздухе до нормативных значений предусматривать устройства пылеподавления или пылеулавливания, а также применение машин для разработки забоев только с местными отсасывающими системами.
6.11.7
Для работающих на открытом воздухе, в условиях замороженных грунтов и в неотапливаемых помещениях оборудовать пункты обогрева и укрытия от непогоды с температурой воздуха 22-24 °С, расположенные не далее 100 м от рабочего места и за границами опасных зон.
6.11.8
Для работающих под землей предусматривать подземные места для приема пищи, питьевые фонтанчики и туалет.
На строительных площадках не далее 100 м от рабочих мест предусматривать освещаемые туалеты.
7.1.1
Организация приемки в эксплуатацию регламентируется в СНиП 3.01.04.
Приемка должна охватывать все виды сооружений, оборудования, конструкций и работ, включая скрытые работы.
7.1.2
Объекты строительства следует предъявлять к приемке только после устранения выявленных недоделок и замечаний, проведения пусконаладочных работ и испытаний, опробования установленного оборудования и обеспечения заданных технических параметров и режимов работы оборудования.
7.1.3
Объекты строительства могут быть приняты и введены в эксплуатацию как в полном объеме, так и по отдельным очередям или пусковым комплексам, если это предусмотрено проектной документацией и требованиями заказчика-застройщика.
Из состава пусковых комплексов не должны исключаться:
- здания и сооружения, предназначенные для обслуживания работников метрополитена, обеспечивающие здоровые и безопасные условия труда;
- сооружения и устройства, отсутствие которых ухудшает противопожарное состояние объекта;
- мероприятия по защите окружающей среды;
- соединительные ветки между линиями метрополитена и путями общей сети железных дорог;
- системы автоматики и телемеханики движения поездов (АТДП) и инженерно-технические установки (ИТУ);
- линии связи;
- мероприятия по благоустройству территории после окончания строительства;
- объединенные мастерские для ремонта оборудования (эскалаторов, трансформаторов, электродвигателей, насосов, вентиляторов и др.), а также базы аварийно-восстановительных средств;
- сооружения и устройства обеспечивающие безопасные условия перевозки пассажиров.
7.1.4
При установленных сроках ввода объектов строительства в эксплуатацию в I и IV кварталах года, а для северной климатической зоны - и в апреле месяце срок выполнения отдельных видов работ (благоустройство территории и т.п.) по решению государственной приемочной комиссии может быть перенесен.
7.2.1
На первоначальном этапе приемка проводится рабочими и ведомственными приемочными комиссиями, на заключительном этапе - государственной приемочной комиссией.
Рабочие комиссии назначаются заказчиком на основании письменного уведомления генерального подрядчика о готовности объекта к сдаче.
Ведомственные приемочные комиссии назначаются начальником метрополитена за 30 дней до установленного срока приемки на основании письменного уведомления подрядчика о готовности объекта к сдаче.
7.2.2
Порядок и продолжительность работы рабочих и ведомственных приемочных комиссий определяется заказчиком по согласованию с генеральным подрядчиком.
Порядок работы государственной приемочной комиссии определяется органами, назначившими комиссию.
Председателя комиссии определяет лицо или орган, назначивший комиссию.
7.2.3
В состав комиссий включаются представители заказчика, эксплуатирующей организации, генерального подрядчика, субподрядных организаций, генерального проектировщика, государственных надзорных органов (санитарного, экологического, горно-технического), технической инспекции труда профсоюза, штаба ГО и ЧС, и, при необходимости, представители других организаций.
Для проверки соблюдения габаритов приближения сооружений и устройств по ГОСТ 23961 назначается отдельная рабочая комиссия.
Замену членов комиссий может проводить орган, назначивший комиссию.
7.2.4
Комиссии, в случае необходимости, имеют право образовывать из своего состава специализированные подкомиссии по проверке готовности отдельных зданий, сооружений, устройств и оборудования.
Порядок работы подкомиссий определяется председателем комиссии, результаты работы оформляются актами.
7.2.5
Для приемки в эксплуатацию объектов строительства в целом генеральный подрядчик представляет приемочным комиссиям документацию по перечню Приложения 7А. По завершении работы комиссий документация передается эксплуатационным службам.
7.2.6
Рабочие и ведомственные комиссии в процессе работы обязаны:
- проверить соответствие выполненных строительно-монтажных работ, мероприятий по охране труда, обеспечению взрыво-пожаробезопасности, охране окружающей среды и антисейсмических мероприятий проектной документации, стандартам, строительным нормам и правилам с проведением в необходимых случаях контрольных испытаний конструкций;
- проверить соответствие объектов и смонтированного оборудования проектной документации, рассмотреть результаты испытаний и комплексного опробования оборудования, подготовленность объектов к эксплуатации, включая выполнение мероприятий по обеспечению здоровых и безопасных условий труда и по защите окружающей среды;
- провести приемку оборудования.
7.2.7
Генеральный подрядчик представляет рабочим и ведомственным комиссиям:
- перечень организаций, участвовавших в строительно-монтажных работах, с указанием видов выполненных ими работ и фамилий инженерно-технических работников, непосредственно ответственных за выполнение этих работ;
- комплект рабочих чертежей на строительство предъявляемого к приемке объекта с записями о соответствии выполненных в натуре работ этим чертежам или внесенным в них изменениям лицами, ответственными за производство СМР. Указанный комплект рабочих чертежей является исполнительной документацией;
- сертификаты, технические паспорта или другие документы, удостоверяющие качество материалов, конструкций и деталей, примененных при производстве СМР;
- акты приемки скрытых работ и акты о промежуточной приемке отдельных ответственных конструкций (арок, сводов, подпорных стен, несущих металлических и сборных железобетонных конструкций);
- акты об индивидуальных испытаниях смонтированного оборудования, трубопроводов и сетей;
- акты об испытаниях устройств, обеспечивающих взрывобезопасность, пожаробезопасность и молниезащиту;
- акты об испытаниях прочности сооружений, расположенных в сейсмических районах;
- журналы производства работ и авторского надзора проектных организаций, материалы обследований и проверок в процессе строительства органами государственного и другого надзора.
7.2.8
Рабочие комиссии по результатам работы представляют акты о готовности законченного строительством объекта или сооружения для предъявления государственной приемочной комиссии по Приложению 7Б, в том числе акты проверки габаритов тоннелей.
7.2.9
Ведомственные приемочные комиссии, назначаемые для приемки в эксплуатацию отдельно стоящих зданий и сооружений, встроенных или пристроенных помещений производственного и вспомогательного назначения, сооружений ГО, входящих в состав объекта, при необходимости ввода их в эксплуатацию в процессе строительства объекта, а также отдельных сооружений и видов работ, перенесенных за пусковой комплекс объекта, представляют акты о приемке в эксплуатацию объектов.
7.2.10
Комиссии при выявлении непригодности объекта к эксплуатации должны представлять мотивированное заключение об этом в органы, назначившие комиссию, заказчику, генеральному подрядчику и генеральному проектировщику.
7.2.11
Приемку инженерного оборудования в эксплуатацию осуществлять после выполнения пусконаладочных работ.
Примечание – Примерные формы актов и журналов представлены в Приложениях [17].
7.3.1
Приемку выполненных работ заказчик проводит в течение всего периода строительства путем совместного освидетельствования сдаваемых работ в натуре и проверки соответствия этих работ проектной документации.
7.3.2
Контроль качества строительных работ осуществляется производителем работ, инспекцией технадзора заказчика, а также авторским надзором проектной организации в случаях предусмотренных СП 11-110 [40]. Результаты контроля фиксировать в журналах производства работ. Показатели оценки качества выполненных работ отражать в актах их приемки.
7.3.3
Приемку скрытых работ проводить для следующих работ:
- нагнетание раствора за обделку;
- установка арматуры монолитных обделок;
- сварка металлической гидроизоляции;
- подготовка поверхности тюбингов перед установкой водоотводящего зонта;
- укрепительная цементация грунта за обделкой;
- забутовка временных выработок.
Примечание - При приемке особо ответственных конструкций участие представителей проектных организаций, осуществляющих авторский надзор, является обязательным.
7.3.4
При приемке работ по возведению конструкций тоннелей проводить осмотр конструкций в натуре, проверять их соответствие рабочей документации, техническим условиям на производство работ и настоящему Своду правил, проверять чистоту поверхности обделки, качество заполнения чеканочных швов, болтовых и других отверстий, исправление мелких дефектов обделки, отсутствие течей и сырых пятен.
При приемке представлять:
- рабочие чертежи с записью о соответствии выполненных в натуре работ этим чертежам, подписанные лицами, ответственными за производство СМР, и согласованные проектной организацией (исполнительные чертежи);
- документы, удостоверяющие качество примененных материалов, конструкций и деталей;
- акты освидетельствования скрытых работ, журналы производства работ и авторского надзора.
7.3.5
При приемке сборной обделки тоннелей проверять:
- внутренние размеры уложенных колец;
- расположение колец в плане и профиле, их число, перевязку швов, ширину зазора между кольцами, а также наличие болтов;
- выполнение антикоррозийной защиты, заполнение заобделочных пустот раствором.
Кроме того, устанавливать наличие течей, сырых пятен, трещин, уступов между блоками, сколов и деформированных блоков.
Правильность сборки колец тоннельных обделок проверять путем измерения горизонтального и вертикального диаметров каждого кольца, а также двух диаметров под углом 45° к горизонту.
Допускаемые отклонения фактических размеров сборных обделок тоннелей от их проектного положения не должны превышать величин согласно Приложению 6А.
При приемке представляются исполнительные чертежи на укладку колец обделки и сборных конструкций тоннелей при открытом способе работ, паспорта на сборные конструкции, данные маркшейдерских измерений, сведения о геометрии и отклонениях уложенных колец от проекта и журналы производства работ по:
- нагнетанию за обделку раствора;
- чеканочным работам;
- оклеечной гидроизоляции, а также протоколы лабораторного анализа химического состава грунтовых вод.
7.3.6
При приемке работ по гидроизоляции сборной обделки тоннелей, сооружаемой закрытым способом, осуществлять выборочную проверку качества выполнения отдельных операций путем контрольной подтяжки пробок (до 5%) и контрольной подтяжки болтов (до 3%) общего установленного количества.
Качество работ по нагнетанию за обделку раствора и ликвидации течей устанавливать внешним осмотром, проверкой отсутствия пустот за обделкой с помощью металлического щупа через разбуриваемые скважины и нагнетанием раствора во вновь пробуренные скважины.
Гидроизоляцию обделки считать выдержавшей гидравлическое испытание и подлежащей приемке, если она окажется водонепроницаемой после испытания в течение 3 ч при заданном в проектной документации гидростатическом давлении, фиксируемом показаниями контрольных манометров испытательной сети.
Качество зацементированного грунта, окружающего обделку, определять нагнетанием воды в контрольные скважины, пробуренные с заглублением в грунт на 40-60 см.
Нагнетание считать законченным и удовлетворительным, если удельное водопоглощение грунта снижено и не превышает 0,01 л/мин.
При проверке качества гидроизоляции должны предъявляться журналы нагнетания раствора и чеканки швов.
7.3.7
Приемку выполненных работ по устройству оклеечной гидроизоляции в тоннелях осуществлять согласно ВСН 104 [59].
Оклеиваемая поверхность считается сухой, если рулонный материал нельзя оторвать без его разрыва.
При контроле наклейки отдельных слоев гидроизоляции подлежат проверке:
- непрерывность слоя и правильность соединений полотнищ в стыках;
- отсутствие дефектов: воздушных и водяных пузырей, отслоений, складок, трещин, острых перегибов и переломов, оползаний и механических повреждений;
- правильность защиты концов гидроизоляционного покрытия, оставленных для наращивания.
Прочность приклейки рулонного материала в гидроизоляции проверять пробным отрывом у края. Приклейка считается прочной, если при отрыве произойдет разрыв материала или разрушение мастики.
Генеральный подрядчик предъявляет заказчику журналы гидроизоляционных работ, акты освидетельствования на скрытые работы, исполнительную документацию, сертификаты и паспорта на примененные материалы, образцы гидроизоляционных материалов и готового покрытия для сопоставления с требованиями проекта, технических условий, норм и стандартов.
7.3.8
При приемке монолитных бетонных и железобетонных конструкций тоннелей подрядчик представляет заказчику:
- исполнительные чертежи на обделку с данными маркшейдерских измерений;
- сертификаты и паспорта, удостоверяющие марку и качество примененных материалов;
- журналы производства бетонных или железобетонных работ;
- журналы нагнетания раствора за обделку;
- акты на скрытые работы;
- протоколы лабораторного анализа химического состава грунтовых вод;
- акты испытания обделок тоннелей по ГОСТ 18105;
- данные химического анализа грунтовых вод.
При приемке арматуры железобетонных конструкций тоннелей проверять:
- соответствие рабочим чертежам марок стали по сертификатам, диаметры, количество и положение рабочей и распределительной арматуры;
- качество сборки каркаса, вязки элементов в узлах, стыкования стержней и качества сварки стержней арматуры по контрольным образцам.
7.3.9
При приемке верхнего строения пути и контактного рельса осуществлять проверку их показателей согласно проектной документации и ГОСТ 23961.
Надежность верхнего строения пути проверять пропуском подвижного состава (пробных поездов) при скоростях движения, устанавливаемых государственной приемочной комиссией в соответствии с проектной документацией.
7.3.10
Проверку соблюдения габаритов приближения строений и оборудования осуществлять первоначально с помощью габаритной тележки (шаблона) и окончательно - габаритным вагоном. Устранение выявленных отступлений от габаритов осуществлять по соответствующему предписанию.
7.3.11
Приемку в эксплуатацию объекта, на котором применена вновь осваиваемая технология, проводить независимо от соответствия достигнутых параметров проектным данным при условии выполнения всех работ, предусмотренных рабочей документацией.
7.4.1
Смонтированное инженерное оборудование по акту передавать заказчику для дальнейшего выполнения пусконаладочных работ.
7.4.2
Пусконаладочные работы выполнять в соответствии с СНиП 3.01.04, СНиП 3.05.01, СНиП 3.05.05, Наставлению [48], рабочей документацией, техническими условиями и эксплуатационной документацией предприятий - изготовителей оборудования.
7.4.3
Пусконаладочные работы включают в себя проверку, регулировку, настройку, тренировку и электрические измерения оборудования и систем, а также их контрольный пуск (опробование). Работы выполняются перед индивидуальными испытаниями, в период наладки и при комплексном опробовании оборудования.
Применяемые для пусконаладочных работ измерительные приборы должны быть поверены согласно ГОСТ 8.002.
Состав и программа пусконаладочных работ должны соответствовать техническим условиям предприятий - изготовителей оборудования, правилам по охране труда и технике безопасности, пожарной безопасности, а для эскалаторов, подъемного оборудования и оборудования, работающего под давлением, - требованиям Госгортехнадзора России.
В результате проведения пусконаладочных работ параметры оборудования и систем должны быть доведены до заданных проектных показателей или (при их отсутствии) до паспортных значений завода-изготовителя.
7.4.4
Выявляемые в процессе наладки и комплексного опробования оборудования дополнительные работы, не предусмотренные проектной документацией, выполнять в установленном порядке.
7.4.5
Дефекты оборудования, выявленные в процессе индивидуальных испытаний и наладки, должны устраняться заказчиком или предприятием-изготовителем до приемки объекта в эксплуатацию.
7.4.6
Для участия в пусконаладочных работах допускается привлекать инженерно-технический персонал организаций, принимающих в эксплуатацию эти объекты.
7.4.7
Пусконаладочные работы оформлять протоколами измерений технологических параметров, поверок и актами комплексных испытаний.
Заказчик передает наладочной организации:
- два комплекта проектной документации, утвержденной к производству работ;
- комплект эксплуатационной документации предприятий-изготовителей;
- заданные параметры работы оборудования, уставки электрических защит, блокировок и автоматики;
- запасные части и специальные инструменты, поступающие комплектно с оборудованием.
7.4.8
Заказчик назначает ответственных представителей по приемке пусконаладочных работ, согласовывает сроки выполнения работ, выделяет на объекте помещения для наладочного персонала и обеспечивает их охрану, создает на объекте необходимые условия безопасности труда и производственной санитарии.
7.4.9
Комплексное опробование эскалаторов осуществлять путем 48-часовой обкатки каждого эскалатора без нагрузки - 24 ч на подъем и 24 ч на спуск.
7.4.10
Пусконаладочные работы по устройствам связи выполнять в процессе монтажных работ.
Выход в эфир при настройке радиопередатчиков допускается только на частотах, сообщенных заказчиком.
7.4.11
Фотометрические измерения осветительных установок проводить по ГОСТ 24940.
Горизонтальную освещенность в пассажирских помещениях измерять на линии центральной продольной оси под светильниками и между ними, а также на расстоянии 1 м от стены помещения или края платформы.
7.5.1
Приемка объектов метрополитена в эксплуатацию осуществляется в соответствии с Градостроительным кодексом РФ, руководящими документами Федеральной Службы по экологическому, технологическому и атомному надзору (Ростехнадзор) и региональным распорядительным документом.
7.5.2
В соответствии с РД-11-04-2006 [60] Ростехнадзор проводит итоговую проверку объекта с оформлением акта установленного образца (Приложение №7 к РД 11-04-2006) и выдачей заключения о соответствии построенного, реконструированного, отремонтированного объекта капитального строительства требованиям технических регламентов (норм и правил), иных нормативных правовых актов и проектной документации.
7.5.3
Заказчиком – застройщиком оформляется акт приемочной комиссии по форме, определенной органами исполнительной власти регионального или муниципального уровня.
7.5.4
На основании заключения о соответствии и акта приемочной комиссии уполномоченными органами исполнительной власти выдается разрешение на ввод объекта в эксплуатацию в соответствии со ст. 5 Градостроительного кодекса РФ.
7.5.5
Государственная приемочная комиссия обязана:
- проверять устранение недоделок, выявленных рабочими комиссиями, и готовность объекта к приемке в эксплуатацию. Указанную проверку проводить по программе, составленной заказчиком и утвержденной государственной приемочной комиссией;
- давать оценку прогрессивности технологических и архитектурно-строительных решений и объекту в целом;
- назначать в необходимых случаях контрольные опробования, испытания и проверки сооружений и оборудования;
- проверять соответствие вводимой в действие мощности и фактической стоимости (для заказчика) объекта и сметной стоимости строительства объекта согласно утвержденному Проекту В случае отклонений анализировать причины их возникновения, результаты анализа с соответствующими предложениями представить органам, назначившим комиссию.
7.5.6
Заказчик представляет комиссии документацию согласно Приложению 7А, а также:
- справку об устранении недоделок, выявленных рабочими комиссиями;
- утвержденную проектно-сметную документацию и справку об основных технико-экономических показателях объекта;
- перечень проектных, научно-исследовательских и изыскательских организаций, участвовавших в проектировании объекта;
- документы об отводе земельных участков;
- документы на специальное водопользование;
- документы на геодезическую разбивочную основу для строительства, а также на геодезические работы в процессе строительства, выполненные заказчиком;
- документы о геологии и гидрогеологии в районе строительства, о результатах испытания грунта и анализах грунтовых вод;
- паспорта на оборудование и механизмы;
- акты о приемке сооружений, зданий и оборудования рабочими комиссиями;
- справку об обеспечении объекта эксплуатационными кадрами и предназначенными для их обслуживания санитарно-бытовыми помещениями, пунктами питания, жилыми и общественными зданиями;
- справку об обеспечении объекта материально-техническими ресурсами, в том числе электроэнергией, водой, паром, газом, сжатым воздухом и др.;
- справки городских эксплуатационных организаций о том, что внешние наружные коммуникации водоснабжения, канализации, теплоснабжения, газоснабжения, электроснабжения и связи обеспечат нормальную эксплуатацию объекта и приняты ими на обслуживание;
- справку о соответствии вводимых в действие мощностей (для начального периода освоения проектных мощностей) мощностям, предусмотренным проектам;
- справку о фактической стоимости строительства, подписанную заказчиком и подрядчиком;
- документы о разрешении на эксплуатацию объектов и оборудования, подконтрольных соответствующим органам государственного надзора, представители которых не вошли в состав государственной приемочной комиссии;
- сводные материалы рабочих комиссий о готовности объекта в целом к приемке в эксплуатацию государственной приемочной комиссией.
Перечисленную документацию после приемки объекта в эксплуатацию хранить у заказчика; при наличии единого заказчика - у соответствующих эксплуатационных организаций.
7.5.7
Государственная приемочная комиссия по результатам работы представляет акт о приемке объекта в эксплуатацию (Приложение 7В) и паспорт линии (Приложение 7Г).
Председатель государственной приемочной комиссии представляет в орган, назначивший комиссию:
- акт о приемке объекта в эксплуатацию;
- проект решения органа, назначившего государственную приемочную комиссию, об утверждении акта о приемке объекта в эксплуатацию;
- состав утвержденного пускового комплекса и пояснительную записку.
7.5.8
Рассмотрение актов о приемке в эксплуатацию объектов, принятие решений по результатам рассмотрения возражений отдельных членов комиссии и утверждение актов органами, назначившими эти комиссии, проводить в срок не более месяца.
7.5.9
Полномочия государственной приемочной комиссии прекращаются с момента утверждения акта о приемке объекта в эксплуатацию.
ПРИЛОЖЕНИЕ 2А
В настоящем нормативном документе использованы ссылки на следующие нормативные и инструктивные документы и справочную литературу.
I
Федеральные законы и постановления
190-ФЗ Градостроительный кодекс Российской Федерации.
184-ФЗ О техническом регулировании.
384-ФЗ Технический регламент о безопасности зданий и сооружений.
116-ФЗ О промышленной безопасности производственных объектов.
123-ФЗ Технический регламент о требованиях пожарной безопасности.
Постановление Правительства Российской Федерации № 20 от 19.01.2006г.
«Об инженерных изысканиях для подготовки проектной документации, строительства, реконструкции объектов капитального строительства».
Постановление Правительства Российской Федерации № 87 от 18.02.2008г.
«О составе разделов проектной документации и требованиях к их содержанию».
Постановление Правительства Российской Федерации 1047-р от 21 .06.2010г.
«Перечень национальных стандартов и сводов правил (частей таких стандартов и сводов правил), в результате применения которых на обязательной основе обеспечивается соблюдение требований федерального закона «Технический регламент о безопасности зданий и сооружений».
Постановление Правительства Российской Федерации № 1006 от 07.12.2010г.
«О дополнительных мерах по развитию метрополитенов в Российской Федерации».
Постановление Правительства Российской Федерации № 73 от 15.02.2011г.
«О некоторых мерах по совершенствованию подготовки проектной документации в части противодействию террористическим актам».
Указ Президента Российской Федерации № 403 от 31.03.2011
«О создании комплексной системы обеспечения безопасности населения на транспорте».
II
СНиПы
СП 14.13330.2011 Строительство в сейсмических районах. Актуализированная редакция СНиП II-7-81*.
СП 16.13330.2011 Стальные конструкции. Актуализированная редакция СНиП II-23-81*.
СП 20.13330.2011 Нагрузки и воздействия. Актуализированная редакция СНиП 2.01.07-85*.
СП 22.13330.2011 Основания зданий и сооружений. Актуализированная редакция СНиП 2.02.01-83*.
СНиП 2.02.04-88 Основания и фундаменты на вечномерзлых грунтах.
СНиП 2.05.07-91* Промышленный транспорт**.
СНиП 2.03.11-85 Защита строительных конструкций от коррозии.
СНиП 2.04.01-85* Внутренний водопровод и канализация зданий.
СНиП 2.04.02-84* Водоснабжение, наружные сети и сооружения.
СНиП 2.04.03-85 Канализация. Наружные сети и сооружения.
СП 35.13330.2011 Мосты и трубы. Актуализированная редакция СНиП 2.05.03-84*.
СНиП 2.06.15-85 Инженерная защита территорий от затопления и подтопления.
СП 44.13330.2011 Административные и бытовые здания. Актуализированная редакция СНиП 2.09.04-87*.
СНиП 12-01-2004 «Организация строительства».
СНиП 3.01.04-87 Приемка в эксплуатацию законченных строительством объектов. Основные положения.
СНиП 3.02.01-87 Земляные сооружения, основания и фундаменты.
СНиП 3.02.03-84 Подземные горные выработки.
СНиП 3.03.01-87 Несущие и ограждающие конструкции.
СНиП 3.04.03-85 Защита строительных конструкций и сооружений от коррозии.
СНиП 3.05.01-85 Внутренние санитарно-технические системы.
СНиП 3.05.05-84 Технологическое оборудование и технологические трубопроводы.
СНиП 3.05.06-85 Электротехнические устройства.
СНиП 3.05.07-85 Системы автоматизации.
СНиП 11-02-96 Инженерные изыскания для строительства. Основные положения.
СНиП 12-03-2001 Безопасность труда в строительстве. Часть 1. Общие требования.
СНиП 12-04-2002 Безопасность труда в строительстве. Часть 2. Строительное производство.
СНиП 20-01-2003 Надежность строительных конструкций и оснований. Основные положения по расчету.
СНиП 21-01-97* Пожарная безопасность зданий и сооружений.
СНиП 22-01-95 Геофизика опасных природных воздействий.
СНиП 22-02-2003 Инженерная защита территорий, зданий и сооружений от опасных геологических процессов. Основные положения проектирования.
СНиП 23-01-99* Строительная климатология.
СП 51.13330.2011 Защита от шума. Актуализированная редакция СНиП 23-03-2003.
СП 52.13330.2011 Естественное и искусственное освещение. Актуализированная редакция СНиП 23-05-95*.
СНиП 32-01-95 Железные дороги колеи 1520 мм.
СНиП 32-02-2003 Метрополитены.
СНиП 41-01-2003 Отопление, вентиляция и кондиционирование.
СНиП 41-02-2003 Тепловые сети.
СНиП 52-01-2003 Бетонные и железобетонные конструкции. Основные положения.
III
ГОСТы
ГОСТ 1412-85 Чугун с пластинчатым графитом для отливок. Марки.
ГОСТ 3262-75* Трубы стальные водогазопроводные. Технические условия.
ГОСТ 6942-98 Трубы чугунные канализационные и фасонные части к ним. Общие технические условия.
ГОСТ 7293-85 Чугун с шаровидным графитом для отливок. Марки.
ГОСТ 7392-85* Щебень из природного камня для балластного слоя железнодорожного пути. Технические условия.
ГОСТ 7394-85* Балласт гравийный и гравийно-песчаный для железнодорожного пути. Технические условия.
ГОСТ 8732-78* Трубы стальные бесшовные горячедеформированные. Сортамент.
ГОСТ 8816-70* Брусья деревянные для стрелочных переводов железных дорог широкой колеи. Технические условия.
ГОСТ 9479-98 Блоки из горных пород для производства облицовочных архитектурно-строительных, мемориальных и других изделий. Технические условия.
ГОСТ 9480-89 Плиты облицовочные пиленые из природного камня. Технические условия.
ГОСТ 9583-75* Трубы чугунные напорные, изготовленные методами центробежного и полунепрерывного литья. Технические условия.
ГОСТ 9940-81* Трубы бесшовные горячедеформированные из коррозионно-стойкой стали. Технические условия.
ГОСТ 10060.0-95 Бетоны. Методы определения морозостойкости. Общие требования.
ГОСТ 10060.4-95 Бетоны. Структурно-механический метод ускоренного определения морозостойкости.
ГОСТ 10180-90 Бетоны. Методы определения прочности по контрольным образцам.
ГОСТ 10434-82* Соединения контактные электрические. Классификация. Общие технические требования.
ГОСТ 10629-88 Шпалы железобетонные предварительно напряженные для железных дорог колеи 1520 мм. Технические условия.
ГОСТ 10704-91 Трубы стальные электросварные прямошовные. Сортамент.
ГОСТ 10922-90 Арматурные и закладные изделия сварные, соединения сварные арматуры и закладных изделий железобетонных конструкций. Общие технические условия.
ГОСТ 12730.5-84* Бетоны. Методы определения водонепроницаемости.
ГОСТ 13078-81 Стекло натриевое жидкое. Технические условия.
ГОСТ 14098-91 Соединения сварные арматуры и закладных изделий железобетонных конструкций. Типы, конструкция и размеры.
ГОСТ 15150-69 Машины, приборы и другие технические изделия. Исполнения для различных климатических районов. Категории, условия эксплуатации, хранения и транспортирования в части воздействия климатических факторов внешней среды.
ГОСТ 18105-86* Бетоны. Правила контроля прочности.
ГОСТ 22733-2002 Грунты. Метод лабораторного определения максимальной плотности.
ГОСТ 22830-77* Шпалы деревянные для метрополитена. Технические условия.
ГОСТ 23407-78 Ограждения инвентарные строительных площадок и участков производства строительно-монтажных работ. Технические условия.
ГОСТ 23961-80 Метрополитены. Габариты приближения строений, оборудования и подвижного состава.
ГОСТ 24940-96 Здания и сооружения. Методы измерения освещенности.
ГОСТ 26633-91* Бетоны тяжелые и мелкозернистые. Технические условия.
ГОСТ 26814-86 Кабели оптические. Методы измерения параметров.
ГОСТ 27751-88 Надежность строительных конструкций и оснований. Основные положения по расчету.
ГОСТ 28196-89* Краски водно-дисперсионные. Технические условия.
ГОСТ 30547-97* Материалы рулонные кровельные и гидроизоляционные. Общие технические условия.
ГОСТ 8.002-86 ГСИ. Государственный надзор и ведомственный контроль за средствами измерений. Основные положения.
ГОСТ 9.402-80* ЕСЗКС. Покрытия лакокрасочные. Подготовка металлических поверхностей перед окрашиванием.
ГОСТ 9.602-89* ЕСЗКС. Сооружения подземные. Общие требования к защите от коррозии.
ГОСТ 12.1.004-91* ССБТ. Пожарная безопасность. Общие требования.
ГОСТ 12.1.005-88* ССБТ. Общие санитарно-гигиенические требования к воздуху рабочей зоны.
ГОСТ 12.4.059-89 ССБТ. Строительство. Ограждения предохранительные инвентарные. Общие технические условия.
ГОСТ 17.1.3.13-86 Охрана природы. Гидросфера. Общие требования к охране поверхностных вод от загрязнения.
ГОСТ 17.1.5.02-80 Охрана природы. Гидросфера. Гигиенические требования к зонам рекреации водных объектов.
ГОСТ 17.4.2.01-81 Охраны природы. Почвы. Номенклатура показателей санитарного состояния.
ГОСТ 17.4.3.06-86 Охрана природы. Почвы. Общие требования к классификации почв по влиянию на них химических загрязняющих веществ.
ТУ 11-91 Продукт "Альфа". Технические условия ЕТ 0.029.026 ТУ.
ТУ 2246-049-00203387-99 Полотна "Гидропласт" для защиты гидроизоляции.
ТУ 5865-001-00043920-96 Изделия сборные железобетонные для сооружений метрополитена.
ТУ 35-521-90 Тюбинги чугунные. Комплекты тюбингов колец 5,5/5,1; 6,0/5,6; 7,5/7,0; 8,5/7,8; 9,8/8,8; и перемычек пролетом 3,0; 3,75.
IV
Санитарные нормы
СанПиН 2.1.5.980-00 Гигиенические требования к охране поверхностных вод.
СанПиН 2.1.8/2.4.1190-03 «Гигиенические требования к размещению и эксплуатации средств сухопутной подвижной радиосвязи».
СанПин 2.1.2.2645-10 «Санитарно-эпидемиологические требования к условиям проживания в жилых зданиях и помещениях».
СанПиН 2.1.4.1074-01*
«Питьевая вода. Гигиенические требования к качеству воды централизованных систем питьевого водоснабжения. Контроль качества. Гигиенические требования к обеспечению безопасности систем горячего водоснабжения».
СанПиН 2.1.8/2.4.1383-03 «Гигиенические требования к размещению и эксплуатации передающих радиотехнических объектов».
СанПиН 2.2.1/2.1.1.1200-03 «Санитарно-защитные зоны и санитарная классификация предприятий, сооружений и иных объектов» с изменениями №1, №2 (СанПиН 2.2.1/2.1.1.2555-09) и №3 (СанПиН 2.2.1/2.1.1.2739-10).
СанПиН 2.2.2/2.4.1340-03 «Гигиенические требования к персональным электронно-вычислительным машинам и организации работ» с изменениями №1 (СанПиН 2.2.2/2.4.2198-07) и №2 (СанПиН 2.2.2/2.4.2620-10).
СанПиН 2.2.4.1191-03 «Электромагнитные поля в производственных условиях» с изменением 1 (СанПиН 2.1.8/2.2.4.2490-09).
СанПиН 2.2.4.548-96 «Гигиенические требования к микроклимату производственных помещений».
СанПиН 2.2.4/2.1.8.582-96 «Гигиенические требования при работах с источниками воздушного и контактного ультразвука промышленного, медицинского и бытового назначения».
СанПиН 2.6.1.2523-09 «Нормы радиационной безопасности НРБ-99/2009».
СанПиН 3.5.2.1376-03 «Санитарно-эпидемиологические требования к организации и проведению дезинсекционных мероприятий против синантропных членистоногих».
СанПиН 2.1.4.1074-01 Питьевая вода. Гигиенические требования к качеству воды централизованных систем питьевого водоснабжения. Контроль качества.
СанПиН 2.1.6.1032-01 Гигиенические требования к обеспечению качества атмосферного воздуха населенных мест.
СанПиН 2.2.1/2.1.1.1200-03 Санитарно-защитные зоны и санитарная классификация предприятий, сооружений и иных объектов.
СанПиН 2.2.4.548-96 Гигиенические требования к микроклимату производственных помещений.
СанПиН № 4630-88 Санитарные правила и нормы охраны поверхностных вод от загрязнения.
СН 2.2.4/2.1.8.562-96 «Шум на рабочих местах, в помещениях жилых, общественных зданий и на территории жилой застройки».
СН 2.2.4/2.1.8.566-96 «Производственная вибрация, вибрация в помещениях жилых и общественных зданий».
СН 2.2.4/2.1.8.583-96 «Инфразвук на рабочих местах, в жилых и общественных помещениях и на территории жилой застройки».
СП 2.5.1337-03 «Санитарные правила эксплуатации метрополитенов» с изменениями и дополнениями 1 (СП 2.5.2625-10).
СП 3.5.3.1129-02 «Санитарно-эпидемиологические требования к проведению дератизации».
ГН 2.1.5.1315-03 Предельно допустимые концентрации (ПДК) химических веществ в воде водных объектов хозяйственно-питьевого и культурно-бытового водопользования.
ГН 2.1.5.1316-03 Ориентировочные допустимые уровни (ОДУ) химических веществ в воде водных объектов хозяйственно-питьевого и культурно-бытового водопользования.
ГН 2. 1.6.2309-07 «Ориентировочные безопасные уровни воздействия (ОБУВ) загрязняющих веществ в атмосферном воздухе населенных мест».
ГН 2.1.6.1338-03 «Предельно допустимые концентрации (ПДК) загрязняющих веществ в атмосферном воздухе населенных мест.
ГН 2.1.8/2.2.4.2262-07 «Предельно допустимые уровни магнитных полей частотой 50 Гц в помещениях жилых, общественных зданий и на территории жилой застройки».
ГН 2.2.5.1313-03 «Предельно допустимые концентрации (ПДК) вредных веществ в воздухе рабочей зоны».
ГН 2.2.5.2308-07 «Ориентировочные безопасные уровни воздействия (ОБУВ) вредных веществ в воздухе рабочей зоны».
ГН 2.1.6.1338-03 Предельно допустимые концентрации (ПДК) загрязняющих веществ в атмосфере воздуха населенных мест.
V
Доступность метрополитена для инвалидов и маломобильных групп населения
СНиП 35-01-2001 «Доступность зданий и сооружений для маломобильных групп населения» (приняты и введены в действие постановлением Госстроя России от 16.07.2001 г. № 73).
СП 35-101-2001 «Проектирование зданий и сооружений с учетом доступности для маломобильных групп населения. Общие положения» (одобрен постановлением Госстроя России от 16.07.2001 г. № 70).
СП 35-103-2001 «Общественные здания и сооружения, доступные маломобильным посетителям» (одобрен и рекомендован к применению постановлением Госстроя России от 16.07.2001 г. № 72).
Постановление Правительства Москвы от 06.08.2002 г. № 623-ПП «Об утверждении Норм и правил проектирования комплексного благоустройства на территории города Москвы МГСН 1.02-02».
ГОСТ Р 52875-2007 «Указатели тактильные наземные для инвалидов по зрению» (утвержден и введен в действие приказом Федерального агентства по техническому регулированию и метрологии от 27.12.2007 г. № 553-ст).
ГОСТ Р 51630-2000 «Платформы подъемные с вертикальным и наклонным перемещением для инвалидов. Технические требования доступности» (принят и введен в действие Постановлением Госстандарта РФ от 21.07.2000 N 195-ст).
ГОСТ Р 51631-2008 «Лифты пассажирские. Технические требования доступности, включая доступность для инвалидов и других маломобильных групп населения» (утвержден и введен в действие приказом Федерального агентства по техническому регулированию и метрологии от 21.07.2008 г. № 143-ст).
ГОСТ Р 51261-99 «Устройства опорные стационарные реабилитационные» (принят и введен в действие постановлением Госстандарта России от 13.04.1999 г. № 123).
ГОСТ Р 50918-96 «Устройства отображения информации по системе шрифта Брайля. Общие технические условия» (принят и введен в действие постановлением Госстандарта России от 20.06.1996 г. № 420).
ГОСТ Р 51671-2000 «Средства связи и информации технические общего пользования, доступные для инвалидов. Классификация. Требования доступности и безопасности» (принят и введен в действие постановлением Госстандарта России от 21.11.2000 г. № 308-ст).
Правила устройства и безопасной эксплуатации платформ подъемных для инвалидов (постановление Госгортехнадзора России № 10 от 11.03.2001 г.).
Постановление Госгортехнадзора РФ от 16.05.2003 № 31 «Об утверждении Правил устройства и безопасной эксплуатации лифтов».
МДС 35-9.2000 «Рекомендации по проектированию окружающей среды, зданий и сооружений с учетом потребностей инвалидов и других маломобильных групп населения».
Общественные здания и сооружения. Здания и сооружения транспортного назначения (Госстрой России, Минсоцзащиты России, АО ЦНИИЭП им. Б.С. Мезенцева).
Пособие по комплексному проектированию окружающей среды для людей с физическими ограничениями. Доступный транспорт (утверждено и введено в действие указанием Москомархитектуры № 10 от 23.02.2000 г.).
VI
Инструктивные материалы
[1] СП 32-106-2004 Метрополитены. Дополнительные сооружения и устройства.
[2] СП 11-105-97 Инженерно-геологические изыскания для строительства. Часть 1. Общие правила производства работ.
[3] СП 11-102-97 Инженерно-геологические изыскания для строительства.
[4] Инструкция по сигнализации на метрополитенах Российской Федерации.
[5] Правила технической эксплуатации метрополитенов Российской Федерации.
[6] ВСН 132-92 Правила производства и приёмки работ по нагнетанию растворов за тоннельную обделку.
[7] СТО-ГК «Трансстрой» 014-2007 Траншейная стена в грунте. Конструкция и технология сооружения для объектов транспортного строительства.
[8] ВСН-193-81 Инструкция по учёту сейсмических воздействий при проектировании горных транспортных тоннелей.
[9] ВСН 130-92 Правила производства и приёмки работ по герметезации стыков и отверстий сборной тоннельной обделки при закрытом способе строительства.
[10] СН 484-76 Инструкция по инженерным изысканиям в горных выработках, предназначенных для размещения объектов народного хозяйства.
[11] Технические указания по устройству, укладке и содержанию бесстыкового пути, утверждённые МПС России 03.10.91 г.
[12] НПБ 239-97 Воздуховоды. Метод испытаний на огнестойкость.
[13] СП 41-101-95 Проектирование тепловых пунктов.
[14] ТУ 1461-037-502540-94-2008 Трубы чугунные напорные ВЧШГ.
[15] ПУЭ Правила устройства электроустановок.
[16] РД 153-34.0-20.527-98 Руководящие указания по расчёту токов короткого замыкания и выбору электрооборудования.
[17] СП 32-105-2004 Метрополитены.
[18] СП 2.5.2623-10 Санитарные правила эксплуатации метро.
[19] Рекомендации по проектированию и эксплуатации осветительных установок пассажирских помещений станций метрополитена. – М.: МНИИТЭП, 1989.
[20] КСЦ Метро-2 Отраслевые нормы искусственного освещения производственных объектов и подвижного состава метрополитенов. ВНИИЖТ, 1987 г.
[21] СТН Ц-01-95 Железные дороги колеи 1520 мм.
[22] СП 12.13130.2009 Определение категорий помещений, зданий и наружных установок по взрывопожарной и пожарной опасности.
[23] СП 3.5.3.1029-02 Санитарно-эпидемиологические требования к проведению дератизации.
[24] Методические указания по производству микроклиматических обследований в период изысканий. – М.: Гидрометеоиздат, 1968.
[25] ОНД-1-84 Инструкция о порядке рассмотрения, согласования и экспертизы воздухоохранных мероприятий и выдачи разрешений на выброс загрязняющих веществ.
[26] СП 33-101-2003 Определение основных расчётных гидрологических характеристик.
[27] Положение о водоохранных зонах (полосах) рек, озёр и водохранилищ. Постановление Правительства РФ № 1404 от 23.11.1996 г.
[28] Методики оценки природной защищённости эксплуатируемых водоносных горизонтов. – М.: ВСЕГИНГЕО, 1972.
[29] Временные правила охраны окружающей среды от отходов производства и потребления в Российской Федерации. – М.: Минприроды России, 19994.
[30] ВСН 211-91 Инструкция по прогнозированию уровней вибрации грунта от движения поездов метрополитена и расчёт виброзащитных строительных устройств.
[31] СП 23-104-2004 Оценка шума при проектировании, строительстве и эксплуатации объектов метрополитена.
[32] СП 23-105-2004 Оценка вибрации при проектировании, строительстве и эксплуатации объектов метрополитена.
[33] СП 12-103-2002 Пути наземные рельсовые крановые. Проектирование, устройство и эксплуатация.
[34] Инструкция по устройству гидроизоляции сборных железобетонных и чугунных обделок тоннелей метрополитенов закрытого способа работ. М.: Главтоннельметрострой, 1985.
[35] ПБ 13-407-01 Единые правила безопасности при взрывных работах.
[36] Рекомендации по проектированию и сооружению опережающего экрана из труб с применением микротоннелепроходческих комплексов при строительстве тоннелей. Тоннельная Ассоциация России, 1999.
[37] СТО-ГК «Трансстрой» -013-2007 Нагельное крепление котлованов и откосов в транспортном строительстве.
[38] РД 07-225-98 Инструкция о порядке ликвидации и консервации подземных сооружений, не связанных с добычей полезных ископаемых.
[39] ПБ 03-428-02 Правила безопасности при строительстве подземных сооружений.
[40] СП 11-110-99 Авторский надзор за строительством зданий и сооружений.
[41] Правила использования территорий технических и охранных зон метрополитена в городе Москве. Правительство Москвы.
[42] Инструкция по нивелированию I, II, III. IV классов. – М.: Недра, 1990.
[43] 07-02-ПД-001128-2009 Методическое руководство по комплексному горно-экологическому мониторингу при строительстве и эксплуатации транспортных тоннелей.
[44] ВСН 126-90 Нормы проектирования и производства работ по креплению выработок набрызг-бетоном и анкерами при строительстве транспортных тоннелей и метрополитенов.
[45] ВСН 127-91 Инструкция по проектированию и производству работ по искусственному понижению уровня грунтовых вод при сооружении тоннелей и метрополитенов.
[46] СО 153-34.21.122-2003 Инструкция по устройству молниезащиты зданий, сооружений и промышленных коммуникаций.
[47] ПБ 10-382-00 Правила устройства и безопасной эксплуатации грузоподъёмных кранов.
[48] Наставление производителю работ и строительному мастеру. Укладка пути и контактного рельса метрополитена. Минтрансстрой СССР, 1971.
[49] ПР 32ЦШ 10.02-96 Правила по монтажу устройств СЦБ.
[50] ПР 32 ЦШ 10.01-95 Правила по прокладке и монтажу кабелей устройств СЦБ.
[51] ОСТН-600-93 Отраслевые строительно-технические нормы на монтаж сооружений, устройств связи, радиовещания и телевидения.
[52] ПБ 10-77-94 Правила устройства и безопасной эксплуатации эскалаторов.
[53] ПБ 10-558 Правила устройства и безопасной эксплуатации лифтов.
[54] ПОТ Р М-016-2001/РД 153-34.0-03.150-00 Межотраслевые правила по охране труда (правила безопасности) при эксплуатации электроустановок.
[55] СП 40-102-2000 Проектирование и монтаж трубопроводов систем водоснабжения и канализации из полимерных материалов. Общие требования.
[56] РД 34.45.-51.300-97 Объём и нормы испытания электрооборудования.
[57] ОСТ 45.62-97 Линейное оборудование абонентских линий учрежденческо-производственных автоматических станций. Нормы эксплуатационные. Минсвязи России.
[58] Нормы искусственного освещения при строительстве тоннелей и метрополитенов. Минтрансстрой, 1989.
[59] ВСН 104-93 Нормы по проектированию и устройству гидроизоляции тоннелей метрополитенов, сооружаемых открытым способом.
[60] РД-11-04-2006 Порядок проведения проверок при осуществлении государственного строительного надзора и выдачи заключений о соответствии построенных, реконструированных, отремонтированных объектов капитального строительства требованиям технических регламентов (норм и правил), иных нормативных правовых актов и проектной документации.
[61] ВСН 160-69 Инструкция по геодезическим и маркшейдерским работам при строительстве транспортных тоннелей.
[62] ПБ 03-576-03 Правила устройства и безопасной эксплуатации сосудов, работающий под давлением.
ПРИЛОЖЕНИЕ 2Б
В настоящих нормах применяют следующие термины с соответствующими определениями.
Примечание - перечень терминов и определений и обозначений представлен в алфавитном порядке.
Термины и определения
Аварийный
выход
- путь выхода персонала из производственных и других помещений, отвечающий требованиям СНиП 21-01.
Автоматизированное рабочее место диспетчера - комплекс технических средств,
позволяющих диспетчеру соответствующих подразделений метрополитена управлять оборудованием и получать достоверную информацию о его техническом состоянии в любое время.
Вентиляционная
установка - совокупность вентиляционного, электротехнического и вспомогательного оборудования совместно с помещениями, где оно расположено, горизонтальными, наклонным или вертикальным вентиляционными каналами и устройством для забора (выброса) воздуха.
Вентиляционно-кабельный
канал
- помещение (см. вентиляционный канал), используемое также для размещения в нем кабелей.
Вентиляционный
канал
- помещение (тоннель, отсек, коридор, ствол шахты и др.) со свободным проходом по всей длине, используемое в качестве воздуховода в системах тоннельной вентиляции.
Вентиляционный
киоск
(венткиоск, киоск) - отдельно расположенное или встроенное сооружение на поверхности земли, используемое в вентиляционных системах для забора или выброса воздуха.
Визуальные средства информации
– носители информации в виде зрительно различимых текстов, знаков, символов, световых сигналов и т. п., передаваемых в том числе людям с нарушением функций органов слуха.
Воздушный
промежуток контактного рельса
- зона, где контактный рельс разделяется на отдельные секции.
Вход адаптированный
– вход, приспособленный для прохода маломобильных посетителей, в том числе на креслах-колясках.
Гальваническая
связь - наличие непрерывной связи по металлу в строительных конструкциях, в проводниках электрических сетей и др.
Гальваническое
разделение
- отсутствие непрерывной связи по металлу в строительных конструкциях, в проводниках электрических сетей и др.
Доступность (безбарьерность)
– свойство здания, помещения, места обслуживания, позволяющее беспрепятственно достичь места и воспользоваться услугой.
Доступные для МГН здания и сооружения
– здания и сооружения, в которых реализован комплекс архитектурно-планировочных, инженерно-технических, эргономических, конструкционных и организационных мероприятий, отвечающих нормативным требованиям по обеспечению доступности и безопасности МГН.
Досягаемость
– свойство мест обслуживания, имеющих параметры, обеспечивающие возможность воспользоваться, дотянуться до предмета, объекта пользования.
Заложение
линии:
глубокое
заложение - заложение линии на глубине, при которой станции и перегонные тоннели сооружаются закрытым способом, без вскрытия дневной поверхности;
мелкое
заложение - заложение линии на глубине, при которой станции сооружаются открытым способом, перегонные тоннели - открытым или закрытым способом на минимально допустимой глубине.
Зона безопасности
– зона (полоса) у края функционального элемента (площадки), предназначенная для предотвращения травмо-опасных ситуаций.
Зона
коллективной защиты пассажиров
- отдельное подземное помещение для размещения пассажиров при возникновении в перегонных тоннелях чрезвычайной ситуации, угрожающей жизни или здоровью пассажиров, оборудованное отдельными системами пожарной безопасности, освещения, связи, вентиляции и канализации.
Инвалид
– человек, имеющий нарушения здоровья со стойким расстройством функций организма, в том числе с поражением опорно-двигательного аппарата, недостатками зрения и дефектами слуха, приводящими к ограничению жизнедеятельности.
Источник
бесперебойного питания
- электроустановка, состоящая из агрегата бесперебойного питания, включающего аккумуляторную батарею и преобразователи электроэнергии, и распределительных устройств.
Кабельное
сооружение
(кабельный тоннель коллектор, коридор, этаж, шахта, отсек, камера) - сооружение со свободным проходом по всей длине, предназначенное для размещения в них кабелей и кабельных муфт.
Линия
метрополитена (линия)
- автономная часть метрополитена со станциями, перегонами и тупиками, предназначенная для движения поездов по одному маршруту.
Маломобильные группы населения (МГН)
– люди, испытывающие затруднения при самостоятельном передвижении, получении услуги, необходимой информации или при ориентировании в пространстве. К маломобильным группам населения относятся: инвалиды, люди с временным нарушением здоровья, беременные женщины, люди старших возрастов, люди с детскими колясками и т.п.
Метрополитен
- вид электрифицированного городского внеуличного (подземного, наземного, надземного) пассажирского транспорта.
Объект
строительства (объект)
- сооружение или группа сооружений, объединяемых единым функциональным назначением или технологическим процессом, строительство которого выполняется по разработанной и утвержденной в установленном порядке проектной документации.
Опасные
производственные объекты
- объекты, на которых используются, транспортируются и хранятся взрывчатые вещества; используются стационарно установленные грузоподъемные механизмы и эскалаторы; ведутся горные работы, а также работы в подземных условиях.
Особо
охраняемая природная территория
- территория города с расположенными на ней природными объектами, имеющими особое природоохранное, научное, культурное, эстетическое, рекреационное и оздоровительное значение, на которой в соответствии с законодательством установлен режим особой охраны. К таким территориям относятся национальный парк, природный заказник, городской лес или лесопарк, водоохранная зона и др.
Охранная
зона
- участок городской территории, расположенный над действующим подземным сооружением метрополитена и в непосредственной близости от него, возможность использования которого для нового строительства, прокладки дорог, коммуникаций, бурения скважин и т.п. должна согласовываться с администрацией метрополитена.
Пандус
– сооружение, имеющее наклонную по направлению движения поверхность и предназначенное для перемещения с одного уровня горизонтальной поверхности пути на другой.
Пассажирский
конвейер
- транспортная установка, представляющая собой непрерывно движущуюся поверхность из пластин или сплошной ленты для транспортирования пассажиров на одном уровне или с одного уровня на другой.
Пассажирское помещение
- объемно-планировочные элементы станции (кассовый и эскалаторный зал, переходные коридоры и эскалаторные тоннели, лестницы, платформенные залы и др.), предназначенные для передвижения и пребывания пассажиров.
Перекрываемый
(неперекрываемый) ВПКР
- промежуток между двумя участками контактного рельса, длина которого меньше (больше) расстояния между токоприемниками одного вагона.
Пересадочное
сооружение
- сооружение между станциями, предназначенное для перехода пассажиров с одной станции на другую, включающее пассажирские помещения (коридоры), эскалаторы и лестницы, производственные и бытовые помещения.
Подъем
– разность уровней (вертикальный размер) между ближайшими горизонтальными плоскостями наклонного пути движения.
Подъемное устройство (платформа)
– стационарная грузоподъемная машина периодического действия для подъема и спуска пользователей, размещающихся на платформе. Платформы с вертикальным перемещением - под углом не более 15°, платформы с наклонным перемещением - под углом не более 75°.
Полоса движения -
часть пешеходного пути, предназначенная для движения в один ряд в одном направлении,
Пошерстное
(противошерстное) движение поезда
- движение поезда по стрелочному переводу в направлении от крестовины к остряку (от остряка к крестовине).
Провозная
способность
- объем пассажирских перевозок (тыс. пассажиров в час) при максимально возможных размерах движения (число вагонов в поезде и поездов в час) в одном или обоих направлениях.
Пропускная
способность
- размер движения (пар поездов), который может быть выполнен за единицу времени (час, сутки) в зависимости от технической оснащенности и способа организации движения поездов; расчетное число пассажиров для различных участков пути их движения.
Пусковой
комплекс
- участок линии, часть станции, электродепо или другого объекта метрополитена совместно с их инженерными системами, выделяемый из состава объекта строительства, способный обеспечивать временное функционирование сооружения в первый период эксплуатации.
Пути
линии
:
главные
- пути для обращения поездов с пассажирами на перегонах и станциях;
станционные
- пути для оборота поездов, отстоя и технического обслуживания подвижного состава;
соединительные
- пути для соединения путей линии с путями электродепо или путями другой линии;
предохранительные
- тупиковые пути, предназначенные для предотвращения выхода подвижного состава на маршруты следования поездов.
Пути
электродепо
:
парковые
- пути для проведения маневров, обкатки подвижного состава, погрузки и выгрузки грузов, расположенные вне зданий;
деповские
- пути для отстоя, технического обслуживания и ремонта подвижного состава, расположенные в зданиях.
Путь движения
- пешеходный путь, используемый МГН, в том числе инвалидами на креслах-колясках, для перемещения по участку (дорожки, тротуары, пандусы и т.д.), а также внутри зданий и сооружений.
Сильноточная
(слаботочная) сторона тоннеля
- сторона тоннеля, находящаяся слева (справа) по отношению к движущемуся в правильном направлении поезду.
Система средств информации (информационные средства) –
совокупность носителей информации, обеспечивающих для МГН своевременное ориентирование в пространстве, способствующих безопасности и удобству передвижения.
Среда
жизнедеятельности
– материальная среда, окружающая человека, в которой или при помощи которой он осуществляет все свои жизненные потребности, в том числе здания и сооружения, их оборудование, оснащение и прилегающая территория.
Станция
- подземный или наземный остановочный пункт, предназначенный для посадки и высадки пассажиров, включающий вестибюли, эскалаторы или лестницы, платформенные и средний залы, помещения для обслуживания пассажиров, размещения эксплуатационного персонала и производственного оборудования.
Табло
– указатели с механическим, электронным или иным приводом изменения символов на их рабочей поверхности.
Тактильное покрытие
– покрытие с ощутимым изменением фактуры поверхностного слоя.
Тактильные средства информации
-
носители информации, передаваемой инвалидам по зрению и воспринимаемой путем осязания, т.е. прикосновением к ним.
Теплый
период года (для подземных сооружений)
- время года, в течение которого среднемесячные температуры наружного воздуха выше или равны естественной температуре грунта, измеренной до начала эксплуатации метрополитена.
Технические
зоны:
техническая
зона для строительства
- городская территория, отводимая в соответствии с генеральным планом развития города для последующего строительства участков линии метрополитена открытым способом, для размещения электродепо и других наземных сооружений, а также строительных площадок при строительстве объектов метрополитена закрытым способом;
техническая
зона для эксплуатации
- свободный участок городской территории, непосредственно примыкающий к объекту метрополитена и используемый для обеспечения нормального функционирования объекта (входа и выхода пассажиров, размещения ремонтных машин, оборудования и материалов в период ремонтных работ).
Техническое средство реабилитации человека с ограничениями жизнедеятельности
– любая продукция, инструмент, оборудование или технологическая система, используемые человеком с ограничением жизнедеятельности и обладающие специальными свойствами, которые позволяют предотвратить, компенсировать, ослабить или нейтрализовать ограничение жизнедеятельности.
Трудные
условия
- сложные инженерно-геологические, гидрогеологические и другие местные условия, когда применение основных норм проектирования связано со значительным увеличением объема строительно-монтажных работ, с необходимостью коренного переустройства сооружений, создания новых видов оборудования и устройств, со сносом капитальных сооружений и т.п.
Тупик
- тоннель с одним или двумя станционными путями для оборота, отстоя и технического обслуживания подвижного состава на линии.
Тяговая
сеть
- электрическая сеть, обеспечивающая подвод электроэнергии от подстанции к электроподвижному составу. В состав тяговой сети входят:
контактная
сеть
- контактный рельс, кабельные питающие линии, кабельные перемычки между участками контактного рельса, устройства присоединения кабелей к контактному рельсу;
отсасывающая
сеть
- ходовые рельсы, дроссель-трансформаторы, электрические соединители участков ходового рельса одного пути (проводом) и ходовых рельсов разных путей (кабелями или проводами), кабельные отсасывающие линии.
Установка
местной вентиляции
- установка, предназначенная для вентиляции производственных, бытовых, административных и других помещений подземных станций и притоннельных сооружений.
Установка
тоннельной вентиляции
- установка, предназначенная для вентиляции пассажирских помещений подземных станций, перегонных, тупиковых и соединительных тоннелей.
Участок
– территория, функционально связанная со зданием.
Холодный
период года (для подземных сооружений) - время года, в течение которого среднемесячные температуры наружного воздуха ниже естественной температуры грунта, измеренной до начала эксплуатации метрополитена.
Эвакуационный
выход
- путь выхода пассажиров наружу при возникновении на платформе станции или в перегонных тоннелях чрезвычайной ситуации, угрожающей жизни или здоровью пассажиров.
Эксплуатационный
персонал (персонал) - специально подготовленные лица, прошедшие проверку знаний в объеме, обязательном для данной работы или должности.
Электроустановка
- совокупность машин, аппаратов, линий и вспомогательного оборудования совместно с помещениями, где они установлены, предназначенных для производства, преобразования, трансформации, передачи, распределения электрической энергии и преобразования ее в другой вид энергии.
Сокращения
АБ
- аккумуляторная батарея или автоматическая блокировка (в зависимости от содержания текста)
АБК
- административно-бытовой корпус (в электродепо)
АЗС
- автозаправочная станция
АКП
- автоматический контрольный пункт
АОС
- автоматическая охранная сигнализация
АРМ
– автоматизированное рабочее место диспетчера
АРМ – Д -
движения;
АРМ – Э
- электроснабжения
АРМ – ЭМС -
электромеханической службы;
АРМ – ЭС -
эскалаторной службы;
АРС
- автоматическое регулирование скорости (поездов)
АСОП
- автоматизированная система оплаты проезда
АТДП
- управление движением поездов
АТС
- автоматическая телефонная станция
АУПС
- автоматическая установка пожарной сигнализации
АУПТ
- автоматическая установка пожаротушения
БВР
- буровзрывные работы
ВЗ
- воздушная завеса
ВКУ
- видеоконтрольное устройство
ВОУ
- водоотливная установка
ВПКР
- воздушный промежуток контактного рельса
ВТЗ
- воздушно-тепловая завеса
ВЦ
- вычислительный центр
ГГО
- громкоговорящее оповещение
ГГС
- громкоговорящая связь
ГЖ
- горючие жидкости
ГСМ
- горюче-смазочные материалы
ДП
- диспетчерский пункт
ДПД
- диспетчерский пункт движения (поездов)
ДПЛ
- диспетчерский пункт линии (метрополитена)
ДПС
- диспетчерский пункт станции
ДПЭ
- диспетчерский пункт электроснабжения
ДТ
- дроссель-трансформатор
ДУ
- дистанционное управление
ДЦ
- диспетчерская централизация
ИБП
- источник бесперебойного питания
КЗ
- короткое замыкание
КИП
- контрольно-измерительный пункт
ЛАЦ
- линейно-аппаратный цех
ЛВЖ
- легковоспламеняемые жидкости
МБ
- местная батарея
МК
- металлоконструкции
НАТМ
- новоавстрийский тоннельный метод (строительства)
ОБУВ
- ориентировочный безопасный уровень воздействия
ОРК
- отстойно-ремонтный корпус
ОТДВ
- особотонкодисперсное вещество
ОТС
- оперативно-технологическая связь
ОУ
- осветительная установка
П –
стадия проектирования - Проект
ПА
- преобразовательный агрегат
ПВС
- пункт восстановительных средств
ПДВ
- предельно допустимые выбросы
ПДЗ
- противодымная защита
ПДК
- предельно допустимая концентрация
ПЗА
- показатель загрязнения атмосферы
ПОС
- проект организации строительства
ПП
- понизительная подстанция
ППИ
- платформа подъемная для инвалидов
ППР
- проект производства работ
ПТО
- пункт технического обслуживания (подвижного состава)
ПЯ
- путейский ящик
Р
– стадия проектирования - Рабочая документация
РП
- распределительный пункт
РУ
- распределительное устройство
РЦ
- рельсовая цепь
СИРБД
- система интервального регулирования и безопасности движения поездов
СМР
- строительно-монтажные работы
СНС
- спутниковая навигационная система
СОУЭ
- система оповещения и управления эвакуацией людей
СПК
- суммарный показатель концентрации
СУРС
- система управления работой станции с применением технических средств
Т
- тяговая подстанция
ТБО
- твердые бытовые отходы
ТВР
- тепловлажностный режим
ТО
- техническое обслуживание
ТПП
- тяговопонизительная подстанция
ТР
- текущий ремонт
ТУ
- технические условия
УЗО
- устройство защитного отключения
УКПТ
- устройство контроля прохода в тоннель
УМВ
- установка местной вентиляции
УП -
установка пожаротушения
УТВ
- установка тоннельной вентиляции
ЦСП
- цифровая система передачи
ЭМИ
РД
- электромагнитное излучение радиодиапазона
ЭМС
- электромеханическая служба
ЭМУ
- электромеханическая установка
ЭЦ
- электрическая централизация
ПРИЛОЖЕНИЕ 3А
1
Назначение
1.1
Система представляет собой комплекс технических средств для автоматизированного управления установками и устройствами, обеспечивающими нормальное функционирование станции, включая обслуживание пассажиров и организацию движения поездов, с использованием средств теленаблюдения, связи, дистанционного управления и контроля.
1.2
Управление техническими средствами осуществляется из диспетчерского пункта станции дежурным по станции (диспетчером), обеспечивающим регулирование пассажиропотоков и организацию движения поездов в границах станции, контроль за обстановкой, состоянием помещений и установок на станции и в прилегающих перегонных тоннелях.
2
Функции, размещение устройств, требования к помещениям
2.1
СУРС должна обеспечивать выполнение следующих функций:
- организацию пассажиропотоков и оперативное управление работой станции с использованием теленаблюдения, средств связи и громкоговорящего оповещения;
- остановку и контроль работы эскалаторов;
- управление установками вентиляции, отопления и водоснабжения;
- контроль работы водоотливных и канализационных установок;
- управление группами освещения станции и перегонных тоннелей;
- управление сетями электрообогрева ступеней лестничных спусков в подуличные переходы на входах в подземные вестибюли станции;
- управление стрелками и сигналами на станции с путевым развитием;
- управление устройствами контроля прохода в тоннели;
- сигнализацию положения управляемых и контролируемых объектов;
- контроль состояния помещений установками пожарной и охранной сигнализации.
2.2
Устройства СУРС размещают в помещениях:
- диспетчерского пункта станции (ДПС);
- дежурного по станции (ДСП);
- аппаратной, релейной, кроссовой, радиоузла, щитовой и др.;
- вентиляционных и насосных установок.
В помещении ДПС размещают:
- автоматизированное рабочее место диспетчера станции (АРМ ДПС);
- автоматизированное рабочее место дежурного по станционному посту ЭЦ (АРМЭЦ) на станции с путевым развитием;
- аппаратуру установок пожарной и охранной сигнализации;
- устройства включения сирен;
- устройства связи и громкоговорящего оповещения;
- видеоконтрольные устройства;
- цифровые электрочасы с секундным или пятисекундным отсчетом времени;
- станции управления вентиляционными и насосными установками;
- станции управления разъединителями контактной сети (на станции с путевым развитием).
В помещении ДСП размещают средства связи и громкоговорящего оповещения по отдельному заданию.
Примерная схема расположения оборудования в помещениях ДПС и ДСП приведена на рисунке 1.

Рисунок 1 - Схема расположения оборудования в помещениях ДПС станции с путевым развитием
1 - часы электрические вторичные; 2 - абонентская установка связи; 3 - пульт связи; 4 - пульт связи дополнительный; 5 - коммутатор громкоговорящего оповещения; 6 - устройство включения сирен; 7 - пульт громкоговорящего оповещения; 8 - пульт управления ВКУ; 9 - пульт СУРС; 10 - стойка с ВКУ; 11 - устройства (АРМ) ЭЦ; 12 - табло часовое; 13 - пульт управления разъединителями контактной сети; 14 - аппаратура установок пожарной и охранной сигнализации
* На промежуточных станциях оборудование не устанавливается. Рабочее место оператора отсутствует.
** В зависимости от типа выбранного оборудования возможна установка на столе диспетчера.
2.3
Помещения ДПС должны отвечать следующим требованиям:
- помещения ДПС должны быть смежными и располагаться в уровне платформы с максимальным приближением к ней;
- ДПС на станциях с путевым развитием располагать со стороны путевого развития, а дополнительное помещение или кабину дежурного по станции - в уровне платформы с противоположной по отношению к ДПС стороны станции;
- помещения должны удовлетворять требованиям технической эстетики, иметь шумопоглощающую отделку, рабочее и аварийное освещение, вентиляцию и кондиционирование воздуха.
Помещение ДПС должно иметь дополнительную дверь шириной 1200 мм для монтажа оборудования.
3
Теленаблюдение, связь
3.1
Зоны теленаблюдения на станции принимать согласно 5.13.
3.2
Каждой телекамере должно соответствовать свое ВКУ. Допускается несколько телекамер (кроме телекамер на площадках эскалаторов) коммутировать на одно ВКУ.
Размещение ВКУ на отдельной стойке должно соответствовать расположению контролируемых зон на плане станции и обеспечивать видимость всех ВКУ с рабочего места диспетчера.
3.3
Телекамеры должны обеспечивать передачу изображений с четкостью не менее 460 строк при уровне освещенности контролируемых зон не ниже установленных для применяемых телевизионных установок. При этом влияние источников света на снижение качества изображения на ВКУ должно быть минимальным.
3.4
Размещение телекамер на верхней и нижней площадках эскалаторов должно обеспечивать обзор гребенок всех эскалаторов одновременно.
На пассажирских платформах телекамеры должны устанавливаться по одной оси на расстоянии 100-150 мм от края платформы и на высоте не менее 2200 мм. При этом должна обеспечиваться видимость номера маршрута поезда.
3.5
Телекамеры устанавливать на конструкциях, обеспечивающих регулировку и жесткое фиксирование положения телекамеры.
Крепление конструкции и кольца рассчитывать на нагрузку 1500 Н.
3.6
В ДПС предусматриваются виды связи согласно приложению 5.13А.
4
Эскалаторы
4.1
На пульте СУРС должны быть предусмотрены:
- экстренная остановка эскалаторов;
- сигнализация о работе эскалаторов;
- световая (мигающая) и звуковая сигнализация остановки эскалаторов.
4.2
Подключение аппаратуры для реализации указанных в п.4.1 функций выполнять согласно электрическим схемам управления эскалаторами, разработанным (или согласованным) предприятием - поставщиком эскалаторов.
4.3
Цепи остановки и сигнализации эскалаторов в пульте СУРС должны быть выделены в отдельные функциональные устройства и иметь самостоятельные каналы связи со схемами управления эскалаторов.
5
Электромеханические установки
Управление и контроль работы установок местной и тоннельной вентиляции, насосных установок, воздушно-тепловых завес, запорной арматуры, вентиляционных клапанов тоннельной вентиляции и др. предусматриваются со станции управления ЭМС п в объеме требований раздела 5.11 .5.
6
Освещение, электрообогрев ступеней лестничных спусков
С АРМ ДПС предусматривать:
- дистанционное управление группами освещения пассажирских помещений, вентиляционно-кабельных каналов и зон расположения контактных рельсов под козырьком пассажирской платформы, световыми указателями (в том числе маршрутными) и эмблемами "М";
- дистанционное управление группами освещения перегонных тоннелей и централизованное отключение групп рабочего освещения перегонных тоннелей для подачи световых сигналов;
- дистанционное управление сетями электрообогрева ступеней лестничных сходов и подуличные переходы или коридоры на входах в подземные вестибюли станций.
7
Электрическая централизация стрелок и сигналов
Управление стрелками и сигналами и контроль за движением поездов в границах станции и на участках приближения и удаления предусматривается с АРМ ЭЦ в соответствии с утвержденным "Схематическим планом путей и таблицей взаимозависимостей стрелок, сигналов, маршрутов".
8
Пожарная и охранная сигнализация
8.1
В помещении ДПС размещается приемная аппаратура автоматических установок пожаротушения, пожарной сигнализации и охранной сигнализации помещений, оборудуемых этими установками согласно 5.16 и 5.22.
8.2
Станции оборудуются устройствами контроля прохода персонала и пассажиров в тоннель (УКПТ) и дверями с электрозамками на служебных мостиках прохода в тоннели. Управление электрозамками и сигнализация о срабатывании УКПТ предусматриваются на АРМ ДПС.
9
Пульты управления
9.1
Пульты управления должны состоять из типовых конструктивных элементов.
9.2
Размещение на пультах схем путевого развития станции и объектов управления должно выполняться по функциональным зонам и совпадать с их взаимным расположением в натуре.
9.3
Пульты связи располагаются на приставных тумбах к столам АРМ.
10
Электроснабжение
Установки СУРС относятся к электроприемникам особой группы I категории.
ПРИЛОЖЕНИЕ 5.13А
| Наименование
|
Виды связей
|
| Диспетчерские
|
Служебные
|
Т
|
О
|
СОП
|
СПБ
|
СМД
|
АТС
|
МЗ
|
С
|
СТР
|
Э
|
АТДП
|
ДС
|
Мест-ные
|
ЭЧ
|
Громко-говоря-щие
|
ТН
|
А
|
Д
|
СН
|
Н
|
| СДД
|
СДЭ
|
СДЭС
|
СДЭМ
|
СТД
|
СТЭ
|
СТЭС
|
СТЭМ
|
ПС
|
ЛП
|
ГГО
|
ГГС
|
| ДПД
|
*
|
*
|
+
|
+
|
+
|
+
|
+
|
*
|
*
|
*
|
| ДПЭ
|
*
|
+
|
+
|
+
|
+
|
+
|
| ДПЭС
|
*
|
+
|
+
|
+
|
+
|
+
|
| ДПЭМ
|
*
|
+
|
+
|
+
|
+
|
+
|
| Оператор ДПЛ
|
*
|
+
|
+
|
+
|
| ДПОП
|
+
|
*
|
+
|
+
|
+
|
| ДППБ
|
+
|
*
|
+
|
+
|
+
|
| Аппаратная ВЦ ДПЛ
|
*
|
+
|
+
|
| Аппаратные ДПЛ
|
*
|
*
|
*
|
+
|
+
|
| ДПС-АРМ ДС
|
+
|
+
|
+
|
+
|
+
|
+
|
+
|
*
|
+
|
*
|
+
|
*
|
+
|
| ДПС-АРМЭЦ
|
+
|
+
|
+
|
+
|
*
|
+
|
*
|
+
|
+
|
| ДСП
|
+
|
+
|
+
|
+
|
+
|
+
|
*
|
+
|
| Релейная ЭМС
|
+
|
+
|
| Кабина ДСП на платформе станции
|
+
|
+
|
+
|
| Пост полиции
|
+
|
+
|
+
|
+
|
+
|
| Машинист эскалаторов
|
+
|
+
|
+
|
+
|
*
|
+
|
+
|
| Пост у нижних площадок эскалаторов
|
+
|
+
|
+
|
*
|
+
|
+
|
| То же, у верхних площадок
|
+
|
+
|
+
|
+
|
+
|
| Эскалаторный тоннель
|
+
|
| Натяжная камера
|
+
|
+
|
| Кабина АКП
|
+
|
*
|
+
|
| Медпункт
|
+
|
+
|
+
|
+
|
+
|
| Касса
|
+
|
+
|
+
|
+
|
+
|
| Аппаратная АТДП
|
+
|
+
|
+
|
+
|
*
|
+
|
+
|
+
|
| ТПП, ПП
|
+
|
+
|
+
|
+
|
+
|
+
|
+
|
| ВОУ основная, транзитная
|
+
|
+
|
| УТВ
|
+
|
+
|
+
|
| Канализац. уст-ка станционная
|
+
|
+
|
| То же, тоннельная
|
+
|
| " на станционных путях
|
+
|
+
|
| Линейный пункт смены машинистов
|
+
|
+
|
+
|
+
|
+
|
+
|
+
|
| ПТО подвижного состава
|
+
|
+
|
+
|
+
|
+
|
+
|
+
|
| Платформа в начале поезда
|
+
|
+
|
+
|
+
|
+
|
| То же, в конце поезда
|
+
|
+
|
+
|
| Радиоузел
|
+
|
+
|
+
|
+
|
| Кроссовая
|
+
|
+
|
+
|
| ДПС пересадочной станции
|
+
|
| Кассовый зал
|
+
|
+
|
+
|
+
|
| Коридоры служебных помещений
|
+
|
| Платформы и средний зал станции
|
+
|
+
|
| Переходы пешеходные
|
+
|
| Механик АТДП
|
+
|
+
|
+
|
+
|
+
|
+
|
| Начальник станции
|
+
|
+
|
*
|
+
|
| Аппаратная АТДП соседней станции
|
+
|
| Вход на станцию. Уличная зона
|
+
|
| Пост переключения контактной сети
|
+
|
+
|
| Светофоры на перегоне
|
+
|
+
|
| Входы в притоннельные сооружения
|
+
|
| Перегон, тоннели и станционные пути
|
+
|
+
|
+
|
| Стрелочн. переводы, кабина стрелочника
|
+
|
| Сигнальные точки на перегоне и станции
|
+
|
| Платформа станционного пути, начало
|
+
|
+
|
+
|
| То же, конец
|
+
|
+
|
| ПТО РП 1, 2
|
+
|
| Помещение лифтера
|
+
|
| Старшие кассиры
|
+
|
| Подразделения метрополитена
|
По отдельному заданию заказчика
|
ВИДЫ И АБОНЕНТЫ ГОРОДСКОЙ СВЯЗИ
| Наименование абонента
|
Виды связи
|
| ГТС
|
ГРС
|
ЭЦХТ
|
| 1 ДПД
|
+
|
+
|
*
|
| 2 ДПЭ
|
+
|
+
|
| 3 ДПЭС
|
+
|
+
|
| 4 ДПЭМ
|
+
|
+
|
| 5 Диспетчерский пункт городской системы электроснабжения
|
+
|
| Условные обозначения: * - пульт (коммутатор), + - абонентское (оконечное) устройство.
А - связь администратора АСОП со старшими кассирами;
Н - связь совещаний управления метрополитена со структурными подразделениями;
ЭЦХТ - связь ДПЭ с электроснабжающими организациями города;
ДППБ - диспетчерский пункт пожарной безопасности;
ДПОП - диспетчерский пункт охраны порядка (полиция);
ДСП - дежурный по станции;
ГТС – городская телефонная сеть;
ГРС – городская радиотрансляционная сеть.
|
ПРИЛОЖЕНИЕ 5.14А
НАЗНАЧЕНИЕ И ПЛОЩАДЬ ПОМЕЩЕНИЙ
| Наименование (назначение) помещения
|
Площадь, м
|
Размещение
|
| Диспетчерский пункт (ДПС):
|
| диспетчерская
|
60
|
На станции с путевым развитием
|
| - " -
|
55
|
То же, без путевого развития
|
| дежурный по станции
|
15
|
Смежное с диспетчерской
|
| релейная
|
30
|
То же
|
| Кроссовая
|
25-30
|
| Радиоузел
|
25-30
|
На каждой станции
|
| Линейный аппаратный цех (ЛАЦ)
|
То же
|
На каждой станции
|
| Щитовые
|
1По проекту
|
На каждой станции
|
| Примечания:
1 На станциях с путевым развитием помещения ДПС размещать, как правило, со стороны путевого развития.
2 Высота помещений не менее 2,75 м.
3 Допускается размещение помещений кроссовой, радиоузла и ЛАЦ на других уровнях.
|
ПРИЛОЖЕНИЕ 5.16А
| Помещения*, сооружения, объемно-планировочные элементы** и зоны в сооружениях
|
Характеристика веществ и материалов***
|
Категория по СП 12.13130.2009
|
Класс зон по ПУЭ
|
| 1 Наземные объекты
|
| 1.1 Помещения производственного и складского назначения в зданиях
|
| Мастерские
|
ТГМ
|
В2
|
П-IIа
|
| Материальные склады
|
Горючие материалы (или негорючие материалы в горючей упаковке)
|
В1-В2
|
П-I-П-IIа
|
| Архивы, библиотеки
|
ТГМ
|
В1-В2
|
П-IIа
|
| Кладовые горючих материалов
|
ТГМ
|
В2
|
П-IIа
|
| Кладовые
|
ТГМ
|
В2
|
П-IIа
|
| Кладовые ГСМ и ГЖ
|
Масла, смазки, ГЖ с температурой вспышки >61 °С
|
В1
|
П1
|
| Кладовые ЛВЖ
|
ЛВЖ с температурой вспышки >28 °С
|
Б
|
В-1б
|
| Кладовые ЛВЖ
|
ЛВЖ с температурой вспышки 28 °С
|
А
|
В-1а
|
| Помещения насосных установок
|
ЭИМ в незначительном количестве
|
В4
|
П-IIa
|
| Водомерные узлы
|
То же
|
Д
|
-
|
| Центральный тепловой пункт
|
"
|
Д
|
-
|
| Помещения с сухими трансформаторами
|
"
|
Д
|
-
|
| То же, с маслонаполненными трансформаторами
|
ГЖ
|
В1
|
П-I
|
| Электрощитовые
|
ТГМ, ЭИМ в незначительном количестве
|
В4
|
П-IIа
|
| Заточные отделения
|
ТГМ в незначительном количестве
|
В4
|
П-IIа
|
| Инструментально-раздаточные отделения
|
То же
|
В4
|
П-IIа
|
| Столярные отделения
|
ТГМ, ГЖ в незначительном количестве
|
В2
|
П-IIа
|
| Сварочные отделения
|
Негорючие вещества в горячем, раскаленном и расплавленном состоянии
|
Г
|
-
|
| Кузнечные отделения
|
То же
|
Г
|
-
|
| Электросварочные отделения
|
"
|
Г
|
-
|
| Автоматные отделения
|
Негорючие материалы
|
Д
|
-
|
| Участки ремонта гидроамортизаторов
|
ГЖ в незначительном количестве
|
В4
|
П-IIа
|
| Моечно-прожировочные участки
|
Негорючие вещества
|
Д
|
-
|
| Участки зарядки АБ с гелевым электролитом
|
То же
|
Д
|
-
|
| Ремонтные аккумуляторов
|
"
|
Д
|
-
|
| Электролитные (кислотная, щелочная)
|
"
|
Д
|
-
|
| Участки зарядки АБ с щелочным или кислотным электролитом
|
Водород при работе зарядных устройств
|
А
|
В-la
|
| Дистилляторная
|
Негорючие вещества и материалы
|
Д
|
-
|
| Маслораздаточные
|
ГЖ с температурой вспышки >28 °С
|
Б
|
П-I
|
| Аппаратные отделения
|
ЭИМ, ТГМ
|
В2
|
П-IIа
|
| Механические отделения
|
ТГМ
|
Д
|
-
|
| Слесарные участки
|
Негорючие вещества
|
Д
|
-
|
| Дефектоскопные
|
ТГМ в незначительном количестве
|
В4
|
П-IIа
|
| Зарядные электрокар
|
Выделение водорода
|
А(В4)****
|
B-la
|
| Помещения зарядных устройств
|
Горючие газы, ЛВЖ
|
А(В4)****
|
B-la
|
| Электроотделения
|
ТГМ, ЭИМ
|
В2
|
П-IIа
|
| Малярные отделения
|
Применение растворителей с температурой вспышки <28 °С
|
А
|
B-Ia
|
| Цех окраски вагонов
|
То же
|
А
|
B-la
|
| Скрубберные
|
ТГМ в незначительном количестве
|
В4
|
П-IIa
|
| Камеры мойки составов
|
Негорючие вещества и материалы
|
Д
|
-
|
| Компрессорные
|
То же
|
Д
|
-
|
| Отделения автоведения
|
ТГМ, ЭИМ в незначительном количестве
|
В4
|
П-lla
|
| Отделения по ремонту радиоинформаторов
|
То же
|
В4
|
П-lla
|
| Отделения поездной радиосвязи
|
"
|
В4
|
П-lla
|
| Столовые
|
ТГМ
|
В2
|
П-lla
|
| Кладовые грязной и чистой одежды
|
То же
|
В3
|
П-lla
|
| Склады ГСМ с хранением ЛВЖ
|
ЛВЖ с температурой вспышки <28 °С
|
А
|
B-la
|
| То же
|
ЛВЖ с температурой вспышки 28 °С
|
Б
|
В-Iб
|
| Кладовые ремонтного отделения и АРС
|
ТГМ в незначительном количестве
|
В4
|
П-lla
|
| Отделения тиристорного регулирования
|
То же
|
В4
|
П-lla
|
| 1.2 Помещения в наземных вестибюлях
|
| Производственные помещения кассового блока
|
ТГМ в незначительном количестве
|
В4
|
П-lla
|
| Медицинские пункты
|
ТГМ и ЛВЖ в незначительном количестве
|
В2
|
П-lla
|
| Бельевые
|
ТГМ
|
В2
|
П-lla
|
| Комнаты сушки спецодежды
|
То же
|
В2
|
П-lla
|
| Помещения УМВ
|
Соответствует категории обслуживаемых ими помещений
|
В2-В4
|
П-lla
|
| Тепловые пункты, водомерные узлы
|
Негорючие вещества и материалы
|
Д
|
-
|
| Релейные и аппаратные
|
ЭИМ
|
В4
|
П-lla
|
| Кроссовые
|
"
|
В2
|
П-lla
|
| Радиоузлы
|
"
|
В4
|
П-lla
|
| Электрощитовые
|
ТГМ, включая изоляцию кабелей в незначительном количестве
|
В4
|
П-IIa
|
| Кладовые
|
ТГМ
|
В2
|
П-lla
|
| Помещения АУПТ
|
Негорючие вещества и материалы
|
Д
|
-
|
| Буфеты
|
ТГМ
|
В2
|
П-lla
|
| Кладовые грязной и чистой одежды
|
"
|
В2
|
П-lla
|
| Архивы, библиотеки
|
"
|
В1-В2
|
П-l-П-lla
|
| 1.3 Сооружения
|
| Вестибюли с эскалаторами
|
ЭИМ, ТГМ
|
В3
|
П-lla
|
| Вестибюли без эскалаторов
|
Негорючие вещества и материалы
|
Д
|
-
|
| Кассовые залы с эскалаторами
|
ЭИМ, ТГМ
|
В3
|
П-IIа
|
| Кассовые залы без эскалаторов
|
Негорючие вещества и материалы
|
Д
|
-
|
| Галереи метромостов и наземных участков
|
ТГМ
|
В3
|
П-lla
|
| 1.4 Зоны в сооружениях
|
| Зоны организованной торговли
|
Горючие вещества и материалы
|
В3
|
П-lla
|
| 2 Подземные объекты
|
| 2.1 Помещения
|
| Кабинеты начальников станций, старших кассиров, руководителей участков, мастеров, машинистов эскалаторов, электромехаников
|
ТГМ
|
В2
|
П-IIа
|
| Билетные кассы
|
ТГМ в незначительном количестве
|
В4
|
П-IIа
|
| Комнаты постов милиции
|
То же
|
В4
|
П-IIа
|
| Комнаты пожарной охраны
|
"
|
В4
|
П-IIа
|
| Комната приема пищи
|
"
|
В4
|
П-IIа
|
| Медицинские пункты
|
ТГМ, ЛВЖ в незначительном количестве
|
В2
|
П-IIа
|
| Комнаты отдыха
|
ТГМ
|
В2
|
П-IIа
|
| Бельевые
|
"
|
В2
|
П-IIа
|
| Комнаты сушки спецодежды
|
"
|
В2
|
П-lla
|
| Гардеробные
|
"
|
В2
|
П-lla
|
| Туалеты
|
Негорючие вещества и материалы
|
Д
|
-
|
| Тепловые пункты
|
То же
|
Д
|
-
|
| Диспетчерские пункты станций
|
ТГМ, ЭИМ
|
В2
|
П-lla
|
| Душевые
|
То же
|
Д
|
-
|
| Посты ЭЦ
|
ЭИМ
|
В2
|
П-lla
|
| Релейные и аппаратные
|
"
|
В2
|
П-lla
|
| Связевые
|
"
|
В2
|
П-lla
|
| Кроссовые
|
"
|
В2
|
П-lla
|
| Электрощитовые
|
"
|
В4
|
П-lla
|
| Радиоузлы
|
ТГМ, ЭИМ в незначительном количестве
|
В4
|
П-lla
|
| Кладовые опилок
|
ТГМ
|
В3
|
П-lla
|
| Помещения УМВ
|
Соответствует категории обслуживаемых помещений
|
В2-В4
|
П-lla
|
| Помещения УМВ для кладовых покрасочных материалов
|
То же
|
А
|
В-la
|
| То же, кладовых ГСМ
|
"
|
В1
|
П-1
|
| Помещения УМВ для дымоудаления
|
ЭИМ в незначительном количестве
|
В4
|
П-lla
|
| Аккумуляторные - АБ с кислотным или щелочным электролитом
|
Выделение водорода при работе зарядных устройств
|
А(В4)****
|
B-lla
|
| То же - АБ с гелевым электролитом
|
ТГМ в незначительном количестве
|
В4
|
П-lla
|
| Калориферные
|
ТГМ в незначительном количестве
|
В4
|
П-lla
|
| Помещения РУ 10 кВ, 825 В
|
ТГМ, ЭИМ в незначительном количестве
|
В4
|
П-lla
|
| Совмещенные помещения РУ и щитовых
|
То же
|
В4
|
П-lla
|
| Помещения насосных установок
|
ЭИМ в незначительном количестве
|
В4
|
П-lla
|
| Кладовые автоматных отделений
|
ТГМ
|
В2
|
П-lla
|
| Кладовые
|
ТГМ
|
В2
|
П-lla
|
| Помещения АУПТ
|
Негорючие вещества и материалы
|
Д
|
-
|
| Кладовые покрасочных материалов (ЛВЖ) в мелкой небьющейся таре
|
ЛВЖ с температурой вспышки 28 °С
|
А
|
В-1а
|
| Кладовые ГСМ (ГЖ)
|
ГЖ с температурой вспышки >61 °С
|
В1
|
П-1
|
| Подземные пешеходные переходы, коридоры между пересадочными станциями
|
Негорючие вещества и материалы
|
Д
|
-
|
| Вестибюли без эскалаторов
|
То же
|
Д
|
-
|
| Лестничные сходы
|
"
|
Д
|
-
|
| Вестибюли с эскалаторами
|
ЭИМ, ТГМ, ГЖ
|
В2
|
П-lla
|
| Кассовые залы
|
ТГМ в незначительном количестве
|
В4
|
П-lla
|
| Кассовые залы с эскалаторами
|
ТГМ, ГЖ, ЭИМ
|
В2
|
П-lla
|
| Аванзалы
|
Негорючие вещества и материалы
|
Д
|
-
|
| Распределительные залы станций
|
Негорючие вещества и материалы
|
Д
|
-
|
| Пересадочные коридоры
|
"
|
Д
|
-
|
| Эскалаторные тоннели с негорючими элементами ступеней и балюстрады эскалаторов
|
ТГМ, ЭИМ, ГЖ в незначительном количестве
|
В4
|
П-lla
|
| То же, с горючими элементами ступеней и балюстрады
|
ТГМ, ЭИМ
|
В2
|
П-lla
|
| Натяжные станции эскалаторов
|
ТГМ
|
В2
|
П-lla
|
| Машинные помещения эскалаторов
|
ТГМ, ГЖ в незначительном количестве
|
В2
|
П-lla
|
| Подэскалаторные вентиляционно-кабельные отсеки
|
ТГМ, включая изоляцию кабелей
|
В2
|
П-lla
|
| Демонтажные ходки и шахты эскалаторов
|
Негорючие вещества и материалы
|
В4
|
П-lla
|
| Подплатформенные вентиляционно-кабельные каналы
|
ТГМ, включая изоляцию кабелей
|
В2
|
П-lla
|
| 2.2 Сооружения для движения (отстоя) поездов, притоннельные сооружения
|
| Тоннели перегонные
|
ЭИМ
|
В3
|
П-lla
|
| Соединительные ветки
|
ЭИМ
|
В3
|
П-lla
|
| Тупики, в том числе с ПТО
|
ЭИМ, ТГМ
|
В3
|
П-lla
|
| Камеры съездов
|
ЭИМ
|
В3
|
П-lla
|
| Вентиляционные сбойки
|
ЭИМ в незначительном количестве
|
В4
|
П-lla
|
| Вентиляционные ходки
|
Негорючие вещества и материалы
|
Д
|
-
|
| Машинные помещения УТВ
|
ЭИМ
|
В4
|
П-lla
|
| Стволы шахт и вентиляционные тоннели
|
ЭИМ
|
В4
|
П-lla
|
| Обводные устройства (каналы)
|
ЭИМ
|
В4
|
П-lla
|
| Ходки к насосным установкам
|
Негорючие вещества и материалы
|
Д
|
-
|
| Обходные кабельные тоннели
|
ТГМ, ЭИМ
|
В2-В4
|
П-lla
|
| 2.3 Зоны в сооружениях
|
| Зоны организованной торговли
|
Горючие вещества и материалы, ГЖ
|
В2
|
П-lla
|
| Зоны в пассажирских помещениях с поэтажными эскалаторами с горючими элементами ступеней и балюстрады
|
ТГМ
|
В3
|
П-lla
|
| То же, с негорючими элементами ступеней и балюстрады
|
ТГМ в незначительном количестве
|
В4
|
П-lla
|
| Зоны ночного отстоя подвижного состава на станционных путях
|
ТГМ, ЭИМ
|
В3
|
П-lla
|
| * Помещение - пространство внутри здания (сооружения), имеющее определенное функциональное назначение и ограниченное строительными конструкциями.
** Объемно-планировочный элемент - часть сооружения с определенным функциональным назначением, не отделенная от смежных сооружений строительными конструкциями.
*** Данные по веществам и материалам, входящим в состав пожарной нагрузки: ТГМ - твердые горючие материалы (в том числе волокнистые и разрыхленные); ЭИМ - электроизоляционные материалы кабелей и электрооборудования; ГЖ - горючие жидкости; ЛВЖ - легковоспламеняющиеся жидкости.
**** При оборудовании специальной вентиляцией с резервным питанием.
Примечание - Объемно-планировочные элементы, предназначенные для движения или пребывания пассажиров, условно определены как пассажирские помещения.
|
ПРИЛОЖЕНИЕ 6А
Размеры в мм
| Наименование
|
Отклонение
|
| 1 Станционные тоннели закрытого способа работ
|
| 1.1 Станция пилонного и колонного типа
|
| Первые лотковые блоки или тюбинги прорезных колец станционного тоннеля в плане и профиле
|
±15
|
| Первое кольцо чугунной тюбинговой обделки:
|
| опорные тюбинги в плане:
|
| нижняя опора
|
от +10 до -20
|
| верхняя опора
|
от 0 до+40
|
| горизонтальная эллиптичность
|
-50
От 0 до -50
|
| опорные тюбинги по высоте:
|
| нижний
|
+20
От 0 до +20
|
| верхний
|
+40
От 0 до +40
|
| свод по высоте:
|
| средний тоннель
|
от +30 до +100
|
| боковые тоннели
|
от +10 до+50
|
| горизонтальное опережение:
|
| чугун
|
±5
|
| железобетон
|
±15
|
| вертикальное опережение:
|
| чугун
|
±5
|
| железобетон
|
±15
|
| Последующие тюбинговые кольца:
|
| в плане
|
±30
|
| горизонтальная эллиптичность
|
-50
|
| свод по высоте:
|
| средний тоннель
|
+30 - +100
|
| боковые тоннели
|
-10 - +50
|
| горизонтальное и вертикальное опережение:
|
| чугун
|
±10
|
| железобетон
|
±20
|
| расстояние от оси среднего тоннеля до колонн
|
+30
|
| колонна от вертикали в плоскости кольца
|
±20
|
| 1.2 Станция пилонного типа:
|
| диаметр (эллиптичность) колец:
|
| вертикальный
|
+40
|
| горизонтальный
|
-80
|
| под углом в 45° и 135°
|
+50
|
| центр колец от оси тоннеля вне зоны монтажа
|
±30
|
| плоскость прорезных колец в направлении оси станционного тоннеля (смещение пикетажа)
|
±30
_+ 10
|
| плоскость последующих колец в направлении оси станционного тоннеля
|
±30
|
| 1.2.А Станция пилонного типа из железобетонных элементов с металлическими балочными перемычками:
|
| несовпадение пикетажа колец среднего и боковых тоннелей в беспроемной части
|
До 75
|
| эллиптичность колец среднего тоннеля
|
+100
|
| зазор между балочными перемычками и торцами тюбингов
|
50±10
|
| уступы лотковых блоков
|
+60
+20
|
| выступ грани балочных перемычек внутрь тоннеля за грань железобетонного тюбинга
|
До 10
|
| 1.3 Станция колонного типа:
|
| первый боковой тоннель от оси:
|
| в плане
|
±30
|
| в профиле
|
от +30 до +50
|
| диаметр (эллиптичность) колец боковых тоннелей:
|
| вертикальный
|
от +30 до +70
|
| горизонтальный
|
-50
От 0 до -50
|
| под углом в 45° и 135°
|
+50
От 0 до +50
|
| расстояние между осями боковых тоннелей в плане
|
±60
|
| отметки одноименных колец боковых тоннелей
|
±50
|
| пикетаж одноименных колец боковых тоннелей
|
±20
|
| расстояние от оси среднего тоннеля до колонн
|
±30
|
| отметка среднего свода правил (на оси)
|
От +30 до +100
|
| колонна от вертикали в плоскости кольца
|
±20
|
| 1.3.А Станция трехсводчатая колонная глубокого заложения с колонно-прогонным комплексом и основной обделкой из сборных элементов:
|
| несовпадение пикетажа колец боковых тоннелей
|
±50
+\-30
|
| отклонение бокового тоннеля в плане
|
±40
|
| отклонение положения лотка и нижнего опорного блока в профиле
|
-20
|
| эллиптичность при укладке колец бокового тоннеля по вертикальному радиусу
|
+90
|
| нижняя плоскость верхнего опорного блока
|
+50
|
| эллиптичность верхнего опорного блока
|
-25
|
| диаметр (эллиптичность) колец боковых тоннелей:
|
| вертикальный
|
от +30 до +100
|
| горизонтальный
|
+50
от 0 до +50
|
| под углом в 45° и 135°
|
-50
+\- 50
|
| смещение верхнего опорного блока в плане относительно нижнего в сторону бокового тоннеля
|
-30
|
| опорный блок в плане:
|
| нижний
|
от -20 до +10
|
| верхний
|
-40
|
| монтаж металлоконструкций
|
±5
|
| смещение верхнего шарнира относительно нижнего в сторону оси бокового тоннеля
|
-30
|
| зазор между верхней опорной частью и верхними опорными блоками
|
не менее 40
|
| эллиптичность верхнего свода среднего тоннеля:
|
| в своде
|
от +30 до +100
|
| под углом в 45° и 135°
|
от +15 до +50
|
| несовпадение осей смежных блоков верхнего свода в одном кольце в месте примыкания их к опорному блоку по высоте
|
не более 20
|
| уступы между опорным блоком и смежными с ним блоками верхнего свода
|
от 65 до 85
|
| уступы между кольцами:
|
| в своде
|
не более 100
|
| под углом в 45° и 135°
|
не более 75
|
| радиус обделки нижнего свода
|
+30
От 0 до -30
|
| 1.4 Станция односводчатая:
|
| ось станции в плане и профиле
|
±50
|
| радиус кривизны сводов:
|
| верхнего свода
|
+100
|
| нижнего свода
|
±50
|
| положение опорных плит свода:
|
| в плане
|
+20
|
| в профиле
|
±15
|
| 1.4.А Станция односводчатая глубокого заложения с обделкой из сборных железобетонных элементов, обжатых на породу, сооружаемая методом сквозной проходки перегонных тоннелей:
|
| ось станции в плане и профиле
|
±50
|
| максимальная просадка верхнего свода в пятом кольце за фермой
|
до 50
|
| то же, через месяц
|
до 100
|
| отклонение нижнего свода в профиле
|
±50
|
| эллиптичность полукольца верхнего свода до выполнения первичного обжатия
|
от +5 до +10
|
| боковые и верхнее (нижнее) опережения полуколец по пикетажу
|
±30
|
| допустимый зазор между двумя арками по длине станции
|
до 60
|
| уступы по высоте между арками
|
до 100
|
| положение опорных узлов монолитной железобетонной опоры:
|
| в плане по оси станции
|
±20
|
| в профиле (верхний и нижний перелом опорных плоскостей)
|
+15
|
| от радиального направления плоскостей верхнего и нижнего опорных узлов на ширине площадки опирания
|
+5
|
| отклонение от прямолинейности профиля поверхности опорных плоскостей на длине 700 мм в двух направлениях
|
до 4
|
| 1.4.Б Станция односводчатая глубокого заложения с обделкой из сборных железобетонных элементов, обжатых на породу, с применением механизированных агрегатов при проходке верхнего свода в водонепроницаемых грунтах
|
| 1.4.Б.1 Проходка опорных тоннелей:
|
| ось в плане и профиле
|
±50
|
| диаметр (эллиптичность) кольца:
|
| вертикальный
|
+100
|
| горизонтальный и под углом в 45° и 135°
|
±50
|
| 1.4.Б.2 Сооружение опор в боковых тоннелях:
|
| отклонение опалубки в точках сопряжения с верхним и нижним сводами
|
±50
|
| отклонение положения закладных (опорных) листов:
|
| в плане
|
±20
|
| в профиле
|
±10
|
| установка опалубки с закладными деталями:
|
| в плане (от оси станции)
|
+20
от 0 до +20
|
| в профиле (верхний и нижний опорные узлы)
|
+15
от 0 до + 15
|
| отклонение от радиального направления плоскостей верхнего и нижнего опорных узлов на ширине площадки опирания
|
+5
|
| отклонение от прямолинейности профиля поверхности опорных плоскостей на длине 700 мм в двух направлениях
|
до 4
|
| 1.4.Б.3 Проходка верхнего свода:
|
| разжатие арки:
|
| раскрытие шва опорного блока по внутренней хорде:
|
| при давлении 100 кг/см
|
до 80
|
| при давлении 220 кг/см
|
до 30
|
| эллиптичность полуколец до выполнения разжатия
|
+100
|
| для агрегата механического шандорного (АМШ)
|
от -5 до +10
|
| опережение колец боковое
|
±50
|
| то же, для АМШ
|
±30
|
| " для агрегата механического калоттного (АМК)
|
±40
|
| зазор между двумя арками
|
до 60
|
| то же, для АМК
|
до 40
|
| уступы по высоте между боками соседних арок
|
до 100
|
| то же, для AMК
|
до 40
|
| то же, для АМШ
|
до 150
|
| деформация свода через месяц после разжатия
|
до 100
|
| 1.4.Б.4 Проходка нижнего свода:
|
| нижний свод в профиле
|
±50
|
| раскрытие шва при разжатии опорных блоков при давлении 100-120 кгс/см
|
До 80
|
| уступы по высоте
|
" 20
|
| опережение боковых полуколец
|
" 30
|
| для АМК
|
" 40
|
| 1.5 Эскалаторный тоннель
|
| Первые кольца:
|
| диаметр (эллиптичность) кольца
|
| вертикальный
|
±30
|
| горизонтальный
|
-30
от 0 до -30
|
| под углом в 45° и 135°
|
±25
|
| лоток
|
-30
от 0 до -30
|
| свод
|
от +10 до +50
|
| центр кольца:
|
| в плане
|
±5
|
| в профиле
|
от +10 до +30
|
| горизонтальное и вертикальное опережения передней плоскости кольца
|
±10
|
| Последующие кольца:
|
| диаметр (эллиптичность) кольца:
|
| вертикальный
|
+30
от 0 до +30
|
| горизонтальный
|
-30
от 0 до -30
|
| под углом в 45° и 135°
|
±25
|
| центр кольца в плане и профиле
|
±25
|
| горизонтальное и вертикальное опережения передней плоскости кольца
|
±15
|
| 2 Перегонные тоннели закрытого способа работ
|
| 2.1 Тоннель круглого очертания в сборной железобетонной обделке (включая обделку, обжатую в породу) и металлической обделке:
|
| диаметр (эллиптичность) колец:
|
| в зоне монтажа
|
±25
|
| вне зоны монтажа
|
±50
|
| центр колец от оси тоннеля вне зоны монтажа в плане и профиле
|
±50
|
| смещение пикетажа
|
±15
|
| первое кольцо:
|
| фактическое расстояние от продольной оси
|
±25
|
| лотковые сегменты
|
+30
от 0 + 30
|
| горизонтальный диаметр
|
-20
от 0 до - 20
|
| диаметр под углом в 45° и 135°
|
±15 (25)
|
| свод
|
от +10 до +50
|
| радиус сборного кольца:
|
| вертикальный
|
+40
|
| горизонтальный
|
-20
|
| под углом в 45° и 135°
|
±15
|
| фактический центр сборного кольца
|
±50
|
| фактическая отметка лотка
|
+30
|
| вертикальное и горизонтальное опережения
|
±30
|
| кручение кольца
|
±20
|
| вертикальное и горизонтальное опережение плоскости кольца
|
±30
|
| 2.2 Тоннель в монолитно-прессованной обделке:
|
| ось тоннеля в плане и профиле
|
±70
|
| запрессованные кольца (по вертикальной плоскости между ними)
|
±30
|
| 3 Ствол шахты
|
| 3.1 Проходка ствола с подводкой снизу:
|
| торцевая плоскость кольца по отношению к горизонту:
|
| первое кольцо
|
±5
|
| последующие кольца
|
±10
|
| диаметр (эллиптичность) кольца:
|
| первое кольцо
|
±15
|
| последующие кольца
|
±50
|
| ось ствола от вертикали
|
±50
|
| диаметр кольца при буровзрывном способе
|
±100 (75)
|
| 3.2 Проходка способом опускной крепи
|
| торцевая поверхность крепи по отношению к горизонту
|
±10
|
| диаметр (эллиптичность) опускной крепи
|
±50
|
| ось ствола от вертикали
|
±50
но не более +.- 150
|
| то же, при погружении в тиксотропной рубашке
|
±0,01 Н
*, но не более ±250(убрать)
|
| диаметр (эллиптичность) кольца до погружения в тиксотропной рубашке
|
±25
|
| 4 Станция открытого способа работ
|
| ось котлована
|
±10
|
| свайное крепление котлована или ограждающая "стена в грунте"
|
-50 - +250
|
| вертикальность стоек траншей при методе "стена в грунте"
|
±0,01 Н
|
| отметка дна котлована под укладку бетонной подготовки
|
±10
|
| верх бетонной подготовки
|
±10
|
| лотковый блок:
|
| в плане
|
±25
|
| в профиле
|
+10 - -20
|
| стеновой блок в плане и профиле
|
±25
|
| стеновой блок и колонна от вертикали
|
0,002 Н
, но не более ±25
|
| вертикальное и горизонтальное опережения блоков
|
±25
|
| отметка верха опорной площадки стенового блока и колонн
|
±10
|
| стеновые блоки в плане на уровне 1 м от головок рельсов
|
±25
|
| расстояние между осями станционных тоннелей
|
±10
|
| платформа на высоте 1,10 м от уровня головок рельсов
|
±5
|
| бортовой камень на платформе на расстоянии 1,45 м от оси пути
|
+10
|
| 5 Перегонный тоннель открытого способа работ
|
аналогично п.4
|
| 5.1 Перегонный тоннель из цельносекционной обделки:
|
| секция в плане и профиле
|
±30
|
| горизонтальное и вертикальное опережение секций
|
±20
|
| уклон секции
|
0,001Н
, но не более ±20
|
| уступ между секциями
|
±10
|
| 6 Подходная выработка
|
аналогично п.2
|
| 7 Притоннельное сооружение:
|
| закрытый способ работ
|
аналогично п.2
|
| открытый способ работ
|
аналогично п.5
|
| 8 Путь в тоннеле:
|
| путейский репер по пикетажу
|
±30
|
| отметка путейского репера
|
±2
|
| концы участка рельсового пути длиной 5 м:
|
| в плане (не должен носить систематический характер)
|
±2
|
| по высоте, то же
|
±2
|
| отклонение в плане и профиле
|
±3
|
| уширение колеи
|
±4
|
| сужение колеи
|
-2
|
| измеренная стрела прогиба рельсов относительно рассчитанной для хорды:
|
| длиной 20 м
|
±3
|
| длиной 10 м
|
±2
|
| отклонение рельсовых нитей в плане и профиле на участке длиной 5 м (на соседних хордах не должны иметь разных знаков)
|
±2
|
| 9 Камера съездов:
|
| закрытый способ работ
|
аналогично п.2
|
| открытый способ работ
|
аналогично п.5
|
| 10 Тяговопонизительная подстанция, блоки производственных и служебных помещений:
|
| закрытый способ работ
|
аналогично п.1
|
| открытый способ работ
|
аналогично п.5
|
| Примечание - В графе "Отклонение" Н
обозначает высоту элемента конструкции или ствола.
|
ПРИЛОЖЕНИЕ 7А
1
Документация, предъявляемая Государственной приемочной комиссии заказчиком.
1.1
Пояснительная записка, проектно-сметная документация, утвержденная в установленном порядке, и справка об основных технико-экономических показателях предъявляемого к приемке в эксплуатацию объекта.
1.2
Документация об оформлении и согласовании допущенных в процессе строительства изменений и отступлений от утвержденной проектно-сметной документации.
1.3
Паспорт линии и паспорта станций по Приложению 7Г.
1.4
Перечень проектных, научно-исследовательских и изыскательских организаций, принимавших участие в проектировании.
1.5
Общий план всех земель, отведенных для строительства, с соответствующими документами на право землепользования, и ведомость полосы отвода.
1.6
Документы на геодезическую разбивочную основу для строительства, на геодезические работы в процессе строительства, выполненные заказчиком.
1.7
Документы о геологии и гидрогеологии строительных площадок, о результатах испытаний и анализах грунтовых вод.
1.8
Разрешение органов Росархнадзора на производство строительно-монтажных работ по объектам жилищно-гражданского назначения.
1.9
Состав утвержденной очереди или пускового комплекса для объекта производственного назначения (если предусмотрено проектом и титульным списком).
1.10
Справка об обеспечении эксплуатационными кадрами.
1.11
Справка об обеспечении материально-техническими ресурсами, электроэнергией, водой, паром, газом, теплом, сжатым воздухом, сбросом сточных вод и др.
1.12
Документ на специальное водопользование.
1.13
Паспорта на оборудование и механизмы.
1.14
Акты рабочих комиссий о приемке объектов, оборудования (механизмов) и коммуникаций.
1.15
Справки городских эксплуатационных организаций, подтверждающие, что внешние наружные коммуникации холодного и горячего водоснабжения, канализации, теплоснабжения, газоснабжения, электроснабжения и связи обеспечивают нормальную эксплуатацию объекта и приняты ими на обслуживание.
1.16
Справка фактической стоимости строительства с разбивкой по главам сметы или сметно-финансового расчета, подписанная заказчиком, подрядчиком и проектной организацией.
1.17
Справка об устранении недоделок и дефектов, установленных рабочими комиссиями.
2
Документация, предъявляемая генеральным подрядчиком рабочей комиссии
2.1
По сооружениям и архитектуре
2.1.1
Попикетные ведомости тоннельных сооружений.
2.1.2
Рабочие чертежи (полный комплект конструктивных, архитектурных, отделочных чертежей по каждой станции и перегонам) с записью о соответствии выполненных в натуре работ, выполняемой лицами, ответственными за производство СМР. Указанный комплект рабочих чертежей является исполнительной документацией.
2.1.3
Отчет об инженерно-геологических условиях строительства объекта.
2.1.4
Ведомость основных применяемых конструкций по видам и назначению сооружений объекта.
2.1.5
Ведомость основных изменений, внесенных в рабочие чертежи в процессе строительства.
2.1.6
Сертификаты и паспорта, удостоверяющие качество примененных материалов, оборудования и изделий.
2.1.7
Данные о показателях прочности уложенного в конструкции монолитного и сборного бетона и железобетона.
2.1.8
Данные о геометрической точности уложенных колец и обделки тоннелей.
2.1.9
Сведения о дефектных элементах обделок.
2.1.10
Данные по осадкам поверхности в районе строительства подземных сооружений.
2.1.11
Протоколы лабораторного анализа химического состава грунтовых вод.
2.1.12
Сведения об использованных научно-исследовательских работах и усовершенствованиях.
2.1.13
Исполнительные чертежи готовых сооружений.
2.1.14
Топографические планы городской территории с нанесенными техническими и охранными зонами объектов строительства.
2.2
По пути и контактному рельсу
2.2.1
Ведомость протяженности путей с выделением длины главных путей, путей соединительных веток в электродепо, парковых путей, протяженности путей в тоннелях и на метромостах.
2.2.2
Исполнительные чертежи сооружений земляного полотна наземных участков. Ведомость дренажей прорезей и других устройств в земляном полотне. Ведомость выполнения укреплений земляного полотна и водоотводных сооружений.
2.2.3
Акты сдачи земляного полотна наземных участков или основания тоннельной обделки под укладку пути, ведомости контрольной нивелировки по оси и бровкам земляного полотна, замеров ширины земляного полотна поверху, уклонов сливной призмы и крутизны откосов. Акты лабораторного испытания грунтов, использованных для сооружения земляного полотна. Акты проверки степени уплотнения грунтов в насыпях.
2.2.4
Ведомость постоянных реперов, установленных генподрядчиком, с указанием их местоположения и отметок.
2.2.5
План и профиль пути с указанием станций, путевого развития на станциях, средних и предельных уклонов и длины кривых участков в % по отношению к общей протяженности с указанием наименьшего радиуса кривых.
2.2.6
Данные о конструкции верхнего строения пути и контактного рельса, включающие характеристику основания, типы шпал и других подрельсовых оснований, рельсов, длину рельсовых плетей и способ сварки, типы стыков, стрелочных переводов и других элементов.
2.2.7
Покилометровая и постанционная ведомости уложенных материалов в верхнее строение пути с указанием назначения пути, типа рельсов, объема и марки бетона и рода балласта, породы и качества древесины шпал и года их укладки, длины рельсовых плетей, года проката и номера плавки рельсов, числа скреплений по типам и видам, типа, марки и числа стрелочных переводов.
2.2.8
Покилометровая ведомость балласта, уложенного пути.
2.2.9
Ведомость покилометрового запаса материалов верхнего строения пути и контактного рельса, передаваемых эксплуатирующей организации.
2.2.10
Ведомость установленных путевых и сигнальных знаков.
2.2.11
Сертификаты на элементы верхнего строения пути, контактного рельса, стрелочные переводы и на сварку стыков рельсовых плетей и плетей контактного рельса.
2.2.12
Ведомость контрольных промеров положения рельсовых нитей относительно реперов. Паспорта кривых участков с ведомостями промеров положения кривых в плане (основные параметры, проектные и фактические стрелы прогиба). Ведомость возвышения наружного рельса в кривых.
2.2.13
Ведомость защитных ограждений.
2.2.14
Ведомость балльной оценки состояния пути и контактного рельса по данным измерений.
2.3
По эскалаторам
2.3.1
Документация в соответствии с приложением 7.3.Г1.
2.3.2
Исполнительные чертежи сооружений.
2.4
По инженерно-техническим устройствам (ОВ, ВК)
2.4.1
Паспорта на оборудование и механизмы.
2.4.2
Акты о выполнении наладочных работ и проведении испытаний систем с указанием организаций, выполнивших наладку и испытания.
2.4.3
Акты сдачи городским организациям наружных коммуникаций, вводов и разрешение на спуск канализационных и условно чистых вод в городские сети.
2.4.4
Акты испытания герметичности фекальных баков, водоприемников водоотливных установок и проведения гидравлических испытаний коммуникаций и емкостей.
2.4.5
Акты проверки защиты коммуникаций от блуждающих токов.
2.4.6
Акты замера уровня шума в помещениях и в тоннелях при работе вентиляционных установок, а также на поверхности - при работе тоннельных вентиляционных установок.
2.4.7
Сведения о выполненных мероприятиях по снижению уровня шума вентиляторов.
2.4.8
Акты испытания демонтажных устройств.
2.4.9
Ведомость запасных частей и резервного оборудования, переданных эксплуатирующей организации.
2.4.10
Исполнительные чертежи и кадастровые паспорта на наружные сети.
2.5
По электротехническим устройствам
2.5.1
Паспорта на оборудование.
2.5.2
Документ о разграничении эксплуатации питающих кабельных сетей между электроснабжающими организациями и метрополитеном.
2.5.3
Справка о выполнении предусмотренных проектом мероприятий по защите от блуждающих токов и электрохимической коррозии.
2.5.4
Исполнительная документация о выполнении мероприятий по обеспечению пожарной безопасности в электропомещениях и защиты обслуживающего персонала от поражения электрическим током.
2.5.5
Исполнительная документация о выполнении мероприятий по предотвращению попадания подземных вод на оборудование в электропомещениях.
2.5.6
Акт о проведении наладочных работ и испытаний оборудования и кабелей повышенным напряжением с указанием организаций, выполнивших наладку и испытания.
2.6
По устройствам управления движением поездов и связи
2.6.1
Паспорта на оборудование.
2.6.2
Акты о проведении наладочных работ и испытаний по устройствам АТДП и связи.
2.7
По организации движения
2.7.1
Акты о пропуске пробного поезда, об обкатке подвижного состава, пути и обустройств.
2.7.2
Акт о выполнении наладочных работ и проверке работы устройств автоматического ведения поездов и автоматических дверей станций при пробном движении поездов.
2.8
По пожарной безопасности
2.8.1
Сведения о системах противопожарной защиты по объектам, включаемым в акты приемочных комиссий.
2.8.2
Акты приемки в эксплуатацию систем противопожарной защиты.
2.9
Сведения о внесенных в проектно-сметную документацию изменениях и дополнениях в соответствии с решениями утверждающих инстанций.
ПРИЛОЖЕНИЕ 7Б
_____________________________________________________________________________
(наименование объекта, сооружения)
ДЛЯ ПРЕДЪЯВЛЕНИЯ ГОСУДАРСТВЕННОЙ ПРИЕМОЧНОЙ КОМИССИИ
| " ____ " _________201__ г.
|
| Рабочая комиссия, назначенная
|
| (наименование организации-заказчика, назначившей рабочую комиссию)
|
| решением от "____" _________ 201___ г. № ________в составе:
|
| председателя - представителя заказчика
|
| (наименование организации, должность, фамилия, и.о.)
|
| членов комиссии - представителей:
|
| генерального подрядчика
|
| (наименование организации, должность, фамилия, и.о.)
|
| субподрядных (монтажных) организаций
|
| (наименование организации, должность, фамилия, и.о.)
|
| генерального проектировщика
|
| (наименование организации, должность, фамилия, и.о.)
|
| органов государственного санитарного надзора
|
| (наименование организации, должность, фамилия, и.о.)
|
| органов государственного пожарного надзора
|
| (наименование организации, должность, фамилия, и.о.)
|
| военизированной пожарной охраны метрополитена
|
| (наименование организации, должность, фамилия, и.о.)
|
| государственной инспекции по охране труда
|
| (наименование организации, должность, фамилия, и.о.)
|
| других заинтересованных органов надзора и организаций
|
| (наименование организации, должность, фамилия, и.о.)
|
| УСТАНОВИЛА:
|
| 1 Генеральный подрядчик
|
| (наименование организации)
|
| предъявил к приемке в эксплуатацию законченное строительством
|
| (наименование объекта, сооружения)
|
| входящего в состав
|
| (наименование объекта)
|
| 2 Строительство осуществлялось генеральным подрядчиком, выполнившим ________________________
|
| и его субподрядными организациями
|
(виды работ)
|
| (наименование организаций)
|
| выполнившими _____________________ .
|
| (виды работ)
|
| 3 Проектно-сметная документация на строительство разработана проектными организациями
|
| (наименование организаций)
|
| 4 Строительство осуществлялось по проекту ____________________
|
| (номер проекта)
|
| 5 Проектно-сметная документация утверждена ________________________________________________
|
| (наименование органа, утвердившего документацию)
|
| "____" ____________ 201__ г. № ______________
|
| 6 Строительно-монтажные работы осуществлены в сроки:
|
| начало работ
|
окончание работ ________________ .
|
| (месяц и год)
|
(месяц и год)
|
| 7 Рабочей комиссии представлена следующая документация:
|
| (перечислить согласно приложению 7А).
|
| Указанные документы являются обязательным приложением к настоящему акту.
8 Объект, сооружение имеет следующие технико-экономические показатели:
|
| (перечислить).
|
| 9 Технологические и архитектурно-строительные решения по объекту, сооружению характеризуются следующими данными:
|
| (протяженность, основные материалы и конструкции, инженерное и технологическое оборудование, провозная и пропускная способность и др.)
|
| 10 Оборудование установлено согласно актам о его приемке после индивидуального и комплексного опробования рабочими подкомиссиями. Перечень указанных актов приведен в приложении к актам рабочих подкомиссий.
|
| 11 Мероприятия по охране труда, обеспечению взрывобезопасности, пожаробезопасности, охране окружающей среды и антисейсмические мероприятия, предусмотренные проектом, выполнены в полном объеме.
|
| 12 Недоделки, выявленные рабочими подкомиссиями, должны быть устранены до предъявления готового объекта, сооружения Государственной приемочной комиссии.
|
| 13 Сметная стоимость по утвержденной проектно-сметной документации:
|
| всего ______________ млн. руб., в том числе:
|
| строительно-монтажных работ ________________ млн. руб.,
|
| оборудования, инструмента, инвентаря ________________млн. руб.
|
| Фактическое выполнение с начала строительства:
|
| всего: ______________ млн. руб., в том числе:
|
| строительно-монтажных работ________________ млн. руб.,
|
| оборудования, инструмента, инвентаря ________________ млн. руб.
|
| РЕШЕНИЕ РАБОЧЕЙ КОМИССИИ
|
| Объект, сооружение
|
| (наименование объекта, сооружения)
|
| ПРИНЯТ от генерального подрядчика и готов для предъявления Государственной приемочной комиссии.
|
| Подписи:
|
ПРИЛОЖЕНИЕ 7В
| УТВЕРЖДЕН
|
| дата и номер решения (приказа, постановления и др.),
|
| должность, фамилия, и.о. лица,
|
| подписавшего решение (приказ, постановление)
|
| (наименование объекта, сооружения)
|
| "____" ____________ 201___ г.
|
| Государственная приемочная комиссия, назначенная решением ______________________________
|
| (приказом, постановлением и др.)
|
| от "____" ____________ 201___ г. № ________________________________________________________
|
| в составе:
|
(наименование органа, назначившего комиссию)
|
| председателя
|
| (наименование организации, должность, фамилия, и.о.)
|
| членов комиссии-представителей:
|
| заказчика эксплуатационной организации
|
| генерального подрядчика
|
(наименование организации, должность, фамилия, и.о.)
|
| (наименование организации, должность, фамилия, и.о.)
|
| генерального проектировщика
|
| (наименование организации, должность, фамилия, и.о.)
|
| органов государственного санитарного надзора
|
| (наименование организации, должность, фамилия, и.о.)
|
| органов государственного пожарного надзора
|
| органов экологического надзора
|
(наименование организации, должность, фамилия, и.о.)
|
| (наименование организации, должность, фамилия, и.о.)
|
| государственной инспекции по охране труда
|
| (наименование организации, должность, фамилия, и.о.)
|
| других заинтересованных органов и организаций
|
| (наименование организации, должность, фамилия, и.о.)
|
| руководствуясь изложенными в СНиП 32-02 требованиями,
|
| УСТАНОВИЛА:
|
| 1 Заказчиком
|
| (подрядчиком, совместно с заказчиком)
|
| (наименование организации)
|
| предъявлен к приемке в эксплуатацию
|
| (наименование объекта)
|
| 2 Строительство осуществлено на основании решения
|
| (приказа, постановления и др.)
|
| от "____" ____________ 201__ г. №
|
| (наименование органа, вынесшего решение)
|
| 3 Строительство осуществлено генеральным подрядчиком
|
| выполнившим
|
(наименование организации)
|
| (виды работ)
|
| и субподрядными организациями
|
| (наименование организаций, виды работ, выполненных каждой организацией. При числе организаций свыше трех их перечень указывать в приложении к акту).
|
| 4 Проектно-сметная документация на строительство разработана генеральным проектировщиком
|
| (наименование организации)
|
| выполнившим
|
| (наименование частей или разделов документации)
|
| и субподрядными организациями
|
| (наименование организаций, частей или разделов документации, выполненных каждой организацией. При числе организаций свыше трех их перечень указывать в приложении к акту).
|
| 5 Исходные данные для проектирования выданы
|
| наименование научно-исследовательских и изыскательских организаций, тематика исходных данных. При числе организаций свыше трех их перечень указывать в приложении к акту).
|
| 6 Строительство осуществлялось по проекту (технико-экономическому обоснованию, проекту) _____________________ .
|
| (номер проекта)
|
| 7 Проектно-сметная документация утверждена
|
| (наименование органа, утвердившего, переутвердившего документацию на объект)
|
| "______" ______________ 201___ г. № ________________________________________
|
| 8 Строительно-монтажные работы осуществлены в сроки:
|
| начало работ _____________________
|
окончание работ __________________
|
| (месяц и год)
|
(месяц и год)
|
| при продолжительности строительства, мес:
|
| по норме или по ПОС ____________________
|
фактически ___________________
|
| (месяц и год)
|
(месяц и год)
|
| 9 Государственной приемочной комиссии представлена следующая документация: __________________
|
| (перечень документов по приложению 7А)
|
| 10 Предъявленный к приемке в эксплуатацию объект имеет следующие основные показатели:
|
| (мощность, протяженность, пропускная и провозная способность, скорость движения, количество использованных на строительстве материалов - бетон, железобетон, чугун и др., протяженность пути и контактного рельса и т.п. в табличной форме с указанием показателей по проекту и фактически)
|
| 11 Архитектурно-строительные и технологические решения по объекту характеризуются следующими данными:
|
| (краткие технические характеристики по особенностям его размещения, по планировке, основным материалам и конструкциям, инженерному и технологическому оборудованию)
|
| 12 На объекте установлено предусмотренное проектом оборудование в количестве __________________
|
| (согласно актам рабочих подкомиссий о его приемке после индивидуального испытания и комплексного опробования)
|
| 13 Мероприятия по охране труда, обеспечению взрывобезопасности, пожаробезопасности, охране окружающей природной среды и антисейсмические мероприятия, предусмотренные проектом, выполнены и приведены в приложении к настоящему акту.
|
| 14 Внешние наружные коммуникации холодного и горячего водоснабжения, канализации, теплоснабжения, газоснабжения, электроснабжения и связи обеспечивают нормальную эксплуатацию объекта и приняты городскими эксплуатационными организациями.
|
| 15 Недоделки и дефекты, выявленные рабочей комиссией, устранены.
|
| 16 Сметная стоимость по утвержденной проектно-сметной документации:
|
| всего ________________________ млн. руб.,
|
в том числе:
|
| строительно-монтажных работ _____________________млн. руб.,
|
| оборудования, инструмента и инвентаря _____________млн. руб.
|
| Фактическое выполнение с начала строительства:
|
| всего: __________________________млн. руб.,
|
в том числе:
|
| строительно-монтажных работ ___________________млн. руб.,
|
| оборудования, инструмента и инвентаря _____________________млн. руб.
|
| 17 Сметная стоимость основных фондов, принимаемых в эксплуатацию: ___________млн. руб.,
|
| в том числе:
строительно-монтажных работ ___________________ млн. руб.,
|
| оборудования, инструмента и инвентаря _____________________ млн. руб.
|
| РЕШЕНИЕ ГОСУДАРСТВЕННОЙ ПРИЕМОЧНОЙ КОМИССИИ
|
| Предъявленный к приемке ______________________________
|
| (наименование объекта)
|
| ПРИНЯТЬ В ЭКСПЛУАТАЦИЮ
|
с "____" ________________201__ г.
|
| Подписи:
|
ПРИЛОЖЕНИЕ 7Г
1
Общие положения
1.1
Паспорт должен содержать основные строительные и эксплуатационные показатели законченной строительством линии метрополитена и ее составных частей, характеризующие условия и возможности перевозки пассажиров.
В паспорте отражать также показатели подземной линии при использовании ее сооружений в качестве убежища для населения в режимах ГО и ЧС.
Значения приводимых показателей должны соответствовать утвержденной проектной документации и, при необходимости, исполнительной документации.
1.2
Показатели отдельных сооружений и инженерно-технических установок, обеспечивающих реализацию основных эксплуатационных показателей, перечисленных ниже в соответствующих таблицах, в паспорте допускается не указывать.
1.3
На объекты метрополитена, относящиеся к эксплуатации нескольких линий, составлять отдельные паспорта.
1.4
В паспорте приводить сведения о впервые примененных технических решениях, о решениях, защищенных патентами или свидетельствами (со ссылками на эти документы), а также о решениях, реализованных с отклонениями от действующих норм, с приложением, при необходимости, обосновывающих документов.
1.5
При изменении основных эксплуатационных показателей в результате продления или реконструкции объектов линии метрополитена в паспорта вносить соответствующие данные путем составления вкладышей. Наличие вкладышей отражать в содержании паспорта.
1.6
Паспорт рекомендуется составлять в табличной форме по приведенной ниже структуре. Отдельные технические показатели, а также необходимые пояснения, излагаемые в текстовом виде, возможно выносить в приложения. По решению заказчика состав паспорта может быть увеличен за счет внесения в него дополнительных показателей.
1.7
В состав паспорта включать перечень всех организаций, принимавших участие в проектировании и строительстве линии, с отражением реквизитов организаций, фамилий руководителей (начальник, главный инженер), объектов строительства и состава выполненных работ.
1.8
Паспорт подписывают руководители генеральных проектной и строительной организаций и эксплуатационной организации.
| (наименование метрополитена)
|
| ПАСПОРТ
|
| (наименование линии или участка линии)
|
| Наименование организации; должность, фамилия, и.о. и подпись руководителя организации;
дата подписи; печать
|
| проектная
|
строительная
|
эксплуатирующая
|
| Город
год
|
Основные показатели линии
| (наименование линии или участка линии)
|
Таблица 1
| Наименование
|
Показатель
|
| 1 Схема линии
|
Приложение
|
| 2 Дата ввода в эксплуатацию (число, мес., год)
|
| 3 Эксплуатационная длина в двухпутном исчислении, км
|
| 4 Пропускная способность в первый период эксплуатации:
пар поездов в час
вагонов в поезде
|
| 5 Пропускная способность расчетная в перспективе:
пар поездов в час
вагонов в поезде
|
| 6 Провозная способность, тыс. пассажиров в час:
в первый период эксплуатации
расчетная в перспективе
|
| 7 Подвижной состав (N серии)
|
| 8 Заложение линии: (длина подземного, наземного, надземного участков, км, - возможно отразить на схеме)
|
| 9 Число станций, в том числе с путевым развитием и пересадочных
|
| 10 Верхнее строение пути (тип рельсов и подрельсового основания)
|
| 11 Система внешнего электроснабжения (схема, потребляемая мощность, напряжение сети)
|
Приложение
|
| 12 Инженерно-технические установки:
система тоннельной вентиляции (схема, производительность УТВ)
основные водоотливные установки (число, производительность)
противопожарный водопровод (расход воды в режиме пожаротушения)
|
| 13 Системы управления:
состав диспетчерского пункта линии (перечень отраслевых ДП)
управление движением поездов (виды систем и основные функции)
управление инженерно-техническими установками (виды управления)
связи (основные виды по группам)
|
| 14 Электродепо
|
| 15 Здание эксплуатационного персонала
|
| 16 Нормативная база (перечень основных нормативных документов, которым соответствует построенная линия)
|
Приложение
|
| 17 Перечень основных технических решений: примененных впервые, защищенных патентами или свидетельствами, реализованных с отклонениями от действующих норм с указанием обосновывающих документов
|
Приложение
|
| 18 Акт Государственной приемочной комиссии
|
Приложение
|
| 19 Перечень организаций, участвовавших в проектировании и строительстве
|
Приложение
|
Основные показатели станции
Таблица 2а*
| Наименование
|
Показатель
|
| 1 Почтовый адрес
|
| 2 Дата ввода в эксплуатацию (число, мес., год)
|
| 3 Объемно-планировочная схема, отражающая привязку к местности, заложение (подземная, наземная, надземная), тип вестибюля (подземный, наземный), наличие пересадочных сооружений
|
Приложение
|
| 4 Число эскалаторов, лифтов, платформ подъемных для инвалидов
|
| 5 Провозная способность в первый период эксплуатации, тыс. пассажиров в час
|
| 6 То же, в перспективе
|
| 7 Реализуемая пропускная способность (пар поездов в час) в аварийном режиме (при выпадении ТПП)
|
| 8 Технические средства охраны порядка и безопасности (теленаблюдение, сигнализация, защита от проникновения, датчики параметров среды и др.)
|
Приложение
|
| 9 Технические средства пожарной безопасности и контроля параметров воздуха
|
| 10 Сведения согласно п.17 таблицы 1
|
Приложение
|
| * Таблица составляется для каждой станции под номерами 2б, 2в и т.д.
|
Основные показатели дополнительных сооружений и устройств
| (наименование линии или участка линии)
|
Таблица 3а*
| Наименование
|
Показатель
|
| 1 Схема участка линии, приспособленная под убежище, отражающая длину отсеков, численность укрываемого населения, тыс. чел., расположение и краткую характеристику средств жизнеобеспечения
|
| 2 Сведения согласно п.17 таблицы 1
|
Приложение
|
| * Таблица составляется для каждого участка под номерами 3б, 3в и т.д.
|
Основные показатели электродепо
Таблица 4
| Наименование
|
Показатель
|
| 1 Почтовый адрес
|
| 2 Дата ввода в эксплуатацию (число, мес., год)
|
| 3 Генеральный план с привязкой к местности, с указанием площади и экспликации сооружений в первый период эксплуатации и в перспективе
|
Приложение
|
| 4 Перечень основных сооружений с отражением их основных показателей по назначению (число этажей, площадь, число путей, производительность, техническое оснащение, состав выполняемых работ и др.)
|
Приложение
|
| 5 Технические средства охраны порядка и безопасности (теленаблюдение, защита от проникновения, датчики параметров среды, виды связи и др.)
|
Приложение
|
| 6 Технические средства пожарной безопасности
|
| 7 Сведения согласно п.17 таблицы 1
|
Приложение
|
Основные показатели здания эксплуатационного персонала
| (наименование линии или участка линии)
|
Таблица 5
| Наименование
|
Показатель
|
| 1 Почтовый адрес
|
| 2 Дата ввода в эксплуатацию (число, мес., год)
|
| 3 Генеральный план с привязкой к местности
|
Приложение
|
| 4 Характеристика здания (число этажей, площадь, перечень основных помещений, состав размещаемого персонала и др.)
|
Приложение
|
| 5 Инженерно-техническое оснащение (число лифтов, электроснабжение, связи, кондиционирование и др.)
|
| 6 Технические средства охраны порядка и безопасности (теленаблюдение, сигнализация, защита от проникновения и др.)
|
Приложение
|
| 7 Технические средства пожарной безопасности
|
| 8 Сведения согласно п.17 таблицы 1
|
Приложение
|
|