| Общество с ограниченной ответственностью
«Центр Энергоаудиторских предприятий
нефтегазовой промышленности»
|
Россия, 109028, г. Москва, Подколокольный пер. 13/5, стр.1, тел/факс: (095) 927-51-91, 927-51-33, 927-50-07
Е-mail: energoaudit@eesnet.ru
МЕТОДИЧЕСКИЕ УКАЗАНИЯ
«Нормирование расходов топливно-энергетических ресурсов при
производстве тепловой энергии для предприятий расположенных на
территории Ямало-Ненецкого автономного округа»

ООО «Центр энергоаудиторских предприятий нефтегазовой промышленности» г. Москва
Управление энергоэффективности
департамента энергетики и жилищно-коммунального комплекса
Администрации Ямало-Ненецкого автономного округа.
Методические указания разработаны ООО «Центр энергоаудиторских предприятий нефтегазовой промышленности» г. Москва и Управлением энергоэффективности департамента энергетики и жилищно-коммунального комплекса Администрации Ямало-Ненецкого автономного округа.
Методические указания предназначены для использования работниками теплоэнергетических предприятий и организаций, расположенных на территории Ямало-Ненецкого автономного округа, при проведении расчетов по определению расходов топливно-энергетических на выработку тепловой энергии.
Методические указания содержат методики расчета расходов топливно-энергетических ресурсов при производстве, передаче и потреблении тепловой энергии. Приведены практические рекомендации и вспомогательные материалы для проведения расчетов и примеры расчетов.
Замечания и предложения по настоящим Методическим указаниям направлять по адресу: 249008, ЯНАО, г. Салехард, ул. Подшибякина, д.25а, Управление энергоэффективности департамента энергетики и жилищно-коммунального комплекса.
СОДЕРЖАНИЕ
| ТЕРМИНЫ И ОПРЕДЕЛЕНИЯ
|
4
|
| ОБЩИЕ ПОЛОЖЕНИЯ
................................................................................................................................
|
6
|
| 1. ОПРЕДЕЛЕНИЕ КОЛИЧЕСТВА ПОТРЕБЛЯЕМОЙ ТЕПЛОВОЙ ЭНЕРГИИ
..........................
|
8
|
| 1.1.Определение количества тепловой энергии на отопление ……………………………………………
|
8
|
| 1.2. Определение количества тепловой энергии на вентиляцию …
……………………………………
|
14
|
| 1.3. Определение количества тепловой энергии на горячее водоснабжение…………………………….
Забиваем Сайты В ТОП КУВАЛДОЙ - Уникальные возможности от SeoHammer
Каждая ссылка анализируется по трем пакетам оценки: SEO, Трафик и SMM.
SeoHammer делает продвижение сайта прозрачным и простым занятием.
Ссылки, вечные ссылки, статьи, упоминания, пресс-релизы - используйте по максимуму потенциал SeoHammer для продвижения вашего сайта.
Что умеет делать SeoHammer
— Продвижение в один клик, интеллектуальный подбор запросов, покупка самых лучших ссылок с высокой степенью качества у лучших бирж ссылок.
— Регулярная проверка качества ссылок по более чем 100 показателям и ежедневный пересчет показателей качества проекта.
— Все известные форматы ссылок: арендные ссылки, вечные ссылки, публикации (упоминания, мнения, отзывы, статьи, пресс-релизы).
— SeoHammer покажет, где рост или падение, а также запросы, на которые нужно обратить внимание.
SeoHammer еще предоставляет технологию Буст, она ускоряет продвижение в десятки раз,
а первые результаты появляются уже в течение первых 7 дней.
Зарегистрироваться и Начать продвижение
|
16
|
| 1.4. Определение расхода теплоносителя в тепловой сети………………………………………………...
|
21
|
| 2. ОПРЕДЕЛЕНИЕ КОЛИЧЕСТВА ВЫРАБАТЫВАЕМОГО ТЕПЛА
..............................................
|
23
|
| 2.1. Определение количества тепловой энергии на собственные нужды котельной………………….
|
23
|
| 2.2. Определение количества тепловой энергии, теряемой в тепловых сетях…………………………...
|
29
|
| 3. ОПРЕДЕЛЕНИЕ ПОТРЕБНОГО КОЛИЧЕСТВА ТОПЛИВА НА ВЫРАБОТКУ
ТЕПЛОВОЙ ЭНЕРГИИ…………………………………………………………………………………...
|
33
|
| 4. ОПРЕДЕЛЕНИЕ КОЛИЧЕСТВА ЭЛЕКТРИЧЕСКОЙ ЭНЕРГИИ, ТРЕБУЕМОГО НА ВЫРАБОТКУ ТЕПЛА
…………………………………………………………………….………………..
|
38
|
| 5. ОПРЕДЕЛЕНИЕ КОЛИЧЕСТВА ВОДЫ ДЛЯ ВЫРАБОТКИ ТЕПЛОВОЙ ЭНЕРГИИ
……....
|
45
|
| 6. ОХРАНА ОКРУЖАЮЩЕЙ СРЕДЫ
………………………………………………………………..…
|
51
|
| ПРИЛОЖЕНИЕ 1
……………………………………………………………………………………….......
|
53
|
| ПРИЛОЖЕНИЕ 2
………………………………………………………………………………………. ...
|
67
|
| ПРИЛОЖЕНИЕ 3
………………………………………………………………………………………. ...
|
69
|
| ПРИЛОЖЕНИЕ 4
………………………………………………………………………………………. ...
|
75
|
| ПРИЛОЖЕНИЕ 5
………………………………………………………………………………………. ...
|
78
|
| ПРИЛОЖЕНИЕ 6
………………………………………………………………………………………. ...
|
82
|
| ПРИЛОЖЕНИЕ 7
………………………………………………………………………………………. ...
|
84
|
| ПРИЛОЖЕНИЕ 8
………………………………………………………………………………………. ...
|
89
|
| ПРИЛОЖЕНИЕ 9
…………………………………………………………………………………………..
|
90
|
| ПРИЛОЖЕНИЕ 10 .
………………………………………………………………………………………..
|
93
|
| СПИСОК ИСПОЛЬЗУЕМОЙ ЛИТЕРАТУРЫ
…………………………………..…………………….
|
95
|
ТЕРМИНЫ И ОПРЕДЕЛЕНИЯ
- "абонент (потребитель)"
- юридическое лицо, а также предприниматель без образования юридического лица, имеющие в собственности или на ином законном основании объекты и системы теплопотребления, которые непосредственно присоединены к системам коммунального теплоснабжения, заключившие с теплоснабжающей организацией в установленном порядке договор на отпуск (получение) тепловой энергии и (или) теплоносителей;
- К числу абонентов (потребителей) относятся также организации, уполномоченные оказывать коммунальные услуги населению, проживающему в государственном (ведомственном), муниципальном или общественном жилищном фонде, товарищества и другие объединения собственников, которым передано право управления жилищным фондом;
- "субабонент"
- лицо, названное в понятии "абонент" настоящих Методических указаний, получающее по договору с абонентом тепловую энергию и (или) теплоносители по тепловой сети, присоединенной к тепловой сети абонента;
- "баланс тепловой энергии системы теплоснабжения (тепловой баланс)"
- итог распределения количеств тепловой энергии, отпущенной источником (источниками) тепла с учетом потерь при передаче и распределении тепловой энергии до границ эксплуатационной ответственности и использованной абонентами;
Сервис онлайн-записи на собственном Telegram-боте
Попробуйте сервис онлайн-записи VisitTime на основе вашего собственного Telegram-бота:
— Разгрузит мастера, специалиста или компанию;
— Позволит гибко управлять расписанием и загрузкой;
— Разошлет оповещения о новых услугах или акциях;
— Позволит принять оплату на карту/кошелек/счет;
— Позволит записываться на групповые и персональные посещения;
— Поможет получить от клиента отзывы о визите к вам;
— Включает в себя сервис чаевых.
Для новых пользователей первый месяц бесплатно.
Зарегистрироваться в сервисе
- "баланс теплоносителей системы теплоснабжения (водный баланс; пароконденсатный баланс)"
- итог распределения количеств теплоносителей (сетевая вода; пар; конденсат), отпущенных источником (источниками) тепла с учетом потерь при транспортировании до границ эксплуатационной ответственности и использованных абонентами;
- "ввод в эксплуатацию"
- заполнение тепловых сетей и систем теплопотребления абонента теплоносителем и постановка их под давление, производимые после надлежащего оформления допуска объекта в эксплуатацию;
- "граница балансовой принадлежности"
- линия раздела элементов систем теплоснабжения между их владельцами по признаку собственности, хозяйственного ведения, оперативного управления или аренды;
- "граница эксплуатационной ответственности"
- линия раздела элементов систем теплоснабжения по признаку обязанностей (ответственности) по эксплуатации тех или иных элементов систем теплоснабжения, устанавливаемая соглашением сторон;
- "допуск в эксплуатацию"
- порядок определения и документального оформления готовности теплопотребляющих установок и тепловых сетей к приему теплоносителей и использованию тепловой энергии в соответствии с нормативно-техническими документами;
- "максимальная расчетная тепловая нагрузка (мощность)"
- максимальный часовой расход тепла и соответствующий ей максимальный часовой расход теплоносителя;
- "присоединенная тепловая сеть"
- совокупность устройств, предназначенных для передачи и распределения тепловой энергии и теплоносителя абонентам (потребителям);
- "режим теплопотребления"
- установленные договором величины потребления тепловой энергии (мощности), циркуляционных расходов и количества используемых теплоносителей в течение заданного времени (час; сутки);
- "режим теплоснабжения"
- установленные договором величины отпуска тепловой энергии (мощности) и параметры (расход; температура; давление) теплоносителя, обеспечивающие нормальную работу систем теплопотребления;
- "система теплоснабжения"
- совокупность объединенных общим производственным процессом источников тепла и (или) тепловых сетей города (района, квартала), другого населенного пункта, эксплуатируемых теплоснабжающей организацией системы, получившей соответствующие специальные разрешения (лицензии) в установленном порядке;
- "энергоснабжающая (теплоснабжающая) организация"
- коммерческая организация независимо от организационно-правовой формы, осуществляющая продажу абонентам (потребителям) по присоединенной тепловой сети произведенной или (и) купленной тепловой энергии и теплоносителей;
- «узел учета»
- совокупность аттестованных в установленном порядке средств и систем измерений и других устройств, предназначенных для коммерческого учета тепловой энергии и теплоносителей;
- «калория (кал)»
- количество теплоты, необходимое для нагревания 1 грамма воды на 1°С;
- «теплота сгорания»
- количество теплоты, выделяемое при полном сжигании 1 кг или 1м3
топлива;
- «условное топливо»
- принято такое топливо, низшая теплота сгорания рабочей массы которого составляет 29308 кДж/кг (7000 ккал/кг). Данное понятие используется для сравнения запасов разных видов топлива при определении норм его расхода, планировании потребности топлива и других расчетах;
- «КПД котла»
- отношение полезно использованной теплоты ко всей теплоте, внесенной в топку котла при сжигании топлива. Различают КПДнетто
и КПДбрутто
. КПД котла, учитывающий затраты энергии на собственные нужды котельной, называется КПДнетто
.
ОБЩИЕ ПОЛОЖЕНИЯ
Настоящие методические указания предназначены для использования предприятиями, осуществляющими производство, передачу и распределение тепловой энергии при текущем планировании потребности в энергоресурсах и затрат на топливо, электроэнергию и воду.
Нормирование расхода топливно-энергетических ресурсов – это определение меры их потребления в условиях эффективного использования. Основная задача нормирования – обеспечить применение при планировании и в производстве технически и экономически обоснованных прогрессивных норм расхода ТЭР для осуществления режима энергосбережения, рационального распределения и наиболее эффективного их использования.
Нормированию должны подлежать все виды расхода ТЭР на основные и вспомогательные производственно-эксплуатационные нужды, независимо от их объема потребления. Итогом и целью нормирования является удельный расход этих ресурсов на производство единицы продукции.
Нормы расхода топливно-энергетических ресурсов разрабатываются раздельно по топливу в условном исчислении и в натуральном – по тепловой энергии.
Для выполнения норм необходимы: исправное оборудование, соблюдение установленных режимов работ, а также плановой загрузки по мощности оборудования.
Нормы расхода топливно-энергетических ресурсов . ,тно-статистический методы, должны:
- систематически пересматриваться с учетом условий производства, перспективных планов организационно-технических мероприятий, предусматривающих рациональное и эффективное использование топлива, тепловой и электрической энергии;
- способствовать максимальной мобилизации внутренних резервов экономии топлива, тепловой и электрической энергии, выполнению плановых заданий и достижению высоких экономических показателей производства.
Нормы расхода топливно-энергетических ресурсов при производстве тепловой энергии, следует рассматривать как максимально допустимые.
Все данные, закладываемые в расчеты по определению расходов тепловой энергии, должны быть зафиксированы в договоре на пользование тепловой энергии. К договору должен быть приложен акт разграничения балансовой принадлежности тепловых сетей и эксплуатационной ответственности энергоснабжающей и энергопотребляющей сторон.
Учет количества реализованной тепловой энергии должен проводиться в точке учета на границе раздела тепловых сетей. Потери тепловой энергии в сетях относятся на счет стороны, на балансе которой они находятся. Потери тепловой энергии теплопроводами, проложенными в подвале зданий после ЦТП, следует относить на счет потребителей пропорционально нагрузкам зданий, подключенным к теплопроводам. В случае, когда по подвалу здания проложены транзитные тепловые сети до ЦТП, тепловые потери относят на счет теплоснабжающей организации.
Перед проведением расчетов потребности в тепловой должна быть проведена оценка достоверности представленной потребителем исходной информации – проектные тепловые нагрузки; объемы заданий; количество жителей, пользующихся горячей водой; диаметры и протяженность тепловых сетей, находящихся на балансе потребителя.
Основные климатологические данные для расчета отопительных и вентиляционных нагрузок следует принимать по СНиП23-01-99 «Строительная климатология», СНиП 2.04.05-91 «Отопление, вентиляция и кондиционирование воздуха», ТСН 23-334-2002 Ямало-Ненецкого автономного округа «Энергетическая эффективность жилых и общественных зданий. Нормативы по энергосберегающей теплозащите».
Начало и конец отопительного сезона для жилых и общественных зданий должны определяться в соответствии с действующими СНиП по продолжительности отопительного периода и числу дней с устойчивой среднесуточной температурой 8°С и ниже. На практике отопительный сезон начинают в осенний период при устойчивой среднесуточной температуре наружного воздуха 8°С в течение 3¸5 суток, заканчивают в весенний период при стоянии среднесуточных температур в течение 5 суток свыше 8°С, отопительный сезон может быть начат при продолжительном стоянии среднесуточных температур наружного воздуха 10°С и ниже.
1.
ОПРЕДЕЛЕНИЕ КОЛИЧЕСТВА ПОТРЕБЛЯЕМОЙ ТЕПЛОВОЙ ЭНЕРГИИ
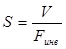
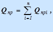
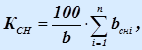
Количество потребляемой тепловой энергии определяют по формуле (Гкал):
| 
|
- количество тепловой энергии, потребляемое i
-м абонентом, Гкал;
|
|
|
- количество абонентов, Гкал.
|
где
Потребность в тепловой энергии абонента складывается из количества тепловой энергии, необходимой на нужды отопления, вентиляции и горячего водоснабжения (Гкал):
| 
|
- количество тепловой энергии на отопление, Гкал;
|
| 
|
- количество тепловой энергии на вентиляцию, Гкал;
|
| 
|
- количество тепловой энергии на горячее водоснабжение, Гкал.
|
где
1.1. Определение количества тепловой энергии на отопление
1.1.1.
Расчетную тепловую нагрузку для отопления зданий Q
о
принимают в соответствии с типовым или индивидуальным проектом здания или системы отопления. В случае проведения энергетических обследований и оформления энергетических паспортов, принимают по данным паспорта (постановление Губернатора автономного округа от 24 июня 2002 года № 215 «О проведении энергетических обследований и введения энергетических паспортов для организаций, финансируемых за счет средств окружного бюджета»).
Пересчет расхода тепловой энергии для конкретного здания при наличии типового проекта, производят по формуле (Гкал/ч):
| 
|
- проектная тепловая нагрузка на отопление здания, Гкал/ч;
|
| ,
|
- расчетные температуры внутри отапливаемых помещений соответственно по
типовому проекту и для конкретного здания, °С, [Приложение 1, табл.1.6
];
|
| ,
|
- расчетные температуры наружного воздуха для отопления соответственно проектная и для конкретного здания,°С, [Приложение 1, табл.1.4
].
|
где
Формула 1.3 справедлива при отклонении расчетных температур от принятых в типовом проекте в пределах 5°С, при больших отклонениях расчетное значение отопительной нагрузки следует согласовать с разработчиками типового проекта.
1.1.2.
Потребное количество тепловой энергии на отопление за рассматриваемый период (месяц, квартал, отопительный период, год), определяют по формуле (Гкал):
| 
|
- средняя температура наружного воздуха за рассматриваемый период для данной местности,°С, [Приложение 1, табл.1.4,
1.5
];
|
| 
|
- продолжительность работы систем отопления за рассматриваемый период, сут.
|
где
1.1.3.
При наличии в зданиях и сооружениях приборного учета тепловой энергии – подключенную нагрузку можно определить по показаниям счетчика, при условии его непрерывной работы не менее 3-х лет.
1.1.4.
При отсутствии проектных данных расчетную нагрузку здания на отопление вычисляют по формуле укрупненных расчетов (Гкал/ч):
| 
|
- наружный строительный объем здания, м3
;
|
| 
|
- удельная отопительная характеристика здания при = -30°С, ккал/(м3
×ч×°С), принимаемая по [Приложение 1, табл.1.2
, 1.3
];
|
| 
|
- поправочный коэффициент, принимаемый по таб. [Приложение 1, табл.1.1
]
|
где
Соответственно, потребное количество тепловой энергии на отопление за рассматриваемый период (месяц, квартал, отопительный период, год), определяют по формуле (Гкал):
1.1.5.
Удельная отопительная характеристика здания любого назначения может быть определена по формуле (ккал/ч×м3
×°С):
| 
|
- периметр здания, м;
|
| 
|
- площадь застройки, м2
;
|
| 
|
- высота здания, м;
|
| 
|
- коэффициент остекления, т.е. отношение площади остекления к площади стен;
|
| 
|
- коэффициент теплопередачи соответственно стен, окон, потолка, пола согласно СНиП II-3-79* «Строительная теплотехника».
|
где
Наружный строительный объем здания принимают по данным типовых и индивидуальных проектов здания или по данным бюро технической инвентаризации.
Для зданий с чердачным перекрытием наружный строительный объем определяется умножением площади горизонтального сечения, взятого по внешнему (наружному) обводу здания на уровне первого этажа выше цоколя на полную высоту здания, измеренную от уровня чистого пола первого этажа до верхней плоскости теплоизоляционного слоя чердачного покрытия; при плоских, совмещенных крышах – до средней отметки верха крыши.
Строительный объем подземной части здания определяется умножением горизонтального сечения по внешнему обводу здания на уровне первого этажа выше цоколя на высоту, измеренную от уровня чистого пола первого этажа до уровня пола подвала и цокольного этажа.
При измерении наружного строительного объема не учитываются выступающие архитектурные детали и конструктивные элементы, портики, террасы, балконы, объемы проездов и пространства под зданием на опорах (в чистоте), а также проветриваемые подполья под зданиями, проектируемые для строительства на вечномерзлых грунтах.
1.1.6.
Величина удельной отопительной характеристики при укрупненных расчетах может быть увеличена:
- для зданий облегченного (барачного) типа и сборно-щитовых домов – до 15%;
- для каменных зданий в первый сезон отопления, законченных строительством в мае-июне – до 12%, в июне-августе – до 20%, в сентябре – до 25%, в течение отопительного сезона – до 30%;
- для зданий, расположенных на возвышенностях, у рек, озер, на берегу моря, на открытой местности, не защищенной от сильных ветров, при их средней скорости за три наиболее холодных месяца от 3 до 5 м/сек – до10%, от 5 до 10 м/сек – до 20%, более 10 м/сек – до 30%; средняя скорость ветра за отопительный период принимается по СНиП 23-01-99 или по данным местной метеостанции.
Ограждение помещения считается защищенным от ветра, если расстояние между ним и ближайшим ограждением защищающего строения превышает разность между уровнем кровли защищающего его строения и уровнем перекрытия помещения не более чем в пять раз.
1.1.7.
Для помещений, расположенных на первом этаже, отличающихся по высоте от остальных помещений здания, расход тепловой энергии определяют пропорционально объемам помещений здания. При наличии в жилом здании ряда частных организаций (квартир, предприятий) расход тепловой энергии для каждого определяют пропорционально занимаемой общей площади здания или объема.
1.1.8.
Климатические параметры холодного периода года, а также среднюю месячную и годовую температуру воздуха, для населенных пунктов, принимают по данным СНиП 23-01-99 «Строительная климатология», ТСН 23-334-2002 Ямало-Ненецкого автономного округа «Энергетическая эффективность жилых и общественных зданий. Нормативы по энергосберегающей теплозащите» или по показателям местной метеостанции [Приложение 1, табл.1.4
;1.5
]. Среднюю температуру наружного воздуха за неполный месяц принимают по средним показателям метеостанции для данной местности.
1.1.9.
Расчетные значения усредненных температур внутреннего воздуха при укрупненных расчетах для учреждений обслуживания населения и общественных зданий принимают по типовому проекту, при отсутствии проекта - [Приложение 1, табл.1.6
].
1.1.10.
В районах с расчетной температурой наружного воздуха для проектирования отопления -31°С и ниже - температуру внутреннего воздуха для жилых зданий следует принимать равной 20°С (СНиП 2.08.01-89* «Жилые здания»).
1.1.11.
Расход тепловой энергии на отопление для промышленных, общественных, сельскохозяйственных объектов (гаражи, сушилки, теплицы, подземные отапливаемые переходы, плавательные бассейны, остекленные встроенные или пристроенные к зданию магазины, аптеки, киоски и т.п.) при отсутствии проектных тепловых нагрузок определяют по установленной поверхности нагревательных приборов. Все исходные данные для расчета определяются представителями теплоэнергетического предприятия в присутствии потребителя с составлением акта.
1.1.12.
Если часть жилого здания занята общественными учреждениями (магазины, аптеки, конторы и т.п.), то расчетная годовая нагрузка на отопление для каждой части здания определяется по проекту. При наличии проектной нагрузки на отопление только в целом на здание или при определении ее по укрупненным показателям расчетная часовая нагрузка помещений, занятых общественными учреждениями, определяется по установленной поверхности нагревательных приборов. При схеме подключения полотенцесушителей в зданиях к системе отопления, расход тепла в них определяют так же по установленной поверхности нагрева.
К приборам отопления конвективно-излучающего действия относятся:
1) радиаторы чугунные секционные;
2) радиаторы стальные штампованные панельные и листотрубные;
3) трубы чугунные ребристые;
4) трубы стальные гладкие и регистры их гладких труб;
5) конвекторы напольные, настенные, плинтусные и т.д.
Расчетная тепловая нагрузка отопительного прибора конвективно-излучающего действия в общем случае определяется по формуле (Гкал/ч):

|
|
- коэффициент теплопередачи прибора, ккал/(м2
×ч×°С), [Приложение 1, табл.1.7
];
|
|
|
- площадь поверхности нагрева прибора, экм;
|
|
|
- температурный напор, °С.
|
где
|
|
- расчетные температуры греющей воды соответственно на входе в прибор и выходе из него, °С;
|
|
|
- расчетная температура воздуха в помещении, °С [Приложение 1, таб.1.6
].
|
где
Коэффициент теплопередачи отопительных приборов конвективно-излучающего действия зависит от температурного напора. Значения коэффициентов теплопередачи различных видов отопительных приборов приведены в [Приложение 1, табл.1.7
].
По действующим стандартам площадь поверхности нагрева отопительных приборов конвективно-излучающего действия исчисляется в эквивалентных квадратных метрах (экм): 1 экм для чугунных радиаторов представляет собой площадь поверхности нагрева, теплоотдача которой при температурном напоре 64,5°С и расходе воды 17,4 л/ч равна 435 ккал/ч.
Данные об отопительных приборах конвективно-излучающего действия для их расчета приведены в [Приложение 7
, табл.7.1-7.18].
1.1.13.
Потребность в тепловой энергии сельскохозяйственных объектов на технологические нужды, обслуживаемых теплоэнергетическим предприятием, определяется в соответствии с утвержденными нормами расхода тепловой энергии в сельскохозяйственном производстве, представляемых потребителем.
Количество тепловой энергии, расходуемое на технологические нужды теплиц и оранжерей, определяется по формуле (Гкал):
| 
|
- количество тепловой энергии на i
-е технологические операции, Гкал;
|
| n
|
- количество технологических операций.
|
где
| 
|
- соответственно потери тепловой энергии через ограждения, потери тепловой энергии при воздухообмене, количество тепловой энергии для подогрева поливочной воды и для пропарки почвы, Гкал;
1,05 – коэффициент, учитывающий расход тепловой энергии на обогрев бытовых помещений.
|
где
Потери тепловой энергии через ограждения (Гкал):
| 
|
- площадь поверхности ограждения, м2
;
|
| 
|
- коэффициент теплопередачи, принимается для одинарного остекления равным 5,5ккал/м2
×ч×°С, для одинарного пленочного ограждения 7,0 ккал/м2
×ч×°С;
|
|
|
- соответственно технологическая температура в оранжерее, средняя температура наружного воздуха за отопительный период,°С;
|
| 
|
- продолжительность отопительного периода, суток.
|
где
Потери тепловой энергии за счет воздухообмена в отопительный период (Гкал):
- для оранжерей со стеклянным покрытием: 
- для оранжерей с пленочным покрытием:

| 
|
- инвентарная площадь оранжереи, м2
;
|
|
|
- коэффициент объема, равный , характеризует высоту сооружения и лежит в пределах 0,24 – 0,5 малогабаритных сооружений и достигает 3 м и более для ангарных теплиц, м.
|
где
Количества тепловой энергии на подогрев поливочной воды определяется по соотношению (Гкал): 
| 
|
- полезная площадь оранжереи, м2
.
|
где
Количество тепловой энергии на пропарку почвы (Гкал):
Пример 1
.
Определить годовое количество тепловой энергии на отопление жилого 5-этажного дома объемом 22000 м3
(в том числе подвала 1900 м3
) постройки 1995 г. Здание расположено в г. Салехарде. Основные исходные данные: расчетная температура наружного воздуха для отопления равна –42 о
С; средняя температура наружного воздуха за отопительный сезон равная –11,4 о
С; продолжительность отопительного сезона 292 дня.
Находим наружный объем отапливаемого здания:
V
п
=(22000-1900)+1900
×
0,4=20860 м3
.
По таб.1,6 Приложения 1 принимаем внутреннюю температуру воздуха отапливаемого помещения для жилых зданий
t
вн
= 20°С.
По табл. 1.2. Приложения 1 удельная отопительная характеристика здания при
t
р.о.
=-31о
С составляет 0,37 ккал/м3
×
ч
×
о
С. По таб. 1,1 Приложения 1 методом интерполяции находим поправочный коэффициент к удельной отопительной характеристике в соответствии с расчетной температурой г. Салехарда, который равен 0,88.
Определяем годовое количество тепловой энергии на отопление по формуле (1.6):
= 0,88
×
20860 ·0,37· [20-(-11,4)]
×
24
×
292
×
10-6
=1494,6 Гкал.
Пример 2.
Определить годовой расход тепловой энергии для встроенного магазина, расположенного на первом этаже жилого здания в г. Лабытнанги. Климатические данные:
t
р.о.
= -42 °С;
t
ср.
= -11,4 °С;
Z
от
=292сут.
Встроенные помещения первого этажа обслуживаются самостоятельной системой отопления, которая подключена непосредственно к узлу управления параллельно системе отопления жилой части здания. Параметры теплоносителя при
t
ср.
= -11,4 °С в подающем трубопроводе 61°С, в обратном 48°С. В магазине установлены конвекторы ''Комфорт'' (Ду
=20 мм) длиной 1300 мм – 4 шт., 1200 мм – 1шт., 1000 мм – 2шт., 8500 мм – 2шт., с общей поверхностью 29,9 экм.
Определяем расчетную тепловую нагрузку отопительных приборов по формуле 1.8 (Вт):
Температурный напор отопительных приборов определяем по формуле (1.9):
 Коэффициент теплопередачи прибора в соответствии с температурным напором по таб. 1,7 Приложения 1 равен 4,1 ккал/м2
×
ч
×
°С.
Годовое количество тепловой энергии, потребляемое магазином на отопление, определяется по формуле (1.4):
.
Пример 3.
Определить расход тепловой энергии на отопление за октябрь месяц административного здания объемом 5100 м3
, расположенного в п. Новый Порт.
Исходные данные: средняя температура наружного воздуха за октябрь месяц равна –4,9°С; внутренняя температура воздуха отапливаемого помещения равна 18°С.
По табл. 1.3 Приложения 1 находим удельную отопительную характеристику здания, которая равна 0,43 ккал/м3
×
ч
×
°С. Поправочный коэффициент к удельной отопительной характеристики при
t
р.о
= -43 °С равен 0,87 (табл. 1.1 Приложения 1). Средняя скорость ветра в п. Новый Порт составляет 6,4 м/с, поэтому при расчете, удельную отопительную характеристику можно увеличить на 10÷20%, принимаем 12%.
Определяем расход тепловой энергии:
Q
от
=1,12
×
0,87
×
5100
×
0,43
×
[18-(-4,9)]
×
24
×
31
×
10-6
=36,4 Гкал.
1.2.
Определение количества тепловой энергии на вентиляцию
1.2.1.
Потребность в тепловой энергии на вентиляцию зданий рассчитывается при наличии в них систем принудительной (приточно-вытяжной) вентиляции.
1.2.2.
При наличии типовых или индивидуальных проектов зданий или проектов вентиляции и соответствии установленного оборудования проекту расхода тепловой энергии на вентиляцию принимают по проектным данным.
Пересчет расхода тепловой энергии для конкретного здания при наличии типового проекта производится по формуле (Гкал/ч):
| 
|
- проектная тепловая нагрузка на вентиляцию здания, Гкал/ч;
|
| 
|
- усредненные расчетные температуры воздуха вентилируемых помещений, соответственно проектная и для конкретного здания, °С, [Приложение 1, табл.1.6
];
|
|
|
- расчетные температуры наружного воздуха для вентиляции, соответственно проектная и для конкретного здания принимаются по СНиП 2.04.05-91*, °С, [Приложение 1, табл.1.4
].
|
где
1.2.3.
Количество тепловой энергии, потребное за рассматриваемый период, при известном расходе тепловой энергии на вентиляцию определяют по формуле (Гкал):
| 
|
- расчетный расход тепловой энергии на вентиляцию, Гкал/ч;
|
| 
|
- средняя температура наружного воздуха за рассматриваемый отопительный период, °С, [Приложение 1, табл.1.5
];
|
| 
|
- усредненное число часов работы системы вентиляции в течение суток, ч;
|
| 
|
- продолжительность работы системы вентиляции за рассматриваемый отопительный период, сут.
|
где
1.2.4.
При отсутствии проектов вентилируемых зданий расчетный расход допускается определять по формуле для укрупненных расчетов, (Гкал/ч):
| 
|
- удельная вентиляционная характеристика здания, ккал/м3
×ч×°С, [Приложение 1, табл.1.3
].
|
где
При укрупненных расчетах потребное количество тепловой энергии определяется по формуле (Гкал): 
1.2.5.
Продолжительность работы системы вентиляции в течение суток принимается в зависимости от назначения и режима работы учреждений и организаций, но не более общего числа их работы в сутки. При отсутствии данных продолжительность работы вентиляции в гостиницах принимают равной 16 часов.
1.2.6.
Если в одном здании находятся помещения различного назначения, отличающиеся между собой удельной вентиляционной характеристикой или расчетной температурой наружного воздуха для вентиляции, то расчетный расход тепловой энергии на вентиляцию, определяют раздельно для каждой части здания и суммируют.
1.2.7.
Расход тепловой энергии на воздушно-тепловые завесы принимают по проектным данным, а при отсутствии проекта расход тепловой энергии определяют по формуле (ккал/ч): 
| 
|
- расход воздуха, подаваемого тепловой завесы, м3
/ч;
|
| 
|
- теплоемкость воздуха, принимается равной 0,29 ккал/м3
∙°С;
|
| 
|
- температура воздуха, выходящего из тепловой завесы, °С;
|
| 
|
- средняя за планируемый период температура воздуха, поступающего в тепловую завесу, °С
|
где
Потребное количество тепловой энергии для обеспечения работы тепловой завесы в отопительный период определяется по формуле (Гкал):
1.2.8.
При отсутствии проектных данных или несоответствии установленного оборудования проекту, расчетный расход тепловой энергии на калориферы кондиционеров определяют по методике [6].
Пример 1.
Определить годовое количество тепловой энергии, потребное для вентиляции кинотеатра, расположенного в отдельно стоящем здании в г. Новый Уренгой. Объем здания 50000 м3
. Средняя температура наружного воздуха за отопительный период равна –13,1 о
С, продолжительность отопительного периода 286 суток. Число часов работы системы вентиляции в течение суток равно 16.
Определяем величину удельной вентиляционной характеристики по табл. 1.3 Приложения 1, -
q
о
=0,38 ккал/м3
×
ч
×
о
С.
По таб. 1,6 Приложения 1 находим значение усредненной температуры внутреннего воздуха:
t
вн
= 14 о
С.
Определяем годовое количество тепловой энергии, потребное на вентиляцию кинотеатра по формуле (1.20):
1.3.
Определение количества тепловой энергии на горячее водоснабжение
1.3.1.
Качество холодной и горячей воды, подаваемой на хозяйственно-питьевые нужды должно соответствовать требованиям ГОСТ 2874-82* «Вода питьевая».
1.3.2.
Температуру горячей воды в местах водоразбора следует предусматривать в соответствии со СНиП 2.04.01-85*[3]:
− не ниже 60 °С – для систем централизованного горячего водоснабжения, присоединяемых к открытым системам теплоснабжениям;
− не ниже 50 °С – для систем горячего водоснабжения, присоединяемых к закрытым системам теплоснабжениям;
− не выше 75 °С – для всех систем, указанных в первых двух подпунктах;
− не выше 37 °С – для умывальников и душей в помещениях детских дошкольных учреждениях.
1.3.3.
Средний часовой расход тепловой энергии на горячее водоснабжение потребителя, определяют по формулам (ккал/ч): 
1.3.4.
Потребное количество тепловой энергии на нужды горячего водоснабжения за определенный период определяется по формуле, (Гкал): 
1.3.5.
Годовую потребность в тепловой энергии непосредственно на горячее водоснабжение при круглосуточной работе системы определяют по формуле (Гкал): 
| 
|
- средний расход тепловой энергии на горячее водоснабжение соответственно в зимний и летний период, ккал/ч;
|
| 
|
- средний расход тепловой энергии непосредственно на горячее водоснабжение потребителя без учета тепловых потерь соответственно в зимний и летний периоды, ккал/ч;
|
|
|
- норма расхода воды на горячее водоснабжение, л/сут., утвержденная местными органами власти или управления, при отсутствии утвержденных норм принимается по [Приложение 1, табл.1.8
] в соответствии со СНиП 2.04.01-85*;
|
| 
|
- количество единиц измерений, отнесенное к суткам (число жителей, учащихся в учебных заведениях, мест в больницах и т.д.);
|
| 
|
- усредненная температура холодной (водопроводной) воды соответственно зимой и летом, о
С, при отсутствие данных принимают зимой равной 5 и 15о
С летом;
|
| 
|
- теплоемкость воды, равная 1 ккал/кг×о
С;
|
| 
|
- максимальный расход тепловых потерь системой горячего водоснабжения (стояками, подающими и циркуляционными трубопроводами, полотенцесушителями и др.), Гкал;
|
| 
|
- коэффициент, учитывающий изменение среднего расхода воды на горячее водоснабжение в неотопительный период, устанавливается местными органами власти или управления, а при отсутствии установленной величины принимают для жилищно-коммунального сектора равной 0,8, для курортных и южных городов 1,5, для предприятий 1,0.
|
| 
|
- количество часов работы системы горячего водоснабжения в сутки соответственно в зимний и летний периоды, ч;
|
| 
|
- продолжительность работы системы горячего водоснабжения соответственно в зимний и летний период, сут.
|
где
Примечание:
Фактическое число обслуженных посетителей в банях определяют на основании данных бухгалтерского учета по числу реализованных за отчетный период разовых билетов на пользование всеми отделениями и номерами бань. Количество платных посетителей, пропущенных номерами, определяют по вместимости номеров, оплаченных посетителями, независимо от фактического числа моющихся. В этот показатель включается также количество посетителей по установленным льготным тарифам для воинских частей при командном посещении и учащихся ПТУ при групповом посещении. Дети до 7 лет в число посетителей не включаются.
1.3.6.
При некруглосуточной подаче горячей воды на нужды горячего водоснабжения или в течение неполной недели норма расхода горячей воды уменьшается путем введения коэффициентов, приведенных в [Приложение 1, табл.1.9
].
1.3.7.
Максимальные тепловые потери системой горячего водоснабжения (стояками, подающими и циркуляционными трубопроводами, полотенцесушителями и др.) определяется по формуле (ккал/ч):
| 
|
- коэффициент теплопередачи і
-й неизолированной трубы, принимается равным 10 ккал/м2
×ч×о
С;
|
|
|
- соответственно наружный диаметр и длина i
-го участка трубопровода, м;
|
| 
|
- температура горячей воды соответственно в конце и начале расчетного участка, о
С;
|
| 
|
- температура окружающей среды (принимается при прокладке трубопроводов: в бороздах, вертикальных каналах, коммуникационных шахтах сантехнических кабин 23°С; в ванных комнатах 25°С; в кухнях и туалетных комнатах жилых домов, общежитий и гостиниц 21°С; на лестничных площадках 16°С; в каналах подземной прокладки – в соответствии со средней температурой грунта; в тоннелях – 40°С; в не отапливаемых подвалах при среднемесячной температуре самого холодного месяца в году от –11 до –20°С; на чердаках –9°С);
|
| 
|
- КПД изоляции, принимается равным для трубопроводов диаметром до 32мм – 0,6, для 40-70мм – 0,74, для 80-200мм – 0,81; для неизолированных труб η
= 0.
|
где
Удельные тепловые потери трубопроводами горячего водоснабжения приведены в таблицах [Приложение 1, табл.1.10
, 1.11
].
При отсутствии данных, необходимых для расчета, тепловые потери определяются с помощью коэффициента Кmn
[Приложение 1, табл.1.12
], учитывающего потери трубопроводами горячего водоснабжения, принимается по формуле: 
| 
|
- расчетный расход тепловой энергии на горячее водоснабжение непосредственно потребителем без учета тепловых потерь, Вт.
|
где
1.3.8.
Расход тепловой энергии на горячее водоснабжение с учетом тепловых потерь трубопроводами системы горячего водоснабжения определяют по формуле, (Гкал): 
или 
| 
|
- потребность в тепловой энергии непосредственно горячего водоснабжения, Гкал;
|
| 
|
- тепловые потери системой горячего водоснабжения (стояками, подающими и циркуляционными трубопроводами, полотенцесушителями и др.), Гкал.
|
где
1.3.9.
Количество тепловой энергии на производственные нужды бань и прачечных определяют по формуле:
| 
|
- количество технологического оборудования;
|
|
|
- количества тепловой энергии (Гкал), на i
-е технологическое оборудование определяется по формуле:
|
где

| 
|
- количество единиц технологического оборудования;
|
| 
|
- удельный расход тепловой энергии на единицу технологического процесса, принимают на помывку для печи-каменки 550 ккал/чел., на дезинфекцию белья в камерах: огневых 200 ккал/кг, паровых – 360ккал/кг и пароформалиновых – 280 ккал/кг.
|
где
Количество тепловой энергии на производственное пароснабжение прачечных определяют по формуле (Гкал): 
| 
|
- среднечасовой расход тепловой энергии на производственно пароснабжение, ккал/ч;
|
| 
|
- среднее количество часов работы прачечной в сутки;
|
|
|
- продолжительность работы прачечной в планируемый период, сут.
|
где
Среднечасовой расход тепловой энергии на производственное пароснабжение прачечных определяют по формуле (ккал/ч):
| 
|
- суммарный среднечасовой расход нормального пара на производственное пароснабжение, н.п./ч.;
|
| 
|
- теплосодержание нормального пара, равное 639 ккал/кг.
|
где
Суммарный среднечасовой расход пара определяют по формуле
(кг н.п./ч):
| 
|
- удельный расход пара i
-ой машины j
-го типа оборудования на 1 кг белья, н.п./кг;
|
| 
|
- производительность i
-ой машины j
-го типа, кг/ч;
|
|
|
- количество однотипных машин;
|
| 
|
- количество типовых машин.
|
где
Удельный расход пара технологическим оборудованием принимают по паспортным данным, а при их отсутствии по [Приложение 1, табл.1.13
].
Пример 1.
Определить годовое количество тепловой энергии на горячее водоснабжение больницы г. Надым на 450 мест. Продолжительность отопительного периода составляет 283 суток.
Больница оборудована ваннами и душами, общими для каждого отделения. Подача горячей воды осуществляется непрерывно в течение недели и круглосуточно. В здании смонтированы 22 неизолированных стояка с наружным диаметром труб 32 мм и длиной 23,5 м каждый, 4 м из которых расположены в отапливаемом подвале. Стояки попарно закольцованы сверху. Подающий и циркуляционный трубопроводы с наружным диаметром труб 57 мм и длиной 60 м каждый, расположены в подвале и изолированы.
Температуру холодной водопроводной воды принимается 5
°
С в зимний период и 15
°
С в летний.
Средняя температура воды в подающем трубопроводе 60о
С, в циркуляционном 50
°
С. Продолжительность работы системы горячего водоснабжения в году 350 дней. Температура воздуха для расчета потерь тепловой энергии трубопроводами горячего водоснабжения принимаем в помещении 20
°
С, в отапливаемом подвале 5
°
С. КПД изоляции для трубопроводов диаметром 57 мм принимаем равным 0,74.
По
табл.1.8
Приложения 1, принимаем норму горячей воды равной 75 л на одну больничную койку.
По формуле (1.28) определим годовой расход тепловой энергии непосредственно на горячее водоснабжение:
По формулам (1.29, 1.30) определим потери тепловой энергии за год трубопроводами системы горячего водоснабжения здания (стояками подающим и циркуляционными трубопроводами):
Определим годовое количество тепловой энергии, потребное для работы системы горячего водоснабжения:
Пример 2.
Определить годовое количество тепловой энергии на нужды горячего водоснабжения жилого 5-этажного дома с числом жителей 430 человек, расположенного в г. Новый Уренгой.
Здание с централизованным горячим водоснабжение оборудовано ваннами длиной 1500 мм с душами. Стояки, изолированные с полотенцесушителями. Наружный сетей водоснабжения нет. Продолжительность отопительного периода 286 суток, продолжительность работы системы горячего водоснабжения в течение года 350 суток. Температуру холодной водопроводной воды принимаем равной в зимний период 5 о
С, в летний 15 о
С.
Норму расхода горячей воды принимаем равной 105 л/сут на одного жителя в соответствии с
табл.1.8
Приложения 1.
Определяем по формуле (1.28) потребное количество тепловой энергии непосредственно для нужд горячего водоснабжения жителей:
=105
×
430
×
[(55 – 5)
×
286 + 0,8
×
(350 – 286)
×
(55 – 15)]
×
10 – 6
=738,1 Гкал.
По
табл.1.12
Приложения 1 определяем коэффициент, учитывающий потери тепловой энергии трубопроводами системы горячего водоснабжения, равный 0,2. По формуле (1.32) определяем годовое количество тепловой энергии, потребное для работы системы горячего водоснабжения:
= 738,1
×
(1 + 0,2) = 885,72 Гкал.
1.4.
Определение расчетного расхода теплоносителя
1.4.1.
Расчетный расход теплоносителя в системе теплоснабжения принимают равным сумме расчетных часовых нагрузок потребителей, которые в свою очередь равны сумме расчетных часовых расходов воды на отопление, вентиляцию и горячее водоснабжение.
Расчетные расходы воды определяют по формулам (т/ч):
на отопление:
| 
|
- максимальный часовой расход тепловой энергии на отопление;
|
| 
|
- соответственно температуры теплоносителя в подающем и обратном трубопроводах, о
С.
|
где
на вентиляцию:
| 
|
- максимальный часовой расход тепловой энергии на вентиляцию;
|
где
на горячее водоснабжение в открытых системах теплоснабжения:
| 
|
- среднечасовой расход тепловой энергии на горячее водоснабжение;
|
| 
|
- соответственно температура горячей воды в системе горячего водоснабжения и холодной (водопроводной) воды, о
С.
|
где
на горячее водоснабжение в закрытых системах теплоснабжения:
а) при параллельной схеме присоединения водоподогревателей:
| 
|
- температура воды в подающем трубопроводе тепловой сети в точке излома графика температур, о
С;
|
| 
|
- температура воды после параллельного включенного водоподогревателя горячего водоснабжения в тоске излома графика температур, принимается равной 30о
С;
|
где
б) при двухступенчатых схемах присоединения водоподогревателей:
| 
|
- температура воды в обратном трубопроводе тепловой сети после системы отопления зданий, о
С;
|
| 
|
- температура воды после первой ступени подогрева, о
С.
|
где
1.4.2.
Суммарные расходы сетевой воды в открытых и закрытых системах теплоснабжения определяют по формуле (т/ч):
| 
|
- коэффициент, учитывающий долю среднего расхода воды на горячее водоснабжение, принимается по [Приложение 1, табл.1.14
]
|
где
1.4.3.
Расчетный расход сетевой воды на отопление и вентиляцию, запроектированную на расчетную температуру наружного воздуха для отопления, может быть определен с помощью удельных расходов воды по формуле (т/ч):
| 
|
- расчетный удельный расход воды, тепловой нагрузки системы отопления (вентиляции) или теплопотребляющего прибора, принимается по [Приложение 1, табл.1.15
].
|
где
1.4.4.
Расчетный расход воды в системе отопления, присоединенной к тепловой сети посредством подмешивающего устройства (элеватора, насоса), определяют по формуле (т/ч):
| 
|
- расчетная температура воды на входе в систему отопления, о
С.
|
где
Расчетные расходы воды из тепловой сети и по системе отопления связаны через коэффициент смешения: | 
|
- расчетный коэффициент смешения, равный отношению расчетного расхода подмешиваемой воды к расчетному расходу сетевой воды, определяется по соотношению:
|

где
При присоединении местных систем отопления и вентиляции по независимой схеме через теплообменник, расчетную температуру воды в обратном трубопроводе тепловой сети после теплообменника принимают на 10о
С выше расчетной температуры воды в обратном трубопроводе, идущем от системы отопления и вентиляции.
После разработки сводной таблицы максимально-часовых расходов тепловой энергии на расчетный период и изготовления тепловой карты населенного пункта, квартала, участка с нанесением на неё источника теплоснабжения, магистральных тепловых сетей со всеми ответвлениями и определения границ теплоснабжения каждого отдельного ответвления, приступают к составлению гидравлического расчета тепловой сети.
2.
ОПРЕДЕЛЕНИЕ КОЛИЧЕСТВА ВЫРАБОТАННОЙ ТЕПЛОВОЙ ЭНЕРГИИ
Общее количество выработанной тепловой энергии источником генерирования тепловой энергии определяется по формуле (Гкал): 
| 
|
- количество тепловой энергии, отпущенное в тепловую сеть за рассматриваемый период, Гкал;
|
| 
|
- количество тепловой энергии, расходуемое на собственные нужды котельной за тот же период, Гкал.
|
где
Количество отпущенной тепловой энергии определяется по формуле (Гкал): 
| 
|
- количество потребляемой тепловой энергии по разделу 1;
|
| 
|
- количество тепловой энергии, теряемое тепловыми сетями при транспортировании теплоносителя от источника до потребителей, (Гкал).
|
где
2.1.
Определение количества тепловой энергии на собственные нужды котельной
2.1.1.
Общий расход тепловой энергии на собственные нужды котельной определяют расчетным или опытным путем исходя из потребностей конкретного генерирования тепловой энергии, как сумма расходов тепла (пара) на отдельные элементы затрат: потери тепловой энергии на нагрев воды, удаляемой из котла с продувкой; расход тепловой энергии на подогрев мазута в железнодорожных цистернах, мазутохранилищах, расходных емкостях; расход тепла в паровых форсунках на распыление жидкого топлива; расход тепловой энергии на технологические процессы подготовки воды и пр.
| 
|
- потери тепловой энергии на i
– нужды, Гкал;
|
| n
|
- количество различных собственных нужд котельной.
|
где
При расчетах собственные нужды котлов отнесены к статье собственных нужд котельной, при этом принимается КПД котла брутто. Долю тепловой энергии на собственные нужды котельной определяют по формуле:
или 
2.1.2.
Расход и количество тепловой энергии, отпускаемое на отопление зданий котельной, мазутонасосной и других производственных зданий определяют в соответствии с разделом 1.
2.1.3.
Расход тепловой энергии на растопку паровых котлов определяют по формуле (Гкал/ч): 
| 
|
- коэффициент потери тепловой энергии, принимаемый равным 0,3 при простое до 12 ч (из горячего состояния) и 0,65 при простое свыше 12 ч (из холодного состояния);
|
| 
|
- теплопроизводительность котла, Гкал/ч.
|
где
Потери тепловой энергии на растопку паровых котлов за расчетный период составят (Гкал):
| 
|
- коэффициент потерь тепловой энергии для i
–й растопки;
|
| n
|
- количество растопок в планируемом периоде.
|
где
Потери тепловой энергии при растопке водогрейных котлов принимают равными 0,9 аккумулирующей способности обмуровок [Приложение 2, табл.2.1
].
2.1.4.
Потери тепловой энергии на технологические нужды химводоочистки при отсутствии охладителя выпара (при наличии охладителя выпара в расчете используют первую часть формулы), определяют по формуле (Гкал):
| 
|
- удельный расход воды на собственные нужды ХВО, т исходной воды на химически очищенной воды, в зависимости от общей жесткости воды принимается по [Приложение 2, табл.2.2.
];
|
| 
|
- производительность ХВО, т/ч;
|
|
|
- поправочный коэффициент, принимается равным 1,0 при наличии бака взрыхления и 1,2 при его отсутствии;
|
| 
|
- теплоемкость воды, равна 1 ккал/(кг×°С);
|
| 
|
- соответственно температура воды после подогревателя сырой воды и исходной воды, °С;
|
| 
|
- продолжительность работы соответственно ХВО и деаэратора, ч;
|
| 
|
- энтальпия соответственно выпара из деаэратора и исходной воды, (ккал/кг).
|
где
2.1.5.
Для поддержания допустимых норм качества котловой воды производится продувка котлов: часть воды из котла выпускается и заменяется очищенной водой с меньшим солесодержанием и щелочностью. Продувка может быть непрерывная и периодическая. Величину продувки Р принято выражать в процентах от производительности котла, а определять по сухому остатку и щелочности:
| 
|
- концентрация нормируемого вещества соответственно в котловой и питательной воде.
|
где
Если Р≤2%, применяется только периодическая продувка, а при Р>2% - как периодическая, так и непрерывная. Во избежание больших потерь тепловой энергии с продувочной водой величина продувки ограничивается и снижается за счет соответствующей обработки воды.
Потери тепловой энергии с продувочной водой зависят от периодичности и продолжительности продувки котла, и определяются по формуле (Гкал):
или 
| 
|
- количество тепловой энергии, выработанное за планируемый период соответственно котлом и котельной в целом;
|
| 
|
- коэффициент продувки соответственно котла и котельной.
|
| n
|
- количество котлов.
|
где
При периодической продувке Кпрод
=0,01. При непрерывной продувке значение Кпрод
зависит от количества выдуваемой котловой воды Р:
при Р=5% - Кпрод
= 0,0035;
при Р= 10% - Кпрод
=0,007.
Допускаемую величину непрерывной продувки котлов при давлении пара до 14 кгс/см2
следует принимать не более 10% производительности котлов, при большем давлении – не более 5 %.
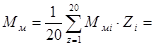
Средневзвешенная величина продувки котлов по котельной за планируемый период определяется (%):
| 
|
- величина продувки i
-го котла в планируемый период, %.
|
где
2.1.6.
Потери тепловой энергии баками различного назначения (декарбонизаторы, баки-аккумуляторы и пр.) определяют по формуле (Гкал):
| 
|
- норма плотности теплового потока через поверхность бака, принимается по СНиП 2.04.14-88, ккал/м2
;
|
| 
|
- поверхность бака, м2
;
|
| 
|
- количество баков;
|
| 
|
- продолжительность работы бака в планируемом периоде, ч;
|
| 
|
- пересчетный температурный коэффициент, определяется из соотношения:
|
где
| 
|
- соответственно температура горячей воды в баке и усредненная температура наружного воздуха за рассматриваемый период, °С.
|
где
Плотность теплового потока через изоляцию баков-аккумуляторов при температуре воды в баке 65°С и температуре наружного воздуха 5 °С, приведены в [Приложение 2, табл.2.3
].
2.1.7.
Количество тепловой энергии на хозяйственно-бытовые нужды определяют по формуле (Гкал):
| 
|
- норма расхода горячей воды на одну душевую сетку, принимается равной 0,27 м3
/сут;
|
| 
|
- количество душевых сеток;
|
|
|
- коэффициент использования душевых, определяется практическим путем, при отсутствии данных принимают равным 1,0;
|
| 
|
- норма расхода горячей воды на 1 человека в смену, при отсутствии данных принимается равной 0,024 м3
/чел в сутки;
|
| М
|
- численность работающих человек в сутки;
|
| 
|
- соответственно температура горячей и исходной воды, °С;
|
| 
|
- продолжительность планируемого периода, сут.;
|
| 
|
- теплоемкость воды, равна 1 (ккал/кг×°С);
|
| 
|
- плотность воды, т/м3
;
|
| 
|
- количество смен.
|
где
2.1.8.
Количество тепловой энергии, требуемое для нужд мазутного хозяйства, определяется как сумма потерь тепла для обогрева мазута в резервуарах, мазутопроводах, при сливе и паровом распылении (Гкал):
| 
|
- потери тепловой энергии со сливом мазута, Гкал;
|
| 
|
- потери тепловой энергии при хранении мазута, Гкал;
|
| 
|
- потери тепловой энергии на подогрев мазута, Гкал;
|
| 
|
- потери тепловой энергии при обогреве мазутопроводов, Гкал;
|
| 
|
- потери тепловой энергии при распылении мазута, Гкал;
|
где
Удельное количество тепловой энергии на разогрев мазута при сливе определяется по формуле (ккал/т):
| 
|
- начальная температура мазута в цистерне, при отсутствии данных принимается равной 0…-2 °С для южного пояса, -7…-10 °С для северного, -10…-15 °С для Сибири (через 7 суток после наполнения температура мазута в цистерне равна температуре наружного воздуха, принимается по [Приложение 1, табл.1.5
]), °С;
|
| 
|
- конечная температура подогрева мазута в цистерне принимается по [Приложение 2, табл.2.4
] в зависимости от марки мазута, °С;
|
| 
|
- коэффициент охлаждения, принимается равным 1,55 для 60-тонной, 1,71 для 50-тонной, 2,26 для 25-тонной цистерне;
|
| 
|
- плотность мазута, кг/м3
;
|
| 
|
- фактическое время разогрева и слива цистерны, ч, принимается по [Приложение 2, табл.2.5
].
|
где
Удельные потери тепловой энергии при хранении мазута определяют по формуле (ккал/т):
| 
|
- поверхность охлаждения резервуара, принимают по паспортным или фактическим данным, м2
;
|
| 
|
- коэффициент теплопередачи стенок резервуара, принимается равным 6,02 для металлических не изолированных резервуаров, 3,0 – для изолированных, 0,27 – для подземных, ккал/м2
×ч×°С;
|
|
|
- температура окружающего воздуха, принимается как средняя для заданного периода, °С;
|
| 
|
- время хранения, ч;
|
| 
|
- емкость резервуара, м3
.
|
где
Расход пара на подогрев мазута в мазутоподогревателях или расходных емкостях приведен в [Приложение 2, табл.2.6
]
Расчетный расход тепловой энергии на обогрев мазутопроводов определяют по формуле (ккал/ч): 
| 
|
- плотность теплового потока от мазутопровода в окружающую среду, принимается по нормам тепловых потерь [Приложение 3, табл. 3.1
, 3.2
, 3.4
] и СНиП 2.04.14-88*, ккал/м×ч;
|
| 
|
- длина паропровода, обогревающего линию, м;
|
| 
|
- коэффициент, учитывающий потери тепловой энергии опорами, арматурой, компенсаторами, принимается 1,15 для бесканальной прокладки, 1,2 – для прокладки на открытом воздухе, а непроходных каналах для стальных трубопроводов диаметром до 150 мм на подвижных опорах - 1,2, на подвесных опорах – 1,05.
|
где
Количество тепловой энергии на обогрев мазутопровода за рассматриваемый период определяют (Гкал):
| 
|
- продолжительность обогрева, ч.
|
где
Потери тепловой энергии на паровое распыление мазута определяют по формуле, (Гкал):
| 
|
- удельный расход пара на распыливание, кг/кг мазута, принимается равным 0,3 для напорных форсунок, 0,02 – 0,03 для паромеханических форсунок;
|
| 
|
- количество распыляемого мазута, т;
|
|
|
- энтальпия соответственно пара и питательной воды, ккал/кг.
|
где
2.1.9.
Количество тепловой энергии, требуемое на обдувку поверхностей нагрева паровых котлов, определяют по формуле (Гкал):
| 
|
- средняя паропроизводительность i
-го котла, т/ч;
|
| 
|
- коэффициент обдувки, принимаемый равный 0,003 при Gki
свыше 10 т/ч и (0,002 – 0,003) при Gki
менее 10 т/ч;
|
|
|
- продолжительность работы котла, ч;
|
| 
|
- соответственно энтальпия пара и питательной воды, ккал/кг;
|
| 
|
- количество котлов.
|
где
2.1.10.
Количество тепловой энергии требуемой для обмывки котлов принимают (Гкал): 
| 
|
- коэффициент обмывки, принимается 0,15-0,25;
|
| 
|
- теплопроизводительность котла, Гкал/ч;
|
| 
|
- продолжительность обмывки котла в планируемой периоде, ч.
|
где
2.1.11.
Прочие и неучтенные потери (опробование предохранительных клапанов, потери с утечками, парение, потери через изоляцию трубопроводов и пр.) принимают равными (Гкал):
для открытой системы теплоснабжения 
для закрытой системы теплоснабжения 
2.1.12.
При отсутствии данных для определения расходов тепловой энергии на собственные нужды используют нормативы расхода тепловой энергии по элементам затрат, приведенные в [Приложение 2, табл.2.7
].
Пример 1.
Определить расход тепловой энергии на разогрев и слив мазута марки М80, поступившего в г. Лабытнанги в январе в 60-тонной цистерне.
Время следования в пути 72 ч, температура мазута перед сливом 40
°
С, начальная температура в цистерне -1,7°С. Коэффициент охлаждения для 60-тонной цистерны 1,55. Плотность мазута 990 кг/м3
. Время разогрева и слива 10 ч. По формуле (2.17) определяем удельное количество тепловой энергии, необходимое на разогрев и слив мазута:
q
сл
= 450
×
[40-(-1,7)]
×
(1+(10
×
1,55
×
10)/990) = 21703 ккал/т.
Определим количество тепловой энергии, необходимое на разогрев и слив 60 тонн мазута:
Q
сл
= 21703
×
60
×
10-6
= 1,3 Гкал.
Пример 2.
Определить расход тепловой энергии на компенсацию тепловых потерь при хранении мазута М 80 в изолированном резервуаре. Масса мазута в резервуаре 2000 т, поверхность резервуара 927 м2
. Емкость резервуара 2150 м3
. Расход топлива 100 т/сут. Плотность мазута 990 кг/м3
. Коэффициент теплоотдачи стенок резервуара 3,49 Вт/(м2
×
°С). Температура слива мазута 50 °С. Средняя температура наружного воздуха за время хранения –13,8 °С.
Определяем время хранения топлива в резервуаре:
Z
хр
= 2000 : 100 · 24 = 480 ч.
Определяем удельный расход тепловой энергии при хранении мазута по формуле (2.18):
117300 кДж/т (28000 ккал/т).
Определяем среднюю массу мазута в резервуаре за время хранения в течение 20 сут (480 ч) при отборе 100 т ежесуточно:
(2000
×
1 +1900
×
1 +1800
×
1 +1700
×
1 +1600
×
1 +1500
×
1
+1400
×
1 +1300
×
1 +1200
×
1 +1100
×
1 +1000
×
1 +900
×
1 +800
×
1 +700
×
1 +600
×
1
+500
×
1 +400
×
1 +300
×
1 +200
×
1 +100
×
1) : 20 =1050 т.
Определяем потребное для хранения мазута количества тепловой энергии:
Qхр
= 28000
×
1050
×
10-6
= 29,4 Гкал.
2.2.
Определение количества тепловой энергии, теряемой в тепловых сетях
2.2.1.
Количество тепловой энергии, теряемой при транспортировке теплоносителя от котельной до потребителя, определяют по формуле (Гкал):
| 
|
- потери тепловой энергии через изолированную поверхность соответственно подающей и обратной линии, Гкал;
|
| 
|
- потери тепловой энергии с утечками воды из сети, Гкал.
|
где
2.2.2.
Потери тепловой энергии с поверхности изоляции за рассматриваемый период определяют по формуле (Гкал):
| 
|
- нормы плотности теплового потока через изолированную поверхность трубопроводов, принимаются по [Приложение 3, табл.3.1
, 3.2
, 3.3, 3.4
, 3.6
, 3.7
] в зависимости от способа прокладки трубопровода и года ввода в эксплуатацию, Вт/м [ккал/м×ч];
|
| 
|
- протяженность i
-ых участков трубопроводов соответственно подающей и обратной линии, м;
|
Z
|
- длительность работы тепловых сетей в течение рассматриваемого периода (месяц, квартал, год и др.),ч;
|
| 
|
- коэффициент, учитывающий потери тепловыми опорами, арматурой, компенсаторами, принимается по [Приложение 3. табл. 3.19];
|
| 
|
- количество участков тепловой сети.
|
где
При значениях средних температур грунта и теплоносителя за планируемый период (месяц, квартал), отличных от среднегодовых, принятых при определении норм плотности теплового потока, производят пересчет по формулам:
для участков двухтрубной прокладки подземных трубопроводов
| 
|
- норма плотности теплового потока через изолированную поверхность подающего и обратного трубопроводов, для среднегодовых значений температур грунта и теплоносителя, принятых при расчете норм, принимается по [Приложение 3, таб.3.3, табл. 3.4];
|
| 
|
- средние температуры теплоносителя за рассматриваемый период (месяц, квартал) в подающем и обратном трубопроводах тепловой сети, °С;
|
| 
|
- средняя температура грунта на глубине заложения трубопровода за рассматриваемый период (месяц, квартал), принимается по данным местной метеостанции,°С
|
| 
|
- среднегодовые температуры теплоносителя, при которых рассчитаны нормы плотности теплового потока, °С;
|
| 
|
- среднегодовая температура грунта, при которой рассчитаны нормы плотности теплового потока для подземной прокладки, °С;
|
где
для участков подающей линии надземной прокладки
для участков обратной линии надземной прокладки
| 
|
- нормы плотности теплового потока, принимаемые по [Приложение 3, табл. 3.1 или по табл. 3.6 в зависимости от года ввода в эксплуатацию] для подающего и обратного трубопроводов, соответствующим среднегодовым значениям температур теплоносителя и наружного воздуха, Вт/м [ккал/м×ч];
|
| 
|
- средняя температура наружного воздуха за рассматриваемый период (месяц, квартал),°С [Приложение 1, табл.
1.5
];
|
| 
|
- среднегодовая температура наружного воздуха, при которой рассчитаны нормы плотности,°С, [Приложение 1, табл.1.4,
].
|
где
2.2.3.
Расход тепловой энергии на потери в водяных тепловых сетях с утечкой воды из трубопровода определяются по формуле (ккал/ч):
| 
|
- расход воды на подпитку, кг/ч;
|
| 
|
- теплоемкость воды, ккал/кг×°С;
|
| 
|
- усредненная температура холодной (водопроводной) воды, °С.
|
где
Расход воды на подпитку тепловой сети в закрытой системе теплоснабжения определяют по формуле (кг/ч): 
| 
|
- нормативное значение утечки из тепловой сети в период эксплуатации, принимается равным 0,0025 м3
/(ч×м3
);
|
| 
|
- объем тепловой сети определяется в соответствии с разделом 5, м3
;
|
| 
|
- плотность воды при средней температуре за планируемый период , г/м3
.
|
где
Количество тепловой энергии, теряемое с утечкой из трубопроводов тепловых сетей за планируемый период определяют по формуле (Гкал):
| 
|
- продолжительность планируемого периода, ч;
|
где
или 2.2.4.
Потери тепловой энергии изолированными трубопроводами и арматурой, расположенными в помещениях котельных и ЦТП, принимают как сумму нормативных потерь теплопроводами в зависимости от диаметра трубопровода, средней температуры теплоносителя и продолжительности транспортирования тепловой энергии в течение планируемого периода (год, квартал, месяц).
Расход тепловой энергии через поверхность изолированной арматуры определяют (ккал/ч):
| 
|
- нормы плотности теплового потока, принимаются по [Приложение 3, таб.3.5
], ккал/(м×ч);
|
| 
|
- длина i
-го элемента арматуры, м.
|
где
Для помещений с температурой отличной от расчетной 25 °С и усредненной температурой теплоносителя, отличной от принятой для расчета норм плотности теплового потока пересчитываются по соотношению:
| 
|
- норма плотности теплового потока для расчетной температуры внутреннего воздуха t’ВН
= 25 °С и средней температуры теплоносителя t’Т
= 100 °С;
|
| 
|
- усредненные температуры соответственно теплоносителя и внутреннего воздуха за рассматриваемый период для конкретного случая, °С.
|
где
Расход тепловой энергии с поверхности неизолированной арматуры определяют по формуле (ккал/ч):
| 
|
- нормы плотности теплового потока для неизолированных трубопроводов соответствующего диаметра, принимаются по [Приложение 3, таб.3.8
];
|
| 
|
- эквивалентная одному элементу арматуры длина изолированного трубопровода, принимается по [Приложение 3, таб.3.6
], м.
|
где
Расходы тепловой энергии неизолированными фланцевыми соединениями в помещении приведены в [Приложение 3, табл.3.7
].
Количество тепловой энергии, теряемой арматурой вычисляют по формуле (ккал):
| 
|
- продолжительность работы i
-го элемента арматуры, ч;
|
| m
|
- количество элементов.
|
где
2.2.5.
Потери тепловой энергии с поверхности тепловой изоляции паропроводов и конденсаторов определяют аналогично потерям водяными тепловыми сетями в соответствии с нормами плотности теплового потока для паропроводов и конденсаторов, приведенных в СниП 2.04.14-88 с изм. №18-80 от 29.12.1997.
Пример 1.
Определить нормативные тепловые потери за отопительный период тепловой сетью общей протяженностью 11,6 км, в том числе: надземная прокладка трубопроводов диаметром 377 мм – 0,5 км, 273 мм – 1,0 км, 219 мм – 2 км, 159 мм – 2,5 км, 108 мм – 3 км, 76 мм – 1,1 км; бесканальная прокладка трубопровода диаметром 219 мм – 1 км, диаметром 377 мм – 0,5 км. Тепловая сеть расположена в г. Салехард. Год ввода в эксплуатацию – 2001. Среднегодовая температура грунта –7°С, средняя за отопительный период температура наружного воздуха –11,4°С. Режим работы тепловой сети 95°-70°С. Среднегодовая температура теплоносителя в подающем трубопроводе 61 °С, в обратном 44 °С. Длительность отопительного периода 292 дня. Температура холодной воды за отопительный период 2 °С.
Нормы плотности теплового потока принимаем в зависимости от диаметров и вида прокладки: по табл.3.4 для надземной прокладки и таб.3.2 для подземной бесканальной прокладки по Приложению 3. Расчет потерь тепловой энергии с поверхности изоляции трубопроводов за рассматриваемый период определяем по формуле 2.27 и оформляем в виде таблиц.
Для надземной прокладки:
| d, мм
|
L, м
|
q
под
, ккал/м
×
ч
|
q
об
, ккал/м
×
ч
|
Q
Под
,, ккал/ч
|
Q
Обр
,, ккал/ч
|
Q
Под
+
Q
Обр,
, ккал/ч
|
Q
Под
+
Q
Обр
,, Гкал
|
V
уд,
м3
/км
|
V
воды
, м3
|
| 377
|
500
|
44
|
345
|
25300
|
19550
|
44850
|
314,3
|
101
|
101
|
| 273
|
1000
|
35
|
26
|
40250
|
29900
|
70150
|
491,6
|
53
|
106
|
| 219
|
2000
|
30
|
23
|
69000
|
52900
|
121900
|
854,3
|
34
|
136
|
| 159
|
2500
|
25
|
18
|
71875
|
51750
|
123625
|
866,4
|
18
|
90
|
| 108
|
3000
|
19
|
14
|
68400
|
50400
|
118800
|
832,6
|
8
|
48
|
| 76
|
1100
|
16
|
11
|
21120
|
14520
|
35640
|
249,8
|
3,9
|
8,6
|
| 10100
|
295945
|
219020
|
514965
|
3609
|
489,6
|
Для подземной бесканальной прокладки:
| d, мм
|
L, м
|
q
под
, ккал/м
×
ч
|
q
об
, ккал/м
×
ч
|
Q
Под
,, ккал/ч
|
Q
Обр
,, ккал/ч
|
Q
Под
+
Q
Обр
,,
ккал/ч
|
Q
Под
+
Q
Обр
,, Гкал
|
V
уд, м3
/км
|
V
воды
, м3
|
| 377
|
500
|
69
|
49
|
39675
|
28175
|
67850
|
475,5
|
101
|
101
|
| 219
|
1000
|
53
|
38
|
60950
|
43700
|
104700
|
733,7
|
34
|
68
|
| 1500
|
100625
|
71875
|
172550
|
1209,2
|
169
|
Объем воды в тепловых сетях равен:
Vc
=489,6+169=658,6 м3
.
По формуле (2.34) определим потери тепловой энергии с утечками:
Q
у
=0,0025
×
658,6
×
1000
×
[(70+48)/2-2]
×
24
×
292
×
10-6
=657,7 Гкал/год.
Определяем суммарные нормативные тепловые потери трубопроводами за отопительный период:
Q
ТС
=3609+1209,2+657,7=5475,9 Гкал/год.
3.
ОПРЕДЕЛЕНИЕ ПОТРЕБНОГО КОЛИЧЕСТВА ТОПЛИВА НА ВЫРАБОТКУ ТЕПЛОВОЙ ЭНЕРГИИ
3.1.
Потребность в условном топливе для котельной (т у.т.) находят умножением общего количества вырабатываемой тепловой энергии за планируемый период на удельную норму расхода условного топлива на выработку 1 Гкал тепловой энергии или 1 т нормального пара по формуле:
| 
|
- в соответствии с разделом 2
, формула 2.1;
|
| 
|
- удельный расход условного топлива, кг у.т./Гкал.
|
где
3.2.
Удельный расход условного топлива (кг у.т.) на выработку 1 Гкал тепловой энергии определяют по формуле:
| 
|
- КПД котлоагрегата, соответствующий номинальной загрузке котлоагрегата, %.
|
где
КПД котлоагрегата определяют на основании теплотехнических испытаний котлоагрегата, находящегося в технически исправном и отлаженном состоянии.
Если за котлоагрегатом установлен экономайзер для нагрева питательной воды (утилизатор), общий КПД котлоагрегата определяют по формуле (%):
| 
|
- КПД соответственно собственно котла и экономайзера (утилизатора).
|
где
КПД экономайзера вычисляют по формуле (%):
| 
|
- прирост энтальпии воды в экономайзере равный произведению теплоемкости воды на разность температур воды на выходе и входе в экономайзер, ккал/кг;
|
| 
|
- энтальпия насыщенного пара или воды при фактических значениях давления и температуры пара на выходе из котла, ккал/кг;
|
|
|
- энтальпия питательной воды после экономайзера, принимается равной произведению теплоемкости воды на температуру, ккал/кг.
|
где
3.3.
Удельные нормы расхода топлива на выработку 1 т нормального пара, энтальпия которого равна 2675,5 кДж/кг (639 ккал/кг) при атмосферном давлении определяют по соотношению (кг у.т./т): 
| 
|
- расчетная удельная норма расхода топлива на выработку 1 т нормального пара,
кг у.т./т, указывается в паспортных данных котлоагрегата;
|
| 
|
- коэффициент, учитывающий потери тепловой энергии с продувочной водой
(см. раздел 2
).
|
где
3.4.
Пересчет пара из котла в нормальный выполняют по формуле:
| 
|
- паропроизводительность котельной в нормальном паре, кг/ч;
|
| 
|
- паропроизводительность котельной в рабочем паре, кг/ч;
|
| 
|
- соответственно энтальпия пара и питательной воды, ккал/кг;
|
| 
|
- энтальпия нормального пара, равная 639 ккал/кг.
|
где
3.5.
При наличии в котельной нескольких котлов, среднюю норму расхода условного топлива на выработку тепловой энергии за планируемый период определяют как средневзвешенную по формуле (кг у.т./Гкал):
| 
|
- норма удельного расхода топлива для каждого котла, кг у.т./Гкал;
|
| 
|
- выработка тепловой энергии (пара) каждым котлом за планируемый период, Гкал;
|
| n
|
- количество котлов.
|
где
3.6.
Удельный расход условного топлива на растопку котла с учетом технологического процесса зависит от площади поверхности нагрева котла, длительности и числа остановок котла в сезоне [Приложение 4, таб.4.1
].
3.7.
Нормы естественной убыли являются предельными, и применяются только в случае фактической недостачи топлива. Списание топлива в приделах норм естественной убыли до установления факта недостачи запрещается [13].
3.8.
Пересчет условного топлива в натуральное выполняют в соответствии с характеристикой топлива и значением калорийного эквивалента по формуле:
| 
|
- потребность котельной или предприятия в натуральном топливе, кг твердого или жидкого топлива, м3
газа;
|
| 
|
- то же, в условном топливе, кг у.т.;
|
| 
|
- калорийный эквивалент, определяемый по формуле:
|
где

| 
|
- низшая теплота сгорания натурального топлива (при отсутствии сертификатов определяют лабораторным путем), ккал/кг (м3
);
|
| 
|
- низшая теплота сгорания условного топлива, равная 7000 ккал/кг.
|
где
Характеристики некоторых видов твердого, жидкого и газообразного видов топлива приведены в Приложении 4
.
3.9.
Установленные на теплоэнергетическом предприятии нормы расхода топлива подлежат корректировке на основании проведения энергосберегающих мероприятий и эксплуатационных испытаний топливоиспользующих устройств и агрегатов. Испытания должны проводиться только после приведения объектов в исправное состояние и оформление соответствующего акта.
3.10.
Для контроля экономичности работы котельных и возможности сопоставления плановых показателей с отчетными, потребность в топливе и удельные расходы топлива могут быть представлены в расчете на выработку тепловой энергии, отпускаемой с коллекторов котельной.
Потребность в условном топливе на производство тепловой энергии, опускаемой с коллекторов котельной, определяют по формуле (т у.т.):
| 
|
- количество тепловой энергии, отпускаемой из котельной в тепловую сеть определяют в соответствии с разделом 2
, Гкал;
|
| 
|
- удельная норма расхода условного топлива на выработку тепловой энергии, отпускаемой в тепловую сеть, кг у.т.
|
где
3.11.
Удельный расход условного топлива на отпуск тепловой энергии можно определить по формуле (кг у.т./Гкал):
или 
| 
|
- средний КПД нетто котельной с учетом расхода тепловой энергии на собственные нужды котельной, определяется по формуле (%):
|
где
| 
|
- коэффициент, учитывающий расход топлива на собственные нужды котельной определяется по формуле (%):
|
где
| 
|
- удельный расход условного топлива на i
-ые нужды котельной, кг у.т./Гкал;
|
| 
|
- удельный расход условного топлива на выработку тепловой энергии, кг у.т./Гкал;
|
| 
|
- количество различных собственных нужд, требующих затрат топлива.
|
где
Пример 1.
Определить потребность котельной в топливе на растопку котла площадью поверхности нагрева 138 м2
. Графиком ремонтных работ предусмотрены следующие остановки котла:
по 48 ч – 2; по 24 ч – 2; по 12 ч – 5 остановок.
По табл. 4.1 Приложения 4 находим удельный расход топлива, кг у.т. на одну растопку котла в зависимости от продолжительности остановки:
48 ч – 800; 24 ч – 400; 12 ч – 200.
Вычисляем потребность в топливе на предусмотренные графиком ремонтных работ растопки котла:
Враст
= 800
×
2 + 400
×
2 + 200
×
5 = 3400 кг у.т.
Пример 2.
Определить удельную норму расхода топлива на выработку 1 т нормального пара для котельной с пятью котлами ДКВР – 4/13, работающей на природном газе. КПД котлов 90%.
Определяем удельный расход условного топлива на выработку 1 Гкал по формуле (3.2):
кг у.т./Гкал.
Находим расчетную удельную норму расхода топлива на выработку 1 т нормального пара, энтальпия которого равна 639 ккал/кг:
b
н
=158,76
×
0,639=101,45 кг у.т./ т.
Находим по табл. 2.7 Приложения 2 коэффициент, учитывающий потери тепловой энергии с продувочной водой равным 0,13.
По формуле (3.5) определяем удельную норму расхода топлива на выработку 1 т нормального пара с учетом потерь тепловой энергии с продувочной водой:
b
=101,45
×
(1+0,13)=114,64 кг у.т./т.
Пример 3.
Определить потребность в топливе по двум отопительным котельным.
Котельная №1 имеет пять котлов ДКВР-4/13, работающих на природном газе, теплотворная способность которого равна 8500 ккал/нм3
, площадь поверхности каждого котла 138 м2
. КПД котлоагрегата 0,88. Запланированы по две остановки котлов в год продолжительностью 48 ч и более. Годовой расход тепловой энергии составляет на отопление – 16800 Гкал, вентиляцию – 4200 Гкал, горячее водоснабжение – 18400 Гкал, собственные нужды – 860 Гкал, потери тепловой энергии в тепловой сети – 200 Гкал.
Котельная №2 имеет два котла Е-4-14ГМ, работающих на мазуте марки 100В, теплотворной способность 9600 ккал/кг, и обеспечивает отопление жилых зданий. КПД котлов равен 88, площадь поверхности нагрева одного котла 48 м2
. Запланирована одна остановка котлов в год продолжительностью более 48 ч. Годовая выработка тепловой энергии котельной 3000 Гкал.
По котельной №1.
Определяем годовую выработку тепловой энергии:
Q
ГОД
= 16800+4200+18400+860+200 = 40460 Гкал
Производим пересчет тепловой энергии в тоннах нормального пара по формуле (3.6):
G
НП
= 40460
:
639
×
103
= 63317,5 т.
Определяем удельную норму расхода условного топлива на выработку 1 т нормального пара по паспортным данным котлоагрегата или по данным наладочных испытаний по формуле (3.2):
В = 142,86
×
100
:
88 = 162,34 кг у.т./Гкал.
b
н
=162,34
×
0,639=103,74 кг у.т./т пара; Кпрод
= 0,13 (табл. 2.7);
b
= 103,74
×
(1+0,13) = 117,2 кг у.т./т пара.
Вычисляем расход топлива на выработку пара котельной по формуле (3.1):
ВП
= 63317,5
×
117,2
×
10-3
= 7420,8 т.у.т.
Определяем потребность в топливе для растопки котлов. По
табл. 4.1
находим удельный расход топлива для растопки котла при его остановке на 48 ч – 800, свыше 48 ч – 1200 кг у.т.
Вр
=(800
×
2 + 1200
×
2)
×
10-3
= 4 т.у.т.
Общая потребность в условном топливе для котельной №1 составит:
В=ВП
+ Вр
= 7420,8 + 4 = 7424,8 т у.т.
Определяем калорийный эквивалент по формуле (3.9):
Э = 8500
:
7000 = 1,214.
Определяем потребность в природном газе котельной по формуле (3.8):
Вкот
= 7424,8
:
1,214 = 5868,9 тыс. м3
= 5,868 млн. м3
.
По котельной №2.
Находим удельную норму расхода условного топлива на выработку Гкал тепловой энергии по формуле (3.1):
В=142,86
×
100
:
88 = 162,3 кг у.т./Гкал.
Вычисляем потребность в топливе котельной №2 на выработку расчетного количества тепловой энергии по формуле (3.10):
Вт
= 3000
×
162,3 = 486900 кг у.т.
Определяем потребность в топливе на растопку котлов по
табл. 4.1
, равную Вр
= 600 кг у.т.
В = Вт
+ Вр
= 486900 + 600 = 487500 кг у.т.
×
10-3
= 487,5 т у.т.
Определяем калорийный эквивалент натурального топлива по формуле (3.9):
Э =9600
:
7000 = 1,37.
Вычисляем потребность котельной в мазуте марки 100В по формуле (3.8):
Внат
= 487,5 :1,37 = 355,8 т.
Пример 4.
Определить потребность в топливе на отпуск тепловой энергии в тепловую сеть котельной с двумя котлами ВК – 21 площадь поверхности нагрева 57 м2
, КПД брутто 91%. Котлы работают на природном газе, теплотворной способность 7980 ккал/нм3
. Годовая выработка тепловой энергии 3000 Гкал. Расход тепловой энергии на собственные нужды 62 Гкал.
Определяем коэффициент, учитывающий расход топлива на собственные нужды котельной:
Ксн
= 62
:
3000 = 0,0206.
Рассчитываем средний КПД нетто котельной с учетом расхода тепловой энергии на собственные нужды котельной по формуле 3.13:
Вычисляем удельный расход условного на топлива на отпуск тепловой энергии в тепловую сеть:
b
отп
= (142,86
×
100)
:
89 = 160,5 кг у.т./Гкал.
Находим потребность в условном топливе на отпуск тепловой энергии, с коллекторов котельной:
Вотп
=
Q
отп
×
b
отп
= (3000-62)
×
160,5 = 471549 кг у.т. = 471,5 т у.т.
Определяем калорийный эквивалент:
Э = 7980
:
7000 = 1,14.
Проводим пересчет условного топлива в натуральное:
Внат
= 471,5
:
1,14 = 413,6 тыс. м3
.
4.
ОПРЕДЕЛЕНИЕ КОЛИЧЕСТВА ЭЛЕКТРИЧЕСКОЙ ЭНЕРГИИ, ТРЕБУЕМОЙ НА ВЫРАБОТКУ ТЕПЛОВОЙ ЭНЕРГИИ
4.1.
Расход электрической энергии на производственные нужды условно можно разделить на технологические, связанные непосредственно с выработкой и транспортировкой тепловой энергии от котельной до потребителя, и вспомогательные (например, производственных мастерских, складов топлива и т.п.).
Расходы электрической энергии на вспомогательные нужды не учитываются в расчетах, поскольку не связаны непосредственно с количеством вырабатываемой и потребляемой электроэнергии.
4.2.
Расходы на технологические нужды включают в себе расходы электроэнергии на тягодутьевые устройства (вентиляторы, дымососы); насосы питательные, циркуляционные, системы ХВО, мазутные, вакуумные; привод механизмов для транспортирования топлива в котельных, для нужд топливоподготовки, топливоподачи и шлакоудаления (дробилки, углезабрасыватели, транспортеры, скреперные лебедки и пр.).
4.3.
Суммарное количество электрической энергии за планируемый период определяют по формуле (кВт×ч): 
| 
|
- для технологического оборудования, имеющего электропривод,
|
| 
|
- на транспортирование теплоносителя от источника до потребителя,
|
| 
|
- на перекачку теплоносителя в насосных станциях при получении тепловой энергии со стороны
|
| 
|
- на собственные нужды котельной (на освещение, вентиляцию, потери в сетях, на подъемно-транспортные, вспомогательные механизмы и пр.).
|
где
4.4.
Количество электрической энергии на привод технологического оборудования определяют по формуле (кВт×ч):
| 
|
- номинальная мощность i
-го двигателя, принимается из паспортных данных, кВт;
|
| 
|
- полезное время работы i
-го оборудования;
|
| 
|
- коэффициент использования мощности оборудования;
|
| 
|
- КПД i
- го электрооборудования;
|
| 
|
- количество оборудования.
|
где
Коэффициент использования мощности электрооборудования определяется практическим путем как отношение активной мощности отдельного приемника (или группы их) к ее номинальному (паспортному) значению:
| 
|
- соответственно средняя активная и номинальная мощность, кВт.
|
где
| 
|
- средневзвешенная номинальная мощность группы электроприемников, кВт;
|
| 
|
- период времени, к которому отнесены средние величины мощности (месяц, квартал, год), ч;
|
| 
|
- полезное время работы каждого элемента электрооборудования за планируемый период, ч.
|
где
4.5.
Количество электрической энергии, требуемое на топливоприготовление, топливоподачу и золошлакоудаление, при отсутствии данных определяют по формуле (кВт×ч): 
| 
|
- удельный расход электрической энергии на топливоприготовление, топливоподачу и золошлакоудаление, принимается по [Приложение 5, таб.5.1
], кВт×ч/Гкал;
|
| 
|
- теплопроизводительность котельной, Гкал/ч;
|
| 
|
- продолжительность работы оборудования в планируемом периоде, ч.
|
где
4.6.
Требуемая мощность электродвигателя для привода вентиляторов и дымососов определяют по формуле (кВт):
| 
|
- производительность вентилятора (дымососа), м3
/ч, кг/с;
|
| 
|
- полное расчетное давление, создаваемое вентилятором (дымососом), мм. Вод. ст.;
|
| 
|
- КПД установки, принимается по паспортным данным.
|
| 3600
|
- в случае выбора единицы измерения [м3
/ч], при определении количества воздуха дутьевыми устройствами, необходимо перевести 1 час в секунды;
|
| 102
|
- переводной коэффициент 1 кВт=102 кГС·м/с.
|
где
4.7.
Количество воздуха, на которое рассчитывается дутьевое устройство определяют по формулам, м3
/ч, (кг/с):
для вентилятора
для дымососа | 
|
- теоретический объем воздуха, необходимый для полного сгорания 1 м3
(1 кг) топлива при 0° и 760 мм рт.ст., принимается по [Приложение 5, таб.5,2
], м3
/кг;
|
| 
|
- теоретический объем продуктов сгорания, принимается по [Приложение 5, таб.5.2
], нм3
/кг;
|
| 
|
- коэффициенты избытка воздуха соответственно в топке и уходящих газах, принимают по [Приложение 5, таб.5.3
];
|
| 
|
- температура холодного воздуха, принимается равной 20°С;
|
| 
|
- температура уходящих газов, °С;
|
| 
|
- максимальный расход топлива, кг/с;
|
| 
|
- барометрическое давление в районе расположения котельной, мм рт.ст.
|
| 
|
- плотность газов при средней температуре, кг/м3
.
|
где
4.8.
При отсутствии данных о количестве электрической энергии на привод электродвигателей тягодутьевых машин, расход электрической энергии можно определить по формуле, (кВт·ч):
для вентилятора 
для дымососа 
| и
|
- удельный расход электрической энергии соответственно на подачу воздуха дутьевыми вентиляторами и на удаление уходящих газов дымососами, принимаются по [Приложение 5, таб.5.6
], кВт×ч/1000 м3
.
|
где
4.9.
Мощность электродвигателя для привода насоса определяют по формуле, (кВт):
| 
|
- расход теплоносителя, м3
/с;
|
| 
|
- напор, создаваемый насосом, м;
|
| 
|
- плотность воды, кг/м3
;
|
| 
|
- ускорение свободного падения, равно 9,81 м/с2
;
|
| 
|
- КПД насосной установки.
|
где
4.10.
Мощность электродвигателя для привода компрессора определяют по формуле (кВт):
| 
|
- производительность компрессора, м3
/с;
|
| 
|
- работа сжатия 1 м3
газа от 1 кгс/см2
до конечного давления, кгс/см2
;
|
| 
|
- КПД компрессорной установки.
|
где
4.11.
Мощность электродвигателей для привода механизмов транспортеров определяют по формулам (кВт):
горизонтального ленточного транспортера без промежуточных сбрасывателей:
| 
|
- производительность транспортера, т/ч;
|
| 
|
- рабочая длина транспортера, м;
|
| 
|
- КПД передачи, принимается равной для ременной 0,85 – 0,9; клиноременной 0,97 – 0,98; зубчатой – 0,98; при помощи муфты (непосредственно) – 1,0;
|
где
скребковых транспортеров и шнеков:
| 
|
- коэффициент, учитывающий увеличение сопротивления при пуске, принимается равным 1,2 – 1,5;
|
| 
|
- коэффициент сопротивления материала, принимается равным для угля 4,2 –1,6, для золы 4,0;
|
| 
|
- длина перемещения груза, м;
|
| 
|
- высота подъема груза, м;
|
где
ковшового элеватора
: | 
|
- производительность ковшового элеватора, т/ч.
|
где
4.12.
Количество электрической энергии, необходимое для освещения помещений котельной определяют по числу и мощности установленных светильников и продолжительности горения электрических ламп по формуле (кВт×ч):
| 
|
- мощность i
-го установленного светильника, кВт;
|
| 
|
- число часов использования осветительного максимума (при отсутствии данных принимается для непрерывной работы при наличии естественного освещения равным 4800 ч, при отсутствии естественного освещения - 7700 ч), ч;
|
| 
|
- количество светильников.
|
где
4.13.
При отсутствии данных для расчета количество электрической энергии на прочие нужды (рециркуляция воды в контуре, подпитка тепловой сети, освещение котельной, потери в распределительной сети и силовых трансформаторах, работа устройств КИПиА) определяют по укрупненному расчету по формуле (кВт×ч):
| 
|
- удельный расход электрической энергии на выработку и транспортирование тепловой энергии принимается по [Приложение 5, таб.5.5
], кВт×ч/Гкал;
|
| 
|
- расчетный расход отпуска тепловой энергии с коллекторов котельной, Гкал/ч;
|
| 
|
- продолжительность использования максимума тепловой нагрузки, ч.
|
где
4.14.
Предельные значения удельных расходов электрической энергии на выработку тепловой энергии котельной приведены в [Приложение 5, таб.5.1
, 5.8
, 5.9
].
4.15.
Количество электрической энергии на отпуск тепловой энергии от ЦТП определяют по формуле (кВт×ч): 
| 
|
- удельный расход электрической энергии в ЦТП, кВт×ч/Гкал;
|
| 
|
- тепловая мощность ЦТП, Гкал/ч;
|
| 
|
- время использования электрической энергии за планируемый период, ч.
|
где
Удельный расход электрической энергии принимают равным 2,32 – для ЦТП, обеспечивающего горячее водоснабжение и отопление зданий по зависимой и независимой схемам; 0,76 – для ЦТП, обеспечивающего горячее водоснабжение и отопление по элеваторной схеме; 1,56 – для ЦТП (бойлерной, насосной), обеспечивающего отопление по зависимой схеме с насосами смешения и горячее водоснабжение по независимой схеме с циркуляционными насосами.
4.16.
Количество электрической энергии, требуемое на освещение ЦТП, определяют по формуле (кВт×ч):
| 
|
- удельный расход электрической энергии на освещение, принимается равным
0,009 кВт/м2
;
|
| 
|
- площадь ЦТП, м2
;
|
| 
|
- продолжительность работы осветительной нагрузки за планируемый период, ч.
|
где
4.17.
Количество электрической энергии, потребляемой приборами автоматического регулирования, определяют (кВт×ч):
| 
|
- мощность i
-го прибора, принимается равным 0,065 кВт;
|
| 
|
- продолжительность действия прибора в течение рассматриваемого периода, ч
|
| 
|
- количество приборов.
|
где
4.18.
Для ориентировочных расчетов количества электрической энергии, потребляемого электрооборудованием можно определить по формуле (кВт×ч): 
| 
|
- расчетная электрическая нагрузка i
-го электроприемника, кВт, определяется по формуле (4.22);
|
| 
|
- число часов использования максимума мощности за планируемый период, ч;
|
| 
|
- количество электроприемников.
|
где
| 
|
- установленная (паспортная) мощность электроприемника, кВт;
|
| 
|
- коэффициент спроса, определяется опытным путем, ориентировочные значения для различного оборудования приведены в [Приложение 5, таб.5.10
], для водогрейных котельных (данные ВНИПИ Энергопром) в [Приложение 5, таб.5.8
].
|
где
Коэффициент спроса (Кс
≤1) – отношение расчетной или потребляемой мощности к номинальной (установленной) мощности:
| 
|
- потребляемая мощность электроприемника, кВт;
|
| 
|
- номинальная мощность приемника, кВт.
|
где
Пример 1.
Определить требуемое количество электрической энергии для привода дымососа ДН-9 на котле, работающем на жидком топливе с максимальным расходом топлива 200 кг/ч. Полное давление, создаваемое дымососом 78,4 мм. Рт. Ст., КПД – 0,69. Продолжительность работы 8400 ч. Производительность котла 1,72 Гкал/ч. Температура уходящих газов 180
°
С.
Определяем теоретический объем продуктов сгорания по
табл. 5.2
равным 11,48 нм3
/кг; по
табл. 5.3
Приложения 4 коэффициент избытка воздуха в уходящих газах 1,4.
Определить производительность дымососа по формуле (4.8):
м3
/час
Определяем мощность электродвигателя по формуле (4.6):
N
д
=5333,8
×
78,4
:
(3600
×
102
×
0,69)=1,65 кВт.
Определяем количество электрической энергии, потребляемой дымососом по формуле (4.21), (4.22) с учетом коэффициента спроса, определяемого по
табл. 5.10
:
Э = 1,65
×
8400
×
0,75 = 10395 кВт
×
ч.
Пример 2.
Определить потребляемую мощность и количество электрической энергии за отопительный период для сетевого насоса 3К45-30, если производительность насоса 49,1 т/ч, напор 30,5 м, коэффициент полезного действия насоса 0,7. Продолжительность отопительного периода 6672 ч.
Определяем мощность насоса по формуле (4.11):
Количество электрической энергии за отопительный период определяем по формулам (4.21) и (4.22) с учетом табл. 5.10:
Пример 3.
Определить годовую потребность в электрической энергии отопительно-производственной котельной с четырьмя котлами ДЕ 4-14 ГМ. Котельная работает на нужды отопления, горячего водоснабжения и технологические нужды.
В котельной установлены: 4 дымососа ДН-9 с электродвигателями мощностью 6,7 кВт, работающие в отопительный период, в летний период – 2 дымососа; 4 дутьевых вентилятора ВДН-8 с электродвигателями мощностью 5,7 кВт, режим работы в году, как у дымососов; вентилятор отделения декарбонизации Ц4-70
N
3 с электродвигателем 1,5 кВт; сетевой насос ЦНС 60-9Э с электродвигателем мощностью 30 кВт; насос блока приготовления исходной воды с электродвигателем мощностью 7 кВт; насос декарбонизированной воды ЭКМ-6 с электродвигателем мощностью 17 кВт; насос промывочной воды водород – катионовых фильтров 2К-20/18 с электродвигателем 1,5 кВт; насос перекачки крепкого раствора соли ХВ-13-Л1-52 с электродвигателем мощностью 3 кВт; перекачивающий насос 2КМ-20/30 с электродвигателем мощностью 3 кВт; насос горячего водоснабжения ЦНС 38-44 с электродвигателем мощностью 7 кВт; подпиточный насос 2КМ-20/30 с электродвигателем мощностью 4 кВт; питательный насос ЦНСГ 38-176 с электродвигателем мощностью 30 кВт; компрессор СО7А с электродвигателем мощностью 4 кВт. Котельная освещается 12 светильниками мощностью 0,1 кВт каждый.
Длительность отопительного периода 6648 ч. Число часов работы насосов: сетевого - 6648, горячего водоснабжения, подпиточного, питательного, декарбонизированной воды, исходной воды – 8400, перекачки соляного раствора, промывки и взрыхления фильтров - 600, перекачивающего – 2600. Продолжительность работы вентилятора Ц4-70
N
3 – 8400, компрессора – 1800 ч.
Продолжительность максимума осветительной нагрузки 4800 ч.
Расчет ведем по формулам (4.21), (4.22). Результаты расчетов сводим в таблицу.
| Оборудование
|
Мощность электрод-вигателя, кВт
|
Коэффи-циент спроса, Кс
|
Расчет-ная мощнос-ть,
N
×
Кс
|
Продолжи-тельность работы, ч
|
Расход электроэнергии, кВт
×
ч
|
| Дымосос
|
5,7х2
|
0,75
|
8,55
|
8400
|
71820
|
| 3480
|
29754
|
| Вентилятор ВДН-8
|
5,7х2
|
0,75
|
8,55
|
8400
|
71820
|
| 3480
|
29754
|
| Вентилятор Ц4-70
N
3
|
1.5
|
0,7
|
1,05
|
8400
|
8820
|
| Насос: сетевой
|
30
|
0,8
|
24
|
6648
|
159552
|
| исходной воды
|
7
|
0,8
|
5,6
|
8400
|
47040
|
| декарбонизированной воды
|
17
|
0,8
|
13,6
|
8400
|
114240
|
| промывочной воды
|
1,5
|
0,7
|
1,05
|
600
|
630
|
| перекачки соляного раствора
|
3
|
0,8
|
2,4
|
600
|
1440
|
| перекачивающий
|
3
|
0,8
|
2,4
|
2600
|
6240
|
| горячего водоснабжения
|
7
|
0,8
|
5,6
|
8400
|
47040
|
| подпиточный
|
4
|
0,8
|
3,2
|
8400
|
26880
|
| питательный
|
30
|
0,8
|
24
|
8400
|
201600
|
| Компрессор
|
4
|
0,7
|
2,8
|
1800
|
5040
|
| ИТОГО
:
|
821670
|
Определяем количество электрической энергии на освещение по формуле (4.16):
ЭОСВ
= 0,1
×
12
×
8400 = 5760 кВт
×
ч.
Определим общее количество электрической энергии, потребляемое котельной за год:
Э = 8575842,8 + 5760 = 881602,8 кВт
×
ч.
5.
ОПРЕДЕЛЕНИЕ КОЛИЧЕСТВА ВОДЫ ДЛЯ ВЫРАБОТКИ ТЕПЛОВОЙ ЭНЕРГИИ
5.1.
Количество воды на коммунальных теплоэнергетических предприятиях, потребное для выработки тепловой энергии, м3
, слагается из расходов на разовое наполнение системы и внешних трубопроводов тепловых сетей, расходов на подпитку системы теплоснабжения, собственные нужды котельной:
| 
|
- объем воды на заполнение тепловой сети, м3
;
|
| 
|
- объем воды на подпитку системы, м3
;
|
| 
|
- объем воды на собственные нужды, м3
;
|
| 
|
- объем воды на заполнение системы отопления i
-го потребителя;
|
| 
|
- количество потребителей.
|
где
5.2.
Расход воды на наполнение систем отопления присоединенных потребителей определяется по показаниям водомеров, а при их отсутствии потребный объем воды определяют по формуле (м3
):
| 
|
- удельный объем воды, определяется в зависимости от характеристики системы и расчетного графика температур по [Приложение 6, таб.6.1
], [м3
/(Гкал/ч)];
|
| 
|
- расчетная тепловая нагрузка систем отопления, Гкал/ч;
|
| 
|
- количество систем теплопотребления.
|
где
5.3
Объем воды на наполнение местных систем горячего водоснабжения при открытой системе теплоснабжения определяют из расчета 5,2 м3
/МВт [6 м3
/(Гкал/ч)] среднечасовой расчетной нагрузки горячего водоснабжения.
5.4.
При отсутствии данных о типе нагревательных приборов допускается принимать ориентировочно удельный объем воды на наполнение местных систем отопления зданий по всему объему в размере 25,9 м3
/МВт [30 м3
/(Гкал/ч)] суммарного расчетного часового расхода тепловой энергии на отопление и вентиляцию.
5.5.
Объем воды для наполнение трубопроводов тепловых сетей вычисляют в зависимости от их площади сечения и протяженности по формуле (м3
):
| 
|
- удельный объем воды в трубопроводе i
–го диаметра принимается по[ Приложение 6, таб.6.2
], м3
/км;
|
| 
|
- протяженность участка тепловой сети i
–го диаметра, км;
|
| 
|
- количество участков сети.
|
где
Число наполнений определяется графиком работ по ремонту и испытаниям тепловых сетей.
5.6.
С учетом удельного объема воды в трубопроводах тепловых сетей общий удельный объем воды на заполнение системы и наружных тепловых сетей ориентировочно допускается принимать в размере 34,5 – 43,1 м3
/МВт [40-50 м3
/(Гкал/ч)] отпущенного тепла.
5.7.
Количество подпиточной воды для восполнения потерь в системах и трубопроводах должно соответствовать величинам утечек и количеству воды, отобранной в открытых системах горячего водоснабжения. С учетом возможных колебаний утечки в течение года в зависимости от режимных условий работы системы, норма утечки воды для закрытой системы теплоснабжения принимается равной 0,25 % в 1 ч от объема воды в трубопроводах тепловых сетей и непосредственно присоединяемых к ним местных систем отопления и вентиляции зданий.
Расход воды на подпитку составит (м3
/ч):
для закрытой системы теплоснабжения 
| 
|
- объем воды в трубопроводах тепловых сетей и непосредственно присоединенных местных систем отопления, м3
; .
|
| 0,0025
|
- норма утечки, 1/ч
|
где
для открытой системы теплоснабжения 
| 
|
- среднечасовой расход воды на горячее водоснабжение определяется по формулам, м3
/ч:
|
где
в отопительный период
в летний период | 
|
- среднечасовой расход тепловой энергии на горячее водоснабжение соответственно в отопительный и летний периоды, определяются по формулам (1.24) – (1.27), Гкал/ч;
|
| 
|
- теплоемкость горячей воды равная 1000 ккал/(м3
×°С);
|
| 
|
- расчетная температура горячей воды, принимается для закрытых систем 70 °С, для открытых систем 65 °С;
|
| 
|
- расчетная температура холодной (водопроводной) воды соответственно в зимний и летний периоды, при отсутствии данных принимается равной 5°С в отопительный период и 15°С в летний.
|
где
5.8.
Количество воды, потребное для возмещения утечки определяют по формуле (м3
):
| 
|
- продолжительность планируемого периода подпитки, ч.
|
где
5.9.
Для плановых расчетов количества воды, необходимого для выработки тепловой энергии котельными, работающими только на отопление и вентиляцию, можно пользоваться укрупненными нормативами расхода воды на разовое наполнение и подпитку систем отопления и наружных тепловых сетей в размере 0,4 – 0,5 м3
/Гкал.
5.10.
Расход воды на продувку определяется качеством воды, подаваемой в котел, и в каждом случае должен рассчитываться в соответствии с конкретными условиями. В общем случае расход воды на продувку определяют по формуле (кг/ч): 

где
| 
|
- расход возвращаемого конденсата, кг/ч;
|
| 
|
- расход добавляемой химически очищенной воды, кг/ч;
|
| 
|
- паропроизводительность котла (принимается из технической характеристики или по испытаниям), кг/ч;
|
| 
|
- характеристика (щелочность или сухой остаток) соответственно конденсата, добавляемой воды и пара, г-экв/кг, или г/кг;
|
| 
|
- характеристика установленной концентрации в котловой воде, г-экв/кг, или г/кг;
|
| 
|
- количество отсепарированного пара в долях от расхода продуваемой воды;
|
| 
|
- производительность котла соответственно по перегретому и насыщенному пару, кг/ч;
|
| 
|
- солесодержание или щелочность соответственно питательной воды, котловой воды, пара, определяется химическим анализом, мг-экв/л.
|
Коэффициенты устанавливаются теплотехническими испытаниями котлоагрегата.
5.11.
При отсутствии данных для расчета, расход воды на продувку определяется ориентировочно по формуле (кг/ч):
| 
|
- коэффициент, учитывающий расход тепловой энергии на продувку, принимается согласно разделу 2
;
|
| 
|
- номинальная производительность котельной, Гкал/ч;
|
| 
|
- энтальпия соответственно котловой воды при температуре насыщения и питательной воды, ккал/кг.
|
где
Требуемое количество воды на продувку определяют (кг): 
| 
|
- продолжительность продувки, ч.
|
где
5.12.
Общее количество воды на нужды водоподготовки определяют по формуле (м3
):
| 
|
- количество воды, требуемое для i
-го фильтра, определяется по [Приложение 6, таб.6.3
, 6.4
], м3
;
|
| 
|
- количество одинаковых фильтров;
|
| 
|
- количество процессов взрыхления и регенерация для i
–го фильтра;
|
| 
|
- количество разных фильтров;
|
| 
|
- количество воды, выпариваемое в деаэраторе (при отсутствии охладителя выпара), м3
, определяют по формуле:
|
где
| 
|
- соответственно производительность, м3
/ч, и продолжительность работы деаэратора в рассматриваемый период, ч.
|
где
При отсутствии данных общее количество воды на водоподготовку может быть найдено по укрупненным данным по формуле: 
| 
|
- производительность химводочистки, т/ч;
|
| 
|
- удельный расход воды на собственные нужды ХВО, т исходной воды на 1 т химически очищенной воды, в зависимости от общей жесткости воды принимается по [Приложение 2, таб.2.2
];
|
| 
|
- поправочный коэффициент, принимаемый равный 1,0 при наличии бака взрыхления и 1,2 при его отсутствии.
|
где
5.13.
Часовой расход воды на хозяйственно-питьевые нужды определяют по формуле (м3
/ч):
| 
|
- норма расхода воды на одну душевую сетку, принимается равной 0,5 м3
/сут;
|
| 
|
- количество душевых сеток;
|
| 
|
- коэффициент использования душевых, определяются практическим путем, при отсутствии данных принимается равным 1,0;
|
| 
|
- норма расхода воды на 1 человека в смену, при отсутствии данных принимается равной 0,045 м3
/чел.сут;
|
| 
|
- численность работающих в сутки, чел.
|
где
Количество воды, расходуемое на хозяйственно-питьевые нужды, определяют по формуле (м3
): 
| 
|
- продолжительность планируемого периода, сут.
|
где
При отсутствии данных расход воды на хозяйственно-питьевые нужды котельной (души, умывальники, охлаждение подшипников вращающихся механизмов и пр.) ориентировочно принимают 2-3 м3
/сут на 1 т производительности котлов.
5.14.
На систему шлакозолоудаления используют воду после промывки фильтров, из душевых и умывальников и другую загрязненную на производстве воду. Удельное количество воды на системы шлакозолоудаления шлака и золы приведены в [Приложение 6, таб.6.5
].
5.15.
Удельные потери воды на паровое распыливание мазута принимают равным 0,3 для напорных форсунок и 0,02-0,03 кг/кг мазута для паромеханических форсунок.
5.16.
Количество воды, требуемой на обмывку котлов, определяют по формуле (м3
):
| 
|
- количество тепловой энергии, затраченное на обмывку котлов, определяется в соответствии с разделом 2
, Гкал;
|
| 
|
- соответственно температура горячей и исходной воды, °С.
|
где
5.17.
Для отопительных котельных при закрытой системе теплоснабжения потребное количество воды ориентировочно может быть определено по формуле (м3
): 
где
| 
|
- удельный расход воды, т/ч Мвт [т/ч (Гкал/ч)], принимается по [Приложение 6, таб.6.6
];
|
| 
|
- плотность воды, т/м3
;
|
| 
|
- мощность котельной, МВт (Гкал/ч );
|
| 
|
- коэффициент использования максимума нагрузки;
|
| 
|
- продолжительность работы котельной в планируемом периоде, ч.
|
При открытой системе теплоснабжения к принятому по формуле (5.22) значению следует добавить количество воды на горячее водоснабжение за расчетный период, при мокром золоулавливании и гидрозолоудалении следует учесть и этот расход.
Пример 1.
Определить количество воды, необходимое для наполнения и подпитки тепловых сетей и присоединенной к ним системы отопления зданий, получающих тепловую энергию от котельной, работающей по режиму 95-70 °С. Система теплоснабжения закрытая. Котельная расположена в г. Салехарде.
Годовая выработка тепловой энергии котельной 6000 Гкал; расчетный расход тепловой энергии 2,75 Гкал/ч; протяженность тепловой сети 800 м, из них 200 м – диаметром 150 мм и 600 м – диаметром 100 мм. Здания оборудованы чугунными радиаторами высотой 500 мм.
Климатические данные: продолжительность отопительного периода 292 сут; расчетная температура наружного воздуха – 42 °С, средняя температура наружного воздуха за отопительный период – 11,4 °С.
По
табл.6.1
определим объем воды в местных системах отопления зданий при перепаде температур 95/70 °С равным 19,5 м3
/(Гкал/ч). Вычисляем количество воды, требуемое для заполнения системы отопления по формуле (5.2):
= 19,5
×
2,75=53,6 м3
.
Определяем количество воды, требуемое для заполнения наружных тепловых сетей по данным
табл.6.2
и формуле (5.3):
= 0,2
×
17,67 +0,6
×
7,85 = 8,244 м3
.
Рассчитываем количество подпиточной воды в соответствии с нормой подпитки по формуле (5.8):
= 0,0025
×
(53,6+8,244)
×
24
×
292 = 1083,5 м3
.
Находим общее количество воды по формуле (5.1):
53,6+8,244+1083,5 = 1145,3 м3
.
Пример 2.
Определить количество воды на нужды котельной с годовой выработкой тепловой энергии 3000 Гкал.
Для укрупненного расчета по данным п.5.9 принимаем удельное количество в среднем 0,46 м3
/Гкал, определяем общее количество воды, потребное для годовой выработки тепловой энергии:
0,46
×
3000 = 1380 м3
.
Пример 3.
Определить годовое количество воды на собственные нужды химводоочистки и на выпар деаэратора. Химводоочистка оборудована двумя натрий-катионитовыми фильтрами диаметром 1000 мм. Регенерация фильтров производится 2 раза в сутки. При взрыхлении фильтров используется отмывочная вода. Производительность деаэратора 153 м3
/ч. Продолжительность работы отделения водоподготовки 350 сут.
По
табл.6.4
находим расход воды на взрыхляющую промывку 2,1 м3
и на регенерацию фильтра 7,3 м3
.
По формулам (5.16, 5.17) находим требуемое количество воды:
(2,1+7,3)
×
2
×
2
×
350 + 0,004
×
153
×
350
×
24 = 18300,8 м3
.
Пример 4.
Определить расход воды за год на бытовые нужды котельной, работающей в три смены в течение 8400 ч в год. Численность работающих в первой смене – 8, во второй – 4, в третьей – 3 чел. Бытовые помещения оборудованы душем с двумя душевыми сетками. Коэффициент использования душевых 1,0.
Расчет ведем по формуле (5.19):
[0,5
×
2
×
1,0 + 0,045
×
(8+4+3)]
×
8400:24 = 586,25 м3
.
6.
ОХРАНА ОКРУЖАЮЩЕЙ СРЕДЫ
6.1.
Котельные, сжигающие органическое топливо, является одним из источников загрязнения окружающей среды, особенно котельные малой и средней мощности в виду несовершенства теплотехнического оборудования, автоматики и низкого уровня эксплуатации.
Наличие вредных веществ в продуктах сгорания топлива котлов обусловлено содержанием в них неорганических веществ, балласта сернистых и азотных соединений, других примесей, преходящих в продукты сгорания. Кроме того, при сжигании топлив могут образоваться продукты неполного сгорания (сажа, окись углерода, полициклические ароматические и канцерогенные углеводороды). К числу наиболее токсичных относятся оксиды азота и полициклические ароматические и канцерогенные углеводороды, имеющие преимущественно 1 и 2 классы опасности. Предельно допустимая концентрация вредных веществ в атмосфере и характеристика вредных веществ выбросов от котельных жилищно-коммунального хозяйства приведены в [Приложение 8, табл.8.1]. Расчет выбросов загрязняющих веществ, производят в соответствии с литературой [14], расчет нормативов предельно допустимых выбросов в соответствии с литературой [16].
6.2.
Для отопительных котельных малой мощности характерна высокая концентрация Cm
Hn
в дымовых газах, на отдельных стадиях, которая может достигать 348-350 мкг/100 м3
, особенно при слоевом сжигании топлива. Установлено, что для жилых районов городов с местными отопительными системами характерно, особенно в зимний период, наличие устойчивых зон высоких концентраций бензопирена до 0,33 – 0,56 мкг/100м3
воздуха.
6.3.
Для снижения загрязнения атмосферного воздуха продуктами горения необходимо проводить комплекс мероприятий как по совершенствованию процесса горения, так и по использованию эффективной системы по очистке дымовых газов.
6.4.
Сброс сточных вод из водоподготовительных установок котельных и воды после химической очистки внутренних поверхностей котлов в водоемы без очистки недопустимы. При гидрошлакоудалении из котельных, работающих на твердом топливе, целесообразно создание замкнутой системы использования воды и контроля за качеством воды, просачивающейся через грунт золоотвалом. Предельно допустимая концентрация вредных веществ в водоемах приведена в [Приложение 8, табл. 8.2].
6.5.
С целью стимулирования введения мероприятий по снижению выбросов вредных веществ в окружающую среду для каждого предприятия устанавливаются предельно допустимые нормативы выбросов (сбросов, размещения) загрязняющих веществ в природную среду и плата за выбросы.
На период достижения предельно допустимых нормативов устанавливаются лимиты природопользования с учетом экологической обстановки в регионе, видов используемого сырья, технического уровня применяемого природоохранного оборудования, проектных показателей и особенностей технологического режима работы предприятия, а так же уровня фонового загрязнения окружающей среды.
6.6.
Плата за выбросы загрязняющих веществ является формой компенсации ущерба, наносимого загрязнением окружающей среде. Нормативы платы устанавливаются на уровне республик, краев, областей и крупных городов исходя из общереспубликанских нормативно-методических документов, и дифференцируются с учетом местных условий, состава и свойств выбрасываемых загрязняющих веществ.
На основе доведенных нормативов и лимитов предприятия определяют проектные величины платы за выбросы загрязняющих веществ и представляют их с соответствующими обоснованиями на утверждение в местную администрацию.
ПРИЛОЖЕНИЕ 1
Таблица 1.1
Поправочный коэффициент к расчетной температуре наружного воздуха

Таблица 1.2
Удельные тепловые характеристики жилых и общественных зданий с расчетной температурой помещений +18о
С
| Наружный строительный объем, V(м3
)
|
Удельная отопительная характеристика зданий qo
с наружной температурой воздуха tр.о
=-30 °С [ккал/(м3
ּчּо
С)]
|
Наружный строительный объем, V(м3
)
|
Удельная отопительная характеристика зданий qo
с наружной температурой воздуха tр.о
=-30 °С [ккал/(м3
ּчּо
С)]
|
| постройки до 1958г.
|
постройки после 1958г.
|
постройки до 1958г.
|
постройки после 1958г.
|
| 1
|
2
|
3
|
4
|
5
|
6
|
| 100
|
0,74
|
0,92
|
4000
|
0,40
|
0,47
|
| 200
|
0,66
|
0,82
|
4500
|
0,39
|
0,46
|
| 300
|
0,62
|
0,78
|
5000
|
0,38
|
0,45
|
| 400
|
0,60
|
0,74
|
6000
|
0,37
|
0,43
|
| 500
|
0,58
|
0,71
|
7000
|
0,36
|
0,42
|
| 600
|
0,56
|
0,69
|
8000
|
0,35
|
0,41
|
| 700
|
0,54
|
0,68
|
9000
|
0,34
|
0,40
|
| 800
|
0,53
|
0,67
|
10000
|
0,33
|
0,39
|
| 900
|
0,52
|
0,66
|
11000
|
0,32
|
0,38
|
| 1000
|
0,51
|
0,65
|
12000
|
0,31
|
0,38
|
| 1100
|
0,50
|
0,62
|
13000
|
0,30
|
0,37
|
| 1200
|
0,49
|
0,6
|
14000
|
0,30
|
0,37
|
| 1300
|
0,48
|
0,59
|
15000
|
0,29
|
0,37
|
| 1400
|
0,47
|
0,58
|
20000
|
0,28
|
0,37
|
| 1500
|
0,47
|
0,57
|
25000
|
0,28
|
0,37
|
| 1700
|
0,46
|
0,55
|
30000
|
0,28
|
0,37
|
| 2000
|
0,45
|
0,53
|
35000
|
0,28
|
0,35
|
| 2500
|
0,44
|
0,52
|
40000
|
0,27
|
0,35
|
| 3000
|
0,43
|
0,50
|
45000
|
0,27
|
0,34
|
| 3500
|
0,42
|
0,48
|
50000
|
0,26
|
0,34
|
Примечание.
Для расчетной наружной температуры, отличной от tр.о.
= - 31°С, при определении удельных отопительных характеристик следует применять поправочный коэффициент (см. табл. 1.1).
Таблица 1.3
Удельные тепловые характеристики для зданий административного,
социально-бытового и промышленного назначения
| Наименование здания
|
Объем здания, V (тыс.м3
)
|
Удельные тепловые характеристики, ккал/(м3
ּчּо
С)
|
Наименование здания
|
Объем здания, V (тыс.м3
)
|
Удельные тепловые характеристики, ккал/(м3
ּчּо
С)
|
| для отопле-ния, qo
|
для венти-ляции, qв
|
для отопле-ния, qo
|
для венти-ляции, qв
|
| 1
|
2
|
3
|
4
|
5
|
6
|
7
|
8
|
| Административные здания, главные конторы
|
до 5
|
0,43
|
0,09
|
Больницы
|
до 5
|
0,40
|
0,29
|
| до10
|
0,38
|
0,08
|
до 10
|
0,36
|
0,28
|
| до15
|
0,35
|
0,07
|
до 15
|
0,32
|
0,26
|
| более 15
|
0,32
|
0,16
|
более 15
|
0,30
|
0,25
|
| Клубы
|
до 5
|
0,37
|
0,25
|
Бани
|
до 5
|
0,28
|
1,00
|
| до10
|
0,33
|
0,23
|
до 10
|
0,25
|
0,95
|
| более 10
|
0,30
|
0,20
|
более 10
|
0,23
|
0,90
|
| Кинотеатры
|
до 5
|
0,36
|
0,43
|
Прачечные
|
до 5
|
0,38
|
0,80
|
| до 10
|
0,32
|
0,39
|
до 10
|
0,33
|
0,78
|
| более 10
|
0,30
|
0,38
|
более 10
|
0,31
|
0,75
|
| Театры
|
до 10
|
0,29
|
0,41
|
Предприятия общественного питания, столовые, фабрики-кухни
|
до 5
|
0,35
|
0,70
|
| до 15
|
0,27
|
0,40
|
до 10
|
0,33
|
0,65
|
| до 20
|
0,22
|
0,38
|
более 10
|
0,30
|
0,60
|
| до 30
|
0,20
|
0,36
|
| более 30
|
0,18
|
0,34
|
| Универмаги
|
до 5
|
0,38
|
-
|
Лаборатории
|
до 5
|
0,37
|
1,00
|
| до 10
|
0,33
|
0,08
|
до 10
|
0,35
|
0,95
|
| более 10
|
0,31
|
0,27
|
более 10
|
0,33
|
0,90
|
| Детские ясли и сады
|
до 5
|
0,38
|
0,11
|
Пожарное депо
|
до 2
|
0,48
|
0,14
|
| более 5
|
0,34
|
0,10
|
до 5
|
0,46
|
0,09
|
| более 5
|
0,45
|
0,09
|
| Школы и высшие учебные заведения
|
до 5
|
0,39
|
0,09
|
Гаражи
|
до 2
|
0,70
|
-
|
| до 10
|
0,35
|
0,08
|
до 3
|
0,60
|
-
|
| более 10
|
0,33
|
0,07
|
до 5
|
0,55
|
0,70
|
| более 5
|
0,50
|
0,65
|
| Чугунолитейные цехи
|
10-15
|
0,3-0,25
|
1,1-1,0
|
Мастерские и цехи ФЗУ
|
5-10
|
0,5
|
0,5
|
| 50-100
|
0,25-0,22
|
1,0-0,9
|
10-15
|
0,4
|
0,3
|
| 100-150
|
0,22-0,18
|
0,9-0,8
|
15-20
|
0,35
|
0,25
|
| Меднолитейные цехи
|
5-10
|
0,4-0,35
|
2,5-2,0
|
20-30
|
0,3
|
0,2
|
| 10-20
|
0,35-0,25
|
2,0-1,5
|
Насосные
|
до 5
|
1,05
|
-
|
| 20-30
|
0,25-0,2
|
1,5-1,2
|
05-1
|
1
|
-
|
| Термические цехи
|
до 10
|
0,4-0,3
|
1,3-1,2
|
1-2
|
0,6
|
-
|
| 10-30
|
0,3-0,25
|
1,2-1,0
|
2-3
|
0,5
|
-
|
| 30-75
|
0,25-0,2
|
1,0-0,6
|
Компрессорные
|
до 0,5
|
0,7-2,0
|
-
|
| Кузнечные цехи
|
до 10
|
0,4-0,3
|
0,7-0,6
|
0,5-1
|
0,6-0,7
|
-
|
| 10-50
|
0,3-0,25
|
0,6-0,5
|
1-2
|
0,45-0,6
|
-
|
| 50-100
|
0,25-0,15
|
0,5-0,3
|
2-5
|
0,40-0,45
|
-
|
| Механосборочные, механические и слесарные отделения инструментальных цехов
|
5-10
|
0,55-0,45
|
0,4-0,25
|
5-10
|
0,35-0,40
|
-
|
| 10-15
|
0,45-0,4
|
0,25-0,15
|
Газогенераторные
|
5-10
|
0,1
|
1,8
|
| 50-100
|
0,4-0,38
|
0,15-0,12
|
Регенерация масел
|
2-3
|
0,6-0,75
|
0,5-0,6
|
| 100-200
|
0,38-0,35
|
0,12-0,08
|
Склады химикатов, красок и т.п.
|
до 1
|
0,85-0,75
|
-
|
| Деревообделочные цехи
|
до 5
|
0,6-0,55
|
0,6-0,5
|
1-2
|
0,75-0,65
|
-
|
| 5-10
|
0,55-0,45
|
0,5-0,45
|
2-5
|
0,65-0,58
|
0,6-0,45
|
| 10-50
|
0,45-0,4
|
0,45-0,4
|
Склады моделей и главные магазины
|
1-2
|
0,8-0,7
|
-
|
| Цехи металлических конструкций
|
50-100
|
0,38-0,35
|
0,53-0,45
|
2-5
|
0,7-0,6
|
-
|
| 100-150
|
0,35-0,3
|
0,45-0,35
|
5-10
|
0,6-0,45
|
-
|
| Цехи покрытий (гальванических и др.)
|
до 2
|
0,65-0,6
|
5-4
|
Бытовые и административно-вспомогательные помещения
|
0,5-1
|
0,60-0,45
|
-
|
| 2-5
|
0,6-0,55
|
4-3
|
1-2
|
0,45-0,4
|
-
|
| 5-10
|
0,55-0,45
|
3-2
|
2-5
|
0,40-0,33
|
0,15-0,12
|
| Ремонтные цехи
|
5-10
|
0,60-0,50
|
0,2-0,15
|
5-10
|
0,33-0,30
|
0,12-0,11
|
| 10-20
|
0,50-0,45
|
0,15-0,1
|
10-20
|
0,30-0,25
|
0,11-0,10
|
| Паровозное депо
|
до 5
|
0,70-0,65
|
0,4-0,3
|
Проходные
|
до 0,5
|
1,3-1,2
|
-
|
| 5-10
|
0,65-0,60
|
0,3-0,25
|
0,5-2
|
1,2-0,7
|
-
|
| Котельные цехи
|
100-250
|
0,25
|
0,6
|
2-5
|
0,7-0,55
|
0,15-0,10
|
| Котельные (отопительные и паровые)
|
2-5
|
0,1
|
0,3-0,5
|
Казармы и помещения ВОХР
|
5-10
|
0,38-0,33
|
-
|
| 5-10
|
0,1
|
0,3-0,5
|
10-15
|
0,33-0,31
|
-
|
| 10-20
|
0,08
|
0,2-0,4
|
| Гостиницы
|
До 5
|
0,43
|
0,09
|
Поликлиники и диспансеры
|
До 5
|
0,40
|
-
|
| 5,01 –10
|
0,38
|
0,08
|
5,01 –10
|
0,36
|
0,25
|
| 10,01 –15
|
0,45
|
0,07
|
10,01 –15
|
0,32
|
0,23
|
| Более 15
|
0,32
|
0,18
|
Более 15
|
0,30
|
0,22
|
Таблица 1.4
Климатические параметры холодного периода года для населенных пунктов,
расположенных на территории Ямало-Ненецкого автономного округа
| Населенный пункт
|
Продолжительность, сут. и средняя температура воздуха, °С, периода со средней суточной температурой воздуха ≤ 8 °С
|
Темпера-тура воздуха наиболее холодной пятидневки, °С, обеспечен-ностью 0,92
|
Средняя скорость ветра, м/с, за период со средней суточной температу-рой воздуха ≤ 8 °С
|
| Продолжительность
|
средняя температура
|
| Жилые, школьные и др. общественные, кроме перечисленных в графе 3
|
Поликлиник и лечебных учреждений, домов интернатов, дошкольных учреждений
|
Жилые, школьные и др. общественные, кроме перечисленных в графе 6
|
Поликлиник и лечебных учреждений, домов интернатов, дошкольных учреждений
|
| 1
|
2
|
3
|
5
|
6
|
7
|
8
|
| г. Губкинский
|
278
|
294
|
-12,2
|
-11,0
|
-46
|
| г. Лабытнанги
|
292
|
313
|
-11,4
|
-10,0
|
-42
|
5,1
|
| г. Муравленко
|
278
|
294
|
-12,2
|
-11,0
|
-46
|
| г. Ноябрьск
|
278
|
294
|
-12,2
|
-11,0
|
-46
|
| г. Новый Уренгой
|
286
|
304
|
-13,1
|
-11,8
|
-46
|
-
|
| г. Салехард
|
292
|
313
|
-11,4
|
-10,0
|
-42
|
5,1
|
| Красноселькупский район
|
| п. Красноселькуп
|
283
|
299
|
-13,4
|
-12,1
|
-47
|
| п. Сидоровск
|
287
|
303
|
-14,0
|
-12,8
|
-48
|
3,7
|
| п. Толька
|
272
|
289
|
-12,6
|
-11,3
|
-46
|
2,6
|
| г. Надым и Надымский район
|
| г. Надым
|
283
|
302
|
-11,6
|
-10,4
|
-44
|
-
|
| п. Ныда
|
291
|
309
|
-12,3
|
-11,0
|
-42
|
5,1
|
| Приуральский район
|
| п. Аксарка
|
292
|
313
|
-11,4
|
-10,0
|
-42
|
| п. Полуй
|
285
|
304
|
-11,3
|
-10,1
|
-44
|
3,0
|
| Пуровский район
|
| п. Тарко-Сале
|
278
|
294
|
-12,2
|
-11,0
|
-46
|
3,7
|
| п. Уренгой
|
286
|
304
|
-13,1
|
-11,8
|
-46
|
3,6
|
| Тазовский район
|
| п. Тазовский
|
299
|
315
|
-13,7
|
-12,6
|
-46
|
6,6
|
| п. Гыда
|
324
|
365
|
-13,8
|
-11,2
|
-45
|
6,6
|
| п. Антипаюта
|
308
|
326
|
-13,0
|
-44
|
5,7
|
| п. Тадибе-Яха
|
-
|
-
|
-45
|
6,5
|
| Шурышкарский район
|
| с. Мужи
|
276
|
294
|
-10,3
|
-9,1
|
-43
|
4,1
|
| п. Питляр
|
279
|
297
|
-10,8
|
-9,6
|
-43
|
3,9
|
| Ямальский район
|
| п. Мыс Каменный
|
313
|
332
|
-12,0
|
-43
|
7,0
|
| п. Новый Порт
|
302
|
324
|
-12,6
|
-11,2
|
-43
|
6,4
|
| п. Салемал
|
288
|
305
|
-11,3
|
-41
|
5,0
|
| п. Сеяха
|
365
|
365
|
-9,8
|
-9,8
|
-42
|
7,8
|
| п. Тамбей
|
365
|
365
|
-10,6
|
-10,6
|
-42
|
| п. Яр-Сале
|
292
|
310
|
-12,1
|
-10,9
|
-42
|
5,2
|
Примечание: в случае отсутствия в таблицах данных для района значения климатических параметров следует принимать равными значений климатических параметров ближайшего к нему пункта, приведенного в таблице и расположенного в местности с аналогичными условиями (далее пункта от района строительства – не более чем на 50 км; отсутствие крупного водоема в радиусе 5 км вокруг пункта и места строительства или расположение пункта и места строительства на одинаковом удалении от нег; разность отметок высот пункта и места строительства – не более 100).
Таблица 1.5
Средняя месячная и годовая температура воздуха населенных пунктов,
расположенных на территории Ямало-Ненецкого автономного округа, °С
| Населенный пункт
|
I
|
II
|
III
|
IV
|
V
|
VI
|
VII
|
VIII
|
IX
|
X
|
XI
|
XII
|
Год
|
| 1
|
2
|
3
|
4
|
5
|
6
|
7
|
8
|
9
|
10
|
11
|
12
|
13
|
14
|
| г. Н.Уренгой
|
-26,4
|
-26,4
|
-19,2
|
-10,3
|
-2,6
|
8,4
|
15,4
|
11,3
|
5,2
|
-6,3
|
-18,2
|
-24,0
|
-7,8
|
| г. Салехард
|
-24,5
|
-23,4
|
-18,6
|
-10,2
|
-1,9
|
7,3
|
13,3
|
10,9
|
4,9
|
-4,6
|
-15,6
|
-21,5
|
-7,0
|
| г. Надым и Надымский район
|
| г. Надым
|
-24,5
|
-24,0
|
-16,8
|
-8,8
|
-1,0
|
8,8
|
15,5
|
11,4
|
5,6
|
-5,4
|
-16,1
|
-21,9
|
-6,4
|
| п. Ныда
|
-24,6
|
-25,3
|
-19,4
|
-11,0
|
-3,6
|
5,8
|
13,9
|
10,8
|
5,2
|
-5,1
|
-16,3
|
-21,6
|
-7,6
|
| Тазовский район
|
| п. Тазовский
|
-26,7
|
-25,8
|
-22,1
|
-13,2
|
-4,9
|
5,6
|
14,0
|
10,6
|
4,5
|
-6,8
|
-18,6
|
-23,7
|
-9,1
|
| п. Гыда
|
-27,6
|
-27,3
|
-25,8
|
-17,4
|
-7,8
|
2,0
|
9,6
|
8,2
|
2,5
|
-7,6
|
-19,0
|
-24,8
|
-11,2
|
| п. Антипаюта
|
-29,0
|
-28,5
|
-23,3
|
-16,3
|
-7,3
|
2,8
|
11,8
|
9,4
|
3,7
|
-8,3
|
-18,6
|
-23,6
|
-10,6
|
| п. Тадибе-Яха
|
-26,7
|
-25,7
|
-24,4
|
-16,7
|
-8,4
|
0,6
|
6,3
|
7,6
|
3,4
|
-7,0
|
-16,2
|
-22,9
|
-10,8
|
| Ямальский район
|
| п. Мыс Каменный
|
-24,4
|
-25
|
-22,8
|
-14,9
|
-6,9
|
0,7
|
8,1
|
10,1
|
5
|
-5,5
|
-15,7
|
-21,3
|
-9,4
|
| п.Новый Порт
|
-24,8
|
-24,1
|
-21,9
|
-13,7
|
-5,3
|
2,9
|
11,0
|
10,0
|
4,5
|
-4,9
|
-16,8
|
-21,9
|
-8,8
|
| п. Яр-Сале
|
-24,0
|
-23,2
|
-20,4
|
-11,6
|
-3,5
|
6,1
|
13,2
|
10,7
|
5,0
|
-4,4
|
-16,6
|
-21,6
|
-7,5
|
| п. Салемал
|
-23,2
|
-22,0
|
-19,6
|
-10,9
|
-2,9
|
6,7
|
13,0
|
10,9
|
5,2
|
-4,2
|
-15,5
|
-20,8
|
-6,9
|
| п. Сеяха
|
-22,9
|
-24,7
|
-23,7
|
-15,9
|
-7,2
|
0,7
|
7,2
|
7,8
|
3,3
|
-5,4
|
-16,2
|
-21
|
-9,8
|
| Красноселькупский район
|
| п.Сидоровск
|
-27,1
|
-25,0
|
-20,0
|
-12,4
|
-3,7
|
8,0
|
14,6
|
11,2
|
5,0
|
-6,4
|
-20,0
|
-26,1
|
-8,5
|
| п. Толька
|
-25,2
|
-23,0
|
-16,2
|
-7,3
|
0,5
|
10,6
|
16,0
|
12,5
|
6,2
|
-4,4
|
-18,1
|
-25,0
|
-6,1
|
| Приуральский район
|
| п. Полуй
|
-23,6
|
-22,0
|
-17,3
|
-8,2
|
-1,0
|
8,3
|
13,8
|
11,2
|
5,3
|
-4,4
|
-16,2
|
-21,2
|
-6,3
|
| Пуровский район
|
| п. Тарко-Сале
|
-25,1
|
-24,4
|
-18,0
|
-8,1
|
-0,7
|
9,8
|
15,8
|
12,0
|
6,0
|
-5,0
|
-16,8
|
-23,1
|
-6,5
|
| п. Уренгой
|
-25,7
|
-24,6
|
-20,0
|
-11,0
|
-2,9
|
8,0
|
14,5
|
11,6
|
5,2
|
-5,5
|
-18,5
|
-25,0
|
-7,8
|
| Шурышкарский район
|
| п. Мужи
|
-22,4
|
-20,8
|
-15,8
|
-6,8
|
0,2
|
9,2
|
14,4
|
12,0
|
5,8
|
-3,2
|
-13,9
|
-19,9
|
-5,1
|
| п. Питляр
|
-23,2
|
-21,4
|
-16,7
|
-7,4
|
-0,3
|
8,9
|
14,4
|
11,9
|
5,9
|
-3,4
|
-14,9
|
-20,8
|
-5,6
|
Таблица 1.6
Расчетная температура внутреннего воздуха в жилых, бытовых,
лечебных и вспомогательных помещениях
| Наименование помещения
|
tв, °С
|
| 1
|
2
|
| Жилые здания
|
| Жилая комната квартиры, спальная комната общежития, номер гостиницы, умывальня общая, гардероб, комната для очистки одежды и обуви, вестибюль, гостиная, комната персонала, дежурная, парикмахерская, столовая
|
+18
|
| Кухня квартиры и общежития, кубовая
|
+15
|
| Ванная-душевая, объединенный санитарный узел
|
+25
|
| Лестничная клетка, кладовая общежития, бельевая и вещевая, уборная
|
+16
|
| Лечебно-профилактические учреждения
|
| Палата для взрослых, для больных с гнилостными выделениями, боксы, полубоксы. Процедурные(манипуляционные), кабинет для просвечивания и рентгенотерапии, кабинет физиотерапии (электросветотеплолечебный кабинет), комната для принятия пищи и дневного пребывания, ожидальня, уборная, врачебный кабинет, ассистентская, аптека, комната для дежурного персонала и временного пребывания больных
|
+20
|
| Палата для детей, перевязочная (гнойная чистая), гипсовая, предоперационная, предродовая, кабинет механотерапии и массажа
|
+22
|
| Палата для недоношенных детей, ванная, душевые и грязелечебные залы, физиотерапевтическое отделение, операционная и родовая
|
+25
|
| Санитарный пропуск для больных:
|
| комната для раздевания и одевания
|
+22
|
| ванная-душевая
|
+25
|
| 1
|
2
|
| Кабинет лечебной физкультуры, комната для бактериологических, серологических, химических исследований, автоклавная, стерилизационная и помещение хранения перевязочных материалов
|
+18
|
| Секционная, буфет
|
+16
|
| Детские сады и ясли
|
| Детская комната, уборная, умывальня, приемная, комната для заболевших детей, комната для кормления грудных детей, внутренняя лестничная клетка, фильтры
|
+20
|
| Комната для медицинского персонала, горшечная
|
+22
|
| Раздевальня, комната для административно-хозяйственного персонала, прачечная, столовая, буфет
|
+18
|
| Кухня
|
+15
|
| Комната хранения чистого белья
|
+16
|
| Душевая, ванная и раздевальня при них
|
+25
|
| Учебные заведения
|
| Классное помещение, аудитории, рекреационное помещение, актовый зал, буфет, кубовая, вестибюль и гардероб, коридор, мастерская, курительная, химическая лаборатория, живой уголок, прочие лаборатории
|
+16
|
| Гимнастический зал
|
+15
|
| Библиотека-книгохранилище, канцелярия, кабинет директора или заведующего, учительская, уборная, умывальня, архив, музей, комната отдыха, комната общественных организаций, чертежная, сторожка, швейцарская
|
+18
|
| Кабинет врача
|
+20
|
| Раздевальня при душевых
|
+22
|
| Душевая
|
+25
|
| Бани
|
| Вестибюль с гардеробом и кассой, ожидальня, парикмахерская, административные помещения
|
+18
|
| Раздевальня, дешевая и ванная кабина
|
+25
|
| Мыльная комната (общая и душевая) парильня
|
+30
|
| Помещение для баков
|
+5
|
| Дезинфекционное отделение (чистая и грязная половины)
|
+15
|
| Уборная
|
+20
|
| Прачечные
|
| Помещения для приема грязного белья, помещение для сортировки и разметки грязного белья, сушильно-гладильный цех, помещение для разборки чистого белья, стиральный цех с установкой для замочки и бучения белья, кладовая для хранения чистого белья, уборная
|
+15
|
| Помещения для баков
|
+5
|
| Кинотеатры, клубы, театры
|
| Зрительный зал, фойе клуба и театра, буфет, касса, декоративная мастерская, зал для собраний, комната для кружков, костюмерная, бутафорская мастерская, музей, выставка
|
+16
|
| Зрительный зал и фойе кинотеатра
|
+14
|
| Кинопроекционная:
|
| с дуговыми лампами
|
+14
|
| с лампой накаливания
|
+16
|
| вестибюль
|
+12
|
| Курительная, кислотная, уборная, аккумуляторная, физкультурный зал
|
+15
|
| Плакатная мастерская, электросиловая, перемоточная, административное помещение, вестибюль с гардеробом, гардероб, комната артистов, сцена
|
+18
|
| Детская комната
|
+20
|
| Магазины
|
| Торговый зал продовольственного магазина
|
+12
|
| То же, мясо-рыбного магазина
|
+10
|
| То же, промтовары
|
+15
|
| Помещение для обработки промышленных товаров, административно-бытовое помещение
|
+18
|
| Кладовые неохлаждаемые:
|
| для хлеба, бакалейных продуктов, г астрономических продуктов и прочих продуктов, разрубочная мяса,
|
+10
|
| для рыбных и овощных продуктов
|
+8
|
| промтоваров
|
+12
|
| Кладовые охлаждаемые:
|
| для мясных продуктов
|
+0
|
| 1
|
2
|
| молочных и гастрономических продуктов
|
+2
|
| рыбных продуктов
|
-2
|
| овощей и фруктов
|
+4
|
| Предприятия общественного питания
|
| Торговый зал (включая буфет), вестибюль, гардероб, уборная, мясная, рыбная, холодная и овощная заготовочные, раздаточная, помещение для резки хлеба, помещение для выдачи готовой продукции, инвентарная, бельевая
|
+16
|
| Умывальня, помещения для мойки столовой и кухонной посуды
|
+18
|
| Кухня и кондитерская, кладовая овощей
|
+5
|
| Кладовая сухих продуктов
|
+12
|
| Бытовые помещения
|
| Гардероб, умывальня
|
+16
|
| Душевая
|
+25
|
| Раздевальня при душевой, помещение личной гигиены женщин
|
+14
|
| Курительная, уборная
|
+14
|
| Помещение для кормления грудных детей
|
+20
|
| Помещение для обогревания рабочих
|
+22
|
| Административные и конторские помещения
|
| Общие рабочие комнаты, кабинеты, конструкторские бюро, библиотека, помещения общественных организаций, технический архив, радиоузел и телефонная станция
|
+18
|
| Зал совещаний, светокопировальная мастерская
|
+16
|
| Гаражи
|
| Диспетчерская комната водителей
|
+18
|
| Помещение для хранения автомобилей (без ремонта), кузнечно-рессорное (тепловое) отделение
|
+5
|
| Помещение для хранения автомобилей (с ремонтом), помещение для регенерации масла
|
+15
|
| Помещение для обслуживания автомобилей (профилакторий), помещений для ремонта (разборочно-сборочный цех), помещение для испытания двигателей (испытательная станция), слесарно-механическое отделение, сварочное отделение, радиаторное помещение, электротехническое отделение, карбюраторное отделение, столярное отделение, жестяницкое отделение. Агрегатное отделение, шиномонтажное отделение, вулканизационная, отдел главного механика
|
+16
|
| Помещение аккумуляторного отделения:
|
| для разборки и ремонта аккумуляторов, кислотная, зарядная
|
+16
|
| склад готовых аккумуляторов
|
+10
|
| Малярное отделение
|
+20
|
| Компрессорная, склад масла, складское помещение
|
+10
|
| Склад резины
|
+6
|
| Тепловые электростанции
|
| Машинный зал, котельная, масляное хозяйство, помещение водоочистки
|
+16
|
| Зольное помещение, дымососная, помещение дробления топлива
|
+14
|
| Надбункерная галерея, транспортерная галерея топливоподачи (при наличии отопления), помещение для приготовления угольной пыли, помещение для пересылки топлива и скреперных лебедок топливоподачи (при наличии отопления), кабельный этаж, трансформаторная башня
|
+10
|
| Мазутонасосная, помещение синхронных компенсаторов и моторов-генераторов, аккумуляторная, кислотная, золо-шлакоотстойник, здание электрофильтров
|
+15
|
| Помещение щита управления, помещение распределительного устройства электрофильтра
|
+18
|
| Пожарное депо
|
| Гараж (стоянка машин), аккумуляторная
|
+10
|
| Помещение для дежурного персонала, аппаратная и кислородонаполнительная
|
+16
|
| Сигнализационная
|
+18
|
| Помещение для подогрева пищи и кипячения воды
|
+15
|
| Помещение для сушки рукавов и спецодежды
|
+5 (дежурное отопление)
|
Таблица 1.7
Коэффициенты теплопередачи нагревательных приборов конвективно-излучающего действия
| Тип нагревательных приборов
|
К, ккал/(м2
.ч×о
С), при температурном напоре прибора, °С·
|
| 50-60
|
60-70
|
70-80
|
80-100
|
| Радиаторы чугунные средние
|
7,0
|
7,5
|
8,0
|
8,5
|
| Радиаторы чугунные высокие
|
6,2
|
6,4
|
6,6
|
6,8
|
| Радиаторы чугунные панельные
|
8,5
|
9,0
|
9,5
|
10,0
|
| Радиаторы чугунные листотрубные
|
5,5
|
6,0
|
6,5
|
7,0
|
| Трубы чугунные ребристые:
|
| в один ряд
|
4,5
|
4,6
|
4,8
|
4,9
|
| в два ряда
|
4,1
|
4,2
|
4,3
|
4,4
|
| в три ряда и более
|
3,6
|
3,7
|
3,8
|
3,9
|
| Регистры из стальных труб:
|
| в одну нитку, Dу £ 40 мм
|
11,5
|
12,0
|
12,5
|
12,5
|
| то же, Dу
= 50¸100 мм
|
10,0
|
10,5
|
11,0
|
11,5
|
| то же, Dу
³ 125 мм
|
10,0
|
10,5
|
10,5
|
10,5
|
| Регистры из стальных труб в две и более ниток,
Dу
£ 40 мм
|
10
|
11
|
11,5
|
11,5
|
| то же Dу
³ 50 мм
|
8,0
|
9,0
|
9,0
|
9,0
|
| Конвекторы плинтусные (типа КП, «Прогресс», «Аккорд»и др.)
|
4,1
|
4,2
|
4,3
|
4,4
|
| Конвекторы с кожухом типа «Комфорт» и др.
|
4,0
|
5,0
|
5,6
|
6,7
|
| Конвекторы чугунные (типа ЛТ-10 и др.)
|
6,5
|
6,7
|
7,0
|
7,3
|
| Биметаллический прибор «Коралл»
|
5,1
|
5,6
|
6,2
|
7,4
|
Таблица 1.8
| № п/п
|
Потребитель
|
Единицы измерения
|
Норма расхода горячей воды при температуре
55 °С, л/сут.
|
| 1
|
2
|
3
|
4
|
| 1
|
Жилые дома квартирного типа:
|
| с центральным горячим водоснабжением, оборудованные умывальниками, мойками и душами
|
1 житель
|
85
|
| с сидячими ваннами, оборудованными душами
|
90
|
| с ваннами длиной 1500-1700 мм, оборудованные душами
|
105
|
| высотой выше 12 этажей с централизованным горячим водоснабжением и повышенными требованиями к их благоустройству
|
115
|
| 2
|
Общежития:
|
1 житель
|
| с общими душевыми
|
50
|
| с душами при всех жилых комнатах
|
60
|
| с общими кухнями и блоками душевых на этажах при жилых комнатах в каждой секции
|
80
|
| 3
|
Гостиницы, пансионаты и мотели с общими ваннами и душами
|
70
|
| 4
|
Гостиницы и пансионаты с душами во всех отдельных номерах
|
140
|
| 5
|
Гостиницы с ваннами в отдельных номерах, % общего числа номеров:
|
| до 25
|
100
|
| 75
|
150
|
| 100
|
180
|
| 6
|
Больницы:
|
1 койка
|
| с общими ваннами и душевыми
|
75
|
| с санитарными узлами, приближенными к палатам
|
90
|
| инфекционные
|
110
|
| 7
|
Санатории и дома отдыха:
|
1 койка
|
| с ваннами при всех жилых комнатах
|
120
|
| с душами при всех жилых комнатах
|
75
|
| 8
|
Поликлиники и амбулатории
|
1 больной в смену
|
5,2
|
| 9
|
Детские ясли-сады:
|
1 ребенок
|
| с дневным пребыванием детей
|
| со столовыми, работающими на полуфабрикатах
|
11,5
|
| со столовыми, работающими на сырье, и прачечными, оборудованными автоматическими стиральными машинами
|
25
|
| с круглосуточным пребыванием детей
|
| со столовыми, работающими на полуфабрикатах
|
21,4
|
| со столовыми, работающими на сырье, и прачечными, оборудованными автоматическими стиральными машинами
|
28,5
|
| 10
|
Пионерские лагеря (в том числе круглогодичного действия):
|
1 место
|
| со столовыми, работающими на сырье, и прачечными, оборудованными автоматическими стиральными машинами
|
40
|
| со столовыми, работающими на полуфабрикатах, и стиркой белья в централизованных прачечных
|
30
|
| 11
|
Прачечные:
|
1кг сухого белья
|
| механизированные
|
25
|
| немеханизированные
|
15
|
| 12
|
Административные здания
|
1 работающий
|
5
|
| 13
|
Учебные заведения (в том числе высшие и средние специальные) с душевыми при гимнастических залах и буфетами, реализующими готовую продукцию
|
1 учащийся и
1 преподаватель
|
6
|
| 14
|
Лаборатории высших и средних специальных заведений
|
1 прибор в смену
|
112
|
| 15
|
Общеобразовательные школы с душевыми при гимнастических залах и столовыми, работающими:
|
1 учащийся и
1 преподаватель
|
| на полуфабрикатах
|
3
|
| то же, с продленным днем
|
3,4
|
| 16
|
ПТУ с душевыми при гимнастических залах и столовыми, работающими на полуфабрикатах
|
1 учащийся и 1 преподаватель
|
8
|
| 17
|
Школы –интернаты с помещениями:
|
1 место
|
| учебными (с душевыми при гимнастических залах)
|
2,7
|
| спальными
|
30
|
| 18
|
НИИ и лаборатории:
|
1 работающий
|
| химического профиля
|
60
|
| биологического профиля
|
55
|
| физического профиля
|
15
|
| естественных наук
|
5
|
| 19
|
Аптеки:
|
1 работающий
|
| торговый зал и подсобное помещение
|
5
|
| лаборатория приготовления лекарств
|
55
|
| 20
|
Предприятия общественного питания для приготовления пищи:
|
1 условное блюдо
|
| реализуемой в обеденном зале
|
12,7
|
| продаваемой на дом
|
11,2
|
| 21
|
Магазины:
|
1 рабочее место в смену (20 м2
торгового зала)
|
| продовольственные
|
1 работающий в смену
|
65
|
| промтоварные
|
5
|
| 22
|
Парикмахерские
|
1 рабочее место в смену
|
33
|
| 23
|
Кинотеатры
|
1 место
|
1,5
|
| 24
|
Клубы
|
1 место
|
2,6
|
| 25
|
Театры:
|
| для зрителей
|
1 место
|
5
|
| для артистов
|
1 артист
|
25
|
| 26
|
Стадионы и спортзалы:
|
| для зрителей
|
1 место
|
1
|
| для физкультурников (с учетом приема душа)
|
1 физкультурник
|
30
|
| для спортсменов (с учетом приема душа)
|
1 спортсмен
|
60
|
| 27
|
Плавательные бассейны:
|
| для зрителей
|
1 место
|
1
|
| для спортсменов (с учетом приема душа)
|
1 спортсмен
|
60
|
| 28
|
Бани:
|
1 посетитель
|
| мытье в мыльной с тазами на скамьях и ополаскиванием в душе
|
120
|
| то же, с применением оздоровительных процедур и ополаскиванием в душе
|
190
|
| душевая кабина
|
240
|
| ванная кабина
|
360
|
| 29
|
Душевые в бытовых помещениях в промышленных предприятий
|
1 душевая сетка в смену
|
270
|
| 30
|
Цехи с тепловыделениями свыше 84 кДж на 1 м3
/ч
|
1 человек в смену
|
24
|
| 31
|
Остальные цехи
|
11
|
Примечание:
1. Нормы расхода воды установлены для основных потребителей и включают все дополнительные расходы (обслуживающим персоналом, душевыми для обслуживающего персонала, посетителями, на уборку помещений и т.п.).
Потребление воды в групповых душевых и на ножные ванны в бытовых зданиях и помещениях производственных предприятий, на стирку белья в прачечных и приготовления пищи на предприятиях общественного питания, также на водолечебные процедуры в водолечебницах, входящих в состав больниц, санаториев и поликлиник, надлежит учитывать дополнительно. Настоящие требования не распространяются на потребителей, для которых установлены нормы водопотребления, включающие расход воды на указанные нужды.
2. Расход воды на производственные нужды, не указанный в настоящей таблице, следует принимать в соответствии с технологическими заданиями и указаниями по строительному проектированию предприятий отдельных отраслей промышленности.
3. Для водопотребителей гражданских зданий, сооружений и помещений, не указанных в настоящей таблице, нормы расхода воды следует принимать согласно данной таблице для потребителей, аналогичных по характеру водопотребления.
4. При неавтоматизированных стиральных машинах в прачечных и при стирке белья со специфическими загрязнениями норму расхода горячей воды на стирку 1 кг сухого белья допускается увеличивать до 30%.
5. Для предприятий общественного питания и других потребителей горячей воды, где по условиям технологии требуется дополнительный подогрев воды, нормы расхода горячей воды следует принимать согласно настоящей таблице.
6. При проектировании непосредственно водоразбора из трубопроводов тепловой сети на нужды горячего водоснабжения среднюю температуру горячей воды в водоразборных стояках надлежит поддерживать равной 65˚С, а нормы расхода горячей воды принимать согласно таблице с коэффициентом 0,85, при этом общее количество потребляемой воды не изменять.
7. Нормы расхода горячей воды для предприятий общественного питания (п.20) приведены в соответствии с письмом Госстроя СССР № АИ-2358-8 от 06.05.87.
8. Расход воды прибором определяется в соответствии с СниП 2.04.01-85 «Внутренний водопровод и канализация зданий».
Таблица 1.9
| Продолжительность работы системы горячего водоснабжения в неделю, сут.
|
Поправочный коэффициент к расходам тепловой энергии при продолжительности работы системы в сутки, ч
|
| 6-10
|
11-15
|
16-24
|
| 1
|
2
|
3
|
4
|
| ЖИЛЫЕ ДОМА КВАРТИРНОГО ТИПА
|
| С умывальниками, мойками и душами
|
| 4
|
0,65
|
0,74
|
0,79
|
| 5
|
0,69
|
0,80
|
0,86
|
| 6
|
0,72
|
0,85
|
0,93
|
| 7
|
0,76
|
0,91
|
1,0
|
| С сидящими ваннами и душами
|
| 4
|
0,72
|
0,79
|
0,83
|
| 5
|
0,75
|
0,84
|
0,89
|
| 6
|
0,77
|
0,88
|
0,94
|
| 7
|
0,80
|
0,93
|
1,0
|
| С ваннами длиной 1500 – 1700 мм и душами
|
| 4
|
0,76
|
0,82
|
0,85
|
| 5
|
0,78
|
0,80
|
0,90
|
| 6
|
0,80
|
0,90
|
0,95
|
| 7
|
0,83
|
0,94
|
1,0
|
| При высоте здания более 12 этажей
|
| 4
|
0,80
|
0,86
|
0,89
|
| 5
|
0,82
|
0,90
|
0,95
|
| 6
|
0,84
|
0,95
|
1,0
|
| 7
|
0,87
|
0,99
|
1,0
|
| ОБЩЕЖИТИЯ
|
| С общими душевыми
|
| 4
|
0,68
|
0,76
|
0,81
|
| 5
|
0,71
|
0,81
|
0,87
|
| 6
|
0,74
|
0,86
|
0,94
|
| 7
|
0,78
|
0,92
|
1,0
|
| С общими душевыми, прачечными, столовыми
|
| 4
|
0,65
|
0,74
|
0,79
|
| 5
|
0,68
|
0,80
|
0,86
|
| 6
|
0,72
|
0,85
|
0,93
|
| 7
|
0,75
|
0,91
|
1,0
|
| ГОСТИНИЦЫ, МОТЕЛИ, ПАНСИОНАТЫ
|
| С общими ваннами и душами
|
| 4
|
0,66
|
0,69
|
0,74
|
| 5
|
0,71
|
0,76
|
0,81
|
| 6
|
0,77
|
0,82
|
0,91
|
| 7
|
0,83
|
0,89
|
1,0
|
| С ваннами и душами во всех комнатах
|
| 4
|
0,53
|
0,53
|
0,54
|
| 5
|
0,68
|
0,69
|
0,69
|
| 6
|
0,84
|
0,84
|
0,85
|
| 7
|
0,99
|
1,0
|
1,0
|
| С ваннами и душами до 25% общего числа номеров
|
| 4
|
0,63
|
0,65
|
0,69
|
| 5
|
0,70
|
0,74
|
0,78
|
| 6
|
0,79
|
0,825
|
0,895
|
| 7
|
0,87
|
0,92
|
1,0
|
| 1
|
2
|
3
|
4
|
| С ваннами и душами до 75% общего числа номеров
|
| 4
|
0,56
|
0,57
|
0,59
|
| 5
|
0,68
|
0,71
|
0,72
|
| 6
|
0,82
|
0,835
|
0,835
|
| 7
|
0,95
|
0,97
|
1,0
|
| САНАТОРИИ ОБЩЕГО ТИПА, ДОМА ОТДЫХА, БОЛЬНИЦЫ
|
| С общими ваннами и душами
|
| 4
|
0,75
|
0,81
|
0,84
|
| 5
|
0,77
|
0,94
|
1,0
|
| 6
|
0,81
|
0,90
|
0,95
|
| 7
|
0,81
|
0,94
|
1,0
|
| С ваннами при всех жилых комнатах
|
| 4
|
0,57
|
0,63
|
0,66
|
| 5
|
0,66
|
0,73
|
0,77
|
| 6
|
0,75
|
0,84
|
0,89
|
| 7
|
0,84
|
0,94
|
1,0
|
| ШКОЛА – ИНТЕРНАТЫ
|
| 4
|
0,65
|
0,73
|
0,77
|
| 5
|
0,69
|
0,79
|
0,85
|
| 6
|
0,74
|
0,86
|
0,93
|
| 7
|
0,79
|
0,92
|
1,0
|
| ДЕТСКИЕ ЯСЛИ-САДЫ
|
| С дневным пребыванием детей
|
| 4
|
0,59
|
0,66
|
0,68
|
| 5
|
0,68
|
0,77
|
0,79
|
| 6
|
0,76
|
0,87
|
0,9
|
| 7
|
0,85
|
0,97
|
1,0
|
| С круглосуточным пребыванием детей
|
| 4
|
0,51
|
0,62
|
0,67
|
| 5
|
0,59
|
0,71
|
0,78
|
| 6
|
0,65
|
0,8
|
0,9
|
| 7
|
0,72
|
0,9
|
1,0
|
Таблица 1.10
| Место и способ прокладки
|
Тепловые потери 1м трубопровода, Вт (ккал/ч), при диаметрах (условного прохода), мм
|
| 15
|
20
|
25
|
32
|
40
|
50
|
70
|
| 1
|
2
|
3
|
4
|
5
|
6
|
7
|
8
|
| Главные подающие стояки при прокладке их в штрабе или коммуникационной шахте, изолированные
|
19,8(17,0)
25,4(21,8)
|
22,2(19,1)
28,5(24,5)
|
27,2(23,4)
34,9(30,0)
|
| Водозаборные стояки без полотенцесушителей изолированные при прокладке в шахте сантехнической кабины, борозде, или коммуникационной шахте
|
11,3(9,7)
14,9(12,8)
|
12,6(10,8)
16,5(14,2)
|
13,8(11,9)
18,3(15,7)
|
15,7(13,5)
20,7(17,8)
|
| То же с полотенцесуши-телями
|
20,7(17,8)
27,2(23,4)
|
24,1(20,7)
31,7(27,3)
|
29,4(25,3)
38,7(33,3)
|
| Водоразборные стояки неизолированные при прокладке их в шахте сантехнической кабины, борозде, или коммуни- кационной шахте или открыто в ванной комнате, кухне
|
24,1(20,7)
31,7(27,3)
|
29,7(25,5)
39,1(35,6)
|
35,1(30,2)
46,3(39,8)
|
44,0(37,8)
57,9(49,8)
|
| Изолированные распре-делительные трубопроводы и подключающие участки стояков (подающие): в подвале и на лестничной площадке
|
15,7(13,5)
19,3(16,6)
|
17,4(15,0)
21,4(13,4)
|
19,2(16,5)
23,6(20,3)
|
21,9(18,8)
26,9(23,1)
|
24,2(20,8)
29,8(25,6)
|
27,2(23,4)
33,5(26,8)
|
33,3(26,8)
40,9(36,2)
|
| на холодном чердаке
|
19,3(16,6)
22,9(19,7)
|
21,5(18,5)
51,4(44,2)
|
23,6(20,3)
28,0(24,1)
|
27,0(23,2)
32,0(27,5)
|
29,8(25,6)
35,4(30,4)
|
33,5(28,8)
39,8(34,2)
|
40,9(35,2)
48,6(41,8)
|
| на теплом чердаке
|
13,5(11,6)
17,1(14,7)
|
15,1(13,0)
19,2(16,5)
|
16,6(14,3)
21,1(18,1)
|
19,6(16,3)
24,0(20,6)
|
20,8(17,9)
26,4(22,7)
|
23,5(20,2)
28,8(25,6)
|
28,6(24,6)
36,3(31,2)
|
| Циркуляционные трубо-провода: в подвале изолированные
|
12,7(10,9)
16,3(14,0)
|
14,1(12,1)
18,1(15,6)
|
15,5(13,3)
19,9(17,1)
|
17,6(15,1)
22,6(19,4)
|
19,4(16,7)
25,0(21,5)
|
21,9(18,8)
28,1(24,2)
|
26,7(23,0)
34,4(29,6)
|
| на теплом чердаке изолированные
|
10,5(9,0)
24,5(21,1)
|
11,6(10,0)
15,6(13,4)
|
12,8(11,0)
17,2(14,8)
|
14,7(12,6)
19,7(16,9)
|
16,0(13,8)
21,6(21,0)
|
18,1(15,6)
24,4(21,0)
|
22,2(19,1)
29,9(25,7)
|
| на холодном чердаке изолированные
|
16,3(14,0)
19,9(17,1)
|
18,1(15,6)
23,2(19,1)
|
19,9(17,1)
24,3(20,9)
|
22,6(19,4)
27,6(23,7)
|
25,0(21,5)
27,6(23,7)
|
28,1(24,2)
34,4(29,6)
|
34,2(29,6)
42,1(36,2)
|
| в помещение квартиры неизолированные
|
23,3(20,0)
31,3(26,9)
|
28,6(24,6)
38,5(33,1)
|
34,0(29,2)
45,7(39,3)
|
42,6(36,6)
57,2(49,2)
|
50,0(43,0)
67,2(57,8)
|
60,5(52,0)
81,3(69,9)
|
83,7(72,0)
112,6(96,8)
|
| на лестничной клетке неизолированные
|
27,3(23,5)
35,4(30,4)
|
33,6(28,9)
43,5(37,4)
|
39,8(34,2)
43,5(37,4)
|
49,2(42,8)
64,4(55,4)
|
58,5(50,3)
75,1(65,1)
|
70,7(60,8)
91,5(78,7)
|
98,3(84,5)
127,2(109,4)
|
| Циркуляционные стояки при прокладке их в штрабе сантехнической кабины или ванной комнате изолированные
|
9,8(8,4)
13,4(11,5)
|
10,9(9,4)
15,0(12,9)
|
12,0(10,3)
16,4(14,1)
|
13,6(11,7)
18,6(16,0)
|
15,0(12,9)
20,6(17,7)
|
17,0(14,6)
23,3(20,0)
|
20,7(17,8)
28,4(24,4)
|
| то же, неизолированные
|
21,6(18,6)
29,7(25,5)
|
26,7(23,0)
36,6(31,5)
|
31,5(27,1)
43,1(31,5)
|
39,5(34,0)
54,2(46,6)
|
46,5(40,0)
63,7(54,8)
|
56,2(48,3)
77,0(66,2)
|
78,2(67,2)
107,1(92,1)
|
Примечание:
в числителе – тепловые потери 1 м трубопровода систем горячего водоснабжения присоединяемых к закрытым системам теплоснабжения, в знаменателе – к открытым системам теплоснабжения.
Таблица 1. 11
| Перепад температур, ˚С
|
Тепловые потери неизолированными трубопроводами, Вт(ккал/ч×м), при условном диаметре, мм
|
| 12
|
20
|
25
|
32
|
40
|
50
|
70
|
80
|
100
|
125
|
150
|
200
|
| 1
|
2
|
3
|
4
|
5
|
6
|
7
|
8
|
9
|
10
|
11
|
12
|
13
|
| 30
|
25,6 (22)
|
32,6 (28)
|
40,7 (35)
|
51,2 (44)
|
55,8 (48)
|
62,8 (54)
|
79,1 (68)
|
93,0 (80)
|
112,8 (97)
|
138,4 (119)
|
166,3 (143)
|
201,2 (173)
|
| 32
|
26,7 (23)
|
34,9 (30)
|
43,0 (37)
|
54,7 (47)
|
58,2 (50)
|
67,5 (58)
|
84,9 (73)
|
98,9 (85)
|
119,8 (103)
|
147,7 (127)
|
176,8 (152)
|
215,2 (185)
|
| 34
|
29,1 (25)
|
37,2 (32)
|
45,4 (39)
|
58,2 (50)
|
61,6 (53)
|
70,9 (61)
|
89,6 (77)
|
105,8 (91)
|
127,9 (110)
|
157,0 (135)
|
188,4 (162)
|
227,9 (196)
|
| 36
|
30,2 (26)
|
38,4 (33)
|
48,8 (42)
|
61,6 (53)
|
65,1 (56)
|
75,6 (65)
|
95,4 (82)
|
110,5 (95)
|
134,9 (116)
|
166,3 (143)
|
198,9 (171)
|
241,9 (208)
|
| 38
|
32,6 (28)
|
40,7 (35)
|
51,2 (44)
|
65,1 (56)
|
69,8 (60)
|
79,1 (68)
|
100,0 (86)
|
118,6 (102)
|
143,0 (123)
|
175,6 (151)
|
210,5 (181)
|
254,7 (219)
|
| 40
|
33,7 (29)
|
43,0 (37)
|
53,5 (46)
|
68,6 (59)
|
73,3 (63)
|
83,7 (72)
|
105,8 (91)
|
124,4 (107)
|
150,0 (129)
|
184,9 (159)
|
221,0 (190)
|
268,7 (231)
|
| 42
|
36,1 (31)
|
45,4 (39)
|
57,0 (49)
|
73,3 (63)
|
77,9 (67)
|
88,4 (76)
|
112,8 (97)
|
132,6 (114)
|
159,3 (137)
|
196,5 (169)
|
234,9 (202)
|
281,4 (242)
|
| 44
|
38,4 (33)
|
48,8 (42)
|
60,5 (52)
|
76,8 (66)
|
82,6 (71)
|
94,2 (81)
|
119,8 (103)
|
140,7 (121)
|
168,6 (145)
|
208,2 (179)
|
248,9 (214)
|
295,4 (254)
|
| 46
|
39,5 (34)
|
51,2 (44)
|
62,8 (54)
|
81,4 (70)
|
87,2 (75)
|
98,9 (85)
|
125,6 (108)
|
147,7 (127)
|
179,1 (154)
|
219,8 (189)
|
262,8 (226)
|
308,2 (265)
|
| 48
|
41,9 (36)
|
53,5 (46)
|
66,3 (57)
|
84,9 (73)
|
91,9 (79)
|
104,7 (90)
|
132,6 (114)
|
155,8 (134)
|
188,4 (162)
|
231,4 (199)
|
276,8 (238)
|
322,2 (277)
|
| 50
|
44,2 (38)
|
55,8 (48)
|
69,8 (60)
|
89,6 (77)
|
96,5 (83)
|
109,3 (94)
|
139,6 (120)
|
162,8 (140)
|
197,7 (170)
|
243,1 (209)
|
290,8 (250)
|
334,9 (288)
|
| 52
|
46,5 (40)
|
59,3 (51)
|
73,3 (63)
|
94,2 (81)
|
101,2 (87)
|
115,1 (99)
|
146,5 (126)
|
171,0 (147)
|
208,2 (179)
|
255,9 (220)
|
305,9 (263)
|
348,9 (300)
|
| 54
|
48,8 (42)
|
61,6 (53)
|
76,8 (66)
|
98,9 (85)
|
105,8 (91)
|
121,0 (104)
|
153,5 (132)
|
180,3 (155)
|
218,6 (188)
|
267,5 (230)
|
321,0 (276)
|
362,9 (312)
|
| 56
|
51,2 (44)
|
65,1 (56)
|
81,4 (70)
|
102,3 (88)
|
110,5 (95)
|
135,6 (108)
|
161,7 (139)
|
188,4 (162)
|
229,1 (197)
|
280,3 (241)
|
336,1 (289)
|
375,6 (323)
|
| 58
|
53,5 (46)
|
67,5 (58)
|
84,9 (73)
|
107,0 (92)
|
115,1 (99)
|
131,4 (113)
|
168,6 (145)
|
197,7 (170)
|
239,6 (206)
|
293,1 (252)
|
351,2 (302)
|
389,6 (335)
|
| 60
|
55,8 (48)
|
70,9 (61)
|
88,4 (76)
|
111,6 (96)
|
121,0 (104)
|
137,2 (113)
|
175,6 (151)
|
205,9 (177)
|
250,0 (215)
|
305,9 (263)
|
366,3 (315)
|
403,6 (347)
|
Примечание:
При значениях перепада температур, отличных от приведенных в таблице, тепловые потери следует определять методом интерполяции.
Таблица 1.12
| Характеристика систем
|
Коэффициент, учитывающий потери тепловой энергии трубопроводами горячего водоснабжения
|
| при наличии наружных сетей горячего водоснабжения у потребителя от ЦТП
|
без наружных сетей горячего водоснабжения у потребителя
|
| 1
|
2
|
3
|
| С изолированными стояками
|
| без полотенцесушителей
|
0,15
|
0,1
|
| с полотенцесушителями
|
0,25
|
0,2
|
| С неизолированными стояками
|
| без полотенцесушителей
|
0,25
|
0,2
|
| с полотенцесушителями
|
0,35
|
0,3
|
Таблица 1.13
| Тип оборудования
|
Удельный расход пара, кг/кг обрабатываемого белья
|
| 1
|
2
|
| Бак для приготовления стиральных растворов
|
0,3
|
| Стиральная машина загрузочной массой белья, кг
|
| 5
|
1,0
|
| 10
|
0,95
|
| 25
|
0,85
|
| 50
|
0,80
|
| 100
|
0,75
|
| Карусельная установка в машинах загрузочной массой 50 кг белья
|
1,15
|
| Сушильный барабан загрузочной массой белья, кг
|
| 5
|
1,56
|
| 25
|
1,05
|
| 1
|
2
|
| Сушильно-гладильные катки производительностью белья, кг/ч
|
| 25
|
1,0
|
| 50
|
0,86
|
| 100
|
0,82
|
| Гладильный пресс производительностью белья, кг/ч
|
| 15-18
|
1,0
|
| 2,5
|
1,0
|
| Манекенные прессы для мужских рубашек
|
| для рукавов
|
0,55
|
| для манжет и воротничков
|
0,45
|
| для корпуса
|
1,90
|
Таблица 1.14
| Система теплоснабжения при регулировании по нагрузке отопления
|
Значение коэффициента f
|
| Открытая с тепловым потоком, МВт
|
| 100 и более
|
0,6
|
| менее 100
|
0,8
|
| Закрытая с тепловым потоком, МВт
|
| 100 и более
|
1,0
|
| менее 100
|
1,2
|
Примечание.
Для закрытых систем теплоснабжения при регулировании по нагрузке отопления и тепловом потоке менее 100 МВт при наличии баков-аккумуляторов у потребителей коэффициент следует принимать равным 1,0. При регулировании по совмещенной нагрузке отопления и горячего водоснабжения f=0.
Таблица 1.15
| Расчетный перепад температур (по графику) tпод
-tобр
, °С
|
Удельный расход воды на отопление, т/МВт [т/(Гкал/ч)]
|
| 150-70=80
|
14,5 (12,5)
|
| 150-80=70
|
16,6 (14,3)
|
| 140-70=70
|
16,6 (14,3)
|
| 130-70=60
|
19,4 (16,7)
|
| 130-80=50
|
23,3 (20,0)
|
| 105-70=35
|
33,3 (28,6)
|
| 95-70=25
|
46,5 (40,0)
|
ПРИЛОЖЕНИЕ 2
Таблица 2.1
| Тип водогрейного котла
|
Мощность котла, МВт (Гкал/ч)
|
Потери тепловой энергии при растопке, ГДж (Гкал)
|
| 1
|
2
|
3
|
| ПТВМ – 50
|
58,1 (50)
|
3,01 (0,72)
|
| ПТВМ – 30
|
40,7 (35)
|
4,52 (1,08)
|
| ТВГМ – 30
|
40,7 (35)
|
4,52 (1,08)
|
| КВГМ – 50
|
58,1 (50)
|
4,91 (1,17)
|
| КВГМ – 30
|
34,9 (30)
|
9,8 (2,34)
|
| КВГМ – 20
|
23,3 (20)
|
9,04 (2,16)
|
| КВГМ – 10
|
11,6 (10)
|
7,16 (1,71)
|
| «Энергия» и др.
|
0,7 (0,6)
|
4,9 (1,17)
|
Таблица 2.2
| Схема ХВО
|
Ионит
|
Удельный расход на собственные нужды ХВО, т исходной воды на 1т химочищенной воды при жесткости исходной воды (общая), мг-экв/кг
|
| 1
|
2
|
3
|
4
|
5
|
6
|
7
|
8
|
9
|
10
|
11
|
| 1
|
2
|
3
|
4
|
5
|
6
|
7
|
8
|
9
|
10
|
11
|
12
|
13
|
| Na-катиони-рование
|
Сульфоуголь
|
0,031
|
0,047
|
0,063
|
0,078
|
0,094
|
0,11
|
0,125
|
| Катионит КУ-2
|
0,015
|
0,023
|
0,031
|
0,039
|
0,047
|
0,055
|
0,062
|
| Н-катиони-рование с «голодной» регенира-цией
|
Сульфоуголь
|
-
|
0,052
|
0,075
|
0,098
|
0,122
|
0,144
|
0,167
|
0,19
|
0,214
|
0,235
|
0,258
|
Примечание:
Коэффициент на регенерацию воды определен на основании усредненных данных ВТИ и уточнений при проведении наладки ХВО.
Таблица 2.3
| Характеристика стальных вертикальных цилиндрических баков-аккумуляторов
|
Плотность теплового потока через изоляцию баков-аккумуляторов, МВт (Гкал/ч)
|
| D=4,73м, Н=5,98м, V=100 м3
|
0,0050 (0,0043)
|
| D=6,63м, Н=5,98м, V=200 м3
|
0,0079 (0,0068)
|
| D=7,58м, Н=7,45м, V=300м3
|
0,0109 (0,0094)
|
| D=7,58м, Н=7,45м, V=400м3
|
0,0127 (0,0109)
|
| D=10,43м, Н=8,95м, V=700м3
|
0,0187 (0,0161)
|
| D=12,33м, Н=8,94м, V=1000м3
|
0,0239 (0,0205)
|
Примечание:
Размеры резервуаров приняты по данным института «Проектстальконструкция».
Таблица 2.4
| Место подогрева
|
Температура подогрева мазута, °С
|
| М40-60
|
М80-100
|
| В железнодорожных цистернах перед сливом
|
30
|
60
|
| В приемной емкости и в хранилищах
|
40-60
|
30-80
|
| Перед форсунками:
|
| механическими или паромеханическими
|
100
|
120
|
| воздушными, низконапорными
|
90
|
110
|
| паровыми или воздушными, высоконапорными
|
85
|
105
|
Таблица 2.5
| Марка мазута
|
Фактическое время разогрева, ч
|
| в холодное время года с 15.10 по 15.04
|
в теплое время года с 15.04 по 15.10
|
| М20
|
6
|
3
|
| М40
|
8
|
4
|
| М60, М80, М100
|
10
|
4
|
Таблица 2.6
| Мазут
|
Расход нормального пара, кг/1т мазута, при типах форсунок
|
| воздушных
|
паровых
|
Механических
|
| Флотский
|
46
|
243
|
36
|
| Топочный: М40
|
48
|
247
|
42
|
| М100
|
34
|
239
|
39
|
Примечание:
В норму расхода пара для паровых форсунок входит расход пара на распыление мазута.
Таблица 2.7
| Составляющие расходы тепловой энергии на собственные нужды котельной
|
Нормативы расхода тепловой энергии по элементам затрат, % номинальной нагрузки котельной
|
| Газообразное топливо
|
Слоевые и факельно-слоевые топки
|
Жидкое топливо
|
| 1
|
2
|
3
|
4
|
| Продувка паровых котлов паропроизводительностью, т/ч:
|
| до 10
|
0,13
|
0,13
|
0,13
|
| более 10
|
0,06
|
0,06
|
0,06
|
| Растопка котлов
|
0,06
|
0,06
|
0,06
|
| Обдувка котлов
|
0,36
|
0,32
|
| Дутье под решетку котла
|
2,5
|
| Мазутное хозяйство
|
1,6
|
| Паровой распыл мазута
|
4,5
|
| Подогрев воздуха в калориферах
|
1,2
|
| Эжектор дробеочистки
|
0,17
|
| Технологические нужды химводоочистки, деаэрации; отопление и хозяйственные нужды котельной: потери с излучением тепла паропроводами, насосами, баками и т.п.; утечки, испарения при испытаниях и выявлении неисправностей в оборудовании; неучтенные потери
|
2,2
|
2,0
|
1,7
|
| Итого:
|
2,3
|
5,05 – 2,55
|
9,68 – 3,91
|
Примечание:
1. Нормативы установлены при следующих показателях: величина продувки котлов производительностью 10т/ч – 10%; свыше 10 т/ч –5 %; возврат конденсата 90-95 %; температура возвращаемого конденсата 90 ˚С; температура добавочной химически очищенной воды 5˚С; марка мазута М100, подогрев мазута от 5 до 105 ˚С; дробеочистка принята для котлов паропроизводительностью более 25 т/ч, работающих на сернистом мазуте, бурых углях и угле марки АРШ с расходом пара на эжектор 1500 кг/ч при давлении 1,37 Мпа (14 кгс/см2
) и температура 280-330 ˚С; расход топлива на растопку принят исходя из следующего числа растопок в год; 6 после простоя длительностью до 12 ч, 3 – после простоя длительностью более 12 ч; расход пара на калориферы для подогрева воздуха перед воздухоподогревателем предусмотрен для котлов паропроизводительностью 25 т/ч и выше и работающих на сернистом мазуте, бурых углях и угле марки АРШ.
2. При наличии резервного топлива в котельной следует дополнительно учесть расход тепловой энергии на подогрев топлива.
ПРИЛОЖЕНИЕ 3
Нормы плотности теплового потока для теплопроводов спроектированных и построенных до 1997 года
Таблица 3.1
| Условный проход трубопро-вода, мм
|
Нормы плотности теплового потока для теплопроводов, расположенных на открытом воздухе и числе часов работы более 5000 в год, Вт/м [ккал/(м.ч)], при средней температуре теплоносителя, С
|
| 20
|
50
|
65
|
70
|
75
|
90
|
95
|
100
|
115
|
150
|
| 15
|
4 (3,4)
|
10(9)
|
13(11)
|
14(12)
|
15(13)
|
18(15)
|
19(16)
|
20(17)
|
23(20)
|
30(26)
|
| 20
|
5 (4,3)
|
11(9)
|
14,3(12)
|
15,4(13)
|
16,5(14)
|
19,8(17)
|
20,9(18)
|
22(19)
|
25,6(22)
|
34(29)
|
| 25
|
5 (4)
|
13(11)
|
16,6(14)
|
17,8(15)
|
19(16)
|
22,6(19)
|
23,8(20)
|
25(22)
|
28,6(25)
|
37(32)
|
| 40
|
7 (6)
|
15(13)
|
19,2(17)
|
20,6(18)
|
22(19)
|
26,2(23)
|
27,6(24)
|
29(25)
|
33,5(29)
|
44(38)
|
| 50
|
7 (6)
|
17(15)
|
21,2(18)
|
22,6(19)
|
24(21)
|
28,2(24)
|
29,6(25)
|
31(27)
|
35,8(31)
|
47(40)
|
| 65
|
9 (7,7)
|
19(16)
|
24,1(21)
|
25,8(22)
|
27,5(24)
|
32,6(28)
|
34,3(30)
|
36(31)
|
41,4(36)
|
54(46)
|
| 80
|
10 (8,6)
|
21(18)
|
26,4(23)
|
28,2(24)
|
30(26)
|
35,4(30)
|
37,2(32)
|
39(34)
|
44,7(38)
|
58(50)
|
| 100
|
11 (9)
|
24(21)
|
29,7(26)
|
31,6(27)
|
33,5(29)
|
39,2(34)
|
41,1(35)
|
43(37)
|
49,3(42)
|
64(55)
|
| 125
|
12 (10)
|
27(23)
|
33,6(29)
|
35,8(31)
|
38(33)
|
44,6(38)
|
46,8(40)
|
49(42)
|
55,3(48)
|
70(60)
|
| 150
|
14 (12)
|
30(26)
|
37,2(32)
|
39,6(34)
|
42(36)
|
49,2(42)
|
51,6(44)
|
54(46)
|
60,9(52)
|
77(66)
|
| 200
|
18 (15)
|
37(32)
|
45,4(39)
|
48,2(41)
|
51(44)
|
59,4(51)
|
62,2(54)
|
65(56)
|
73,4(63)
|
93(80)
|
| 250
|
21 (18)
|
43(37)
|
52,6(45)
|
55,8(48)
|
59(51)
|
68,6(59)
|
71,8(62)
|
75(65)
|
84,3(73)
|
106(91)
|
| 300
|
25 (22)
|
49(42)
|
59,5(51)
|
63(54)
|
66,5(57)
|
77(66)
|
80,5(69)
|
84(72)
|
94,2(81)
|
118(102)
|
| 350
|
28 (24)
|
55(47)
|
66,4(57)
|
70,2(60)
|
74(64)
|
85,4(73)
|
89,2(77)
|
93(80)
|
104,4(90)
|
131(113)
|
| 400
|
30 (26)
|
61(52)
|
73,3(63)
|
77,4(67)
|
81,5(70)
|
93,8(81)
|
97,9(84)
|
102(88)
|
114(98)
|
142(122)
|
| 450
|
33 (28)
|
65(56)
|
78,2(67)
|
82,6(71)
|
87(75)
|
100,2(86)
|
104,6(90)
|
109(94)
|
121,9(105)
|
152(131)
|
| 500
|
36 (31)
|
71(61)
|
85,4(73)
|
90,2(78)
|
95(82)
|
109,4(94)
|
114,2(98)
|
119(102)
|
133,1(114)
|
166(143)
|
| 600
|
42 (36)
|
82 (71)
|
98,2(84)
|
103,6(89)
|
109(94)
|
125,2(108)
|
130,6(112)
|
136(117)
|
151,6(130)
|
188(162)
|
| 700
|
48 (41)
|
92 (79)
|
109,7(94)
|
115,6(99)
|
121,5(105)
|
139,2(120)
|
145,1(125)
|
151(130)
|
168,4(145)
|
209(180)
|
| 800
|
53 (46)
|
103 (89)
|
122,2(105)
|
128,6(111)
|
135(116)
|
154,2(133)
|
160,6(138)
|
167(144)
|
180,8(156)
|
213(183)
|
| 900
|
59 (51)
|
113 (97)
|
134,3(116)
|
141,4(122)
|
148,5(128)
|
169,8(146)
|
176,9(152)
|
184(158)
|
204,7(176)
|
253(218)
|
| 1000
|
65 (56)
|
124(107)
|
147,1(127)
|
154,8(133)
|
162,5(140)
|
185,6(160)
|
193,3(166)
|
201(173)
|
223,2(192)
|
275(237)
|
Таблица 3.2
| Условный проход трубопровода, мм
|
Нормы плотности теплового потока для теплопроводов, расположенных в помещениях, Вт/м [ккал/(м.ч)], при средней температуре теплоносителя, о
С
|
| мм
|
50
|
65
|
70
|
75
|
90
|
95
|
100
|
115
|
150
|
| 15
|
8(6,9)
|
11(9)
|
12(10)
|
13(11)
|
16(14)
|
17(15)
|
18(15)
|
21(18)
|
28(24)
|
| 20
|
9(7,7)
|
12,3(11)
|
13,4(12)
|
14,5(12)
|
17,8(15)
|
18,9(16)
|
20(17)
|
23,6(20)
|
32(28)
|
| 25
|
10(9)
|
13,6(12)
|
14,8(13)
|
16(14)
|
19,6(17)
|
20,8(18)
|
22(19)
|
25,9(22)
|
35(30)
|
| 40
|
12(10)
|
16,2(14)
|
17,6(15)
|
19(16)
|
23,2(20)
|
24,6(21)
|
26(22)
|
30,5(26)
|
41(35)
|
| 50
|
13(11)
|
17,5(15)
|
19(16)
|
20,5(18)
|
25(22)
|
26,5(23)
|
28(24)
|
32,8(28)
|
44(38)
|
| 65
|
15(12,9)
|
20,1(17)
|
21,8(19)
|
23,5(20)
|
28,6(25)
|
30,3(26)
|
32(28)
|
37,4(32)
|
50(43)
|
| 80
|
16(13,8)
|
21,7(19)
|
23,6(20)
|
25,5(22)
|
31,2(27)
|
33,1(28)
|
35(30)
|
40,7(35)
|
54(46)
|
| 100
|
18(15)
|
24,3(21)
|
26,4(23)
|
28,5(25)
|
34,8(30)
|
36,9(32)
|
39(34)
|
45,3(39)
|
60(52)
|
| 125
|
21(18)
|
27,9(24)
|
30,2(26)
|
32,5(28)
|
39,4(34)
|
41,7(36)
|
44(38)
|
50,6(44)
|
66(57)
|
| 150
|
24(21)
|
31,5(27)
|
34(29)
|
36,5(31)
|
44(38)
|
46,5(40)
|
49(42)
|
56,2(48)
|
73(63)
|
| 200
|
29(25)
|
38(33)
|
41(35)
|
44(38)
|
53(46)
|
56(48)
|
59(51)
|
67,7(58)
|
88(76)
|
| 250
|
34(29)
|
44,2(38)
|
47,6(41)
|
51(44)
|
61,2(53)
|
64,6(56)
|
68(58)
|
77,6(67)
|
100(86)
|
| 300
|
39(34)
|
50,4(43)
|
54,2(47)
|
58(50)
|
69,4(60)
|
73,2(63)
|
77(66)
|
87,5(75)
|
112(96)
|
| 350
|
44(38)
|
56,3(48)
|
60,4(52)
|
64,5(55)
|
76,8(66)
|
80,9(70)
|
85(73)
|
96,7(83)
|
124(107)
|
| 400
|
48(41)
|
61,5(53)
|
66(57)
|
70,5(61)
|
84(72)
|
88,5(76)
|
93(80)
|
105,6(91)
|
135(116)
|
| 450
|
52(45)
|
66,7(57)
|
71,6(62)
|
76,5(66)
|
91,2(78)
|
96,1(83)
|
101(87)
|
114,2(98)
|
145(125)
|
| 500
|
57(49)
|
72,6(62)
|
77,8(67)
|
83(71)
|
98,6(85)
|
103,8(89)
|
109(94)
|
123,1(106)
|
156(134)
|
| 600
|
67(58)
|
84,4(73)
|
90,2(78)
|
96(83)
|
113,4(98)
|
119,2(103)
|
125(108)
|
141,2(121)
|
179(154)
|
| 700
|
74(64)
|
93,5(80)
|
100(86)
|
106,5(92)
|
126(108)
|
132,5(114)
|
139(120)
|
157(135)
|
199(171)
|
| 800
|
84(72)
|
105,3(91)
|
112,4(97)
|
119,5(103)
|
140,8(121)
|
147,9(127)
|
155(133)
|
174,5(150)
|
220(189)
|
| 900
|
93(80)
|
116,1(100)
|
123,8(106)
|
131,5(113)
|
154,6(133)
|
162,3(140)
|
170(146)
|
191,3(165)
|
241(207)
|
| 1000
|
102(88)
|
127,2(109)
|
135,6(117)
|
144(124)
|
169,2(146)
|
177,6(153)
|
186(160)
|
208,8(180)
|
262(225)
|
Таблица 3.3
| Условный проход трубопровода, мм
|
Нормы плотности теплового потока двухтрубных водяных тепловых сетей
при прокладке в непроходных каналах, Вт/м [ккал/(м×ч)]
|
| подающий
|
обратный
|
подающий
|
обратный
|
подающий
|
обратный
|
| Среднегодовая температура теплоносителя, °С
|
| 65
|
50
|
90
|
50
|
110
|
50
|
| 25
|
16 (14)
|
11 (9)
|
23 (20)
|
10 (9)
|
28 (24)
|
9 (8)
|
| 30
|
17 (15)
|
12 (10)
|
24 (21)
|
11 (9)
|
30 (26)
|
10 (9)
|
| 40
|
18 (15)
|
13 (11)
|
26 (22)
|
12 (10)
|
32 (28)
|
11 (9)
|
| 50
|
20 (17)
|
14 (12)
|
28 (24)
|
13 (11)
|
35 (30)
|
12 (10)
|
| 65
|
23 (20)
|
16 (14)
|
34 (29)
|
15 (13)
|
40 (34)
|
13 (11)
|
| 80
|
25 (22)
|
17 (15)
|
36 (31)
|
16 (14)
|
44 (38)
|
14 (12)
|
| 100
|
28 (24)
|
19 (16)
|
41 (35)
|
17 (15)
|
48 (41)
|
15 (13)
|
| 125
|
31 (27)
|
21 (18)
|
42 (36)
|
18 (15)
|
50 (43)
|
16 (14)
|
| 150
|
32 (28)
|
22 (19)
|
44 (38)
|
19 (16)
|
55 (47)
|
17 (15)
|
| 200
|
39 (34)
|
27 (23)
|
54 (46)
|
22 (19)
|
68 (58)
|
21 (18)
|
| 250
|
45 (39)
|
30 (26)
|
64 (55)
|
25 (22)
|
77 (66)
|
23 (20)
|
| 300
|
50 (43)
|
33 (28)
|
70 (60)
|
28 (24)
|
84 (72)
|
25 (22)
|
| 350
|
55 (47)
|
37 (32)
|
75 (65)
|
30 (26)
|
94 (81)
|
26 (22)
|
| 400
|
58 (50)
|
38 (33)
|
82 (71)
|
33 (28)
|
101 (87)
|
28 (24)
|
| 450
|
67 (58)
|
43 (37)
|
93 (80)
|
36 (31)
|
107 (92)
|
29 (25)
|
| 500
|
68 (58)
|
44 (38)
|
98 (84)
|
38 (33)
|
117 (101)
|
32 (28)
|
| 600
|
79 (68)
|
50 (43)
|
109 (94)
|
41 (35)
|
132 (114)
|
34 (29)
|
| 700
|
89 (77)
|
55 (47)
|
126 (108)
|
43 (37)
|
151 (130)
|
37 (32)
|
| 800
|
100 (86)
|
60 (52)
|
140 (120)
|
45 (39)
|
163 (140)
|
40 (34)
|
| 900
|
106 (91)
|
66 (57)
|
151 (130)
|
54 (46)
|
186 (160)
|
43 (37)
|
| 1000
|
117 (101)
|
71 (61)
|
158 (136)
|
57 (49)
|
192 (165)
|
47 (40)
|
| 1200
|
144 (124)
|
79 (68)
|
185 (159)
|
64 (55)
|
229 (197)
|
52 (45)
|
| 1400
|
152 (131)
|
82 (71)
|
210 (181)
|
68 (58)
|
252 (217)
|
56 (48)
|
Примечание:
1. Расчетные среднегодовые температуры воды в водяных тепловых сетях 65, 90, 110 ˚С соответствуют температурным графикам 95-70, 150-70, 180-70 ˚С.
2. Промежуточные значения норм плотности теплового потока следует определять интерполяцией.
Таблица 3.4
| Условный проход трубопровода, мм
|
Нормы плотности теплового потока при двухтрубной
подземной бесканальной прокладке водяных тепловых сетей, Вт/м [ккал/(м×ч)]
|
| подающий
|
обратный
|
подающий
|
обратный
|
| Среднегодовая температура теплоносителя, °С
|
| 65
|
50
|
90
|
50
|
| 25
|
33 (28)
|
25 (22)
|
44 (38)
|
24 (21)
|
| 50
|
40 (34)
|
31 (27)
|
54 (46)
|
29 (25)
|
| 65
|
45 (39)
|
34 (29)
|
60 (52)
|
33 (28)
|
| 80
|
46 (40)
|
35 (30)
|
61 (52)
|
34 (29)
|
| 100
|
49 (42)
|
38 (33)
|
65 (56)
|
35 (30)
|
| 125
|
53 (46)
|
41 (35)
|
72 (62)
|
39 (34)
|
| 150
|
60 (52)
|
46 (40)
|
80 (69)
|
43 (37)
|
| 200
|
66 (57)
|
50 (43)
|
89 (77)
|
48 (41)
|
| 250
|
72 (62)
|
55 (47)
|
96 (83)
|
51 (44)
|
| 300
|
79 (68)
|
59 (51)
|
105 (90)
|
56 (48)
|
| 350
|
86 (74)
|
65 (56)
|
113 (97)
|
60 (52)
|
| 400
|
91 (78)
|
68 (58)
|
121 (104)
|
63 (54)
|
| 450
|
97 (83)
|
72 (62)
|
129 (111)
|
67 (58)
|
| 500
|
105 (90)
|
78 (67)
|
138 (119)
|
72 (62)
|
| 600
|
117 (101)
|
87 (75)
|
156 (134)
|
80 (69)
|
| 700
|
126 (108)
|
93 (80)
|
170 (146)
|
86 (74)
|
| 800
|
140 (120)
|
102 (88)
|
186 (160)
|
93 (80)
|
Примечание:
1. Расчетные среднегодовые температуры воды в водяных тепловых сетях 65, 90,°С соответствуют температурным графикам 95-70, 150-70 ˚С.
3. При применении в качестве теплоизоляционного слоя пенополиуретана, фенольного поропласта ФЛ, полимербетона значения норм плотности следует определять с учетом коэффициента К, приведенного в табл. 3.3.
Таблица 3.5
| Материал теплоизоляционного слоя
|
Условный проход трубопровода, мм
|
| 25-65
|
80-150
|
200-300
|
350-500
|
| Коэффициент К
|
| Пенополиуретан, фенольный поропласт ФЛ
|
0,5
|
0,6
|
0,7
|
0,8
|
| Полимербетон
|
0,7
|
0,8
|
0,9
|
1,0
|
Нормы плотности теплового потока для теплопроводов спроектированных и построенных после 1997 года
Таблица 3.6
| Условный проход трубопро-вода, мм
|
Нормы плотности теплового потока для теплопроводов, расположенных на открытом воздухе и числе часов работы более 5000 в год, Вт/м [ккал/(м×ч)], при средней температуре теплоносителя, °С
|
| 20
|
50
|
65
|
70
|
75
|
90
|
95
|
100
|
115
|
150
|
| 15
|
3 (2,6)
|
8 (7)
|
10,4 (9)
|
11,2 (1)
|
12 (10)
|
14,4 (12)
|
15,2 (13)
|
16 (14)
|
18,4 (16)
|
24 (21)
|
| 20
|
4 (3,4)
|
9 (8)
|
11,7 (10)
|
12,6 (11)
|
13,5 (12)
|
16,2 (14)
|
17,1 (15)
|
18 (15)
|
21 (18)
|
28 (24)
|
| 25
|
4 (3)
|
11 (9)
|
13,7 (12)
|
14,6 (13)
|
15,5 (13)
|
18,2 (16)
|
19,1 (16)
|
20 (17)
|
23,3 (20)
|
31 (27)
|
| 40
|
5 (4)
|
12 (10)
|
15,6 (13)
|
16,8 (14)
|
18 (15)
|
21,6 (19)
|
22,8 (20)
|
24(21)
|
27,6 (24)
|
36 (31)
|
| 60
|
6 (5)
|
14 (12)
|
17,3 (15)
|
18,4 (16)
|
19,5 (17)
|
22,8 (20)
|
23,9 (21)
|
25 (22)
|
28,9 (25)
|
38 (33)
|
| 65
|
7 (6)
|
15 (13)
|
19,2 (17)
|
20,6 (18)
|
22 (19)
|
26,2 (23)
|
27,6 (24)
|
29 (25)
|
33,5 (29)
|
44 (38)
|
| 80
|
8 (6,9)
|
17 (15)
|
21,5 (18)
|
23 (20)
|
24,5 (21)
|
29 (25)
|
30,5 (26)
|
32 (28)
|
36,5 (31)
|
47 (40)
|
| 100
|
9 (8)
|
19 (16)
|
23,8 (20)
|
25,4 (22)
|
27 (23)
|
31,8 (27)
|
33,4 (29)
|
35 (30)
|
40,1 (34)
|
52 (45)
|
| 125
|
10 (9)
|
22 (19)
|
27,4 (24)
|
29,2 (25)
|
31 (27)
|
36,4 (31)
|
38,2 (33)
|
40 (34)
|
45,1 (39)
|
57 (49)
|
| 150
|
11 (9)
|
24 (21)
|
30 (26)
|
32 (28)
|
34 (29)
|
40 (34)
|
42 (36)
|
44 (38)
|
49,4 (42)
|
62 (53)
|
| 200
|
15 (13)
|
30 (26)
|
36,9 (32)
|
39,2 (34)
|
41,5 (36)
|
48,4 (42)
|
50,7 (44)
|
53 (46)
|
59,6 (51)
|
75 (65)
|
| 250
|
17 (15)
|
35 (30)
|
42,8 (37)
|
45,4 (39)
|
48 (41)
|
55,8 (48)
|
58,4 (50)
|
61 (52)
|
68,5 (59)
|
86 (74)
|
| 300
|
20 (17)
|
40 (34)
|
48,4 (42)
|
51,2 (44)
|
54 (46)
|
62,4 (54)
|
65,2 (56)
|
68 (58)
|
76,4 (66)
|
96 (83)
|
| 350
|
23 (20)
|
45 (39)
|
54 (46)
|
57 (49)
|
60 (52)
|
69 (59)
|
72 (62)
|
75 (65)
|
84,3 (73)
|
106 (91)
|
| 400
|
24 (21)
|
49 (42)
|
59,2 (51)
|
62,6 (54)
|
66 (57)
|
76,2 (66)
|
79,6 (68)
|
83 (71)
|
92,6(80)
|
115 (99)
|
| 450
|
27 (23)
|
53 (46)
|
63,5 (55)
|
67 (58)
|
70,5 (61)
|
81 (70)
|
84,5 (73)
|
88 (76)
|
98,5 (85)
|
123 (106)
|
| 500
|
29 (25)
|
58 (50)
|
69,4 (60)
|
73,2 (63)
|
77 (66)
|
88,4(76)
|
92,2 (79)
|
96 (83)
|
107,7 (93)
|
135 (116)
|
| 600
|
34 (29)
|
66 (57)
|
79,2 (68)
|
83,6 (72)
|
88 (76)
|
101,2(87)
|
105,6 (91)
|
110 (95)
|
122,6(105)
|
152 (131)
|
| 700
|
39 (34)
|
75 (65)
|
89,1 (77)
|
93,8 (81)
|
98,5 (85)
|
112,6(97)
|
117,3(101)
|
122(105)
|
136,1(117)
|
169 (145)
|
| 800
|
43 (37)
|
83 (71)
|
98,6 (85)
|
103,8(89)
|
109(94)
|
124,6(107)
|
129,8(112)
|
135(116)
|
146,1(126)
|
172 (148)
|
| 900
|
48 (41)
|
92 (79)
|
109,1(94)
|
114,8(99)
|
120,5(104)
|
137,6(118)
|
143,3(123)
|
149(128)
|
165,8(143)
|
205 (176)
|
| 1000
|
53 (46)
|
101 (87)
|
119,6(103)
|
125,8(108)
|
132(114)
|
150,6(130)
|
156,8(135)
|
163(140)
|
181(156)
|
223 (192)
|
Примечание:
Промежуточные значения норм плотности теплового потока следует определять интерполяцией.
Таблица 3.7
| Условный проход трубопровода, мм
|
Нормы плотности теплового потока для теплопроводов, расположенных в помещениях, Вт/м [ккал/(м×ч)], при средней температуре теплоносителя, °С
|
| 50
|
65
|
70
|
75
|
90
|
95
|
100
|
115
|
150
|
| 1
|
2
|
3
|
4
|
5
|
6
|
7
|
8
|
9
|
10
|
| 15
|
6 (5,2)
|
8,4 (7)
|
9,2 (8)
|
10 (9)
|
12,4 (11)
|
13,2 (11)
|
14 (12)
|
16,4 (14)
|
22 (19)
|
| 20
|
7 (6)
|
9,7 (8)
|
10,6 (9)
|
11,5 (10)
|
14,2 (12)
|
15,1 (13)
|
16 (14)
|
19 (16)
|
26 (22)
|
| 25
|
8 (7)
|
11 (9)
|
12 (10)
|
13 (11)
|
16 (14)
|
17 (15)
|
18 (15)
|
21 (18)
|
28 (24)
|
| 40
|
10 (9)
|
13,3 (11)
|
14,4 (12)
|
15,5 (13)
|
18,8 (16)
|
19,9 (170)
|
21 (18)
|
24,6 (21)
|
33 (28)
|
| 50
|
10 (9)
|
13,6 (12)
|
14,8 (13)
|
16 (14)
|
19,6 (17)
|
20,8 (18)
|
22 (19)
|
25,9 (22)
|
35 (30)
|
| 65
|
12 (10,3)
|
16,2 (14)
|
17,6 (15)
|
19 (16)
|
23,2 (20)
|
24,6 (21)
|
26 (22)
|
30,2 (26)
|
40 (34)
|
| 80
|
13 (11)
|
17,5 (15)
|
19 (16)
|
20,5 (18)
|
25 (22)
|
26,5 (23)
|
28 (24)
|
32,5 (28)
|
43 (37)
|
| 100
|
14 (12)
|
19,1 (16)
|
20,8 (18)
|
22,5 (19)
|
27,6 (24)
|
29,3 (25)
|
31 (27)
|
36,1 (31)
|
48 (41)
|
| 125
|
17 (15)
|
22,4 (19)
|
24,2 (21)
|
26 (22)
|
31,4 (27)
|
33,2 (29)
|
35 (30)
|
40,4 (35)
|
53 (46)
|
| 150
|
19 (16)
|
25 (22)
|
27 (23)
|
29 (25)
|
35 (30)
|
37 (32)
|
39 (34)
|
44,7 (38)
|
58 (50)
|
| 200
|
23 (20)
|
30,2 (26)
|
32,6 (28)
|
35 (30)
|
42,2 (36)
|
44,6 (38)
|
47 (40)
|
53,9 (46)
|
70 (60)
|
| 250
|
27 (23)
|
35,1 (30)
|
37,8 (33)
|
40,5 (35)
|
48,6 (42)
|
51,3 (44)
|
54 (46)
|
61,8 (53)
|
80 (69)
|
| 300
|
31 (27)
|
40,3 (35)
|
43,4 (37)
|
46,5 (40)
|
55,8 (48)
|
58,9 (51)
|
62 (53)
|
70,4 (61)
|
90 (77)
|
| 350
|
35 (30)
|
44,9 (39)
|
48,2 (41)
|
51,5 (44)
|
61,4 (53)
|
64,7 (56)
|
68 (58)
|
77,3 (66)
|
99 (85)
|
| 400
|
38 (33)
|
48,8 (42)
|
52,4 (45)
|
56 (48)
|
66,8 (57)
|
70,4 (61)
|
74 (64)
|
84,2 (72)
|
108 (93)
|
| 450
|
42 (36)
|
53,7 (46)
|
57,6 (50)
|
61,5 (53)
|
73,2 (63)
|
77,1 (66)
|
81 (70)
|
91,5 (79)
|
116(100)
|
| 500
|
46 (40)
|
58,3 (50)
|
62,4 (54)
|
66,5 (57)
|
78,8 (68)
|
82,9 (71)
|
87 (75)
|
98,4 (85)
|
125(108)
|
| 600
|
54 (46)
|
67,8 (58)
|
72,4 (62)
|
77 (66)
|
90,8 (78)
|
95,4 (82)
|
100(86)
|
112,9(97)
|
143(123)
|
| 700
|
59 (51)
|
74,6 (64)
|
79,8 (69)
|
85 (73)
|
100,6 (87)
|
105,8(91)
|
111(95)
|
125,4(108)
|
159(137)
|
| 800
|
67 (58)
|
84,1 (72)
|
89,8 (77)
|
95,5 (82)
|
112,6(97)
|
118,3(102)
|
124(107)
|
139,6(120)
|
176(151)
|
| 900
|
74 (64)
|
92,6 (80)
|
98,8(85)
|
105 (90)
|
123,6(106)
|
129,8 (112)
|
136(117)
|
153,1(132)
|
193(166)
|
| 1000
|
82 (71)
|
102,1 (88)
|
108,8(94)
|
115,5 (99)
|
135,6 (117)
|
142,3 (122)
|
149(128)
|
167,3(144)
|
210(181)
|
Таблица 3.8
| Характеристика арматуры
|
Эквивалентная длина 1 экв. М, при внутреннем диаметре трубы, м
|
| до 0,1
|
до 0,5
|
| Неизолированная
|
6,7
|
7,2
|
| Изолированная на 3/4 всей поверхности
|
2,5
|
5,1
|
Таблица 3.
9
| Разность температур между поверхностью трубы и окружающим воздухом, С
|
Расход тепловой энергии неизолированными фланцами (одна пара), Вт[ккал/(м.ч)], при Dу
трубы , мм
|
| 75
|
100
|
150
|
200
|
250
|
300
|
| 75
|
122 (105)
|
157(135)
|
232(199)
|
308(265)
|
383(329)
|
453(390)
|
| 100
|
174(150)
|
232(199)
|
348(299)
|
465(400)
|
580(499)
|
696(598)
|
| 125
|
244(210)
|
325(279)
|
476(409)
|
639(549)
|
790(679)
|
952(819)
|
Таблица 3.10
| Условный диаметр, мм
|
Нормы плотности теплового потока через изолированную поверхность арматуры в помещениях при tвн = 25 С на один элемент, Вт/м[ккал/(м.ч)]
|
| Изоляция шнуром толщиной 70-100 мм, обвертка изоляционным материалами толщиной 70-100 мм
|
Мастическая изоляция толщиной 70-100 мм. Одностенные сборно-разборные металлические футляры с вкладышами из минеральной маты толщиной 70-100мм. Набивка из минеральной ваты под металлический кожух.
|
| 50
|
136(117)
|
116(100)
|
| 100
|
186(160)
|
162(140)
|
| 200
|
302(260)
|
262(226)
|
| 300
|
452(390)
|
394(340)
|
Примечание:
Температура теплоносителя принята равной 100 ˚С.
Таблица 3.11
| Температура сетевой воды в подающем
трубопроводе при температурном графике 95-70°С
|
| Расчетная температура наружного воздуха, °С
|
Температура наружного воздуха, °С
|
| +10
|
+5
|
0
|
-5
|
-10
|
-15
|
-20
|
-25
|
-30
|
-35
|
-40
|
-45
|
-50
|
-55
|
| -40
|
32,9
|
40,3
|
47,2
|
53,7
|
60,1
|
66,2
|
72,2
|
78,0
|
83,8
|
89,4
|
95,0
|
-
|
-
|
-
|
| -41
|
32,7
|
40,0
|
46,9
|
53,2
|
59,5
|
65,5
|
71,4
|
77,2
|
82,9
|
88,4
|
93,9
|
-
|
-
|
-
|
| -42
|
32,5
|
39,7
|
46,4
|
52,7
|
58,9
|
64,9
|
70,7
|
76,4
|
82,0
|
87,4
|
92,8
|
-
|
-
|
-
|
| -43
|
32,3
|
39,4
|
46,0
|
52,2
|
58,3
|
64,2
|
69,9
|
75,6
|
81,1
|
86,5
|
91,8
|
-
|
-
|
-
|
| -44
|
32,1
|
39,1
|
45,6
|
51,8
|
57,8
|
63,6
|
69,3
|
74,8
|
80,2
|
85,6
|
90,8
|
-
|
-
|
-
|
| -45
|
32,0
|
38,8
|
45,2
|
51,4
|
57,3
|
63,0
|
68,5
|
74,0
|
79,4
|
84,7
|
89,0
|
95,0
|
-
|
-
|
| -46
|
31,8
|
38,5
|
44,9
|
50,9
|
56,7
|
62,2
|
67,7
|
73,3
|
78,6
|
83,8
|
88,7
|
93,6
|
-
|
-
|
| -47
|
31,5
|
38,3
|
44,6
|
50,4
|
56,1
|
61,7
|
67,0
|
72,5
|
77,8
|
82,9
|
87,7
|
92,6
|
-
|
-
|
| -48
|
31,4
|
38,1
|
44,3
|
50,2
|
55,8
|
61,3
|
66,7
|
72,2
|
77,4
|
82,5
|
87,3
|
92,1
|
-
|
-
|
| -49
|
31,3
|
37,8
|
44,1
|
49,8
|
55,4
|
60,8
|
66,1
|
71,5
|
76,6
|
81,7
|
86,4
|
91,1
|
-
|
-
|
| -50
|
31,1
|
37,6
|
43,7
|
49,3
|
54,9
|
60,2
|
65,5
|
70,7
|
75,8
|
80,8
|
85,5
|
90,1
|
95,0
|
-
|
Таблица 3.12
| Температура сетевой воды в подающем
трубопроводе при температурном графике 110-70°С
|
| Расчетная температура наружного воздуха, °С
|
Температура наружного воздуха, °С
|
| +10
|
+5
|
0
|
-5
|
-10
|
-15
|
-20
|
-25
|
-30
|
-35
|
-40
|
-45
|
-50
|
-55
|
| -40
|
35,0
|
43,7
|
51,8
|
59,7
|
67,2
|
74,7
|
82,0
|
89,1
|
96,2
|
103,1
|
110,0
|
-
|
-
|
-
|
| -41
|
34,8
|
43,3
|
51,4
|
59,0
|
66,6
|
73,9
|
81,1
|
88,1
|
95,1
|
101,9
|
108,7
|
-
|
-
|
-
|
| -42
|
34,5
|
42,9
|
50,9
|
58,5
|
65,9
|
73,1
|
80,2
|
87,1
|
94,0
|
100,7
|
107,3
|
-
|
-
|
-
|
| -43
|
34,3
|
42,6
|
50,4
|
57,9
|
65,2
|
72,3
|
79,3
|
86,2
|
92,9
|
99,5
|
106,1
|
-
|
-
|
-
|
| -44
|
34,1
|
42,2
|
49,9
|
57,4
|
64,6
|
71,6
|
78,5
|
85,2
|
91,8
|
98,4
|
104,8
|
-
|
-
|
-
|
| -45
|
33,9
|
41,9
|
49,5
|
56,8
|
63,9
|
70,9
|
77,6
|
84,3
|
90,8
|
97,3
|
103,7
|
110,0
|
-
|
-
|
| -46
|
33,7
|
41,6
|
49,0
|
56,3
|
63,4
|
70,0
|
76,6
|
83,3
|
90,0
|
96,2
|
102,3
|
108,1
|
-
|
-
|
| -47
|
33,4
|
41,3
|
48,8
|
55,6
|
62,6
|
69,4
|
75,8
|
82,4
|
88,7
|
95,1
|
101,0
|
107,1
|
-
|
-
|
| -48
|
33,2
|
41,1
|
48,4
|
55,5
|
62,1
|
68,8
|
75,4
|
82,0
|
88,3
|
94,4
|
100,5
|
106,3
|
-
|
-
|
| -49
|
33,1
|
40,8
|
48,0
|
54,7
|
61,6
|
68,1
|
74,7
|
80,9
|
87,3
|
93,7
|
99,3
|
105,1
|
-
|
-
|
| -50
|
32,9
|
40,4
|
47,7
|
54,4
|
61,0
|
67,6
|
73,9
|
80,2
|
86,3
|
92,4
|
98,3
|
104,1
|
110,0
|
-
|
Таблица 3.13
| Температура сетевой воды в подающем
трубопроводе при температурном графике 120-70°С
|
| Расчетная температура наружного воздуха, °С
|
Температура наружного воздуха, °С
|
| +10
|
+5
|
0
|
-5
|
-10
|
-15
|
-20
|
-25
|
-30
|
-35
|
-40
|
-45
|
-50
|
-55
|
| -40
|
36,3
|
45,9
|
55,0
|
63,6
|
72,0
|
80,4
|
88,6
|
96,5
|
104,5
|
112,2
|
120,0
|
-
|
-
|
-
|
| -41
|
36,1
|
45,5
|
54,5
|
63,0
|
71,4
|
79,5
|
87,5
|
95,5
|
103,1
|
110,9
|
118,5
|
-
|
-
|
-
|
| -42
|
35,8
|
45,1
|
53,9
|
62,2
|
70,6
|
78,7
|
86,6
|
94,4
|
102,0
|
109,4
|
116,9
|
-
|
-
|
-
|
| -43
|
35,5
|
44,7
|
53,4
|
61,6
|
69,7
|
77,7
|
85,4
|
93,3
|
100,8
|
108,2
|
115,5
|
-
|
-
|
-
|
| -44
|
35,3
|
44,4
|
52,9
|
61,1
|
69,3
|
76,9
|
84,7
|
92,1
|
99,5
|
107,0
|
114,2
|
-
|
-
|
-
|
| -45
|
35,1
|
43,9
|
52,3
|
60,6
|
68,4
|
76,1
|
83,7
|
91,0
|
98,4
|
105,7
|
111,9
|
120,0
|
-
|
-
|
| -46
|
34,9
|
43,6
|
51,9
|
59,9
|
67,6
|
74,9
|
82,5
|
90,1
|
97,4
|
104,5
|
111,3
|
118,2
|
-
|
-
|
| -47
|
34,6
|
43,3
|
51,5
|
59,2
|
66,9
|
74,4
|
81,6
|
89,0
|
96,3
|
103,3
|
110,0
|
116,8
|
-
|
-
|
| -48
|
34,4
|
43,0
|
51,1
|
58,9
|
66,4
|
73,8
|
81,1
|
88,5
|
95,6
|
102,5
|
109,3
|
115,9
|
-
|
-
|
| -49
|
34,3
|
42,7
|
50,8
|
58,4
|
65,8
|
73,5
|
80,3
|
87,5
|
94,5
|
101,5
|
108,0
|
114,6
|
-
|
-
|
| -50
|
34,0
|
42,4
|
50,3
|
57,8
|
65,2
|
72,3
|
79,5
|
86,5
|
93,4
|
100,3
|
107,8
|
113,3
|
120,0
|
-
|
Таблица 3.14
| Температура сетевой воды в подающем
трубопроводе при температурном графике 130-70°С
|
| Расчетная температура наружного воздуха, °С
|
Температура наружного воздуха, °С
|
| +10
|
+5
|
0
|
-5
|
-10
|
-15
|
-20
|
-25
|
-30
|
-35
|
-40
|
-45
|
-50
|
-55
|
| -40
|
37,7
|
48,1
|
58,1
|
67,6
|
77,0
|
86,1
|
95,2
|
103,5
|
112,8
|
121,3
|
130,0
|
-
|
-
|
-
|
| -41
|
37,4
|
47,7
|
57,5
|
66,8
|
76,1
|
85,1
|
94,0
|
102,7
|
111,3
|
119,9
|
128,3
|
-
|
-
|
-
|
| -42
|
37,2
|
47,3
|
56,9
|
66,1
|
75,2
|
84,1
|
92,8
|
101,4
|
110,0
|
118,4
|
126,7
|
-
|
-
|
-
|
| -43
|
36,9
|
46,8
|
56,3
|
65,4
|
74,4
|
83,1
|
91,8
|
100,3
|
108,6
|
116,9
|
125,1
|
-
|
-
|
-
|
| -44
|
36,7
|
46,4
|
55,8
|
64,8
|
73,6
|
82,2
|
90,7
|
99,1
|
107,3
|
115,5
|
123,5
|
-
|
-
|
-
|
| -45
|
36,4
|
46,0
|
55,2
|
64,1
|
72,8
|
81,3
|
89,7
|
97,9
|
106,1
|
114,1
|
122,1
|
130,0
|
-
|
-
|
| -46
|
36,2
|
45,6
|
54,8
|
63,4
|
72,0
|
80,3
|
88,4
|
96,7
|
104,8
|
112,6
|
120,4
|
127,8
|
-
|
-
|
| -47
|
35,8
|
45,4
|
54,2
|
62,7
|
71,2
|
79,4
|
87,4
|
95,6
|
103,5
|
111,3
|
118,9
|
126,6
|
-
|
-
|
| -48
|
35,6
|
45,0
|
53,7
|
62,4
|
70,4
|
78,7
|
86,9
|
95,1
|
102,8
|
110,5
|
118,1
|
125,4
|
-
|
-
|
| -49
|
35,5
|
44,7
|
53,5
|
61,7
|
69,9
|
77,9
|
86,0
|
93,8
|
101,6
|
109,4
|
116,7
|
123,8
|
-
|
-
|
| -50
|
35,1
|
44,3
|
53,0
|
61,1
|
69,3
|
77,2
|
85,0
|
92,7
|
100,2
|
107,9
|
115,1
|
123,1
|
130,0
|
-
|
Таблица 3.15
| Температура сетевой воды в подающем
трубопроводе при температурном графике 140-70°С
|
| Расчетная температура наружного воздуха, °С
|
Температура наружного воздуха, °С
|
| +10
|
+5
|
0
|
-5
|
-10
|
-15
|
-20
|
-25
|
-30
|
-35
|
-40
|
-45
|
-50
|
-55
|
| -40
|
39,1
|
50,4
|
61,2
|
71,5
|
81,8
|
91,8
|
101,7
|
111,8
|
121,1
|
130,4
|
140,0
|
-
|
-
|
-
|
| -41
|
38,8
|
49,9
|
60,6
|
70,7
|
80,8
|
90,7
|
100,4
|
109,9
|
119,5
|
128,7
|
138,2
|
-
|
-
|
-
|
| -42
|
38,5
|
49,4
|
59,9
|
70,0
|
79,9
|
89,6
|
99,2
|
108,6
|
118,0
|
127,1
|
136,3
|
-
|
-
|
-
|
| -43
|
38,2
|
49,0
|
59,2
|
69,2
|
79,0
|
88,6
|
98,0
|
107,3
|
116,5
|
125,5
|
134,6
|
-
|
-
|
-
|
| -44
|
37,9
|
48,5
|
58,7
|
68,5
|
78,1
|
87,6
|
96,8
|
106,0
|
115,1
|
123,9
|
132,9
|
-
|
-
|
-
|
| -45
|
37,7
|
48,1
|
58,1
|
67,8
|
77,3
|
86,6
|
95,7
|
104,8
|
113,6
|
122,4
|
131,3
|
140,0
|
-
|
-
|
| -46
|
37,4
|
47,6
|
57,4
|
66,9
|
76,3
|
85,4
|
94,2
|
103,1
|
112,4
|
120,7
|
129,4
|
137,8
|
-
|
-
|
| -47
|
37,1
|
47,2
|
56,9
|
66,1
|
75,4
|
84,5
|
93,0
|
102,0
|
110,0
|
119,6
|
127,9
|
135,9
|
-
|
-
|
| -48
|
36,8
|
46,8
|
56,4
|
65,8
|
74,7
|
83,5
|
92,5
|
101,5
|
109,8
|
118,3
|
126,3
|
134,9
|
-
|
-
|
| -49
|
36,6
|
46,6
|
55,9
|
65,0
|
74,0
|
82,6
|
91,3
|
100,1
|
108,5
|
117,1
|
125,1
|
133,2
|
-
|
-
|
| -50
|
36,3
|
46,1
|
55,4
|
64,4
|
73,3
|
81,9
|
90,6
|
99,1
|
107,2
|
115,7
|
123,9
|
131,8
|
140,0
|
-
|
Таблица 3.16
| Температура сетевой воды в подающем
трубопроводе при температурном графике 150-70°С
|
| Расчетная температура наружного воздуха, °С
|
Температура наружного воздуха, °С
|
| +10
|
+5
|
0
|
-5
|
-10
|
-15
|
-20
|
-25
|
-30
|
-35
|
-40
|
-45
|
-50
|
-55
|
| -40
|
40,5
|
52,6
|
64,4
|
75,5
|
86,7
|
97,5
|
108,3
|
118,9
|
129,4
|
139,7
|
150,0
|
-
|
-
|
-
|
| -41
|
40,2
|
52,1
|
63,6
|
74,6
|
85,6
|
96,3
|
106,9
|
117,4
|
127,7
|
137,9
|
148,0
|
-
|
-
|
-
|
| -42
|
39,9
|
51,6
|
62,9
|
73,8
|
84,6
|
95,1
|
105,6
|
115,9
|
126,1
|
136,1
|
146,0
|
-
|
-
|
-
|
| -43
|
39,5
|
51,1
|
62,3
|
72,9
|
83,6
|
94,0
|
104,3
|
114,4
|
124,4
|
134,4
|
144,1
|
-
|
-
|
-
|
| -44
|
39,2
|
50,6
|
61,6
|
72,2
|
82,6
|
92,9
|
103,1
|
113,0
|
122,9
|
132,7
|
142,2
|
-
|
-
|
-
|
| -45
|
38,9
|
50,2
|
61,0
|
71,4
|
81,7
|
91,8
|
101,9
|
111,7
|
121,4
|
131,1
|
140,5
|
150,0
|
-
|
-
|
| -46
|
38,7
|
49,8
|
60,1
|
70,5
|
80,7
|
90,8
|
100,2
|
110,1
|
120,2
|
129,2
|
138,4
|
147,9
|
-
|
-
|
| -47
|
38,2
|
49,1
|
59,8
|
69,6
|
79,7
|
89,9
|
99,1
|
108,8
|
118,4
|
127,8
|
136,9
|
146,0
|
-
|
-
|
| -48
|
37,9
|
48,8
|
59,1
|
69,3
|
78,8
|
88,7
|
98,7
|
108,2
|
117,5
|
126,4
|
135,7
|
144,4
|
-
|
-
|
| -49
|
37,8
|
48,5
|
58,7
|
68,5
|
78,1
|
87,4
|
97,5
|
106,4
|
116,1
|
125,6
|
133,9
|
142,8
|
-
|
-
|
| -50
|
37,4
|
48,1
|
58,2
|
67,8
|
77,2
|
86,7
|
96,4
|
105,4
|
114,2
|
123,6
|
132,4
|
141,3
|
150,0
|
-
|
Таблица 3.17
| Температура сетевой воды в подающем
трубопроводе при температурном графике 180-70°С
|
| Расчетная температура наружного воздуха, °С
|
Температура наружного воздуха, °С
|
| +10
|
+5
|
0
|
-5
|
-10
|
-15
|
-20
|
-25
|
-30
|
-35
|
-40
|
-45
|
-50
|
-55
|
| -40
|
44,7
|
59,3
|
73,5
|
87,4
|
101,1
|
114,5
|
127,8
|
141,0
|
154,1
|
167,1
|
180,0
|
-
|
-
|
-
|
| -41
|
44,2
|
58,7
|
72,8
|
86,3
|
99,8
|
113,0
|
126,2
|
139,1
|
152,0
|
164,8
|
177,5
|
-
|
-
|
-
|
| -42
|
43,9
|
58,1
|
71,9
|
85,3
|
98,6
|
111,6
|
124,5
|
137,3
|
150,0
|
162,5
|
175,0
|
-
|
-
|
-
|
| -43
|
43,5
|
57,5
|
71,1
|
84,2
|
97,4
|
110,2
|
122,9
|
135,5
|
147,9
|
160,3
|
172,7
|
-
|
-
|
-
|
| -44
|
43,1
|
56,9
|
70,3
|
83,3
|
96,2
|
108,8
|
121,4
|
133,7
|
146,0
|
158,2
|
170,3
|
-
|
-
|
-
|
| -45
|
42,8
|
56,4
|
69,5
|
82,4
|
95,0
|
107,5
|
119,5
|
132,1
|
143,9
|
156,2
|
168,1
|
180,0
|
-
|
-
|
| -46
|
42,3
|
56,3
|
68,4
|
81,4
|
94,2
|
106,3
|
118,3
|
130,3
|
142,8
|
154,1
|
166,0
|
177,4
|
-
|
-
|
| -47
|
42,0
|
55,2
|
68,2
|
80,2
|
93,0
|
105,2
|
116,7
|
128,6
|
140,7
|
152,4
|
163,8
|
175,5
|
-
|
-
|
| -48
|
41,5
|
54,6
|
67,3
|
79,8
|
91,8
|
103,9
|
115,8
|
127,8
|
138,9
|
150,7
|
162,3
|
173,5
|
-
|
-
|
| -49
|
41,3
|
54,5
|
66,9
|
78,9
|
90,9
|
102,7
|
114,5
|
126,0
|
137,4
|
149,1
|
160,0
|
171,0
|
-
|
-
|
| -50
|
41,0
|
53,9
|
66,2
|
78,4
|
89,9
|
101,4
|
113,2
|
124,6
|
135,6
|
147,2
|
157,9
|
168,9
|
180,0
|
-
|
Таблица 3.18
| Температура сетевой воды в обратном
трубопроводе при tобр
= 70 °С
|
| Расчетная температура наружного воздуха, °С
|
Температура наружного воздуха, °С
|
| +10
|
+5
|
0
|
-5
|
-10
|
-15
|
-20
|
-25
|
-30
|
-35
|
-40
|
-45
|
-50
|
-55
|
| -40
|
29,5
|
34,7
|
39,4
|
43,8
|
48,0
|
52,0
|
55,8
|
59,5
|
63,1
|
66,6
|
70,0
|
-
|
-
|
-
|
| -41
|
29,3
|
34,5
|
39,2
|
43,4
|
47,6
|
51,5
|
55,3
|
59,0
|
62,5
|
66,0
|
69,3
|
-
|
-
|
-
|
| -42
|
29,2
|
34,3
|
38,9
|
43,2
|
47,2
|
51,1
|
54,8
|
58,4
|
62,0
|
65,4
|
68,7
|
-
|
-
|
-
|
| -43
|
29,1
|
34,1
|
38,6
|
42,8
|
46,9
|
50,7
|
54,4
|
58,0
|
61,4
|
64,8
|
68,1
|
-
|
-
|
-
|
| -44
|
28,9
|
33,9
|
38,3
|
42,5
|
46,5
|
50,3
|
53,9
|
57,5
|
60,9
|
64,2
|
67,4
|
-
|
-
|
-
|
| -45
|
28,8
|
33,7
|
38,1
|
42,2
|
46,2
|
49,9
|
53,5
|
57,0
|
60,4
|
63,7
|
66,9
|
70,0
|
-
|
-
|
| -46
|
28,7
|
33,4
|
37,9
|
41,9
|
45,8
|
49,3
|
52,9
|
56,5
|
59,8
|
63,1
|
66,1
|
69,0
|
-
|
-
|
| -47
|
28,5
|
33,3
|
37,7
|
41,6
|
45,3
|
49,0
|
52,4
|
56,0
|
59,3
|
62,5
|
65,4
|
68,4
|
-
|
-
|
| -48
|
28,4
|
33,2
|
37,5
|
41,5
|
45,2
|
48,8
|
52,3
|
55,9
|
59,2
|
62,5
|
65,3
|
68,3
|
-
|
-
|
| -49
|
28,3
|
32,9
|
37,4
|
41,2
|
45,0
|
48,5
|
51,9
|
55,5
|
58,7
|
61,9
|
64,8
|
67,6
|
-
|
-
|
| -50
|
28,2
|
32,8
|
37,1
|
40,8
|
44,6
|
48,1
|
51,5
|
54,9
|
58,2
|
61,3
|
64,2
|
66,9
|
70,0
|
-
|
Таблица 3.19
| Способ прокладки трубопроводов
|
Коэффициент 
|
| На открытом воздухе, в непроходных каналах, тоннелях и помещениях:
|
| для стальных трубопроводов на подвижных опорах , условным проходом, мм:
|
| до 150
|
1,2
|
| 150 и более
|
1,15
|
| для стальных трубопроводов на подвесных опорах
|
1,05
|
| для неметаллических трубопроводов на подвижных и подвесных опорах
|
1,7
|
| для неметаллических трубопроводов, изолируемых совместно с основанием
|
1,2
|
| при групповой прокладке неметаллических трубопроводов на сплошном настиле
|
2,0
|
| Бесканальный
|
1,15
|
ПРИЛОЖЕНИЕ 4
Таблица 4.1
| Площадь поверхности нагрева котла, м2
|
Удельный расход условного топлива на 1 растопку котла (кг у.т.) при длительности остановки, ч
|
| 2
|
6
|
12
|
18
|
24
|
48
|
Более 48
|
| До 50
|
10
|
25
|
50
|
75
|
100
|
200
|
300
|
| 51-100
|
17
|
50
|
100
|
150
|
200
|
400
|
600
|
| 101-200
|
34
|
100
|
200
|
300
|
400
|
800
|
1200
|
| 201-300
|
52
|
150
|
300
|
450
|
600
|
1200
|
1800
|
| 301-400
|
68
|
200
|
400
|
600
|
800
|
1600
|
2400
|
| 401-500
|
85
|
250
|
500
|
750
|
1000
|
2000
|
3000
|
Примечания:
1. Для котлов с площадью поверхности нагрева более 500 м2
на растопку после суточного останова расход топлива равен 2-часовому расходу топлива при его полной нагрузке.
2. Норму расхода дров на растопку котельной принимают 1м3
на сезон.
3.Число растопок определяется графиком работ по ремонтам и обслуживанию котлов, технологическим процессом и производственным планом работы котельной.
Таблица 4.2
Нормативы на предельные потери топлива (% массы)
| Наименование
|
Топливо
|
| Каменные угли
|
Бурые угли
|
Торф
|
Жидкое*
|
| При разгрузке, перемещении на складе и подаче в котельную
|
0,8
|
0,8
|
0,4
|
< 0,7 кг/т
|
| Каждая перевалка увеличивает потери на
|
0,2
|
0,2
|
0,4
|
0
|
| Каждая перегрузка увеличивает потери на
|
0,45
|
0,45
|
0,4
|
0
|
| Уменьшает теплоты сгорания при хранении в штабелях в течении года
|
0,2
|
0,4
|
~0,5
|
В течение 1 месяца от 0,75 до 1,05% на каждую тонну
|
Примечание:
Предельные сроки хранения твердого топлива на складах: антрациты – 2 года; АШ, АСШ, Т – 1,5 года; каменные и бурые угли, кроме длиннопламенных – 1 год; длиннопламенные – 0,5 года; кусковой низинный и фрезерный торф – 2 года; кусковой верховой торф – 3 года, высушенный кусковой торф добычи прошлых лет – 1 год.
Необходимый запас угля определяется по условиям доставки - он должен находится на специальных площадках, оборудованных дренажными устройствами для отвода дождевых, грунтовых и талых вод. Площадки должны быть сухими, защищенными от ветра и иметь навесы. Необходимо иметь в виду, что при хранении на открытых площадках уголь теряет энергетическую ценность. Он выветривается, изменяется гранулометрический состав, снижается теплота сгорания, уменьшается его масса. Кроме того, он может самонагреваться и самовозгораться. При неправильном хранении теплота сгорания за 1 месяц снижается на 1%.
* При хранении в наземных и заглубленных емкостях: для легких топлив – больше, для мазута и тяжелых топлив – меньше.
Таблица 4.3
Характеристики углей
| Бассейн, месторождение
|
Марка
|
Размер куска
|
Показатели
|
Выход летучих
|
Теплота сгорания
|
| Зольность, %
|
Массовая доля общей влаги
|
Массовая доля общ. Серы в сух. Составе топлива
|
| зима
|
лето
|
Высшая
Qs
|
Низшая рабочая
|
| Сред.
|
Пред.
|
Сред.
|
Пред.
|
Сред.
|
Пред.
|
Сред.
|
Не >
|
| ш. Воркутинская
|
2Ж
|
0-13
|
23,9
|
26,0
|
7,6
|
8,0
|
8,6
|
9,0
|
0,6
|
1,0
|
32
|
8350
|
5600
|
| ш. Центральная
|
1Ж
|
0-13
|
16,3
|
23,5
|
7,6
|
8,0
|
8,6
|
9,0
|
0,6
|
1,0
|
34
|
8350
|
6150
|
| ш.Комсомольская
|
2Ж
|
0-200
|
22,1
|
25,0
|
7,5
|
8,0
|
7,5
|
8,0
|
0,6
|
1,0
|
34
|
8350
|
5700
|
| ш.Воргашорская
|
гжопк
|
50-100
|
19,8
|
23,5
|
6,9
|
7,5
|
6,9
|
7,5
|
1,7
|
2,0
|
36
|
8100
|
5780
|
Таблица 4.4
Характеристика природных газов некоторых месторождений
Месторождение Тюменской области
|
Состав, %
|
Плот-ность, кг/м3
|
Низшая теплота сгорания
|
метан
СН4
|
этан
С2
Н6
|
пропан
С3
Н8
|
бутан
С4
Н10
|
пентан
С5
Н12
|
СО2
|
азот и др.
|
ккал/м3
|
кДж/м3
|
Медвежье
|
99
|
0,1
|
0,005
|
-
|
-
|
0,095
|
0,8
|
0,723
|
8380
|
35123
|
Заполярное
|
98,5
|
0,2
|
0,05
|
0,01
|
0,001
|
0,5
|
0,7
|
0,729
|
8430
|
33482
|
Уренгойское
|
97,64
|
0,1
|
0,01
|
-
|
-
|
0,3
|
1,95
|
0,73
|
8100
|
34926
|
Лонг-Юганск
|
98,87
|
0,15
|
0,09
|
-
|
-
|
0,13
|
0,76
|
-
|
7930
|
34099
|
Восточно-Таркасалинский газовый промысел
|
98,49
|
0,07
|
-
|
-
|
-
|
0,06
|
1,38
|
0,676
|
7871
|
33845
|
Таблица 4.5
Характеристика мазута (частично по ГОСТ 10585-75*) и других жидких топлив
| Наименование
|
Марка мазута
|
Дизельное топливо
|
| Флотский
|
Малосернистый
|
40
|
Многосернистый
|
| Ф-5
|
Ф-12
|
40
|
100
|
100
|
200
|
| Плотность при 20˚С не более
|
0,945
|
0,96
|
0,97
|
0,99
|
1,005
|
0,81-0,85
|
| Вязкость условная не более,˚ВУ, при 80˚С
|
-
|
-
|
8,0
|
15,5
|
8,0
|
15,5
|
-
|
-
|
| Температура вспышки, ˚С не ниже в открытом тигле
|
-
|
-
|
90
|
110
|
90
|
110
|
140
|
30-60
|
| Температура застывания, ˚С не выше
|
-5
|
-8
|
10
|
25
|
10
|
25
|
35
|
-10; -30
|
| То же для мазута из высокопарафинистых нефтей
|
-
|
-
|
25
|
42
|
25
|
42
|
42
|
-
|
| Зольность, % не более
|
0,1
|
0,1
|
0,15
|
0,15
|
0,15
|
0,15
|
0,30
|
0,025
|
| Содержание механических примесей, % не более
|
0,1
|
0,15
|
1,00
|
2,50
|
1,00
|
2,50
|
2,50
|
0,1-0,2
|
| Содержание влаги, % не более
|
1,0
|
1,0
|
2,0
|
2,0
|
2,0
|
2,0
|
1,0
|
0
|
| Содержание серы, % не более
|
2,0
|
0,8
|
0,5
|
0,5
|
3,5
|
3,5
|
0,3
|
| Средний элементарный состав,
|
| Sс
об
|
2
|
0,8
|
0,5
|
3,5
|
0,3
|
| Cс
|
84,65
|
83
|
86,3
|
| Hс
|
11,7
|
10,4
|
13,3
|
| Oс
+ Nс
|
0,6
|
1
|
0,8
|
1
|
0,1
|
| Qс
н
ккал/кг
|
9870
|
9870
|
9850
|
9750
|
9650
|
9560
|
9500
|
10180
|
| Объем воздуха при α = 1, Vo
, м3
/кг
|
10,35
|
10,38
|
10,38
|
10,38
|
10,35
|
10,35
|
10,35
|
-
|
| Объем дымовых газов
|
| VRO3
|
1,58
|
1,58
|
1,58
|
1,58
|
1,58
|
1,58
|
1,58
|
-
|
| Vo
N2
|
8,2
|
8,17
|
8,17
|
8,17
|
8,20
|
8,20
|
8,20
|
-
|
| Vo
H
2
O
|
1,40
|
1,40
|
1,40
|
1,40
|
1,40
|
1,40
|
1,40
|
-
|
| Vo
г
|
11,18
|
11,15
|
11,15
|
11,15
|
11,15
|
11,15
|
11,15
|
-
|
ПРИЛОЖЕНИЕ 5
Таблица 5.1
| Мощность котельной, МВт (Гкал/ч)
|
Удельный расход электрической энергии на топливоприготовление, топливоподачу и золошлакоудаление кВт/МВт (кВт×ч/Гкал)
|
| жидкое топливо
|
твердое топливо
|
| До 5,8 (5)
|
0,95 (1,1)
|
6,02 (7,0)
|
| 5,8-11,6 9 (5-10)
|
0,91-0,95 (1,06-1,1)
|
5,85-6,02 (6,8-7,0)
|
| 11,6-23,2 (19-20)
|
0,86-0,91 (1,0-1,06)
|
5,67-5,85 (6,6-6,8)
|
| 23,2-34,9 (20-30)
|
0,82-0,86 (0,95-1,0)
|
5,5-5,67 (6,4-6,6)
|
| Свыше 34,9 (свыше 30)
|
0,52-0,82 (0,6-0,95)
|
3,44-5,5 (4,0-6,4)
|
Примечание.
Более высокие значения удельного расхода электрической энергии соответствуют меньшим значениям теплопроизводительности, и наоборот.
Таблица 5.2
| Характеристика топлива
|
Марка топлива
|
Низшая теплота сгорания,
ккал/кг (м3
)
|
Теоретический объем, нм3
/кг
|
| воздуха
|
продуктов сгорания
|
| Твердое (уголь):
Челябинский
|
Д
|
5140
|
5,67
|
6,47
|
| Карагандинский
|
Д
|
5090
|
5,60
|
6,02
|
| ш. Воргашорская
|
гжопк
|
5780
|
-
|
-
|
| Жидкое (мазут):
малосернистый
|
9620
|
10,62
|
11,48
|
| сернистый
|
9490
|
10,45
|
11,28
|
| высокосернистый
|
9260
|
10,0
|
10,99
|
| Газообразное:
Медвежье
|
8380
|
-
|
-
|
| Заполярное
|
8430
|
-
|
-
|
| Уренгойское
|
8100
|
-
|
-
|
Таблица 5.3
| Вид топлива
|
ат
|
аух
|
| Твердое топливо
|
1,2 –1,25
|
1,55 – 1,6
|
| Мазут, природный газ
|
1,1
|
1,4
|
Таблица 5.4
| Вид водоразбора
|
Тип котла
|
Период года
|
Удельная потребляемая мощность на прочие нужды, кВт/Мвт (кВт×ч/Гкал)
|
| 1
|
2
|
3
|
4
|
| Закрытый
|
водогрейные
|
отопительный и неотопительный
|
0,55 (064)
|
| паровые
|
То же
|
0,33 (0,38)
|
| Открытый
|
водогрейные
|
отопительный
|
1,33 (1,55)
|
| неотопительный
|
6,66 (7,75)
|
| паровые
|
отопительный
|
0,99 (1,15)
|
| неотопительный
|
3,27 (3,8)
|
Таблица 5.5
| Расчетная тепловая нагрузка отопительный котельных малой мощности, МВт (Гкал/ч)
|
Удельные расходы электроэнергии на выработку и транспортирование тепловой энергии, кВт/МВт (кВт×ч/Гкал)
|
| До 0,58 (до 0,5)
|
17,2(20)
|
| 0,59-1,16 (0,51-1,0)
|
17,2(20)
|
| 1,17-2,33 (1,01-2,0)
|
16,3(19)
|
| 2,34-3,49 (2,01-3,0)
|
15,5(18)
|
| 3,50-5,82 (3,01-5,0)
|
15,5(18)
|
| 5,83-11,6 (5,01-10)
|
15,5(18)
|
| 11,64-58,2 (10,01-50)
|
15,5(18)
|
Таблица 5.6
| Тип вентилятора, дымососа
|
Частота вращения, 1/мин
|
Удельный расход электроэнергии перемещения 1000 м3 воздуха или уходящих газов, кВт×ч/1000 м3
|
Тип вентилятора, дымососа
|
Частота вращения, 1/мин
|
Удельный расход электроэнергии перемещения 1000 м3 воздуха или уходящих газов, кВт×ч/1000 м3
|
| 1
|
2
|
3
|
4
|
5
|
6
|
| ВД2,6
|
1000
|
0,75
|
Ц9-57 N4
|
1450
|
0,50
|
| ВД6
|
970
|
0,45
|
Ц9-57 N5
|
1450
|
0,83
|
| 1450
|
1,02
|
Ц9-57 N6
|
1450
|
0,90
|
| ВДВ
|
730
|
0,44
|
Ц14-46 N4
|
1450
|
0,85
|
| 970
|
0,78
|
Ц14-46 N5
|
970
|
0,47
|
| ВД10
|
485
|
0,30
|
ЭВР4
|
1450
|
0,60
|
| 730
|
0,65
|
ЭВР6
|
960
|
0,61
|
| 970
|
1,24
|
ДЗ,5
|
1500
|
0,33
|
| ВДН8
|
1000
|
0,43
|
Д5,7
|
1450
|
0,57
|
| 1500
|
1,34
|
Д8
|
730
|
0,28
|
| ВДН9
|
1000
|
0,68
|
970
|
0,49
|
| 1500
|
2,20
|
Д10
|
485
|
0,19
|
| ВДН10
|
1000
|
0,49
|
730
|
0,51
|
| 1500
|
1,53
|
970
|
0,72
|
| ВДН11,2
|
1000
|
1,23
|
Д12
|
485
|
0,28
|
| 1500
|
3,85
|
730
|
0,63
|
| ВД12
|
485
|
0,42
|
970
|
1,03
|
| 730
|
0,96
|
Д11,2
|
1000
|
0,32
|
| 970
|
1,70
|
1500
|
1,03
|
| ВД13,5
|
485
|
0,53
|
Д12,5
|
1000
|
0,39
|
| 730
|
1,16
|
1500
|
1,22
|
| 970
|
2,14
|
Д13,5
|
485
|
0,33
|
| ВД 15,5
|
585
|
1,01
|
730
|
0,71
|
| 730
|
1,54
|
970
|
1,30
|
| 970
|
2,70
|
Д15,5
|
585
|
0,74
|
| Ц13-50 №4
|
1450
|
0,63
|
730
|
1,68
|
Таблица 5.7
| Элемент сети:
|
Потери напряжения, %
|
Потери электрической энергии,
|
| Сеть 6кВ
|
| Питательная
|
3,0
|
2,5
|
| Распределительная
|
2,0
|
1,0
|
| Сетевые трансформаторы:
|
| постоянные потери
|
-
|
2,0
|
| переменные потери
|
-
|
1,0
|
| Сеть низкого напряжения общего пользования
|
4,5
|
2,0
|
| Сеть 10 кВ
|
| Питательная
|
2,5
|
2,0
|
| Распределительная
|
1,5
|
1,0
|
| Сетевые трансформаторы:
|
| постоянные потери
|
-
|
2,0
|
| переменные потери
|
-
|
1,0
|
| Сеть низкого напряжения общего пользования
|
6,5
|
2,4
|
Таблица 5.8
| Количество и тип установленных котлов
|
Вид топлива
|
Мощность котельной, МВт (Гкал/ч)
|
Коэффициент спроса
|
Удельный расход электроэнергии, кВт×ч/МВт (кВт×ч/Гкал)
|
| 1
|
2
|
3
|
4
|
5
|
| 3хКВТС-10
|
К
|
34,89 (30)
|
0,332
|
24,6 (28,6)
|
| 3хКВГМ-10
|
ГМ
|
34,89 (30)
|
0,354
|
21,7 (25,2)
|
| М
|
0,354
|
21,7 (25,2)
|
| Г
|
0,362
|
20,1 (23,4)
|
| 4хКВТС-10
|
К
|
46,52 (40)
|
0,332
|
17,3 (20,1)
|
| 4хКВГМ-10
|
ГМ
|
46,52 (40)
|
0,354
|
16,9 (19,6)
|
| М
|
0,354
|
16,9 (19,6)
|
| Г
|
0,362
|
15,6 (18,2)
|
| 3хКВТС-20
|
К
|
69,78 (60)
|
0,332
|
15,7 (18,3)
|
| КА
|
0,310
|
15,6 (18,1)
|
| 3хКВГМ-20
|
ГМ
|
69,78 (60)
|
0,354
|
13,8 (16,1)
|
| М
|
0,354
|
13,8 (16,1)
|
| Г
|
0,362
|
13,1 (15,2)
|
| 3хКВТС-30
|
К
|
104,67 (90)
|
0,332
|
23,7 (27,6)
|
| КА
|
0,310
|
23,4 (27,2)
|
| 3хКВТК-30
|
К
|
104,67 (90)
|
0,422
|
32,3 (37,6)
|
| КА
|
0,394
|
32,0 (37,2)
|
| 3хКВГМ-30
|
ГМ
|
122,1 (105)
|
0,342
|
18,1 (21,0)
|
| М
|
0,342
|
18,1 (21,0)
|
| Г
|
139,6 (120)
|
0,354
|
13,5 (15,7)
|
| 4хКВТС-30
|
К
|
139,6 (120)
|
0,332
|
14,7 (17,1)
|
| КА
|
0,310
|
14,5 (16,9)
|
| 4хКВТК-30
|
К
|
162,8 (140)
|
0,422
|
26,9 (31,3)
|
| КА
|
0,394
|
29,1 (33,8)
|
| 4хКВГМ-30
|
ГМ
|
162,8 (140)
|
0,342
|
14,1 (16,4)
|
| М
|
0,342
|
14,1 (16,4)
|
| Г
|
186,1 (160)
|
0,354
|
11,5 (13,4)
|
| 3хКВТК-50
|
К
|
174,5 (150)
|
0,422
|
23,6 (27,4)
|
| КА
|
0,394
|
23,7 (27,6)
|
| 3хКВГМ-50
|
ГМ
|
174,5 (150)
|
0,342
|
16,7 (19,4)
|
| М
|
0,342
|
16,7 (19,4)
|
| Г
|
0,354
|
15,0 (17,4)
|
| 4хКВТК-50
|
К
|
232,6 (200)
|
0,422
|
23,0 (26,7)
|
| КА
|
0,394
|
24,0 (27,9)
|
| 4хКВГМ-50
|
ГМ
|
232,6 (200)
|
0,342
|
14,0 (16,3)
|
| М
|
0,342
|
14,9 (12,8)
|
| Г
|
0,354
|
12,8 (14,9)
|
Таблица 5.9
| Расчетная тепловая нагрузка Мвт/(Гкал/ч)
|
Предельные удельные электронагрузки районных котельных (без учета сетевых насосов), кВт/МВт [кВт/(Гкал/ч)]
|
| Открытая система
|
Закрытая система
|
| Каменный и бурый уголь
|
Мазут
|
Природный газ
|
Каменный и бурый уголь
|
Мазут
|
Природный газ
|
| 1
|
2
|
3
|
4
|
5
|
6
|
7
|
| 58(50)и менее
|
11,6 (13,5)
|
9,5 (11,0)
|
8,6 (10)
|
8,0 (9,3)
|
6,6 (7,7)
|
5,5 (6,4)
|
| 69,9 (60)
|
10,8 (12,6)
|
9,2 (10,7)
|
8,3 (9,6)
|
7,4 (8,6)
|
6,4 (7,4)
|
5,2 (6,1)
|
| 93,0 (80)
|
9,9 (11,5)
|
8,9 (10,3)
|
7,7 (9,0)
|
6,6 (7,7)
|
5,8 (6,8)
|
4,9 (5,7)
|
| 116 (100)
|
9,1 (10,6)
|
8,3 (9,7)
|
7,3 (8,5)
|
6,2 (7,2)
|
5,7 (6,6)
|
4,6 (5,3)
|
| 139,6 (120)
|
-
|
8,1 (9,4)
|
7,1 (8,2)
|
-
|
5,6 (6,5)
|
4,2 (4,9)
|
| 162,8 (140)
|
-
|
7,7 (9,0)
|
6,8 (7,9)
|
-
|
5,5 (6,4)
|
4,1 (4,8)
|
| 186,0 (160)
|
-
|
7,6 (8,8)
|
6,7 (7,8)
|
-
|
5,4 (6,3)
|
4,1 (4,8)
|
| 209,3 (180)
|
-
|
7,5 (8,7)
|
6,7 (7,8)
|
-
|
5,3 (6,2)
|
4,0 (4,7)
|
| 232,6 (200)
|
-
|
7,4 (8,6)
|
6,6 (7,7)
|
-
|
5,3 (6,2)
|
4,0 (4,7)
|
| 255,8 (220)
|
-
|
7,3 (8,5)
|
6,6 (7,6)
|
-
|
5,3 (6,2)
|
4,0 (4,6)
|
| 279,1 (240)
|
-
|
7,2 (8,4)
|
6,4 (7,5)
|
-
|
5,2 (6,0)
|
4,0 (4,6)
|
| 302,4 (260)
|
-
|
7,2 (8,4)
|
6,4 (7,4)
|
-
|
5,1 (5,9)
|
4,0 (4,6)
|
| 325,6 (280)
|
-
|
7,1 (8,3)
|
6,3 (7,3)
|
-
|
5,0 (5,8)
|
3,9 (4,5)
|
| 348,9 (300)
|
-
|
7,1 (8,2)
|
6,2 (7,2)
|
-
|
4,9 (5,7)
|
3,9 (4,5)
|
Таблица 5.10
| Оборудование
|
Коэффициент спроса
|
Коэффициент использования
|
| 1
|
2
|
3
|
| Трансформаторы
|
0,5-0,8
|
| Дробилки молотковые
|
0,7-0,9
|
0,8
|
| Скиповые подъемники
|
0,3
|
| Вентиляторы, дымососы
|
0,75
|
0,65
|
| Скреперные лебедки
|
0,35-0,5
|
| Питатели ленточные, барабанные, маятниковые, лотковые
|
0,65-0,7
|
| Конвейеры легкие (до 10 кВт)
|
0,65-0,7
|
0,4-0,5
|
| Шнеки, элеваторы, механические топки
|
0,75-0,8
|
| Вакуум-насосы
|
0,7-0,9
|
0,65
|
| Тепловые пункты
|
0,8
|
| Котельные отопительные
|
0,7
|
0,6
|
| Насосы сетевые, питательные
|
0,7-0,85
|
0,6-0,7
|
| Компрессоры
|
0,75-0,8
|
0,65
|
| Кран-балки, тельферы, лифты, тали
|
0,2-0,5
|
| Сварочные трансформаторы
|
0,3-0,35
|
0,3
|
| Сантехвентиляторы
|
0,65-0,75
|
0,6-0,7
|
ПРИЛОЖЕНИЕ 6
Таблица 6.1
| Оборудование теплопотребляющей системы
|
Удельный объем воды на разовое наполнение систем отопления, м3
/МВт[м3
/(Гкал/ч)], при перепаде температур воды в системе теплоснабжения, °С
|
| 97-50
|
110-70
|
130-70
|
140-70
|
150-70
|
180-70
|
| Система отопления:
|
| радиаторы высотой 500 м
|
16,8 (19,5)
|
15,1 (17,6)
|
13,0 (15,1)
|
12,6 (14,6)
|
11,4 (13,3)
|
9,5 (11,1)
|
| радиаторы высотой 1000 м
|
26,7 (31,0)
|
24,2 (28,2)
|
20,8 (24,2)
|
19,9 (23,2)
|
18,6 (21,6)
|
15,6 (18,2)
|
| ребристые трубы
|
12,2 (14,2)
|
10,7 (12,5)
|
9,3 (10,8)
|
8,9 (10,4)
|
7,9 (9,2)
|
6,8 (8,0)
|
| плинтусные конвекторы
|
4,8 (5,6)
|
4,3 (5,0)
|
3,7 (4,3)
|
3,5 (4,1)
|
3,2 (3,7)
|
2,8 (3,2)
|
| регистры из гладких труб
|
31,8 (37,0)
|
27,5 (32,0)
|
23,2 (27,0)
|
22,4 (26,0)
|
20,6 (24,0)
|
18,9 (22,0)
|
| Отопительно-вентиляционная система, оборудованная калориферами
|
7,3 (8,5)
|
6,4 (7,5)
|
5,6 (6,5)
|
5,2 (6,0)
|
4,7 (5,5)
|
3,8 (4,4)
|
Таблица 6.2
| Диаметр трубопровода, мм
|
Толщина стенки, мм
|
Удельный объем воды Vуд
, м3
/км
|
Диаметр трубопровода, мм
|
Толщина стенки, мм
|
Удельный объем воды Vуд
, м3
/км
|
| условный, Dу
|
наружный, Dн
|
условный, Dу
|
наружный, Dн
|
| 15
|
18
|
2,0
|
0,15
|
400
|
426
|
7,0
|
133
|
| 20
|
25
|
2,0
|
0,35
|
400
|
426
|
6,0
|
135
|
| 25
|
32
|
2,5
|
0,6
|
450
|
480
|
7,0
|
170
|
| 32
|
38
|
2,5
|
0,85
|
500
|
530
|
8,0
|
207
|
| 40
|
45
|
2,5
|
1,3
|
500
|
530
|
6,0
|
210
|
| 50
|
57
|
3,0
|
1,4
|
600
|
630
|
6,0
|
300
|
| 70
|
76
|
3,0
|
3,9
|
600
|
630
|
9,0
|
295
|
| 80
|
89
|
3,5
|
5,3
|
700
|
720
|
7,0
|
390
|
| 80
|
89
|
3,0
|
5,5
|
700
|
720
|
8,0
|
389
|
| 100
|
108
|
4,0
|
8
|
800
|
820
|
8,0
|
508
|
| 125
|
133
|
4,0
|
12
|
800
|
820
|
11,0
|
500
|
| 150
|
159
|
4,5
|
18
|
900
|
920
|
9,0
|
640
|
| 175
|
194
|
5,0
|
27
|
900
|
920
|
8,0
|
642
|
| 200
|
219
|
6,0
|
34
|
1000
|
1020
|
12,0
|
779
|
| 250
|
273
|
7,0
|
53
|
1 000
|
1020
|
10,0
|
785
|
| 300
|
325
|
8,0
|
75
|
1 100
|
1120
|
9,0
|
947
|
| 350
|
377
|
9,0
|
101
|
1 200
|
1220
|
9,0
|
1120
|
Таблица 6.3
| Осветительные фильтры
|
Количество воды на взрыхляющую промывку осветительных фильтров, м3
, при диаметре фильтра, мм
|
| 1000
|
1500
|
2000
|
2600
|
3000
|
3400
|
| Однопоточные антрацитовые
|
2,3
|
6,2
|
11,2
|
18,7
|
25,0
|
32,0
|
| Однопоточные кварцевые и двухслойные кварцево-антрацитовые
|
4,1
|
9,3
|
16,7
|
28,1
|
37,5
|
48,1
|
Таблица 6.4
| Процесс
|
Количество воды, м3
, на взрыхление и регенерацию фильтров при диаметре стандартного фильтра, мм
|
| 450
|
700
|
1000
|
1500
|
2000
|
2600
|
3000
|
3400
|
| 1
|
2
|
3
|
4
|
5
|
6
|
7
|
8
|
9
|
| Взрыхляющая промывка
|
0,5
|
1,1
|
2,1
|
4,6
|
8,4
|
14,0
|
18,8
|
24,6
|
| Натрий-катионитовые фильтры первой ступени
|
| Регенерация:
|
| без использования отмывочных вод на взрыхление
|
2,1
|
4,8
|
9,3
|
21,1
|
45,5
|
76,0
|
101,8
|
133,2
|
| с использованием отмывочных вод на взрыхление
|
1,6
|
3,7
|
7,3
|
16,2
|
37,0
|
62,0
|
83,0
|
108,6
|
| Водородно-катионитовые фильтры (при ''голодной'' регенерации)
|
| Регенерация:
|
| Без использования отмывочных вод на взрыхление
|
-
|
-
|
11,2
|
25,3
|
54,8
|
92,0
|
122,9
|
160,9
|
| с использованием отмывочных вод на взрыхление
|
-
|
-
|
9,1
|
20,6
|
45,5
|
78,0
|
104,1
|
136,3
|
| Натрий-катионитовые фильтры второй ступени (при использовании конструкции фильтров первой ступени)
|
| Регенерация:
|
| Без использования отмывочных вод на взрыхление
|
2,3
|
5,3
|
10,3
|
23,3
|
50,4
|
74,5
|
113,1
|
147,2
|
| с использованием отмывочных вод на взрыхление
|
1,8
|
4,2
|
3,2
|
18,7
|
42,0
|
70,5
|
94,3
|
123,2
|
Таблица 6.5
| Способ шлакозолоудаления
|
Удельный расход воды на 1 т шлака или золы, м3
|
| Ручное (вагонетками)
|
0,1-0,2
|
| Механизированное мокрое скрепером или скребками
|
0,1-0,5
|
| Пневматическое
|
0,1-0,2
|
| Гидравлическое с багерными и песковыми насосами
|
10-30
|
| Гидравлический с аппаратом Москалькова
|
15-45
|
Таблица 6.6
| Вид топлива
|
Удельный расход воды, т/ч МВт [т/ч(Гкал/ч)], при мощности одного агрегата, МВт (Гкал/ч)
|
| 0,58 (0,5)
|
1,16(1,0)
|
2,32(2,0)
|
4,64(4,0)
|
7,0 (6,0)
|
9,7(8,0)
|
11,6(10)
|
23,2(20)
|
| Твердое
|
1,4(1,75)
|
1,32(1,53)
|
1,12(1,3)
|
0,86(1,0)
|
0,69(0,8)
|
0,60(0,7)
|
0,56(0,65)
|
0,52(0,6)
|
| Газ и мазут
|
0,95(1,1)
|
0,86(1,0)
|
0,69(0,8)
|
0,52(0,6)
|
0,43(0,5)
|
0,41(0,48)
|
0,39(0,45)
|
0,35(0,4)
|
Таблица 7.1
Технические данные чугунных отопительных радиаторов
| Наименование нагревательного прибора
|
Площадь поверхности нагрева 1 секции
|
Коэффициент
пересчета поверхности
нагрева
с м2
на экм
|
Вместимость, л
|
| м2
|
экм
|
секции
|
1 м2
|
1 экм
|
| «Польза-6»
|
0,460
|
0,492
|
1,07
|
6,000
|
13,60
|
12,70
|
| «Гигиенический»
|
0,175
|
0,205
|
1,17
|
1,900
|
10,85
|
9,25
|
| ЛОР-150-300
|
0,130
|
0,155
|
1,19
|
0,980
|
7,55
|
6,35
|
| ЛОР-150-500
|
0,200
|
0,224
|
1,12
|
1,420
|
7,10
|
6,30
|
| М-140
|
0,254
|
0,310
|
1,22
|
1,420
|
5,60
|
4,60
|
| Н-150А
|
0,210
|
0,280
|
1,325
|
1,550
|
7,36
|
5,55
|
| Н-150 (улучшенный)
|
0,245
|
0,310
|
1,265
|
1,550
|
6,33
|
5,00
|
| НМ-150
|
0,254
|
0,310
|
1,220
|
1,980
|
7,80
|
6,40
|
| МН-150
|
0,238
|
0,300
|
1,260
|
1,640
|
6,90
|
5,47
|
| «Минск-110»
|
0,285
|
0,340
|
1,190
|
2,100
|
7,40
|
6,20
|
| В-85А
|
0,176
|
0,240
|
1,360
|
1,750
|
9,95
|
7,30
|
| РД-26
|
0,205
|
0,275
|
1,340
|
1,360
|
6,63
|
4,95
|
| РД-90
|
0,203
|
0,275
|
1,350
|
1,500
|
7,40
|
5,45
|
| М-140-АО
|
0,299
|
0,350
|
1,170
|
1,420
|
4,75
|
4,07
|
| М-140-АО-300
|
0,170
|
0,217
|
1,276
|
1,100
|
6,48
|
5,07
|
| М-90
|
0,200
|
0,261
|
1,300
|
1,135
|
5,69
|
4,38
|
| «Стандарт-90»
|
0,200
|
0,250
|
1,250
|
1,520
|
7,60
|
6,08
|
Таблица 7.2
Технические данные радиаторов марки М3
| Марка прибора
|
Число колонок
|
Длина L, м
|
Площадь поверхности нагрева F
|
| одиночных М3
|
спаренных М3
|
| м2
|
экм
|
коэффициент пересчета
|
м2
|
экм
|
коэффициент пересчета
|
| М3-500-1
|
8
|
518
|
0,64
|
0,83
|
1,3
|
1,28
|
1,41
|
1,1
|
| М3-500-2
|
12
|
766
|
0,96
|
1,25
|
1,3
|
1,92
|
2,12
|
1,1
|
| М3-500-3
|
16
|
952
|
1,2
|
1,56
|
1,3
|
2,4
|
2,65
|
1,1
|
| М3-500-4
|
20
|
1262
|
1,6
|
2,08
|
1,3
|
3,2
|
3,58
|
1,1
|
| М3-500-5
|
24
|
1510
|
1,92
|
2,40
|
1,25
|
3,84
|
4,24
|
1,1
|
| М3-350-1
|
8
|
518
|
0,425
|
0,6
|
1,4
|
0,85
|
1,01
|
1,19
|
| М3-350-2
|
12
|
766
|
0,637
|
0,89
|
1,4
|
1,275
|
1,52
|
1,19
|
| М3-350-3
|
16
|
952
|
0,828
|
1,16
|
1,4
|
1,656
|
1,97
|
1,19
|
| М3-350-4
|
20
|
1262
|
1,062
|
1,49
|
1,4
|
2,125
|
2,52
|
1,19
|
| М3-350-5
|
24
|
1510
|
1,275
|
1,78
|
1,4
|
2,55
|
3,04
|
1,19
|
Таблица 7.3
Технические данные радиаторов марки 3С
| Марка радиатора
|
Длина прибора, м
|
Площадь поверхности нагрева F прибора
|
Вместимость одиночной панели
|
| одиночного типа 3С-11-№ или 3С-1-№
|
спаренного типа 3С-21-№ или 3С-2-№
|
| м2
|
экм
|
коэффициент пересчета
|
м2
|
экм
|
коэффициент пересчета
|
| 3С-11-3
|
545
|
0,73
|
0,97
|
1,33
|
1,46
|
1,65
|
1,13
|
3,34
|
| 3С-11-4
|
694
|
0,93
|
1,24
|
1,86
|
2,11
|
4,26
|
| 3С-11-5
|
844
|
1,13
|
1,51
|
2,26
|
2,56
|
5,22
|
| 3С-11-6
|
1018
|
1,35
|
1,81
|
2,7
|
3,08
|
6,26
|
| 3С-11-7
|
1190
|
1,60
|
2,13
|
3,2
|
3,59
|
7,34
|
| 3С-11-8
|
1375
|
1,72
|
2,29
|
3,44
|
3,86
|
8,40
|
| 3С-11-9
|
1532
|
2,05
|
2,73
|
4,10
|
4,65
|
9,34
|
| 3С-1-3
|
570
|
0,65
|
0,90
|
1,38
|
1,30
|
1,50
|
1,15
|
2,85
|
| 3С-1-4
|
720
|
0,84
|
1,12
|
1,33
|
1,68
|
1,86
|
1,11
|
3,5
|
| 3С-1-5
|
880
|
1,06
|
1,36
|
1,28
|
2,10
|
2,26
|
1,08
|
4,6
|
| 3С-1-6
|
1060
|
1,28
|
1,62
|
1,26
|
2,56
|
2,69
|
1,05
|
5,3
|
| 3С-1-7
|
1240
|
1,51
|
1,87
|
1,24
|
3,02
|
3,11
|
1,03
|
6,25
|
| 3С-1-8
|
1430
|
1,76
|
2,14
|
1,22
|
3,52
|
3,56
|
1,01
|
7,0
|
| 3С-1-9
|
1600
|
1,98
|
2,40
|
1,21
|
3,96
|
3,99
|
1,01
|
8,2
|
Таблица 7.4
Технические данные радиаторов КЛТ
| Марка радиатора
|
L
|
L1
|
Площадь поверхности нагрева радиаторов F
|
| одиночных
|
Спаренных
|
| м2
|
экм
|
коэффициент пересчета
|
м2
|
экм
|
Коэффициент пересчета
|
| КЛТ-1
|
600
|
460
|
0,81
|
0,77
|
0,955
|
-
|
-
|
0,81
|
| КЛТ-2
|
800
|
660
|
1,08
|
1,03
|
2,16
|
1,75
|
| КЛТ-3
|
1000
|
860
|
1,35
|
1,29
|
2,70
|
2,19
|
| КЛТ-4
|
1200
|
1060
|
1,62
|
1,55
|
3,24
|
2,64
|
| КЛТ-5
|
1400
|
1260
|
1,89
|
1,80
|
3,78
|
3,06
|
| КЛТ-6
|
1600
|
1460
|
2,16
|
2,06
|
4,32
|
3,50
|
| КЛТ-7
|
2000
|
1860
|
2,70
|
2,58
|
5,40
|
4,38
|
Таблица 7.5
Площадь поверхностей нагрева регистров из ребристых труб
| Число рядов
труб
по вертикали
|
Площадь поверхности нагрева F, экм, при длине одного ряда, м
|
| 0,5
|
0,75
|
1
|
1,5
|
2
|
3
|
4
|
5
|
| 1
|
0,69
|
1,03
|
1,38
|
2,07
|
2,76
|
4,15
|
5,52
|
6,90
|
| 2
|
1,28
|
1,92
|
2,57
|
3,85
|
5,14
|
7,70
|
10,03
|
12,60
|
| 3
|
1,60
|
2,38
|
3,18
|
4,79
|
6,38
|
9,56
|
12,75
|
15,95
|
| 4
|
1,90
|
2,84
|
3,80
|
5,71
|
7,62
|
11,45
|
15,20
|
19,00
|
Таблица 7.6
Площадь поверхности нагрева 1 м гладкой трубы
| Вид поверхности
|
Диаметр трубопровода, мм
|
| 25
|
32
|
40
|
50
|
70
|
80
|
100
|
125
|
150
|
200
|
250
|
300
|
| Геометрическая поверхность, м2
|
0,1
|
0,12
|
0,14
|
0,18
|
0,24
|
0,28
|
0,34
|
0,42
|
0,50
|
0,69
|
0,86
|
1,02
|
| Эквивалентная поверхность, экм, при одном ряде труб в регистре по вертикали
|
0,16
|
0,19
|
0,24
|
0,30
|
0,38
|
0,45
|
0,54
|
0,66
|
0,78
|
1,08
|
0,37
|
0,63
|
| То же при двух рядах и более
|
0,13
|
0,15
|
0,19
|
0,24
|
0,31
|
0,36
|
0,43
|
0,53
|
0,66
|
0,92
|
1,10
|
1,30
|
Таблица 7.7
Технические данные однорядных конвекторов типа КП
| Марка приборов
|
Длина, мм
|
Площадь поверхности нагрева F при диаметре трубы
|
| Dу
= 15 мм
|
Dу
= 20 мм
|
| м2
|
экм
|
коэффициент пересчета
|
м2
|
экм
|
коэффициент пересчета
|
| КП-0,5
|
500
|
0,37
|
0,25
|
0,68
|
0,49
|
0,28
|
0,62
|
| КП-0,75
|
750
|
0,55
|
0,34
|
0,63
|
0,68
|
0,42
|
0,62
|
| КП-1,0
|
1000
|
0,73
|
0,46
|
0,63
|
0,91
|
0,57
|
0,62
|
| КП-1,25
|
1250
|
0,95
|
0,60
|
0,63
|
1,15
|
0,72
|
0,2
|
| КП-1,5
|
1500
|
1,14
|
0,70
|
0,63
|
1,43
|
0,89
|
0,62
|
| КП-1,75
|
1750
|
1,37
|
0,86
|
0,63
|
1,67
|
1,04
|
0,62
|
| КП-2,0
|
2000
|
1,46
|
0,92
|
0,63
|
1,91
|
1,18
|
0,62
|
Таблица 7.8
Технические данные настенных, островных и напольных конвекторов «Комфорт» с
Dу
= 15 мм
| Марка прибора
|
Длина L, мм
|
Глубина а, мм
|
Шаг оребрения S, мм
|
Площадь поверхности нагрева F, экм
|
| Нн-1
|
710
|
62
|
7,5
|
0,76
|
| Нн-2
|
1110
|
62
|
7,5
|
1,27
|
| Нн-3
|
1510
|
62
|
7,5
|
1,78
|
| Нн-5
|
710
|
123
|
7,5
|
0,985
|
| Нн-6
|
710
|
123
|
5,0
|
1,24
|
| Нн-8
|
1110
|
123
|
7,5
|
1,64
|
| Нн-9
|
1110
|
123
|
5,0
|
2,06
|
| Нн-11
|
1510
|
123
|
7,5
|
2,30
|
| Нн-12
|
1510
|
123
|
5,0
|
2,87
|
| Нн-13
|
710
|
123
|
7,5
|
1,53
|
| Нн-14
|
1110
|
123
|
7,5
|
2,55
|
| Нн-15
|
1510
|
123
|
7,5
|
3,57
|
| Нн-16
|
510
|
124
|
7,5
|
0,66
|
| Нн-17
|
510
|
124
|
5,0
|
0,82
|
| Нн-18
|
560
|
124
|
7,5
|
0,74
|
| Нн-19
|
560
|
124
|
5,0
|
0,93
|
| Нн-20
|
860
|
124
|
7,5
|
1,23
|
| Нн-21
|
860
|
124
|
5,0
|
1,50
|
| Нн-22
|
910
|
124
|
7,5
|
1,30
|
| Нн-23
|
910
|
124
|
5,0
|
1,65
|
Таблица 7.9
Технические данные настенных, проходных и концевых конвекторов «Комфорт» с
Dу
= 20 мм
| Обозначение конвектора
|
Размеры конвекторов, мм
|
Площадь поверхности нагрева, экм
|
| длина L
|
длина оребрения l
|
шаг оребрения S
|
глубина а
|
проходных типа КН20-П
|
концевых типа КН20-К
|
| 400-5
|
500
|
400
|
5
|
160
|
1,2
|
1,1
|
| 400-10
|
500
|
400
|
10
|
160
|
0,8
|
0,75
|
| 500-5
|
600
|
500
|
5
|
160
|
1,5
|
1,4
|
| 500-10
|
600
|
500
|
10
|
160
|
1,0
|
0,95
|
| 600-5
|
700
|
600
|
5
|
160
|
1,8
|
1,7
|
| 700-5
|
800
|
700
|
5
|
160
|
2,1
|
2,0
|
| 800-5
|
900
|
800
|
5
|
160
|
2,4
|
2,3
|
| 900-5
|
1000
|
900
|
5
|
160
|
2,7
|
2,6
|
| 1000-5
|
1100
|
1000
|
5
|
160
|
3,0
|
2,9
|
| 1100-5
|
1200
|
1100
|
5
|
160
|
3,3
|
3,2
|
| 1200-5
|
1300
|
1120
|
5
|
160
|
3,6
|
3,5
|
Таблица 7.10
Технические данные конвекторов типа «Прогресс»
| Марка прибора
|
Условная длина L, м
|
Число ребер в ряду
|
Площадь поверхности нагрева F конвекторов
|
| 15К
|
20К
|
| однорядный
|
двухрядный
|
однорядный
|
двухрядный
|
| м2
|
экм
|
м2
|
экм
|
м2
|
экм
|
м2
|
экм
|
| К-0,4
|
0,4
|
19
|
0,88
|
0,49
|
1,76
|
0,87
|
0,88
|
0,47
|
1,76
|
0,84
|
| К-0,5
|
0,5
|
24
|
1,11
|
0,61
|
2,22
|
1,09
|
1,10
|
0,59
|
2,20
|
1,06
|
| К-0,6
|
0,6
|
29
|
1,33
|
0,73
|
2,66
|
1,31
|
1,32
|
0,71
|
2,64
|
1,26
|
| К-0,7
|
0,7
|
34
|
1,55
|
0,86
|
3,10
|
1,53
|
1,54
|
0,83
|
3,08
|
1,48
|
| К-0,8
|
0,8
|
39
|
1,77
|
0,98
|
3,54
|
1,74
|
1,76
|
0,95
|
3,52
|
1,88
|
| К-0,9
|
0,9
|
44
|
1,99
|
1,11
|
3,98
|
1,96
|
1,98
|
1,07
|
3,96
|
1,90
|
| К-1,0
|
1,0
|
49
|
2,21
|
1,23
|
4,42
|
2,18
|
2,20
|
1,19
|
4,40
|
2,12
|
| К-1,1
|
1,1
|
54
|
2,43
|
1,35
|
4,86
|
2,40
|
2,42
|
1,31
|
4,84
|
2,32
|
| К-1,2
|
1,2
|
59
|
2,65
|
1,48
|
5,30
|
2,62
|
2,64
|
1,44
|
5,28
|
2,52
|
| К-1,3
|
13
|
63
|
2,88
|
1,59
|
4,76
|
2,84
|
2,86
|
1,54
|
5,72
|
2,74
|
| К-1,4
|
1,4
|
68
|
3,10
|
1,72
|
6,20
|
3,05
|
3,08
|
1,66
|
6,16
|
2,96
|
| К-1,5
|
1,5
|
73
|
3,32
|
1,84
|
6,64
|
3,24
|
3,30
|
1,78
|
6,60
|
3,16
|
| К-1,6
|
1,6
|
78
|
3,54
|
1,96
|
7,08
|
3,49
|
3,52
|
1,90
|
7,04
|
3,38
|
| К-1,7
|
1,7
|
83
|
3,76
|
2,09
|
7,52
|
3,71
|
3,74
|
2,02
|
7,48
|
3,59
|
| К-1,8
|
1,8
|
88
|
3,98
|
2,21
|
7,96
|
3,92
|
3,96
|
2,14
|
7,92
|
3,80
|
| К-1,9
|
1,9
|
93
|
4,20
|
2,34
|
8,40
|
4,14
|
4,18
|
2,26
|
8,36
|
4,02
|
| К-2,0
|
2,0
|
98
|
4,42
|
2,46
|
8,84
|
4,36
|
4,40
|
2,38
|
8,80
|
4,22
|
Таблица 7.11
Технические данные отопительных приборов «Аккорд»
| Марка прибора
|
Длина, м
|
Число ребер
|
Площадь поверхности нагрева F, экм, при числе рядов в установке
|
| 1
|
2
|
3
|
4
|
5
|
6
|
| А12
|
460
|
12
|
0,6
|
1,11
|
1,61
|
2,11
|
2,61
|
3,12
|
| А16
|
620
|
16
|
0,8
|
1,47
|
2,14
|
2,82
|
3,49
|
4,16
|
| А20
|
780
|
20
|
1,0
|
1,84
|
2,68
|
3,52
|
4,36
|
5,20
|
| А24
|
940
|
24
|
1,2
|
2,21
|
3,21
|
4,23
|
5,23
|
6,23
|
| А28
|
1100
|
28
|
1,4
|
2,58
|
3,75
|
4,93
|
6,10
|
7,27
|
| А32
|
1260
|
32
|
1,6
|
2,94
|
4,28
|
5,63
|
6,95
|
8,30
|
| А36
|
1420
|
36
|
1,8
|
3,31
|
4,82
|
6,34
|
7,85
|
9,35
|
| А40
|
1580
|
40
|
2,0
|
3,68
|
5,35
|
7,04
|
8,72
|
10,40
|
| А48
|
1880
|
48
|
2,4
|
4,42
|
6,42
|
8,45
|
10,45
|
12,45
|
Таблица 7.12
Технический данные труб чугунных ребристых
| Длина трубы L, м
|
Число ребер
|
Площадь поверхности нагрева одной трубы
|
Объем 1 м трубы, л
|
Масса, кг (не более)
|
| м2
|
экм
|
1 м трубы
|
1 экм
|
| 1
|
43
|
2
|
1,38
|
3,85
|
35
|
25,3
|
| 1,5
|
68
|
3
|
2,07
|
5,8
|
52,5
|
25,3
|
| 2
|
93
|
4
|
2,76
|
7,7
|
70
|
25,3
|
Таблица 7.13
Технические данные радиаторов РСВ
| Типоразмер
|
Площадь поверхности нагрева одной трубы
|
L
|
L1
|
Масса, кг
|
| м2
|
экм
|
| Однорядное исполнение
|
| РСВ-1-0,89
|
0,66
|
0,89
|
538
|
563
|
7,61
|
| РСВ-1-1,20
|
0,89
|
1,20
|
724
|
749
|
10,13
|
| РСВ-1-1,51
|
1,14
|
1,51
|
910
|
935
|
12,66
|
| РСВ-1-1,82
|
1,36
|
1,82
|
1096
|
1121
|
15,17
|
| РСВ-1-2,13
|
1,60
|
2,13
|
1282
|
1307
|
18,07
|
| Двухрядное исполнение
|
| РСВ-2-1,55
|
1,33
|
1,55
|
538
|
623
|
15,42
|
| РСВ-2-2,09
|
1,79
|
2,09
|
724
|
809
|
20,46
|
| РСВ-2-2,62
|
2,29
|
2,62
|
910
|
995
|
25,52
|
| РСВ-2-3,16
|
2,73
|
3,16
|
1096
|
1181
|
30,54
|
| РСВ-2-3,70
|
3,21
|
3,70
|
1282
|
1367
|
36,40
|
Таблица 7.14
Технические данные радиаторов стальных панельных РСГ2
| Типоразмер
|
Площадь поверхности нагрева одной трубы
|
L
|
L1
|
Масса, кг
|
| м2
|
экм
|
| Однорядное исполнение
|
| РСГ2-1-0,9
|
0,7
|
0,9
|
555
|
600
|
7,9
|
| РСГ2-1-1,12
|
0,88
|
1,12
|
695
|
725
|
9,9
|
| РСГ2-1-1,36
|
1,08
|
1,36
|
850
|
880
|
11,9
|
| РСГ2-1-1,62
|
1,3
|
1,62
|
1020
|
1050
|
14,3
|
| РСГ2-1-1,87
|
1,52
|
1,87
|
1180
|
1210
|
16,5
|
| РСГ2-1-2,14
|
1,73
|
2,14
|
1360
|
1390
|
18,8
|
| РСГ2-1-2,4
|
1,95
|
2,4
|
1520
|
1550
|
21,1
|
| Двухрядное исполнение
|
| РСГ2-2-1,5
|
1,4
|
1,5
|
555
|
713
|
16,5
|
| РСГ2-2-1,86
|
1,76
|
1,86
|
695
|
855
|
20,5
|
| РСГ2-2-2,26
|
2,16
|
2,26
|
850
|
1010
|
24,5
|
| РСГ2-2-2,69
|
2,6
|
2,69
|
1020
|
1180
|
29,3
|
| РСГ2-2-3,11
|
3,04
|
3,11
|
1180
|
1340
|
33,7
|
| РСГ2-2-3,56
|
3,46
|
3,55
|
1360
|
1520
|
28,3
|
| РСГ2-2-3,99
|
3,90
|
3,99
|
1520
|
1680
|
42,9
|
Таблица 7.15
Размеры и масса конвекторов «Ритм»
| Типоразмер
|
Длина оребренной части нагревательного элемента
|
Длина, мм
|
Высота, мм
|
Глубина, мм
|
Площадь эквивалентной поверхности нагрева, экм
|
Масса, кг
|
| КО 20-2,4К
|
900
|
900
|
320
|
180
|
2,4
|
22,5
|
| КО 20-2,4П
|
900
|
990
|
320
|
180
|
2,4
|
22,5
|
| КО 20-1,6П
|
600
|
990
|
320
|
180
|
1,6
|
20
|
| КО 20-Т
|
-
|
25
|
320
|
180
|
-
|
0,7
|
| КО 20-ТГ
|
-
|
25
|
320
|
180
|
-
|
0,7
|
| КО 20-У
|
-
|
180
|
320
|
180
|
-
|
1,44
|
| КО 1,6К
|
600
|
990
|
320
|
180
|
1,6
|
20
|
| КО 3,75К
|
1400
|
1500
|
320
|
180
|
3,75
|
32
|
| КО 3,75П
|
1400
|
1500
|
320
|
180
|
3,75
|
32
|
Примечание:
Максимальная температура теплоносителя 150 °С, давление 1 МПа (10кгс/см2
)
Таблица 7.16
Размеры и масса конвекторов типа КВ
| Типоразмер
|
Полная высота, мм
|
Ширина, мм
|
Глубина, мм
|
Площадь эквивалентной поверхности нагрева, экм
|
Масса, кг
|
| КВ 20-10-600
|
600
|
1400
|
400
|
10
|
69,5
|
| КВ 20-12-900
|
900
|
1400
|
400
|
12
|
82,4
|
Таблица 7.17
Технические характеристики ребристых чугунных труб
| Модель
|
Размер, мм
|
Площадь поверхности нагрева, м2
|
Масса, кг
|
Тепловой поток номинальный, Вт
|
Плотность теплового потока номинальная, Вт/м2
|
| длина
|
диаметр ребер
|
внутренний диаметр
|
| ТГ-1
|
1000
|
175
|
70
|
2
|
37,6
|
776
|
388
|
| ТР-1,5
|
1500
|
175
|
70
|
3
|
56,5
|
1164
|
388
|
| ТР-2
|
2000
|
175
|
70
|
4
|
75,2
|
1552
|
388
|
Таблица 7.18
Технические характеристики конвектора типа «Универсал»
| Модель
|
Длина, мм
|
Площадь поверхности нагрева, м2
|
Тепловой поток, номинальный, Вт
|
Плотность теплового потока номинальная, Вт/м2
|
Масса, кг
|
| КН20-0,4к
|
660
|
0,952
|
400
|
420
|
9,027
|
| КН20-0,419к
|
760
|
1,14
|
479
|
420
|
10,243
|
| КН20-0,655к
|
660
|
1,83
|
655
|
357,9
|
10,831
|
| КН20-0,786к
|
760
|
2,2
|
786
|
357,3
|
12,443
|
| КН20-0,918к
|
860
|
2,57
|
918
|
357,2
|
14,163
|
ПРИЛОЖЕНИЕ 8
Таблица 8.1
| Наименование вредного вещества
|
Химичес-кая формула
|
Класс опасности
|
ПДК в атмосферном воздухе жилых районов
|
Эффект суммации вредного воздействия
|
Наличие в дымовых газах – котельных, работающих на
|
| максимально разовая мг/м3
|
средне-суточная, мг/м3
|
газе
|
мазуте
|
угле
|
| 1
|
2
|
3
|
4
|
5
|
6
|
7
|
8
|
9
|
| Пыль
|
-
|
3
|
0,5
|
0,15
|
+пыль цем.пр-ва
|
-
|
-
|
+
|
| Зола
|
-
|
3
|
0,5
|
0,15
|
-
|
-
|
-
|
+
|
| Сажа
|

|
3
|
0,15
|
0,05
|
-
|
+
|
+
|
-
|
| Пятиокись ванадия
|

|
1
|
-
|
0,002
|

|
-
|
+
|
-
|
| Окись углерода
|

|
4
|
5
|
3
|
+пыль цем.пр-ва
|
+
|
+
|
+
|
| Двуокись углерода
|

|
-
|
-
|
-
|
-
|
+
|
+
|
+
|
| Окись азота (в пересчете на )
|
2
|
0,085
|
0,04
|
В присутствии фенола
|
+
|
+
|
+
|
| Сернистный ангидрид
|

|
3
|
0,5
|
0,05
|
-
|
-
|
+
|
+
|
| Углеводороды
|

|
3
|
3
|
-
|
-
|
-
|
+
|
+
|
| Формальдегид
|

|
2
|
0,035
|
0,012
|
в присутствии гексана
|
-
|
+
|
+
|
| Бенз(а)пирен 3,4
|

|
1
|
-
|
0,1мкг/100м3
|
-
|
-
|
+
|
+
|
| Органические кислоты
|

|
1
|

|
0,000001
|
-
|
-
|
+
|
+
|
Таблица 8.2
| Вещество
|
ПДК, мг/кг
|
| для водоемов санитарно-бытового пользования водой
|
для водоемов с рыбной хозяйством
|
| 1
|
2
|
3
|
| Аммиак (по азоту)
|
2,0
|
0,05
|
| Хлор активный
|
-
|
-
|
| Цинк
|
1,0
|
-
|
| Соли серной кислоты
|
500
|
-
|
| 1
|
2
|
3
|
| Нефть высокосернистая
|
0,1
|
-
|
| Нефть и ее продукты в растворенном эмульгированном состоянии
|
0,5
|
0,05
|
| Фенолы
|
0,001
|
0,001
|
Примечание.
В водоеме ПДК вещества является его концентрация, которая при ежедневном воздействии в течение длительного времени на организм человека не вызывает патологических изменений и заболеваний и не нарушает биологического оптимума в водоеме. Сброс сточных вод допускается после их очистки или по состоянию проточного водоема на расстоянии 1 км и выше ближайшего пункта в створе использования воды при соответствии ее качества санитарным нормам для питьевого и культурно-бытового пользования. В непроточных водоемах это расстояние принимается в обе стороны от пункта пользования. Для водоемов с рыбным хозяйством санитарные нормы относятся к участку в створе или ниже спуска сточных вод до границы водоема рыбного хозяйства.
ПРИЛОЖЕНИЕ 9
Пример расчета расхода топливно-энергетических ресурсов при производстве тепловой энергии за месяц
Исходные данные:
Котельная мощностью 3,44 Гкал/ч (2 котла типа ВК-21), расположена в п. Уренгой Пуровского района. Вырабатывает тепловую энергию на нужды отопления, ГВС, вентиляции. Основной вид топлива: природный газ. Резервное топливо: дизельное топливо.
Расчетный месяц – октябрь. Средняя температура наружного воздуха за октябрь месяц
t
ср
= -5 °С, расчетная температура наружного воздуха
t
р.о
= -46°С, количество дней работы котельной 31 день, средняя температура наружного воздуха за отопительный период -13 °С.
1.
Определяем выработку тепловой энергии (формула 3.1.)
Q
выр
=
Q
от
+
Q
сн
+Q
пот
= 1052,5+6,7+209,2=1268,4 Гкал
Определяем отпуск тепловой энергии в сеть (формула 3.2.)
Q
отп
=
Q
от
+
Q
пот
=1052,5+181,7=1234,2 Гкал
Определяем количество необходимой тепловой энергии на нужды теплоснабжения потребителей в октябре (формула 1.2.)
Проектная подключенная нагрузка - 2,6Гкал/ч, в том числе: отопление - 1,56 Гкал/ч; вентиляция - 0,24 Гкал/ч; ГВС - 0,8 Гкал/ч
В том числе:
отопление по формуле(1.6) -
вентиляция по формуле (1.20)
ГВС -
Определяем количество тепловой энергии, теряемой в тепловых сетях:
Режим работы тепловой сети 95-70°С. Способ прокладки тепловой бесканальный. В соответствии с температурным графиком при
t
ср
=-5°С, температура теплоносителя в подающем трубопроводе
t
под
=51°С, в обратном
t
об
=42°С.
Протяженность тепловых сетей:
Æ
50 - 800м;
Æ
89–400м;
Æ
159-1500м;
Æ
219–300м.
По табл. 2.10 определяем нормы плотности теплового потока через изолированную поверхность трубопроводов, по таблице 5.2. определяем удельный объем воды на наполнение трубопроводов. Данные заносим в таблицу. По формуле 2.36 определяем потери тепловой энергии с поверхности изоляции
Q
0
ai
=(ккал/ч). Результаты расчета также заносим в таблицу:
| Диаметр трубопровода, мм
|
Протяжен-ность, м
|
q
под
, ккал/м
×
ч
|
q
об
, ккал/м
×
ч
|
Q
под, ккал/м
×
ч
|
Q
об
, ккал/м
×
,
|
Q
под
+
Q
об
, ккал/м
×
ч
|
Q
под
+
Q
об
, Гкал/мес
|
V
уд
, м3
/км
|
V
сети,
м3
|
| 50
|
800
|
27
|
23
|
26784
|
22816
|
49600
|
42,4
|
1,4
|
2,24
|
| 89
|
400
|
30
|
25
|
14880
|
12400
|
27280
|
23,3
|
6,5
|
5,2
|
| 159
|
1500
|
40
|
34
|
74400
|
63240
|
137640
|
117,8
|
18
|
54
|
| 219
|
300
|
43
|
36
|
15996
|
13392
|
29388
|
25,2
|
34
|
20,4
|
| Итого:
|
3000
|
243908
|
208,7
|
81,84
|
По формулам (2.27) находим поправочные коэффициенты к нормам плотности теплового потока при значении температуры грунта
t
ГР
=-4,8 °С:
К=[(51+42 – 2
×
(-4,8)]/(51+42-10)=1,24.
Определяем расход воды на наполнение систем отопления присоединенных потребителей по формуле (5.2). Удельный расход воды на разовое наполнение местных систем отопления по Приложению 6
таб.6.1
. Систему отопления принимаем оборудованной радиаторами высотой 500мм:
V
пот
=19,5
×
1,56=30,42 м3
.
Общий объем воды на наполнение системы и внешних трубопроводов тепловых сетей равен:
V
ТС
=81,84+30,42=112,26 м3
.
Определяем количество тепловой энергии, теряемое с утечкой из трубопроводов тепловых сетей по формуле (2.34 ):
По формуле (2.26) определим количество тепловой энергии теряемой в тепловых сетях:
1.4. Определяем расход тепловой энергии на собственные нужды котельной:
Общий расход тепловой энергии на собственные нужды определяют расчетным или опытным путем исходя из потребностей конкретного генерирования тепловой энергии как сумма расходов. В расчет приняты собственные нужды в тепловой энергии на теплоснабжение котельной и топливной насосной, подогрев емкости резервного топлива, технологические процессы подготовки воды, хозяйственно-бытовые нужды.
1.4.1
. Потребное количество тепловой энергии на отопление здания котельной и топливной насосной за октябрь месяц:
= 675
×
0,1
×
0,86
×
(16-(-5))
×
24
×
31
×
10-6
= 0,91 Гкал
=50
×
1,05
×
0,86
×
(15(-5))
×
24
×
31
×
10-6
= 0,67 Гкал
Итого: 1,6 Гкал
Потребное количество тепловой энергии на вентиляцию за октябрь месяц, Гкал:
= 675
×
0,3
×
(16-(-5))
×
8
×
31
×
10-6
= 1,1 Гкал/мес;
Потребное количество тепловой энергии на ГВС:
Q
гвс
=0,27
×
3
×
1,0
×
1
×
(55-5)
×
31
×
10-3
= 1,26 Гкал/мес;
0,27 – норма расхода горячей воды на 1 душевую сетку, м3
.
Всего расход тепловой энергии на нужды теплоснабжения котельной равен:
Q
потр
=1,6+1,1+1,26=4,0 Гкал/мес.
1.4.2.
Определение потерь тепловой энергии при хранении резервного топлива (дизельное топливо). Емкость резервуара 50 м3
. Поверхность нагрева резервуара 36,6 м2
. Коэффициент теплопередачи стенок металлических изолированных резервуаров, принимается равным 3,0 ккал/м2
·ч·˚С. Температура окружающего воздуха для заданного периода -6,3˚С. Время хранения 744 ч. Конечная температура подогрева топлива 15˚С. Плотность дизельного топлива 832 кг/м3
.
Подогрев топливной емкости определяем по формуле (2.18)
Расход тепловой энергии на обогрев топливопровода определяем по формуле (2.19)
Способ прокладки топливопровода – бесканальный. Длина трубопровода, обогревающего линию, 40 м,
Æ
=25; плотность теплового потока от топливопровода в окружающую среду 14,6 ккал/м·ч; коэффициент, учитывающий потери тепловой энергии арматурой для бесканальной прокладки 1,15;
Q
отм
= 22
×
40
×
1,15
×
10-6
= 0,001 Гкал;
1.4.3.
Определение количество тепловой энергии на хозяйственно бытовые нужды по формуле (2.15)
Q
хоз .быт.
=(0,5
×
3
×
1+6
×
0,045)
×
31·1·1·(55-5)·10-3
= 2,7 Гкал
Всего расход тепловой энергии на собственные нужды составит:
Q
сн
=4,0+0,024+0,001+2,7=6,7 Гкал/мес.
2. Количество воды необходимой для выработки тепловой энергии определяем по формуле (5.1)
V
=10118,4+
198,4+54,87=10371,67 м3
2.1.
Определяем расход воды на подпитку по формуле (5.6):
За месяц расход воды на подпитку составит: 13,6
×
24
×
31=10118,4 м3
/мес.
2.2.
Определяем расход воды на нужды водоподготовки по формуле (5.16):
ХВО установка оборудована двумя натрий-катионитовыми фильтрами диаметром 450 мм. Регенерация фильтров производится 2 раза в сутки, при взрыхлении фильтров используется отмывочная вода. По табл. 5.4 находим расход воды на регенерацию фильтра 1,6 м3
.
V
ВД
=1,6
×
2
×
2
×
31=198,4 м3
.
2.3.
Расход воды на хозяйственно-питьевые нужды определяем по формуле (5.20)
G
ХП
=(0,5
×
3
×
1+6
×
0,045)
×
31=54,87 м3
/мес.
3. Расход электрической энергии на выработку тепла определяем по формулам (4.21), (4.22).
Установлено основное и вспомогательное оборудование: 2 насоса К-100-65-200 (1 рабочий, 1 резервный); 2 насоса ВК4/28 (1 рабочий, 1 резервный);2 насоса КМЛ50-50-125 (1 рабочий, 1 резервный);1 насос промывочной воды.
Результаты расчетов заносим в таблицу:
| Оборудование
|
Мощность, кВт
|
Коэффициент спроса, Кс
|
Расчетная мощность, кВт
|
Продолжи-тельность работы, ч
|
Расход электроэнергии, кВт
×ч
|
| Насос сетевой
К-100-65-200
|
30
|
0,8
|
24
|
744
|
17856
|
| Насос подпиточный ВК4/28
|
7,5
|
0,8
|
6
|
744
|
4464
|
| Насос на ГВС
КМЛ50-50-125
|
2,2
|
0,8
|
1,76
|
744
|
1309,44
|
| Насос промыв.воды
|
1,5
|
0,7
|
1,05
|
744
|
781,2
|
| Компрессор
|
4
|
0,7
|
2,8
|
192
|
537,6
|
| Итого
|
24948,2
|
Определяем количество электроэнергии на освещение по формуле(4.16):
Эосв=0,1
×
8·744=595 кВт
×
ч.
Общее количество электрической энергии равно:
Э=24948,2+595 =25543,2 кВт
×
ч.
5. Определяем расход топлива на выработку тепловой энергии.
Удельный расход топлива на выработку тепловой энергии по результатам наладочных испытаний равен 157,5 кг у.т./Гкал.
Расход условного топлива определяем по формуле (3.1):
ВУСЛ
=1268,4
×
157,5
×
10-3
= 199,8 т у.т.
Калорийный эквивалент определяем по формуле (3.9)
При =8100 ккал/м3
Эк
= 8100/7000=1,16.
Проводим пересчет условного топлива в натуральное по формуле (3.8):
ВНАТ
= ВУСЛ
/Эк
=199,8/1,16=172,2 тыс.м3
.
ПРИЛОЖЕНИЕ 10
ТАБЛИЦЫ СООТНОШЕНИЙ МЕЖДУ ЕДИНИЦАМИ
Соотношение между единицами энергии
| Единица
|
Дж
|
кгс×м
|
кал
|
ккал
|
кВт×ч
|
| джоуль
|
1
|
0,102
|
0,239
|
2,39×10-4
|
2,78×10-7
|
| килограмм-сила-метр
|
9,8067
|
1
|
2,343
|
2,343×10-3
|
2,72×10-6
|
| калория
|
4,1868
|
0,42686
|
1
|
103
|
1,16×10-6
|
| килокалория
|
4,1868×103
|
4,2686×102
|
103
|
1
|
1,16×10-3
|
| киловатт-час
|
3,6×106
|
3,67×105
|
8,6×105
|
8,6×102
|
1
|
Соотношение между единицами давления и напряжения
| Единица
|
Па
|
бар
|
мм вод.ст.
|
мм рт.ст.
|
кгс/см2
|
| паскаль
|
1
|
10-5
|
0,102
|
7,5024×10-3
|
1,02×10-5
|
| бар
|
105
|
1
|
1,02×104
|
7,5024×102
|
1,02
|
| миллиметр водяного столба
|
9,8067
|
9,8067×10-5
|
1
|
7,35×10-2
|
10-4
|
| миллиметр ртутного столба
|
1,33×102
|
1,33×10-3
|
13,6
|
1
|
1,36×10-3
|
| килограмм-сила на квадратный сантиметр
|
9,8067×104
|
0,98067
|
104
|
7,35×102
|
1
|
Соотношение между единицами мощности
| Единица
|
Вт
|
кгс×м/с
|
кал/с
|
л.с.
|
| ватт
|
1
|
0,102
|
0,239
|
1,36×103
|
| килограмм-сила метр в секунду
|
9,8067
|
1
|
2,343
|
1,33×10-2
|
| калория в секунду
|
4,1868
|
0,427
|
1
|
5,69×10-3
|
| лошадиная сила
|
736
|
75
|
175,5
|
1
|
Соотношение между единицами коэффициента теплопередачи
| Единица
|
Вт/(м2
×К)
|
ккал/(ч×м2
×°С)
|
кал/(с×см2
×°С)
|
| ватт на квадратный метр-кельвин
|
1
|
0,86
|
2,39×10-5
|
| килокалория в час на квадратный метр-градус Цельсия
|
1,16
|
1
|
2,78×10-5
|
| калория в секунду на квадратный сантиметр-градус Цельсия
|
4,187
|
3,6×104
|
1
|
Соотношение между единицами массы
| Единица
|
кг
|
г
|
т
|
| килограмм
|
1
|
103
|
10-3
|
| грамм
|
10-3
|
1
|
10-6
|
| тонна
|
103
|
106
|
1
|
Соотношение между единицами объема
| Единица
|
м3
|
см3
|
л (дм3
)
|
in3
|
| кубический метр
|
1
|
106
|
103
|
6,1×104
|
| кубический сантиметр
|
10-6
|
1
|
10-3
|
6,1×10-2
|
| литр (кубический дециметр)
|
10-3
|
103
|
1
|
61
|
| кубический дюйм
|
1,639×10-5
|
16,39
|
1,639×10-2
|
1
|
Соотношение между единицами длины
| Единица
|
м
|
см
|
мкм
|
in
|
| метр
|
1
|
102
|
106
|
39,37
|
| сантиметр
|
10-2
|
1
|
104
|
0,3937
|
| микрометр
|
10-6
|
10-4
|
1
|
3,937×10-5
|
| дюйм
|
2,54×10-2
|
2,54
|
2,54×104
|
1
|
Множитель и приставки для образования десятичных
кратных и дольных единиц и их наименование
| Множитель
|
Приставка
|
| наименование
|
обозначение
|
| русское
|
международное
|
| 1000 000 000 000 000 000 =1018
|
экса
|
Э
|
Е
|
| 1000 000 000 000 000 =1015
|
пета
|
П
|
Р
|
| 1000 000 000 000 =1012
|
тера
|
Т
|
Т
|
| 1000 000 000 =109
|
гига
|
С
|
G
|
| 1000 000 =106
|
мега
|
М
|
М
|
| 1000 =103
|
кило
|
к
|
k
|
| 100 =102
|
гекто
|
г
|
h
|
| 10 =101
|
дека
|
да
|
da
|
| 0,1 =10-1
|
деци
|
д
|
d
|
| 0,01 =10-2
|
санти
|
с
|
С
|
| 0,001 =10-3
|
милли
|
м
|
m
|
| 0,000 001 =10-6
|
микро
|
мк
|
μ
|
| 0,000 000 001 =10-9
|
нано
|
н
|
N
|
| 0,000 000 000 001 =10-12
|
пико
|
п
|
Р
|
| 0,000 000 000 000 001 =10-15
|
фемто
|
ф
|
F
|
| 0,000 000 000 000 000 001 =10-18
|
атто
|
а
|
а
|
1. В метрической системе мер наименования десятичных кратных и дольных единиц образуются присоединением приставок к наименованиям исходных единиц.
2. Обозначения кратных и дольных единиц образуют присоединением обозначений приставок СИ к обозначению исходной единицы.
СПИСОК ИСПОЛЬЗУЕМОЙ ЛИТЕРАТУРЫ:
1. СНиП 2.04.05-91*. Отопление, вентиляция и кондиционирование воздуха. Нормы проектирования. -М.: ЦИТП,1991.
2. СНиП 23-01-99. Строительная климатология. -М.: Госстрой России, 2000.
3. СНиП 2.04.01-85*. Внутренний водопровод и канализация зданий. –М.: Стройиздат, 1986. –56с.
4. СНиП 2.04.14-88*. Тепловая изоляция оборудования и трубопроводов. – М.: ЦИТП Госстроя СССР, 1989. -29с.
5. СНИП 2.08.01.-89*. Жилые здания. ЦИТП Госстроя СССР, 1986. –14с.
6. Апарцев М.М. Наладка водных систем централизованного теплоснабжения /Справочное пособие/.-М.: Энергоатомиздат, 1983.-203с.
7. Манюк В.И., Кадлинский Я.И., Хиж Э.Б., Манюк А.И., Ильин В.К. Наладка эксплуатация водных тепловых сетей. Справочник. – М.:Стройиздат, 1988. –432с.
8. Руководство по проектированию тепловых пунктов. –М.: Стройиздат, 1983.
9. Чистяков Н.Н., Грудзинский М.М., Ливчак В.И., Прохоров Е.И. Повышение эффективности работы систем горячего водоснабжения. –М.: Стройиздат, 1980.-270с.
10. Инженерные сети. Оборудование зданий и сооружений, по ред. Сосниной Ю.П., Москва, «Высшая школа» 2001
11. Внутренние системы водоснабжения и водоотведения Проектирование: Справочник /Тугой А.М., Ивченко В.Д., Кулик В.И. и др.: под ред. А.М. Тугоя. – Киев; 1982 256с.
12. Методические рекомендации по расчету выбросов загрязняющих веществ в атмосферу с дымовыми газами отопительных и отопительно-производственных котельных. – М.:ОНТИ АКХ им. К.Д. Памфилова, 1991. -69с.
13. Нормы естественной убыли нефтепродуктов при приеме, хранении, отпуске и транспортировании. Гос. комитет ССР по обеспечению нефтепродуктами. Утв. Постановлением Гос. комитета СССР по материально-техническому снабжению от 26.03.86 №40.
14. Методические рекомендации по расчету выбросов загрязняющих веществ в атмосферу с дымовыми газами отопительных и отопительно-производственных котельных. – М.:ОНТИ АКХ им. К.Д. Памфилова, 1991. -69с.
15. Методические рекомендации по нормированию расхода тепла и электроэнергии на выращивание цветочной продукции в оранжереях. РД 204 РСФСР 1.46-87. –М, 1987.
16. Методические указания по определению нормативов предельно-допустимых выбросов (ПДВ) в атмосферу для котельных жилищно-коммунального хозяйства. – М.:ОНТИ АКХ им. К.Д. Памфилова, 1994.
17. Пособие по стимулированию энергосбережения на основе автоматических систем регулирования и приборного учета теплоэнергии, потребляемой жилыми и общественными зданиями. – М.:ОНТИ АКХ им. К.Д. Памфилова, 1999.
18. Энергетическая эффективность жилых и общественных зданий. Нормативы по энергосберегающей теплозащите. ТСН 23-224-2002 Ямало-Ненецкого автономного округа. Утв. Постановлением Губернатора ЯНАО от 09.04.2002 №91 /Издание официальное/.
|