| МИНИСТЕРСТВО СПОРТА, ТУРИЗМА И МОЛОДЕЖНОЙ ПОЛИТИКИ РОССИЙСКОЙ ФЕДЕРАЦИИ
Федеральное государственное образовательное учреждение высшего профессионального образования «Сибирский государственный университет физической культуры и спорта»
Л. П. Черапкина С. Г. Куртев И. Г. Таламова
МЕТОДИЧЕСКИЕ РЕКОМЕНДАЦИИ ПО РАЗРАБОТКЕ И ИСПОЛЬЗОВАНИЮ БАЛЛЬНО-РЕЙТИНГОВОЙ СИСТЕМЫ ОЦЕНКИ ЗНАНИЙ СТУДЕНТОВ СИБГУФК
Омск 2009
Черапкина, J1. П.
Методические рекомендации по разработке и использованию балльно-рейтинговой системы оценки знаний студентов СибГУФК
/
Л. П. Черапкина, С. Г. Куртев, И. Г. Таламова
. - Омск : Изд-во СибГУФК, 2009 - 44 с.
В настоящем пособии представлены методические рекомендации по разработке и использованию балльно-рейтинговой системы оценки знаний студентов, приведен алгоритм выполнения отдельных методических процедур. Рекомендации подготовлены с учетом требований официальных документов и опыта работы вузов физкультурного профиля.
Пособие предназначено для преподавателей.
Печатается по решению редакционно-издательского совета Сибирского государственного университета физической культуры и спорта
Подписано в печать 14.01.09. Формат 60 * 84 '/, Объем 2,75 уч.-изд. л. Тираж 60 экз. Заказ 4. Издательство СибГУФК 644009, г. Омск, ул. Масленникова, 144.
Содержание
2. Методика балльно-рейтинговой оценки
знаний студентов............................................................................................. 5
2.1. Изучение имеющейся рабочей учебной
программы по дисциплине.................................................................... 6
2.2. Составление программы модульного типа................................... 6
2.3. Определение целей обучения по каждому модулю............................ 11
2.4. Разработка системы заданий
по каждому модулю дисциплины......................................................... 12
2.5. Расчет рейтинговых показателей.......................................................... 13
2.6. Оформление схем балльно-рейтинговой оценки знаний студентов и методических рекомендаций
по их использованию............................................................................. 14
2.7. Инструктаж студентов по требованиям
балльно-рейтинговой системы оценки знаний..................................... 16
Забиваем Сайты В ТОП КУВАЛДОЙ - Уникальные возможности от SeoHammer
Каждая ссылка анализируется по трем пакетам оценки: SEO, Трафик и SMM.
SeoHammer делает продвижение сайта прозрачным и простым занятием.
Ссылки, вечные ссылки, статьи, упоминания, пресс-релизы - используйте по максимуму потенциал SeoHammer для продвижения вашего сайта.
Что умеет делать SeoHammer
— Продвижение в один клик, интеллектуальный подбор запросов, покупка самых лучших ссылок с высокой степенью качества у лучших бирж ссылок.
— Регулярная проверка качества ссылок по более чем 100 показателям и ежедневный пересчет показателей качества проекта.
— Все известные форматы ссылок: арендные ссылки, вечные ссылки, публикации (упоминания, мнения, отзывы, статьи, пресс-релизы).
— SeoHammer покажет, где рост или падение, а также запросы, на которые нужно обратить внимание.
SeoHammer еще предоставляет технологию Буст, она ускоряет продвижение в десятки раз,
а первые результаты появляются уже в течение первых 7 дней.
Зарегистрироваться и Начать продвижение
2.8. Заполнение журнала преподавателя в соответствии с принятой на заседании кафедры схемой
балльно-рейтинговой системы оценки знаний..................................... 17
3. Глоссарий................................................................................................... 21
4. Источники полезной информации.
Некоторые важные веб-сайты........................................................................ 27
5. Приложение........................................................................................................ 29
Приложение 1......................................................................................... 30 •
Приложение 2......................................................................................... 35
Приложение 3................................................................................................. 36
Приложение 4................................................................................................. 41
Приложение 5................................................................................................. 42
1. Балльно-рейтинговая система оценки знаний студентов
Внедрение в учебный процесс высшей школы балльно- рейтинговой системы (БРС) оценки знаний студентов является важным шагом в российском образовании, который дает возможность перейти ей на качественно новый уровень. Балльно- рейтинговая оценка - это индивидуально-кумулятивная оценка знаний и профессионально-педагогических умений студента, его способностей, уровня воспитанности и других личностных и профессионально значимых качеств.
Как и любая оценка, балльно-рейтинговая оценка выполняет пять основных функций: контролирующую, обучающую, воспитывающую, стимулирующую, организующую.
Контрольная функция состоит в объективном выявлении уровня общих (универсальных) и профессиональных (предметно- специализированных) компетенций, что позволяет преподавателю выбрать адекватные средства и методы обучения, а также определить эффективность этих средств и методов для каждого студента.
Обучающая функция выражается в том, что она дает возможность выявить те или иные достижения и недочеты в овладении программным материалом, понять причины успехов и неудач, помочь студенту устранить выявленные недочеты.
Воспитывающая функция заключается в том, что через рейтинг студент формирует мнение о себе как о личности. БРС содействует формированию адекватной самооценки и уровня притязаний, самостоятельности и инициативности.
Сервис онлайн-записи на собственном Telegram-боте
Попробуйте сервис онлайн-записи VisitTime на основе вашего собственного Telegram-бота:
— Разгрузит мастера, специалиста или компанию;
— Позволит гибко управлять расписанием и загрузкой;
— Разошлет оповещения о новых услугах или акциях;
— Позволит принять оплату на карту/кошелек/счет;
— Позволит записываться на групповые и персональные посещения;
— Поможет получить от клиента отзывы о визите к вам;
— Включает в себя сервис чаевых.
Для новых пользователей первый месяц бесплатно.
Зарегистрироваться в сервисе
Стимулирующая функция связана с появлением стремления студента к самосовершенствованию, к приобретению универсальных, профессиональных, социально-личностных и общекультурных компетенций.
Организующая функция проявляется в системе организации всего учебно-воспитательного процесса. В зависимости от результатов усвоения программного материала студентом преподаватель при нимает решение о поощрении имеющих высокую оценку студентов, о необходимости посещения индивидуальных консультаций, мастер- классов, прослушивания повторного курса по данной дисциплине. Главным организационным моментом является активация, под которой понимается целенаправленная деятельность студента, направленная на повышение рейтинга.
Таким образом, БРС оценки знаний студентов позволяет реали- зовывать механизмы обеспечения качества и оценки результатов обучения, активизировать учебную работу студентов, у которых появляются стимулы управления своей успеваемостью.
2. Методика балльно-рейтинговой оценки знаний студентов
Разработка и внедрение балльно-рейтинговой оценки знаний студентов по любой учебной дисциплине предполагают выполнение нескольких взаимосвязанных процедур, а именно:
1. Изучение имеющейся рабочей учебной программы по дисциплине.
2. Составление программы модульного типа.
3. Определение конкретных целей обучения по каждому модулю.
4. Разработка системы заданий по каждому модулю предмета.
5. Расчет рейтинговых показателей.
6. Оформление схем балльно-рейтинговой оценки знаний студентов и методических рекомендаций по их использованию.
7. Инструктаж студентов по требованиям балльно-рейтинговой системы оценки знаний.
8. Заполнение журнала преподавателя в соответствии с приня-. той на заседании кафедры схемой балльно-рейтинговой системы оценки знаний.
Рассмотрим каждую из этих процедур в отдельности.
1. Балльно-рейтинговая система оценки знаний студентов
Внедрение в учебный процесс высшей школы балльно- рейтинговой системы (БРС) оценки знаний студентов является важным шагом в российском образовании, который дает возможность перейти ей на качественно новый уровень. Балльно- рейтинговая оценка - это индивидуально-кумулятивная оценка знаний и профессионально-педагогических умений студента, его способностей, уровня воспитанности и других личностных и профессионально значимых качеств.
Как и любая оценка, балльно-рейтинговая оценка выполняет пять основных функций: контролирующую, обучающую, воспитывающую, стимулирующую, организующую.
Контрольная функция состоит в объективном выявлении уровня общих (универсальных) и профессиональных (предметно- специализированных) компетенций, что позволяет преподавателю выбрать адекватные средства и методы обучения, а также определить эффективность этих средств и методов для каждого студента.
Обучающая функция выражается в том, что она дает возможность выявить те или иные достижения и недочеты в овладении программным материалом, понять причины успехов и неудач, помочь студенту устранить выявленные недочеты.
Воспитывающая функция заключается в том, что через рейтинг студент формирует мнение о себе как о личности. БРС содействует формированию адекватной самооценки и уровня притязаний, самостоятельности и инициативности.
Стимулирующая функция связана с появлением стремления студента к самосовершенствованию, к приобретению универсальных, профессиональных, социально-личностных и общекультурных компетенций.
Организующая функция проявляется в системе организации всего учебно-воспитателыюго процесса. В зависимости от результатов усвоения программного материала студентом преподаватель при нимает решение о поощрении имеющих высокую оценку студентов, о необходимости посещения индивидуальных консультаций, мастер- классов, прослушивания повторного курса по данной дисциплине. Главным организационным моментом является активация, под которой понимается целенаправленная деятельность студента, направленная на повышение рейтинга.
Таким образом, БРС оценки знаний студентов позволяет реали- зовывать механизмы обеспечения качества и оценки результатов обучения, активизировать учебную работу студентов, у которых появляются стимулы управления своей успеваемостью.
2. Методика балльно-рейтинговой оценки знаний студентов
Разработка и внедрение балльно-рейтинговой оценки знаний студентов по любой учебной дисциплине предполагают выполнение нескольких взаимосвязанных процедур, а именно:
1. Изучение имеющейся рабочей учебной программы по дисциплине.
2. Составление программы модульного типа.
3. Определение конкретных целей обучения по каждому модулю.
4. Разработка системы заданий по каждому модулю предмета.
5. Расчет рейтинговых показателей.
6. Оформление схем балльно-рейтинговой оценки знаний студентов и методических рекомендаций по их использованию.
7. Инструктаж студентов по требованиям балльно-рейтинговой системы оценки знаний.
8. Заполнение журнала преподавателя в соответствии с приня-, той на заседании кафедры схемой балльно-рейтинговой системы оценки знаний.
Рассмотрим каждую из этих процедур в отдельности.
2.1. Изучение имеющейся рабочей учебной программы по дисциплине
Особое внимание при выполнении данной процедуры следует обратить на соответствие содержания программы требованиям ФГОС ВПО и выявление наиболее трудоемких дидактических единиц программы.
2.2. Составление программы модульного типа
Данная операция предполагает деление содержания изучаемой дисциплины на модули1
. Один внутрипредметный модуль - это формально структурированный период обучения с четкой и подробной совокупностью результатов обучения и критериев оценивания. Модуль включает в себя один или несколько разделов2
- логически завершенных частей учебного материала (тема, несколько тем).
В зависимости от объема часов и содержания материала в учебном предмете выделяют от 2 до 12 модулей. Желательно, чтобы трудоемкость отдельных модулей программы была примерна одинаковой. Для примера рассмотрим учебную рабочую программу дисциплины «Физиология» для специальности 032101.65 «Физическая культура и спорт». На кафедре анатомии и физиологии традиционно принято делить данную дисциплину на 6 модулей (по два в каждом семестре). Каждый модуль предполагает выполнение определенного перечня контрольных мероприятий и заканчивается коллоквиумом. Табличный материал с распределением часов курса по модулям, разделам, темам и видам работ представлен в таблице 1.
Распределение часов курса по модулям, разделам, темам и видам работ
| № № п/п
|
Наименование модулей и разделов, тем курса
|
Всего часов
|
Аудиторные занятия (часы)
|
Самостоятельная работа
|
| Лекции
|
Семинар, занятия
|
Практич. занятия
|
| I
|
Модуль 1. Физиология центральной нервной и сенсорных систем
|
50
|
12
|
4
|
10
|
24
|
| Раздел 1. Физиология центральной нервной системы (ЦНС)
|
28
|
8
|
2
|
6
|
12
|
| Тема 1.1. Введение в физиологию. Общая физиология ЦНС
|
14
|
4
|
2
|
2
|
6
|
| Тема 1.2. Частная физиология ЦНС
|
14
|
4
|
-
|
4
|
6
|
| Раздел 2. Сенсорные системы
|
16
|
4
|
-
|
4
|
8
|
| Тема 2.1. Общая физиология рецепции. Зрительная сенсорная система
|
8
|
2
|
-
|
2
|
4
|
| Тема 2.2. Слуховая, вестибулярная, двигательная и другие сенсорные системы
|
8
|
2
|
-
|
2
|
4
|
| Итоговое занятие
|
6
|
-
|
2
|
-
|
4
|
| 2
|
Модуль 2. Функции головного мозга. Нервно- мышечная и эндокринная системы
|
50
|
10
|
2
|
10
|
28
|
| |
Раздел 3. Функции головного мозга
|
10
|
2
|
-
|
2
|
6
|
| Тема 3.1. Высшая нервная деятельность
|
6
|
2
|
-
|
2
|
2
|
| Тема 3.2. Функции, свойства и состояния головного мозга
|
4
|
-
|
-
|
-
|
4
|
| Раздел 4. Нервно- мышечная система
|
24
|
6
|
-
|
6
|
12
|
| Тема 4.1. Механизм мышечного сокращения
|
8
|
2
|
-
|
2
|
4
|
| Тема 4.2. Мышечная механика
|
8
|
2
|
-
|
2
|
4
|
| Тема 4.3. Произвольные движения
|
8
|
2
|
-
|
2
|
4
|
| Раздел 5. Эндокринная система
|
12
|
2
|
-
|
2
|
8
|
| Тема 5.1. Эндокринная система
|
12
|
2
|
-
|
2
|
8
|
| Итоговое занятие
|
4
|
-
|
2
|
-
|
2
|
| 3
|
Модуль 3. Физиология жидких сред, сердечнососудистой и дыхательной систем
|
58
|
14
|
2
|
14
|
28
|
| Раздел 6. Физиология жидких сред
|
14
|
4
|
-
|
4
|
6
|
| Тема 6.1. Кровь и другие жидкие среды организма
|
8
|
2
|
-
|
2
|
4
|
| Тема 6.2. Плазма крови, буферные системы
|
6
|
2
|
-
|
2
|
2
|
| Раздел 7. Физиология
сердечно-сосудистой
системы
|
24
|
6
|
-
|
6
|
12
|
| Тема 7.1. Свойства сердечной мышцы
|
8
|
2
|
-
|
2
|
4
|
| Тема 7.2. Механическая работа сердца
|
8
|
2
|
-
|
2
|
4
|
| |
Тема 7.3. Кровообращение
|
8
|
2
|
-
|
2
|
4
|
| Раздел 8. Дыхание
|
16
|
4
|
-
|
4
|
8
|
| Тема 8.1. Внешнее дыхание
|
8
|
2
|
-
|
2
|
4
|
| Тема 8.2. Газообмен в легких
|
8
|
2
|
-
|
2
|
4
|
| Итоговое занятие
|
4
|
-
|
2
|
|
2
|
| 4
|
Модуль 4. Функции пищеварения. Выделение, обмен веществ, энергии, теплообмен. Физиология развития и старения
|
46
|
10
|
2
|
10
|
24
|
| Раздел 9. Функции пищеварения
|
8
|
2
|
-
|
2
|
4
|
| Тема 9.1. Пищеварение
|
8
|
2
|
-
|
2
|
4
|
| Раздел 10. Выделение, обмен веществ, энергии, теплообмен
|
24
|
6
|
-
|
6
|
12
|
| Тема 10.1. Выделение
|
8
|
2
|
-
|
2
|
4
|
| Тема 10.2. Обмен веществ и энергии
|
8
|
2
|
-
|
2
|
4
|
| Тема 10.3. Теплообмен
|
8
|
2
|
-
|
2
|
4
|
| Раздел 11. Физиология развития и старения
|
8
|
2
|
-
|
2
|
4
|
| Тема 11.1. Физиология развития и старения
|
8
|
2
|
-
|
2
|
4
|
| Итоговое занятие
|
6
|
-
|
2
|
-
|
4
|
| 5
|
Модуль 5. Физиологические основы мышечной деятельности
|
42
|
8
|
2
|
10
|
22
|
| Раздел 12. Физиологическая характеристика спортивных упражнений
|
18
|
4
|
-
|
6
|
8
|
| Тема 12.1. Адаптация к мышечной деятельности
|
8
|
2
|
-
|
2
|
4
|
| |
Тема 12.2. Физиологиче
|
|
|
|
|
|
| |
ские принципы класси
|
|
|
|
|
|
| |
фикации физических уп
|
10
|
2
|
-
|
4
|
4
|
| |
ражнений и их характе
|
|
|
|
|
|
| |
ристика
|
|
|
|
|
|
| |
Раздел 13. Физиологиче
|
|
|
|
|
|
| |
ская характеристика
|
18
|
4
|
-
|
4
|
10
|
| |
мышечной деятельности
|
|
|
|
|
|
| |
Тема 13.1. Физиологиче
|
|
|
|
|
|
| |
ская характеристика со
|
10
|
2
|
|
2
|
6
|
| |
стояний организма при
|
|
|
|
|
| |
спортивной деятельности
|
|
|
|
|
|
| |
Тема 13.2. Физиологиче
|
|
|
|
|
|
| |
ские основы формирова
|
8
|
2
|
-
|
2
|
4
|
| |
ния двигательных навыков
|
|
|
|
|
|
| |
Итоговое занятие
|
6
|
-
|
2
|
-
|
4
|
| |
Модуль 6. Физиологи
|
|
|
|
|
|
| |
ческие основы спор
|
|
|
|
|
|
| |
тивной тренировки
|
54
|
6
|
2
|
12
|
34
|
| |
и оздоровительной
|
|
|
|
|
|
| |
физической культуры
|
|
|
|
|
|
| |
Раздел 14. Физиологи
|
|
|
|
|
|
| |
ческие основы спор
|
30
|
6
|
-
|
8
|
16
|
| |
тивной тренировки
|
|
|
|
|
|
| |
Тема 14.1. Физиологиче
|
|
|
|
|
|
| 6
|
ская характеристика физических качеств
|
14
|
4
|
-
|
4
|
6
|
| |
Тема 14.2. Физиологиче
|
|
|
|
|
|
| |
ское обоснование прин
|
8
|
|
|
2
|
6
|
| |
ципов спортивной
|
|
|
|
|
|
| |
тренировки
|
|
|
|
|
|
| |
Тема 14.3. Физиологиче
|
|
|
|
|
|
| |
ские основы спортивной
|
|
|
|
|
|
| |
работоспособности
|
8
|
2
|
-
|
2
|
4
|
| |
в особых условиях
|
|
|
|
|
|
| |
внешней среды
|
|
|
|
|
|
| |
Раздел 15. Физиологическое обоснование особенностей занятий физической культурой с лицами разного пола, возраста, функционального состояния
|
18
|
-
|
-
|
4
|
14
|
| Тема 15.1. Физиологические основы спортивной тренировки женщин и юных спортсменов
|
8
|
-
|
-
|
2
|
6
|
| Тема 15.2. Физиологические основы оздоровительной физической культуры
|
10
|
-
|
-
|
2
|
8
|
| Итоговое занятие
|
6
|
-
|
2
|
-
|
4
|
| |
ИТОГО:
|
300
|
60
|
14
|
66
|
160
|
2.3. Определение целей обучения по каждому модулю
Необходимость такой работы определяется тем, что эффективность контроля напрямую зависит от того, какими общими и профессиональными компетенциями должен овладеть специалист при изучении определенной части материала. Ориентация системы контроля на конечные цели обучения, заданные моделью специалиста, составляют одно из основных средств оптимизации контроля. Например, в итоге освоения 1 модуля учебной рабочей программы по физиологии студент должен обладать следующими профессиональными компетенциями (ПК): Должен знать:
ПК. 1.1. Основы физиологии центральной нервной системы и сенсорных систем.
ПК. 1.2. Механизмы функционирования отдельных структур мозга.
ПК. 1.3. Общие механизмы рецепции. Должен владеть:
ПК. 1.4. Современными представлениями о физиологии центральной нервной системы.
ПК. 1.5. Основными физиологическими понятиями.
ПК. 1.6. Системным анализом научной литературы по физиологии центральной нервной системы. Должен уметь:
ПК. 1.7. Проводить простые физиологические исследования.
ПК. 1.8. Обобщать и анализировать полученные в ходе лабораторных работ данные.
ПК. 1.9. Пользоваться простыми компьютерными технологиями в проведении физиологического исследования.
Исходя из выявленных компетенций, можно составить предварительный перечень контрольных мероприятий БРС оценки знаний.
2.4. Разработка системы заданий по каждому модулю дисциплины
Данная процедура связана с тем, что профессорско- преподавательский состав кафедры или экспертная группа планирует различные виды контрольных мероприятий, которые студенты должны выполнить при изучении конкретного модуля дисциплины, исходя из перечня выделенных компетенций. Составление перечня контрольных мероприятий можно совместить с процедурой ранжирования. Для этого первым делом надо составить максимально полный список возможных контрольных мероприятий. Например, для освоения 1 модуля программы по физиологии был предложен следующий список видов работ:
1. Реферат.
2. Контрольная работа.
3. Компьютерное тестирование.
4. Доклад.
5. Конспект лекции.
6. Выполнение лабораторной работы.
7. Устный ответ.
8. Коллоквиум.
9. Выступление на конференции.
Далее следует обсуждение полученного списка и его корректировка. В ходе обсуждения предложенный список приобретает следующий вид:
1. Компьютерное тестирование.
2. Конспект лекции.
3. Выполнение лабораторной работы.
4. Устный ответ.
5. Коллоквиум.
После предполагается проведение ранжирования полученного списка по трудоемкости заданий каждым преподавателем или членом экспертной группы. Полученный в итоге список уже можно считать оценочной шкалой и использовать при проведении следующей процедуры. В нашем случае получен следующий список:
1. Коллоквиум.
2. Устный ответ.
3. Компьютерное тестирование.
4. Выполнение лабораторной работы.
5. Конспект лекции.
2.5. Расчет рейтинговых показателей
Выполнение каждого вида деятельности и модуля в целом оценивается в баллах. При этом профессорско-преподавательским составом кафедры или экспертной группой устанавливаются границы максимального и минимального количества баллов за определенный вид контрольного мероприятия. Распределение баллов по видам контрольных мероприятий определяется спецификой дисциплины, ее целями и сроками изучения.
За основу можно взять оценочную шкалу, полученную при выполнении предыдущей процедуры. Однако достаточно очевидно, что такая равномерная шкала недостаточно стимулирует студента на деятельность высокого порядка. Поэтому путем гласного обсуждения и консенсуса среди преподавателей кафедры или экспертов каждому виду контрольных мероприятий присваивается рейтинговое число, совокупность этих чисел составляет 60 баллов при текущем контроле и 40 баллов при промежуточной аттестации (согласно Положению о балльно-рейтинговой оценке знаний студентов СибГУФК (см. приложение 1)). Например, учитывая то, что дисциплина «Физиология» изучается студентами специальности 032101.65 «Физическая культура и спорт» в течение трех семестров, каждый из которых заканчивается промежуточной аттестацией, распределение баллов осуществлялось исходя из трудоемкости дисциплины в течение одного семестра. Анализ распределения часов дисциплины по модулям, разделам, темам и видам работ (табл. 1) показал примерно равную трудоемкость первых двух модулей, изучаемых в течение третьего семестра. Это послужило поводом для относительно равномерного распределения количества баллов БРС между модулями. При обсуждении перечня контрольных мероприятий и их «стоимости» было определено максимально возможное количество баллов за одно задание контрольного мероприятия (пример в таблице 2).
2.6. Оформление схем балльно-рейтинговой системы оценки знаний студентов и методических рекомендаций по их использованию
Схемы БРС оценки знаний студентов и методические рекомендации по их использованию оформляются отдельно по каждой дисциплине и для каждого направления и специальности. Единая схема БРС оценки знаний студентов разных направлений и специальностей допускается только в случае одинакового содержания (согласно ФГОС) и равной трудоемкости дисциплины. Отдельно утверждается перечень контрольных мероприятий для студентов, обучающихся по индивидуальным графикам (планам). Определяется система поощрительных баллов. Особое внимание следует обратить на то, что данные документы должны быть утверждены на заседании кафедры. Примеры оформления данных документов представлены в приложениях (2, 3, 4, 5).
Таблица 2
Распределение баллов рейтинговой оценки между видами работ при текущем контроле успеваемости в 3 семестре по дисциплине «Физиология» для студентов специальности 032101.65 «Физическая культура и спорт»
| Виды контроля
|
Распределение баллов по видам контрольных мероприятий
|
| /
Текущий контроль
(1 модуль)
|
Виды контрольных мероприятий
|
Максимально возможное количество баллов за одно задание
|
Сумма баллов
|
| Конспекты лекций
|
0,5
|
0,5x6 = 3,5
|
| Компьютерное тестирование
|
1,5
|
1,5x6 = 9
|
| Устные ответы на семинарах
|
1,5
|
1,5x6 = 9
|
| Лабораторные работы
|
1
|
1x4 = 4
|
| Коллоквиум
|
5
|
5x1=5
|
| Всего
|
30,5
|
| Текущий контроль
(2 модуль)
|
Конспекты лекций
|
0,5
|
0,5 х 5 = 2,5
|
| Компьютерное тестирование
|
1,5
|
1,5 х 5 =7,5
|
| |
Устные ответы на семинарах
|
1,5
|
1,5x5=7,5
|
| |
Лабораторные работы
|
1
|
1x4 = 4
|
| |
Коллоквиум
|
5
|
5x1=5
|
| |
Реферат
|
3
|
3x1=3
|
| |
Всего
|
29,5
|
| Итого
|
60
|
2.7. Инструктаж студентов по требованиям балльно-рейтинговой системы оценки знаний
Преподаватель на первой встрече со студентами (на кафедре анатомии и физиологии данная процедура проводится на первом групповом занятии) обязан подробно объяснить БРС оценки знаний.
В содержании инструкции:
а) указываются виды контрольных мероприятий и в какой форме (зачет или экзамен) проходит промежуточная аттестация;
б) указывается количество баллов (не менее 40 баллов), служащее основанием для допуска к зачету или экзамену;
в) дается перечень модулей по дисциплине и сроки их выполнения, а также максимальное и минимальное количество баллов за каждый вид контрольных мероприятий;
г) определяется система поощрительных баллов (не более 10), указывается, за что студент может получить поощрение;
д) определяется, в какой форме осуществляется сдача контрольных мероприятий, пропущенных по уважительной причине;
е) дается перечень контрольных мероприятий и определяется их «стоимость» для студентов, обучающихся по индивидуальному графику;
ж) указываются требования, предъявляемые к каждому виду контрольных мероприятий (в соответствии с методическими рекомендациями), и шкала оценок промежуточной аттестации (в соответствии с Положением о балльно-рейтинговой оценке знаний студентов СибГУФК).
Желательно для каждой группы сформировать пакет «сопровождения» в который входит: табличный материал, содержащий сведения о распределении часов дисциплины по модулям, разделам, темам и видам работ (см. табл.1), схема БРС оценки знаний (см. приложение 2, 4), методические рекомендации по использованию БРС оценки знаний (см. приложение 3, 5). Пакет «сопровождения» передается старосте группы или куратору на первом занятии. Кроме этого, рекомендуется выделить отдельную папку, содержащую документы по БРС, хранящуюся у лаборанта кафедры и доступную для просмотра студентам.
2.8. Заполнение журнала преподавателя в соответствии с принятой на заседании кафедры схемой балльно-рейтинговой системы оценки знаний
Заполнение журнала преподавателя производится только в соответствии с принятой на заседании кафедры схемой БРС оценки знаний студентов. Сама схема БРС оценки знаний и методические рекомендации по ее использованию вкладываются в журнал преподавателя в раздел «Памятка преподавателя». Оценивание знаний студентов по всем видам контрольных мероприятий производится только в баллах, в соответствии с методическими рекомендациями, утвержденными на заседании кафедры. В разделе «Распределение баллов рейтинговой оценки между текущим контролем успеваемости и промежуточной аттестацией» все виды контрольных мероприятий и их «стоимость» указываются в названиях соответствующих граф. Отдельно выделяются графы контрольных срезов (6, '12 недели семестра и итог). Для примера рассмотрим заполнение раздела «Распределение баллов рейтинговой оценки между текущим контролем успеваемости и промежуточной аттестацией» в журнале преподавателя по физиологии.
| 
|
| 
|
Так как количество контрольных мероприятий, предлагаемых студентам для выполнения в течение семестра, достаточно большое, и не вмещается на одном листе журнала, профессорско- преподавательским составом кафедры было принято решение распределить все контрольные мероприятия по блокам в соответствии с содержанием модулей учебной рабочей программы (см. табл. 2). В итоге на каждую группу в журнале преподавателя отводится 3 страницы (на первой - фиксируется посещаемость занятий, на оставшихся двух - оцениваются виды контрольных мероприятий по модулям учебной рабочей программы). В таблице 3 представлено распределение баллов рейтинговой оценки между текущим контролем успеваемости и промежуточной аттестацией при изучении дисциплины «Физиология» в течение 3 семестра.
Своевременное заполнение журнала (до начала проведения занятий) позволяет преподавателям значительно ускорить процесс организации учебной работы.
3. Глоссарий
БАЛЛ (Mark)
Любая числовая или количественная шкала, используемая для описания результатов оценивания по отдельной курсовой единице или модулю.
БАЛЛЬНО-РЕЙТИНГОВАЯ СИСТЕМА ОЦЕНКИ ЗНАНИЙ (БРС)
Система оценивания всех видов деятельности студента по 100-балльной шкале.
БАЛЛЬНО-РЕЙТИНГОВАЯ ОЦЕНКА (БРО) Индивидуально-кумулятивная оценка знаний и профессионально-педагогических умений студента, его способностей, уровня воспитанности и других личностных и профессионально значимых качеств.
ДИДАКТИЧЕСКАЯ ЕДИНИЦА (Didactic unit) Логически самостоятельная часть учебного материала, по своему объему и структуре соответствующая таким компонентам содержания, как понятие, теория, закон, явление, факт, объект и т. п.
Дидактическая единица - одна из предметных тем, подлежащих обязательному освещению в процессе подготовки специалистов, обучающихся по данной дисциплине (предмету). При разработке примерного содержания учебной дисциплины рекомендуется по каждой учебной теме (разделу) указывать номер и наименование темы (раздела) (в соответствии с примерным тематическим планом); обобщенные требования к знаниям и умениям студентов; содержание учебного материала (дидактические единицы); лабораторные и (или) практические занятия (порядковый номер и наименование). Дидактические единицы служат ориентиром для сравнения учебных программ тех или иных учебных заведений с целью установления преемственности содержания образования. Структура дидактической единицы рассматривается сквозь призму трех составляющих учебной программы: теоретическую, формирующую мировоззренческую систему научно-практических знаний и отношение к предмету изучения; практическую; контрольную, определяющую дифференцированный и объективный учет процесса и результатов учебной деятельности обучающихся. В качестве примера разбивки дисциплины на дидактические единицы приводим один из элементов обязательного минимума содержания основной образовательной программы специалиста по специальности 032101.65 «Физическая культура и спорт» (выписка из ФГОС ВПО):
| Индекс
|
Наименование дисциплин и их основные разделы
|
Всего часов
|
| ОПД.Ф.02.
|
Физиология.
Физиологические системы человека (дыхательная, кровь и кровообращение, пищеварение, обмен веществ и энергии), их нервная и гуморальная регуляция в покое и во время выполнения физических упражнений; физиология двигательного аппарата и центральной нервной системы; физиологические принципы управления движениями. Работоспособность и утомление; физиологические факторы, определяющие и лимитирующие работоспособность человека; физиологические основы тренировки силы, быстроты, выносливости; физиологические критерии спортивного отбора и ориентации; физиологические основы здоровья человека, физиологическое обоснование особенностей занятий физической культурой с лицами разного пола, возраста, функционального состояния
|
300
|
ECTS (European Credit Transfer System - Европейская система накопления кредитов)
Система, служащая для увеличения «прозрачности» образовательных систем и облегчения мобильности студентов в Европе с помощью переноса кредитов. Система основана на предположении о том, что общая нагрузка за учебный год равна 60 кредитам. Эти 60 кредитов назначаются курсовым единицам для описания той доли учебной нагрузки студентов, которая требуется для достижения результатов обучения, установленных для данной единицы.
ИНДИВИДУАЛЬНЫЕ КОНСУЛЬТАЦИИ
Внеаудиторная форма работы преподавателя с отдельным студентом, связанная с обсуждением тех разделов дисциплины, которые требуют дополнительного пояснения, или же желанием студента работать над написанием курсовой или выпускной работы по изучаемому курсу.
КОМПЕТЕНЦИЯ
Способность применять знания, умения и личностные качества для успешной деятельности в определенной области. В проекте TUNING компетенции представлены как динамическая комбинация характеристик (относящихся к знанию и его применению, позициям и обязанностям), описывающих результаты обучения по некоторой образовательной программе или то, что могут исполнять обучающиеся по окончании образовательного процесса. Проект TUNING фокусируется на предметно-специализированных (характерных для области обучения) и универсальных (общих для любого курса, необходимого для получения степени) компетенциях.
КОМПЕТЕНТНОСТЬ
Данное понятие предполагает следующее: человек, опираясь на результаты обучения, понимает суть профессиональной ответственности и последствий своей деятельности, человек способен выполнять поставленные перед ним профессиональные задачи.
КРЕДИТ
(Credit)
Условная единица, используемая для измерения нагрузки студентов в терминах условного учебного времени, требуемого для достижения установленных результатов обучения.
КРЕДИТНАЯ СТРУКТУРА
(Credit framework)
Система, облегчающая измерение и сравнение результатов обучения, которые были достигнуты в контексте различных квалификаций, программ обучения и среды обучения.
КРИТЕРИИ ОЦЕНИВАНИЯ
(Assessment criteria)
Описание того, что, должен сделать студент, чтобы подтвердить достижение некоторого результата обучения.
КУРСОВАЯ ЕДИНИЦА ИЛИ МОДУЛЬ
(Course unit or Module)
Независимый, формально структурированный период обучения с четкой и подробной совокупностью результатов обучения и критериев оценивания.
ЛЕКЦИЯ
(Lecture)
Передача информационного наполнения путем его презентации и объяснения (возможно, с демонстрациями) преподавателем-лектором.
МАСТЕР-КЛАСС
(Master class)
Лекция и/или групповая консультация приглашенного известного и высококвалифицированного зарубежного или отечественного ученого (либо практика в данной области). Задача - показать реальную сторону исследовательской и прикладной работы в науке и познакомить студентов с мнением профессионала в избранной ими специальности.
МОДУЛЬ
(Module)
См. Курсовая единица.
НАГРУЗКА
(Workload)
Вся учебная деятельность, необходимая для достижения установленных результатов обучения (лекции, практические занятия, поиск информации, самостоятельная работа и т. д.)
НАКОПЛЕНИЕ КРЕДИТОВ
(Credit accumulation)
В системе накопления кредитов для успешного завершения семестра, учебного года или полной программы обучения должны быть достигнуты результаты обучения, насчитывающие определенное число кредитов. Кредиты присуждаются и накапливаются только в том случае, если факт достижения требуемых результатов обучения подтвержден оцениванием.
ОСПУ
Общий средний показатель успеваемости.
ОТМЕТКА
(Grade)
Итоговая оценка, базирующаяся на успеваемости, продемонстрированной в ходе программы обучения.
ОЦЕНИВАНИЕ
(Assessment)
Полный диапазон письменных, устных и практических текстов, а также проекты и иортфолио, используемые для того, чтобы вынести суждение об успехах студента в курсовой единице или в модуле. Эти измерения могут использоваться студентами для оценки собственных достижений (формативное оценивание) или университетом для того, чтобы определить, был ли модуль или курсовая единица закончены удовлетворительно в соответствии с запланированными результатами обучения по этой единице или модулю (итоговое оценивание).
ПАКЕТ «СОПРОВОЖДЕНИЯ»
Пакет документов с материалами БРС (табличный материал, содержащий сведения о распределении часов курса по разделам, темам и видам работ, схема балльно-рейтинговой оценки знаний, методические рекомендации по использованию балльно- рейтинговой оценки знаний).
ПРАКТИЧЕСКИЕ ЗАНЯТИЯ
(Workshop)
Контролируемые учебные занятия, на которых студенты работают над индивидуальными заданиями и при необходимости, получают указания и помощь.
ПРОГРАММА
ОБУЧЕНИЯ (Programme of study)
Установленная совокупность курсовых единиц или модулей, официально признаваемых для присуждения конкретной степени. Программа обучения может определяться в терминах результатов обучения, которые должны быть достигнуты для получения определенного количества кредитов.
ПРОЕКТ
TUNING (Настройка образовательных структур)
Данный проект исходит из посылки, что степени (уровни, ступени, квалификации) в международном плане могут быть сравнимы и совместимы, если сравнимо то, что способны выполнить обладатели этих степеней, и если сравнимы соответствующие академические и профессиональные профили.
РАЗДЕЛ УЧЕБНОЙ РАБОЧЕЙ ПРОГРАММЫ
Часть учебного материала соответствующая одной дидактической единице.
РЕЗУЛЬТАТЫ ОБУЧЕНИЯ
(Learning outcomes)
Усвоенные профессиональные знания, умения и навыки. Описание того, что должен знать, понимать и/или быть в состоянии продемонстрировать студент по завершении процесса обучения. Результаты обучения отличны от целей обучения, так как они касаются достижений обучающегося, а не стремлений преподавателя. Результаты обучения должны дополняться соответствующими критериями оценивания, которые позволяют судить, были ли достигнуты ожидаемые результаты обучения.
Результаты обучения и критерии оценивания вместе определяют минимальные требования для присуждения кредитов, тогда как выставление баллов основывается на том, на сколько достижения выше или ниже минимальных требований для получения кредитов. Накопление и перенос кредитов значительно облегчаются, если ясно определены результаты обучения, позволяющие точно указать, за какие достижения будут присуждаться кредиты.
РЕЙТИНГОВОЕ ЧИСЛО
Численный показатель, присваиваемый отдельному контрольному мероприятию и определяющий его вклад в общую трудоемкость дисциплины.
СЕМИНАР
(Seminar)
Период обучения, базирующийся на письменных или устных работах обучающихся.
4. Источники полезной информации. Некоторые важные веб-сайты
Процесс Болонья - Прага - Берлин. Основные документы по процессу Сорбонна - Болонья - Прага
• Deutschland im europaischen Hochschulraum. Plenar-EntschlieBung der HRK zu den Schlussfolgerungen aus der Bologna-Erklarung
http://www.hrk.de/ >Archiv> EntschlieBungen>2000-2001
• Пражский саммит по высшему образованию http://www.msmt.cz/Summit/index.html
• Пражское коммюнике [анг.лфр., чеш. версии] http://www.msmt.cz/Summit/Fcommunique.html
• Берлинский саммит по высшему образованию http://www.bologna-berlin2003 .de
• Болонский процесс в России Россия и Болонский процесс http://www.bologna.mgimo.ru
http://www.inf.tsu.ru/WebDesign/finf2.nsf/structurl/bpros_bprl http://www.rudn.ru/7pagec-640
• Болонский процесс
Болонский процесс в документах и статьях (Сорбонна - Болонья - Саламанка - Прага) // Болонский процесс и высшее образование в России
http://www.finec.ru/rus/academic/master/bologna http://www.bologna.spbu.ru
• Сборник основных документов по Болонскому процессу http://www.bologna-berlin2003.de/pdf/compendium_of.pdf
• Балльно-рейтинговая сопоставительная система http://www.rudn.ru/files/uso/k_2006.ppt
• Болонский процесс: библиографический список литературы http://lib.pomorsu.ru/Bibkop/bolon.htm
Обеспечение качества
• Руководство по оцениванию http://www.qaa.ac.uk/public/acrevhbook/contents.htrn
• Европейская сеть обеспечения качества в высшем образовании http://www.enqa.net/index.lasso
• Роль международного сообщества высшего образования в создании глобального общества знаний. Dirk Van Damme (VLIR) & (IUAP)
http://portal.unesco.org
• Российское образование. Федеральный портал http://www.edu.ru/
• Обеспечение качества образования.
Качество образования в контексте Болонского процесса http://www.rudn.ru/?pagec=256
Приложение к диплому
• Приложение к диплому. Европейский Совет http://europe.eu.int/comm/education/recognition/index.html
• Diploma Supplement Deutschland. Handbuch. http://www.hrk.de/ >Archiv>Diploma Supplement
ECTS и распространение ECTS
• ECTS. http://europe.eu.int/comm/education/socrates/ects.html
• Проект распространения ECTS http://europe.eu.int/comm/education/socrates/ectsext.html
• Конференция Швейцарской конфедерации (ETH Zurich и CRUS) и Европейской ассоциации университетов ECTS - Вызов для вузов - Использование кредитов http://www.bologna-berlin2003.de/pdf/Tagung%20Zuerich.pdf
• Принципы системы ECTS в едином европейском образовательном процессе
http://www.pdf4.ru/text2029/ects_principals.html
5. Приложение
Положение
о балльно-рейтинговой оценке успеваемости студентов Сибирского государственного университета физической культуры и спорта
Настоящее положение разработано на основе Методических рекомендаций к разработке рейтинговой системы оценки успеваемости студентов вузов (Приказ Минобразования России от 11.07.2002 г. №2654).
1. Общие положения
1.1. Целью балльно-рейтинговой системы является получение комплексной, объективной и достоверной оценки качества работы студентов в процессе изучения ими отдельных учебных дисциплин и основной образовательной программы в целом.
1.2. Главные задачи балльно-рейтинговой системы:
- повышение мотивации студентов к систематической работе по изучению дисциплин в течение семестра;
- повышение уровня знаний студентов;
- повышение уровня организации учебного процесса в вузе.
1.3. Балльно-рейтинговая система основывается на интегральной оценке результатов всех видов учебной деятельности студентов, предусмотренных учебными планами.
1.4. Рейтинговая оценка каждому студенту выставляется:
- по каждой учебной дисциплине;
- по результатам освоения образовательной программы в целом.
1.5. Условия изучения каждой дисциплины при рейтинговой оценке знаний должны быть доведены до сведения студентов на первой неделе обучения в семестре.
2. Порядок определения рейтинговой оценки по учебной дисциплине
2.1. Рейтинговая оценка знаний студентов по каждой учебной дисциплине независимо от ее общей трудоемкости в конкретном семестре определяется по 100-балльной шкале и включает текущий контроль успеваемости (оценку работы студента в течение семестра) и промежуточную аттестацию (экзамен или зачет).
2.2. Распределение баллов рейтинговой оценки между текущим контролем и промежуточной аттестацией в зависимости от формы итогового контроля по дисциплине и трудоемкости отдельных видов аудиторной самостоятельной работы студентов устанавливается в следующем соотношении:
| Форма промежуточной аттестации
|
Количество баллов
|
| Текущий контроль
|
Промежуточная аттестация
|
Сумма баллов
|
| Экзамен
|
60
|
40
|
100
|
| Зачет
|
60
|
40
|
100
|
При получении на промежуточной аттестации оценки ниже 20 баллов выставляется «неуд.» и требуется повторная сдача. Для получения допуска к экзамену или зачету студент должен в семестре набрать не меньше 40 баллов.
2.3. При текущей аттестации оцениваются следующие виды контрольных мероприятий:
| № п/п
|
Виды контрольных мероприятий
|
| 1
|
2
|
| 1
|
Доклад (с представлением текста)
|
| 2
|
Реферат (с представлением текста)
|
| 3
|
Выступление на семинаре (устный опрос)
|
| 4
|
Письменный опрос, коллоквиум
|
| 1
|
2
|
| 5
|
Конспект статьи, монографии
|
| 6
|
Выполнение практического задания к семинару
|
| 7
|
Контрольная работа
|
| 8
|
Участие в деловой (ролевой) игре
|
| 9
|
Участие в вузовской (кафедральной) конференции
|
| 10
|
Участие в конкурсе профессионального мастерства
|
| 11
|
Участие в конкурсе студенческих научных работ вуза (факультета)
|
| 12
|
Тестирование по разделам (темам) дисциплины (в т. ч. компьютерное): текущее тестирование, рубежное тестирование
|
| 13
|
Выполнение и защита расчетно-графической работы
|
| 14
|
Выполнение и защита лабораторной работы
|
| 15
|
Выполнение контрольных нормативов в избранном виде ФСД (тестирование умений и навыков)
|
| 16
|
Другие задания кафедры
|
2.4. До начала семестра преподаватели определяют и представляют для согласования в деканаты соответствующих факультетов утвержденные кафедрами перечни контрольных мероприятий по своим дисциплинам, сроки их проведения и количество баллов за каждый вид работ.
2.5. Деканаты факультетов формируют и доводят до сведения студентов сводные графики выполнения контрольных мероприятий по всем группам с указанием видов контроля, сроков проведения и количества баллов.
2.6. Преподавателю предоставляется право поощрять студентов за активность (посещение аудиторных занятий, участие в конференциях, конкурсах, олимпиадах, активная работа на лекциях, семинарах и практических занятиях и т. д.) проставлением премиальных баллов в количестве, не превышающем 10 баллов за семестр.
* Студент имеет право выбирать виды работ (контрольных мероприятий), по которым он будет набирать баллы (не более 10 баллов за семестр).
• Студенты, пропустившие занятия и обучающиеся по индивидуальному графику, могут набирать необходимое количество баллов, выполняя индивидуальные задания преподавателей из утвержденных кафедрой контрольных мероприятий.
2.7. Для организации постоянного текущего контроля и управления учебным процессом преподаватели трижды в течение семестра - на шестой, двенадцатой и последней неделях - представляют в деканаты факультетов сведения о накопленных студентами к этому времени суммах баллов по учебным дисциплинам.
2.8. Студенты имеют право получать у преподавателей аргументированные сведения о накопленных суммах баллов по дисциплинам. Деканаты факультетов организуют доступ к сведениям об академическом рейтинге на информационных стендах, а также на сайте факультета.
2.9. Каждый элемент испытательных материалов и заданий для проведения промежуточной аттестации (экзаменационные вопросы; тесты и т. д.) должен быть четко оценен в баллах.
2.10. В зачетных и экзаменационных ведомостях проставляются баллы, набранные студентами при текущей и промежуточной аттестации, общая сумма баллов, а также выставляется оценка в традиционной форме. Устанавливается следующее соответствие между рейтинговой оценкой и оценкой по четырехбалльной шкале (зачетной оценкой):
- экзамены и дифференцированные зачеты:
34—40 баллов - «отлично»;
27-33 баллов - «хорошо»;
20-26 баллов - «удовлетворительно»;
менее 20 баллов - «неудовлетворительно»;
- зачеты:
от 20 до 40 баллов - «зачтено»;
менее 20 баллов - «не зачтено».
2.11. В случае получения неудовлетворительной оценки (по сумме баллов) студенту предоставляется возможность пересдачи экзамена или зачета в установленном порядке. При этом изменяться может только количество баллов за промежуточную аттестацию, которое складывается с баллами набранными студентом в течение семестра.
3. Порядок определения рейтинговой оценки по результатам освоения образовательной программы
3.1 Рейтинговая оценка по результатам освоения образовательной программы определяется по общему среднему показателю успеваемости (ОСПУ).
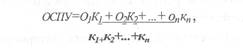
3.2 ОСПУ рассчитывается на основе рейтинговых оценок по каждой изученной дисциплине (включая практики и итоговую аттестацию) с учетом их общей трудоемкости по формуле
где 0Ь
02
..0П
- рейтинговые оценки по дисциплинам; Кь
К.2...КП
- трудоемкость соответствующих дисциплин в зачетных единицах по учебному плану. Методика расчета трудоемкости основных образовательных программ высшего профессионального образования в зачетных единицах утверждена письмом Минобразования России от 28.11.2002 г. № 14-52-988 ин/13.
3.3. По окончании каждой экзаменационной сессии деканаты факультетов составляют академические рейтинги студентов (семестровые и накопленные) и объявляют их на информационных стендах и сайтах факультетов.
3.4. Высокий показатель ОСПУ позволяет студенту получить академические льготы и преимущества (повышенную (именную) стипендию, другие формы материального поощрения, перевод на бюджетное обучение и др,. в соответствии с положениями действующими в университете.
Схема БРС
утверждена на заседании
кафедры «__ »________ 2007 г.
зав. каф., доцент, к. б. н. J1. П. Черапкина
Распределение баллов рейтинговой оценки между текущим контролем успеваемости и промежуточной аттестацией по физиологии (3 семестр) для специальности 032101.65 «Физическая культура и спорт»
| Виды контроля
|
Распределение баллов по видам работ
|
| |
Виды работ
|
Максимально возможное количество баллов за одно задание
|
Сумма баллов
|
| |
Конспекты лекций
|
0,5
|
6
|
| Текущий контроль
|
Компьютерное тестирование
|
1,5
|
16,5
|
| |
Устные ответы на семинарах
|
1,5
|
16,5
|
| |
Лабораторные работы
|
1
|
8
|
| |
Коллоквиум
|
5
|
10
|
| |
Реферат
|
3
|
3
|
| Промежуточная аттестация
|
Собеседование по двум вопросам
|
15
|
30
|
| (зачет)
|
Дополнительный вопрос
|
10
|
10
|
| Всего
|
100
|
Методические указания
утверждены на заседании
кафедры «__ »________ 2007 г.
зав. каф,, доцент, к. б. н.
_____________ Л. П. Черапкина
Методические указания по дисциплине «Физиология» (специальность 032101.65 «Физическая культура и спорт»)
3 семестр
Текущий контроль
1. Конспект лекции оценивается в 0,5 балла при следующих условиях:
а) конспект лекции представлен в рукописном варианте,
б) включает подробное описание всех рассмотренных на лекционном занятии вопросов и вынесенных преподавателем на самостоятельное изучение вопросов.
Примечание: преподаватели обязаны излагать лекционный материал в соответствии с учебной рабочей программой и графиком учебного процесса.
В случае несоблюдения студентом пунктов а) и б) конспект лекции не оценивается.
2. Компьютерное тестирование имеет следующую оценочную шкалу:
95-100 % правильных ответов - 1,5 балла;
85-94 % правильных ответов - 1 балл;
75-84 % правильных ответов - 0,5 балла;
Менее 75 % правильных ответов - 0 баллов.
3. Устные ответы оцениваются по следующей схеме:
а) студент свободно, достаточно подробно излагает изучаемый материал, понимает физиологические процессы и механизмы, пользуется физиологической терминологией - 1,5 балла;
б) студент, в целом, владеет изучаемым материалом, но не демонстрирует целостного понимания физиологических процессов и механизмов, мало пользуется физиологической терминологией - 1 балл;
в) студент слабо владеет изучаемым материалом, плохо понимает физиологические процессы и механизмы, практически не пользуется физиологической терминологией - 0,5 балла;
г) ответ, не соответствующий требованиям пунктов а), б) и в), - 0 баллов.
4. Проделанная студентом на занятии или самостоятельно лабораторная работа, содержащая полученные результаты, их анализ и выводы оценивается в 1 балл.
Примечание: лабораторная работа, не соответствующая предъявляемым требованиям, не оценивается до тех пор, пока не будет приведена в соответствие с требованиями.
5. Коллоквиум оценивается по следующей схеме:
а) студент свободно, достаточно подробно излагает изученный материал, демонстрирует понимание физиологических процессов и механизмов по всем пройденным темам, пользуется физиологической терминологией - 5 баллов;
б) студент, в целом, владеет изученным материалом, но не достаточно полно демонстрирует понимание физиологических процессов и механизмов по пройденным темам, мало пользуется физиологической терминологией - 4 балла:
в) студент слабо владеет изученным материалом, плохо понимает физиологические процессы и механизмы, практически не пользуется физиологической терминологией - 3 балла;
г) ответ, не соответствующий требованиям пунктов а), б) и . в), - 0 баллов.
Примечание: на коллоквиуме студент получает 2 вопроса.
6. Реферат оценивается следующим образом:
а) реферат представляет собой теоретический анализ современных литературных источников по изучаемой проблеме (не
менее 20 источников), объемом не менее 15 страниц компьютерного текста, состоящий из введения, 2-3 глав, выводов, списка литературы (оформленного в соответствии с требованиями ГОСТ) - 3 балла;
б) реферат представляет собой теоретический анализ современных литературных источников по изучаемой проблеме (не менее 15 источников), объемом не менее 12 страниц компьютерного текста, состоящий из введения, 2-3 глав, выводов, списка литературы (оформленного в соответствии с требованиями ГОСТ) - 2 балла;
в) реферат представляет собой теоретический анализ современных литературных источников по изучаемой проблеме (не менее 10 источников), объемом не менее 10 страниц компьютерного текста, состоящий из введения, 2-3 глав, выводов, списка литературы (оформленного в соответствии с требованиями ГОСТ) - 1 балл;
г) реферат, не соответствующий требованиям пунктов а), б) и в),-0 баллов.
Примечание: текст оформляется шрифтом Times New Roman 14 пт, через 1,5 интервала. Поля справа, слева, вверху и внизу - 2 см, страницы пронумерованы. Текст может содержать рисунки и таблицы, которые помещаются в приложение.
Система поощрительных баллов и ликвидации задолжностей
Согласно Положению о балльно-рейтинговой оценке знаний студентов СибГУФК преподаватель имеет право поощрять студентов за познавательную активность (активная работа на семинарских, практических занятиях, лекциях, участие в конференциях), усердие, своевременность выполнения контрольных мероприятий проставлением премиальных баллов в количестве, не более 10 баллов.
Сдача контрольных мероприятий, пропущенных по уважительной причине, осуществляется в форме внеаудиторных дополнительных занятий (индивидуальных консультаций), на которых студенты выполняют все запланированные по данной теме виды контрольных мероприятий.
Промежуточная аттестация (зачет)
Собеседование осуществляется по трем вопросам, два из которых являются основными и один - дополнительным.
1. Критерии оценки основных вопросов:
а) студент свободно, достаточно подробно излагает изученный материал, демонстрирует понимание физиологических процессов и механизмов по всем пройденным темам, пользуется физиологической терминологией -15 баллов;
б) студент, в целом, владеет изученным материалом, но не достаточно полно демонстрирует понимание физиологических процессов и механизмов по пройденным темам, мало пользуется физиологической терминологией - 10 баллов;
в) студент слабо владеет изученным материалом, плохо понимает физиологические процессы и механизмы, практически не пользуется физиологической терминологией - 5 баллов;
г) ответ, не соответствующий требованиям пунктов а), б) и в), - 0 баллов.
2. Критерии оценки дополнительного вопроса:
а) студент свободно, достаточно подробно излагает изученный материал, демонстрирует понимание физиологических процессов и механизмов по всем пройденным темам, пользуется физиологической терминологией - 10 баллов;
б) студент, в целом, владеет изученным материалом, но не достаточно полно демонстрирует понимание физиологических процессов и механизмов по пройденным темам, мало пользуется физиологической терминологией - 6 баллов;
в) студент слабо владеет изученным материалом, плохо понимает физиологические процессы и механизмы, практически не пользуется физиологической терминологией - 3 балла;
г) ответ, не соответствующий требованиям пунктов а), б) и в), - 0 баллов.
Схема БРС
утверждена на заседании
кафедры «__ »_________ 2007 г.
зав. каф., доцент, к. б. н. JL П. Черапкина
Распределение баллов рейтинговой оценки между текущим контролем успеваемости и промежуточной аттестацией по физиологии (3 семестр) для студентов, обучающихся
по индивидуальным планам (графикам) специальности 032101.65 «Физическая культура и спорт»
| Виды контроля
|
Распределение баллов по видам работ
|
| Текущий контроль
|
Виды работ
|
Максимально возможное количество баллов за одно задание
|
Сумма баллов
|
| Коллоквиум
|
20
|
40
|
| Реферат
|
12
|
12
|
| Лабораторная работа
|
2
|
8
|
| Промежуточная аттестация (зачет)
|
Собеседование по двум вопросам
|
15
|
30
|
| Дополнительный вопрос
|
10
|
10
|
| Всего
|
100
|
Методические указания утверждены на заседании
кафедры «__ »________ 2007 г.
зав. каф., доцент, к. б. н. JI. П. Черапкина
Методические указания по дисциплине «Физиология» для студентов, обучающихся по индивидуальным планам (графикам) (специальность 032101.65 «Физическая культура и спорт») 3 семестр
Текущий контроль
1. Коллоквиум оценивается по следующей схеме:
а) студент свободно, достаточно подробно излагает изученный материал, демонстрирует понимание физиологических процессов и механизмов по всем пройденным темам, пользуется физиологической терминологией - 20 баллов;
б) студент, в целом, владеет изученным материалом, но не достаточно полно демонстрирует понимание физиологических процессов и механизмов по пройденным темам, мало пользуется физиологической терминологией - 15 баллов;
в) студент слабо владеет изученным материалом, плохо понимает физиологические процессы и механизмы, практически не пользуется физиологической терминологией - 10 баллов;
г) ответ, не соответствующий требованиям пунктов а), б) и в), - 0 баллов.
Примечание: на коллоквиуме студент отвечает на вопросы по всем темам, входящим в модуль.
2. Реферат оценивается следующим образом:
а) реферат представляет собой теоретический анализ современных литературных источников по изучаемой проблеме (не менее 30 источников), объемом не менее 30 страниц компьютерного текста, состоящий из введения, 2-3 глав, выводов, списка литературы (оформленного в соответствии с требованиями ГОСТ)-12 баллов;
б) реферат представляет собой теоретический анализ современных литературных источников по изучаемой проблеме (не менее 20 источников), объемом не менее 25 страниц компьютерного текста, состоящий из введения, 2-3 глав, выводов, списка литературы (оформленного в соответствии с требованиями ГОСТ) - 8 баллов;
в) реферат представляет собой теоретический анализ современных литературных источников по изучаемой проблеме (не менее 15 источников), объемом не менее 20 страниц компьютерного текста, состоящий из введения, 2-3 глав, выводов, списка литературы (оформленного в соответствии с требованиями ГОСТ) - 4 балла;
г) реферат, не соответствующий требованиям пунктов а), б) и в), - 0 баллов.
Примечание: текст оформляется шрифтом Times New Roman 14 пт, через 1,5 интервала. Поля справа, слева, вверху и внизу - 2 см, страницы пронумерованы. Текст может содержать рисунки и таблицы, которые помещаются в приложение.
3.
Проделанная студентом самостоятельно лабораторная работа, содержащая полученные результаты, их анализ и выводы оценивается в 2 балла.
Примечание: лабораторная работа, не соответствующая предъявляемым требованиям, не оценивается до тех пор, пока не будет приведена в соответствие с требованиями.
Промежуточная аттестация (зачет)
Собеседование осуществляется по трем вопросам, два из которых являются основными и один - дополнительным.
1. Критерии оценки основных вопросов:
а) студент свободно, достаточно подробно излагает изученный материал, демонстрирует понимание физиологических процессов и механизмов по всем пройденным темам, пользуется физиологической терминологией -15 баллов;
б) студент, в целом, владеет изученным материалом, но не достаточно полно демонстрирует понимание физиологических процессов и механизмов по пройденным темам, мало пользуется физиологической терминологией - 10 баллов;
в) студент слабо владеет изученным материалом, плохо понимает физиологические процессы и механизмы, практически не пользуется физиологической терминологией - 5 баллов;
г) ответ, не соответствующий требованиям пунктов а), б) и в), - 0 баллов.
2. Критерии оценки дополнительного вопроса:
а) студент свободно, достаточно подробно излагает изученный материал, демонстрирует понимание физиологических процессов и механизмов по всем пройденным темам, пользуется физиологической терминологией -10 баллов;
б) студент, в целом, владеет изученным материалом, но не достаточно полно демонстрирует понимание физиологических процессов и механизмов по пройденным темам, мало пользуется физиологической терминологией - 6 баллов;
в) студент слабо владеет изученным материалом, плохо понимает физиологические процессы и механизмы, практически не пользуется физиологической терминологией - 3 балла;
г) ответ, не соответствующий требованиям пунктов а), б) и в), - 0 баллов.
|