| Маркетинговая деятельность авиакомпании. Ее совершенствование
Содержание
Введение 4
Глава 1. Понятие и сущность маркетинга в сфере воздушных перевозок 6
1.1. Характеристика комплекса маркетинга в сфере воздушных перевозок 6
1.1.1. Авиатранспортные услуги 10
1.1.2. Ценовая политика 13
1.1.3. Коммуникации 16
1.1.4. Каналы распределения 22
1.2. Международные модели маркетинга услуг 25
1.2.1. Модель Д. Ратмела 25
1.3.2. Модель П. Эйглие и Е. Лангеарда 26
1.2.3. Модель К. Гренроса 28
1.2.4. Модель М.Битнер 30
1.2.5. Модель Ф. Котлера 31
1.3. Выводы по первому разделу 32
Глава 2. Анализ хозяйственной и маркетинговой деятельности авиакомпании «Ангара» 34
2.1. Общая характеристика предприятия 34
2.2. Экономический анализ деятельности авиакомпании 38
2.3. Анализ маркетинговой деятельности 48
2.3.1. Целевой рынок 49
2.3.2. Ассортимент услуг 55
2.3.3. Ценообразование 56
2.3.4. Коммуникационная политика авиакомпании 62
2.4. Анализ конкурентной среды 64
2.4. Выводы по второму разделу 68
Глава 3. Совершенствование маркетинговой деятельности авиакомпании «Ангара» 69
3.1. Реорганизация отдела маркетинга 69
3.2. Разработка рекламной кампании 74
3.2.1. Интернет-реклама 76
3.2.2. Реклама в аэропортах 86
3.2.3. Реклама в печатных СМИ 89
3.3. Стимулирование сбыта 94
3.3.1. Расширение сети продаж авиабилетов 94
3.3.2. Применение системы скидок 98
3.4. Экономическая эффективность рекламных мероприятий 99
3.5. Выводы по третьему разделу 105
Заключение 107
Литература 109
Приложение 1. Положение об отделе маркетинга 112
Приложение 2. Матрица распределения функций между отделами 117
Введение
Транспорт является одной из ключевых отраслей любого государства. Объем транспортных услуг во многом зависит от состояния экономики страны. Однако сам транспорт часто стимулирует повышение уровня активности транспорт предпочтение воздушному транспорту.
В тране, а значит и усилением конкуренции в данной сфере.
Цель дипломной работы
— изучение принципов и комплекса маркетинга в сфере авиаперевозок на примере авиакомпании «Ангара» и разработка рекомендаций по совершенствованию ее маркетинговой деятельности.
В соответствии с целью были поставлены следующие задачи:
– изучить динамику и развитие рынка авиаперевозок в России;
Забиваем Сайты В ТОП КУВАЛДОЙ - Уникальные возможности от SeoHammer
Каждая ссылка анализируется по трем пакетам оценки: SEO, Трафик и SMM.
SeoHammer делает продвижение сайта прозрачным и простым занятием.
Ссылки, вечные ссылки, статьи, упоминания, пресс-релизы - используйте по максимуму потенциал SeoHammer для продвижения вашего сайта.
Что умеет делать SeoHammer
— Продвижение в один клик, интеллектуальный подбор запросов, покупка самых лучших ссылок с высокой степенью качества у лучших бирж ссылок.
— Регулярная проверка качества ссылок по более чем 100 показателям и ежедневный пересчет показателей качества проекта.
— Все известные форматы ссылок: арендные ссылки, вечные ссылки, публикации (упоминания, мнения, отзывы, статьи, пресс-релизы).
— SeoHammer покажет, где рост или падение, а также запросы, на которые нужно обратить внимание.
SeoHammer еще предоставляет технологию Буст, она ускоряет продвижение в десятки раз,
а первые результаты появляются уже в течение первых 7 дней.
Зарегистрироваться и Начать продвижение
– рассмотреть теоретические основы маркетинговой деятельности предприятий работающих в сфере авиаперевозок;
– проанализировать деятельности авиакомпании «Ангара»;
– охарактеризовать комплекс маркетинга на данном предприятии;
– предложить меры по совершенствованию маркетинговой деятельности в авиакомпании.
Объектом исследования
является авиакомпания «Ангара».
Предметом исследования
основные принципы и способы организации авиаперевозок в авиакомпании «Ангара».
Структурно работа разбита на три главы: первая посвящена теоретическому аспекту авиатранспортного маркетинга; во второй главе отражена деятельность предприятия работающего на рынке авиаперевозок; третья глава носит рекомендательный характер по внедрению новых методов продвижения услуг авиакомпании на рынке и реорганизации отдела маркетинга в соответствии с усиливающейся конкуренцией на местном рынке авиаперевозок.
Для написания дипломной работы была использована как учебная литература, так и периодика, а также ресурсы сети Интернет.
Глава 1. Понятие и сущность маркетинга в сфере воздушных перевозок
1.1. Характеристика комплекса маркетинга в сфере воздушных перевозок
Развитый рынок, как известно, предполагает не только наличие рынка товаров, но и рынка разнообразных услуг. При этом рынок услуг рассматривается как сфера обмена услугами, которые являются результатом труда предприятий представляет собой попытку сделать максимально управляемым процесс производства и реализации услуг. Отсюда главная функция маркетинга — организация комплексной деятельности по производству и сбыту услуг с учетом морально устаревших услуг и продвижением на рынок услуг - новинок.
Что касается сферы авиатранспортного маркетинга, то здесь можно отметить, что его особенности в значительной степени обусловлены спецификой рынка и товара. Авиакомпании предлагают на рынке специфический товар — перемещение. Потребление этого товара происходит непосредственно в процессе его производства. Наряду с этим, авиакомпании предлагают на рынке широкую гамму услуг, сопутствующих транспортному процессу (здесь речь идет не о самом, тем, что в послевоенные годы развитие гражданской авиации шло в основном по пути экстенсификации, в направлении резкого наращивания производственно - технического потенциала воздушного транспорта. В условиях повышенного спроса на авиаперевозки и жесткого регулирования освязанные единицы в маркетинге компаний, работающих в сфере услуг (компания, контактный персонал и потребитель), образуют три контролируемых звена: компания—потребитель; компания—персонал; и персонал—потребитель. Для того чтобы эффективно управлять маркетингом в фирме услуг, необходимо развивать три стратегии, направленные на эти три звена.
Сервис онлайн-записи на собственном Telegram-боте
Попробуйте сервис онлайн-записи VisitTime на основе вашего собственного Telegram-бота:
— Разгрузит мастера, специалиста или компанию;
— Позволит гибко управлять расписанием и загрузкой;
— Разошлет оповещения о новых услугах или акциях;
— Позволит принять оплату на карту/кошелек/счет;
— Позволит записываться на групповые и персональные посещения;
— Поможет получить от клиента отзывы о визите к вам;
— Включает в себя сервис чаевых.
Для новых пользователей первый месяц бесплатно.
Зарегистрироваться в сервисе
Внешний, ы: персонал, процесс и окружение.
В таблице 1.1 сведены вместе определения составляющих маркетинговых комплексов компании, работающей в сфере услуг [11,c. 89].
Таблица 1.1
Определения составляющих маркетинговых комплексов компании, работающей в сфере услуг
| |
Традиционный комплекс внешнего маркетинга
|
Специфическая часть комплекса внешнего маркетинга
|
Комплекс двустороннего маркетинга
|
Комплекс внутреннего маркетинга
|
| Продукт
|
Возможность осуществления услуг, которую компания предоставляет своим сотрудникам
|
| Цена
|
Степень мотивации сотрудника
|
| Способ доведения продукта до потребителя
|
Организационная структура компании
|
| Продвижение
|
Аспекты корпоративной культуры
|
| Окружение
|
Аспекты корпоративной культуры
|
| Персонал
|
Поведение сотрудников по отношению к потребителю, лояльность персонала
|
| Процесс
|
Сбытовая политика
|
Все механизмы деятельности, необходимые для оказания услуги
|
Качество услуги зависит от процесса ее осуществления
|
Отлаженность действий по оказанию услуги
|
Рассмотрим комплекс маркетинга для авиапредприятий более подробно:
1.1.1. Авиатранспортные услуги
Специфическая особенность рынка авиатранспортного продукта состоит в том, что в отличие от рынков товаров, имеющих вещественную форму, здесь сделки заключаются на продукт, который еще не произведен и будет потребляться одновременно с производством. Таким образом, авиатранспортный продукт в оценке жизненного цикла услуги, является объем ее реализации, обеспечивающий возмещение всех затрат, связанных с производством и реализацией услуги, и получение запланированной прибыли.
В зависимости от степени дифференциации жизненного цикла и полноты его анализа в нем выделяют 4, 5 или 6 стадий Наибольшей точностью и полнотой отличается
1. Международные перевозки. Большинство российских авиакомпаний занимается международными авиаперевозками и лидером является «Аэрофлот», который выполняет около 55% всех международных перевозок российских авиакомпаний и выполняет полеты в 94 страны мира. В основном это регулярные рейсы. Такая ориентация обусловлена рядом причин. Во-первых, хорошо развитой инфраструктурой глобальной системы зарубежных представительств (в настоящее время их насчитывается более 150), унаследованной от советских времен. В большинстве случаев это офисы в престижных районах столиц различных государств, хорошо оснащенные технически и укомплектованные. Значительную долю в доходах российских авиакомпаний составляют регулярные грузовые перевозки. Значительный объем перевозок приходится также на чартерные перевозки с использованием, как собственных самолетов, так и арендуемых у других авиакомпаний.
Деятельность всех служб авиапредприятия, каков бы ни был её объём, не говорит о её полезности, тем более о степени удовлетворения потребностей пассажиров и заказчика в транспортном обслуживании. Работа воздушного транспорта может и её потребление происходят одновременно, в производстве услуги участвуют обе стороны — потребитель и производитель и т.д [6,c.56].
В таблице 1.2 представлены факторы, влияющие на выбор авиа перевозчика.
Таблица 1.2
Факторы, влияющие на выбор авиа перевозчика
| Тарифы полета
|
Наличие свободных мест на данный маршрут в требуемом классе
|
Обслуживание бизнес и конгресс туров по системе бизнес – офис
|
| Надежность и репутация авиакомпании
|
Предоставление авиакомпанией льготных тарифов
|
Индивидуальное обслуживание туристов
|
*[36]
1.1.2. Ценовая политика
Плата за перевозку пассажира или массы груза на определенное расстояние называется тарифом. Тариф составляет основную часть стоимости перевозки. На авиалиниях действуют системы внутригосударственных тарифов и международных. Как известно, уровень тарифов должен обеспечить рентабельность сажирским тарифам относятся тарифы I-го, международного и прочих классов. Специальные тарифы включают, в основном, льготные тарифы, то есть тарифы, которые ниже нормальных. В основном они предназначены для привлечения тех классов, которые не совершили бы поездки по более высоким тарифам. Кроме того, льготные тарифы предназначаются только для пассажиров, отличающихся определенными требованиями с точки зрения возраста, рода занятий и т.д. Эти тарифы связаны с условиями, которые в ряде случаев ограничивают их использование (предприятии в целом.
Тарифная политика включает разработку и реализацию стратегии предприятия в области тарифов. Разработка тарифной стратегии осуществляется под влиянием потребителей, государственных ограничений, участников каналов распределения, конкурентов, издержек производства и прочих факторов маркетинговой окружающей среды. Тарифная политика осуществляется по следующей схеме:
1. определение целей; формирование общей политики;
2. принятие решения о тарифной стратегии и методах ее реализации;
3. реализация тарифной политики и модификация тарифов.
Определение ижняя граница цены будет расти с неимоверной быстротой. То есть такой подход следовало бы назвать утопическим, хотя в принципе он отражает реальную действительность использования ресурсов. К тому же оценка всех технологий и ресурсов, использованных в процессе создания текущей технологии, а также тех, на базе которых она была создана, а также тех, на базе которых были созданы они сами, сопряжена с большой сложностью.
– Если себестоимость является как бы «землей», от которой отталкиваются при формировании коридора, то наибольший интерес в модели здесь представляет такой прибыль. Определяется за счет эффекта потребителя. То есть: рассматриваемая дополнительная прибыль определяется с целью повышения уровня получаемого эффекта. Разумеется, речь о так называемых «сверхдоходах», получаемых монопольными предприятиями не идет, но смысл этой составляющей эффекта схож с данным понятием.
Тарифная политика авиапредприятий заключается в рациональном сочетании различных тарифов. Поэтому предприятию следует устанавливать множество специальных льгот для расширения или рекламирования перевозок. Для увеличения загрузки авиапредприятие может прибегнуть к неофициальному снижению тарифов путем использования системы скидок для посредников, привлекающих загрузку на рейсы. Одним из инструментов тарифной политики является рная (или наоборот, ошибочная) тарифная политика оказывает долговременное и порой решающее влияние на всю деятельность производственно-сбытового комплекса авиапредприятия [37].
1.1.3. Коммуникации
Современный маркетинг требует осуществления коммуникаций со своими заказчиками. Маркетинговые коммуникации — это процесс обмена информацией между фирмой и другими субъектами маркетинговой деятельности с целью представления и совершенствования деятельности фирмы и ее товаров. Процесс обмена информацией обусловлен единой глобальной целью продвижения фирмы и ее товаров. потребностей потребителей, форм и методов конкуренции, все более совершенных средств сбора, хранения, обработки, передачи информации и целого ряда других факторов.
Маркетинговые коммуникации — это реклама, стимулирование сбыта, пропаганда, личная продажа, паблик - рилейшнз (public Relations).
Реклама — любая -электронные системы (типа Интернета), продажа по каталогам, почтовая рассылка [7,c.45].
Все каналы коммуникации взаимодополняемы — следует лишь повысить их совокупный эффект и правильно распределить общий коммуникационный бюджет фирмы между этими каналами.
– Наиболее эффективным способом коммуникативного воздействия на потребителя рынка услуг является реклама. Ее задачей является информирование;
– косвенную рекламу.
Классическая реклама основана на опосредованном общении с потребителем услуг с помощью средств массовой информации (радио, телевидения, газет, журналов). Она использует прямое обращение к целевой группе, минуя посреднические звенья. На рынке услуг, локализованном на конкретной территории, целесообразно использование местных средств массовой информации, более знакомых с местной спецификой и известных потребителям. В частности, могут быть использованы: кабельное телевидение и радио, районные газеты и журналы,
Наиболее распространенным средством прямой рекламы является рекламное письмо. Дифференцируя письменные обращения, можно добиться соответствия между рекламой и целевой группой потребителей услуги. Кроме того, с помощью рекламного письма можно достичь обратной связи с потребителем, приложив специальный бланк для ответов на поставленные вопросы. Однако, рассчитывая на передачу ответных сообщений, важно помнить, что их количество обычно не превышает 40 % от числа прямых письменных обращений.
К
При разработке рекламной кампании авиапредприятию необходимо учитывать ряд целей, которые могут быть подразделены на две категории – ориентированные на спрос и ориентированные на образ (таблица 1.3).
Таблица 1.3
Цели рекламы
| Виды целей
|
Желаемый результат
|
| Ориентирование на спрос
|
| Отраслевые
|
Разработать и поддерживать благоприятный образ отрасли;
Создать общий спрос.
|
| Корпоративные
|
Разработать образ компании и поддерживать избирательный спрос.
|
– Персональные продажи дополняют рекламной функцией процесс распределения услуг. Этот вид рекламы основан на непосредственном общении с
Затраты, связанные с использованием метода персональных продаж, как правило, высоки. Поэтому он целесообразен в тех случаях, когда предприятие располагает значительным капиталом, а его услуги имеют специализированный характер и высокую цену.
Персональные продажи целесообразны и в случае предоставления уникальных услуг, когда требуется более широкое информирование потребителей о качестве и особенностях авиауслуги (VIP-услуги).
Что касается системы стимулирования сбыта, то авиапредприятие может воспользоваться широким кругом средств, начиная с предоставления скидок на авиаперевозки (студенческие, сезонные и т.д.) и заканчивая конкурсами, где победитель имеет право бесплатно воспользоваться авиационными услугами. Стимулирование сбыта помогает привлекать покупателей и поддерживать приверженность конкретной авиакомпании. Например, покупателей привлекает особый вид дополнительных услуг на борту. Некоторые формы стимулирования сбыта обладают ценностью для потребителей и сохраняются ими. Они выполняют функцию напоминания. Сюда относятся календари, майки, плакаты.
Разработка плана стимулирования осуществляется в несколько этапов:
1. Установление целей. Цели стимулирования сбыта практически всегда ориентированы на спрос. Цели, связанные с участниками каналов сбыта, включают обеспечение роста проданных авиационных услуг. Цели, связанные с потребителями, включают расширение признания марки, увеличение попыток использования услуг.
2. Ответственность за стимулирование сбыта обычно разделяют управляющие рекламой и стимулирования. Он базируется на таких факторах, как образ и цели авиапредприятия, издержки. Это достигается путем установления премий продавцам при продаже билетов на определенную сумму, организации выставок, проведения торговых конкурсов дилеров, организации лотерей, скидок при оптовых покупках.
3. Координация плана. Крайне важно, чтобы планы по рекламе были увязаны со стимулированием сбыта. Персонал, связанный с реализацией, должен быть подготовлен, зная заранее обо всех формах стимулирования [23,c.18].
Оценка успеха или неудач проста, так как тесно связана с показателями деятельности. органах с целью принятия или отмены определенных решений, разъяснительную работу относительно положения компании, ее продуктов, социальной роли [26,c.52].
1.1.4. Каналы распределения
Канал распределения — это совокупность организаций или отдельных лиц, которые принимают на себя или помогают передать другому право собственности на конкретную услугу на пути от производителя к потребителю.
– Использование каналов распределения приносит производителям определенные выгоды: по распределению продукции.
Таким образом, решение о выборе каналов распределения – одно из важнейших, которое необходимо принять руководству предприятия.
Организации или лица, составляющие канал распределения, выполняют ряд важных функций:
проводят продаж и прибыли авиапредприятия, ресурсов, имеющихся в его распоряжении, и стратегии позиционирования. Если предприятие готово пожертвовать краткосрочной прибылью ради упрочнения и расширения рыночных позиций, возможно, целесообразно принять решение о расширении собственного торгового персонала, хотя прямые продажи сопряжены с высокими постоянными издержками. Напротив, реализация продукции через дистрибьюторов предполагает минимальные постоянные, но высокие переменные издержки. связанные с реализацией, повлияют на его прибыль? Положительно воздействуют на уровень мотивации посредников отношения долгосрочного сотрудничества с поставщиком, стимулирование и вознаграждение за хорошую работу [31,c.215].
На сегодняшний день в авиакомпаниях наиболее часто используются следующие каналы сбыта своих услуг и реализации билетов:
1. Собственная продажа. Компания имеет свои кассы в городе, где находится головной офис и в других городах России. За рубежом билеты продаются через загранпредставительства.
2. Продажа через агентскую сеть. Продажа собственно воздушной перевозки и продажа перевозки в пакете с туристическими услугами. С 1996 г. одним из важных направлений работы авиакомпаний стало развитие тесного сотрудничества с турагентами. Сначала хорошо зарекомендовавшим себя агентам, на определенных туристических направлениях, авиакомпании предоставляют наиболее выгодные тарифы на авиаперевозки. При этом им выставляются крайне жесткие условия по срокам аннуляции запроса, изменению состава групп, штрафным санкциям за невыполнение и т.д. Также в рамках данного сотрудничества существует программа General Sales Manager. Смысл этой программы заключается в том, что перевозчик и турфирма выступают как по-настоящему равноправные партнеры. Объединяющим звеном стал пункт договора, который закрепляет за фирмой — GSM (Генеральным менеджером) управление финансовой частью воздушной линии. При условии успешного выполнения генеральным менеджером его обязательств по увеличению доходной ставки выставленных мест, ему причитаются определенное комиссионное вознаграждение. 3. Продажа другими авиакомпаниями. С теми компаниями, с которыми заключены соглашения Interline возможно признание перевозочных документов друг друга (полетных купонов).
4. Продажа через специальные системы BCP (в Европе) и IRC (в Америке). Вступая в такую систему, авиакомпания расширяет круг своих клиентов и облегчает им покупку авиабилетов. Такая система позволяет большему количеству оптимальной стоимостью билета и возможностью бронирования. Перспективное направление имеет электронная продажа, т. е. продажа билета с последующей оплатой в аэропорту [6,c.56].
1.2. Международные модели маркетинга услуг
1.2.1. Модель Д. Ратмела
Одной из ранних концептуализаций маркетинга услуг была модель, разработанная Д. Ратмелом в 1974 г. В начале 1970-х годов дисциплина «маркетинг услуг» только функциональными задачами маркетинга в производственном и непроизводственном секторах. Схематически модель представлена на рисунке 1.1.
Рис. 1.1.
Концепция маркетинга услуг Д. Ратмела
Модель Ратмела показывает, что в производственном секторе возможно различить по крайней мере три, хотя и связанных, но вполне самостоятельных процесса: 1) процесс производства товаров; 2) процесс маркетинга этих товаров; и 3) процесс потребления этих товаров. Функциональные задачи маркетинга в этой системе можно было бы назвать классическими. Во-первых, необходимо организовать процесс производства тех товаров, которые удовлетворяют нужды потребителя (концепция маркетинга), а не тех товаров, которые нужно продать. Во-вторых, необходимо организовать процесс маркетинга этих товаров, т.е. разработать стратегии коммуникации, цены и каналов распределения, для того чтобы становятся трудновыполнимыми в контексте производства, маркетинга и потребления услуг [2,c.75].
1.3.2. Модель П. Эйглие и Е. Лангеарда
Эта модель маркетинга услуг была разработана в 1976 г. во Франции профессорами назвали «сервакшн», или «обслуживание в действии», показана на рисунке 1.2.
Рис. 1.2.
«Сервакшн» - модель маркетинга услуг П. Эйглие и Е. Лангеарда
Модель подчеркивает не только одновременность производства и потребления услуги, но и ее неосязаемость. Если модель Ратмела лишь обозначила необходимость внимания к процессу взаимодействия продавца и покупателя как новую видимую для потребителя и невидимую для потребителя. Согласно модели наиболее важной частью для маркетинга является видимая часть, которая разделена на контактный персонал, оказывающий услуги, и материальную среду, в которой происходит процесс обслуживания. Во-вторых, это другие потребители, обозначенные как «потребитель Б». Согласно модели качественные характеристики других потребителей, находящихся в процессе обслуживания в поле зрения обычно реализуется в обучении и мотивации персонала. Наконец, , является ее практичность, поскольку эта модель указывает на те контролируемые факторы, которые можно использовать при планировании маркетинга услуг (контактный персонал, материальная среда и другие потребители) [25,c.37].
1.2.3. Модель К. Гренроса
Кристиан Гренрос является наиболее известным представителем так называемой Северной школы маркетинга услуг «Нордик скул». Эта школа представлена исследованиями в области маркетинга услуг, осуществляемыми учеными из шведской и финской школ экономики. В значительной степени эта модель основана на моделях Д. Ратмела и П. Эйглие и Е. Лангеарда и формально не имеет какого-либо оригинального схематического выражения. Однако вкладом Северной школы в теорию маркетинга общепринято признается детальная концептуальная разработка терминологии маркетинга услуг и введение в научный оборот таких концепций, как внутренний маркетинг, качество услуги и интерактивный маркетинг (см. рисунок 1.3.).
  
| Разработка стандарта обслуживания
|
|

Рис.1.3.
Модель Гренроса в схематической интерпретации
То, что Д. Ратмел подразумевает под «дополнительной функцией маркетинга», применительно к услугам К. Гренрос называет «интерактивным маркетингом». нтальная модель качества обслуживания предполагает, что потребителю в процессе обслуживания важно не только, что потребитель получает в процессе обслуживания (инструментальное качество), но и как этот процесс происходит (функциональное качество). В русскоязычной литературе эта модель подробно обсуждается в одной из переводных работ Ф. Котлера. По мнению К. Гренроса, для того чтобы создать функциональное качество обслуживания, менеджеру необходимо развивать стратегию внутреннего маркетинга, иногда называемого интернальным маркетингом.
Внутренний маркетинг нацелен на контактный персонал фирмы и предназначен по совместительству».
Другими словами, персонал должен быть осознанно мотивирован на заданные менеджментом качественные стандарты обслуживания внешних потребителей [25,c.38].
1.2.4. Модель М.Битнер
Американские школы маркетинга верны своему подходу «четырех Р», разработанному еще в 1960-х годах. Джеромом Маккарти. Работы исследователя Центра изучения маркетинга услуг при Аризонском университете М. Битнер растянули эту формулу до «семи Р» применительно к услугам [18].
Традиционная
Рис. 1.4.
«4Р»-модель Д. Маккарти и «7Р»-модель М. Битнер
Модели нацелены на целевого потребителя. Элементы маркетинга менеджер по созвучна моделям Д. Ратмела, П. Эйглие и Е. Лангеарда, К. Гренроса [24,c.55].
1.2.5. Модель Ф. Котлера
Американские маркетологи шутят, что в сфере маркетинга не существует области, к которой не приложил бы руку Ф. Котлер. Теория маркетинга услуг не была бы такой увлекательной областью для изучения, если бы не «треугольная» концепция стратегия интерактивного маркетинга направлена на звено «персонал-потребитель» и связана с контролем качества оказания услуги, происходящим в процессе взаимодействия персонала и потребителей.
Рис. 1.5.
Треугольная модель маркетинга услуг Ф. Котлера [11,c.236]
Анализ дополнительных стратегий для управления маркетингом услуг. К таким дополнительным стратегиям относятся внутренний маркетинг и интерактивный маркетинг.
1.3. Выводы по первому разделу
В первом разделе дипломной работы автором было:
Изучено положение дел на российском рынке воздушных перевозок, также сущность маркетинга в данной отрасли, его особенности и основные черты.
Стремление решения этой задачи и существенной перестройки всей концепции
Также рассмотрен комплекс маркетинга в сфере воздушных перевозок, который в отличие от классического «4Р» содержит «7Р» и международные модели маркетинга услуг.
Комплекс маркетинга в сфере воздушных перевозок, как и в любой другой сфере говое коммуникации и их роль в маркетинговой деятельности предприятия и, наконец, определены виды каналов сбыта услуг авиапредприятий и система стимулирования потребителей.
Глава 2. Анализ хозяйственной и маркетинговой деятельности авиакомпании «Ангара»
2.1. Общая характеристика предприятия
Авиакомпания «Ангара» создана в соответствии с решением Совета Директоров ОАО «N-ского Авиаремонтного Завода № 403», от 10.03.2000 г., как обособленное структурное подразделение.
Наименование — Авиакомпания «Ангара» является товарным знаком ОАО «N-ский авиаремонтный завод № 403», получены соответствующие Свидетельство на товарный знак «Ангара» за № 209510 от 12 марта 2002 г. (действие на всей т с 26.05.00 г.).
Основной целью создания и деятельности авиакомпании «Ангара» является расширение основной деятельности завода для обеспечения возврата финансовых и материальных ресурсов, вкладываемых в капитальные и восстановительные ремонты. Аналогичные услуги оказывают только два авиаремонтных завода: Киевский АРЗ-410 (Украина) и Ростовский АРЗ-412 (Россия).
Одной из главных проблем основной деятельности ОАО «ИАРЗ № 403» является замораживание собственных финансовых средств, в следствии неплатежеспособности Заказчиков за отремонтированную авиационную технику (АТ).
– «ИАРЗ № 403» имеет большой резерв по производственной мощности, при этом не рискует брать в ремонт или передавать уже отремонтированную авиационную технику ВС в собственность ОАО «ИАРЗ № 403» в счет оплаты за капитальные ремонты ВС.
– Наличие у ОАО «ИАРЗ № 403» собственной инфраструктуры для коммерческой эксплуатации ВС, это места стоянок ВС, здания, сооружения, технологическое и наземное оборудование.
бесперебойной работы создаваемой авиакомпании одновременно сертифицирована инженерно-авиационная служба (ИАС) на базе ЛИПа, которая, имея за «спиной» мощности авиаремонтного завода данных типов ВС, обеспечивает высокий уровень технического обслуживания (ТО) как собственных ВС предприятия, так и весть транзитный парк в аэропорту N-ск. Для увеличения доходов авиакомпании «Ангара» основные усилия были направлены на выбор привлекательных с коммерческой точки зрения маршрутов полетов, выполнение
На текущий момент, Авиакомпания «Ангара» ОАО «ИАРЗ № 403» выполняет рейсы во все Северные аэропорты N-ской области, полностью удовлетворяя спрос на перевозки по местным воздушным линиям Восточной Сибири, включая перевозку груза и почты.
Основные виды деятельности авиакомпании:
– выполнение регулярных и чартерных пассажирских и грузовых авиаперевозок на самолетах Ан-24, Ан-26;
– техническое обслуживание по всем видам РТО как собственного парка ВС, так и сторонних организаций по договорам, на самолетах Ан-24, Ан-26, Ан-30, Ан-32;
создание полета. Пилотируют воздушные суда первоклассные пилоты с многолетним опытом работы. В пассажирском салоне работают бортпроводники, прошедшие конкурсный отбор.
Производственные и социальные отношения между работодателем и трудовым коллективом авиакомпании «Ангара» регулируется коллективным договором.
Трудовые отношения между работодателем и работником регулируются индивидуальным трудовым договором, по которому работник обязуется выполнять работу по определенной специальности, квалификации, должности с исполнением актов работодателя, работодатель обязуется своевременно и в полном объеме выплачивать работнику заработную плату и иные выплаты в соответствии с элементами дополнительной заработной платы является также доплаты и надбавки к должностным окладам, прочие виды выплат.
2.2. Экономический анализ деятельности авиакомпании
Одним из услуг (по количеству перевезенных пассажиров). В таблице 2.1 проведен анализ объема оказанных предприятием услуг за 2005 – 2007гг.
Таблица 2.1
Количество перевезенных пассажиров в 2005-2007гг. по направлениям
| Направление
|
2005 г.
|
2006 г.
|
2007 г.
|
Всего
|
| Бодайбо
|
| Мама
|
| Киренск
|
| Чита
|
| Казачинск
|
| Ленск
|
| Ербогачен
|
| Усть-Кут
|
| Олекминск
|
| Всего
|
32 449
|
60 160
|
71 096
|
163 705
|
Из таблицы 2.1 видно, что основная доля всего объёма перевозок приходится на маршруты N-ск-Бодайбо, N-ск - Киренск, N-ск-Мама, N-ск-Ленск.
Данные направления являются основными доходообразующими воздушными линиями для пассажирам вырос соответственно на Бодайбинском направлении - на 34%, на Киренском - на 48%.
На рис.2.1-2.3 представлена структура объемов перевозок пассажиров по годам.
Рис.2.1.
Структура объемов перевозок пассажиров по направлениям в 2005 году
Рис.2.2.
Структура объемов перевозок пассажиров по направлениям в 2006 году
Рис.2.3.
Структура объемов перевозок пассажиров по направлениям в 2007 году
Рис.2.4.
Динамика коммерческой загрузки воздушных судов Авиакомпании «Ангара» за период 2005-2007гг.
Что касается структуры авиаперевозок авиакомпании, то здесь можно привести следующие данные (таблица 2.2).
Таблица 2.2
Структура авиаперевозок
Структура коммерческой загрузки в 2007 г. осталась такой же как в 2006 г., но объемы показателей деятельности предприятия, то здесь можно привести следующие данные (таблица 2.3).
Таблица 2.3
Основные производственные показатели авиакомпании «Ангара» за 2005 – 2007 гг.
| Показатели
|
2005 г..
|
2006 г.
|
2007 г.
|
Отклонение
|
| Абс.
|
Относит.,%
|
| 120,00
|
| 133,33
|
| 167,57
|
| 122,13
|
| 163,25
|
| 219,10
|
| 149,01
|
| 97,80
|
| 241,37
|
| Грузооборот, тыс. тыс.км.
|
4 258
|
4 968
|
5 746
|
1488
|
134,95
|
Анализируя таблицу, можно отметить увеличение количества воздушных судов на 1 единицу или 20%, также отмечается увеличение количество перевезенных пассажиров на 4 647 человек или на 289%, а также увеличилось количество грузоперевозок 292,5 тн. или в 2,5 раза.
Проанализируем основные финансовые показатели деятельности авиакомпании за 2006 – 2007 гг.
Целью анализа финансово - экономической деятельности является объективная оценка финансового состояния, финансовых результатов, эффективности и— уровень рентабельности. В процессе анализа изучается динамика изменения объема чистой прибыли, уровень рентабельности.
В таблице 2.4 приведен сравнительный аналитический баланс за 2 года (2006 и 2007 гг.).
Таблица 2.4
Сравнительный аналитический баланс авиакомпании «Ангара»
| Наименование статьи, раздела
|
Значение, тыс. руб.
|
Изменение
|
| 2006 г
|
2007 г.
|
абсолютное, тыс. руб.
|
проц.
|
АКТИВ
|
| 1 Внеоборотные активы
|
| 1.1 Основные средства
|
82,46
|
1.2 Отложенные налоговые активы
|
Итого по разделу I
|
80,40
|
| 2 Оборотные активы
|
| 2.1 Запасы, в т.ч.
|
462,40
|
| Сырье и материалы
|
602,74
|
| Затраты в незавершенном производстве
|
| Расходы будущих периодов
|
265,81
|
| 2.2 Налог на добавленную стоимость по приобретенным ценностям
|
228,78
|
| 2.3 Дебиторская задолженность (платежи по которой ожидаются в течение 12 месяцев)
|
443,76
|
| 2.4 Денежные средства
|
34 550
|
2.5 Прочие оборотные активы
|
Итого по разделу II
|
398,39
|
| БАЛАНС
|
169,58
|
| ПАССИВ
|
| 3 Капитал и резервы
|
| 3.1 Уставный капитал
|
100,00
|
| 3.2 Добавочный капитал
|
100,00
|
| 3.3 Нераспределенная прибыль
|
125,81
|
Итого по разделу III
|
102,01
|
| 4 Долгосрочные обязательства
|
| 4.1 Отложенные налоговые обязательства
|
4 133,3
|
| 4.2 Прочие долгосрочные обязательства
|
142,70
|
| Итого по разделу IV
|
145,75
|
| 5 Краткосрочные пассивы
|
| 5.1 Кредиторская задолженность
|
288,34
|
| 5.2 Прочие краткосрочные обязательства
|
Итого по разделу V
|
9237
|
25305
|
16068
|
273,95
|
| БАЛАНС
|
28 602
|
48 503
|
19901
|
169,58
|
Анализируя баланс, необходимо отметить увеличение валюты баланса на 169,58% или. или почти в 3 раза, в то же время возросла нераспределенная прибыль предприятия на 231 тыс. руб. или на 25,81%.
В целом заключается в сравнении их с базовыми величинами, а также в изучении их динамики за отчетный период.
Значения коэффициентов приведены в таблице 2.5.
Таблица 2.5
Анализ показателей финансовой устойчивости организации
| Показатель
|
Описание показателя и его нормативное значение
|
| 2006 г.
|
2007 г.
|
Отклонения
|
| Коэффициент маневренности собственного капитала
|
0,4
|
0,8
|
Отношение собственных оборотных средств к источникам собственных и долгосрочных заемных средств
Оптимальное значение: 0,5
|
| Коэффициент финансовой зависимости
|
4,4
|
2,6
|
Валюта баланса
Собственный капитал
Нормативное значение коэффициента устанавливается самим предприятием в зависимости от сферы деятельности
|
Анализ динамики коэффициентов на 1.01.2007 г. позволяет сделать вывод, что финансовое состояние предприятия оценивается как нормальное.
Коэффициент автономии организации говорит о крайне незначительной зависимости организации от заемного капитала, которая, однако, с каждым годом имеет организации характеризуется значением 0,5-0,6. В данном случае значение показателя составляет в 2006 г. – 0,4, а в 2007г. увеличился до 0,8.
В таблице 2.6 приведены коэффициенты платежеспособности авиакомпании «Ангара» в динамике за период 2006-2007 гг.
Таблица 2.6
Коэффициенты платежеспособности
| Коэффициенты платежеспособности
|
2006 г.
|
2007 г.
|
Отклонение 2007 от 2006 г.
|
| Коэффициент текущей ликвидности
|
1,02
|
1,2
|
+0,18
|
По данным таблицы видно, что динамика коэффициентов предприятия положительная, что свидетельствует й показатель эффективности его деятельности. Понятие прибыли различаются в зависимости от стадии ее формирования. Прибыль до налогообложения отчетного периода представляет собой алгебраическую сумму:
1) Результата от продажи продукции (работ, услуг);
От проводится в сравнении с предшествующим периодом. Анализ проводится по данным работы предприятия за два года (2006 – 2007гг.).Таблица 2.7
Формирование прибыли авиакомпании «Ангара» за 2006–2007 гг.
| ПОКАЗАТЕЛИ
|
2006 г., тыс. руб.
|
2007 г., тыс. руб.
|
Отношение к прошлому году
|
| Абс., тыс. руб.
|
проц.
|
| I. Доходы и расходы по обычным видам деятельности
|
| 1.Выручка от продажи продукции
|
143,85
|
| 2. Себестоимость продукции
|
141,89
|
| 3. Валовая прибыль
|
148,00
|
| 4. Управленческие расходы
|
114,87
|
| 5. Прибыль (убыток) от продаж
|
8 052
|
13 238
|
5 186
|
164,41
|
| II. Прочие доходы и расходы, руб.
|
| 6. Проценты к получению
|
-
|
17
|
622
|
| 7. Проценты к уплате
|
1 176
|
1 798
|
60
|
152,89
|
| 8. Прочие доходы
|
| 9. Прочие расходы
|
| 10. Прибыль (убыток) до налогообложения
|
| 11. Отложенные налоговые активы
|
| 12.Отложенные налоговые обязательства
|
| 13. Налог на прибыль
|
-
|
458
|
514
|
| 14. Чистая прибыль (нераспределенная прибыль (убыток) отчетного года
|
2 059
|
2 573
|
622
|
124,96
|
Материал таблицы показывает, что на предприятии увеличилась выручка на 16 452 тыс. руб. или на 43,85%, при увеличении себестоимости на 10 673 тыс. руб. или на 41,89%, что обусловлено наращиванием объемов перевозок, также и иные платежи.
По данным таблицы 2.8 можно проследить динамику показателей рентабельности предприятия.
Таблица 2.8
Динамика показателей рентабельности по сравнению с 2006 годом
| Показатели
|
2006 г.
|
2007 г.
|
Отклонение
|
Показатели рентабельности в таблице 2.8 рассчитывались по следующим базовым формулам:
1. Рентабельность активов:
)*100% (2.3)
где Рпр
– показатель рентабельности продукции (товаров);
П – показатель прибыли от продажи продукции;
В – показатель выручки от продажи продукции.
2.3. Анализ маркетинговой деятельности
Маркетинговая политика предприятия, оказывающего услуги, включает в себя товарную, ценовую, сбытовую политику, а также политику продвижения услуги на рынке.
Именно по лями.
Менеджер отдела сбыта при отсутствии вакансии маркетолога выполняет следующие функций:
─ изучение товарного рынка,
─ реклама,
─ сервисное обслуживание покупателей;
─ гибкая ценовая политика.
- Целью услуг пассажирам с целью увеличения сбыта своих услуг и наращивания прибыли.
Проанализируем основные элементы маркетинговой политики авиакомпании.
2.3.1. Целевой рынок
Одним из основных направлений маркетинговой деятельности является сегментирование рынка, позволяющее аккумулировать средства предприятия на определенном направлении своего бизнеса. К настоящему времени в экономической литературе достаточно четко обозначены понятия целевого рынка и целевого сегмента, выделение которых и является основной целью сегментирования рынка.
Целевой рынок — это потенциальный рынок фирмы, который определяется совокупностью о деятельность по выявлению потенциальных групп потребителей конкретного товара предприятия.
Общая схема сегментирования рынка представлена на рис.2.5.
Рис.2.5.
Схема сегментации рынка [28,c.34]
Подобная схема сегментирования рынка носит общий характер и может быть применена при планировании различных направлений маркетинговой деятельности. потребителей в сегменте предусматривает однородность потенциальных покупателей с точки зрения покупательского отношения к конкретному товару. Сходство потребителей необходимо для того, чтобы можно было разработать соответствующий маркетинговый план для всего целевого сегмента.
Требование большой величины сегмента означает, что целевые сегменты должны быть достаточно большими для обеспечения продаж и покрытия издержек
Принцип достижимости потребителей означает требование наличия каналов коммуникации фирмы-продавца с потенциальными потребителями. Такими каналами коммуникации могут быть газеты, журналы, радио, телевидение, средства наружной рекламы и т.п. Достижимость потребителей необходима для организации
Разбивая рынок на сегменты по группам пассажиров можно привести следующие характеристики:
1. Рынок деловых пассажирских перевозок.
Перевозки деловых пассажиров являются важным сегментом рынка пассажирских авиаперевозок. Доля этого сегмента рынка последние годы несколько снизилась и составляет совершают большое количество поездок. Эти же бизнесмены, имеющие высокие личные доходы, одновременно являются потенциальными клиентами рынка неделовых перевозок, и это необходимо учитывать, поскольку во время отпуска, выходных дней, праздников они предпочтут воспользоваться услугами понравившейся авиакомпании.
И, наконец, сегмент на рынке пассажирских перевозок. В Великобритании, например, 70% прибывших и уезжающих авиапассажиров составляют неделовые пассажиры.
Основной особенностью данного сегмента является тот факт, что пассажир платит за перевозку свои собственные деньги. Как правило, это перевозка в отпуск и обратно, ежегодно планируемого и проводимого всей семьей. Естественно, определяющими являются цена авиаперевозки и уровень доходов пассажиров. Рынок пассажирских неделовых перевозок делится на два субсегмента: является определяющим фактором. Именно по этой причине такие перевозки нельзя отнести к сегменту неделовых пассажирских перевозок.
2. Перевозки с работы и на работу. Здесь спрос определяется уровнем авиатарифов, поэтому доля их незначительна из-за высокой стоимости авиабилетов по сравнению с другими видами транспорта. Следует отметить, что индивидуальные поездки в личных целях составляют самый маленький сегмент рынка пассажирских авиаперевозок.
─ 4. Рынок грузовых -6%;
─ пенсионеры-7%;
─ командировочные-38%;
─ пассажиры, пользующиеся государственными льготами для поезда к месту лечения-3%.
Из представленной ниже структуры пассажирского потока (см. рис. 2.6) видно, что его немалую долю составляют командировочные пассажиры, которые путешествуют бесплатно для себя, за счёт своих предприятий. Для них при выборе
Рис. 2.6.
Структура пассажирского потока по категориям
2.3.2. Ассортимент услуг
На сегодняшний день авиакомпания оказывает широкий спектр услуг по авиаперевозке людей и ласти сертификации и лицензирования эксплуатационной деятельности;
8. Бронирование авиабилетов по телефону;
9. Бронирование мест прибывающим пассажирам в гостинице ГП «Аэропорт N-ск»;
10. Обеспечение внеочередной доставки срочных партий груза (грузы оперативной срочности (избирательные бюллетени, документы о переписи населения, запасные части и т. п.), грузы рыночной срочности).
2.3.3. Ценообразование
Ценообразование — важнейший элемент маркетинговой политики. На принятие решения о цене товара (о наценке, скидках - в данном случае) оказывает прямое воздействие условиях развитой рыночной экономики цена на выполняемые работы и оказываемые услуги зависят от следующих основных факторов: спроса, предложения, издержек производства, конкуренции. При этом цена и эти факторы взаимосвязаны рядом экономических законов.
Закон спроса показывает, что при прочих равных условиях снижение цены ведет к соответствующему возрастанию спроса, то есть между ценой и спросом на продукцию авиакомпании имеется обратная связь. Закон предложения устанавливает прямую связь между ценой и количеством предлагаемых
Из основных неценовых факторов предложения можно назвать такие: цены на ресурсы, технология производства, налоги и субвенции, число производителей работ и услуг на рынке, цены на взаимозаменяемые работы и услуги.
Тарифы представляют собой цену транспортной продукции, то есть на перевозку пассажиров, почты, грузов.
Тариф за перевозку пассажиров (аналогично и для других видов загрузки) рассчитывается в зависимости от стоимости рейса, установленных норм рентабельности и НДС, пассажировместимости и коэффициентов занятости кресел.
Уровень рентабельности по авиалиниям обычно не превышает 5-7%.
Выбор уровня рентабельности для отдельной авиалинии определяется направлением авиалинии, спросом, качеством предоставляемых услуг, включая комфорт пассажирского салона, конкуренцией или другими конъюнктуррыми соображениями.
Ц = Э*(1+р) (2.4)
где: Ц —
цена на соответствующий вид авиаперевозок, руб.
Э — эксплуатационные расходы, руб.
р — рентабельность, равная отношению балансовой прибыли к эксплуатационным расходам или прибыли от рейса к расходам на его выполнение, %.
2. Метод «цены внедрения на рынок» предполагает установление преднамеренно низкой цены на авиаперевозки по сравнению с доминирующими в данном регионе
Использование каждого из вышеперечисленных методов формирования цен определяется в каждом конкретном случае условиями производства, финансовыми возможностями и развитостью маркетинговой службы авиакомпании.
Доходы по рному рейсу авиакомпании) производится на основе прогнозирования перевозок по отдельным авиалиниям с учетом структуры перевозок по видам, применяемым тарифам, группам валют и др.
Расчет доходов авиалинии (рейса) на базе прогноза перевозок может выполняться с использованием расчетных доходных ставок по видам перевозок (тарифов), и группам валют базового периода с учетом влияния разных факторов в плановом периоде.
В общей сумме доходов авиалинии (рейса) не учитываются результаты взаиморасчетов авиакомпаний по ПУЛУ, отдельным коммерческим соглашениям авиакомпании и т.п., рассматриваемым отдельно.
При использовании льготных тарифов расценка пассажирских перевозочных документов может производиться на определенном этапе для учета доходов авиалинии на основе официальных участковых и корректирующих расчетных коэффициентов. Расценка грузовой перевозочной документации при продаже по льготным тарифам может также производиться на основе официальных тарифов с учетом разрешенных скидок.
Доходы авиалиний совместной эксплуатации при использовании ВС обоих авиакомпаний определяются в том же порядке, что и для регулярных линий. При этом не они могут рассматриваться также с учетом совместной эксплуатации авиалиний и другим коммерческим соглашениям авиакомпании за эксплуатационные периоды (зима, лето) по отдельным ВЛ или сети авиалиний и расчетной прибыли за соответствующие периоды.
Что касается каналов сбыта по реализации билетов на рейсы авиакомпании «Ангара», то здесь используются одно (продажа непосредственно в аэропортах городов) и двухуровневые
Последнее и с помощью туристических агентств, им выплачиваются комиссионные. В таблице 2.9 представлен анализ комиссионных выплат агентам.
Таблица 2.9
Комиссионные выплаты
| Показатель
|
2006г.
|
2007г.
|
Абсолютное отклонение
|
В процентах к прош. году
|
| Комиссионные выплаты, руб.
|
| Средний процент комиссии к общему объему продаж
|
| Средний процент комиссии к сумме тарифа
|
Как видно из таблицы, комиссионные выплаты увеличились на 24%, однако средний процент комиссии к общему объему продаж снизился на 5%, к сумме тарифа на 22%.
2.3.4. Коммуникационная политика авиакомпании
- Основным недостатком рекламной кампании авиакомпании «Ангара» является ее малая
2. Реклама в целях расширения сбыта. Является основной сферой рекламы и непосредственно связана со всеми взаимозависимыми факторами маркетинга, влияющими на объемы продаж. На предприятии разработаны конкретные прогнозы, позволяющие комплексно использовать все элементы «маркетинг микса» (системы смешанных маркетинговых мероприятий), что позволяет осуществлять конкретные прогнозы.
По рекламе можно определить насколько гибким является предприятие, как быстро оно способно реагировать на изменения рынка. Форма и методы использования рекламы настолько многообразны, что сделать какие-то выводы о ее специфических качествах довольно непросто.
- Очевидно, что от рекламы ожидается продвижение продукта, корпоративного имиджа и корпоративной ценности марки. Когда речь идет о краткосрочных целях,;
- рекламные щиты, плакаты, световая реклама.
Реклама деятельности фирмы на телевизионном экране обеспечивается «бегущей строкой» с мало информативным текстом, который рекламирует группу товаров предлагаемых компанией услугу с указанием адреса и телефона. Однако, этот вид рекламы не всегда дает желаемый эффект, т. к.:
- скорость «бегущей строки» не совпадает со скоростью восприятия информации у телезрителя;
редприятия и степени осведомленности о компании, реклам на телевидении и радио, а также система стимулирования сбыта с помощью различных бонусных программ и построения новой сети для реализации билетов.
2.4. Анализ конкурентной среды
В начале 90-х годов рынок авиационных перевозок на местных воздушных линиях Восточной Сибири был традиционно разделен по территориальным образованиям (N-ская, Читинская области; Республика Бурятия). Рейсы по МВЛ выполняли N-ский выполнял полеты в 20 населенных пункта Восточной Сибири, перевозил 190 тыс. пассажиров в год.
Доли рынка авиаперевозок пассажиров, груза и почты на местных воздушных линиях Восточной Сибири к 01 января 2007 г. составили (см. рис. 2.7):
Рис. 2.7.
Доли рынка авиаперевозок
На сегодняшний день основными конкурентами авиакомпании «Ангара» на рынке внутрирегиональных перевозок являются авиакомпании «Бурятские авиалинии» (Республика Бурятия), «Даурия» (Читинская область), «Братскавиа» которые производственным показателям. В 2007 году авиакомпанией было выполнено свыше 40 тысяч рейсов, на которых было перевезено 4,9 млн. пассажиров и более 28 тыс. тонн груза и почты.
С марта 2007 года авиакомпания «Сибирь» предлагает свои услуги под зарегистрированным товарным знаком S7 Airlines. Недавно компания прошла ряд международных сертификаций, то подтверждает высокий уровень оказываемых компанией услуг и гарантированный уровень надежности и безопасности авиаперелетов.» (о признании перевозочной документации), код-шеринговых и специальных прорейтовых соглашений с другими авиакомпаниями.
Авиакомпания «Трансаэро» также является сильным конкурентом. За время своего существования авиакомпанией «Трансаэро» было выполнено почти 100 тыс. рейсов в 145 городов 56 стран мира. Самолеты авиакомпании перевезли за это время около 10 млн. пассажиров
В авиапарке компании «Трансаэро» воздушные суда десяти типов.
Также компания «Трансаэро» уникальна тем, что это один из мировых лидеров по центра обучения компании, а также в крупнейших мировых центрах подготовки.
Проводя анализ конкурентной среды по методологии Портера необходимо отметить, что на рынке происходит сосуществование и взаимное дополнение компаний разных типов, и конкурентная борьба, соответственно, ведется разными методами на основе разных конкурентных стратегий. При этом полное вытеснение одного из типов фирм невозможно, так как невозможна полная унификация Бостонская матрица считает перспективным только это направление).
Стратегия положение в определенном сегменте рынка (таблица 2.10).
Таблица 2.10
Общие характеристики компаний, придерживающихся различных типов маркетинговых стратегий
| Компания
Критерии оценки
|
«Сибирь»
|
«Бурятские авиалинии»
|
«Трансаэро»
|
| Профиль производства
|
| Размер компании
|
| Устойчивость компании
|
| Расходы на обновление летного парка и обслуживание
|
высокие
|
высокие
|
| средние
|
| Факторы силы в конкурентной борьбе
|
Постоянное совершенствование процесса обслуживания, открытие новых направлений, гибкая система скидок
|
Ценовая политика, хорошее обслуживание
|
Постоянное совершенствование процесса обслуживания, открытие новых направлений, гибкая система скидок, гибкие тарифы
|
Как видно из таблицы 2.10, основным конкурентом является компания «Сибирь», т.к. гибкую ценовую политику для различных слоев населения.
2.4. Выводы по второму разделу
Автором дипломной работы во втором разделе дипломной работы было сделано следующее:
Изучена деятельность авиакомпании «Ангара», которая занимает 67% рынка отдела маркетинга, а значит и единой маркетинговой стратегии авиакомпании, слабая коммуникационная политика и система стимулирования сбыта.
Глава 3. Совершенствование маркетинговой деятельности авиакомпании «Ангара»
Для улучшения маркетинговой деятельности авиакомпании необходимо внедрить ряд следующих предложений:
ии, элементами которой будет являться процесс продвижения услуг и стимулирование сбыта, для привлечения большего числа клиентов авиакомпании.
3.1. Реорганизация отдела маркетинга
Предприятие, которое действительно хочет ориентироваться в своей деятельности на маркетинг, а не просто декларировать его, должно добиваться, чтобы маркетинг, как функция управления и образ действия, стал нормой повседневного поведения сотрудников всех его структурных подразделений.
Эффективность денций, складывающихся на рынке, выявление приоритетных направлений в ассортиментной политике, поиска новых видов продукции и ниш рынка, в самом недалеком будущем может привести к потере уже завоеванных позиций.
На сегодняшний день в авиакомпании «Ангара» отдел маркетинга как таковой не выделен в отдельную структурную единицу, поэтому для дальнейшего развития предприятия необходимо создать отдел маркетинга на основе функциональной структуры и четко распределить обязанности каждого сотрудника, только в этом, представленная на рисунке 3.1.
Рис. 3.1.
Организация службы маркетинга авиакомпании «Ангара»
- Рассмотрим подробнее предложенную структуру, а также функции групп, функциональные обязанности сотрудников и связь с другими подразделениями компании. выполняет роль своеобразного «интеллектуального штаба» компании.
Директор по маркетингу руководит отделом маркетинга компании, организует и управляет всей деятельностью компании в сфере маркетинга, рекламы и стимулирования возложена задача периодической ревизии организации системы маркетинговой деятельности на предприятии.
Специалист по формированию расписания занимается разработкой графиков и расписаний движения самолетов, в целях наиболее эффективного использования самолетов (чем меньше простоев и больше налет часов, тем это выгоднее для авиаперевозчика), назначением удобного времени для прилетов, согласованием расписаний рейсов — внутренних и международных для различных авиакомпаний и аэропортов. Компания борется за место на «первом экране» в международных системах бронирования.
Специалист по разработке тарифов осуществляет анализ экономических показателей своего рыночного сегмента и своего продукта (товарной марки).
Предложенная структура отдела маркетинга и уровень полномочий его сотрудников максимально адаптированы к особенностям и потребностям авиакомпании на данном этапе деятельности. Примерное положение об отделе маркетинга приведено в Приложении 1.
Задачи отдела маркетинга — результаты, которых должны добиваться сотрудники службы в своей повседневной деятельности (что делают или что должны сделать, какого обязанностей.
В Приложении 2 приведена матрица распределения функций между подразделениями компании. Созданной службе маркетинга кроме чисто маркетинговых проблем придется решать вопросы, связанные с перераспределением функциональных обязанностей и структурных взаимоотношений внутри компании, вести разъяснительную работу среди сотрудников о роли и месте маркетинга в современной рыночной экономике.
Необходимо сформировать стратегические цели маркетинга для авиакомпании «Ангара», которые будет решать созданный отдел маркетинга при согласовании полетов на внутренних рейсах не отличалось от международных рейсов).
6. Расширение спектра предоставляемых услуг (бизнес-полеты, чартерные рейсы).
7. Увеличение частоты рейсов (сокращение времени стыковки при пересадке пассажиров с одного рейса на другой до полутора-одного часа).
Достижение этих
Рассчитывать экономическую эффективность реорганизации отдела маркетинга не имеет смысла, так как грамотно спланированная маркетинговая стратегия авиакомпании позволит в дальнейшем не только окупить затраты на создании отдела, но и получать дополнительную прибыль.
3.2. Разработка рекламной кампании
В последнее время в связи с возрастающей конкуренцией на рынке авиаперевозок российские авиакомпании все чаще стали прибегать к одному из основных инструментов маркетинга — продвижению своих услуг, а в свою очередь основным инструментом продвижения выбирают рекламу.
Авиакомпании России не отличаются оригинальностью и не способны привлечь внимание пассажиров. Это подтверждает проведенный опрос — запомнили рекламу только 40,5% из числа видевших рекламу или менее четверти всех респондентов.
Внимание наибольшего количества респондентов привлекла телевизионная реклама. Видевших рекламу на ТВ было 20,7%. Второе место занимает реклама на наружных носителях — эту вид рекламы отметили — 12,7%— побудить потребителя к покупке и повысить лояльность к компании. По результатам опроса, нельзя сказать, что реклама выполнила свою основную функцию. На 53,1% респондентов реклама никак не повлияла при выборе авиакомпании, отношение к авиакомпании поменялось в лучшую сторону лишь у 29,3% респондентов.
– Для повышения эффективности рекламы авиакомпании должны строить свои рекламные стратегии только в контексте общей стратегии маркетинговой коммуникации,
– Освещение в СМИ оперативных мероприятий, связанных с текущей работой «Ангары»: обновление парка машин отечественной техникой, закупка современной западной техники и оборудования; открытие новых рейсов и представительств; доверия и предпочтения.
– Увеличение коммерческой загрузки рейсов.
Для расширения охвата целевой аудитории, ускорения аккумуляции аудитории, увеличения частоты контактов, усиления эффекта рекламы, донесения более подробной информации авиакомпания в необходимо следующее сочетание средств рекламы:
3.2.1. Интернет-реклама
По сравнению с традиционными средствами рекламы, Интернет выгодно отличают следующие свойства:
– Интернет является эффективным средством представления объекта рекламы. Это возможности оперативного и глубокого анализа результатов проведения рекламных мероприятий.
– Интернет, как инструмент рекламы значительно отличается от традиционных рекламных средств не только своими свойствами, но и применяемыми подходами. Так основная особенность организации рекламы в нем заключается в ее двухуровневом строении.
– Первым звеном рекламы в Интернете является внешняя реклама в виде баннеров, текстовых блоков и других носителей, размещаемых на популярных и тематических web-сайтах или рассылаемая по электронной почте. Также это может быть;
– партнерские программы — эффективный способ привлечения новых посетителей и увеличения объемов продаж через Интернет.
Вторым (и центральным) звеном рекламы в Интернете является web-сайт, представляющий основной объем информации и услуг. То есть все то, что пользователь получает после взаимодействия с внешней рекламой, размещается именно на нем.
1. Данный двухуровневый подход требует самого внимательного отношения как к реализации первого рекламного звена, так и второго. При этом для получения
2. Программы стимулирования клиентов;
Бронирование авиабилетов и возможность расчета кредитной карточкой и т.д. дом.
Затраты на модернизацию и постоянное обслуживание сайта (без НДС) приведены в таблице 3.1.
Таблица 3.1
Обслуживание Интернет-сайта
| Статья расходов
|
Стоимость, руб.
|
| Разработка нового дизайна
|
1 200
|
| Размещение в сети
|
3 500
|
| Размещение баннера в каталогах
|
10 000
|
| Обслуживание сайта
|
1 500
|
| Итого
|
16 200
|
Следующим инструментом, получившим наиболее широкое распространение, является баннерная реклама. Она может выступать, как в роли имидж-рекламы, так и средств, кончая оценкой эффективности, анализом результатов и выработкой рекомендаций на будущее.
Первым этапом организации рекламной кампании в Интернете является постановка ее целей и задач. Для авиакомпании «Ангара» ими являются: повышение осведомленности потребителей об авиакомпании и ее услугах, увеличение числа посетителей web-сайта компании, информирование о проведение какой-либо маркетинговой акции в Интернете, увеличение объема продаж и т.д.
Задачи, ой этого вида ценообразования служит стоимость за тысячу показов рекламы, или CPM (Cost Per thousand, где тысячу обозначает римская цифра М). Этот вид ценообразования является сегодня наиболее распространенной ценовой моделью. Наряду с Интернетом, СРМ также часто применяется для расчета стоимости он появляется дополнительно на другой странице без обращения к серверу после кэширования браузером пользователя.
Реальной мерой количества показов служит показатель AD exposure — реальный показ рекламы, а не просто факт ее загрузки в браузер. К сожалению, такой показатель не поддается программному подсчету и поэтому не учитывается ни одной ценовой моделью.
В российском секторе Интернета у серверов, продающих места для баннеров, CPC (Cost Per Click) — стоимость за тысячу щелчков мышью. Это ценовая модель, при которой рекламодатель платит непосредственно за щелчки на своей рекламе.
В российском Интернете у серверов, продающих щелчки, значение СРС обычно составляет $150–200 за 1 тыс.
Баннерная реклама справедливо считается самым популярным способом наращивания траффика (привлечения посетителей) веб-страницы, средством привлечения новых клиентов, а также мощным инструментом имиджевой рекламы в Интернете.
- Как правило, баннер представляет собой прямоугольное графическое изображение в ю ресурса.
Существуют три основные метода баннерной рекламы:
1. Использование специальных служб обмена баннеров (Banner Exchange Services), которые обеспечивают показ ваших баннеров на других страницах взамен на показ на ваших страницах чужих баннеров.
2. Баннерная сеть – это объединение различных сайтов, на страницах которых размещаются баннеры участников сети, а также баннеры любой компании, которая заплатила владельцу данной баннерной сети. Наиболее распространенной баннерной с рекламным баннером, считается одним показом баннера. Если же пользователь навел указатель мыши на баннер и «кликнул» по нему, перейдя по связанной с баннером гиперсылке, то данный факт считается одним переходом по баннеру или одним «кликом».
Количественно эффективность баннера оценивается коэффициентом кликопоказов – CTR, который равен отношению количества переходов по баннеру («кликов») к количеству показов баннера. Чем больше CTR, тем выше оценивается результативность рекламной кампании. Так, если баннер компании был показан на какой-либо странице 1000 раз, а нажали на него и, соответственно, попали на ваш сайт делу фраз и изображений, не является правильным выбором.
Оценка эффективности рекламной кампании
в Интернете:
Использование любого средства должно завершаться оценкой его эффективности. Можно выделить два направления оценки эффективности рекламы в Интернете:
коммуникативная (информационная) эффективность рекламы позволяет установить, насколько эффективно конкретное рекламное обращение передает целевой аудитории необходимые сведения или формирует желательную для рекламодателя точку зрения. Изучение коммуникативной (информационной) компании, товаров и услуг, web-сайта.
В таблице 3.2 приведены затраты на баннерную рекламу в Интернете (без НДС):
Таблица 3.2
Расходы на баннер
| Наименование
|
Сумма
|
| Разработка баннера
|
10 000
|
Входные данные по кампании — 150 000 показов за неделю, целевая аудитория — посетители сети Интернет, основная задача — увеличить поток клиентов.
Бюджет рекламной кампании 84 000 руб. будет распределен между пятью специализированными сайтами. Рассмотрим на примере площадки avia: на главной странице сайта довательно, рекламу пользователь в среднем видел 4 раза. Получаем, что количество уникальных пользователей, которым была показана реклама равно 37 000чел.
В среднем пользователь видел рекламу 4 раза, предположим, что ее запомнили 65% от увидевших ее уникальных пользователей, т.е. получаем 24 050 пользователей, осведомленных о интернет-сайте www.iraz403.ru
По различным
Соответственно экономический эффект составит: 225 000 – 84 000 = 141 000 руб.
3.2.2. Реклама в аэропортах
Реклама в аэропортах — это востребованная целевая аудитория и исключительно высокое качество рекламного контакта.
Аэропорт дает возможность рекламодателям товаров класса премиум и высококачественных товаров массового спроса достичь максимального эффекта от размещаемой рекламы.
Учитывая Сибири и Дальнего Востока.
Рассмотрим свои размеры. Базовая единица - ячейка. Наиболее распространенным является размер мобильного стенда 2,7х2,2 метра.
Рис. 3.1.
Зонтичные мобильные стенды Pop Up
Достоинства мобильного стенда: основным достоинством зонтичной конструкции стенда является большое бесстыковое рекламное поле для ярких сочных картинок. Грамотно подобранный образ размером 2х3 метра производит неизгладимое мобильный стенд собирается по принципу зонтика «голыми руками» за 5–10 минут.
√ Рамочные мобильные стенды Fold Up (рисунок 3.2).
Рис. 3.2.
Рамочные мобильные стенды Fold Up
Достоинства мобильного стенда: основное достоинство рамочных мобильных стенды (подобрать идеальный вариант для любого мероприятия. Самый универсальный стенд.
Рис. 3.3.
Малые мобильные стенды
На стендах размещения (без НДС) приведена в таблице 3.3.
Таблица 3.3
Расходы на рекламу в аэропортах
* Расходы приведены в расчете на размещение 4 стендов
3.2.3. Реклама в печатных СМИ
√ Реклама в газетах и журналах получила широкое распространение и обладает наибольшей в прессе доступна в любое время, т.е. всегда есть возможность повторного обращения к макету (что исключено, например в телевизионной и радиорекламе). Важно также учитывать длительность рекламного контакта. Можно прочитать объявление, подумать, сравнить варианты, опять вернуться к макету;
пресса сегментирована и имеет свою определенную аудиторию, так что вероятность может позволить себе быть гораздо информативнее, чем реклама в электронных СМИ и удерживать внимание гораздо дольше. Уровень запоминаемости рекламы при 100 GRP на телевидении составляет 4%, в то время как в прессе - 11,5%, причем наблюдается более высокий уровень понимания рекламного сообщения.
Рекламу в прессе условно можно разделить на две группы: рекламные объявления и публикации обзорно или специальные приложения к известным газетам и журналам.
По объему затрат, реклама в печатных СМИ уступает лишь рекламе по телевидению. Реклама в газетах, дешевле телевизионной. Вместе с тем качество воспроизведения рекламных оригиналов в газетах обычно невысокое. Отсюда размещенные в них рекламные объявления, как правило, менее привлекательны, и каждое издание имеет одновременно много таких объявлений, в связи с чем, воздействие любого из них в отдельности снижается.
Преимущество рекламы в прессе заключено в ее высокой избирательной способности. Люди с разными интересами будут читать литературу, посвященную той сфере жизни, учитывать цвет, размер букв, реальность изображаемого, стиль обращения, а также, например, то, что фотография лучше, чем рисунок; что одна большая иллюстрация работает лучше, чем много мелких и многое другое.
Стоимость размещения рекламы в прессе зависит от:
- престижа газеты или журнала;
- формата рекламного объявления;
- места расположения (от полосы, обложки, рубрики, рекламного блока);
- количества 3 дня после подачи, буквально в последнюю минуту можно внести изменения в содержание;
- поместить объявление в газеты проще и дешевле, чем в другие СМИ. Кроме того, сделав однажды оригинал - макет, им можно пользоваться многократно.
Исследование роли газеты дает возможность сделать некоторые выводы:
1. Через газету люди их.
Рассчитаем затраты на оформление газетной рекламы на период 2008 года (цены приведены без НДС) (таблица 3.4).
Таблица 3.4
Стоимость размещения цветных блоков
| Наименование издания
|
Размер
|
Цена, руб.
|
Количество выходов
|
Итого затраты, руб.
|
| «АиФ»
|
| «Комсомольская правда»
|
| Итого
|
Однако размещение цветных блоков необходимо варьировать в зависимости от сезона продаж.
Эффект полученный от публикаций в газетах представлен в таблице 3.5.
Таблица 3.5
Сравнительные характеристики газет
| Наименование издания
|
Тираж,
тыс. экз.
|
Средняя аудитория 1 номера, тыс. чел.
|
Коэффициент чтения
|
Эффективность
|
Число рекламных контактов
|
| «АиФ Сибирь»
|
| «Комсомольская правда (Сибирь)»
|
Коэффициент чтения находится отношением средней аудитории 1-ого номера к тиражу.) рекламы к средней аудитории одного номера газеты, умноженным на 100 тыс. читателей.
3.3. Стимулирование сбыта
3.3.1. Расширение сети продаж авиабилетов
Формирование сбытовой политики основано на использовании элемента комплекса маркетинга «доведение продукта до потребителя», характеризующего деятельность доставкой на дом или в офис по телефону, e-mail или ICQ уже давно не является чем-то из области невероятного. Сейчас же все эти невиданные для своего времени услуги вошли в минимально необходимый объем сервиса любой авиакассы, в том числе и в кассы авиакомпании «Ангара», без которого успешный выход на рынок в принципе невозможен.
Любые другие нововведения также очень быстро копируются конкурентами и, став обыденностью, перестают быть козырем в борьбе за клиента. На этом фоне все больше возрастает роль информационно-сервисного фактора, главную скрипку в одна-единственная колоритная личность способна создать предприятию свое неповторимое лицо, резко выделив ее среди десятков безликих пунктов продажи авиабилетов.
Качественные изменения должны затронуть сам формат авиакассы как таковой. Тенденция на этом рынке такова, что точек чистой продажи авиабилетов будет становиться все меньше. Двигаясь навстречу избалованному клиенту, операторы рынка неизбежно придут к тому, чтобы предлагать в местах, где продаются авиабилеты, максимум сопутствующих услуг. Таких как: международный и внутренний туризм, оформление ж/д билетов, а в идеале и билетов на междугородние автобусные маршруты. Фирме «S7 Билет» следует быть готовой к такому положению дел на рынке.
Также следует интересен. Попытаемся выделить основные пути, основные подходы, открывающие возможности использования многоуровневой системы сбыта в сфере услуг.
1. Распространение информации — «рекомендатели». Одним из основных следствий свойства неосязаемости услуг является высокая неопределенность для покупателя в выборе услуги. Стремясь снизить риск потребления некачественной услуги, покупатель анализирует внешние признаки качества услуг и другие косвенные признаки. Место обслуживания, контактный персонал — на это сервисная фирма, как правило, может непосредственно влиять.
Компания располагает презентабельным офисом в престижном районе города, что производит положительное впечатление на клиентов. Руководство компании, установив сервисной фирме следует выделить для своего типа услуг смежные отрасли, то есть типы компаний, предлагающие продукты (товары или услуги), имеющие косвенное отношение к услугам сервисной фирмы. Проще говоря, нужно ответить на вопрос: «Куда еще ходит наш покупатель?». В случае с нашей фирмой - это могут быть туристические агентства, которые не продают билеты авиакомпании «Ангара». Следует разработать предложение для таких турагенств, когда за рекомендацию потенциальным покупателям услуг данной фирмы предлагается вознаграждение.
Но осуществить контроль за эффективностью работы того или иного рекомендателя затруднительно. Рекомендатель никак не участвует ни в процессе оказания услуги, ни в заключение бходимость контролировать агента.
В случае появления тех или иных посредников при реализации услуги в маркетинговой схеме возникают новые уровни. И для того чтобы клиент был обслужен компании (и, в качестве дальнейшей цели, удержания их в рядах клиентов) — это уже задачи .внутреннего маркетинга.
3.3.2. Применение системы скидок
Приведем несколько вариантов систем скидок, которые возможно использовать при продаже билетов на рейсы авиакомпании:
1. Использование карты авиакомпании
Картой номиналом в 3 500 рублей можно полностью оплатить любой полет, на который есть лететь более высоким классом).
3. Разовые скидки.
Это распространенная разновидность скидок, используемых, в основном, оптовыми и розничными торговыми предприятиями малого и среднего бизнеса. Такие скидки имеют ограниченное время действия. Как правило, компании применяют инструмент время периодичное.
В нашем случае это может быть акция «Осенняя скидка», цель которой компенсировать спад пассажиропотока ростом спроса.
3.4. Экономическая эффективность рекламных мероприятий
Существует несколько основных методов определения объема рекламного бюджета.
Расчет рекламного бюджета по принципу: исходя из критерия оптимальности затрат на рекламу (Модель Данахера-Руста).
В основу данного
f - значение охвата целевой аудитории (при 100% охвате f=1);
EA
- величина затрат на рекламу (величина рекламного бюджета);
EA0
- некий коэффициент, по смыслу равный величине затрат на рекламу,
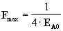
при которой эффективность рекламы равна нулю (f
=0). Очевидно, что затраты на рекламу равные EA0
и меньшие этого значения не имеют экономического смысла.
Нетрудно заметить, что 100% охват целевой аудитории (f=1) достигается при бесконечной нулю и найдя величину EA
, получим оптимальную величину затрат на рекламу . Подставив это значение в выражение (3.2), получим максимальное значение отношения величин охвата целевой аудитории и затрат на рекламу и оптимальное значение охвата целевой аудитории fopt
=0.5 (50%).
Поскольку в формуле (1) присутствует только один коэффициент (EA0
), для его определения необходимо,f1
), как в предыдущем случае, а по двум точкам (EA1
,f1
) и (EA2
,f2
).
Например, маркетолог предприятия определил, что при затратах на рекламу 5 тыс. рублей (EA1
=5) охват целевой аудитории составит 16% (f1
=0.16), а при затратах 25 тыс. рублей. (EA2
=25) - 88% (f2
=0.88). Подставив эти значения, получим значения коэффициентов EA0
=4.32, k=1.21. Из формулы (3.4) находится оптимальное значение величины рекламного бюджета EAopt
= 8.34 тыс. рублей Оптимальный охват целевой аудитории составит при этом f=0.55 (55%).
В оригинале этого метода для характеристики затрат на рекламу используется некая промежуточная величина общих рейтинговых единиц GRPs (Gross Rating Points).
Теперь необходимо отметить, что функция f(EA
), аппроксимирующая зависимость величины охвата целевой аудитории от величины рекламного бюджета, может выступает максимум отношения величин охвата целевой аудитории и затрат на рекламу. Фактически это отношение эквивалентно рентабельности вложений в рекламу:
, где I - прибыль, обусловленная вложениями в рекламу EA
, с учетом этих затрат.
Действительно, если считать прибыль I пропорциональной эффективности рекламы f (что не лишено экономического смысла), оптимизация отношения охвата целевой также 1000 руб., однако он принесет 200 руб. прибыли. Тогда общая прибыль составит 500+200=700 руб., что меньше 800 руб., которые получит фирма, если альной величины по методу Данахера-Руста.
Эффективность рекламы в различных средствах приведена в таблице 3.6
Таблица 3.6
Эффективность рекламы
Дополнительный
Для расчета экономического эффекта можно использовать формулу (3.5):
(3.5)
где Э — экономический эффект рекламирования, руб.,
ТД
— дополнительный товарооборот под воздействием рекламы, руб.,
НТ
—
Таблица 3.7
Общий рекламный бюджет
| Вид рекламы
|
Сумма затрат (без НДС), руб.
|
Другой подход оценки эффективности рекламы основан на оценке рентабельности рекламы. стимулирования персонала для повышения качества обслуживания и привлечения дополнительных клиентов.
3.5. Выводы по третьему разделу
Автором дипломной работы в третьем разделе было предложено:
Создать в авиакомпании отдел маркетинга, являющимся независимым от других отделов структурным подразделением и взаимодействующим с ними по вопросам сбыта услуг; сбыта.
нецелесообразно ввиду того, что эти затраты невелики и быстро окупаемы.
Заключение
Воздушные перевозки играют существенную роль в экономике любого современного государства, а также в развитии его международных связей. Россия с её огромной территорией, значительная часть которой труднодоступна для других видов транспорта, заинтересована в постоянном расширении и совершенствовании сети своих воздушных линий.
В нашей стране с ее огромной территорией и весьма неравномерной плотностью заселения значение региональных авиаперевозок трудно переоценить. Авиакомпании, занимающиеся такими перевозками, имеют целый ряд схожих проблем, вызванных в первую очередь тем, что эти маршруты значительно менее доходны в сравнении с магистральными.
Авиаперевозка пассажиров — это комплекс мероприятий, обеспечивающих предоставление пассажиру услуг по перелету по требуемому маршруту, включая информационное обслуживание, продажу авиабилета, обеспечение безопасности на борту самолета и в контролируемой зоне, регистрацию и встречу в аэропорту, обслуживание на борту самолета и обеспечение трансферта.
Особенности авиатранспортного маркетинга в значительной степени обусловлены спецификой рынка и товара. Авиакомпании предлагают на рынке специфический товар — перемещение. Потребление этого товара происходит непосредственно в процессе ь авиатранспорта и, связанных с ним различных сфер экономики, например таких, каким является авиатранспортный маркетинг.
Деятельность всех служб авиапредприятия, каков бы ни был её объём, не говорит о её полезности, тем более о степени удовлетворения потребностей пассажиров и заказчика в транспортном обслуживании. Работа воздушного транспорта может быть по своим затратам значительно больше, чем полученный эффект конечного результата. При этом следует учитывать такие виды работ, как обслуживание – совокупность действий (операций), выполняемых исполнителем услуги при непосредственном контакте с её потребителем. Для этого должны быть созданы условия обслуживания - совокупность факторов, воздействующих на потребителя услуг (заказчика) в процессе получения услуги, с учётом её особенностей в отличие от материальной продукции таких как: её нематериальность, права на услуги у производителя постоянны, услуга не может быть продемонстрирована перед покупкой, она не может складироваться, ремонтироваться, производство услуги и её потребление происходят одновременно, в производстве услуги участвуют обе стороны – потребитель и производитель и т.д.
В эффективности свидетельствует о целесообразности предложенных мероприятий, так как при увеличении себестоимости всего на 1,6% при затратах на данные меры, позволит увеличить прибыль авиакомпании на 15% или на 395 950 руб.
Литература
1. Авиакомпании: из кризиса в кризис// Коринф. – 2005. - № 5. - С. 4-5
2. Беквит Г. Четыре ключа к маркетингу услуг/Г.Беквит. - М: Бизнес Букс,Альпина, 2004.
3. Бугаков В.П. Особенности маркетинга услуг/В.П. Бугаков// Маркетинг услуг. – 2005. – №2. – С.45-49
4. Берри Л. Концепции маркетинга услуг/Л. Берри//Маркетинг услуг. – 2006. - №3. – С.12-16
5. Белошедова Ю. Современные маркетинговые коммуникации/Ю.Белошедова//Управление компанией.- 2005. - №10. – С. 23-28
6. Голубкова Е.Н., Мухина М.К. Авиатранспортный маркетинг/Е.Н. Голубкова, М.К. Мухина//Маркетинг в России и за рубежом. – 1998. - №5. – С. 52-58
7. Демченко Е.В. Маркетинг услуг/Е.В. Демченко. – Минск.: БГЭУ, 2002.
8. Десятниченко И. Структурный анализ российского рынка грузовых авиаперевозок/ И. А. Десятниченко // Вестник транспорта. – 2006. - № 5. - С. 26-32
9. Исаенко Е.В., Васильев А.Г. Организация и планирование рекламной деятельности/Е.В. Исаенко, А,Г. Васильев. – М.: ЮНИТИ, 2004.
10. N-ский аэропорт - мост между Европой и Азией// Российская газета. -2005. -6 сент. - С. 11
11. Котлер Ф. Маркетинг менеджмент/Ф. Котлер. - СПб: Питер, 2005.
12. Кисмерешкин В. Г. Реклама в продвижении российских товаров/В.Г. Кисмерешкин.- М., ИНФРА – М, 2000.
13. Комаристый Е.Н.Определение объема рынка авиаперевозок/ Е.Н.Комаристый// Маркетинг в России и за рубежом. – 2004. - №1.-C.34-41
14. Комаристый Е. Н. Распродажи авиабилетов: технология проведения и результаты/ Е. Н. Комаристый// ЭКО. -2007. - №3. - С. 155-163
15. Караганов С. Российская авиация: момент истины/С.Караганов//Вестник транспорта. – 2007. - №2. – С. 15-21
16. Кулибанова В. Маркетинг сервисных услуг/В.Кулибанова. – М.:Вектор, 2006.
17. Кеглер Т Реклама и маркетинг в Интернете. – М.: Альпина. БизнесБукс, 2006.
18. Крылов А. Реклама в печатных СМИ: достоинства и недостатки// Рекламное дело. – 2004.- №4. – С. 15 - 19
19. Лавлок К. Маркетинг услуг: персонал, технология, стратегия/К.Лавлок. – М.: Вильямс, 2005.
20. Лыгина Н. И. Маркетинг товаров и услуг/Н.И.Лыгина. - М.:Форум:ИНФРА-М, 2005.
21. Майдебура Е. Маркетинг услуг/Е.Майдебура. – М.: Вира, 2001.
22. Мартынов А. Первым делом - сегментирование/ А.Мартынов// Босс. – 2003. - №9. - С.54-57
23. Миронова Н. Дифференцированный подход к маркетингу услуг/Н.Миронова//Маркетинг товаров и услуг. – 2006. - №4. – С. 18-23
24. Николаева М. Маркетинг товаров и услуг/М.Николаева. – М.: Деловая литература, 2001.
25. Новаторов Э.В. Международные модели маркетинга услуг/Э.В.Новаторов //Маркетинг в России и за рубежом. – 2000. - № 3. – С. 35-42
26. Новаторов Э.В. Методы разработки и анализа процесса обслуживания в маркетинге услуг/Э.В.Новаторов // Маркетинг товаров и услуг. - 2007. - № 1 - С. 50-57.
27. Нинилина С. В. Рынок авиаперевозок в России/ С. В. Нинилина// Российский внешнеэкономический вестник. - 2006. - № 11. - С. 39-46
28. Панкрухин А.П. Маркетинг: Учебник/А.П. Панкрухин. - М.: «Омега-Л», 2006.
29. Попов Е.В. Сегментация рынка/Е.В. Попов//Маркетинг в России и за рубежом. – 1999. - №2. – С. 32-42
30. Песоцкая Е.В. Маркетинг услуг. Краткий курс/Е.В. Песоцкая. – СПб.: Питер, 2007.
31. Разумовская А.Л. Маркетинг услуг. Настольная книга российского маркетолога-практика/А.Л. Разумовская. – М.:Вершина, 2006.
32. Строков В.А. Управление маркетингом на предприятии/В.А. Строков. – М.: Хорс, 2004.
33. Юрчик А. Перспективы развития внутрироссийских пассажирских авиаперевозок/А. Юрчик//Транспорт Российской Федерации. – 2006. - №5. – С. 45-52
34. www.marketing.art.ru
35. www.svavia.ru
36. www.aviapages.ru
37. www.aviportal.ru
|