| Федеральное агентство по образованию РФ
Московский государственный университет технологий и управления
Кафедра «Организация производственной и коммерческой деятельности»
Методические рекомендации и практические советы
по написанию и оформлению курсовых и дипломных работ, по прохождению преддипломной практики
для студентов всех форм обучения по специальности
080502 «Экономика и управление на предприятии
(пищевая промышленность)»
www
.
msta
.
ru
Москва 2006
Настоящие методические указания по подготовке дипломных работ предназначены для студентов - выпускников, обучающихся по специальности 080502 «Экономика и управление на предприятии /пищевая промышленность/».
Методические указания разработаны в соответствии с требованиями, предъявляемыми к выпускникам экономических специальностей вузов Российской Федерации.
В методических указаниях изложены состав и последовательность выполнения этапов подготовки дипломных работ, структура и содержание отчета по преддипломной практике, указания по выполнению основных разделов дипломных работ, рекомендации по оформлению дипломных работ и иллюстрированных материалов, порядок защиты дипломттьтх работ в Государственной аттестационной комиссии (ГАК).
Методические указания содержат примерный перечень тем дипломных работ.
Методические указания подготовлены на кафедре «Организация производственной и
коммерческой деятельности».
Авторы: ФилатовО.К., Козловских Л.А., Скляревская В.А., Хубулава Н.М., Гусев В.В., Аничкина О. А., Костенюкова ГА., Савина Ю.И., Барабанова С.Н.
Рецензент Воронина М.В. Редактор Свешникова Н.И.
Коллектив авторов,
2006 МГУТУ, 2006
Содержание
Введение................................................................... …………………………………… 5
Раздел 1. Оформление курсовой и дипломной работы…………………………………..7
1.1.Общие правила оформления работ…………………………………………………...7
1.2.Оформление графического материала, рисунков, таблиц, сносок………………...8
1.3.Основные требования к оформлению списка литературы………………………...11
Раздел 2. Подготовка к выполнению дипломной работы……………………………….13
2.1.Подготовка к написанию дипломной работы и выбор темы дипломной работ…13
2.2.Прохождение преддипломной практики и подготовка отчета……………………14
Забиваем Сайты В ТОП КУВАЛДОЙ - Уникальные возможности от SeoHammer
Каждая ссылка анализируется по трем пакетам оценки: SEO, Трафик и SMM.
SeoHammer делает продвижение сайта прозрачным и простым занятием.
Ссылки, вечные ссылки, статьи, упоминания, пресс-релизы - используйте по максимуму потенциал SeoHammer для продвижения вашего сайта.
Что умеет делать SeoHammer
— Продвижение в один клик, интеллектуальный подбор запросов, покупка самых лучших ссылок с высокой степенью качества у лучших бирж ссылок.
— Регулярная проверка качества ссылок по более чем 100 показателям и ежедневный пересчет показателей качества проекта.
— Все известные форматы ссылок: арендные ссылки, вечные ссылки, публикации (упоминания, мнения, отзывы, статьи, пресс-релизы).
— SeoHammer покажет, где рост или падение, а также запросы, на которые нужно обратить внимание.
SeoHammer еще предоставляет технологию Буст, она ускоряет продвижение в десятки раз,
а первые результаты появляются уже в течение первых 7 дней.
Зарегистрироваться и Начать продвижение
Раздел 3. Содержание дипломной работы и требования к написанию основных разделов……………………………………………………………………………………23
3.1.Введение.................................................. …………………………………………..23
3.2.Глава 1 - теоретическая часть........................ …………………………………….24
3.3.Глава 2 - практическая часть......................... …………………………………….24
3.4.Глава 3 - мероприятия и предложения.......... ……………………………………26
3.5.Заключение..................................................... ……………………………………29
3.6.Допуск к защите дипломной работы............. ……………………………………29
Раздел 4. Подготовка к защите дипломной работы……………………………………..31
4.1.Общие требования к защите дипломной работы…………………………………...31
4.2.Подготовка раздаточного материала, стендов, плакатов………………………….32
Раздел 5. Практикум по редактированию и оформлению работ……………………...33
Практикум 1. Изменение интервала абзаца и шрифта………………………………..33
Практикум 2. Создание автоматической нумерации рисунков, таблиц, схем……….33
Практикум 3. Создание автоматического оглавления…………………………………34
Практикум 4. Создание формул…………………………………………………………36
Практикум 5. Сортировка текста в алфавитном порядке……………………………..37
Приложения.................... ………………………………………………………………...39
Приложение 1. Пример оформления титульного листа……………………………….39
Приложение 2. Пример оформления второго листа дипломной работы……………...40
Приложение 3. Пример оформления содержания курсовой и дипломной работы…41
Приложение 4. Пример оформления иллюстрации……………………………………42
Приложение 5. Пример оформления таблицы…………………………………………43
Приложение 6. Пример оформления формул…………………………………………..44
Приложение 7. Примерный перечень тем дипломных работ…………………………45
Приложение 8. Пример оформления задания на дипломную работу ……………………..49
Приложение 8а. Календарный план работы…………………………………………….50
Приложение 9. Пример оформления заявления на дипломную работу……………...51
Приложение 10. Пример оформления титульного листа отчета по преддипломной
практике................................................................ …………………………………….52
Приложение 11. Пример оформления дневника преддипломной практики………...53
Введение
Эффективная подготовка выпускников по специальности 080502 «Экономика и управление на предприятии» требует развития у студентов творческого мышления, способности к самостоятельному научному поиску, умения разрешать проблемы, возникающие в практической деятельности. Так курсовые работы по экономическим дисциплинам рассматривают практическое решение основных типовых задач, а дипломная работа - самостоятельное творческое исследование определенных проблей имеющих научно-практическое значение. При выполнении данных работ студенты должны познакомиться с современным уровнем разработки отдельным научных проблем, исходить из задач, стоящих перед современной практикой
Сервис онлайн-записи на собственном Telegram-боте
Попробуйте сервис онлайн-записи VisitTime на основе вашего собственного Telegram-бота:
— Разгрузит мастера, специалиста или компанию;
— Позволит гибко управлять расписанием и загрузкой;
— Разошлет оповещения о новых услугах или акциях;
— Позволит принять оплату на карту/кошелек/счет;
— Позволит записываться на групповые и персональные посещения;
— Поможет получить от клиента отзывы о визите к вам;
— Включает в себя сервис чаевых.
Для новых пользователей первый месяц бесплатно.
Зарегистрироваться в сервисе
Курсовая и дипломная работы в значительной мере сходны по своему назначению, структуре и оформлению. В качестве общих целей
выдвигаются следующие:
• систематизация и углубление теоретических и практических знаний по избранной специальности, их применение при решении конкретных практических задач;
• приобретение навыков самостоятельной работы;
• овладение методологией проведения исследования, обобщения и логического изложения материала
При написании курсовых и дипломных работ от студентов требуется проявление личной инициативы и творческого подхода, однако выдвигается ряд требований, которым эти работы должны удовлетворять.
Такими общими требованиями
являются:
• целевая направленность;
• четкость построения;
• логическая последовательность изложения материала;
• глубина рассмотрения и полнота освещения вопросов;
• убедительность аргументаций и точность формулировок;
• конкретность изложения результатов работу
• доказательность выводов и обоснованность рекомендаций;
• грамотное оформление работы
Различие курсовых работ от дипломной состоит в том; что дипломная работа выполняется студентами выпускного курса, поэтому она имеет целью отразить уровень подготовки полученной студентом в ходе обучения, про демонстрировать сформированностъ всех вышеперечисленных умений. В силу этого дипломная работа отличается от курсовой более высоким уровнем сложности решаемых задач, глубиной их проработки, что отражается в содержании и объеме.
Методическое пособие построено с учетом практических советов с указанием шагов выполнения действий на компьютере в MS Word, представленных в разделе 3.
На каждое из «проблемных» действий сделана ссылка П1 и представлена в виде «Практикума» с соответствующим порядковым номером.
Раздел 1. Оформление курсовой и дипломной работы
1.1. Общие правила оформления работ
Курсовые и дипломная работы должны быть не только грамотно написаны, но и правильно оформлены.
При оформлении курсовой, дипломной работы с использованием персонального компьютера необходимо руководствоваться следующим:
• текст работы печатается на одной стороне листа формата А4
(210x297 мм);
• текст печатается шрифтом
Times
New
Roman
;
• высота кегля составляет 14пт (при большом объеме работы- 13пт), нормальной жирности;
• используется полуторный межстрочный интервал без смеще
ний, интервал обычный, 100% масштаба
П1 ;
• поля: левое - 30 мм, правое -10 мм, нижнее - 22 мм, верхнее -25 мм.
Схемы, формулы, рисунки и таблицы выполняются на компьютере с помощью соответствующих программ: Microsoft Word, Microsoft Excel, при необходимости можно использовать элементы Microsoft Power Point (в частности для построения организационной структуры предприятия).
Страницы, таблицы, рисунки, приложения работы следует нумеровать арабскими цифрами, соблюдая сквозную нумерацию по всему тексту П2
. Номер страницы проставляется внизу - по центру страницы
- без точки в конце. Нумерация страниц вставляется автоматически арабскими цифрами. Титульный лист включается в общую нумерацию страниц. Номер страницы на титульном листе не проставляется. Проставление номеров страниц начинается со страницы, следующей после оглавления
(с раздела "Введение"). Иллюстрации, таблицы, расположенные на отдельных листах, включаются, в общую нумерацию страниц.
Пример оформления титульного листа и второго титульного листа представлены в приложениях 1 и 2,
Оглавление вставляется автоматически
П3. на втором листе работы по двум уровням:
Заголовок 1 и заголовок 2
Пример оформления содержания работы представлен в приложении 3.
1.2. Оформление графического материала, рисунков, таблиц, сносок
Иллюстрации
Иллюстрации (чертежи, графики, схемы, диаграммы, фотоснимки, рисунки) следует располагать в работе непосредственно после текста, в котором они упоминаются впервые, или на следующей странице, если в указанном месте они не помещаются. Нумерация названия схем проставляется внизу графического объекта.
Пример оформления иллюстрации представлен в приложении 4.
Таблицы
Цифровой материал в работе рекомендуется помещать в виде таблиц. Таблицу следует располагать в работе непосредственно после ссылки на таблицу или на следующей странице. Таблицы слева, справа и снизу ограничиваются линиями.
На все таблицы должны быть ссылки в тексте. Пример: «... показатели в динамике лет представлены в таблице 1.» или
«... см. таблицу 1.»
Если в работе одна таблица, ее не нумеруют и слово "Таблица" не пишут.
Каждая таблица должна иметь заголовок, который помещается на строке слова "Таблица". Слово "Таблица" и заголовок начинаются с прописной буквы, точка в конце заголовка не ставится.
Заголовки граф таблицы должны начинаться с прописных букв, подзаголовки - со строчных, если последние подчиняются заголовку. Разделять заголовки и подзаголовки граф диагональными линиями не допускается.
Заголовки граф указываются в единственном числе.
Графу "№ п/п" в таблицу включать не следует.
Таблицу следует размещать так, чтобы ее можно было читать без поворота работы; если такое размещение невозможно, таблицу располагают так, чтобы ее можно было читать, поворачивая работу по часовой стрелке.
При переносе таблицы ее «шапка» (название столбцов) следует повторить, и над ней размещают слова "Продолжение таблицы 1". Если "шапка" таблицы велика, допускается ее не повторять: в этом случае следует пронумеровать графы и повторить их нумерацию на следующей странице.
Если цифровые или иные данные в какой-либо строке таблицы отсутствуют, то ставится прочерк.
Заменять кавычками повторяющиеся в таблице цифры, знаки процента и т.п. не допускается.
При наличии в тексте небольшого по объему цифрового материала его не всегда целесообразно оформлять таблицей; иногда лучше расположить цифровые данные в колонках, к которым дать текстовое сопровождение.
Пример оформления таблицы представлен в приложении 5.
Формулы
и уравнения
Уравнения и формулы следует выделять из текста в отдельную строку и выполняются на компьютере П4 . Выше и ниже каждой формулы или уравнения должно быть оставлено не менее одной свободной строки. Если уравнение не умещается в одну строку, оно должно быть перенесено после знака равенства (=), или после знака плюс (+), или после других математических знаков с их обязательным повторением в новой строке.
Формулы приводятся сначала в буквенном выражении, затем дается расшифровка входящих в них символов и коэффициентов. Расшифровку символов и числовых коэффициентов следует приводить непосредственно под формулой в той же последовательности, как и
в формуле. Значение каждого символа и числового коэффициента следует давать с новой строки: первую строку пояснения начинают со слова "где" без двоеточия. Пример оформления формулы представлен в приложении 6.
Ссылки
Ссылки по месту расположения бывают:
• внутритекстовые (являются неразрывной частью основного текста):
• подстрочные (выносятся из текста вниз страницы);
• затекстовые (связываются со списком литературы, помещенным после текста работы).
Внутритекстовые ссылки используются тогда, когда они входят в основной текст так органично, что изъять их из этого текста невозможно, не заменив этот текст другим. В подобном случае в скобках указываются выходные данные по списку литературы и номер страницы, на которой напечатано цитируемое место.
Например:
Эта сторона проблемы характеризуется в известной книге Е.В. Серовой "Аграрная экономика" (М, 1999): "Низкая эластичность спроса на продовольственную продукцию порождает так называемую долгосрочную проблему...." (С.19). или « ... основные коэффициенты можно представить в виде таблицы [47, стр. 45]» (47 - это литературный источник по списку).
Подстрочные ссылки на источники используются в тексте работы, когда ссылки нужны по ходу чтения, а внутри текста их разместить невозможно или нежелательно, чтобы не усложнять чтение.
При подстрочных ссылках для связи их с текстом используются знаки сносок в виде звездочки (*) или цифры (1). Если ссылок более четырех на одной странице, то целесообразней использовать цифры, а не звездочки.
Знак сноски следует располагать в том месте, где по смыслу заканчивается мысль автора. В подстрочных сносках указывают полные выходные данные источника и номер страницы, на которой напечатано цитируемое место.
Например:
В тексте:
Разрабатываемые ежегодно прогнозы социально-экономического развития РФ не могут заменить необходимость общегосударственного планирования*.
В сноске:
*Прогнозирование и планирование в условиях рынка: Учеб. пособие для вузов / Т.Г. Морозова, А.В. Пикуякин. - М: ЮНИТИ-ДАНА, 1999. - С.38.
При оформлении любой работы не допускается использовать различные виды ссылок. Более просто использовать затекстовые ссылки, поэтому именно этот вид ссылок чаще всего используется в дипломных работах.
Приложения
Приложения следует оформлять как продолжение работы на ее последующих страницах. Каждое приложение должно начинаться с новой страницы и иметь заголовок с указанием вверху слова '"Приложение" и его номера. Формировать приложения желательно в порядке появлении ссылок на них в тексте.
Если приложений много, они могут быть оформлены отдельной брошюрой, на титульном листе которой должно быть написано прописными буквами «Приложения».
1.3. Основные требования к оформлению списка литературы
Каждая курсовая и дипломная работа должна иметь список литературы, при этом для курсовой работы минимальное количество источников - 20-25, для дипломной - 35-40.
Список литературы составляется со сквозной нумерацией в следующем порядке П5:
1. Законы РФ и подзаконные акты, расположенные по значимости
и в хронологическом порядке.
2. Монографии, учебники, учебно-методические пособия, статьи, статистические сборники и др. справочная литература, - расположенные в алфа
витном порядке.
3. Периодические издания представлены в хронологическом
порядке.
Каждое издание указывается в соответствии с требованиями библиографического описания документов. Ниже приведены примеры библиографического описания различных видов печатной литературы.
Законодательные акты (наименования разделов не указываются)
1.
Гражданский кодекс Российской федерации. - М.: ИНФРА-М. 1996.
2. Федеральный закон РФ «О науке и государственной поддержке мало го предпринимательства в российской федерации» от 18 июня 1995 г.. №88- ФЗ.
Книги одного, двух, трех и более авторов:
3. Грузинов В.П. Экономика предприятия (предпринимательская): Учебник для вузов - 2-е издание, переработанное и дополненное, М.: ЮНИТИ-ДАНА, 2003 - 795 с,
4. Дыбаль СВ. Финансовый анализ: теория и практика: Учебное пособие. - СПб.: Издательский дом «Бизнес-пресса», 2004 - 375 с.
5. Ефимова О.В. Финансовый анализ. - М.: «Бухгалтерский учет», 2001 - 244 с.
Сборник одного автора:
6. Методологические проблемы современной науки / Сост. А.Т. Москаленко. - М.: Политиздат. 2000. - 295 с.
Сборник с коллективным авторством:
7.
Правовое обеспечение профессиональной деятельности: Учебник / Под редакцией Д.О.Тузова, В.С.Аракчеева -М.: ФОРУМ: ИНФРА-М, 2003-221 с.
Статьи из газет или журналов:
8. Астринский Д. Экономический анализ финансового положения пред приятия // Экономист. - 2005. - №12. - с.53-59.
9. Шамхалов Ф. Прибыль - основной показатель результатов деятельно сти организации // Финансы. - 2005. - №4. - с. 19-22,
Статьи из продолжающихся изданий:
10. Сафронов Г.П. Итоги, задачи и перспективы развития книжной торговли /7 Кн. торговля. Опыт, пробл. исслед. - 1981. -Вып. 8. - С. 3 - 17.
Статьи из ежегодников:
11.
Статистический сборник РФ. Россия в цифрах, — М., 2004 Статьи из энциклопедий и словарей:
12. Бирюков Б.В., Гастер Ю.А., Геллер ЕС. Моделирование // БСЭ. - 3-е w М., 1974. Т. 16. С. 393-395.
13. Экономика /Советский энциклопедический словарь. - М., 1985. С. 3.
Большой экономический словарь / Под редакцией А.Н. Азрилияна. - М.: Институт новой экономики, 2002 — 518 с№;
Раздел 2 Подготовка к выполнению дипломной работы
2. 1 Подготовка к написанию дипломной работы
и выбор
темы дипломной
работы
В процессе выполнения дипломной работы должны быть выполнены следующие этапы
• выбор и согласование темы с заведующим кафедрой;
• закрепление студента за руководителем,
• составление плана выполнения дипломной работы,
• оформление задания на дипломную работу,
• утверждение темы дипломной работы.
• выполнение задания на преддипломную практику;
• представление и защита отчета по преддипломной практике;
• выполнение основных разделов дипломной работы;
• оформление дипломной работы и представление ее на кафедру;
• подготовка к защите дипломной работы и оформление иллюстрированных материалов;
• допуск дипломной работы к защите (т. н предзащита дипломной работы);
• зашита дипломной работы в ГАК
Началом подготовки дипломных работ является выбор темы Примерная тематика дипломных работ представлена в Приложении 7,
Кроме того темы дипломных работ могут быть предложены руководителями организаций, учреждений и предприятий представляющих места для преддипломной практики студентов. Допускается включение в тематику тем дипломных работ требующих коллективного выполнения Предварительный выбор темы целесообразно осуществлять на ранних курсax, что позволит студенту в процессе выполнения курсовых проектов учебных практик по циклу специальных дисциплин более углубленно изучить проблему и качественно разработать проектные мероприятия.
Студентам всех форм обучения, работающим по профилю будущей специальности, целесообразно выполнять дипломные работы по темам, непосредственно связанным с местом работы и занимаемой должностью, при обязательном согласовании темы с выпускающей кафедрой
Тема дипломной работы закрепляется за студентом распоряжением заведующего кафедрой. Одновременно назначается руководитель дипломной работы и утверждается база преддипломной практики
Задание на дипломную работу утверждается заведующим выпускающей кафедры в трех экземплярах. Один экземпляр утвержденного задания выдается студенту, который подшивается в дипломную работу, второй экземпляр сдается студентом на выпускающую кафедру и является основанием для издания приказа по Университету; третий экземпляр и заявление передаются методисту в деканат. Образцы задания и заявления- в Приложениях 8 и 8а. Помимо задания студент оформляет заявление (см Приложение 9).
2.2.
Прохождение преддипломной практики и подготовка отчета
Преддипломную практику студенты проходят в соответствии с учебным графиком и календарным планом. Целью преддипломной практики является подготовка студентов к выполнению дипломных работ и к будущей производственной деятельности в качестве экономиста - менеджера. Задачами преддипломной практики являются:
• получение студентами навыков управленческой деятельности,
• комплексное изучение и анализ экономики, техники, технологии, организации производства и труда, планирования и управления на пред приятии в соответствии с выбранной темой;
• сбор, обобщение и систематизация основных технико-экономических показателей для написания дипломных работ, их анализ;
• выявление проблем, стоящих перед предприятием и поиск путей их эффективного решения.
Предварительный выбор базы преддипломной практики студент осуществляет самостоятельно в установленные сроки с. учетом мнения руководителя.
Базами преддипломной практики, могут быть предприятия пищевой промышленности, коммерческие организации, научно-исследовательские и проектные организации, а также предприятия, где работает студент.
Общее учебно-методическое руководство практикой осуществляется кафедрой «Организация производственной и коммерческой деятельности». Перед началом практики руководитель дипломной работы выдает студенту индивидуальное задание в соответствии с темой дипломной работы, определяет общую схему изучения объекта, дает рекомендации по изучению специальных литературных источников, консультирует студента в период прохождения практики, контролирует степень выполнения индивидуального задания.
В процессе прохождения преддипломной практики студент должен собрать материалы, отражающие технико-экономическую характеристику объекта, познакомиться с системой отчетности предприятия (подразделения, службы), усвоить методику финансово-хозяйственного анализа деятельности предприятия. Кроме того, каждый студент должен по указанию руководителя практики провести самостоятельный анализ работы предприятия (подразделения) по определенным показателям в зависимости от темы дипломной работы.
В процессе практики должна быть проделана вся аналитическая работа, подготовлена аналитическая часть дипломной работы и намечены основные задачи, определяющие содержание проектной и расчетной части. Результаты своей работы студент периодически, не реже одного раза в неделю, сообщает руководителю дипломной работы, ставит перед ним вопросы, требующие разъяснения как по объему собранных данных, так и по существу выполнения расчетов и сделанных выводов.
В процессе выполнения программы практики и аналитической части дипломной работы студент должен исходить из того, что разрабатываемые им мероприятия должны иметь практическую ценность для данного предприятия, содержать элементы научного исследования и включать решение определенных задач с помощью современных методов.
По окончании преддипломной практики студент должен представить на выпускающую кафедру отчет по практике.
Отчет
содержит следующие обязательные разделы.
Введение.
Во введении дается краткая характеристика отрасли, ее проблемы, перспективы развития. Краткая характеристика региона (области) где находится исследуемое предприятие, его особенности развития.
Раздел 1.
Общие сведения о предприятии: юридический адрес, организационно-правовая форма собственности, история создания и пр. сведения.
Раздел 2.
Основные направления деятельности предприятия, характеристика выпускаемой продукции, предоставляемых услуг, выполняемых работ, производственно-коммерческие связи: поставщики сырья и материалов, потребители готовой продукции.
Раздел 3.
Сведения об ассортименте выпускаемой продукции с указанием цен на нее.
Раздел 4.
Производственная структура предприятия с указанием применяемой технологии и оборудования.
Раздел 5.
Структура управления предприятием с изложением функций отдельных подразделений, их профессионального и количественного состава.
Раздел 6.
Основные технико-экономические показатели предприятия за два последних года (см. Приложение 5 - таблица 1 и 2) и их анализ. При этом анализ основных технико-экономических показателей должен быть направлен на определение динамики показателей, объяснение причин их изменения, выявление намечающихся тенденций.
Например, производственная мощность предприятия в отчетном году увеличилась по сравнению с базисным годом на 10%. Здесь следует пояснить, за счет введения какого именно оборудования и по каким цехам это произошло.
Или, к примеру, объем производства в натуральном выражении в отчетном году снизился на 7% по сравнению с базисным. Необходимо пояснить, какими причинами это было вызвано: реконструкция цехов, трудности со сбытом продукции, наличие сильных конкурентов и т.д. Раздел 7.
Основные финансовые показатели предприятия: платежеспособности, финансовой устойчивости и ликвидности. Показатели рекомендуется представлять в динамике за два последних года. Анализ целесообразно осуществлять по методике, предусмотренной в учебном пособии Орлова Б.Л., Осипова В.В. «Управленческий и финансовый анализ деятельности предприятия» (Изд. 2-е. - М.: МГТА, 2001, раздел 2). Можно использовать другие литературные источники, а также навыки, приобретенные в процессе выполнения курсовой работы по предмету «Анализ и диагностика финансово-хозяйственной деятельности предприятия»;
Раздел 8.
Анализ проблем, которые имеют место на предприятии в момент прохождения практики: слабая техническая оснащенность, недостаточно грамотно поставленная организация производства и труда, недостатки в работе коммерческих и маркетинговых служб предприятия, недостатки в планировании ассортимента и объема продаж, приводящих к проблемам сбыта продукции, недостатки в работе снабженческих структур, уведомление затрат, низкое качество продукции, низкая производительность труда и пр.
Раздел 9.
Анализ проблемы работы и
более детальное описание направления, исследуемым в дипломной работе. Так, если тема дипломной работы связана с трудовыми ресурсами, то данные раздел должен раскрывать состояние и динамику показателей по составу и структуре трудовых ресурсов и т.д. Таким образом этот раздел обусловлен темой дипломной работы
и предусмотрен в индивидуальном задании.
Пример 1.
Тема работы: Совершенствование и управление трудовыми ресурсами
В разделе необходимо провести анализ и дать оценку обеспеченности предприятия трудовыми ресурсами, оценить эффективность использования трудовых ресурсов и выявить резервы экономии трудовых ресурсов. Анализ рекомендуется начать со структуры трудовых ресурсов, далее оценивается динамика численности по группам и подразделениям и затем проводится факторный анализ использования рабочего времени и производительности труда по исследуемому участку (цеху и т.д.). Пример анализа структуры трудовых ресурсов представлен в таблице 1.
Таблица 1
Структура трудовых ресурсов на предприяти
и
Исходя из проведенного анализа необходимо сделать вывод о значительных показателях текучести кадров, при этом основные увольнения и приемы происходят в группе «производственных рабочих». Основные причины текучести кадров по данной группе рабочих являются:
- низкий уровнем квалификации персонала и следовательно низ кий уровень заработной платы;
- наличием прогулов и нарушений трудовой дисциплины. Пример
2.
Тема работы: Факториальные модели анализа прибыли.
Для проведения факторного анализа балансовой прибыли, оценим данные, представленные в таблице 3.
Таблица 3 Данн
ые по приб
ыли ООО «Прогресс» за 2004 и 2005
годы
1
Формула представлена в первой главе работы

Раздел 3. Содержание дипломной работы и требования к написанию основных разделов
Дипломная работа включает в себя пояснительный текст и иллюстрированные материалы. Общий объем дипломных работ рекомендуется в пределах 80-100 страниц компьютерного текста, включая рисунки, таблицы, диаграммы, графики, схемы.
3.1. Введение
Раздел «Введение»
Именно при его прочтении складывается основное представление о работе. Несмотря на то, что введение является первым разделом курсовой и дипломной работы, не всегда именно с него стоит начинать черновое написание работы.
Начинается раздел «Введение» с обозначения проблемы,
которой посвящается работа, а также раскрытию значимости и актуальности
этой проблемы. В тексте работы часто даже выделяют подзаголовок: «Проблема, её значимость и актуальность».
Актуальность проблемы обосновывается её значимостью для современной теории и практики. О значимости проблемы должны свидетельствовать такие факты, как существование несовпадающих подходов, недостаточная изученность, необходимость решения конкретных практических задач.
Из формулировки обозначенной проблемы должна вытекать цель курсовой и дипломной работы. Конкретны задачи формулируются в виде перечня исследовательских действий, как то: «изучить.. », «установить ...», «исследовать ...»,
«выявить ...» и т.п. Решение указанных во введении задач должно найти отражение в содержании основной части работы.
После обозначения проблемы — выделяют цель и задачи
курсовой и дипломной работы. Целью дипломной и курсовой работы является конечный результат, которого стремится достичь автор после выполнения работы. Задачами являются средства выполнения работы, т.е. способы достижения поставленной цели. Затем - обязательно указываются: объект и предмет
исследования, методы сбора и анализа материалов, литературные источники; излагаются положения, выносимые на защиту.
Обязательными элементами введения являются объект и предмет исследования.
Заканчивается раздел «Введение» обычно указанием структуры работы, ссылкой на использованные литературные источники и материалы. «Ди
пломная работа состоит из введения, трёх глав, заключения и списка
литературы ... наименований, изложенных на ... страницах машино
писного текста».
В
целом структура введения следующая:
• вводная часть (краткое описание ситуации, положения и влияния исследуемой проблемы на экономику);
• актуальность;
• проблема (тема работы);
• цели;
• задачи;
« объект (показатели или то, что исследуется);
• субъект (название предприятия);
• стандартные фразы. Объем введения 2-3 страницы.
3.2. Глава 1 - теоретическая часть
В первой главе
излагаются теоретические основы темы, теоретические вопросы выбранной проблематики. При написании раздела нужно избегать общих рассуждений, не имеющих прямого отношения к теме. В данной главе рекомендуется представить:
1. основные понятия по исследуемой теме;
2. методы исследования, формулы и показатели;
3. основные направления по оптимизации и повышению эффективности исследуемой проблемы.
Объем главы 25-30 страниц.
3.3. Глава 2 — практическая часть
Во второй главе
дается технико-экономический анализ деятельности предприятия. В разделах (параграфах) главы (на основе отчета по преддипломной практике) приводятся:
- общие сведения о предприятии: юридический адрес, организационно- правовая форма собственности, история создания и пр. сведения;
- основные направления деятельности предприятия, характеристика выпускаемой продукции, предоставляемых услуг, выполняемых работ, производственно-коммерческие связи: поставщики сырья и материалов, потребители готовой продукции;
- сведения об ассортименте выпускаемой продукции с указанием цен на нее;
- производственная структура предприятия с указанием применяемой технологии и оборудования;
- структура управления предприятием с изложением функций отдельных подразделений, их профессионального и количественного состава;
- основные технико-экономические показатели предприятия за два последних года (см. Приложение 5 - таблица 1 и 2) и их анализ. При этом анализ основных технико-экономических показателей должен быть направлен на определение динамики показателей, объяснение причин их изменения, выявление намечающихся тенденций.
Например,
производственная мощность предприятия в отчетном году увеличилась по сравнению с базисным годом на 10%. Здесь следует пояснить, за счет введение какого именно оборудования и по каким цехам, это произошло.

 
При этом студент должен в полном объеме знать содержание своей работы, уметь грамотно отвечать на все поставленные вопросы. Для получения допуска к защите студент должен представить заведующему кафедрой следующие материалы:
1. Переплетенную дипломную работу с подписью руководителя.
2.Дискету с указанием Ф.И.О. студента, шифра и темы дипломной работы.
3.Отчет по преддипломной практике.
4.Раздаточный материал в печатном виде, как минимум данные, представленные в приложениях 9-12 (см. пункт 4.2.).
5.Диск с презентацией дипломной работы (основные схемы, графики)
6. Выписку из протокола заседания кафедры с подписями руководителя и членов кафедры, которая после подписи заведующего кафедрой сдается в деканат.
Раздел 4. Подготовка к защите дипломной работы
4.1. Общие требования к защите дипломной работы
Подготовка к защите включает в себе подготовку студентом выступления и сопровождающих его иллюстрированных материалов.
При подготовке выступления рекомендуется использовать следующую примерную схему:
• краткая характеристика проблемы;
• основные результаты технико-экономического анализа,
• разработанные предложения и использованные при этом методы;
• ожидаемая или фактическая эффективность предлагаемых мероприятий;
• практическое использование предложений;
• изменение основных технико-экономических показателей предприятия в результате предлагаемых мероприятий.
Примечание.
Помимо обязательных листов, по согласованию с руководителем могут быть внесены также другие таблицы, рисунки, диаграммы, иллюстрирующие основное содержание дипломной работы.
Защита дипломной работы в государственной аттестационной комиссии (ГАК) проводится по утвержденному графику на открытых заседаниях.
В ГАК студент представляет дипломную работу с допуском заведующего выпускающей кафедрой к защите, отчет по преддипломной практике и раздаточный материал (графики, таблицы и др.)
Защита проводится в форме устного доклада основных положений дипломной работы. После выступления студента члены ГАК задают уточняющие и интересующие их вопросы. По окончании всех защит, предусмотренных графиком на этот день, члены ГАК обсуждают результаты и выставляют оценки. При этом учитываются полнота проведенного технико-экономического анализа деятельности организации, обоснованность выводов и предложений, практическая ценность предлагаемых мероприятий, качество и полнота иллюстрированных материалов, умение убедительно представить основное содержание дипломной работы и отвечать на вопросы. После подведения итогов комиссией результаты защит объявляются студентам.
Решением Государственной аттестационной комиссии студенту присуждается квалификация экономиста-менеджера по специальности 080502 «Экономика и управление на предприятии /пищевая промышленность/».
4.2. Подготовка раздаточного материала, стендов, плакатов
Подготовка раздаточного материала состоит из двух элементов:
- Раздаточного материала в печатном варианте для членов ГАК
- Презентации в программе PowerPoint (электронный вариант — замена стендов и плакатов)
1. Раздаточный материал в печатном виде представляется в двух-
трех экземплярах. Оформляется без титульного листа, содержания и разделения на разделы, главы. Пример оформления представлен ниже.
Тема работы:
Автор:.
Год защиты:
Основной текст (кратко представить цели и задачи работы, основные теоретические основы и методы исследования, проведенный анализ с таблицами и графиками, выявленные недостатки и методы решения исследуемой проблемы, результаты предлагаемых мероприятий и изменение основных технико-экономических показателей). Раздаточный материал обычно составляется на 5-7 страницах.
2. Презентацию дипломной работы в программе PowerPoint студент выполняет самостоятельно (это творческий элемент к представлению результата своего исследования). Данная презентация представляется на защите через медиапроектор для аудитории с сопровождением устного доклада студента.
Презентация может содержать фотографии предприятия, изделий, исследуемого объекта. Обязательными являются таблицы, графики дипломной работы. Презентация должна быть настроена с автоматической сменой слайдов и содержать минимум
текста.

| - Далее необходимо выбрать требуемое название
|

- Если необходимого названия нет, то его можно создать через кнопку «Создать» в диалоговом окне
- Далее нажать О
К
Практикум 3. Создание автоматического оглавления
Для автоматической вставки оглавления необходимо:
- выделить текст названия главы или параграфа
- через вкладку редактирования шрифта выбрать

Для названия введения, главы, заключения, списка литературы, приложений - заголовок 1.
Для названия параграфа - заголовок 2.
- на втором листе работы напечатать «содержание»
- на панели нажать «вставка»-«ссылка»-«оглавление и указатели»

- появляется следующее диалоговое окно в котором необходимо выбрать вкладку «Оглавление»

Обратите внимание: заполнитель ( ), количество уровней (2).
- Далее нажать ОК
Для редактирования оглавления необходимо по «серому полю» щелкнуть правой кнопкой мыши и выбрать «обновить поле»

«обновить только номера страниц» - при изменении нумерации страниц «обновить целиком» - после внесения изменений в название глав и параграфов.

После нажатия кнопки ОК автоматически меняется текст оглавления и номера страниц.
Практикум 4. Создание формул
На примере формулы, представленной в приложении 6.
| , рассмотрим алгоритм ее создания.
|
- На панели инструментов нажать «Вставка»-«Объект»-«Мicrosoft Equation»

Через выбор определенных математических операторов можно создать любую формулу.,
Для изменения редактирования формулы необходимо щелкнуть правой кнопкой мыши и выбрать «открыть».

Практикум 5. Сортировка текста в алфавитном
порядке
Для проведения сортировки прежде всего необходимо:
- «Отделить» нормативно-правовые акты от учебников и периодической литературы в данном случае рекомендуется это делать через пробел.
Выделить источники литературы во втором разделе и на панели инструментов нажать «Таблица»-«Сортировка»

- Сортировка осуществляется по абзацам, по тексту, по возрастанию.

- Далее необходимо нажать ОК.
В итоге формируется список литературы следующего вида:
Приложения
Приложение 1. Пример оформления титульного листа
ФЕДЕРАЛЬНОЕ АГЕНТСТВО ПО ОБРАЗОВАНИЮ
МОСКОВСКИЙ ГОСУДАРСТВЕННЫЙ УНИВЕРСИТЕТ
ТЕХНОЛОГИИ И УПРАВЛЕНИЯ
Факультет Экономики
и предпринимательства
КАФЕДРА «Организация
производственной и коммерческой
деятельности»
Допущен (а) к защите
Заведующий кафедрой ________________________
(ученое звание)
_______________________ __________________
(подпись) (фамилия И.О.)
«_____»________________ 2007 г.
ДИПЛОМНАЯ РАБОТА
«Факториальные модели анализа прибыли на ОАО «Хлебокомбинат»
Разработан (а):
_______________ ___ Иванова Е.Н.
Специальность: 080502
Шифр: 1112 - 0608 - 03 / 000018
Руководитель:________________
_____к. э. н., профессор
(ученая степень, звание)
Консультант: ________________
______к.э.н.
_____
(ученая степень, звание)
Москва - 2007 г.
Приложение 2.Пример оформления второго листа дипломной работы
Дата защиты _________________
Протокол ГЭК________________
Оценка ГЭК__________________
Секретарь ГЭК_______________
ТЕМА ДИПЛОМНОЙ РАБОТЫ:
«Факториальные модели анализа прибыли на ОАО «Хлебокомбинат»
Дипломная работа
выполнена на 65
страницах
содержит 14
таблиц
1
рисунок
7
схем
графическая часть на 8
листах
Приложение 3. Пример оформления содержания курсовой и дипломной работы
Содержание
Ведение................................................................... ……………………………………...3
Глава 1. Сущность факториальных моделей анализа прибыли на предприятии ………6
1.1.Понятие, значение и виды прибыли…………………………………………………..13
1.2.Факторы, влияющие на прибыль предприятия………………………………………18
1.3.Факториальные модели и их значимость.…………………………………………….21
Глава 2. Анализ деятельности на ОАО «Хлебокомбинат»……………………………...26
2.1.Общая характеристика предприятия………………………………………………….26
2.2.Анализ основных технико-экономических показателей…………………………….31
2.3.Факториальные модели анализа прибыли……………………………………………36
Глава 3. Планирование прибыли на ОАО «Хлебокомбинат»…………………………..42
3.1.Мероприятия по увеличению прибыли предприятия……………………………….42
3.2.Факториальный анализ плановой прибыли в результате внедрения мероприятий..47
Заключение............................................................. …………………………………….52
Список литературы………………………………………………………………………...55
2
Для схем, графиков, формул и т.д., рассматриваемых в теоретической части работы рекомендуется указывать источник литературы
Приложение 5. Пример оформления таблицы
... основные технико-экономические показатели деятельности предприятия можно представить в таблице 1.
Таблица 1
Основные технико-экономические показатели работы ОАО «Хлебокомбинат»
| Показатели
|
Годы
|
2005 в %
к 2004
|
| 2004
|
2005
|
| 1. Производственная мощность, млн. л
|
480,0
|
500,0
|
104,2
|
| 2. Коэффициент использования производственной мощности, %
|
83,0
|
85,0
|
+2,0
|
| 3. Объем производства в натуральном выражении,
млн. л
|
398,4
|
425,0
|
106,7
|
| 4. Товарная продукция, млн. руб.
|
6016
|
6490
|
107,9
|
| 5. Объем реализованной продукции, млн. руб.
|
5920
|
6245
|
105,5
|
| 6. Численность промьшленно-производственного персонала, чел.
|
720
|
760
|
105,6
|
| 7. Выработка продукции на одного работающего ППП, млн. руб.
|
8,4
|
8,6
|
102,4
|
| 8. Себестоимость товарной продукции, млн. руб.
|
4030,7
|
4218,5
|
104,7
|
| 9. Затраты на 1 рубль товарной продукции, руб.
|
0,67
|
0,65
|
97,0
|
| 10. Прибыль от реализации продукции, млн. руб.
|
1889,3
|
2026,5
|
107,3
|
| 11. Рентабельность, %
|
31,9
|
32,44
|
-
|
Производственная мощность предприятия в 2005 году …….*
* - после каждой таблицы необходимо представить текстовое описание показателей и произошедших изменений.
Таблица 2
Показатели, характеризующие производство и реализацию продукции
| Показатели
|
Факт
|
2005г в % к 2004г
|
| 2004 г.
|
2005 г.
|
| 1. Объем производства в натуральном выражении, всего в том числе (тонн):
• хлебобулочные изделия
• кондитерские изделия
• прочая продукция
|
|
|
|
| 2. Товарная продукция, всего в том числе (тыс. руб.):
• хлебобулочные изделия
• кондитерские изделия
• прочая продукция
|
|
|
|
| 3. Объем реализованной продукции (тыс. руб.)
|
|
|
|
| 4. Средняя цена 1 тонны выпушенной продукции
|
|
|
|
| 5. Реализованная продукция к товарной продукции (%)
|
|
|
|
Приложение 6. Пример оформления формул
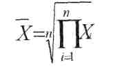
Расчеты по определению среднего индекса изменения цены на продукцию пищевой промышленности проводились по формуле средней геометрической (формула 1) и на основе статистических данных по области с 2000 по 2005 годы.
(1)
где n- количество значений признака;
xj- значение признака.
Приложение 8. Пример оформления задания на дипломную работу
ФЕДЕРАЛЬНОЕ АГЕНТСТВО НО ОБРАЗОВАНИЮ РФ
МОСКОВСКИЙ ГОСУДАРСТВЕННЫЙ УНИВЕРСИТЕТ
____________________ТЕХНОЛОГИЙ И УПРАВЛЕНИЯ__________________
Факультет Экон. и п
редпр
. Кафедра Организация производственной и коммерческой деятельности
Специальность 080502, Шифр
_____________________________
Утверждаю
«____»________________200 г.
ЗАДАНИЕ
На дипломную работу студенту Иванову А.С.
1. Наименование темы Совершенствование о
рганизации коммерческой деятельности на ОАО «
Хлебокомбинат»_______________
Утверждено приказом университета от ________________________________________
2. Срок представления законченной дипломной работы _______________________
_________________________________________________________________________
3.Специальное указание ________дается руководителем
____________________
4. Содержание расчетно-пояснительной записки (перечень подлежащих раз работке вопросов) Введение. Главы 1,2,3, Заключение. Список использованной литературы. Приложения
______
5. Перечень графического материала (с указанием обязательных черте жей)
Лист 1 «Основные технико-экономич. показатели ОАО «Хлебокомбинат»
Лист 2-5 по согласованию с руководителем______________________
6. Консультанты: фамилия, имя, отчество. По какому разделу, количество часов________
заполняется только в том случае, если помимо руководителя, студенту назначается консультант
______________________________
Руководитель Ф.И.О. (подпись)____________
Дата выдачи задания_______________
Задание принял к исполнению___________
Подпись студента_________________________ _

|