| Министерство науки и образования Республики Казахстан
Высшая техническая школа
Курсовая работа
По предмету: Основы электроники и схемотехники
На тему: «Четырехполюсник»
Выполнил: студент гр. В-512
Кабекенов М.
Проверила: Отарбаева Ж. О.
2010г.
Содержание:
Введение
.
3
Частотные характеристики четырехполюсников
.
5
Фильтр как четырехполюсник
.
11
Прохождение импульсов четырехполюсника
.
12
Коэффициент шума четырехполюсника
.
16
Методы измерения рабочего затухания и рабочего усиления
четырёхполюсника
.
19
Метод известного генератора
.
20
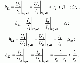
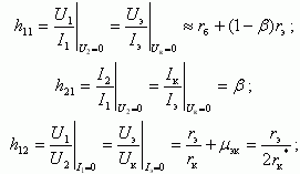
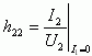
Параметры транзистора как четырехполюсника. h-параметры
..
21
Вывод
.
27
Список литературы
..
28
Введение
Четырехполюсником (рис. 1) называется цепь или участок цепи, которые имеют четыре вывода (зажима). Зажимы (1-1), к которым подключается источник электрической энергии, называются входными, а зажимы (2-2), к которым подсоединяется приемник электрической энергии (нагрузка), - выходными. Примером четырехполюсников являются трансформаторы, усилители, электрические фильтры, линии связи и т.п.
Рис. 1.Общий вид четырехполюсника.
К входу четырехполюсника (1-1) подсоединен источник электрической энергии с задающим напряжением и внутренним сопротивлением . К выходным зажимам (2-2) присоединена нагрузка с сопротивлением . На входных зажимах действует напряжение , на выходных- . Через входные зажимы протекает ток , через выходных - .
Четырехполюсники бывают пассивными и активными. Пассивные схемы не содержат источников электрической энергии, активные – содержат.
Также четырехполюсники делятся на обратимые и необратимые. В обратимых четырехполюсниках отношение напряжения на входе к току на выходе не меняется при перемене местами зажимов, т.е. они позволяют передавать энергию в обоих направлениях.
Различают четырехполюсники симметричные и несимметричные. В симметричном четырехполюснике перемена местами входных и выходных зажимов не изменяет напряжений и токов в цепи, с которой он соединен.
Четырехполюсники, которые состоят только из линейных элементов, называются линейными. Они имеют линейную зависимость выходного напряжения и тока от напряжения и тока на входных зажимах. Четырехполюсники, которые имеют хотя бы один нелинейный элемент, называются нелинейными.
Забиваем Сайты В ТОП КУВАЛДОЙ - Уникальные возможности от SeoHammer
Каждая ссылка анализируется по трем пакетам оценки: SEO, Трафик и SMM.
SeoHammer делает продвижение сайта прозрачным и простым занятием.
Ссылки, вечные ссылки, статьи, упоминания, пресс-релизы - используйте по максимуму потенциал SeoHammer для продвижения вашего сайта.
Что умеет делать SeoHammer
— Продвижение в один клик, интеллектуальный подбор запросов, покупка самых лучших ссылок с высокой степенью качества у лучших бирж ссылок.
— Регулярная проверка качества ссылок по более чем 100 показателям и ежедневный пересчет показателей качества проекта.
— Все известные форматы ссылок: арендные ссылки, вечные ссылки, публикации (упоминания, мнения, отзывы, статьи, пресс-релизы).
— SeoHammer покажет, где рост или падение, а также запросы, на которые нужно обратить внимание.
SeoHammer еще предоставляет технологию Буст, она ускоряет продвижение в десятки раз,
а первые результаты появляются уже в течение первых 7 дней.
Зарегистрироваться и Начать продвижение
Четырёхполюсником называется любая цепь, имеющая два входных и два выходных зажима. Примеры четырехполюсника: линия передачи, линия связи, трансформатор, выпрямитель.
Классифицируют четырехполюсники по различным признакам:
- по наличию или отсутствию не скомпенсированных источников энергии - пассивные и активные;
- в зависимости от схемы внутреннего соединения элементов – Т-образные, П-образные, Г-образные с Т или П входом , мостовые.
- в зависимости от характера сопротивлений – линейные и нелинейные, симметричные и несимметричные.
При анализе четырехполюсника обычно не интересуются распределением напряжений и токов внутри четырехполюсника, важны лишь токи и напряжения на входе и выходе.
В данной главе разбираются лишь пассивные линейные четырехполюсники, работающие в установившемся синусоидальном режиме или в цепях постоянного тока (частный случай синусоидальной цепи).
Понятие четырехполюсника используют тогда, когда, не прибегая к схеме электрической цепи, оценивают влияние конкретной цепи на амплитудные и частотные характеристики, передаваемого через эту цепь электрического сигнала. Для решения подобных задач необходимо знать основные характеристики четырехполюсников. Эти характеристики получают на основании решения уравнений передачи четырехполюсника.
Частотные характеристики четырехполюсников
Пассивный четырехполюсник представляет собой электрическую цепь, внутри которой имеется соединение элементов r
, L
и C
. Цепь имеет две пары зажимов: к первичным зажимам подсоединяется источник энергии (тока или напряжения), к вторичным зажимам - нагрузка, под которой в общем случае понимают пассивный или активный двухполюсник с известными вольтамперными характеристиками. На рис.1.1б изображена комплексная схема замещения четырехполюсника; на ней указаны токи и напряжения входных и выходных зажимов в виде комплексных переменных. Также как и в двухполюснике, связь между этими переменными может быть определена через частотные характеристики четырехполюсника:
1. Входное сопротивление четырехполюсника
|
|
(1.11)
|
2. Входная проводимость четырехполюсника
|
|
(1.12)
|
3. Коэффициент передачи по напряжению
|
|
(1.13)
|
4. Коэффициент передачи по току
|
|
(1.14)
|
5. Передаточное сопротивление
|
|
(1.15)
|
6. Передаточная проводимость
|
|
(1.16)
|
Все эти формулы определяют причинно-следственную связь между заданным входным воздействием и реакцией цепи в виде тока или напряжения на входных или выходных зажимах. Также как и в двухполюсниках, все частотные характеристики не зависят от величин токов и напряжений, а определяются только параметрами элементов цепи и способом соединения ветвей. Они могут быть найдены опытным или расчетным путем. Все указанные выше характеристики называют внешними характеристиками четырехполюсника.
Сервис онлайн-записи на собственном Telegram-боте
Попробуйте сервис онлайн-записи VisitTime на основе вашего собственного Telegram-бота:
— Разгрузит мастера, специалиста или компанию;
— Позволит гибко управлять расписанием и загрузкой;
— Разошлет оповещения о новых услугах или акциях;
— Позволит принять оплату на карту/кошелек/счет;
— Позволит записываться на групповые и персональные посещения;
— Поможет получить от клиента отзывы о визите к вам;
— Включает в себя сервис чаевых.
Для новых пользователей первый месяц бесплатно.
Зарегистрироваться в сервисе
Фазо–частотная характеристика - ФЧХ представляет собой зависимость разности фаз двух гармонических колебаний безотносительно к их физической природе. Эта разность может измеряться в градусах или в радианах.
Чтобы рассчитать комплексную передаточную функцию четырехполюсника в общем случае необходимо проделать следующее:
1.Задаться произвольным значением или на входе (обобщенная функция ).
2.Любым методом рассчитать комплексное напряжение или ток на выходе цепи (обобщенная функция ).
3. Взять отношение выходного значения к входному. Входное значение при этом сокращается, получившееся выражение будет комплексной передаточной функцией, которую в общем случае обозначают буквой H
(j
ω).
4. Получившееся комплексное выражение записать в показательной форме, для чего следует использовать формулы перехода от алгебраической формы записи комплексного выражения к показательной и обратно:
|
|
(1.17)
|
5. Сравнивая отдельно модули и фазы, выделить АЧХ и ФЧХ передаточной функции:
- АЧХ передаточной функции; (1.18)
- ФЧХ передаточной функции. (1.19)
6. Изменяя значение переменной от 0 до бесконечности рассчитать и построить графики функций H
(ω) и θ(ω). Целесообразно данные расчетов свести в таблицу, которую в дальнейшем можно использовать для анализа прохождения электрических сигналов через четырехполюсник.
Графики найденных функций можно строить в зависимости от переменной ω, если известны численные значения параметров цепи r
и L
, или строить их в зависимости от обобщенной переменной Ω.
На рис. 2 a,б построены эти графики, физический смысл которых очевиден: при малых значениях ω выполняется условие ωL
<< r
, и ток источника тока будет преимущественно протекать в индуктивности, т.е.
будет стремиться к единице. На большой частоте, при выполнении условия ωL
>> r
, ток источника будет в основном протекать в сопротивлении r
, а доля тока в индуктивности будет уменьшена, т.е. K(ω) будет стремиться к нулю.

а) б)
Рис. 2 Частотные характеристики четырехполюсника для коэффициента передачи тока К
i
: а)АЧХ для К
i
; б) ФЧХ для К
i
.
Если схема четырехполюсника известна, то эти коэффициенты могут быть найдены расчетным путем, используя законы Ома и Кирхгофа, метод контурных токов или узловых потенциалов, а также простейшие преобразования цепи. Все эти методы предполагают постановку и решение прямой задачи электротехники, т.е. произвольное задание источника энергии на входных зажимах и последующий поиск тока или напряжения в ветви, присоединенной к выходным зажимам .Однако существует метод непосредственного определения частотных характеристик четырехполюсника по известным А параметрам четырехполюсника.
Для более сложных цепей есть возможность разбиения исходной цепи на группу каскадное соединенных звеньев. Каскадным называется такое соединение двух и более четырехполюсников, когда выходные зажимы предыдущего четырехполюсника соединяются с входными зажимами последующего.

Рис. 3. Каскадное соединение четырехполюсников
Известно правило объединения матриц каскадное соединенных четырехполюсников: при каскадном соединении перемножаются матрицы А параметров, и задача исследователя заключается в разбиении исходной цепи на группу простейших каскадное соединенных четырехполюсников с известными А параметрами.
Если число каскадно-соединенных звеньев больше двух, то следует перемножать матрицы в той последовательности, в которой стоят четырехполюсники, помня о том, что перемножение матриц обладает сочетательным свойством, но не коммутативно, т.е.
. Пассивный четырехполюсник состоит из индуктивностей, емкостей, резисторов.
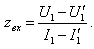
Затухание четырехполюсника - величина, характеризующая уменьшение напряжения U , тока I или мощности P = I * U при передаче через четырехполюсник.
Затухание измеряется в децибелах:
а) мощности P1
и P2

б) напряжения U1
и U2

Затухание в четырехполюснике зависит от сопротивления генератора и нагрузки. Активный четырехполюсник передает в нагрузку мощность, большую поступающей в него; состоит из источников ЭДС, электронных усилительных ламп, транзисторов.
Коэффициент усиления - отношение величины напряжения, тока или мощности на выходе четырехполюсника к соответствующей величине на входе. Усиление зависит от сопротивления генератора и нагрузки.
Модуль входного сопротивления четырехполюсника зависит от сопротивления нагрузки и равен отношению приращения входного напряжения на входных клеммах к вызванному им приращению входного тока

Модуль выходного сопротивления четырехполюсника равен отношению приращения выходного напряжения к соответствующему изменению величины выходного тока.

Фильтр - четырехполюсник, служащий для передачи в нагрузку мощности электрического тока определенного диапазона частот в области прозрачности фильтра. В области непрозрачности фильтра мощность тока передается в нагрузку с большим затуханием.
Фильтры нижних частот (обрезающие) имеют область прозрачности для частот ниже граничной частоты .

Сглаживающий фильтр - обрезающий фильтр, который служит для выделения постоянной составляющей. Его граничная частота лежит ниже основной гармонической частоты сигнала. Фильтры верхних частот (обрезающие) имеют область прозрачности для частот выше граничной частоты . Полосовой фильтр имеет область прозрачности в определенной полосе частот, лежащей между граничными частотами и . Режекторный фильтр имеет область непрозрачности в определенной полосе частот лежащей между граничными частотами.
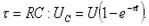
1)Прохождение прямоугольного импульса через RC-цепь. При подаче на вход RC-цепи прямоугольного импульса напряжения в первый момент времени t1
в схеме возникает скачек тока, равный по величине U/R . По мере загрузки конденсатора напряжение на нем возрастает по экспоненте с постоянной времени . Если длительности импульса, напряжение на емкости возрастает до U входного напряжения. В момент окончания импульса t2
в схеме появляется отрицательный скачек тока и емкость начинает разряжаться (по экспоненте): .
В результате на выходе RC-цепи (на резисторе) появляются два импульса - положительный, совпадающий по времени с передним фронтом входного импульса, и отрицательный импульс, совпадающий с задним фронтом входного импульса. Такая цепочка называется дифференцирующей RC-цепью.
2)Прохождение прямоугольного импульса через RL-цепь. При подаче на вход RL-цепи прямоугольного импульса напряжения в первый момент времени t1
ток в цепи равен нулю, так ток через индуктивность не может измениться скачком. Затем ток экспоненциально нарастает с постоянным временем . Если , то ток в цепи успевает вырасти до значения U/R. В первый момент времени напряжение на сопротивлении равно нулю ( т. к. ток равен нулю), а затем оно экспоненциально нарастает . Напряжение на индуктивности в первый момент времени равно входному напряжению U , а затем уменьшается с постоянной времени до нуля . В момент окончания импульса t2
ток в схеме экспоненциально уменьшается с постоянной времени до нуля, напряжение на сопротивлении экспоненциально уменьшается до нуля, а на индуктивности появляется отрицательный скачок напряжения, равный перепаду напряжения на входе схемы; напряжение на индуктивности экспоненциально уменьшается до нуля.

Системы безопасности строятся из отдельных приборов, соединяемых между собой кабелями. При инсталляции системы, а также при ее эксплуатации возможны ситуации, когда система не работает должным образом. В данной публикации не рассматривается поиск дефектов в самих приборах, цель статьи более скромная - помочь специалисту в отыскании дефектов в межблочных соединениях.

Для отыскания дефектов в монтаже удобно использовать модель Г-образного четырехполюсника (к каскадному соединению которых можно свести большинство радиоэлектронных устройств).
Точка в монтаже системы безопасности, в которой выходное напряжение существенно отличается от нормы, можно назвать точкой дефекта. Для Г-образного четырехполюсника такой точкой может быть его выход.
При поиске дефекта наибольший интерес представляет такой Г-образный четырехполюсник, у которого входное напряжение U1
соответствует номинальному, а выходное напряжение U2
в точке дефекта существенно отличается от номинального.
При этом возможны следующие варианты:
· U2
= 0, если Z1
= ∞ (обрыв в последовательной ветви) или Z2
= 0 (короткое замыкание в параллельной ветви);
· U2
= U1
, если Z1
= 0 или Z2
= ∞;
· U2
меньше нормы, если Z1
увеличилось или Z2
уменьшилось;
· U2
больше нормы, если Z1
уменьшилось, или Z2
увеличилось.
Вообще говоря, возможен и такой случай, когда U2
становится больше U1
. Это говорит о том, что появился неочевидный источник напряжения (например, из-за нарушения изоляции между соседними проводами).
Рассмотренные соотношения справедливы как для линейных, так и нелинейных четырехполюсников, как для частотно-зависимых, так и частотно-независимых.
Отметим, что не столь важно точное значение напряжения U2
– при ремонте достаточно обнаружить его качественное изменение как следствие неисправности элементов Z1
и Z2
.
Одновременно дефектными оба элемента четырехполюсника бывают крайне редко; чаще из строя выходит один элемент, а уже вследствие этого другой.
Параметры радиоэлементов могут изменяться во времени вплоть до выхода из поля допуска. При поиске дефектов следует учитывать закономерности изменения параметров радиоэлементов:
· сопротивление резистора не может уменьшиться по сравнению с первоначальным,
· емкость конденсатора не может возрасти по сравнению с первоначальной,
· у конденсатора может появиться проводимость.
В схему дефектного Г-образного четырехполюсника может входить не два элемента, а значительно больше. Поэтому в качестве Z1
следует рассматривать все последовательно включенные элементы от точки, где напряжение U соответствует норме, вплоть до точки дефекта. В качестве Z2
должны рассматриваться все элементы, включенные параллельно выходу четырехполюсника.
Коэффициент шума (дифференциальный) четырехполюсника определяется как отношение суммарной мощности шума на выходе от всех причин, к мощности шума на выходе при условии, что сам четырехполюсник не шумит; причем на входе источник шума находится при стандартной температуре T0
=290o
K.
Коэффициент шума – эта характеристика четырехполюсника и она не зависит от мощности сигнала и шума на входе. Поэтому в качестве источника шума на входе выбирается генератор шума, который излучает ту же мощность, что и резистор, равный опорному сопротивлению Zo (обычно 50 Ом). Теперь рассмотрим четырехполюсник с вынесенными из него шумами, описанными как автономные шумовые генераторы 1 и 2. Коэффициент шума не зависит от нагрузки, а точнее, не зависит от рассогласования на выходе (поскольку мощности зависят одинаково). Собственные шумы нагрузки учитываются в шумах следующего каскада. Так как коэффициент шума не зависит от нагрузки, то положим, что на выходе включено сопротивление:
.
Пассивные LC-фильтры обычно представляют собой реактивный лестничный четырехполюсник, включенный между генератором с активным внутренним сопротивлением и нагрузкой с активным сопротивлением R. Входное сопротивление реактивного четырехполюсника, нагруженного на сопротивление. Каскадное соединенные четырехполюсники с согласованными характеристическими сопротивлениями могут быть замещены одним четырехполюсником, имеющим характеристические сопротивления, равные входному характеристическому сопротивлению первого и выходному характеристическому сопротивлению последнего четырехполюсника. Мера передачи g результирующего четырехполюсника определяется алгебраической суммой мер передачи составных четырехполюсников. Отсюда следует, что каскадное соединенные четырехполюсники с согласованными характеристическими сопротивлениями могут быть замещены одним четырехполюсником, имеющим характеристические сопротивления, равные входному характеристическому сопротивлению первого и выходному характеристическому сопротивлению последнего четырехполюсников. Мера передачи результирующего четырехполюсника определяется алгебраической суммой мер передачи составных четырехполюсников. Постоянная передача цепочки, как и всякого симметричного четырехполюсника, определяется выражением, которое совпадает с модулем выражения для коэффициента усиления четырехполюсника с ООС.
Передаточная функция для линейного четырехполюсника определяется только внутренней структурой четырехполюсника и параметрами ее элементов и не зависит от характера возмущения на ходе прибора. Вид частотных и фазовых характеристик четырехполюсника определяется соответственно модулем и аргументом его передаточной функции. При синтезе четырехполюсника по рабочим параметрам задаются рабочей передаточной функцией или ее модулем и аргументом. Рассмотрение характеристики рабочего затухания в децибелах упрощается при использовании квадрата рабочего ослабления. Соответственно при синтезе четырехполюсников принято задавать не частотную характеристику.
На входе четырехполюсника действует сигнал, который необходимо усилить. Основными показателями усиления будут следующие параметры: Если на входе четырехполюсника действует колебательное напряжение с огибающей, изменяющейся по закону Е (t). Если на входе четырехполюсника действует единичный импульс ЭДС, обладающий спектральной плотностью, равной единице для всех частот. Следовательно, отклик на единичный импульс, т. е. импульсная характеристика цепи, легко определяется с помощью обратного преобразования Фурье, примененного к передаточной функции; Если на входе линейного четырехполюсника действует сигнал произвольной формы в виде ЭДС(t), то, применяя спектральный метод, нужно определить спектральную плотность входного сигнала. Коэффициенты четырехполюсника можно определить из решения системы уравнений, что весьма трудоемко при сложной цепи. Проще найти эти коэффициенты для имеющегося четырехполюсника из опыта. Вследствие линейности четырехполюсника коэффициенты не зависят от значений токов и напряжений на входе и выходе.










Вывод
Четырёхполюсник - электрическая цепь (её участок) с четырьмя полюсами (зажимами), к которым могут подключаться другие цепи (участки цепи); наиболее распространённый тип
многополюсника. В четырехполюснике обычно различают две пары зажимов: входные и выходные (предназначенные для подсоединения, соответственно, источника электрической энергии и нагрузки). Если зависимость между токами через Ч. и напряжениями на его зажимах линейная, то четырехполюсник называются линейным (в противном случае — нелинейным). Основная характеристика линейного четырехполюсника — комплексный коэффициент передачи, равный отношению комплексных амплитуд на его входе и выходе. Четырехполюсник называется симметричным, если при перемене мест подсоединений приёмника и источника его характеристики не меняются. Четырёхполюсником называется любая цепь, имеющая два входных и два выходных зажима. Примеры четырехполюсника: линия передачи, линия связи, трансформатор, выпрямитель, мостовые цепи, электрические цепи.
|
1. Основы теории цепей: Учеб. для вузов /Г.В.Зевеке, П.А.Ионкин, А.В.Нетушил, С.В.Страхов. –5-е изд., перераб. –М.: Энергоатомиздат, 1989. -528с.
2. Каплянский А. Е. и др. Электрические основы электротехники. Изд. 2-е. Учеб. пособие для электротехнических и энергетических специальностей вузов. -М.: Высш. шк., 1972. -448с.
3. Бобровников К. Н. «Электротехника» - 5-е изд., М. Электроник, 2005г.
4. Каскадров А. М, Нильщенко А. Д., Доценко Ю. А. – «Теория цепей и их анализ» - М. Высшая школа., 1997г.
5. Пирогов А. П., Миров М. А. – «Основы электротехники». – М. «Связь», 1998г.
|