Курсовая работа
Дисциплина: Режимы работы ТЭС
Тема: Работа энергоблока ПГУ КЭС на базе ГТУ Ansaldo Energia V64.3A при изменении температуры наружного воздуха
Текст предоставляется для ознакомления и использования в качестве образца. Модификация только правкой титульного листа и удалением комментариев в угловых скобках с целью выдачи данной работы за свою запрещена и может повлечь преследование по закону и по понятиям!
Выполнил студент гр. 5037/1 ................................................... А. В. Игнатьев
Принял преподаватель .................................................................. Д. А. Трещёв
«___» _________ 2010 г.
Оглавление
Введение............................................................................................................................................. 3
Исходные данные............................................................................................................................... 3
1. Расчёт режима работы ГТУ........................................................................................................... 3
1.1. Описание ГТУ и методика расчёта........................................................................................... 3
1.2. Проверка баланса ГТУ................................................................................................................ 4
2. Расчёт одноконтурной утилизационной ПСУ............................................................................ 5
2.1. Основные расчётные зависимости и допущения.................................................................... 5
2.2. Алгоритм расчёта параметров на режиме................................................................................ 8
2.3. Проверка расчёта КПД ПГУ по обратному методу............................................................... 10
3. Расчёт двухконтурной утилизационной ПСУ.......................................................................... 13
3.1. Основные особенности расчётной модели по сравнению с одноконтурной..................... 13
3.2. Расчёт двухконтурной модели................................................................................................. 13
Забиваем Сайты В ТОП КУВАЛДОЙ - Уникальные возможности от SeoHammer
Каждая ссылка анализируется по трем пакетам оценки: SEO, Трафик и SMM.
SeoHammer делает продвижение сайта прозрачным и простым занятием.
Ссылки, вечные ссылки, статьи, упоминания, пресс-релизы - используйте по максимуму потенциал SeoHammer для продвижения вашего сайта.
Что умеет делать SeoHammer
— Продвижение в один клик, интеллектуальный подбор запросов, покупка самых лучших ссылок с высокой степенью качества у лучших бирж ссылок.
— Регулярная проверка качества ссылок по более чем 100 показателям и ежедневный пересчет показателей качества проекта.
— Все известные форматы ссылок: арендные ссылки, вечные ссылки, публикации (упоминания, мнения, отзывы, статьи, пресс-релизы).
— SeoHammer покажет, где рост или падение, а также запросы, на которые нужно обратить внимание.
SeoHammer еще предоставляет технологию Буст, она ускоряет продвижение в десятки раз,
а первые результаты появляются уже в течение первых 7 дней.
Зарегистрироваться и Начать продвижение
3.3. Проверка расчёта КПД ПГУ по обратному методу............................................................... 14
Вывод................................................................................................................................................ 19
Список использованной литературы............................................................................................. 20
Приложения:
П.1. Система уравнений, описывающая одноконтурную ПГУ
П.2. Алгоритм расчёта одноконтурной ПГУ
П.3. Система уравнений, описывающая двухконтурную ПГУ
П.4. Алгоритм расчёта двухконтурной ПГУ
П.5. Пример подпрограммы расчёта газоводяного (газопарового) теплообменника
Введение
Парогазовые установки отличаются высоким КПД, рассматриваются в перспективе как инструмент покрытия полупиковой электрической нагрузки; значительное количество ПГУ сооружается в настоящее время в России и за рубежом. В данной работе рассматривается два варианта энергоблока на базе двух турбин Ansaldo Energia V64.3A: с одним и двумя уровнями давления генерируемого в котле-утилизаторе пара.
Показатели ГТУ в значительной степени зависят от температуры воздуха перед компрессором; при изменении расхода уходящих газов и их температуры меняются и показатели утилизационного парового контура. В данной работе на базе произведённого в курсе «Парогазовые ТЭС» проектирования ПГУ на номинальный режим (при среднегодовых показателях атмосферных условий) рассчитывается режим работы блоков при температуре наружного воздуха, отличающейся от расчётной.
Исходные данные
Режим ПГУ в настоящем расчёте определяется температурой наружного воздуха. Для расчётного режима ПГУ она принята по среднегодовому значению для места установки (Санкт-Петербурга) по СНиП, для переменного задана преподавателем. Она влияет также на работу градирни, что сказывается на температуре охлаждающей воды [см. 1, c. 459].
Таблица 1. Исходные данные к расчёту номинального и переменного режима
| Наименование величины
|
Обозначение
|
ЕИ
|
Значение на режиме
|
| номинальном
|
изменённом
|
| Температура наружного воздуха
|
t
н.в
|
°C
|
+4,4
|
−10,0
|
| Температура охлаждающей воды
|
t
охл
|
°C
|
22
|
19
|
Также в работе используются данные проектировочного расчёта номинального режима, представленные далее по тексту.
1. Расчёт режима работы ГТУ
1.1. Описание ГТУ и методика расчёта
Газотурбинная установка V64.3A итальянской фирмы Ansaldo Energia выпускается по лицензии фирмы Siemens (другое название установки SGT‑1000F) с 1997 г. Схема ГТУ представлена на рис. 1. В состав ГТУ входят: 15‑ступенчатый осевой компрессор (1) с подвижным входными направляющим аппаратом (ВНА), кольцевая камера сгорания (2), 4х
‑ступенчатая турбина (3). При частоте вращения вала турбины 5400 об/мин через редуктор (4) может осуществляться привод генератора (5) с частотой вращения как 3000, так и 3600 об/мин.
Сервис онлайн-записи на собственном Telegram-боте
Попробуйте сервис онлайн-записи VisitTime на основе вашего собственного Telegram-бота:
— Разгрузит мастера, специалиста или компанию;
— Позволит гибко управлять расписанием и загрузкой;
— Разошлет оповещения о новых услугах или акциях;
— Позволит принять оплату на карту/кошелек/счет;
— Позволит записываться на групповые и персональные посещения;
— Поможет получить от клиента отзывы о визите к вам;
— Включает в себя сервис чаевых.
Для новых пользователей первый месяц бесплатно.
Зарегистрироваться в сервисе
Работа газотурбинной части ПГУ по расчётной схеме не зависит от работы утилизационной части, поэтому она рассчитывается отдельно в первую очередь. Показатели ISO – это паспортные данные для ГТУ, приведённые для работы на чистом метане на уровне моря, при относительной влажности 60% и t
н.в
= +15°C, без потерь давления воздуха на входе и газов на выходе. В работе учитывается, что величины температуры за газовой турбиной T
4
, мощности ГТУ на клеммах генератора N
ГТУ
, её КПД и расхода уходящих газов G
ух
определяются при соответствующих наружных температурах, входных и выходных потерях давления Δp
вх
= 1 кПа, Δp
вых
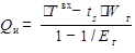
= 3 кПа. Расчёт производится по упрощённой методике по значениям поправок на входные и выходные параметры, приведённых на графиках на рис. 2:
, где i
– одна из величин T
4
, N
ГТУ
, , G
ух
; – поправки соответственно на Δp
вх
, Δp
вых
и t
н.в
(табл. 2).
Пересчёт показателей ГТУ по ISO на расчётные условия
| Величина
|
ЕИ
|
Значение в условиях ISO
|
Поправочные коэффициенты
для переменного режима
|
Значение на переменном режиме
|
Значение на номинальном режиме
|
| 
|

|

|
| T
4
|
°C
|
574
|
1,003
|
1,0065
|
0,969
|
556
|
568
|
| K
|
847
|
829
|
841
|
| N
ГТУ
|
кВт
|
75 000
|
0,983
|
0,9875
|
1,091
|
79 429
|
75 716
|
| 
|
–
|
0,359
|
0,993
|
0,9875
|
1,011
|
0,356
|
0,355
|
| G
ух
|
кг/с
|
213
|
0,990
|
1
|
1,074
|
226,47
|
218,25
|
1.2. Проверка баланса ГТУ
Проверка баланса для условий ISO и расчётного среднегодового режима выполнялась в курсе «Парогазовые установки». Аналогичным образом выполним её для переменного режима.
Расход топлива
 расход воздуха

тогда с учётом того, что теоретически необходимое количество влажного воздуха , избыток воздуха в уходящих газах
.
Энтальпии уходящих газов данного состава при стандартной температуре и T
4
, энтальпии воздуха при стандартной температуре и T
1
 (здесь и далее свойства воздуха и газов отсчитываются от абсолютного нуля по интерполяционным полиномам, приведённым в [2]). Уравнение теплового баланса ГТУ:
.
Энтальпии топлива при стандартных условиях и на входе в КС h
топ
ориентировочно равны [3]. Для всех режимов считаем, что КПД генератора, редуктора, механический КПД турбины и КПД камеры сгорания равны соответственно ηЭГ
= 0,985, ηред
= 0,995, ηмех
= 0,998, . Тогда левая часть уравнения баланса равна
, правая
 невязка баланса (217 003 − 216 025)/217 003 = 0,0045 = 0,45% – в пределах погрешности расчёта.
2. Расчёт одноконтурной утилизационной ПСУ
2.1. Основные расчётные зависимости и допущения
Схема установки – дубль-блока мощностью 220 МВт – изображена на рис. 3.
<Трещёв: нагрев воды в деаэраторе на номинальном режиме порядка где-то 5 град.>
Конденсатный насос подаёт конденсат в газовый подогреватель конденсата, с выхода которого для предотвращения конденсации часть воды специальным насосом подаётся на вход. Далее вода поступает в деаэратор с постоянным давлением p
д
= 0,12 МПа (t
д
= 105°C, h
′д
= 439,3 кДж/кг, h
″д
= 2683,06 кДж/кг). Выпар из деаэратора осуществляется в количестве от расхода конденсата G
к
<Трещёв: 10 кг/т!>. Деаэрированная вода питательным насосом с КПД ηпн
= 75% подаётся в экономайзер, сопротивление которого . Далее питательная вода следует на всас циркуляционного насоса КПД ηцн
= 60%, который преодолевает сопротивление испарительной поверхности (от давления в барабане p
б
). Часть воды из барабана, равная от общего количества генерируемого пара, отбирается на непрерывную продувку; насыщенный пар частично направляется на обогрев деаэратора, остальной поток следует в пароперегреватель ( ) и далее, преодолев сопротивление трубопровода , подаётся с начальными параметрами p
0
, t
0
на стопорный клапан турбины, . Относительный внутренний КПД сухих отсеков турбины считаем равным ηоi
сух
= 0,87; потери от влажности учитываем по приближённой формуле Соколова<В расчёте номинального режима обязательно, а то максимум сползает>
y
к
= (h
″|p
к
– h
к сух
)(r
|p
к
+K
вл
ηоi
сух
(h
″ – h
кt
)),
где K
вл
– поправка на среднюю влажность (на сколько процентов падает КПД влажного отсека при её росте на 1%), примем K
вл
= 0,5<от 0,5 до 0,9>; h
к сух
– условная энтальпия влажного пара в конденсаторе, которая была бы там, если бы КПД процесса после достижения паром параметров насыщения (энтальпии h
″) сохранялся на уровне ηоi
сух.
Восполнение потерь рабочего тела в контуре осуществляется в приямок конденсатора насыщенной водой.
Для упрощения расчётов пренебрегаем потерями с наружным охлаждением элементов, протечками, тепловыделением в конденсатных и рециркуляционных насосах, наличием охладителей пара уплотнений и холодильников эжекторов. Считаем, что принятые относительные перепады давления сохраняются на режиме, т. е. на концах любого элемента ; аналогичным образом считаем постоянными КПД насосов и (сухой) турбины. Кроме того, считаем, что циркуляционные и рециркуляционные насосы перемещают те же самые расходы воды G
ц
= 119,49 кг/с, G
рец
= 55,15 кг/с (для упрощения вычислений все расходы приведены по отношению на один КУ). Температурный напор в конденсаторе линейно зависит от его тепловой нагрузки Q
к
= G
0
r
к
x
к
:
  (индексом 0 отмечены величины при номинальном режиме, чертой – отношения к ним величин на переменном режиме). Турбина между клапанами и конденсатором может быть рассчитана по уравнению Стодолы, которое в данном случае используется в виде
 (начальные температуры – в кельвинах).
Для поверхностей теплообмена в котле-утилизаторе можно написать уравнения теплообмена вида
, где Qi
– теплота, полученная от газов i
‑й поверхностью; ki
– коэффициент теплопередачи; Fi
– площадь поверхности теплообмена; <Δt
>i
– средний температурный напор, для поверхностей с противотоком
 (T
, I
обозначаем температуры и энтальпии газов, t
, h
– воды и пара). В действительности средний температурный напор отличается от среднелогарифмического в некоторое примерно постоянное число раз ψ, но, поскольку нас в данном расчёте интересуют относительные изменения величин, этим можно пренебречь. В испарительную поверхность сначала поступает недогретая вода, затем под напором циркуляционного насоса пароводяная смесь кипит при температуре, большей температуры в барабане (рис. 4). Без значительного роста погрешности можем считать, что .
Коэффициенты теплопередачи на поверхностях нагрева зависят прежде всего от расхода газов. Из опыта практических наблюдений можем оценить их изменение по формуле ki
= ki
0
G
ух
. Параметры для элементов КУ отражены в таблице 3.
Помимо теплоты от газов, рабочее тело получает энтальпию от работы насосов:
, ; .
Таблица 2. Параметры поверхностей теплообмена КУ
| Элемент
|
Qi
0
, кВт
|
ki
0
, 
|
<Δt
>i
0
, град.
|
Fi
, тыс. м²
|
ki
, 
|
| ГПК
|
5221
|
80
|
115,7
|
0,56
|
81,99
|
| Экономайзер
|
24 012
|
80
|
47,6
|
6,31
|
81,99
|
| Испаритель
|
45 445
|
80
|
62,3
|
9,11
|
81,99
|
| Пароперегреватель
|
20 920
|
50
|
91,6
|
4,57
|
51,24
|
Составив также уравнения теплового баланса для каждого элемента котла-утилизатора
 и для деаэратора
,
можем, в сочетании с материальными балансами элементов, уравнением турбинного процесса и таблицами свойств воды, пара и газов, получить систему уравнений, описывающую ПГУ. Такая система представлена в приложении 1.
2.2. Алгоритм расчёта параметров на режиме
Сложность и нелинейность полученной модели котла-утилизатора не позволяют решать систему уравнений для ПГУ аналитически. Решение с необходимой точностью может быть получено методом последовательных приближений. Задавшись некоторыми начальными значениями ряда параметров, производят расчёт системы по имеющимся формулам и получают уточнённые значения тех же параметров, которые, если они расходятся с принятыми ранее более чем на заданную величину, подставляются в следующую итерацию. Для проведения численного расчёта на сходимость используется алгоритм со вложенными циклами, реализованный на базе электронных таблиц OpenOffice.org Calc с программированием циклов и подстановок на встроенном BASIC.
Форма представления расчётных зависимостей оказывает существенное влияние на скорость и устойчивость сходимости. Например, уравнение Стодолы можно применить для определения начального давления процесса расширения, но следует избегать его применения для расчёта конечного давления, поскольку полученная величина имеет сравнительно большой разброс и процесс вычисления может завершиться ошибкой извлечения корня из отрицательного числа. Также уравнение теплоотдачи
 при решении совместно с уравнениями теплового баланса
, сходится по конечным температурам сред и тепловому потоку достаточно плохо, а может и расходиться (система неустойчива по отклонению температур). Значительно лучше сходится система, где уравнение теплопередачи заменено на эквивалентную подсистему
.<лучше вычитать наоборот>
Данное выражение может быть заложено в отдельную подпрограмму, которая после небольшого числа циклов производит расчёт теплообменника по входным температурам и расходам сред, давлениям пара на входе и выходе, составу уходящих газов и комплексу ki
Fi
. Пример такой подпрограммы приведён в приложении 5. Теплофизические свойства веществ в программе определяются по полиномам из [2] (для газов) и формуляции IF‑97 (для воды и пара). Аналогичные выражения для испарительного элемента с известной входной температурой газов и элемента с одной фазой, у которого заданы температуры сред на горячем конце, принимают вид соответственно
, .
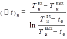
Расход греющего пара на деаэратор по отношению к расходу конденсата можно определить как
 (следствие из теплового баланса деаэратора: теплота насыщенного пара из барабана тратится на догрев конденсата до температуры насыщения в деаэраторе и испарение выпара, вследствие чего греющий пар конденсируется). Расход конденсата, в свою очередь, должен быть таким, чтобы питать расход пара и продувки и выпар:
, где – один из параметров сходимости. Зная расход греющего пара, легко найти все расходы по элементам КУ из их материальных балансов.
Кроме того, для улучшения сходимости можно использовать переходы, отличающиеся от простой подстановки нового значения (при этом последовательность таких переходов должна сходиться к требуемой величине). Например, итерации по недогреву в экономайзере выполняют переход в зависимости не только от значения, определённого по расчёту элементов, но и от значений, принятого изначально и полученного на предыдущей итерации (см. алгоритм). Циклы с мало зависящими друг от друга переменными для упрощения алгоритма можно объединять; в самом внешнем (нулевого уровня) цикле все критерии сходимости опять проверяются, и если хотя бы один из них не выполнен, расчёт продолжается (циклы остальных уровней реализованы с постусловием).
Список переменных, определяемых для данного алгоритма методом последовательных приближений, представлен в таблице 4; сам алгоритм приведён в приложении 2. После 51 цикла нижнего уровня (по t
0
) алгоритм сошёлся с требуемой точностью, результаты приведены в таблице 5.
Таблица 3. Организация расчёта на сходимость: циклы и переменные
| Уровень цикла
|
Наименование величины
|
Обозначение
|
ЕИ
|
Критерий сходимости
|
Новое значение
|
Число шагов
|
| 1
|
Удельный расход греющего пара
|
g
гп
|
–
|

|

|
17
|
| Недогрев в экономайзере до t
б
|
δt
нед
|
град.
|

|

|
| Температура в конденсаторе
|
t
к
|
град.
|

|

|
| 2
|
Расход свежего пара
|
G
0
|
кг/с
|

|

|
48
|
| 3
|
Температура свежего пара
|
t
0
|
град.
|

|

|
51
|
2.3. Проверка расчёта КПД ПГУ по обратному методу
КПД ПГУ при расчёте определялся по прямому методу
 Расчёт по обратному методу базируется на анализе потерь:
.
Потери энергии в ПГУ включают следующие компоненты:
· теплота уходящих газов, за вычетом теплоты воздуха и топлива,
Q
ух
= 2(G
ух
I
ух
–G
в
I
в–10
–G
топ
h
топ
)=2·(226,47·472,98–222,02·225,63–4,46·1579,7) = = 79 083 кДж/с;
· теплота, отводимая в конденсаторе, Q
к
=2G
0
(h
к
–h
к
´)=2·28,57·(2323,49–142,16)= = 128 093 кДж/с;
· потери в ГТУ в генераторе, на трение в подшипниках и редукторе и наружное охлаждение

· потери в генераторе и на трение в утилизационной установке
ΔN
пт
= N
г
(1/(ηм
ηг
)–1) = 64540·(1/(0,995·0,985)–1) = 1303 кДж/с;
· потери с рабочим телом (выпар, продувка) с отсчётом от энтальпии подпитки


 полученное расхождение 0,02 можно объяснить небалансом ГТУ (0,45%), принятыми величинами расхождения при расчёте на сходимость и неточностью методики обратного подсчёта (в знаменателе физическая теплота топлива не учтена, в числителе она отсчитывается от условного уровня абсолютного нуля, не совпадающего в силу реально-газовых свойств метана с аналогичной точкой отсчёта для уходящих газов).
Таблица 4. Результаты итеративного расчёта одноконтурной ПГУ
| Наименование
величины
|
Обозначение
|
ЕИ
|
Значение
|
Расхождение с ном. режимом
|
| Температура в конденсаторе
|
°C
|
33,9
|
-3,1
|
| Давление там же
|
кПа
|
5,3
|
-16%
|
| Энтальпия насыщенной воды там же
|
кДж/кг
|
142,16
|
-12,84
|
| Энтальпия насыщенного пара там же
|
кДж/кг
|
2562,66
|
-5,51
|
| Температура пара перед турбиной
|
°C
|
525
|
-10
|
| Давление там же
|
МПа
|
5,4
|
-0,30%
|
| Энтальпия там же
|
кДж/кг
|
3488,41
|
-0,66%
|
| Давление в барабане
|
МПа
|
6,12
|
-0,30%
|
| Температура там же
|
°C
|
277
|
-0,07%
|
| Энтальпия насыщенной воды там же
|
кДж/кг
|
1220,71
|
-0,08%
|
| Энтальпия насыщенного пара там же
|
кДж/кг
|
2783,18
|
0,01%
|
| Энтальпия на выходе из экономайзера
|
кДж/кг
|
1176,74
|
0,55%
|
| Объём воды в циркуляционном насосе
|
м³/кг
|
0,00132
|
-0,05%
|
| Приращение энтальпии там же
|
кДж/кг
|
1,4
|
-0,35%
|
| Температура газов на выходе из испарителя (
pinch-point)
|
°C
|
287
|
-0,05%
|
| Энтальпия газов там же
|
кДж/кг
|
590,03
|
0,00%
|
| Энтальпия воды на выходе из ГПК
|
кДж/кг
|
331,44
|
-0,80%
|
| Расход греющего пара на обогрев 1 кг конденсата
|
–
|
0,05
|
2,44%
|
| Удельный расход конденсата
|
–
|
1,023
|
0,00%
|
| Удельный расход греющего пара
|
–
|
0,049
|
2,44%
|
| " – " – " выпара
|
–
|
0,00153
|
0,00%
|
| " – " – " продувки
|
–
|
0,021
|
0,11%
|
| " – " – " добавочной воды
|
–
|
0,0225
|
0,10%
|
| " – " – " питательной воды
|
–
|
1,069
|
0,11%
|
| Тепловая мощность испарителя
|
кДж/с
|
48581
|
0,04%
|
| Удельный расход пара
|
кг/кг
|
0,128
|
-3,51%
|
| Расход свежего пара
|
кг/с
|
28,92
|
0,32%
|
| т/ч
|
8,03
|
| Температура на выходе из ГПК
|
°C
|
79
|
-0,79%
|
| Тепловая мощность ГПК
|
кДж/с
|
5567
|
5,45%
|
| Приращение энтальпии в питательном насосе
|
кДж/кг
|
9,32
|
-0,31%
|
| Тепловая мощность экономайзера
|
кДж/с
|
22523
|
1,34%
|
| Энтальпия уходящих газов
|
кДж/кг
|
466
|
0,48%
|
| Температура уходящих газов
|
°C
|
173
|
1,98
|
| Энтальпия газов за пароперегревателем
|
кДж/кг
|
804,54
|
-1,04%
|
| Температура газов там же
|
°C
|
478
|
-1,55%
|
| Энтальпия газов за экономайзером
|
кДж/кг
|
490,58
|
0,52%
|
| Температура газов там же
|
°C
|
196
|
1,19%
|
| Температура на выходе из экономайзера
|
°C
|
268
|
0,48%
|
| Давление пара за клапанами
|
МПа
|
5,13
|
-0,30%
|
| Энтропия свежего пара
|

|
7,0121
|
-0,39%
|
| Энтропия пара за клапанами
|

|
7,0349
|
-0,39%
|
| Энтальпия конца адиабатного процесса расширения
|
кДж/кг
|
2275,01
|
-0,49%
|
| Энтальпия в конденсаторе
|
кДж/кг
|
2357,57
|
0,28%
|
| Энтропия там же
|

|
7,7
|
1,14%
|
| Влажность там же
|
–
|
0,084934
|
-0,005
|
| Внутренняя мощность паровой турбины
|
МВт
|
65415
|
-2,26%
|
| Электрическая мощность ПСУ
|
МВт
|
64112
|
-2,26%
|
| Электрическая мощность ПГУ
|
МВт
|
222969
|
2,74%
|
| КПД ПГУ
|
–
|
0,500
|
-0,0090
|
| Минимальный температурный напор
|
град.
|
10,07
|
0,07
|
| Недогрев до кипения в экономайзере
|
град.
|
8,52
|
-1,48
|
3. Расчёт двухконтурной утилизационной ПСУ
3.1. Основные особенности расчётной модели по сравнению с одноконтурной
Схема ПГУ с паровым циклом двух давлений приведена на рис. 7. Из общего ГПК конденсат поступает в деаэратор и разделяется на два потока, подаваемые двумя независимо регулируемыми группами питательных насосов различного напора и подачи в два экономайзера. Испаритель низкого давления установлен в рассечку экономайзера высокого давления (ЭкВ), экономайзер низкого давления параллелен первой ступени этого экономайзера (условно считаем, что перепад давления поделён между двумя ступенями ЭкВ поровну). Вторая ступень ЭкВ параллельна пароперегревателю низкого давления (ПеН). Деаэратор обогревается насыщенным паром низкого давления; весь пар высокого давления поступает через ПеВ в голову турбины. На той ступени, где это возможно, к нему подмешивается свежий пар низкого давления, и далее оба потока работают совместно до конденсатора; камера смешения учитывается как перепад давления δp
кс
= 0,03 для обоих потоков. Таким образом, система уравнений для турбины состоит из условия согласования потоков по давлению и уравнений Стодолы для отсеков
, (1)
, (2) где p
смв
– давление отработавшего потока пара высокого давления перед смешением. Для камеры смешения можно также записать тепловой баланс
.
Расчёт котла-утилизатора производится аналогично предыдущему варианту, с отсчётом энтальпий от выхлопа газовой турбины. Сложность представляет запись уравнений теплообмена для элементов КУ с параллельными потоками (ЭкВ1 и ЭкН, ЭкВ2 и ПеН), которые являются трёхпоточными теплообменниками. Поскольку для номинального режима принято, что оба потока влияют на температуру газов одинаково, фактически в этом случае они представляют собой два параллельно включённых по газам двухпоточных теплообменника, расход газов между которыми распределён пропорционально тепловосприятию соответствующих пучков. Учитывая, что параметры охлаждения газов и на переменном режиме остаются близки и любой уровень их смешения между пучками мало повлияет на результат, можем продолжать считать потоки газов около параллельных поверхностей разделёнными. Тепловой баланс элемента «а+б» с параллельными поверхностями «а» и «б» по газам будет записан как
.
3.2. Расчёт двухконтурной модели
В этой модели число расчётных величин и трансцендентных уравнений почти удвоилось по сравнению с предыдущей, поэтому алгоритм получается сложнее и глубина циклов больше. Тем не менее, общий принцип решения задачи тот же самый. Данные о теплообмене представлены в табл. 6, информация о циклах и переменных – в табл. 7, алгоритм и список равенств – в приложениях 3 и 4, результаты расчёта – в табл. 8 и на рис. 8, 9 3.3. Проверка расчёта КПД ПГУ по обратному методу
Проверка ведётся аналогично предыдущему пункту, с учётом потерь на продувку из двух контуров.
Q
ух
= 2(G
ух
I
ух
–G
в
I
в–10
–G
топ
h
топ
)=2·(226,47·382,3–222,02·225,63–4,46·1579,7) = = 41 173 кДж/с;
Q
к
=2ΣG
0
(h
к
–h
к
´)=2·35,64·(2330,31–142,16) = 155 924 кДж/с;

ΔN
пт
= N
г
(1/(ηм
ηг
)–1) = 74025·(1/(0,995·0,985)–1) = 1504 кДж/с;

 прямым методом получалось 0,522; причины расхождения аналогичны предыдущему пункту.
Таблица 5. Параметры поверхностей теплообмена двухконтурного КУ
| Элемент
|
Qi
0
, кВт
|
ki
0
, 
|
<Δt
>i
0
, град.
|
Fi
, тыс. м²
|
ki
, 
|
| ГПК
|
6450
|
80
|
115,7
|
2,37
|
81,99
|
| Экономайзеры: первый ВД второй ВД низкого давления
|
1310
22875,92
62
|
80
80
80
|
17,91
44,48
12,24
|
0,91
6,43
0,06
|
81,99
81,99
81,99
|
| Испарители: Высокого давления Низкого давления
|
43810,07
17164,88
|
80
80
|
60,8
34,68
|
9,01
6,19
|
81,99
81,99
|
| Пароперегреватели: Высокого давления Низкого давления
|
21594,08
1847,51
|
50
50
|
89,03
54,69
|
4,85
4,5
|
51,24
51,24
|
Таблица 6. Организация расчёта на сходимость: циклы и переменные
| Уровень цикла
|
Наименование величины
|
Обозначение
|
ЕИ
|
Критерий сходимости
|
Новое значение
|
Число шагов
|
| 1
|
Начальное давление пара ВД
|
p
0в
|
МПа
|

|
по (2)
|
16
|
| Температура в конденсаторе
|
t
к
|
град.
|

|

|
| 2
|
Относительное давление смеси
|
p
см
/p
0в
|
–
|

|

|
26
|
| 2
|
Расход свежего пара ВД
|
G
0в
|
кг/с
|

|

|
82
|
| 3
|
Относительный расход свежего пара НД
|
g
0н
|
–
|

|

|
56
|
| 4
|
Энтальпия на выходе из ГПК
|

|

|

|

|
63
|
| 5
|
Энтальпия на выходе из экономайзера ВД
|

|

|

|

|
63
|
| 5
|
Тепловая мощность второй ступени экономайзера ВД
|
Q
экв2
|

|

|

|
63
|
Таблица 7. Результаты итеративного расчёта двухконтурной ПГУ
| Наименование
величины
|
Обозначение
|
ЕИ
|
Значение
|
Расхождение с ном. режимом
|
| Температура в конденсаторе
|
°C
|
34,12
|
-2,9
|
| Давление там же
|
кПа
|
5,4
|
-15%
|
| Энтальпия насыщенной воды там же
|
кДж/кг
|
142,97
|
-12,04
|
| Энтальпия насыщенного пара там же
|
кДж/кг
|
2563,0
|
-5,17
|
| Температура пара перед турбиной
|
°C
|
525
|
-10
|
| Давление там же
|
МПа
|
7,11
|
1,52%
|
| Энтальпия там же
|
кДж/кг
|
3470,67
|
-0,71%
|
| Давление в барабане ВД
|
МПа
|
8,07
|
1,52%
|
| Температура там же
|
°C
|
296
|
0,36%
|
| Энтальпия насыщенной воды там же
|
кДж/кг
|
1320,21
|
0,44%
|
| Энтальпия насыщенного пара там же
|
кДж/кг
|
2757,64
|
-0,07%
|
| Энтальпия на выходе из ЭкВ
|
кДж/кг
|
1272,51
|
1,01%
|
| Объём воды в цирк. насосе ВД
|
м³/кг
|
1,39E-03
|
0,29%
|
| Приращение энтальпии там же
|
кДж/кг
|
1,86
|
1,81%
|
| Температура газов на выходе из испарителя ВД
|
°C
|
305,53
|
0,33%
|
| Энтальпия газов там же
|
кДж/кг
|
610,42
|
0,20%
|
| Давление свежего пара НД
|
МПа
|
0,164
|
3,92%
|
| Давление в барабане НД
|
МПа
|
0,19
|
3,92%
|
| Температура там же
|
°C
|
117,88
|
1,03%
|
| Энтальпия насыщенной воды там же
|
кДж/кг
|
494,78
|
1,04%
|
| Энтальпия насыщенного пара там же
|
кДж/кг
|
2702,84
|
0,07%
|
| Удельный расход пара ВД
|
кг/кг
|
0,130
|
-3,72%
|
| Расход свежего пара ВД
|
кг/с
|
29,37
|
0,10%
|
| т/ч
|
8,16
|
| Энтальпия воды на выходе из ГПК
|
кДж/кг
|
335,62
|
0,45%
|
| Энтальпия воды на выходе из ЭкН
|
кДж/кг
|
450,67
|
0,74%
|
| Температура там же
|
°C
|
107,47
|
0,73%
|
| Энтальпия воды на выходе из ЭкВ1
|
кДж/кг
|
450,67
|
0,74%
|
| Удельный объём воды в циркуляционном насосе НД
|
м3
/кг
|
0,00106
|
0,10%
|
| Приращение энтальпии в циркуляционном насосе НД
|
кДж/кг
|
0,03
|
4,03%
|
| Температура газов за ИН
|
°C
|
128
|
1,31%
|
| Энтальпия газов там же
|
кДж/кг
|
418,73
|
0,44%
|
| Тепловая мощность ЭкВ2
|
кДж/с
|
23450,58
|
2,51%
|
| Тепловая мощность ПеН
|
кДж/с
|
1939,31
|
4,97%
|
| Относительный расход пара НД
|
–
|
0,214
|
6,55%
|
| Температура свежего пара НД
|
°C
|
270
|
-1,52
|
| Энтальпия свежего пара НД
|
кДж/кг
|
3011,79
|
-0,11%
|
| Расход свежего пара НД
|
кг/с
|
6,28
|
6,66%
|
| т/ч
|
1,74
|
| Энтальпия на выходе из ГПК
|
кДж/кг
|
335,62
|
0,45%
|
| Соотношение начальных давлений
|
p
0н
/p
0в
|
–
|
0,0230
|
2,37%
|
| Расход конденсата
|
кг/с
|
36,44
|
1,20%
|
| "–" греющего пара
|
кг/с
|
1,72
|
-0,29%
|
| "–" питательной воды ВД
|
кг/с
|
29,95
|
0,10%
|
| "–" питательной воды НД
|
кг/с
|
8,16
|
5,56%
|
| Тепловая мощность ЭкВ1
|
кДж/с
|
1137
|
-13,23%
|
| Тепловая мощность ЭкН
|
кДж/с
|
92
|
49,05%
|
| Приращение энтальпии в питательном насосе ВД
|
кДж/кг
|
12,35
|
1,54%
|
| "–"–"–"–"–" НД
|
кДж/кг
|
0,12
|
9,92%
|
| Тепловая мощность ГПК
|
кДж/с
|
7021
|
8,86%
|
| Энтальпия газов на входе в ГПК
|
кДж/кг
|
413,3
|
0,66%
|
| Энтальпия уходящих газов
|
кДж/кг
|
382,3
|
0,35%
|
| Температура уходящих газов
|
°C
|
94
|
1,2
|
| Энтальпия газов на входе в ИВ
|
кДж/кг
|
802,15
|
-1,01%
|
| Температура там же
|
°C
|
476
|
-1,50%
|
| Энтальпия газов на входе в ИН
|
кДж/кг
|
498,31
|
0,53%
|
| Температура там же
|
°C
|
203
|
1,17%
|
| Температура на выходе из ЭкВ2
|
°C
|
287
|
2,4
|
| Температура на выходе из ЭкВ1
|
°C
|
115
|
0,0
|
| Давление пара ВД за клапанами
|
МПа
|
6,76
|
1,52%
|
| Энтропия свежего пара ВД
|

|
6,8683
|
-0,54%
|
| Энтропия пара ВД за клапанами
|

|
6,8908
|
-0,54%
|
| Давление пара НД за клапанами
|
МПа
|
0,156
|
3,92%
|
| Энтропия свежего пара НД
|

|
7,8777
|
-0,30%
|
| Энтропия пара НД за клапанами
|

|
7,9013
|
-0,30%
|
| Теоретическая энтальпия пара ВД перед камерой смешения
|
кДж/кг
|
2571,43
|
-0,32%
|
| Энтальпия пара ВД перед камерой смешения
|
кДж/кг
|
2688,33
|
-0,38%
|
| Давление в камере смешения
|
МПа
|
0,151
|
0,81%
|
| Энтальпия там же
|
кДж/кг
|
2745,3
|
-0,23%
|
| Энтропия там же
|

|
7,3516
|
-0,26%
|
| Температура там же
|
°C
|
136,48
|
-2,15%
|
| Давление конца расширения сухой смеси пара
|
МПа
|
0,094
|
6,98%
|
| Энтальпия в той же точке
|
кДж/кг
|
2672,02
|
0,11%
|
| Энтропия в той же точке
|

|
7,3811
|
-0,31%
|
| Энтальпия конца адиабатного процесса расширения от той же точки
|
кДж/кг
|
2259,41
|
-1,17%
|
| Энтальпия конца процесса расширения от той же точки с «сухим» КПД
|
кДж/кг
|
2313,05
|
-0,98%
|
| Влажность пара на выхлопе
|
–
|
0,096154
|
6,84%
|
| Энтальпия в конденсаторе
|
кДж/кг
|
2330,31
|
-0,88%
|
| Энтропия там же
|

|
7,6119
|
-0,01%
|
| Внутренняя мощность паровой турбины
|
МВт
|
75530
|
-0,65%
|
| Электрическая мощность ПСУ
|
МВт
|
74025
|
-0,65%
|
| Электрическая мощность ПГУ
|
МВт
|
232882
|
3,07%
|
| КПД ПГУ
|
–
|
0,522
|
-0,08
|
| Температура питательной воды ВД
|
°C
|
106
|
0,18%
|
| Температура газов на входе в ГПК
|
°C
|
123
|
2,06%
|
| Энтропия пара ВД перед камерой смешения
|

|
7,19
|
-0,61%
|
| Относительный внутренний КПД нижнего отсека
|
–
|
0,84
|
-0,43%
|
| Тепловая мощность ПеВ
|
кДж/с
|
20938,55
|
-3,04%
|
| "–"–" ИВ
|
кДж/с
|
43421
|
-0,89%
|
| "–"–" ИН
|
кДж/с
|
18024
|
5,01%
|
| Относительное давление смешения
|
p
см
/p
0в
|
–
|
0,0212
|
-0,71%
|
| Мин. температурный напор на ИВ
|
град.
|
9,96
|
-0,04
|
| Недогрев до кипения в ЭкВ
|
град.
|
8,67
|
-1,33
|
| Мин. температурный напор на ИН
|
град.
|
10,46
|
0,46
|
| Недогрев до кипения в ЭкН
|
град.
|
10,41
|
0,41
|
Вывод
Итоги расчёта параметров ПГУ и их изменения по сравнению с номинальными при снижении температуры окружающего воздуха на приведены в следующей таблице.
Таблица 8. Итоги расчёта (величины и их приращения от номинальных)
| Параметр
|
Обозначение
|
ЕИ
|
Одноконтурный КУ
|
Двухконтурный КУ
|
| ВД
|
НД
|
| Температура свежего пара
|
t
0
|
°C
|
525(-10)
|
525(-10)
|
270(-1,52)
|
| Удельный расход пара
|
d
|
кг/кг
|
0,128
(-3,51%)
|
0,130
(-3,27%)
|
0,028
(+2,59%)
|
| Минимальный температурный напор в испарителе
|
δt
|
град.
|
10,07
(+0,07)
|
9,96
(-0,04)
|
10,46
(+0,46)
|
| Недогрев в экономайзере
|
δt
нед
|
град.
|
8,52
(-1,48)
|
8,67
(-1,33)
|
10,41
(+0,41)
|
| Температура уходящих газов
|
T
ух
|
°C
|
173(+2,0)
|
94(+1,2)
|
| Мощность ПСУ
|
N
э пт
|
кВт
|
64112(-2,26%)
|
74025(-0,65%)
|
| КПД ПГУ
|
ηпгу
|
–
|
0,500(-0,009)
|
0,522(-0,08)
|
При снижении температуры окружающего воздуха растёт расход газов и снижается их температура. Хотя в конвективных поверхностях нагрева при росте расхода усиливается теплообмен, для пароперегревателя влияние температуры сильнее, и t
0
падает. Аналогичным образом снижается удельное тепловосприятие испарителя, а значит, удельный расход пара. Однако для испарителя низкого давления из-за повышения энтальпии уходящих газов и снижения отбора от них тепла эффект получается уже противоположный; в любом случае растёт температура уходящих газов, и, следовательно, снижается КПД ПГУ. Снижение КПД менее выражено на одноконтурной установке, где рост абсолютного расхода пара компенсирует для паровой турбины снижение его параметров, но всё равно на двухконтурной он остаётся выше. При этом мощность всей ПГУ в зоне работы ГТУ при T
4
= const. растёт при снижении температуры перед компрессорами.
Список использованной литературы
1. Тепловые и атомные электрические станции: Справочник / Под общ. ред. В. А. Григорьева, В. М. Зорина. М., 1989.
2. Ривкин С. Л. Термодинамические свойства газов: Справочник. М., 1987.
3. Загорученко В. А., Журавлев А. М. Теплофизические свойства газообразного и жидкого метана. М., 1969.
4. Ромахова Г. А. Газотурбинные установки электростанций. СПб., 2008.
5. СНиП 23-01-99*. Строительная климатология.
6. Gas Turbines: Ansaldo Energia: A Finnmeccanica Company. Recco, 2008. (загружено по ссылке http://www.ansaldoenergia.com/PDF/Gas_Turbines.pdf)
 
 
Рис. 2. Графики поправочных коэффициентов для ГТУ

Рис. 5.
T
– H
диаграммы одноконтурного
котла-утилизатора
Рис. 6. Процессы расширения в паровой турбине одного давления

Рис. 8.
T
– H
диаграммы двухконтурного котла-утилизатора
Рис. 9. Процессы расширения в паровой турбине двух давлений
Приложение 1. Список формул для расчёта режима одноконтурной ПГУ
котёл
| Поверхн.
|
У.Т.Б.(пар/вода)
|
У.Т.Б.(газы)
|
Ур. теплообмена
|
Δp, насосы
|
Прочее
|
| Пе
|

|

|

|

|
, 
|
| И
|

|

|

|

|
, 

|
| Эк
|

|

|

|

|
, ,
|
| ГПК
|

|

|

|
–
|
, ,
|
деаэратор
У.М.Б.: ; У.Т.Б.: 
турбина
Давления: 
Уравнение Стодолы: 
Уравнение процесса: , y
к
= (h
″|p
к
– h
к сух
)(r
|p
к
+K
вл
ηоi
сух
(h
″ – h
к
|s
″
))
конденсатор
Ур. теплообмена: Q
к
= G
0
r
к
x
к
, 
У.М.Б.: 
Приложение 3. Список формул для расчёта режима двухконтурной ПГУ
котёл
| Поверхн.
|
У.Т.Б.(пар/вода)
|
У.Т.Б.(газы)
|
Ур. теплообмена
|
Δp, насосы
|
Прочее
|
| ПеВ
|

|

|

|

|
, 
|
| ИВ
|

|

|

|

|
, 

|
| ЭкВ2
|

|

|

|

|
, ,

|
| ПеН
|

|

|

|

|
, ,
|
| ИН
|

|

|

|

|
, 

|
| ЭкВ1
|

|

|

|

|
 , 
|
| ЭкН
|

|

|

|

|
, ,

|
| ГПК
|

|

|

|
–
|
, ,
|
деаэратор
У.М.Б.: ; У.Т.Б.: 
турбина
Давления: , 
Уравнение Стодолы: см. ajhveks (1, 2)
Смешение потоков: 
Уравнение процесса: , , y
к
= (h
″|p
к
– h
к сух
)(r
|p
к
+K
вл
ηоi
сух
(h
″ – h
к
|s
″
))
конденсатор
Ур. теплообмена: Q
к
= G
0в+н
r
к
x
к
, 
У.М.Б.: 
|