| ГАОУ ДПО «Саратовский институт повышения квалификации и переподготовки работников образования»
М Е Т О Д И Ч Е С К И Е Р Е К О М Е Н Д А Ц И И
ПО СОДЕРЖАНИЮ И ОРГАНИЗАЦИИ ДЕЯТЕЛЬНОСТИ ПРЕДМЕТНОЙ КОМИССИИ ПО МАТЕМАТИКЕ
РЕГИОНАЛЬНОЙ ЭКЗАМЕНАЦИОННОЙ КОМИССИИ ГОСУДАРСТВЕННОЙ (ИТОГОВОЙ) АТТЕСТАЦИИ
ЗА КУРС ОСНОВНОЙ ШКОЛЫ В 2011 ГОДУ
Автор-составитель: Алексеев И.Г.,
методист кафедры математического образования
Саратов
2011
В настоящем пособии представлены методические рекомендации
по содержанию и организации деятельности предметной комиссии
по математике региональной экзаменационной комиссии по проведению государственной (итоговой) аттестации обучающихся, освоивших программы основного общего образования в 2010/2011 учебном году.
Рекомендации предназначены для членов
предметной комиссии
по математике, учителей-предметников, специалистов и методистов органов местного самоуправления, осуществляющих управление в сфере образования. Материалы сборника помогут в организации работы предметной комиссии, а также в проведении эффективного обучения членов предметной комиссии в соответствии с планом-графиком подготовки и проведения государственной (итоговой) аттестации обучающихся, освоивших программы основного общего и среднего (полного) общего образования, на территории Саратовской области в 2010/2011 учебном году
СОДЕРЖАНИЕ
| 1.
|
Цели создания, состав и задачи предметной комиссии
|
4
|
| 2.
|
Методические рекомендации по организации деятельности предметной комиссии по математике
|
6
|
| 2.1.
|
Виды деятельности и функции лиц, привлекаемых к организационно-технологическому сопровождению проведения Аттестации и проверке экзаменационных работ
|
6
|
| 2.2.
|
Организационно-технологическое сопровождение проведения Аттестации.
|
8
|
| 2.3.
|
Проверка экзаменационных работ.
|
9
|
| 3.
|
Методические рекомендации по содержанию проверки предметной комиссией по математике
|
12
|
| 3.1.
|
Общие подходы к проверке и оцениванию работ обучающихся
|
12
|
| 3.2.
|
Оценивание выполнения заданий с развернутым ответом
|
14
|
| 3.3.
|
Критерии проверки и оценки выполнения заданий с развернутым отве
|
15
|
| Приложение 1.
Список литературы
|
30
|
| Приложение 2.
Список рекомендуемых сайтов
|
31
|
1. Цели создания, состав и задачи предметной комиссии
Основной целью государственной (итоговой) аттестации выпускников основной школы по математике (в новой форме) является проведение открытой и объективной процедуры оценивания учебных достижений школьников, обладающей широкими дифференцирующими возможностями, результаты которой будут непосредственно учитываться при формировании профильных классов старшей школы. Основательная и разносторонняя проверка знаний, умений и навыков на базовом уровне – это существенная и принципиальная особенность рассматриваемых экзаменационных материалов. Объем и содержание базовой подготовки наряду с овладением минимальной техникой (владение простейшими алгоритмами математических действий, преобразований и логических рассуждений) включает также идейно-понятийную и практико-ориентированную составляющие.
Забиваем Сайты В ТОП КУВАЛДОЙ - Уникальные возможности от SeoHammer
Каждая ссылка анализируется по трем пакетам оценки: SEO, Трафик и SMM.
SeoHammer делает продвижение сайта прозрачным и простым занятием.
Ссылки, вечные ссылки, статьи, упоминания, пресс-релизы - используйте по максимуму потенциал SeoHammer для продвижения вашего сайта.
Что умеет делать SeoHammer
— Продвижение в один клик, интеллектуальный подбор запросов, покупка самых лучших ссылок с высокой степенью качества у лучших бирж ссылок.
— Регулярная проверка качества ссылок по более чем 100 показателям и ежедневный пересчет показателей качества проекта.
— Все известные форматы ссылок: арендные ссылки, вечные ссылки, публикации (упоминания, мнения, отзывы, статьи, пресс-релизы).
— SeoHammer покажет, где рост или падение, а также запросы, на которые нужно обратить внимание.
SeoHammer еще предоставляет технологию Буст, она ускоряет продвижение в десятки раз,
а первые результаты появляются уже в течение первых 7 дней.
Зарегистрироваться и Начать продвижение
В целях обеспечения качественной оценки экзаменационных работ государственной (итоговой) аттестации обучающихся общеобразовательных учреждений, освоивших образовательные программы основного и среднего (полного) общего образования, министерством образования области ежегодно формируются предметные комиссии по каждому предмету аттестации (далее- Комиссии).
Предметные комиссии создаются с учетом предложений органов местного самоуправления, осуществляющих управление в сфере образования и учреждений профессионального образования, из числа наиболее квалифицированных и авторитетных специалистов в данных образовательных областях. Персональный состав и сроки работы Комиссий утверждает министерство образования Саратовской области на основании решений государственной и региональной экзаменационных комиссий (далее – ГЭК, РЭК).
Численный состав Комиссий определяется, исходя из числа участников государственной (итоговой) аттестации и ЕГЭ по соответствующему общеобразовательному предмету в текущем году, а также с учетом сроков и нормативов проверки экзаменационных работ. В состав Комиссий входят председатель, заместители председателя и члены Комиссии (эксперты). До начала проведения аттестации члены предметной комиссии обязаны пройти обучение в соответствии с планом-графиком подготовки и проведения государственной (итоговой) аттестации обучающихся. В соответствии с приказом министерства образования эксперты могут совмещать участие в проверке работ обучающихся IX классов с проверкой заданий с развёрнутым ответом ЕГЭ в соответствии со сроками работы комиссий. Во время аттестации председатель Комиссии осуществляет руководство проверкой экзаменационных работ обучающихся IX и XI (XII) классов
Сервис онлайн-записи на собственном Telegram-боте
Попробуйте сервис онлайн-записи VisitTime на основе вашего собственного Telegram-бота:
— Разгрузит мастера, специалиста или компанию;
— Позволит гибко управлять расписанием и загрузкой;
— Разошлет оповещения о новых услугах или акциях;
— Позволит принять оплату на карту/кошелек/счет;
— Позволит записываться на групповые и персональные посещения;
— Поможет получить от клиента отзывы о визите к вам;
— Включает в себя сервис чаевых.
Для новых пользователей первый месяц бесплатно.
Зарегистрироваться в сервисе
Комиссия в своей работе руководствуется:
· законодательством Российской Федерации;
· нормативными правовыми актами и инструктивно-методическими документами Министерства образования и науки РФ и Рособрнадзора по вопросам организации государственной (итоговой) аттестации обучающихся общеобразовательных учреждений, освоивших образовательные программы основного образования и ЕГЭ;
· положениями о государственной и региональной экзаменационных комиссиях;
· решениями государственной и региональной экзаменационных комиссий;
· положениями о порядке проведения государственной (итоговой) аттестации на территории Саратовской области;
· распорядительными актами и инструктивными документами министерства образования Саратовской области по вопросам организации и проведения государственной (итоговой) аттестации и ЕГЭ;
· положениями о конфликтной комиссии Саратовской области, муниципальной (окружной) конфликтной комиссии;
· «Положением о предметных комиссиях государственной и региональной экзаменационных комиссий», утверждённым приказом министерства образования Саратовской области 23.09.2010 № 2447.
Комиссия выполняет следующие задачи:
· обеспечивает независимый порядок проверки и оценивания экзаменационных работ участников государственного выпускного экзамена, заданий с развёрнутым ответом участников государственной (итоговой) аттестации и ЕГЭ;
· проводит анализ типичных ошибок и затруднений, возникающих у обучающихся и участников аттестации в ходе выполнения экзаменационных работ;
· разрабатывает рекомендации по совершенствованию подготовки школьников по данному предмету.
Комиссия вправе:
· готовить и передавать ГЭК и РЭК предложения по содержанию и структуре экзаменационных заданий, требований и критериев оценивания ответов для направления в Рособрнадзор;
· готовить рекомендации о мерах по совершенствованию методики подготовки по соответствующему общеобразовательному предмету для направления в муниципальные методические службы Саратовской области;
· сообщать в ГЭК и РЭК об обнаружении в экзаменационных работах некорректных заданий.
2. Методические рекомендации
по организации деятельности предметной комиссии
по математике
Деятельность Комиссии регламентируется Законом Российской Федерации «Об образовании» от 10.07.1992 № 3266-1, положением о государственной (итоговой) аттестации выпускников IX, XI (XII) классов общеобразовательных учреждений Российской Федерации, утверждённым приказом Минобразования России от 3 декабря 1999 года № 1075, зарегистрированным Минюстом России 17.02.2000 № 2114 (с изменениями и дополнениями в ред. приказов Минобразования России от 16.03.2001 г. № 1022, от 25.06.2002 г. № 2398, от 21.01.2003 г. № 135); приказом министерства образования и науки Российской Федерации (Минобрнауки России) от 24 февраля 2009 г. №57 «Об утверждении Порядка проведения единого государственного экзамена»; положением о формах и порядке проведения государственной (итоговой) аттестации обучающихся, освоивших основные общеобразовательные программы среднего (полного) общего образования, утверждённым приказом Министерства образования и науки Российской Федерации от 28.11.2008 г. № 362; приказом министерства образования Саратовской области от 30.09.10 № 2539 «О порядке проведения государственной (итоговой) аттестации обучающихся IX классов в 2011 году»; «Положением о предметных комиссиях государственной и региональной экзаменационных комиссий», утверждённым приказом министерства образования Саратовской области 23.09.2010 № 2447
2.1.
Виды деятельности и функции лиц, привлекаемых к организационно-технологическому сопровождению проведения Аттестации и проверке экзаменационных работ.
К организационно-технологическому сопровождению проведения Аттестации привлекаются следующие категории лиц:
· муниципальные координаторы проведения Аттестации,
· специалисты «Регионального центра оценки качества образования»: администратор по работе с базами данных участников Аттестации, администратор проекта, начальники смен, координаторы станции экспертизы,старший верификатор и верификаторы бланков, операторы сканирования бланков, ответственные за подготовку, выдачу и приёмку экзаменационных материалов, бухгалтерские работники.
К проверке экзаменационных работ привлекаются следующие категории лиц:
· председатели предметных комиссий,
· заместители председателей предметных комиссий,
· члены предметных комиссий (эксперты),
· методисты по предметам.
Председатель предметной комиссии:
· инструктирует членов предметной комиссии о порядке проведения проверки и оценивания экзаменационных работ;
· обеспечивает своевременную проверку экзаменационных работ;
· контролирует исполнение заместителями председателя предметной комиссии их функциональных обязанностей;
· отвечает за обеспечение режима хранения и информационной безопасности при проверке работ, передаче протоколов проверки в РЦОКО;
· информирует государственную экзаменационную комиссию, региональную экзаменационную комиссию, министерство образования области о ходе проверки экзаменационных работ, об обнаружении некорректных заданий в экзаменационных работах, о ситуациях, препятствующих своевременному исполнению комиссией своих обязанностей по проверке экзаменационных работ;
· участвует в работе конфликтных комиссий по запросу;
· отвечает за подготовку аналитического отчёта о результатах работы предметной комиссии.
Заместители председателя предметных комиссий
осуществляют:
· информирование членов комиссии о режиме работы;
· регистрацию членов комиссии по прибытии на проверку;
· распределение экспертов по аудиториям согласно спискам;
· получение экзаменационных материалов из РЦОКО;
· передачу экзаменационных материалов экспертам;
· консультирование членов комиссии;
· обобщение информации о рабочем времени членов комиссии;
· сбор данных о членах комиссии и подготовку договоров на оплату труда;
· замену экспертов в случае болезни;
· контроль режима работы и оформления экспертами протоколов проверки;
· выборочную перепроверку экзаменационных работ;
· передачу проверенных работ и экзаменационных материалов в РЦОКО;
· подготовку материалов к заседанию конфликтной комиссии;
· подготовку подробного аналитического отчета.
В связи с большим количеством обучающихся IX классов, проходивших государственную (итоговую) аттестацию по математике в 2010 году, была введена должность «старшего по аудитории».
Число старших по аудиториям было установлено исходя из количества аттестационных работ. Ими осуществлялась помощь заместителям председателя предметных комиссий в части
· приёма и передачи экзаменационных материалов экспертам;
· консультирования членов комиссии;
· контроля за проведением процедуры проверки в аудитории.
Члены предметных комиссий (эксперты)
· осуществляют проверку экзаменационных работ в соответствии с требованиями рекомендаций и инструкций организации-разработчика и оценивают их, придерживаясь установленных критериев оценивания выполнения экзаменационных заданий;
· независимо от других экспертов в соответствии с установленными требованиями оформляют протоколы проверки экзаменационных работ и информируют о результатах проверки заместителя председателя предметной комиссий;
· могут привлекаться к работе конфликтной комиссии;
Методисты
ГАОУ ДПО «СарИПКиПРО» привлекаются к работе предметных комиссий для анализа итогов Аттестации и подготовки методических писем по предметам.
2.2
. Организационно-технологическое сопровождение проведения Аттестации.
Муниципальные координаторы осуществляют доставку контрольных измерительных материалов в ППЭ и экзаменационных материалов всех ППЭ, действующих на территории муниципального района (городского округа), в РЦОКО в день проведения экзамена.
В РЦОКО ответственными за подготовку, выдачу и приёмку экзаменационных материалов осуществляется приёмка, проверка целостности доставочной упаковки и обработка экзаменационных материалов.
Операторами сканирования и верификаторами осуществляется подготовка электронных копий экзаменационных работ и протоколов проверки.
Обработка и проверка работ обучающихся IX классов может осуществляться с использованием технологии «со сканированием» или с использованием технологии «без сканирования». При использовании технологии «со сканированием» бланки ответов и бланки, содержащие формульные ответы (если таковое сканирование бланков этого типа было указано при подготовке экзамена) после проведения экзамена сканируются, распознаются и верифицируются в РЦОКО. При данной технологии эксперты оценивают выполнение заданий с развёрнутым ответом.
В случае использования технологии обработки и проверки «без сканирования» РЦОКО осуществляет шифровку работ обучающихся IX классов до начала их проверки экспертами предметных комиссий. В случае использования технологии «со сканированием» обработка и шифрование экзаменационных бланков осуществляется РЦОКО с использованием специальных аппаратно-программных средств.
В процессе обработки экзаменационных работ обучающихся IX классов по алгебре по технологии «со сканированием» эксперты дополнительно привлекаются к проверке бланков ответов №1 для проверки номеров, содержащих ответы в виде сложных математических выражений.
Начальник смены комплектует и представляет экзаменационные материалы, в том числе работы обучающихся для проверки экспертами предметной комиссии. Экзаменационные материалы передаются заместителю председателя предметной комиссии. Прием и передача экзаменационных материалов регистрируется в специальном журнале.
По окончании смены заместители председателей предметных комиссий предоставляют начальнику смены экзаменационные материалы, в том числе проверенные работы обучающихся и протоколы проверки.
Операторами сканирования осуществляется подготовка электронных копий результатов проверки. Начальник смены формирует электронные файлы-ведомости на основании протоколов проверки. Администратор баз данных осуществляет подготовку протоколов результатов экзаменов с данными по каждому обучающемуся.
На основании протоколов проверки экспертов и результатов РЦОКО формирует статистическую информацию по результатам проверки.
Непосредственно по завершению обработки и проверки экзаменационных работ участников Аттестации РЦОКО направляет протоколы проведения экзаменов в Региональную экзаменационную комиссию для утверждения и после утверждения – в органы местного самоуправления.
2.3. Проверка экзаменационных работ.
К проверке экзаменационных работ привлекаются эксперты в соответствии с приказом министерства образования Саратовской области «О составе предметных комиссий государственной и региональной экзаменационных комиссий».
Работа по проверке экзаменационных работ экспертами организуется посменно в дни, установленные графиком работы предметной комиссии, утверждаемым министерством образования.
Общая численность смены составляет не более 150 экспертов.
Эксперт получает индивидуальный комплект экзаменационных материалов с протоколом проверки у заместителя председателя предметной комиссии.
По завершению работы эксперт обязан сдать заместителю председателя предметной комиссии все проверенные экзаменационные работы с протоколами проверки.
Учет рабочего времени и количества проверенных работ фиксируется заместителем председателя предметной комиссии.
Предметная комиссия при проверке работ обучающихся руководствуется Положением о предметных комиссиях государственной и региональной экзаменационных комиссий и регламентами проведения государственной (итоговой) аттестации обучающихся IX классов по предметам, Порядком проведения единого государственного экзамена.
Председатель или заместитель предметной комиссии осуществляет инструктаж членов комиссии по порядку проведения проверки и оценивания экзаменационных работ.
Заместитель председателя предметной комиссии организует выдачу экспертам комплектов со сканированными копиями работ обучающихся, осуществляя учёт их передачи и приёма.
Распределение между экспертами рабочих комплектов с бланками развёрнутых ответов ЕГЭ, а также определение необходимости проверки третьим экспертом осуществляются автоматизированно, с использованием специализированных аппаратно-программных средств РЦОКО.
Член Комиссии (эксперт) вправе:
получать разъяснения по вопросам, касающимся процедуры проверки заданий с развернутым ответом, применения (использования) критериев оценивания экзаменационных работ, а также другие необходимые для работы материалы и документы, обсуждать с председателем Комиссии процедурные вопросы проверки экзаменационных работ;
требовать организации необходимых условий труда, согласовывать с председателем Комиссии план-график работ;
принимать участие в обсуждении аналитического отчета о работе Комиссии, типичных ошибок и затруднений, возникших у обучающихся в ходе выполнения экзаменационных заданий, вносить свои предложения.
Член Комиссии обязан:
объективно проверять выполнение работ обучающимися и участниками ЕГЭ в соответствии с требованиями рекомендаций и инструкций организации –разработчика и Рособрнадзора, оценивать их, придерживаясь установленных критериев оценивания выполнения экзаменационных заданий, фиксируя в работе выявленные ошибки;
профессионально и добросовестно выполнять возложенные на него функции, соблюдать этические и моральные нормы;
соблюдать конфиденциальность и установленный порядок обеспечения информационной безопасности при проверке экзаменационных работ;
информировать председателя Комиссии о проблемах, возникающих при проверке;
незамедлительно информировать руководство РЭК и ГЭК в письменной форме о случаях нарушения процедуры проверки и режима информационной безопасности, а также иных нарушениях в работе с документацией в деятельности Комиссии.
Член Комиссии может быть исключен из её состава в следующих случаях:
· предоставления о себе недостоверных сведений;
· утери подотчетных документов;
· невыполнения или ненадлежащего исполнения возложенных на него обязанностей;
· возникновения конфликта интересов (наличие близких родственников, которые участвуют в государственной (итоговой) аттестации в текущем году).
Решение об исключении члена предметной комиссии из её состава принимается ГЭК или РЭК на основании аргументированного представления председателя Комиссии.
В случае нарушения требований конфиденциальности и информационной безопасности, злоупотреблений установленными полномочиями, совершенных из корыстной или иной личной заинтересованности, члены Комиссии несут ответственность в соответствии с законодательством РФ.
Протоколы проверки и экзаменационные материалы передаются заместителю председателя предметной комиссии.
С целью контроля за объективностью проверки экспертами работ обучающихся IX классов заместителем председателя предметной комиссий осуществляется выборочная повторная проверка экзаменационных работ за рабочую смену. По итогам выборочных повторных проверок заместитель председателя предметной комиссии составляет протокол повторных проверок. В случае изменения оценки эксперта, в протоколы проверки вносится новая отметка. Заместитель председателя предметной комиссии знакомит эксперта с результатами повторной проверки.
По итогам проверки заместитель председателя готовит отчет о количестве работ, проверенных экспертами.
3. Методические рекомендации
по содержанию проверки предметной комиссией
по математике
Содержание экзаменационных заданий по математике находится в рамках содержания образования, обозначенного «Федеральным компонентом государственного стандарта общего образования. Математика. Основное общее образование; 2004».
Содержание экзамена по математике регламентируется следующими документами:
- Обязательный минимум содержания основного общего образования по математике (приложение к Приказу Минобразования России от 19.05.1998 №1276 «Об утверждении временных требований к обязательному минимуму содержания основного общего образования»).
- Федеральный компонент государственного стандарта общего образования. Математика. Основное общее образование (Приказ Минобразования России от 05.03.2004 №1089 «Об утверждении федерального компонента государственных образовательных стандартов начального общего, основного общего и среднего (полного) общего образования»).
3.1. Общие подходы к проверке и оцениванию работ обучающихся.
Федеральный институт педагогических измерений (ФИПИ), основной разработчик контрольно-измерительных материалов (КИМ) для проведения государственной (итоговой) аттестации обучающихся IX классов, размещает на сайте www.fipi.ru кодификаторы тем содержания, спецификации и демонстрационные варианты КИМов по предметам для аттестации за курс основной школы. В данных материалах представлены «Система оценивания экзаменационной работы» и «Решения и критерии оценивания к заданиям части 2». Кроме этого институт публикует и методические рекомендации для экспертов по проверке работ.
Член Комиссии обязан объективно проверять выполнение работ обучающимися в соответствии с требованиями рекомендаций ФИПИ и Рособрнадзора, оценивать их, придерживаясь установленных критериев. Поэтому экспертам необходимо заблаговременно ознакомиться с общими подходами в оценивании работ, обозначенными разработчиками в характеристиках работ данного года.
Экзаменационная работа по математике за курс основной школы состоит из двух частей. Первая часть работы содержит 18 заданий. В связи с включением заданий стохастической линии рекомендуемое время написания первой части увеличено до 90 минут. При этом, несмотря на большее число заданий в базовой части экзамена, критерии оценивания и схема перевода общего балла в отметку по пятибалльной шкале сохраняются прежними, такими же, как и при 16 заданиях в первой части.
Структура работы отвечает цели построения системы дифференцированного обучения в современной школе.
Часть 1 направлена на проверку овладения содержанием курса на уровне базовой подготовки. Она содержит 18 заданий, из них: 16 заданий в совокупности охватывающих следующие разделы курса: числа, буквенные выражения, преобразования алгебраических выражений, уравнения, неравенства, последовательности и прогрессии, функции и графики; 2 задания - по разделу «Элементы статистики и теории вероятностей». По формам заданий эта часть работы содержит 8 номеров с выбором ответа, 9 номеров с записью краткого ответа и один - на установление соответствия. При их выполнении запись решения не требуется. Учащиеся должны давать только ответы – выбрать правильный из четырех предложенных, или кратко записать ответ, или соотнести некоторые объекты. Задания сгруппированы в соответствии с разделами содержания. В процессе обработки экзаменационных работ обучающихся IX классов по алгебре по технологии «со сканированием» эксперты дополнительно привлекаются к проверке бланков ответов №1, для проверки номеров, содержащих ответы в виде сложных математических выражений. Суммирование баллов за выполнение заданий первой части производится автоматически без непосредственного участия эксперта.
Часть 2
направлена на проверку владения навыками выполнения заданий высокого и повышенного уровня. Основное ее назначение – дифференцировать степень математической подготовки участника экзамена для более точного определения профиля его дальнейшего обучения. В этой части работы содержится 5 заданий разного уровня сложности, требующих развернутого ответа (с записью решения).
Все пять заданий представляют разные разделы содержания. Каждое из них относится к одному из следующих семи разделов: выражения и их преобразования
; уравнения
; неравенства
; функции
; координаты и графики
; арифметическая и геометрическая прогрессии
; текстовые задачи
.
Все задания этой части носят комплексный характер. Они позволяют проверить владение формально-оперативным алгебраическим аппаратом, способность к применению знаний из различных тем школьного курса математики, владение достаточно широким набором приемов и способов рассуждений, а также умение математически грамотно записать решение.
Уровень трудности заданий второй части работы основывается на результатах мониторинга экзаменов по математике в IX классе прошлых лет. Уровень трудности двух последних заданий, включенных в работу в связи с расширением диапазона уровней проверки математической подготовки учащихся, определяется в ходе пилотных проверок и уточняется ежегодно по результатам проведения экзамена.
С целью соблюдения единства требований к письменным ответам участников экзамена эксперты осуществляют проверку работ в соответствии с «Критериями оценивания» для экзаменационных заданий от разработчиков КИМов.
При оценивании выполнения заданий по математике и схеме перевода общего балла в отметку по пятибалльной шкале в 2011 году сохраняются принципы оценивания работ обучающихся итоговой аттестации 2010 года. Количество баллов за выполнение заданий экзаменационной работы приведены в таблице 1, схема перевода общего балла в отметки по 5-балльной шкале приведена в таблице 2.
Таблица 1
. Начисление баллов за задания работы
| Задания
|
Часть 1
(задания с выбором ответа и кратким ответом)
|
Часть 2
(задания с развернутым ответом)
|
За всю
работу
|
| Задания 1 – 18
|
19
|
20
|
21
|
22
|
23
|
| Максимальное число баллов
|
1 балл
|
2
|
3
|
3
|
4
|
4
|
34
|
Таблица 2
. Схема перевода общего балла в отметки по 5-балльной шкале
| Общий балл
|
Выполнено менее 8 заданий в части 1 (менее 8 баллов за часть 1)
|
При выполнении минимального критерия
|
| 8 – 14 баллов
|
15 – 21 балла
|
22 – 34 балла
|
| Отметка
|
«2»
|
«3»
|
«4»
|
«5»
|
3.2. Оценивание выполнения заданий с развернутым ответом
Требования к выполнению заданий с развернутым ответом заключаются в следующем: решение должно быть математически грамотным и полным, из него должен быть понятен ход рассуждений учащегося. Оформление решения должно обеспечивать выполнение указанных выше требований, а в остальном может быть произвольным. Не следует требовать от учащихся слишком подробных комментариев (например, описания алгоритмов). Лаконичное решение, не содержащее неверных утверждений, все выкладки которого правильны, следует рассматривать как решение без недочетов.
Если решение ученика удовлетворяет этим требованиям, то ему выставляется полный балл, которым оценивается это задание: № 19 – 2 балла, № 20 и 21 – 3 балла, № 23 и 24 – 4 балла. Если в решении допущена описка или ошибка, не влияющая на правильность общего хода решения (даже при неверном ответе) и позволяющая, несмотря на ее наличие, сделать вывод о владении материалом, то учащемуся засчитывается балл, на 1 меньший указанного.
Ниже описаны некоторые общие подходы, являющиеся основанием для выставления сниженного на единицу балла.
Задание 19 (2 балла)
. За решение выставляется 1 балл
, если оно не содержит ошибок, но при этом не является полным, например, отсутствует ответ на дополнительный вопрос (при его наличии); или: в решении имеется одна описка/ошибка, не влияющая принципиально на ход решения, с ее учетом все дальнейшие шаги выполнены верно, решение доведено до конца.
Задания 20 и 21 (3 балла)
. За решение выставляется 2 балла
, если в нем нет ошибок, но при этом оно не является полным, например, отсутствует ответ на дополнительный вопрос (при его наличии); или: ход решения верный, получен ответ, но имеется описка или непринципиальная ошибка (например, ошибка в вычислении), и с ее учетом дальнейшие шаги выполнены верно, решение доведено до конца.
Задания 22 и 23 (4 балла)
. За решение выставляется 3 балла
, если решение «почти верное», т.е. ход решения правильный, оно доведено до конца, но при этом имеется одна непринципиальная вычислительная ошибка/описка, с ее учетом дальнейшие шаги выполнены верно; или имеются погрешности в применении символики и терминологии.
В критериях оценивания по каждому конкретному заданию второй части экзаменационной работы, приводимых ниже, эти общие позиции конкретизируются и пополняются с учетом содержания задания. Критерии разработаны применительно к одному из возможных решений, а именно, к тому, которое описано в рекомендациях. При наличии в работах учащихся других решений критерии вырабатываются предметной комиссией с учетом описанных общих подходов. Решения учащихся могут содержать недочеты, не отраженные в критериях, но которые, тем не менее, позволяют оценить результат выполнения задания положительно (со снятием одного балла). В подобных случаях решение о том, как квалифицировать такой недочет, принимает предметная комиссия.
3.3. Критерии проверки и оценки выполнения заданий с развернутым ответом
Методисты «Федерального института педагогических измерений» рекомендуют экспертам предметной комиссии по математике рассмотреть следующие примеры применения критериев оценивания заданий с развёрнутым ответом демонстрационных вариантов:
Задание 19
1
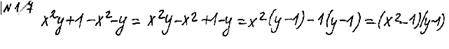
. Разложите на множители
: .
//Ответ
: .
//Решение
. .
| Баллы
|
Критерии оценки выполнения задания
|
| 2
|
Правильно и до конца (получено три множителя) выполнено разложение на множители.
|
| 1
|
Ход решения верный, не содержит ошибок, но разложение на множители не доведено до конца (выражение представлено в виде произведения двух множителей).
|
| 0
|
Другие случаи, не соответствующие указанным критериям.
|
Комментарий
. Ошибка в знаках при группировке слагаемых считается существенной, при ее наличии решение не засчитывается.
Примеры выполнения заданий учащимися
Пример 1
.

За решение выставляется 1 балл, так как оно не содержит ошибок, но разложение на множители не доведено до конца.
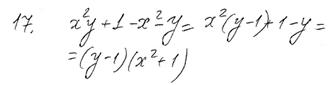
Пример 2
.

За решение выставляется 0 баллов; допущена ошибка в знаках при группировке слагаемых (см. комментарий к критериям).
2
. Сократите дробь
.
//Ответ
: .
//Решение
. Корни квадратного трехчлена : х
1
= 1, х
2
= . Имеем:
.
Замечание
. Учащийся может разложить на множители трехчлен каким-либо иным способом. Например: 5x
2
– 3x
– 2 = (3x
2
– 3x
) + (2x
2
– 2) = 3x
(x
– 1) + 2(x
2
– 1) = (x
– 1)(3x
+ 2(x
+ 1)) = ….
| Баллы
|
Критерии оценки выполнения задания
|
| 2
|
Правильно выполнено разложение на множители числителя и знаменателя дроби, получен верный ответ.
|
| 1
|
Допущена описка или ошибка вычислительного характера при нахождении корней квадратного трехчлена, но разложение его на множители с учетом этой ошибки выполнено верно, решение при этом может оказаться не доведенным до конца.
|
| 0
|
Другие случаи, не соответствующие указанным критериям
|
Комментарий
. Учащиеся не обязаны указывать область определения сокращаемой дроби.
Примеры выполнения заданий учащимися
Пример 1
.
Сокращение дроби выполнено верно. Но так как при указании ОДЗ допущена ошибка (хотя нахождение области определения дроби в данном случае не требуется), за решение выставляется 1 балл.
Задания 20 и 21
1
. Решите неравенство
.
//Ответ
: . Другая возможная форма ответа: .
//Решение.
1) Определим знак разности . Так как и , то .
2) Получаем неравенство: . Отсюда .
| Баллы
|
Критерии оценки выполнения задания
|
| 3
|
Ход решения верный, оба его шага выполнены, получен верный ответ.
|
| 2
|
Ход решения верный, правильно выполнен первый шаг, но при решении линейного неравенства допущена вычислительная ошибка или описка.
|
| 0
|
Другие случаи, не соответствующие указанным критериям.
|
Примеры выполнения заданий учащимися
Пример 1.

Допущена ошибка вычислительного характера на последнем шаге решения. Оценка снижается на 1 балл, за решение выставляется 2 балла.
Замечание
. Можно не требовать дополнительных пояснений в предъявленной цепочке выкладок, так как, по всей видимости, учащийся знает, что , и для него очевидно, что .
Пример 2

Допущена ошибка принципиального характера в алгоритме решения неравенства. За решение выставляется 0 баллов.
2
. Постройте график функции
, где

При каких значениях х функция принимает значения, меньшие
2?
//Ответ
: график изображен на рисунке 1; при .
| Рис. 1
|

|
| Баллы
|
Критерии оценки выполнения задания
|
| 3
|
Правильно построен график, дан правильный ответ на вопрос.
|
| 2
|
Правильно построен график, но отсутствует ответ на вопрос;
Или: при правильно вычисленных координатах точек графика допущена неточность в построении, ответ дан с учетом этой неточности.
Или: при записи ответа допущена погрешность, например, вместо круглой скобки поставлена квадратная.
|
| 0
|
Другие случаи, не соответствующие указанным критериям.
|
Комментарий
. 1) Отсутствие пояснений и письменных вычислений при правильном построении графика и правильном ответе на вопрос не должно служить основанием для снижения балла.
2) Ответ на вопрос задания может быть получен как путем вычислений, так и с опорой на график.
3) Ответ на вопрос может быть записан в любой правильной форме.
4) Принципиальная ошибка при ответе на вопрос (например, значения взяты не по той оси) считается существенной; решение при этом не засчитывается и оценивается 0 баллов.
Примеры выполнения заданий учащимися
Пример 1.

За решение выставляется 0 баллов. Учащийся должен был выделить каким-либо способом (например, жирно) собственно график заданной функции.
Пример 2
.

График построен правильно, отсутствует ответ на вопрос. В соответствии с критериями выставляется 2 балла.
Пример 3
.
График построен правильно, но при ответе на вопрос допущена одна из следующих ошибок:
а) ;
б) ;
в) .
В случае а) в соответствии с критериями может быть выставлено 2 балла. В случаях б) и в) допущены принципиальные ошибки; выставляется 0 баллов.
3
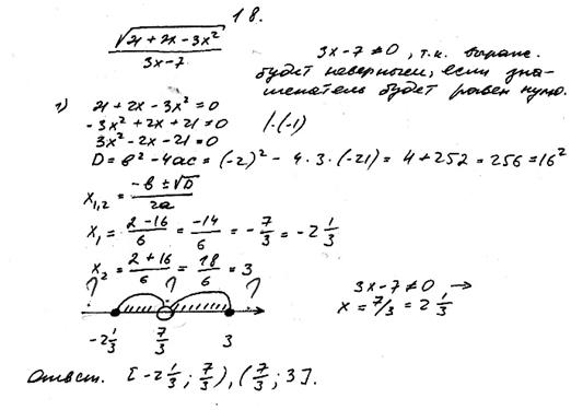
. Найдите область определения выражения
: .
//Ответ
: .
//Решение
. Область определения выражения задается условиями .
Решим неравенство : ; х
1
= , х
2
= 3; [ ];
Из условия имеем .
Отсюда: .
Замечание
. Ответ может быть представлен в форме: .
| Баллы
|
Критерии оценки выполнения задания
|
| 3
|
Учтены оба условия, задающие область определения данного выражения, все выкладки выполнены верно, получен верный ответ.
|
| 2
|
Ход решения правильный, решение доведено до конца, но допущена ошибка в символической записи ответа;
или допущена описка или ошибка вычислительного характера (например, при вычислении корней квадратного трехчлена) и с ее учетом дальнейшие шаги выполнены верно;
или при определении области определения квадратного корня рассмотрено строгое неравенство.
|
| 0
|
Другие случаи, не соответствующие указанным критериям.
|
Комментарий
. Ошибки в алгоритме решения квадратного неравенства, в применении формулы корней квадратного уравнения считаются существенными и решение при их наличии не засчитывается.
Примеры выполнения заданий учащимися
Пример 1

За решение выставляется 2 балла. Ход рассуждений понятен, он правильный, получен верный ответ. Балл снижен за некорректное пояснение, приведенное в начале решения.
Замечание
. Вопросительные знаки поставлены на схеме экспертом; мы в этом рисунке недочетов не видим.
Пример 2
.
За решение выставляется 0 баллов; в нем содержится более одной ошибки, поэтому оно соответствует графе «Другие случаи, не соответствующие указанным критериям». Учащимся, во-первых, допущена вычислительная ошибка при нахождении корней квадратного трехчлена; во-вторых, решив квадратное неравенство (с учетом найденных корней) и правильно наложив ограничение на знаменатель дроби, он не сумел объединить полученные результаты в правильный вывод.
4
. Найдите сумму всех отрицательных членов арифметической прогрессии
– 8,6; – 8,4; … .
//Ответ
: .
//Решение. 1) Найдем разность прогрессии: .
2) Найдем число отрицательных членов прогрессии.
Составим формулу n
-го члена: = .
Решим неравенство ; получим . Значит, .
3) = .
| Баллы
|
Критерии оценки выполнения задания
|
| 3
|
Ход решения правильный, все его шаги выполнены верно, получен верный ответ.
|
| 2
|
Ход решения правильный, решение доведено до конца, но допущена одна описка или непринципиальная ошибка вычислительного характера, с ее учетом дальнейшие шаги выполнены верно.
|
| 0
|
Другие случаи, не соответствующие указанным критериям.
|
Комментарий
. 1) Учащийся имеет право воспользоваться другой формулой суммы первых n
членов арифметической прогрессии.
2) Ошибки в применении формул, в том числе в подстановке числовых значений в формулы, считаются существенными, решение не засчитывается и оценивается 0 баллов.
Примеры выполнения заданий учащимися
Пример 1.
Ход решения верный, но допущена вычислительная ошибка (при нахождении разности арифметической прогрессии), с ее учетом решение доведено до конца. Выставляется 2 балла.
Задания 22 и 23
1
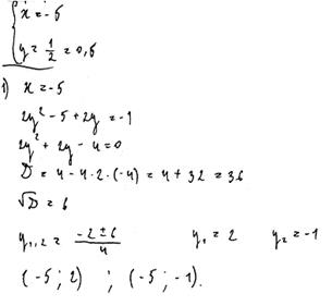
. Решите систему уравнений
: .
//Ответ
: . Другие возможные формы записи ответа: ; ; ;
или , , .
//Решение
. На основании условия равенства произведения нулю получим:
или .
Решим первую систему. Из первого уравнения имеем x
= –5; подставив это значение x
во второе уравнение, получим уравнение . Его корни: y
1
= –2, y
2
= 1. Получаем два решения системы уравнений (–5; –2) и (–5; 1).
Решив вторую систему, получим: y
= 0,5; x
= –2,5. Получаем еще одно решение системы уравнений: (–2,5; 0,5).
Таким образом, система имеет три решения: .
| Баллы
|
Критерии оценки выполнения задания
|
| 4
|
Правильно выполнен переход от данной системы к равносильной ей дизъюнкции (совокупности) двух систем, все дальнейшие шаги выполнены верно, получен верный ответ.
|
| 3
|
Ход решения правильный, решение доведено до конца, найденные значения переменных правильно объединены в пары, но: или допущена одна непринципиальная вычислительная ошибка (например, при нахождении корней квадратного уравнения) или описка, с ее учетом все дальнейшие шаги выполнены верно;
или допущены погрешности логического характера в употреблении символики (если она применяется).
|
| 0
|
Другие случаи, не соответствующие указанным критериям.
|
Комментарий
. Ошибки при объединении найденных значений переменных в пары считаются существенными; в этом случае решение не засчитывается. Если имеется более двух вычислительных ошибок или решение не доведено до конца, то оно не засчитывается.
Примеры выполнения заданий учащимися
Пример 1
.
За решение выставляется 3 балла; допущены ошибки в употреблении символики.
Пример 2
.

За решение можно выставить 3 балла: ход решения правильный, и, по сути, верный ответ получен. Но решение содержит логическую ошибку: выполнив проверку (которая в данном случае не является составной частью решения и может служить только цели самоконтроля), учащийся допустил вычислительную ошибку и сделал неправильный вывод о наличии постороннего решения, которого в принципе в данной ситуации быть не может.
Замечание
. За нерациональное решение баллы не снимаются. Хотя хотелось бы, чтобы для сильного учащегося наличие уравнения сразу же служило сигналом к попытке применить условие равенства нулю произведения. Приведенное решение показывает (и это не единичный случай), что не наработаны некоторые стандартные приемы, обязательные для подготовки сильного ученика.
2
. Из пункта А в пункт В, расположенный ниже по течению реки, отправился плот. Одновременно навстречу ему из пункта В вышел катер. Встретив плот, катер сразу повернул и поплыл назад. Какую часть пути от А до В пройдет плот к моменту возвращения катера в пункт В, если скорость катера в стоячей воде вчетверо больше скорости течения реки
?
//Ответ
: плот пройдет всего пути.
//Решение. Пусть скорость течения реки (и плота) х
км/ч. Тогда скорость катера против течения равна 4х
– х
= 3х
км/ч, а по течению 4х
+ х
= 5х
км/ч. Следовательно, скорость катера против течения в 3 раза больше скорости плота, а по течению – в 5 раз больше скорости плота. Если плот до встречи проплыл S
км, то катер – в 3 раза больше, т.е. 3S
км. После встречи катер пройдет 3S
км, а плот – в 5 раз меньше, т.е. км. Всего плот пройдет . Отношение пройденного плотом пути ко всему пути равно .
Другое возможное решение
. Пусть скорость течения реки (и плота) х
км/ч. Тогда скорость катера против течения равна 4х
– х
= 3х
км/ч, а по течению 4х
+ х
= 5х
км/ч. Скорость сближения катера и плота равна х
+ 3х
= 4х
км/ч. Встреча произошла через ч. За это время плот проплыл км, а катер – км. Обратный путь катер пройдет за ч. Плот за это время проплывет расстояние, равное км, а всего он проплывет км.
| Баллы
|
Критерии оценки выполнения задания
|
| 4
|
Ход решения верный, все его шаги выполнены, получен верный ответ.
|
| 3
|
Ход решения верный, все его шаги выполнены, но допущена одна ошибка – в преобразованиях или в вычислениях, с ее учетом дальнейшие шаги выполнены правильно.
|
| 0
|
Другие случаи, не соответствующие указанным критериям.
|
Примеры выполнения заданий учащимися
Пример 1.
Ход решения верный, введены нужные обозначения, приведены пояснения, но допущена вычислительная ошибка, с ее учетом решение доведено до конца. Можно выставить 3 балла.
Пример 2
.

Не найдена скорость катера против течения реки; решение оценивается 0 баллами.
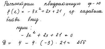
2.
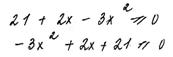
Найдите все значения а, при которых неравенство
х2
+ (2а
+ 4)х
+ 8а
+ 1 ≤ 0 не имеет решений
.
//Ответ
: ; другая возможная форма ответа: (1; 3).
//Решение
.
График функции у
= х
2
+ (2а
+ 4)х
+ 8а
+ 1 – парабола, ветви которой направлены вверх. Значит, данное неравенство не имеет решений в том и только том случае, если эта парабола целиком расположена в верхней полуплоскости. Отсюда следует, что дискриминант квадратного трехчлена х
2
+ (2а
+ 4)х
+ 8а
+ 1 должен быть отрицателен.
Имеем: .
Решив квадратное неравенство, получаем .
Замечание
. Учащийся может воспользоваться формулой дискриминанта .
Другое возможное решение
. Найдем ординату вершины параболы у
0
и выясним, при каких значениях а
выполняется неравенство у
0
> 0.
| Баллы
|
Критерии оценки выполнения задания
|
| 4
|
Найден правильный способ решения, все шаги выполнены верно, получен правильный ответ.
|
| 3
|
Найден правильный способ решения, все шаги выполнены верно, но допущена одна ошибка технического характера (вычислительная или в преобразованиях), при этом решение доведено до конца (ответ может отличаться от правильного).
|
| 0
|
Другие случаи, не соответствующие указанным критериям.
|
Комментарий.
Ошибки при составлении дискриминанта квадратного трехчлена или в применении алгоритма решения квадратного неравенства являются существенными, и при их наличии за решение выставляется 0 баллов.
Примеры выполнения заданий учащимися
Пример 1.



Все шаги решения выполнены верно (хотя есть погрешность в терминологии), получен правильный ответ. За решение можно выставить 4 балла.
Пример 2.

За решение выставляется 0 баллов. Учащийся не владеет приемом решения квадратного неравенства, допускает ошибки в применении формулы корней квадратного уравнения.
Список литературы
1. Государственная итоговая аттестация (по новой форме): 9 класс. Тематические тренировочные задания. Алгебра / ФИПИ автор - составители: Л.В. Кузнецова, С.Б.Суворова, Е.А.Бунимович и др. – М.: Эксмо, 2008.
2. Методические рекомендации для экспертов территориальных предметных комиссий по проверке выполнения заданий с развернутым ответом экзаменационных работ выпускников IX классов общеобразовательных учреждений //Кузнецова Л.В., Суворова С.Б., Рослова Л.О./М.: ФИПИ, 2010.
3. Алгебра. Сборник заданий для подготовки к государственной итоговой аттестации в 9 классе /Л.В.Кузнецова, С. Б. Суворова, Е. А. Бунимович и др. –М.: Просвещение, 2009.
4. ГИА. Математика. Государственная итоговая аттестация (в новой форме). 9 класс. Практикум по выполнению типовых тестовых заданий/ Л.Д. Лаппо, М.А. Попов. — М.: Издательство «Экзамен».2011.
5. Государственная итоговая аттестация. 9 класс. Математика. Тематические тестовые задания/ Л.Д. Лаппо, М.А. Попов. — М.: Издательство «Экзамен», 2011.
6. Государственная итоговая аттестация (в новой форме). Математика: сборник заданий/ Л.Д. Лаппо, М.А. Попов. — М.: Издательство «Экзамен», 2010.
7. ГИА. Алгебра. Тематическая рабочая тетрадь для подготовки к экзамену (в новой форме). 9 класс/ И.В. Ященко, А.В.Семенов, П.И. Захаров. – М: МЦНМО, Издательство «Экзамен», 2010.
8. Алгебра. Тематический контроль (в новой форме): 9 класс: к учебнику «Алгебра»: учебник для 9 кл. общеобразовательных учреждений/ под ред. С.А. Теляковского/ Ю.П.Дудницын, В.Л. Кронгауз. – М: Издательство «Экзамен», 2009.
9. Алгебра. Тематические тренировочные задания. 9 класс / С.С. Минаева, Л.О. Рослова. — М.: Издательство «Экзамен». — 141;
10. Государственная итоговая аттестация (в новой форме). Математика: сборник заданий / Л.Д. Лаппо, М.А. Попов. — М.: Издательство «Экзамен». — 158, (Серия «ГИА. Сборник заданий»).
11. ГИА-2010: Экзамен в новой форме: Геометрия: 9-й кл.: Тренировочные варианты экзаменационных работ для проведения государственной итоговой аттестации в новой форме/ Г.К. Безрукова, Н.Б. Мельникова, Н.В. Шмелёва. – М.: АСТ: Астрель, 2010 -62 [2] с.
12. Ткачева М. В., Федорова Н. Е. Алгебра, 7–9 кл.: Элементы статистики и
Список рекомендуемых сайтов
http
://
www
.
edu
.
ru
-
Центральный образовательный портал, содержит нормативные документы Министерства образования и науки РФ, стандарты, информацию о проведении экзамена.
http
://
www
.
fipi
.
ru
- портал Федерального государственного научного учреждения «Федеральный институт педагогических измерений» осуществляет информационную поддержку ЕГЭ и государственной (итоговой) аттестации за курс основной школы.
http
://
www
.
center
.
fio
.
ru
/
som
-
методические рекомендации учителю-предметнику (представлены все школьные предметы). Материалы для самостоятельной разработки профильных проб и активизации процесса обучения в старшей школе.
http
://
www
.
internet
-
scool
.
ru
-
сайт Интернет – школы издательства Просвещение. Учебный план школы разработан на основе федерального базисного учебного плана для общеобразовательных учреждений РФ и представляет область знаний «Математика». На сайте представлены интернет-уроки по алгебре и началам анализа и геометрии.
http
://
www
.
intellectcentre
.
ru
– сайт издательства «Интеллект-Центр». На этом сайте можно найти учебно-тренировочные материалы, демонстрационные версии экзаменационных работ, банк тренировочных заданий с ответами, методические рекомендации для учителей и образцы решений заданий.
http
://
www
.
mccme
.
ru
– портал Московского центра непрерывного математического образования.
http://edu.seun.ru
– портал министерства образования Саратовской области.
|