| ВСЕРОССИЙСКИЙ ЗАОЧНЫЙ ФИНАНСОВО-ЭКОНОМИЧЕСКИЙ ИНСТИТУТ
ФИНАНСОВО-КРЕДИТНЫЙ ФАКУЛЬТЕТ
Кафедра «Финансовый менеджмент»
КУРСОВАЯ РАБОТА ПО ДИСЦИПЛИНЕ
«ТЕОРИЯ ИНВЕСТИЦИЙ»
Вариант 5
НА ТЕМУ «Фьючерсные контракты в управлении финансовыми рисками»
Выполнила: Куранова Юлия Романовна
№ группы 552
Руководитель: к.э.н., доцент
Фёдорова Елена Анатольевна
СОДЕРЖАНИЕ:
Введение………………………………………………………………………..3
1. Фьючерсные контракты…………………………………………………….…5
1.1. Общая характеристика фьючерсного контракта……………………… .5
1.2. Формирование рынка финансовых фьючерсов…………………… ….12
1.3. Инфраструктура фьючерсного рынка……………………………… …16
2. Фьючерсные контракты в управлении финансовыми рисками………..….18
2.1. Основные понятия и особенности хеджирования фьючерсными контрактами………………………………………………………………18
2.1.1. Метод оценки по фьючерсным контрактам………………….… .20
2.1.2. Хеджирование и биржевая спекуляция………………………. …20
2.2. Торговые стратегии…………… ……………………………..… …24
3. ФЬЮЧЕРСНЫЙ ТОВАРНЫЙ РЫНОК В СОВРЕМЕННОЙ РОССИИ. ПРОБЛЕМЫ И ПЕРСПЕКТИВЫ РАЗВИТИЯ. …… …………………………...…. 29
Заключение…………………………………………………….……………..34
Практическая часть………………………………….……………………….35
Список использованной литературы………………………….…………….45
Введение
Объектом изучения в данной курсовой работе являются фьючерсные контракты и их место в системе управления финансовыми рисками.
Современная мировая экономика характеризуется значительными ценовыми колебаниями, как в развитых странах, так и в развивающихся. Различия в деловых циклах экономик разных стран и регионов, а также самостоятельная, часто не согласованная между странами, экономическая политика создают все необходимые условия для постоянства этих колебаний. Время от времени такие колебания вызывают периодические региональные кризисы, оказывающие разрушительное воздействие, как на отдельные компании, так и на экономику стран региона.
В эпоху глобализации мировой экономики, когда деловое сообщество охватывает своей деятельностью все большее число стран, значение риска, исходящего из изменений цен на различные группы товаров, стремительно возрастает. Вовлечение в мировые рынки бывших социалистических стран, либерализация их экономик и экономик стран третьего мира, рост мировой торговли, формирование новой модели международного разделения труда, усиление взаимопроникновения потоков капитала между различными странами повышают неопределенность на мировом рынке. В этой ситуации предсказать, спрогнозировать динамику ценовых изменений, иногда даже в краткосрочной перспективе, представляется довольно сложной задачей. Компании, сталкивающиеся в ходе своей деятельности с ценовым риском, вынуждены уделять все большее внимание управлению этим риском.
Забиваем Сайты В ТОП КУВАЛДОЙ - Уникальные возможности от SeoHammer
Каждая ссылка анализируется по трем пакетам оценки: SEO, Трафик и SMM.
SeoHammer делает продвижение сайта прозрачным и простым занятием.
Ссылки, вечные ссылки, статьи, упоминания, пресс-релизы - используйте по максимуму потенциал SeoHammer для продвижения вашего сайта.
Что умеет делать SeoHammer
— Продвижение в один клик, интеллектуальный подбор запросов, покупка самых лучших ссылок с высокой степенью качества у лучших бирж ссылок.
— Регулярная проверка качества ссылок по более чем 100 показателям и ежедневный пересчет показателей качества проекта.
— Все известные форматы ссылок: арендные ссылки, вечные ссылки, публикации (упоминания, мнения, отзывы, статьи, пресс-релизы).
— SeoHammer покажет, где рост или падение, а также запросы, на которые нужно обратить внимание.
SeoHammer еще предоставляет технологию Буст, она ускоряет продвижение в десятки раз,
а первые результаты появляются уже в течение первых 7 дней.
Зарегистрироваться и Начать продвижение
Периодически возникающие кризисы на мировом рынке придают особую важность проблемам эффективного управления ценовыми рисками. В настоящее время в мире практически не осталось закрытых экономик. Все страны активно участвуют в международной торговле, мировая специализация стран усиливается, открытость экономик растет. Все это обостряет проблему экспортно-импортной зависимости отдельных стран. Многие страны настолько тесно интегрировались в мировую экономическую систему, что не могут теперь обойтись без потребления импортной продукции. Не в последнюю очередь это относится и к России, импортирующей продовольствие и продукцию высокой степени переработки и экспортирующей сырьевые товары.
В целях исследования данной темы были поставлены следующие задачи:
· дать общую характеристику фьючерсного контракта и его составляющих;
· изучить формирование и инфраструктуру фьючерсного рынка;
· рассмотреть основы организации фьючерсной торговли;
· изучить особенности хеджирования фьючерсными контрактами, как основного инструмента в управлении финансовыми рисками;
· раскрыть понятия хеджирования и биржевой спекуляции;
· отразить основные фьючерсные торговые стратегии;
· осветить проблемы организации фьючерсной торговли в современных условиях развития срочного рынка.
Цель и задачи работы определили её структуру. Курсовая работа состоит из следующих частей:
- Введение, в котором определяется объект исследования, описываются цели, задачи, структура курсовой работы;
- Теоретическая часть, в которой излагается понятийный материал учебных и методических пособий;
- Практическая часть, где производится решение задач на основе материала, представленного в методическом пособии по выполнению данной курсовой работы в соответствии с заданным вариантом;
- Заключение, содержащее общие выводы в целом по работе;
-Список использованных информационных источников.
1. Фьючерсные контракты
1.1. Общая характеристика фьючерсного контракта
Фьючерсными
называют сделки, связанные с взаимной передачей прав и обязанностей в отношении стандартных контрактов на поставку биржевого товара. При этом такие сделки в отличие от сделок на реальный товар не предусматривают обязательства сторон поставить или принять реальный товар (в срок, обусловленный контрактом), а предполагают куплю и продажу прав на товар (бумажные сделки)
Сервис онлайн-записи на собственном Telegram-боте
Попробуйте сервис онлайн-записи VisitTime на основе вашего собственного Telegram-бота:
— Разгрузит мастера, специалиста или компанию;
— Позволит гибко управлять расписанием и загрузкой;
— Разошлет оповещения о новых услугах или акциях;
— Позволит принять оплату на карту/кошелек/счет;
— Позволит записываться на групповые и персональные посещения;
— Поможет получить от клиента отзывы о визите к вам;
— Включает в себя сервис чаевых.
Для новых пользователей первый месяц бесплатно.
Зарегистрироваться в сервисе
Ныне фьючерсные биржи преобладают и действуют практически во всех странах Запада. Они позволяют быстрее реализовывать товар, уменьшать риск потерь от неблагоприятных изменений цен, ускорять возврат авансированного капитала в денежной форме в количестве, максимально близком первоначально авансированному капиталу, плюс соответствующую прибыль.
Кроме того, фьючерсная торговля позволяет ускорять возврат авансированного капитала в денежной форме в количестве, максимально близком первоначально авансированному капиталу плюс соответствующая прибыль. При этом происходит своеобразное разделение функций между банком и биржей: банк кредитует только ту часть товарной стоимости, которая, по его мнению, будет возмещена независимо от конъюнктурных колебаний, а фьючерсная биржа покрывает разницу между банковским кредитом и ценой реализации товара. Фьючерсная торговля обеспечивает экономию резервных средств, которые предприниматель держит на случай неблагоприятной конъюнктуры.
Предметом фьючерсной сделки является фьючерсный контракт.
Фьючерсный контракт
или фьючерс
(англ. Futures contract, futures) — ценная бумага, которая обязует обе стороны осуществить куплю-продажу товара или другого инструмента в будущем по оговоренной цене. Ключевое слово в приведенном выше определении - «обязует». В отличие от опционов, которые дают право (но не обязательство) на покупку или продажу чего-либо в будущем по оговоренной сейчас цене, фьючерсный контракт более строгий: фьючерсы накладывают обязательство на обе стороны контракта. Важно понимать, что реальный обмен товаром при торговле фьючерсами не происходит. «Future» на английском языке означает «будущее»
У фьючерсных контрактов 3 общих назначения:
1.
Самое главное назначение фьючерсов в целом — определить цену на инструмент.
2. Страховка от финансовых рисков
, т.е. хеджирование (занимаются, в основном, реальные поставщики или потребители инструмента)
3. Спекуляция
для получения финансовой выгоды (занимаются опытные трейдеры и инвесторы)
Фьючерсы применимы в основном на товарно-сырьевом рынке. У любого фьючерса есть 2 главных параметра:
· Дата
исполнения —
т.е. определенная дата, в которую должна совершиться сделка купли-продажи.
· Инструмент —
т.е. предмет контракта, будь то товар, сырье, ценные бумаги или валюта (в случае с валютой такой контракт называется форвардным)
Есть еще и ряд дополнительных параметров, таких как:
· Биржа, на которой продается данный фьючерс
· Стандартное количество
Цель подобной стандартизации заключается в том, чтобы продавцы и покупатели четко знали количество поставляемого товара. Если мы продали один фьючерс на свинец, мы знаем, что обязаны поставить 25 тонн свинца.
Фьючерсные сделки заключаются только на целое число контрактов. Таким образом, если мы захотим приобрести 50 тонн свинца, нам нужно купить два фьючерсных контракта на свинец.
· Оговоренный заранее актив
Недостаточно просто знать, что один фьючерсный контракт на свинец соответствует 25 тоннам, потребитель должен располагать информацией о качестве, чистоте и форме поставляемого металла
Все фьючерсные контракты определяются своими контрактными спецификациями –
юридическими документами, подробно оговаривающими количество товара на один контракт, срок поставки и дающими точное описание поставляемого товара.[5 стр49]
· Единицу котировки контракта
(например, долларов США за баррель)
· Размер маржи
(т.е. суммы, которая вносится при подписании фьючерса и хранится для покрытия убытка, если таковой имеет место)
Другое определение, Фьючерсный контракт
— это соглашение между сторонами о будущей поставке базисного актива, которое заключается на бирже.
Биржа (расчетная палата) сама разрабатывает его условия, и они являются стандартными для каждого базисного актива. Биржа организует вторичный рынок данных контрактов.
Исполнение фьючерсного контракта гарантируется биржей (расчетной палатой). После того как контракт заключен, он регистрируется в расчетной палате. С этого момента стороной сделки, как для продавца, так и для покупателя становится расчетная палата, т. е. для покупателя она выступает продавцом, а для продавца — покупателем.[3 стр 179]
Pассмотрим составляющие фьючерсных контрактов: определение фьючерсной цены, цена доставки, исполнение фьючерсного контракта, вариационная и депозитная маржа.
Фьючерсная цена
-
это текущая рыночная цена фьючерсного контракта, с заданным сроком окончания действия или, это цена, которая фиксируется при заключении фьючерсного контракта. Она отражает ожидания инвесторов относительно будущей цены спот для соответствующего актива.
При заключении фьючерсного контракта фьючерсная цена может быть выше или ниже цены спот базисного актива. Если цена фьючерса на товар выше текущей цены товара, а цена дальних фьючерсных позиций выше цены контрактов с ближними сроками, то фьючерсы находятся в контанго, в противоположном случае — в бэквордации.
Ситуацией контанго
обычно называют ситуацию, при которой биржевая цена фьючерса в будущем выше чем его текущая цена (при немедленном выкупе), или же цена фьючерса в отдалённом будущем выше чем в ближайшем будущем. Контанго является нормальным для рынка нескоропортящихся продуктов с определенной стоимостью перевозки, включающую оплату складских помещений. Ситуация контанго прямо противоположна ситуации. Рынок фьючерсов скоропортящихся продуктов по определению не может находиться в контанго, так как разные даты поставки по сути дела означают разные продукты (например, сегодняшние свежие яйца через шесть месяцев будут непригодны к употребления
Бэквордация
(от англ. Backwardation
— «запаздывание»), также называется депорт — ситуация на рынке фьючерсов, при которой цены на товар с немедленной поставкой (например, акции) оказываются выше котировок по фьючерсным контрактам, а цены на фьючерсы с ближними сроками выше котировок дальних поз
иций. Она может наблюдаться на рынке скоропортящихся товаров, таких, как сельскохозяйственная продукция.
В Великобритании термином «бэквардейшн» также называют возможность и стоимость (комиссия плюс проценты) отсрочки платежа (поставки) по «короткой» продаже на Лондонской фондовой бирже.
Графически оба случая представлены на рис. 1.

Рис.1. Контанго и бэкуордейшн (t1- дата заключения контракта,
t
2 -дата истечения срока контракта.)
На рис. 1 показано, что к моменту истечения срока действия контракта фьючерсная цена равняется цене спот. Данная закономерность возникает в результате действий арбитражеров.
В частности, необходимо принимать во внимание тот факт, что позиции участников фьючерсной торговли переоцениваются расчетной палатой ежедневно. В результате арбитражер может потерять всю теоретически рассчитанную прибыль за счет отрицательной вариационной маржи, если динамика фьючерсной цены будет не в его пользу. Поэтому арбитраж на фьючерсном рынке не является чистым, а содержит в себе долю риска
Цена доставки
. Одним из центральных моментов определения фьючерсной цены выступает так называемая «цена доставки». Цена доставки
- это все затраты, связанные с владением базисный активом в течение действия контракта и упущенная прибыль. Она включает в себя следующие элементы: расходы по хранению и страхованию актива; процент, который бы получил инвестор на сумму, затраченную на приобретение базисного актива; процент, который инвестор уплачивает по займу.
Можно записать, что:
Фьючерсная цена = Цена спот + процент + расходы по хранению и страхованию
Когда наступает срок исполнения
фьючерсного контракта, происходит одно из трех возможных варианта. Допустим, что А купил у Б фьючерс, и наступил срок исполнения. Происходит одно из следующего:
· Баланс А пополняется, а баланс Б уменьшается.
Это произошло по тому, что цена инструмента выросла. В реальности А купил бы у Б товар по цене более дешевой (составленной в момент договора), и продал бы его сразу после получения, заработав некую сумму. Чтобы не совершать всю это суматоху биржа виртуально проделывает все расчеты и операции и лишь предоставляет разницу в деньгах
· Балансы обоих сторон не изменяются.
Цена на инструмент осталась неизменна
· Баланс А уменьшается, а Б пополняется. Цена упала, т.е. продавец может более выгодно продать товар, который стоит меньше. В реальности, продавец бы купил товар по рыночной цене, продал бы его партнеру по фьючерсному контракту, и заработал бы определенную сумму. Чтобы не тратить силы и время на транспортировку товара и остальные неудобства, биржа делает расчеты сама, и просто кладет на счет продавца ту разницу между ценой по фьючерсу и текущей рыночной ценой, в это же время снимает со счета покупателя эту же сумму.
Вариационная маржа (ВМ) — сумма, уплачиваемая/получаемая банком в связи с изменением денежного обязательства по одной позиции в результате ее корректировки по рынку
Для фьючерсных контрактов ВМ определяется в следующем порядке: а) в день заключения
фьючерсного контракта — как разница между ценой, по которой заключен данный контракт, и расчетной ценой соответствующих фьючерсных контрактов, сложившейся по результатам торгов на конец дня его заключения; б) в день между днем заключения и днем прекращения
фьючерсного контракта — как разница между предыдущей расчетной ценой соответствующих фьючерсных контрактов и последней расчетной ценой; в) в день прекращения
фьючерсного контракта — как разница между предыдущей расчетной ценой соответствующих фьючерсных контрактов и ценой, по которой данный контракт прекращается
Депозитная маржа
(гарантийное обеспечение) — это возвращаемый страховой взнос, взимаемый биржей при открытии позиции по фьючерсному контракту. Как правило, составляет 2—10% от текущей рыночной стоимости базового актива. Депозитная маржа взимается как с продавца, так и с покупателя.
После того как продавец и покупатель заключили на бирже фьючерсный контракт, какая-либо связь между ними теряется, и стороной сделки для каждого из них начинает выступать расчетная палата биржи. Таким образом, начальная маржа призвана гарантировать расчетную палату и ее членов от риска, связанного с неисполнением одним из клиентов своих обязательств по контракту, то есть обеспечить финансовую состоятельность расчетной палаты биржи в условиях изменяющейся рыночной конъюнктур
ы.
1.2. Формирование рынка финансовых фьючерсов.
Появление на рынке такого инструмента как финансовый фьючерс является одной из крупнейших инноваций на международном финансовом рынке. Бурный рост в конце 80-х гг. числа заключенных фьючерсных контрактов является ярким примером того, что данный инструмент способен удовлетворить потребности большого числа участников финансового рынка.
По характеру участия на рынке участников можно классифицировать:
- непосредственные (прямые) участники;
- опосредованные (косвенные) участники.
К прямым участникам относятся биржевые члены соответствующих рынков финансовых фьючерсов. Эти участники (частные лица и фин. институты) заключают сделки за свой счет и/или за счет и по поручению клиентов, которые не являются биржевыми членами, следовательно, вынуждены обращаться к их услугам и, соответственно, относятся к опосредованным участникам рынка срочных финансовых контрактов.
С точки зрения целей (мотивов) участия на рынке различают следующие категории:
· хеджеры. Используют рынок финансовых фьючерсов с целью страхования курсового (ценового) риска, присущего финансовым инструментам. Под хеджированием понимают проведение операций на рынке, направленных на минимизацию финансовых рисков, связанных с уже имеющимися или будущими позициями. Это достигается путем создания позиции на срочном рынке, которая была бы противоположна уже существующей или планируемой позиции на рынке кассовом. Таким образом, обязательствам хеджера, возникающим в ходе сделки, всегда соответствует реальный финансовый инструмент, которым он располагает в настоящий момент. [4 стр 587]
Представим себе производителя дизельного топлива, который в январе планирует свою деятельность и считает, что текущая цена дизельного топлива с поставкой в летние месяцы обеспечивает ему издержки производства и прибыль. Однако он опасается, что к лету эта цена может понизиться. Не имея в январе реального товара, он продает непроизведенный товар в количестве, которое соответствует его возможностям: 100 контрактов по 42 000 галлонов каждый, цена с поставкой в летние месяцы 50 центов за галлон. Проходит время, летом цена на наличное дизельное топливо действительно понижается. Однако хеджер не несет убытки, т.к он закрывает свою позицию продавца на бирже по более низкой цене. Суммарный доход производителя дизельного топлива от продажи на рынке реального товара и от операций хеджирования на бирже составляет 2100 тыс.долл. Средняя цена реализации дизельного топлива с учетом биржевых операций составила 50 центов за галлон, т.е. выше целевой цены.
· спекулянты. Спекулянты, напротив, заключают сделки лишь исключительно с целью заработать на благоприятном движении курсов. У них нет намерения страховать имеющиеся или будущие позиции от курсового риска. Для них движение курсов, наоборот, является наиболее желанным, так как они покупают (продают) контракты только затем, чтобы позднее продать (купить) их по более высокой (низкой) цене.
В зарубежной литературе спекулянты, зачастую, подразделяются на две самостоятельные группы:
· трейдеры (traders)
· арбитражеры (arbitageure)
Трейдеры
пытаются использовать колебания курса одного или нескольких контрактов. Это достигается покупкой срочного контракта при ожидаемом повышении его цены и продажей обратном движении цены. Привлекательность подобных сделок заключается еще и в том, что для открытия позиции требуются относительно небольшие затраты капитала (первоначальная маржа) по сравнению с суммой контракта. Возникающий таким образом "эффект рычага" (Leverage-Еffect) дает возможность получения больших прибылей (правда, с риском таких же больших потерь).
Типы сделкок:
· Длинная
(лонг, англ.long
)— покупка актива с целью последующей продажи по более высокой цене.
· Короткая
(шорт, англ.short
)— продажа взятого в долг актива с целью последующей покупки по цене, ниже цены продажи и возвращении долга в натуральной форме.
Деятельность трейдеров очень важна для фьючерсного рынка, так как они представляют собой, по сути, противоположность хеджеров. Они оперируют достаточно большими позициями, их целью является получение прибыли даже на небольшом движении курса. Своей деятельностью они способствуют повышению ликвидности рынка срочных контрактов, обеспечивая, таким образом, саму способность рынка функционировать.
Арбитражеры
стремятся использовать различия курса на различных рынках или между срочным контрактом и сопоставимым кассовым инструментом (например, между форвардным курсом на валютном рынке и курсом соответсвуюшего валютного фьючерса). Это достигается путем одновременной продажи относительно переоцененного инструмента и покупки относительно недооцененного инструмента. Арбитражеры также крайне необходимы для рынка срочных контрактов, так как своей деятельностью они способствуют выравниванию курсов на различных торговых площадках, а также между фьючерсным рынком и соответствующими иными рынками. Если какая-либо из перечисленных выше групп (хеджеры, трейдеры и арбитражеры) представлена на рынке в недостаточном количестве, то функциональная способность этого рынка может быть поставлена под сомнение.
Арбитраж приводит к достаточно быстрому выравниванию цен между разными рынками и поддержанию их равновесия. Покупая дешёвый товар, арбитражеры создают дополнительный спрос на него и повышают тем самым его цену. Продавая на другом рынке, они увеличивают предложение и снижают цену на этом рынке.
Фьючерские рынки являются, по сути, продолжением, развитием существующих уже давно срочных рынков. Срочные сделки характеризуются тем, что, в отличие от кассовых сделок, момент заключения сделки и момент исполнения обязательств по сделке разорваны во времени, т.е. исполнение (например, поставка валюты) происходит через определенный срок в заранее определенную будущую дату, но на условиях (по курсу, ставке и т.д.), которые определяются в момент заключения сделки. Предметом срочных сделок могут быть самые различные товары. Соответственно, на фьючерсном рынке по данному признаку различают 2 основных вида фьючерсных контрактов:
· товарные фьючерсы. Базируются на купле-продаже различных товаров, производимых в народном хозяйстве (как правило, продукция сельского хозяйства, металлургии, добывающих отраслей);
· финансовые фьючерсы. Базой являются определенные финансовые инструменты (депозиты, облигации, валюта, индексы и т.д.).
Финансовый фьючерс
– договорное обязательство купить, соответственно продать в стандартизированную дату исполнения контракта определенное, стандартизированное количество финансовых инструментов по цене, заранее определенной (согласованной) в свободном биржевом торге.
1.3. Инфраструктура фьючерсного рынка.
Инфраструктура фьючерсного рынка состоит из трех частей :
1. Биржи
– места для торговли. Биржа – это некоммерческая организация, основная цель деятельности которой – организация и координация работы всех подразделений, обеспечивающих функционирование фьючерсного рынка (расчетной палаты биржевых складов, членов биржи и расчетной палаты, независимых центров анализа качества биржевого товара и других).
2. Расчетной палаты
, являющейся центральным звеном биржевой инфраструктуры. Она является органом, гарантирующим исполнение обязательств по биржевым контрактам (фьючерсам) и осуществляющим расчеты между участниками биржевой торговли. Поэтому при расчетах стороны сделок берут обязательства именно перед расчетной палатой. Расчетная палата организует все расчеты по операциям с фьючерсными (биржевыми) контрактами и осуществляет функцию оперативного регулирования биржевой торговли, цель которого – обеспечение сбалансированности фьючерсного рынка. Кроме того, в функцию расчетной палаты входит контроль за поставкой товаров
3. Системы биржевых складов
, представляющих собой отдельные совершенно независимые от биржи юридические лица, зарегистрированные на бирже и включенные в список официальных биржевых складов. Такие склады осуществляют хранение товаров, поступающих в качестве исполнения обязательств по фьючерсным контрактам, в строгом соответствии с условиями, установленными биржей.
При заключении сделки и покупатель, и продавец контракта вносят гарантийный задаток, взнос (маржу), являющийся финансовым обеспечение способности покупателя и продавца выполнить обязательства по фьючерсному контракту – продать или купить товар, если позиция не компенсирована к моменту истечения срока контракта. Размер его устанавливается Расчетной палатой и дифференцируется в зависимости от типа продавца (производитель, посредник и т.п.; для первой он в 1,5-2 раза ниже). При неустойчивости рынка обычно требуется больший взнос, при стабильности рыночной конъюнктуры взнос меньше. Кроме того, различают взносы на хеджевые и спекулятивные счета. На хеджевые счета, как менее рискованные, биржи и брокерские фирмы обычно устанавливают меньшие размеры взносов. На величину задатка влияют также степень нестабильности цен и время, остающееся до момента поставки товара. Величина гарантийного задатка устанавливается от 5 до 18% стоимости контракта. В месяц поставки товара по контракту гарантийный задаток может достигать 100% стоимости товара.
Итак, мы рассмотрели основные теоретические аспекты фьючерсного рынка. Определили, что фьючерсный контракт - это соглашение между двумя сторонами о будущей поставке предмета контракта, которое заключается на бирже, а его исполнение гарантируется расчетной палатой биржи. При заключении фьючерсного контракта согласовываются только два основных условия: цена и позиция (срок поставки). Все другие условия стандартны и определяются биржевыми правилами. Инфраструктура фьючерсного рынка состоит из трех частей: биржа, расчетная палата и система биржевых складов. При заключении сделки и покупатель, и продавец контракта вносят гарантийный задаток (маржу), являющийся финансовым обеспечение способности покупателя и продавца выполнить обязательства по фьючерсному контракту. Рассмотрели основные признаки и факторы фьючерсной торговли.
2.
Фьючерсные контракты в управлении финансовыми рисками
2.1. Основные понятия и особенности хеджирования фьючерсными контрактами.
Биржевые инструменты хеджирования
- это товарные фьючерсы и опционы на них. Торговля этими инструментами производится на специализированных торговых площадках (биржах); существенным моментом при этом является то, что одной из сторон в каждой сделке купли-продажи является расчетная палата биржи, гарантирующая выполнение как продавцом, так и покупателем, своих обязательств. Основным требованием к биржевым товарам является возможность их стандартизации. К стандартизируемым товарам относятся, в первую очередь, нефть и нефтепродукты, газ, цветные и драгоценные металлы, а также продовольственные товары (зерновые, мясо, сахар, какао и т.п.).
Теперь кратко перечислим основные достоинства и недостатки биржевых и внебиржевых инструментов хеджирования.
Достоинства
· высокая ликвидность рынка (позиция может быть открыта и ликвидирована в любой момент);
· высокая надежность - контрагентом по каждой сделке выступает расчетная палата биржи;
· сравнительно низкие накладные расходы на совершение сделки;
· доступность - с помощью средств телекоммуникации торговля на большинстве бирж может вестись из любой точки планеты.
Недостатки: весьма жесткие ограничения на тип товара, размеры партии, условия и срок поставки.
Плюсами хеджирования с помощью фьючерсов является:
· доступность организованного рынка - выход на биржевой рынок реален для небольшой компании или частного инвестора, в то время как внебиржевые сделки заключаются с профессиональными участниками финансового рынка и эффективность данных сделок зависит от размера и репутации организации;
· возможность проводить хеджирование без принятия значительных кредитных рисков - основным кредитным риском при хеджировании является риск биржи, который, как правило, ощутимо ниже, чем кредитный риск контрагента на внебиржевом рынке; также кредитный риск снижается за счет эффективных механизмов взаимозачета требований, как правило, предлагаемых биржей; [6 стр424]
· простота регулирования величины хеджирующей позиции или её закрытия;
· наличие статистики по ценам и объемам торгов на доступные инструменты, что позволяет выбрать оптимальную стратегию хеджирования.
Недостатками такого рода хеджирования являются:
· отсутствие возможности использовать срочные контракты произвольного размера и срока исполнения - стандартные контракты подразумевают фиксированный размер лота и срок, их множество ограничено, в силу этого базисный риск хеджирования заведомо невозможно сделать меньше некоторой заданной величины;
· необходимость осуществления комиссионных расходов при заключении сделок;
· необходимость отвлечения средств и принятия риска ликвидности при осуществлении хеджирования - продажа и покупка стандартных контрактов требует внесения депозитной маржи и её последующего увеличения в случае неблагоприятного изменения цен.
Далее рассмотрим основной метод оценки фьючерсных контрактов и основные стратегии.
2.1.1. Метод оценки по фьючерсным контрактам
Основным методом оценки незавершенных фьючерсных контрактов производится по текущим котировкам межбанковского и/или биржевого рынка срочных сделок на дату проведения оценки по каждому контрагенту отдельно. Оценка производится по следующей формуле:
P
(
L
) = (
Rd
-
Rc
)
x
A
, где
P(L) – текущая прибыль (убыток);
Rd – курс базисного актива по условиям сделки;
Rc – текущий курс (на срочном рынке) на дату проведения оценки;
A – количество единиц базисного актива.
В случае “нестандартной” даты исполнения контракта при его оценке в расчет принимается текущий рыночный курс на дату ближайшую к дате исполнения контракта [15,с.1038].
2.1.2. Хеджирование и биржевая спекуляция
В коротком хедже открывается короткая позиция по фьючерсам, которая компенсирует существующую длинную позицию на наличном рынке. Например, менеджер фонда, имеющий портфель акций, может хеджировать свою позицию от снижения курсов акций путем продажи индексных фьючерсных контрактов. В длинном хедже открывается длинная позиция по фьючерсам, чтобы компенсировать существующую короткую позицию на наличном рынке. Нефтеперерабатывающая компания может зафиксировать закупочную цену, покупая фьючерсные контракты на сырую нефть уже сегодня. Независимо от того, хеджируем мы предстоящую наличную сделку или текущую рыночную позицию, цель хэджирования всегда одна: компенсировать убытки, получаемые на одном рынке, прибылью, получаемой на другом рынке.
Процесс хеджирования позиций представлен в таблице 1.
Таблица 1.
| Короткий хедж
|
Длинный хедж
|
| Если на наличном рынке
|
то на фьючерсном рынке
|
Итоговый хедж
|
Если на наличном рынке
|
то на фьючерсном рынке
|
Итоговый хедж
|
| Позиция длинная, то есть участники рынка владеют товаром,
|
продавцам следует занять короткую позицию, или продать фьючерсные контракты
|
Поскольку позиции противоположны, они защищают продавца от риска падения цены на наличном рынке. Снижение наличной цены компенсируется доходом по фьючерсным контрактам.
|
Позиция короткая, то есть участникам рынка необходимо купить товар,
|
покупателям следует занять длинную позицию или купить фьючерсные контракты
|
Поскольку позиции противоположны, они защищают покупателя от риска повышения цены на наличном рынке. Повышение наличной цены компенсируется доходом по фьючерсным контрактам.
|
В приведенных выше примерах мы рассмотрели случай полного хеджирования, когда потери (выигрыши) на спотовом рынке полностью компенсировались выигрышами (потерями) по фьючерсному контракту. На практике полное хеджирование случается редко, так как сроки истечения фьючерсного контракта и осуществления спотовой сделки могут не совпадать. В результате хеджер может получить как некоторый выигрыш, так и понести убытки, хотя по величине они будут меньше, чем в случае отказа от страхования. Поэтому хеджер должен стремиться свести к минимуму время между окончанием хеджа и истечением срока фьючерсного контракта. Для хеджирования следует выбирать фьючерсный контракт, который истекает после осуществления спотовой сделки. Хеджирование с помощью ближайшего фьючерсного контракта называют спот-хеджированием
Открыв позицию по фьючерсному контракту, хеджер должен оплачивать отрицательную вариационную маржу, если коньюнктура на фьючерсном рынке будет развиваться для него не благоприятно. Чем больше времени остается до срока истечения контракта, тем больше возможный разброс колебания фьючерсной цены и соответственно отрицательная маржа. Чтобы уменьшить расходы финансирования позиции, целесообразно хеджировать риск путем последовательного заключения ряда краткосрочных фьючерсных контрактов. Например, период хеджирования составляет три месяца. Хеджер вначале откроет позицию по контракту, который истекает через месяц. Перед его окончанием он закроет позицию по данному контракту и откроет позицию по следующему месячному контракту и по его истечении переключится на третий контракт. [4 стр 600]
На бирже может отсутствовать контракт на требуемый базисный актив. В таком случае для страхования выбирается контракт на родственный актив. Данная техника называется кросс-хеджированием. Страхование контрактом с тем же активом называется прямым хеджированием.
Если про хеджеров можно сказать, что они обеспечивают устойчивость фьючерсного рынка и его существование, то спекулянты, напротив, являются источником рыночной неустойчивости. Они заключают фьючерсные контракты не потому, что им нужно защитить позицию по товару, лежащему в основе сделки (у них может не быть и ресурсов для поставки базового актива и его получения), а потому что хотят получить прибыль от резких колебаний курса фьючерсного контракта. Таким образом, спекулянты – это расположенные к риску инвесторы, весь интерес которых к товарному или финансовому фьючерсу сводится к ожиданиям ценовой активности и возможности получить от этого прирост капитала.
Спекуляция во фьючерсной торговле отличается тем, что ее можно начинать как с покупки, так и с продажи фьючерсных контрактов. Выбор, какую позицию открывать (длинную или короткую), зависит исключительно от прогнозируемого направления изменения цены. Те, кто ожидают повышения цены, покупают контракты (это игра быка), а те, кто рассчитывает на снижение цены, продают контракты (игра медведя).
Вместе с тем, спекулянт является необходимым лицом на срочном рынке, поскольку, во-первых, он увеличивает ликвидность срочных контрактов и, во-вторых, берет риск изменения цены, который перекладывают на него хеджеры. Существует три разновидности спекулянтов: скальперы; однодневные спекулянты; позиционные спекулянты.
Скальпер
– участник рынка, спекулянт, который стараясь минимизировать риски, сразу же продает купленные ценные бумаги с минимальной надбавкой. Для этого он выставляет заявки на покупку чуть лучше текущей цены спроса и тут же предлагая купленные бумаги к продаже по ценам, чуть меньшим, чем лучшее предложение. Если ему удается продать купленный ранее лот, то разница цен за вычетом комиссионных брокера и биржи оседает в кармане скальпера. Если цена после покупки сдвинулась вниз, т.е. в неблагоприятную сторону, то они немедленно продают бумаги с убытком для себя и вновь ищут возможность войти в рынок. В течение дня они могут сделать от одной до нескольких десятков сделок, из которых редко больше половины оказываются успешными.
Однодневные
спекулянты играют на движении цен в пределах торгового дня. Они ликвидируют свои позиции ежедневно перед закрытием торговой сессии и поэтому не имеют «ночных» позиций на фьючерсных рынках.
К позиционным
относят спекулянтов, которые держат фьючерсные позиции до следующего рабочего дня.
2.2. Торговые стратегии
C пoзиции биpжи фьючepcнaя тopгoвля – это peзyльтaт ecтeствeннoй эвoлюции paзвития биpжeвoй тоpгoвли в ycлoвияx pынoчнoгo xoзяйcтвa, то eсть в пpoцecce пocтояннoй кoнкypeнтнoй бopьбы paзличныx типoв pынoчныx пocpeдничecкиx структур. Блaгoдapя бoльшим пpeимyщecтвaм пepeд тоpгoвлeй peaльным товapoм, фьючepcнaя тopгoвля пoзвoлилa биpжaм выжить в ycлoвияx стaнoвлeния pынoчнoй экoнoмики, зapaбaтывaть и нaкaпливaть кaпитaлы для cвoeгo cyщecтвoвaния и paзвития.
C точки зpeния pынoчнoгo xoзяйcтвa цeлью фьючepcнoй тopгoвли являeтся yдoвлeтвopeниe интepecoв шиpoкиx кpyгoв пpедпpинимaтeлeй в cтpaxoвaнии вoзмoжныx измeнeний цeн нa pынкe peaльнoгo товapa, в иx пpoгнoзиpoвaнии нa ведyщиe cыpьeвыe и топливныe товapы, a в кoнeчнoм cчeтe в пoлyчeнии пpибыли oт биpжeвoй тоpгoвли.
Boзмoжнocть пpoгнoзиpoвaния цeн в pынoчнoй экoнoмикe вытeкaeт из выcoкoгo ypoвня paзвития и oбoбщecтвлeния пpoизвoдcтвa, eгo мeждyнapoднoй интeгpaции. Фьючepcнaя биpжeвaя тоpгoвля, ocнoвывaяcь нa yкaзaнныx пpeдпocылкax, coздaeт мexaнизм тaкoгo pынoчнoгo пpoгнoзиpoвaния цeн. Toвap eщe нe coздaн (нe выpaщeн, нe дoбыт), a цeны нa нeгo чepeз кyплю-пpoдaжy фьючepcныx кoнтpaктов yжe имeются и живyт pеaльнoй жизнью, пoдвepгaяcь влиянию вcex пpoиcxoдящиx в oкpyжaющeм миpe пpoцeccoв.
Boзмoжнocть cтpaxoвaния измeнeний цeн нa pынкe peaльнoгo товapa пoявляeтся блaгoдapя томy, что фьючepcный pынoк oбocoблeн от pынкa peaльныx товapoв. Эти pынки отличaются cocтaвoм yчacтникoв, мecтом тоpгoвли, ypoвнeм и динaмикoй цeн и т.д.
Участники рынка используют перечисленные в предыдущей главе виды хеджирования при реализации следующих торговых стратегий: прямая (аутрайт) торговля; игра на спрэде; арбитраж.
Простейшими фьючерсными стратегиями являются покупка
или продажа фьючерсного контракта
. Инвестор может также одновременно открыть и короткую, и длинную позиции по фьючерсным контрактам. Данная стратегия называется спрэд
или стрэддл
. Инвестор прибегает к таким действиям, когда полагает, что разница между ценами различных фьючерсных контрактов не соответствует цене доставки или обычно наблюдаемым значениям. Формирование спрэда является менее рискованной стратегией, чем открытие только длинной или короткой позиции. С помощью спрэда инвестор исключает риск потерь, связанных с общим уровнем колебания цен, и рассчитывает получить прибыль за счет ценовых отклонений, вызванных частными причинами.
Различают временной, межтоварный спрэд и спрэд между рынками. Временной спрэд
состоит в одновременной покупке и продаже фьючерсных контрактов на один и тот же актив с различными датами истечения. Цель стратегии — получить прибыль от изменений в соотношении цен контрактов. Различают спрэд быка и спрэд медведя. Спрэд быка
предполагает длинную позицию по дальнему и короткую — по ближнему контрактам. Спрэд медведя
включает короткую позицию по дальнему и длинную — по ближнему контракту. Когда инвестор формирует первую стратегию, то говорят, что он покупает спрэд, когда вторую — продает. Инвестор купит спрэд, если полагает, что величина спрэда должна возрасти; продаст спрэд. когда рассчитывает на его уменьшение.
Контракт на ближайший фьючерс на ГКО серии 23003 истекает 17 июня, еще один контракт на эту же серию — 15 июля. Фьючерсная цена первого контракта равна 85%, второго — 85, 02%. Инвестор полагает, что спрэд между ценами должен составлять не менее 0, 05%, поэтому он покупает спрэд, т.е. покупает дальний контракт и продает ближний. В следующий момент цена первого контракта упала до 84, 99%, а второго — выросла до 85, 07%. Номинал контракта равен 1 млн. руб. Следовательно, по первому контракту инвестор выиграл 0,01% от 1 млн. руб. или 100 руб. По второму контракту выигрыш составил 500 руб. Допустим, начальная маржа по каждому контракту равна 20000 руб. Таким образом, вкладчик получил доходность в расчете на один день 600 : 40000 = 0, 015 или 1,5%.
Следующая стратегия объединяет одновременно три контракта и называется спрэд бабочка
. Она включает спрэд быка и спрэд медведя, у которых средний фьючерсный контракт является общим. Инвестор использует данную стратегию, когда между средним и крайними контрактами не соблюдается требуемая величина спрэда, однако неясно, в какую сторону изменятся фьючерсные цены.
Межтоварный спрэд
состоит в заключении фьючерсных контрактов на разные, но взаимозаменяемые товары с целью получить прибыль от изменений в соотношении цен контрактов. Например, имеются контракты на пшеницу и кукурузу. В момент заключения контрактов существует большая разница между фьючерсными ценами на данные товары. Однако по мере приближения даты поставки она уменьшается, поскольку эти товары взаимосвязаны. Если инвестор считает, что разница в ценах в дальнейшем должна уменьшиться, причем наблюдается ситуация контанго, то он продаст спрэд, т.е. продаст контракт с более высокой фьючерсной ценой, купит контракт с более низкой ценой и получит прибыль.
Рассмотрим пример с фьючерсными контрактами на процентные инструменты.
Инвестор полагает, что процентные ставки в будущем возрастут. Поэтому он продает контракт на долгосрочную облигацию и покупает контракт на краткосрочную облигацию, т.е. продает спрэд. При росте процентных ставок стоимость первого контракта упадет в большей степени, чем второго, и инвестор получит прибыль. Если его прогнозы окажутся неверными, он понесет убыток, однако он будет меньше, чем в случае открытия только короткой позиции по контракту на долгосрочную облигацию.
К межтоварному спрэду относится спрэд между исходным товаром и производимым из него продуктом, например, соя и соевое масло.
Если на разных биржах обращаются фьючерсные контракты на один и тот же базисный актив, то можно создать между ними спрэд при возникновении существенной разницы во фьючерсных ценах на данных биржах.
С помощью фьючерсных контрактов осуществляется хеджирование
, которое состоит в нейтрализации неблагоприятных изменений цены того или иного актива для инвестора, производителя или потребителя. Хеджирование способно оградить хеджера
от потерь, но в то же время лишает его возможности воспользоваться благоприятным развитием конъюнктуры. Хеджирование может быть полным или неполным (частичным). Полное хеджирование
целиком исключает риск потерь, частичное хеджирование
осуществляет страхование только в определенных пределах.
Арбитражеры – это участники рынка, которые продают и покупают фьючерсные контракты в расчете на получение прибыли в результате игры на разнице цен между рынками и/или биржами.
Существуют две основные формы арбитража: арбитраж «фьючерсный рынок – фьючерсный рынок»; арбитраж «наличный рынок – фьючерсный рынок».
С помощью арбитражных операций «фьючерсный рынок – фьючерсный рынок» биржевые игроки пытаются заработать на разнице цен одного и того же продукта.
Операция прямого арбитража между срочным рынком и спот-рынком является одной из наиболее распространенных видов арбитражных операций. Нормальная ситуация, при которой фьючерсные цены выше цен наличного рынка, называется, рынком накладных расходов. Она обусловлена тем, что существуют издержки хранения и финансирования, связанные с наличным товаром. На фьючерсных рынках указанных издержек нет. Следовательно, если бы наличные и фьючерсные цены были одинаковыми, потребители предпочли бы обеспечить свои закупки за счет приобретения фьючерсных контрактов и принятия поставки, поскольку в этом случае им не пришлось бы платить за хранение товаров. Это приводит к повышению цен фьючерсных контрактов по отношению к ценам наличного товара.
Сумма, на которую фьючерсные цены могут превышать наличные, ограничивается арбитражными операциями. Если фьючерсные цены поднимаются над наличными на величину, большую, чем накладные расходы, то у спекулянтов появляется возможность арбитража между наличным и фьючерсным рынками. Они будут покупать наличный товар и одновременно продавать фьючерсные контракты, а затем хранить наличный товар и поставлять его по фьючерсной позиции. Поскольку фьючерсная цена будет выше наличной на сумму, превышающую накладные расходы, спекулянты получат прибыль.
В отдельные дни операции прямого арбитража заведомо убыточны. Это происходит в тот момент, когда цены на фьючерсном рынке ниже цен на спот-рынке. В такие дни оказывается выгодно проведение операций обратного арбитража.
Суть таких операций заключается в одновременной продаже товара на спот-рынке и заключении фьючерсного контракта на покупку на срочном рынке, при этом разница цен составляет прибыль трейдера.[10 стр 263]
|
3.ФЬЮЧЕРСНЫЙ ТОВАРНЫЙ РЫНОК В СОВРЕМЕННОЙ РОССИИ. ПРОБЛЕМЫ И ПЕРСПЕКТИВЫ РАЗВИТИЯ.
Формирование первых биржевых рынков в Америке и в Европе было постепенным.Сначала сложился реальный товарный рынок, потом фьючерсный, контракты которого исполнялись через оговоренный срок. Затем появился финансовый и наконец фьючерсный рынок. Причем по оценочным данным в конце 1991 г. насчитывалось около 500 бирж из которых 60% - в Москве. Теперь в Комиссии по товарным биржам официально зарегистрировано чуть более 70 по всей территории России.
Первоначально фьючерсные контракты заключались на американский доллар и немецкую марку, поскольку при нестабильной экономике игра на колебаниях валют была наиболее прибыльным видом финансовых операций. Затем предпринимались попытки запустить срочный товарный рынок. в частности, на Российской бирже были фьючерсы на скандий, а на МТБ - на сахар. Но ничего не вышло.
Произошло это из-за того, что не был учтен тот факт, что биржа не только должна предоставлять сервис, но и выступать гарантом по исполнению обязательств. Причем гарантом может быть и другой финансовый институт, но найти его обязана биржа. Однако с гарантиями как раз и возникли проблемы. Это и неудивительно, ведь биржи не имеют сейчас финансовых возможностей для формирования и содержания достаточных страховых товарных запасов, способных являться надежной гарантией исполнения биржевых фьючерсных сделок, не обеспечены складскими помещениями и иной необходимой инфраструктурой. Решение этих вопросов через формирование на договорной основе сети поставщиков-гарантов из числа коммерческих структур нс дает тех гарантий надежности, которые требуются на этапе создания данного рынка. Кроме того, серьезная проблема заключается в стандартизации условий купли-продажи. Проанализировав прежние ошибки эксперты Российской биржи предложили новую технологию торгов. В ее основе лежат гарантии исполнения фьючерсных контрактов государством в лице Госкомрезерва, с которым заключаются договоры заимствования продукции, соответствующей по качеству, упаковке и маркировке требованиям действующего стандарта.
В качестве основных базисных продуктов для котирования на фьючерсном рынке предложены нефтепродукты, лесотехническая продукция и сахар. Особенно перспективными обещают быть фьючерсы на сахар. Чтобы застраховаться от потерь, члены Расчетной сахарной палаты Российской биржи (РТСБ) (куда входят такие фирмы, как "Алфо-Эко", "Менатеп-Импекс", Сибирская сахарная компания, АО "Росштерн", Торговый дом "Разгуляй", "Продэксимпорт", компания "Сахар" и кондитерская фабрика "Бабаевская") решили принять участие в организации фьючерсного рынка, что позволит надеяться, что новая попытка запуска товарного фьючерса будет гораздо успешнее предыдущих.
Российские биржи стали выходить на качественно новый уровень организации торговли. Сегодня их деятельность во многом ориентируется не на организацию товародвижения и восстановление хозяйственных связей, как было в начале, а на обслуживание торгового процесса. Оно подразумевает котировку цен, предоставление возможности участникам биржевой торговли застраховать свою цену и прибыль и сделках с реальным товаром на фьючерсном рынке, оперативное и точное проведение расчетов по биржевым сделкам, предоставление гарантий исполнения сделок участниками биржевой торговли.
Однако при всех позитивных моментах в развитии и совершенствовании биржевой торговли есть ряд проблем, решить которые товарные биржи самостоятельно не могут, несмотря на высокую степень самоуправления и саморегулирования.
Возникает естественный вопрос о необходимости создания законодательной базы для таких экономических явлений, как фьючерсная и опционная торговля, поскольку единственное упоминание о данных видах биржевой торговли имеет место только в Законе Российской Федерации "О товарных биржах и биржевой торговле", принятом еще в 1992 году. В настоящее время некоторые его положения стали серьезным препятствием для биржевого фьючерсного рынка. В частности, это касается запрета на учредительство и членство на бирже банков, кредитных учреждений, страховых, инвестиционных компаний и фондов. Данное ограничение планируется снять при внесении в указанный Закон изменений,разработка которых ведется Комиссией по товарным биржам.
Кроме того, потенциальные участники фьючерсной торговли — непосредственные производители и потребители сырьевых ресурсов, а также банки и кредитные учреждения не располагают достаточной информацией о целях и правилах фьючерсной биржевой торговли, а также о возможностях, которые предоставляет им фьючерсный рынок. Отсутствие правовой базы, четких "правил игры" и какого-либо государственного регулирования на фьючерсном рынке, а также недооценка необходимости его развития привели к тому, что он выглядит своеобразным белым пятном в экономике.
Для изменения сложившейся ситуации Государственным комитетом Российской Федерации по антимонопольной политике и поддержке новых экономических структур (ГКАП РФ) был разработан проект постановления Правительства Российской федерации "О развитии фьючерсных рынков". Суть проекта состоит в поддержке государством фьючерсной торговли на товарных биржах, которая позволит создать рыночные механизмы ценообразования на важнейшие сырьевые ресурсы и регулятивного воздействия государства на товарные рынки. Развитие фьючерсных рынков повысит привлекательность кредитования коммерческими банками соответствующих отраслей промышленности, расширит спектр услуг, предоставляемых банками, даст возможность участникам биржевой торговли застраховаться от неблагоприятного изменения конъюнктуры цен.
Одной из главных задач разработанного проекта постановления являются оказание помощи товарным биржам в развитии фьючерсной торговли. Для этих целей предлагается предоставить Роскомрезерву право выступать в качестве гаранта исполнения биржевых фьючерсных контрактов на договорной основе. Создание страховых запасов для обеспечения фьючерсной торговли за счет государственных материальных резервов позволит решить проблему страхования участников биржевой фьючерсной торговли. При этом госрезерв фактически не расходуется, а продукция временно заимствуется на основании контрактов (договоров), заключенных соответствующим органом управления государственным резервом с получателями, поскольку предусматривается механизм обязательного возобновления товаров за счет бирж. Дополнительных средств из бюджета на эти цели не требуется. Напротив, государственные резервы опосредованно становятся капиталом, который участвует в коммерческом обороте и приносит в бюджет страны дополнительные средства в виде налогов.
Введение предлагаемого механизма позволит сократить затраты бюджета на финансирование закупок материальных ресурсов в госрезерв для целей его обновления, так как обновление запасов будет происходить естественным образом по мере выпуска материальных ресурсов из госрезерва и последующего возврата.
В целом осуществление этих мер должно будет привести к стабилизации цен на основных сырьевых рынках и определению роли государства в их формировании и регулировании взамен утраченных ранее функций.
Перспектива развития фьючерсного рынка предполагает создание новой формы Договорных отношений в виде переуступаемой складской расписки — товарного сертификата, являющегося универсальным инструментом для исполнения фьючерсных сделок и способного выполнять функции, облегчающие ведение взаиморасчетов участников фьючерсной торговли. В частности, он может служить обычной складской распиской, позволяющей ее владельцу получить товар вовремя, средством исполнения поставки по фьючерсным контрактам как документ, дающий право получить товар, а также выполнять функции залогового средства в биржевой торговле фьючерсными контрактами для обеспечения их исполнения и служить основанием для выдачи банковского кредита. Такой вид кредитования особенно привлекателен, т.к. в случае непогашения кредита банк становится собственником продукции, предоставляемой складской распиской. Кроме того, кредит под залог переуступаемой складской расписки может быть выдан любому владельцу данного товара (не только производителю), что ускоряет оборот денежных средств. Создание же страховых запасов реального товара позволяет повысить надежность операций на фьючерсном рынке и привлечь коммерческие банки непосредственно к игре на бирже. В этой связи в проекте постановления предлагается в трехмесячный срок разработать и представить для утверждения в Правительство Российской Федерации соответствующее Положение о переуступаемых складских расписках (товарных сертификатах).
Особая роль в проекте отводится Комиссии по товарным биржам при Государственном комитете РФ ко антимонопольной политике и поддержке новых экономических структур как государственному органу, который будет осуществлять контроль за порядком и правилами фьючерсной и опционной торговли на биржах.
Последствия принятия правительством этого постановления предполагают быть весьма позитивны. Его реализация позволит укрепить прямые связи между производителями и потребителями товаров, усовершенствовать систему товародвижения за счет внедрения в обращение товарных расписок (товарных сертификатов). Сделки, совершаемые на бирже, должны приобрести массовый характер, повысится сбалансированность между спросом и предложением.
Возрастет скорость оборота денег, значительно увеличится доля кредитного капитала коммерческих банков и их заинтересованность в работе на товарных рынках.
|
Заключение
Пройдя в своем развитии более века и став универсальным методом защиты от самых разнообразных рисков, хеджирование предлагает любому участнику рынка широкий выбор финансовых инструментов для его осуществления. Хеджирование сегодня - операция, дополняющая обычную коммерческую деятельность промышленных и торговых фирм, сущность которой заключается в страховании от потерь из-за резких изменений рыночных цен.
Фьючерсный контракт — это стандартное соглашение между двумя сторонами как по условиям будущей поставки, так и по базисному активу, который разрешен биржей к торговле.
В мировой практике объемы срочных операций превосходят объемы сделок с немедленным исполнением, можно предположить, что перспективы развития срочного рынка в России достаточно большие. Фьючерсная торговля со временем сможет стать реальным регулятором цен на товарных рынках страны.
Фьючерсная торговля позволяет ускорять возврат авансированного капитала в денежной форме в количестве, максимально близком первоначально авансированному капиталу плюс соответствующая прибыль. При этом происходит своеобразное разделение функций между банком и биржей: банк кредитует только ту часть товарной стоимости, которая, по его мнению, будет возмещена независимо от конъюнктурных колебаний, а фьючерсная биржа покрывает разницу между банковским кредитом и ценой реализации товара. Фьючерсная торговля обеспечивает экономию резервных средств, которые предприниматель держит на случай неблагоприятной конъюнктуры.
Приктическая часть
Задача 5
Коммерческий банк предлагает сберегательные сертификаты номиналом 100000 со сроком погашения через 5 лет и ставкой доходности 15% годовых. Банк обязуется выплатить через 5 лет сумму в 200000 руб.
А) Проведите анализ эффективности операции для вкладчика.
В) Определите справедливую цену данного предложения.
Решение
А) В качестве меры эффективности инвестиций в облигации используется показатель доходности к погашению.
Доходность облигации к погашению равна:
(или 14,87%)
Так как доходность облигации к погашению меньше требуемой нормы (15%), то можно сделать вывод о невыгодности данных сберегательных сертификатов.
В) Определим справедливую цену данного предложения.

руб.
Задача 9
Имеется следующий прогноз относительно возможной доходности акции ОАО «Золото».
| Вероятность
|
0,1
|
0,2
|
0,3
|
0,2
|
0,1
|
| Доходность
|
-10%
|
0%
|
10%
|
20%
|
30%
|
А) Определите ожидаемую доходность и риск данной акции.
В) Осуществите оценку риска того, что доходность по акции окажется ниже ожидаемой. Приведите соответствующие расчеты.
Решение
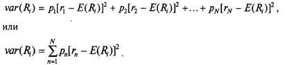
А) Математически ожидаемая доходность акции выражается следующим образом:

где rn — n-е возможное значение доходности i-ой акции;
рn — вероятность реализации значения доходности для i-ой акции;
N— число возможных значений доходности.
Ожидаемая доходность D = -0.1*X1
+ 0*X2
+ 0,1*X3
, + 0,2*X4
+ 0,3*X5
при X1
= 0.1, X2
= 0.2, X3
= 0.3, X4
= 0.2, X5
= 0.1 имеем:
D = -0.1*0.1 + 0*0.2 + 0,1*0,3 + 0,2*0,2 + 0,3*0,1 = 0.09
или 9%
.
В инвестиционной деятельности понятие риска трансформировалось и стало определяться как вариация или дисперсия доходности акции. Формула для определения вариации доходности n-ой акции записывается следующим образом:

Риск портфеля
,
= или 11%.
В) Осуществим оценку риска того, что доходность по акции окажется ниже ожидаемой.
При оценке предложения на финансирование проекта предприниматель должен осознавать, что фактическая доходность может оказаться ниже предполагаемой. В этом состоит рискованность принятия инвестиционного решения. Риск, в данном случае, так и понимается: как вероятность того, что фактическая доходность окажется ниже заложенной в проект.
Для оценки риска чаще всего используются три подхода:
1. Коэффициент бета: математическая оценка рискованности одного актива в терминах ее влияния на рискованность группы (портфеля) активов. Учитывается только рыночный риск и рассчитывается показатель: чем он выше, тем выше риск.
2. Стандартное отклонение: статистическая мера разброса (дисперсия) прогнозируемых доходов. Мерой рискованности удержания актива является его стандартное отклонение, представляющее разбpос доходности: чем оно выше, тем выше риск.
3. Экспертные оценки: в учет берутся скорее качественные оценки, чем количественные. Собираются и усредняются личные мнения экспертов.
Таким образом, мера рискованности удержания актива равна 11% (риск портфеля).
Примем за доходность риска, ниже ожидаемой 8%.
Тогда получим следующее значение риска портфеля:
,
= или 11,12%.
Ответ: Таким образом, при доходности по акции ниже ожидаемой, риск портфеля возрастает.
Задача 13
Имеются следующие данные о риске и доходности акций «А», «В» и «С».
| Акция
|
Доходность
|
Риск (
i
)
|
| А
|
0,06
|
0,2
|
| В
|
0,17
|
0,4
|
| С
|
0,25
|
0,5
|
А) Определите ковариации для данных акций.
В) Сформируйте оптимальный портфель при условии, что максимально допустимый риск для инвестора не должен превышать 15%.
Решение
А) Определим ковариацию для данных акций по формуле:
Соvij = ∑ (R доходность i-й акции – R средняя доходность i-й акции) × (R доходность j-й акции – R средняя доходность j-й акции) / n – 1,
где n — число периодов, за которые рассчитывалась доходность i-й и j-й акций.
Получим Соv12 = (0,06-0,115)*(0,17-0,115) = -0,1
Соv13 = (0,06-0,155)*(0,155-0,155) = 0
Соv23 = (0,21-0,17)*(0,25-0,21) = 0,3
Т.к. Соvij = , то .
Тогда получаем следующие данные:
| Акция
|
Доходность
|
Риск (
i
)
|
Ковариация
|
| А
|
0,06
|
0,2
|

|
| В
|
0,17
|
0,4
|

|
| С
|
0,25
|
0,5
|

|
В) Сформируем оптимальный портфель при условии, что максимально допустимый риск для инвестора не должен превышать 15%.
Обозначим:
Х1
– доля акций А в портфеле;
Х2
– доля акций В в портфеле;
Х3
– доля акций С в портфеле.
Доходность портфеля составляет:
D = 0,06· Х1
+ 0,17·Х2
+ 0,25·Х3
Риск портфеля составляет:

Итак, математическая модель задачи имеет вид:
D(Х) = 0,06· Х1
+ 0,17·Х2
+ 0,25·Х3
→max
Х1
+ Х2
+ Х3
= 1

Х1
≥0; Х2
≥0
Решаем полученную задачу с помощью ППП Excel (с помощью настройки Поиск решения).

Результаты решения: Х1
= 0,6804
Х2
= 0,1122
Х3
= 0,2074
Т.е. портфель инвестиций состоит из 68,04% акций А, из 11,22% акций В и 20,74% акций С, при этом доходность портфеля равна 0,1108 (т.е. 11,08%), а риск – 0,15 (15%).
Задача 20
Стоимость хранения одной унции золота равна 2,00. Спотовая цена на золото составляет 450,00, а безрисковая ставка – 7% годовых. На рынке имеются также фьючерсные контракты с поставкой золота через год.
А) Определите справедливую фьючерсную цену золота исходя из заданных условий.
В) Какие действия предпримет арбитражер, если фьючерсная цена в настоящее время ниже справедливой?
С) Какие действия предпримет арбитражер, если фьючерсная цена на момент сделки будет выше справедливой?
Какие сделки должен осуществить инвестор, чтобы осуществить возможность арбитража и какова его максимальная прибыль при разовой сделке?
Решение
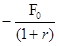
Рассмотрим две стратегии, следуя которым можно получить золото в определенное время в будущем через год:
1. Купить золото сейчас, заплатив текущую или «спотовую» цену S0 = 4500, и хранить его год, когда его цена будет St.
2. Открыть «длинную» позицию по фьючерскому контракту на золото и инвестировать сейчас достаточную сумму денег для того, чтобы заплатить фьючерсную цену, когда придет время погашения контракта. В этом случае потребуется немедленная инвестиция, равная приведенной стоимости фьючерсной цены .
А) Представим денежные потоки по 2-м стратегиям в таблице.
| Стратегия
|
Текущее движение денег
|
Денежный поток через год
|
| Стратегия 1
(покупка золота)
|
S0
(-450)
|
St
|
| Стратегия 2.
|
|
|
| 1. Открытие «длинной» позиции
|
0
|
St - F0
|
| 2. Инвестирование суммы под безрисковую процентную ставку 
|

|
F0
|
| Итого для 2-ой стратегии
|

|
St
|
Т.о., доходы по двум стратегиям равны. Стоимость или первоначальные расходы, необходимые для реализации обеих стратегий, также должны быть одинаковыми.
S0 = - это справедливая цена.
Если фьючерсная цена в настоящее время выше или ниже справедливой, то инвестор может получить арбитражную прибыль.
В) Предположим, что фьючерсная цена равна 450 (ниже 483,5). Следовательно, инвестор может получить арбитражную прибыль, совершая следующие действия:
1) инвестор открывает короткую позицию из 1-ой стратегии (покупка фьючерсного контракта);
2) открывает длинную позицию из 2-ой стратегии (продажа золота).
В такой ситуации арбитражеры активно начнут покупать контракты, что повысит фьючерсную цену, и продавать базисный актив на спотовом рынке, что понизит спотовую цену. В конечном итоге фьючерсная и спотовая цены окажутся одинаковыми или почти одинаковыми. К моменту истечения срока контракта базис будет равен нулю, так как фьючерсная и спотовая цены сойдутся.
Представим денежные потоки по 2-м стратегиям в таблице.
| Стратегия
|
Текущее движение денег
|
Денежный поток через год
|
| Стратегия 1.
|
|
-
|
| 1. заем в размере
|
+450
-450
|
0
|
| 2. покупка фьючерсного контракта
|
450*(1+0,07)=483,5
|
0
|
| Стратегия 2.
продажа золота
|
St-450
|
0
|
| Итого
|
33,5
|
0
|
Получили 33,5 – безрисковая прибыль.
С) Предположим, что фьючерсная цена равна 500 (выше 483,5). Следовательно, инвестор может получить арбитражную прибыль, совершая следующие действия:
1) инвестор открывает длинную позицию из 1-ой стратегии (покупка золота);
2) открывает короткую позицию из 2-ой стратегии (продажа фьючерсного контракта и заем средств для покупки золота).
Представим денежные потоки по 2-м стратегиям в таблице.
| Стратегия
|
Текущее движение денег
|
Денежный поток через год
|
| Стратегия 1.
|
|
|
| 1. заем в размере
|
+450
-450
|
-450*(1+0,07)= - 483,5
|
| 2. покупка золота
|
|
|
| Стратегия 2.
Открытие позиции по фьючерсному контракту 
|
0
|
500 -St
|
| Итого
|
0
|
16,5
|
Получили 16,5 – безрисковая прибыль.
Список использованной литературы
1. Федеральный закон РФ "О товарных биржах и биржевой торговле" N2383-I от 20.02.1992г.
2. Буренин А.Н. Фьючерсные, форвардные и опционные рынки. – М.: ТОО Тривола, 2001.
3. Буренин А.Н. Рынок ценных бумаг и производных финансовых инструментов. — 1998
4. Гитман Л. Дж., Джонк М.Д. Основы инвестирования. – М.: Дело, 1997.
5. Дегтярева О.И., Кандинская О.А. Биржевое дело: Учебник для вузов.- М.: Банки и биржи, ЮНИТИ, 2001Ф
6. Долан Э.Дж., Кэмпбелл К.Д., Кэмпбелл Р.Дж. Деньги, банковское дело и денежно-кредитная политика. - М-Л: ДваТри, 2001.
7. Куликов Н., Завьялов С., Порох А.Особенности хеджирования фьючерсными контрактами. Учебное пособие. Управление финансовыми риск: теория и практика. 2004г.
8. Лесинский С.В. Финансовые фьючерсы и опционы. – М.: Финансы и статистика, 2004.
9. Лукасевич И.Я. Анализ финансовых операций. Методы, модели, техника вычислений. - М.: Финансы, ЮНИТИ, 2000.
10. Маршалл Дж., Бансал В. Финансовая инженерия. - М.: Инфра-М, 1998.
11. Торкановский В.С. Рынок ценных бумаг и его финансовые институты. – СПб.: АО "Комплект", 2003.
12. Тьюлз Р., Брэдли Э., Тьюлз Т. Фондовый рынок. М. Инфра-М. 1997.
13. Шарп У., Александер Г., Бейли Дж. Инвестиции. - М.: Инфра-М, 2007.
14. Финансы организаций Поляк /. Учеб. Для вузов/ М: Юнити-Дана, 2008г.
15. Финансовый менеджмент: теория и практика: Учебник / Под ред. Е.С. Стояновой. – 5-е изд., перераб. и доп. – М.: Перспектива, 2000.
16. Фундаментальный анализ финансовых рисков / Под ред. Кияница А.С. – М.: ПИТЕР, 2005.
17. Шеремет А.Д., Сайфулин Р.С. Финансы предприятий.- М.: ИНФРА-М, 2006. Экономика предприятия / Под ред. В.Я. Горфинкеля.- М.: ЮНИТИ, 2006 г.
18. Вайн С. Опционы: Полный курс для профессионалов. — М.: Альпина Паблишер, 2005.
19. Килячков А.А., Чалдаева Л.А. Рынок ценных бумаг и биржевое дело. — М.: Экономистъ, 2006.
20. Ценные бумаги: Учеб. / Под ред. В.И. Колесникова, В.С. Торкановского. — 2-е изд. — М.: Финансы и статистика, 2006.
21. Мишин С., Назарова Л. "Сегодня - игра, завтра - дело" - Экономика и жизнь
22. Словарь Traid Online Labrary
http://www.trader-lib.ru/books/467/index.html#3
23. ru.wikipedia.org
|