| Курсовая работа
по дисциплине «Технологии программирования»
на тему:
«Фибоначчиевы кучи»
Введение. 3
Глава I. Фибоначчиевы кучи. 4
1.1. Двоичные кучи.. 4
1.2. Области применения.. 5
1.3. Свойства и операции на кучах.. 5
1.4. Понятие фибоначчиевы кучи.. 7
1.5. Добавление элемента.. 11
1.6. Время выполнения различных операций для трёх видов сливаемых куч (n – общее число элементов в кучах на момент операции).. 13
1.7. Оценки времени работы.. 14
Глава II. Пример реализации алгоритма Дейкстры в среде Delphi 15
2.1. Алгоритм Дейкстры.. 15
2.2. Интерфейс. 18
2.3. Кодовая реализация.. 21
Заключение. 26
Литература. 28
Приложение. 29
Приложение 1. Листинг программы «Алгоритм Дейкстры».. 29
Приложение 2. Тестовое задание.. 36
Существует много задач, где применяется работа с графами. При такой работе более целесообразно использовать фибоначиевы кучи.
При помощи фибоначиевых куч можно легко проводить сортировку, удалять, добавлять, уменьшать ключи, вершины, элементы.
Фибоначчиевы кучи ввел М.Фредман и Р.Тарьян. В их статье описаны также приложения фибоначчиевых куч к задачам о кратчайших путях из одной вершины, о кратчайших путях для всех пар вершин, о паросочетаниях с весами и о минимальном покрывающем дереве.
Теоретически фибоначчиевы кучи особенно полезны, если число операций удаления мало по сравнению с остальными операциями. Такая ситуация возникает во многих приложениях.
Объект данной курсовой- фибоначчиевы кучи.
Цель- научиться работать с фибоначчиевыми кучами.
Задачи:
1. Изучить теорию по теме фибоначиевы кучи.
2. Научиться на практике применять полученные знания.
3. Создать программу, использующую, алгоритм Дейкстры
Актуальность: алгоритм Дейкстры очень сложен для ручного расчета, поэтому его реализация очень актуальна.
Глава
I. Фибоначчиевы кучи
Для того, чтобы лучше понять, что такое фибоначчиевы кучи, следует вначале рассмотреть общее понятие кучи.
Структура "Двочная куча" (Binary Heap) позволяет хранить пары ключ-значение (key-value), и быстро выполнять операцию извлечения пары с минимальным значением ключа и операцию добавления новых пар.
С помощью двоичной кучи обычно реализуется очередь с приоритетами --- структура, позволяющая хранить объекты с приоритетами (например задания с приоритетами), извлекать самый приоритетный объект, добавлять новые объекты, быстро обновлять их приоритеты.
Забиваем Сайты В ТОП КУВАЛДОЙ - Уникальные возможности от SeoHammer
Каждая ссылка анализируется по трем пакетам оценки: SEO, Трафик и SMM.
SeoHammer делает продвижение сайта прозрачным и простым занятием.
Ссылки, вечные ссылки, статьи, упоминания, пресс-релизы - используйте по максимуму потенциал SeoHammer для продвижения вашего сайта.
Что умеет делать SeoHammer
— Продвижение в один клик, интеллектуальный подбор запросов, покупка самых лучших ссылок с высокой степенью качества у лучших бирж ссылок.
— Регулярная проверка качества ссылок по более чем 100 показателям и ежедневный пересчет показателей качества проекта.
— Все известные форматы ссылок: арендные ссылки, вечные ссылки, публикации (упоминания, мнения, отзывы, статьи, пресс-релизы).
— SeoHammer покажет, где рост или падение, а также запросы, на которые нужно обратить внимание.
SeoHammer еще предоставляет технологию Буст, она ускоряет продвижение в десятки раз,
а первые результаты появляются уже в течение первых 7 дней.
Зарегистрироваться и Начать продвижение

Рисунок 1
Кучи являются основной структурой данных во многих приложениях. В том числе, они применяются:
· при сортировке элементов;
· в алгоритмах выбора, для поиска минимума и/или максимума, медианы;
· в алгоритмах на графах, в частности, при построении минимального остовного дерева алгоритмом Крускала (Joseph Kruskal), при нахождении кратчайшего пути алгоритмом Дейкстры (Edsger W. Dijkstra).
В общем случае куча представляет собой одно или несколько деревьев с явно выделенными корнями, элементы хранятся в вершинах. Основное свойство кучи (heap order): ключ каждой вершины не меньше, чем ключ её родителя. В дальнейшем корень дерева T будем обозначать как root(T), а значение ключа в вершине t как value(t).
Основными операциями на кучах можно считать:
· MAKE(x) - создание кучи из элемента x;
· INSERT(x, h) - добавление нового элемента x в кучу h;
· MELD(h1, h2) - слияние куч h1 и h2;
· FIND-MIN(h) - поиск минимального элемента в куче h;
· DELETE-MIN(h) - удаление минимального элемента из кучи h;
· DECREASE(x, h, y) - замена ключа x на меньший ключ y в куче h;
· DELETE(x, h) - удаление произвольного элемента x из кучи h.
Этот список нельзя назвать исчерпывающим, так как в некоторых приложениях могут потребоваться какие-то иные операции, которые в реализации могут использовать данные, а могут быть и независимыми.
Название рассматриваемых куч связано с использованием чисел Фибоначчи при анализе трудоемкости выполнения операций. В отличие от биномиальных куч, в которых операции вставки, поиска элемента с минимальным ключом, удаления, уменьшения ключа и слияния выполняются за время , в фибоначчиевых кучах они выполняются более эффективно. Операции, не требующие удаления элементов, в этих кучах имеют учетную стоимость . Теоретически фибоначчиевы кучи особенно полезны, если число операций удаления мало по сравнению с остальными операциями. Такая ситуация возникает во многих приложениях.
Например, алгоритм, обрабатывающий граф, может вызывать процедуру уменьшения ключа для каждого ребра графа. Для плотных графов, имеющих много ребер, переход от к в оценке времени работы этой операции может привести к заметному уменьшению общего времени работы. Наиболее быстрые известные алгоритмы для задач построения минимального остовного дерева или поиска кратчайших путей из одной вершины используют фибоначчиевы кучи.
Сервис онлайн-записи на собственном Telegram-боте
Попробуйте сервис онлайн-записи VisitTime на основе вашего собственного Telegram-бота:
— Разгрузит мастера, специалиста или компанию;
— Позволит гибко управлять расписанием и загрузкой;
— Разошлет оповещения о новых услугах или акциях;
— Позволит принять оплату на карту/кошелек/счет;
— Позволит записываться на групповые и персональные посещения;
— Поможет получить от клиента отзывы о визите к вам;
— Включает в себя сервис чаевых.
Для новых пользователей первый месяц бесплатно.
Зарегистрироваться в сервисе
К сожалению, скрытые константы в асимптотических оценках трудоемкости велики и использование фибоначчиевых куч редко оказывается целесообразным: обычные двоичные ( -ичные) кучи на практике эффективнее. С практической точки зрения желательно придумать структуру данных с теми же асимптотическими оценками, но с меньшими константами. Такие кучи будут рассмотрены в следующих разделах.
При отсутствии операций уменьшения ключа и удаления элемента фибоначчиевы кучи имели бы ту же структуру, что и биномиальные. Но в общем случае фибоначчиевы деревья обладают большей гибкостью, чем биномиальные. Из них можно удалять некоторые узлы, откладывая перестройку дерева до удобного случая.
Строение фибоначчиевой кучи. Каждая фибоначчиева куча состоит из нескольких деревьев. В отличие от биномиальных деревьев, здесь дети любого узла могут записываться в любом порядке. Они связываются в двусторонний циклический список. Каждый узел этого списка имеет поля и , указывающие на его соседей в списке. На рис. 1.0 показано схематическое строение фибоначчиевой кучи.

Рисунок 2
Двусторонние циклические списки удобны по двум причинам. Во-первых, из такого списка можно удалить любой узел за время . Во-вторых, два таких списка можно соединить в один за время .
Помимо указанной информации, каждый узел имеет поле , где хранится его степень (число детей), а также поле . В этом поле хранится булевское значение. Смысл его таков: истинно, если узел потерял ребенка после того, как он в последний раз сделался чьим-либо потомком. Позже будет ясно, как и когда это поле используется.
Корни деревьев, составляющих фибоначчиеву кучу, также связаны с помощью указателей и в двусторонний циклический список, называемый корневым списком. Таким образом, каждый узел фибоначчиевой кучи представляется записью вида

Доступ к куче производится ссылкой на узел с минимальным ключом. Кроме того, общее число узлов задается атрибутом .
Потенциал. При анализе учетной стоимости операций используют метод потенциала. Пусть — число деревьев в корневом списке кучи , а — количество помеченных узлов. Потенциал определяется формулой

В каждый момент времени в памяти может храниться несколько куч; общий потенциал по определению равен сумме потенциалов всех этих куч. В дальнейшем мы выберем единицу измерения потенциала так, чтобы единичного изменения потенциала хватало для оплаты операций (формально говоря, мы умножим потенциал на подходящую константу). В начальном состоянии нет ни одной кучи и потенциал равен . Как и положено, потенциал всегда неотрицателен.
Максимальная степень Через обозначим верхнюю границу для степеней узлов в кучах, которые могут появиться при выполнении операций. Аргументом функции является общее число всех узлов в куче, обозначаемое через .
Мы не будем углубляться в анализ трудоемкости операций с фибоначчиевыми кучами, отсылая читателя к соответствующей литературе, скажем только, что и все операции, кроме операции удаления элемента, имеют амортизационную трудоемкость , а операция удаления — .
Впоследствии Д.Дрисколл и Р.Тарьян разработали структуру данных, называемую , как замену для фибоначчиевых куч. Есть две разновидности такой структуры данных. Одна из них дает те же оценки учетной стоимости, что и фибоначчиевы кучи. Другая — позволяет выполнять операцию за время в худшем случае, а операции и Delete — за время в худшем случае. Эта структура данных имеет также некоторые преимущества по сравнению с фибоначчиевыми кучами при использовании в параллельных алгоритмах.
Фибоначчиева куча является структурой данных для хранения данных позволяющей быстро производить следующие операции: добавление элемента, получение минимального элемента, удаление минимального элемента, уменьшение ключа по ссылке и удаление по ссылке. Данная структура организована следующим образам:
1. Существует явная ссылка на минимальный элемент.
2. У каждой вершины есть ссылка на правый и левый элемент в двусвязном списке содержащим эту вершину.
3. У каждой вершины есть ссылка child указывающая на одну из вершин спика ее детей.
4. У каждой вершины есть ссылка parent указывающая на родителя.
5. У каждой вершины есть булевское поле marked использующаяся при уменьшение ключа (см. ниже). Оно истинно если вершина потеряла ребенка после того как сделалась чьим-нибудь ребенком.
6. Список содержащей минимальную вершину называется корневым списком и родители всех его вершин отсутствуют.
Рассмотрим теперь реализуемые алгоритмы по отдельности.
Добавим нашу вершину в корневой список. Если окажется, что значение её ключа меньше минимального, то она становиться новой минимальной вершиной.
Ссылка minElement зануляется.
Удаление минимального элемента
Удаление минимального элемента состоит из двух частей. Сначала мы удаляем минимальную вершину из кучи, а всех ее детей добляем в корневой список. После этого мы объединяем вершины из корневого списка в вершины большей степени. Для этого мы создаем массив ссылок на элементы нашей кучи (индекс соответствует степени вершины). Просмотрим все вершины корневого списка занося их в массив, если окажется, что тот элемент, куда мы хотим занести нашу вершину, уже занят, то мы объединим эти две вершины в одну большей степени, сделав вершину с большим ключом ребенком вершины с меньшим ключом. Получившуюся вершину попробуем опять занести в массив и т. д. После добавим все вершины из массива в корневой спиок, находя паралельно минимум.
Уменьшение ключа
Данный алгоритм делится на два случая:
1. Новый ключ вершины больше ключа родителя. Тогда достаточно уменьшить ключ вершины до нового значения.
2. Новый ключ вершины меньше ключа родителя. Тогда перенесем нашу вершину в корневой список. После этого рассмотрим цепочку предков нашей вершины (её родитель, родитель ее родителя и т. д.). Найдем в этой цепочке первую неотмеченную вершину. Все вершины до нее переместим в корневой список, а ее отметим.
Удаление вершины
Для удаление вершины сначала уменьшим ее значение до «минус бесконечности», а потом удалим минимальную вершину.
| Процедура
|
Двоичные кучи (в худшем случае)
|
Биномиальные кучи (в худшем случае)
|
Фибоначчиевы кучи (учётная стоимость)
|
| Создание
|
Q
(1)
|
Q
(1)
|
Q
(1)
|
| Вставка
|
Q
(log n)
|
O(log n)
|
Q
(1)
|
| Найти мин.
|
Q
(1)
|
O(log n)
|
Q
(1)
|
| Удалить мин.
|
Q
(log n)
|
Q
(log n)
|
O(log n)
|
| Слить
|
Q
(n)
|
O(log n)
|
Q
(1)
|
| Уменьшить ключ
|
Q
(log n)
|
Q
(log n)
|
Q
(1)
|
| Удалить
|
Q
(log n)
|
Q
(log n)
|
O(log n)
|
1.7. Оценки времени работы
Сводная таблица амортизированного времени работы:
| Операция
|
Binary
|
Leftist
|
Top-Down Skew
|
Bottom-Up Skew
|
Pairing
|
Binomial
|
Fibonacci
|
2-3
|
Soft
|
| MAKE
|
O(1)
|
O(1)
|
O(1)
|
O(1)
|
O(1)
|
O(1)
|
O(1)
|
O(1)
|
O(1)
|
| INSERT
|
O(log N)
|
O(log N)
|
O(log N)
|
O(1)
|
O(log N) *
|
O(log N)
|
O(1)
|
O(1)
|
O(log 1/E)
|
| MELD
|
O(N)
|
O(log N)
|
O(log N)
|
O(1)
|
O(log N) *
|
O(log N)
|
O(1)
|
O(log N)
|
O(1)
|
| FIND-MIN
|
O(1)
|
O(1)
|
O(1)
|
O(1)
|
O(1)
|
O(log N)
|
O(1)
|
O(1)
|
O(1)
|
| DELETE-MIN
|
O(log N)
|
O(log N)
|
O(log N)
|
O(log N)
|
O(log N)
|
O(log N)
|
O(log N)
|
O(log N)
|
O(1)
|
| DECREASE
|
O(log N)
|
O(log N)
|
O(log N)
|
O(log N)
|
O(log N) *
|
O(log N)
|
O(1)
|
O(1)
|
O(1)
|
| DELETE
|
O(log N)
|
O(log N)
|
O(log N)
|
O(log N)
|
O(log N)
|
O(log N)
|
O(log N)
|
O(log N)
|
O(1)
|
*
Для Pairing куч операции добавления элемента, уменьшения ключа и слияния гипотетически выполняются за время O(1), но данная оценка еще не доказана.
Глава
II. Пример реализации алгоритма Дейкстры в среде Delphi
2.1
. Алгоритм Дейкстры
Алгори́тм Де́йкстры — алгоритм на графах , изобретенный Э. Дейкстрой . Находит кратчайшее расстояние от одной из вершин графа до всех остальных. Алгоритм работает только для графов без рёбер отрицательного веса.
Неформальное определение.
Вариант 1. Дана сеть автомобильных дорог, соединяющих города Львовской области. Найти кратчайшие расстояния от Львова до каждого города области (если двигаться можно только по дорогам).
Вариант 2. Имеется некоторое количество авиарейсов между городами мира, для каждого известна стоимость. Найти минимальную стоимость маршрута (возможно, с пересадками) от Копенгагена до Новосибирска .
Вариант 3. Есть план города с нанесёнными на него местами расположения пожарных частей. Определить ближайшую к каждому дому пожарную станцию.
Формальное определение.
Дан простой взвешенный граф G ( V , E ) без петель и дуг отрицательного веса. Найти кратчайшее расстояние от некоторой вершины a графа G до всех остальных вершин этого графа.
Неформальное определение.
Каждой вершине из V
сопоставим метку — минимальное известное расстояние от этой вершины до a
. Алгоритм работает пошагово — на каждом шаге он «посещает» одну вершину и пытается уменьшать метки. Работа алгоритма завершается, когда все вершины посещены.
Инициализация
. Метка самой вершины a
полагается равной 0, метки остальных вершин — бесконечности. Это отражает то, что расстояния от a
до других вершин пока неизвестны. Все вершины графа помечаются как непосещенные.
Шаг алгоритма
. Если все вершины посещены, алгоритм завершается. В противном случае из еще не посещенных вершин выбирается вершина u
, имеющая минимальную метку. Мы рассматриваем всевозможные маршруты, в которых u
является предпоследним пунктом. Вершины, соединенные с вершиной u
ребрами, назовем соседями этой вершины. Для каждого соседа рассмотрим новую длину пути, равную сумме текущей метки u
и длины ребра, соединяющего u
с этим соседом. Если полученная длина меньше метки соседа, заменим метку этой длиной. Рассмотрев всех соседей, пометим вершину u
как посещенную и повторим шаг.
В простейшей реализации для хранения чисел d
[ i
] можно использовать массив чисел, а для хранения принадлежности элемента множеству U — массив булевских переменных.
В начале алгоритма расстояние для начальной вершины полагается равным нулю, а все остальные расстояния заполняются большим положительным числом (большим максимального возможного пути в графе ). Массив флагов заполняется нулями. Затем запускается основной цикл.
На каждом шаге цикла мы ищем вершину с минимальным расстоянием и флагом равным нулю. Затем мы устанавливаем в ней флаг в 1 и проверяем все соседние с ней вершины. Если в ней расстояние больше, чем сумма расстояния до текущей вершины и длины ребра, то уменьшаем его. Цикл завершается когда флаги всех вершин становятся равны 1, либо когда у всех вершин c флагом 0 . Последний случай возможен, если и только если граф G
несвязан.
В разработанном приложении рассчитывается расстояние от выбранной пожарной части до всех остальных города N.
Технические задачи:
1. разработка интерфейса;
2. реализация ввода данных пользователем;
3. осуществление расчета расстояния;
4. организация вывода результата пользователю.
Интерфейс программы включает в себя окно ввода информации, окно выбора начальной пожарной части, три кнопки: очистка, ввод данных и расчет, а так же окно вывода результата.
При нажатии на кнопку «задать расстояние случайно» задается расстояние при помощи random из максимально допустимой длины MAXPATH. 
При нажатии кнопки «рассчитать расстояние» программа сначала заполняет матрицу весов, т.е. перебрасывает пути из таблицы в матрицу, потом проверяет, выбрана ли начальная часть. Если начало выбрано пользователем, то вначале находится прямой путь между частями, а после не прямой. И в конце работы программы выводится результат- все допустимые пути. 
Если начальная пожарная часть не выбрана, то об этом сообщается пользователю в виде сообщения.

При нажатии «очистить» происходит очистка таблицы значений и окна вывода результатов.
Первая процедура TForm1.Button4Click задает пути случайным образом.
Листинг 1:
flag: real; // существует ли путь
begin
for i:=1 to StringGrid1.ColCount-1 do // определяется кол- во столбцов
begin
for j:=i+1 to StringGrid1.RowCount-1 do // определяется кол- во строк
begin
flag := random;
if (flag>0.5) then
begin
StringGrid1.Cells[i,j] := IntToStr(random(MAX));// значения из const
StringGrid1.Cells[j,i] := StringGrid1.Cells[i,j];// заполняет таблицу
end;
end;
end;
После этого происходит заполнение матрицы весов.
Листинг 2:
for i:=0 to CHCount-1 do // счетчик на значения
Weights[i,i] := 0; // из части в сам себя
for i:=0 to CHCount-1 do // счетчик на значения
for j:=0 to CHCount-1 do // счетчик на значения
begin
if (StringGrid1.Cells[i + 1, j + 1] <> '') then
Weights[i, j] := StrToInt(StringGrid1.Cells[i + 1, j + 1]);
end; // Если индекс ячейки не относится к шапке, то происходит заполнение
Далее при нажатии кнопки «Рассчитать» происходит вызов процедуры для расчета, которая состоит из четырех различных процедур.
Листинг 3:
GetWeightsMatrix; // перебрасываем пути в матрицу
FirstCountStep; // инициализируем расчет
StraightWay; // находим прямые пути
GoCount; // запускаем расчет
Процедура TForm1.FirstCountStep проверяет выбрана ли начальная часть, и если нужно, то сообщает об ошибке.
Листинг 4:
first := -1;
for i := 0 to CHCount - 1 do // счетчик для определения начальной части
begin
if ListBox1.Selected[i] then // если часть выбрана
first := i; // то присваивается значение начального пути
end;
if (first = -1) then // если не выбрана
begin
MessageDlg('Ошибка: вы не выбрали начальную часть в списке!',
mtError, [mbOK], 0); // то выходит сообщение об ошибке
Процедура TForm1.FormCreate задает части в интетрфейсе.
Листинг 5:
StringGrid1.Cells[0, 0] := 'часть';
for i:= 1 to CHCount do
begin
StringGrid1.Cells[0, i] := CH[i];
StringGrid1.Cells[i, 0] := CH[i];
Listbox1.Items[i-1] := CH[i];
Процедура TForm1.StraightWay находит прямой путь между частями.
Листинг 6:
for i:= 1 to CHCount do // цикл проходящий все части
begin
if Weights[first, i] <> 0 then
Memo1.lines.Add(ListBox1.Items[first] + '=>' + INtToStr(i) +
'(' + IntToStr(Weights[first, i]) + ')'); // выводится в компоненте Memo1 путь
Процедура TForm1.GoCount находит непрямой путь между частями.
Листинг 7:
n := 0; // значение пути
str := (ListBox1.Items[first] + '=>');
for j := 1 to CHCount do // счетчик
begin
for i := 0 to CHCount-1 do // счетчик
begin
if Weights[first, i] <> 0 then // прямой путь
if Weights[i, j] <> 0 then // непрямой путь
begin
n := n + Weights[first, i] + Weights[i, j]; // просчитывается путь прямой + непрямой
str := str + ListBox1.items[i] + '=>';
end;
end;
Memo1.Lines.Add(str + IntToStr(j) + '('+IntToStr(n)+')') // выводится результат
Процедура TForm1.Button1Click производит очистку.
Листинг 8:
for i:= 1 to CHCount do // счетчик
for j:= 1 to CHCount do // счетчик
begin
StringGrid1.Cells[j, i] := ''; // очистка
end;
Memo1.Lines.Clear; // очистка
В первой главе данной курсовой работы было рассмотрено понятие фибоначчиевы кучи, их основные свойства и операции над ними.
Фибоначчиева куча является структурой данных для хранения данных позволяющей быстро производить следующие операции: добавление элемента, получение минимального элемента, удаление минимального элемента, уменьшение ключа по ссылке и удаление по ссылке.
Во второй главе был реализован алгоритм Дейкстры на примере задачи о пожарных частях.
Сложность алгоритма Дейкстры зависит от способа нахождения вершины v
, а также способа хранения множества непосещенных вершин и способа обновления меток. Обозначим через n
количество вершин, а через m
— количество ребер в графе G
.
- В простейшем случае, когда для поиска вершины с минимальным d
[ v
] просматривается все множество вершин, а для хранения величин d
— массив, время работы алгоритма есть O
( n
2
+ m
) . Основной цикл выполняется порядка n
раз, в каждом из них на нахождение минимума тратится порядка n
операций, плюс количество релаксаций (смен меток), которое не превосходит количества ребер в исходном графе.
- Для разреженных графов (то есть таких,для которых m много меньше n²) непосещенные вершины можно хранить в двоичной куче, а в качестве ключа использовать значения d
[ i
], то время извлечения вершины из
станет log n
, при том, что время модификации d
[ i
] возрастет до log n
. Т.к. цикл выполняется порядка n раз, а количество релаксаций не больше m, скорость работы такой реализации O
( n
log n
+ m
log n
)
- Если для хранения непосещенных вершин использовать фибоначчиевы кучи, у которых удаление происходит за O
(log n
) , а уменьшение значения за O
(1) , то время работы алгоритма составит O
( n
log n
+ m
)
Нетрудно показать, что скорость работы алгоритма при использовании фибоначчиевых куч является асимптотически оптимальной и улучшить её нельзя. Так, с одной стороны, задачу сортировки массива из n элементов можно свести к задаче о поиске кратчайших путей на графе из n
вершин; с другой стороны, алгоритму требуется просмотреть все ребра графа, хотя бы по одному разу.
1. Ананий В. Левитин Глава 9. Жадные методы: Алгоритм Дейкстры
// Алгоритмы: введение в разработку и анализ = Introduction to The Design and Analysis of Aigorithms. — М.: «Вильямс» , 2006. — С. 189-195. — ISBN 0-201-74395-7
2. Кормен Т., Лейзерсон Ч., Ривест Р. Алгоритмы: построение и анализ. — М.: МЦНМО, 2001.
3. Статьи «Фибоначчиевы кучи» и «Алгоритм Дейкстры» сайта www.wikipedia.org.
4. Э. Рейнгольд, Ю. Нивергельд, Н. Део. Комбинаторные алгоритмы. Теория и практика. Пер. с англ. – М., Мир, 1980.
5. Ульман Д.Д.Алгоритм Дейкстры. – «Intertera», апр. 2007.
{************************************************************}
{ }
{ Алгоритм Дейкстры }
{ Copyright (c) 2008 ТГИМЭУиП }
{ Факультет управления/ 461 группа }
{ }
{ Разработчик: Долганова Анастасия }
{ Модифицирован: май 2008 }
{ }
{************************************************************}
unit Unit1;
interface
uses
Windows, Messages, SysUtils, Variants, Classes, Graphics, Controls, Forms,
Dialogs, StdCtrls, Grids, jpeg, ExtCtrls;
const
MAX = 200; // максимальная длина пути между двумя вершинами
CHCOUNT = 6; // количество частей
type
TForm1 = class(TForm)
StringGrid1: TStringGrid;
Label1: TLabel;
Memo1: TMemo;
Button4: TButton;
Button6: TButton;
ListBox1: TListBox;
Label2: TLabel;
Button1: TButton;
procedure Button4Click(Sender: TObject);
procedure Button6Click(Sender: TObject);
procedure FormCreate(Sender: TObject);
procedure Button1Click(Sender: TObject);
private
// матрица весов (расстояний между частями)
Weights: array [0..CHCOUNT-1, 0..CHCOUNT-1] of integer;
// индекс части- пункта отправления
first: integer;
procedure GetWeightsMatrix;
procedure FirstCountStep;
procedure GoCount;
procedure StraightWay;
public
{ Public declarations }
end;
var
Form1: TForm1;
implementation
{$R *.dfm}
const CH: array [1..6] of string[3]=
('1-я', '2-я', '3-я',
'4-я', '5-я', '6-я');
procedure TForm1.Button4Click(Sender: TObject); // задает пути между частями случайным образом
var
i, j: integer;
flag: real; // существует ли путь
begin
for i:=1 to StringGrid1.ColCount-1 do
begin
for j:=i+1 to StringGrid1.RowCount-1 do
begin
flag := random;
if (flag>0.5) then
begin
StringGrid1.Cells[i,j] := IntToStr(random(MAX));
StringGrid1.Cells[j,i] := StringGrid1.Cells[i,j];// заполняет таблицу
end;
end;
end;
end;
procedure TForm1.GetWeightsMatrix; // заполняет матрицу весов Weights
var
i, j: integer;
begin
for i:=0 to CHCount-1 do
Weights[i,i] := 0; // из части в саму себя
for i:=0 to CHCount-1 do
for j:=0 to CHCount-1 do
begin
if (StringGrid1.Cells[i + 1, j + 1] <> '') then
Weights[i, j] := StrToInt(StringGrid1.Cells[i + 1, j + 1]);
end;
end;
procedure TForm1.Button6Click(Sender: TObject); вызывает процедуры для расчета
begin
Memo1.Lines.Clear;
GetWeightsMatrix; // перебрасывает пути в матрицу
FirstCountStep; // инициализирует расчет
StraightWay; // находит прямые пути
GoCount; // запускает расчет
end;
procedure TForm1.FirstCountStep; // проверяет, выбрана ли часть из списка
var
i: integer;
begin
first := -1;
for i := 0 to CHCount - 1 do
begin
if ListBox1.Selected[i] then
first := i;
end;
if (first = -1) then
begin
MessageDlg(‘ ошибка: вы не выбрали начальную часть в списке!',
mtError, [mbOK], 0);
exit;
end;
end;
procedure TForm1.FormCreate(Sender: TObject); // задает части в интерфейсе
var
i: integer;
begin
StringGrid1.Cells[0, 0] := 'часть';
for i:= 1 to CHCount do
begin
StringGrid1.Cells[0, i] := CH[i];
StringGrid1.Cells[i, 0] := CH[i];
Listbox1.Items[i-1] := CH[i];
end;
end;
procedure TForm1.StraightWay; // находит прямой путь
var
i : integer;
begin
for i:= 1 to CHCount do
begin
if Weights[first, i] <> 0 then
Memo1.lines.Add(ListBox1.Items[first] + '=>' + INtToStr(i) +
'(' + IntToStr(Weights[first, i]) + ')');
end;
end;
procedure TForm1.GoCount; // находит непрямой путь между частями и вычисляет расстояние
var
i, n, j : integer;
str : string;
begin
n := 0;
str := (ListBox1.Items[first] + '=>');
for j := 1 to CHCount do
begin
for i := 0 to CHCount-1 do
begin
if Weights[first, i] <> 0 then
if Weights[i, j] <> 0 then
begin
n := n + Weights[first, i] + Weights[i, j];
str := str + ListBox1.items[i] + '=>';
end;
end;
Memo1.Lines.Add(str + IntToStr(j) + '('+IntToStr(n)+')')
end;
end;
procedure TForm1.Button1Click(Sender: TObject); // очистка
var
i, j: integer;
begin
for i:= 1 to CHCount do
for j:= 1 to CHCount do
begin
StringGrid1.Cells[j, i] := '';
end;
Memo1.Lines.Clear;
end;
end.
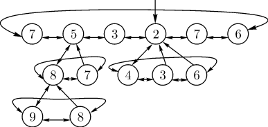
Рассмотрим выполнение алгоритма на примере графа, показанного на рисунке. Пусть требуется найти расстояния от 1-й вершины до всех остальных.

Кружками обозначены вершины, линиями — пути между ними (ребра графа). В кружках обозначены номера вершин, над ребрами обозначена их «цена» — длина пути. Рядом с каждой вершиной красным обозначена метка — длина кратчайшего пути в эту вершину из вершины 1.

Первый шаг
. Рассмотрим шаг алгоритма Дейкстры для нашего примера. Минимальную метку имеет вершина 1. Ее соседями являются вершины 2, 3 и 6.

Первый по очереди сосед вершины 1 — вершина 2, потому что длина пути до нее минимальна. Длина пути в нее через вершину 1 равна кратчайшему расстоянию до вершины 1 + длина ребра, идущего из 1 в 2, то есть 0 + 7 = 7. Это меньше текущей метки вершины 2, поэтому новая метка 2-й вершины равна 7.

Аналогичную операцию проделываем с двумя другими соседями 1-й вершины — 3-й и 6-й.
 
Все соседи вершины 1 проверены. Текущее минимальное расстояние до вершины 1 считается окончательным и обсуждению не подлежит (то, что это действительно так, впервые доказал Дейкстра ). Вычеркнем её из графа , чтобы отметить, что эта вершина посещена.

Второй шаг'
. Шаг алгоритма повторяется. Снова находим «ближайшую» из непосещенных вершин. Это вершина 2 с меткой 7.

Снова пытаемся уменьшить метки соседей выбранной вершины, пытаясь пройти в них через 2-ю. Соседями вершины 2 являются 1, 3, 4.
Первый (по порядку) сосед вершины 2 — вершина 1. Но она уже посещена, поэтому с 1-й вершиной ничего не делаем.
Следующий сосед вершины 2 — вершина 4. Если идти в неё через 2-ю, то длина такого пути будет = кратчайшее расстояние до 2 + расстояние между вершинами 2 и 4 = 7 + 15 = 22. Поскольку 22< , устанавливаем метку вершины 4 равной 22.

Ещё один сосед вершины 2 — вершина 3. Если идти в неё через 2, то длина такого пути будет = 7 + 10 = 17. Но текущая метка третьей вершины равна 9<17, поэтому метка не меняется.

Все соседи вершины 2 просмотрены, замораживаем расстояние до неё и помечаем ее как посещенную.

Третий шаг
. Повторяем шаг алгоритма, выбрав вершину 3. После ее «обработки» получим такие результаты:

Дальнейшие шаги
. Повторяем шаг алгоритма для оставшихся вершин (Это будут по порядку 6, 4 и 5).
  
Завершение выполнения алгоритма
. Алгоритм заканчивает работу, когда вычеркнуты все вершины. Результат его работы виден на последнем рисунке: кратчайший путь от вершины 1 до 2-й составляет 7, до 3-й — 9, до 4-й — 20, до 5-й — 20, до 6-й — 11.
|