| Министерство образования и науки РФ
Муниципальное общеобразовательное учреждение
Леботёрская основная общеобразовательная школа
Чаинский район Томская область
РЕФЕРАТ
по теме: Пифагор и его теорема
Выполнили:
ученицы 8 класса
Пчелкина Ирина
Макарова Надежда
Руководитель:
Стасенко В.К.,
учитель математики
2009 г.
Оглавление
Введение…………………………………..…………………………………….. 3
1. Из биографии Пифагора …………………………………………………..3
2. Пифагор и пифагорийцы …………………………………………………. …4
3. Из истории создания теоремы …………………………………………….. ..5
4. Шесть доказательств теоремы ……………………………………………….6
4.1. Древнекитайское доказательство ……………………………………… 6
4.2. Доказательство Дж. Гардфилда ……………………………………… 7.
4.3 Доказательство старейшее …………………………………………….. 8.
4.4. Доказательство простейшее …………………………………………… 9
4.5 Доказательство древних …………………………………………………10
4.6. Доказательство Евклида ………………………………………………..11.
5. Применение теоремы Пифагора …………………………………………… 12
5.1. Задачи теоретические …………………………………………………..13
5.2. Задачи практические (старинные) …………………………………… 14
Заключение ………………………………………………………………………15
Список литературы …………………………………………………………… 16
ВВЕДЕНИЕ
В этом учебном году мы познакомились с интересной теоремой, известной, как оказалось с древнейших времён:
«Квадрат, построенный на гипотенузе прямоугольного треугольника равновелик сумме квадратов построенных на катетах».
Обычно открытие этого утверждения приписывают древнегреческому философу и математику Пифагору (VI век до н.э). Но изучение древних рукописей показало, что это утверждение было известно задолго до рождения Пифагора.
Мы заинтересовались, почему в таком случае её связывают с именем Пифагора.
Целью нашего исследования было: узнать, кто такой был Пифагор и какое отношение он имеет к этой теореме. Изучая историю теоремы, мы решили выяснить:
o Существуют ли другие доказательства этой теоремы?
o Каково значение этой теоремы в жизни людей?
o Какую роль сыграл Пифагор в развитии математики?
1. Из биографии Пифагора
Пифагор Самосский – великий греческий учёный. Его имя знакомо каждому школьнику. Если попросят назвать одного древнего математика, то абсолютное большинство назовёт Пифагора. Его известность связана с названием теоремы Пифагора. Хотя сейчас уже мы знаем, что эта теорема была известна в древнем Вавилоне за 1200 лет до Пифагора, а в Египте за 2000 лет до него был известен прямоугольный треугольник со сторонами 3, 4, 5, мы по-прежнему называем её по имени этого древнего учёного.
Про жизнь Пифагора достоверно почти ничего не известно, но с его именем связано большое количество легенд.
Пифагор родился в 570 году до н. э на острове Самос. Отцом Пифагора был Мнесарх – резчик по драгоценным камням. Мнесарх, по словам Апулея, «славился среди мастеров своим искусством вырезать геммы», но стяжал скорее славу, чем богатство. Имя матери Пифагора не сохранилось.
Пифагор имел красивую внешность, носил длинную бороду, а на голове золотую диадему. Пифагор - это не имя, а прозвище, которое философ получил за то, что всегда говорил верно и убедительно, как греческий оракул. (Пифагор - "убеждающий речью".)
Забиваем Сайты В ТОП КУВАЛДОЙ - Уникальные возможности от SeoHammer
Каждая ссылка анализируется по трем пакетам оценки: SEO, Трафик и SMM.
SeoHammer делает продвижение сайта прозрачным и простым занятием.
Ссылки, вечные ссылки, статьи, упоминания, пресс-релизы - используйте по максимуму потенциал SeoHammer для продвижения вашего сайта.
Что умеет делать SeoHammer
— Продвижение в один клик, интеллектуальный подбор запросов, покупка самых лучших ссылок с высокой степенью качества у лучших бирж ссылок.
— Регулярная проверка качества ссылок по более чем 100 показателям и ежедневный пересчет показателей качества проекта.
— Все известные форматы ссылок: арендные ссылки, вечные ссылки, публикации (упоминания, мнения, отзывы, статьи, пресс-релизы).
— SeoHammer покажет, где рост или падение, а также запросы, на которые нужно обратить внимание.
SeoHammer еще предоставляет технологию Буст, она ускоряет продвижение в десятки раз,
а первые результаты появляются уже в течение первых 7 дней.
Зарегистрироваться и Начать продвижение
Среди учителей юного Пифагора были старец Гермодамант и Ферекид Сиросский (хотя и нет твердой уверенности в том, что именно Гермодамант и Ферекид были первыми учителями Пифагора). Целые дни проводил юный Пифагор у ног старца Гермодаманта, внимая мелодии кифары и гекзаметрам Гомера. Страсть к музыке и поэзии великого Гомера Пифагор сохранил на всю жизнь. И, будучи признанным мудрецом, окруженным толпой учеников, Пифагор начинал день с пения одной из песен Гомера.
Ферекид же был философом и считался основателем италийской школы философии. Таким образом, если Гермодамант ввел юного Пифагора в круг муз, то Ферекид обратил его ум к логосу. Ферекид направил взор Пифагора к природе и в ней одной советовал видеть своего первого и главного учителя.
Но как бы то ни было, неугомонному воображению юного Пифагора очень скоро стало тесно на маленьком Самосе, и он отправляется в Милет, где встречается с другим ученым - Фалесом. Фалес посоветовал ему отправиться за знаниями в Египет, что Пифагор и сделал.
В 550 году до н. э Пифагор принимает решение и отправляется в Египет. Итак, перед Пифагором открывается неизвестная страна и неведомая культура. Многое поражало и удивляло Пифагора в этой стране, и после некоторых наблюдений за жизнью египтян Пифагор понял, что путь к знаниям, охраняемым кастой жрецов, лежит через религию.
Вместе с египетскими мальчиками сел за известняковые пластинки и он, возмужалый Эллин с черной курчавой бородой. Но в отличие от своих меньших сотоварищей уши бородатого Эллина были не на спине, да и голова стояла на месте. Очень скоро Пифагор далеко обогнал своих однокашников. Но школа писцов была лишь первой ступенью на пути к тайному знанию.
После одиннадцати лет обучения в Египте Пифагор отправляется на родину, где по пути попадает в Вавилонский плен. Там он знакомится с вавилонской наукой, которая была более развита, чем египетская. Вавилоняне умели решать линейные, квадратные и некоторые виды кубических уравнений. Они успешно применяли теорему Пифагора более чем за 1000 лет до Пифагора. Сбежав из плена, он не смог долго оставаться на родине из-за царившей там атмосферы насилия и тирании. Он решил переселиться в Кротон (греческая колония на севере Италии).
Именно в Кротоне начинается самый славный период в жизни Пифагора. Там он учредил нечто вроде религиозно-этического братства или тайного монашеского ордена, члены которого обязывались вести так называемый пифагорейский образ жизни. [18]
Сервис онлайн-записи на собственном Telegram-боте
Попробуйте сервис онлайн-записи VisitTime на основе вашего собственного Telegram-бота:
— Разгрузит мастера, специалиста или компанию;
— Позволит гибко управлять расписанием и загрузкой;
— Разошлет оповещения о новых услугах или акциях;
— Позволит принять оплату на карту/кошелек/счет;
— Позволит записываться на групповые и персональные посещения;
— Поможет получить от клиента отзывы о визите к вам;
— Включает в себя сервис чаевых.
Для новых пользователей первый месяц бесплатно.
Зарегистрироваться в сервисе
2. Пифагор и пифагорейцы
Пифагор организовал в греческой колонии на юге Апенинского полуострова религиозно-этическое братство, типа монашеского ордена, который впоследствии назовут пифагорейским союзом. Члены союза должны были придерживаться определённых принципов: во-первых, стремиться к прекрасному и славному, во-вторых, быть полезными, в-третьих, стремиться к высокому наслаждению.
Система морально-этических правил, завещанная Пифагором своим ученикам, была собрана в своеобразный моральный кодекс пифагорейцев «Золотые
стихи», которые пользовались большой популярностью в эпоху Античности, эпоху Средневековья и эпоху Возрождения. Пифагорейская система занятий состояла из трёх разделов:
· учения о числах – арифметике,
· учения о фигурах – геометрии,
· учения о строении Вселенной – астрономии.
Система образования, заложенная Пифагором, просуществовала много веков.
Пифагорейцы учили, что Бог положил числа в основу мирового порядка. Бог – это единство, а мир – множество и состоит из противоположностей. То, что приводит противоположности к единству и соединяет всё в космос, есть гармония. Гармония является божественной и заключается в числовых выражениях. Кто до конца изучит гармонию, сам станет божественным и бессмертным.
Музыка, гармония и числа были неразрывно связаны в учении пифагорейцев. Математика и числовая мистика были фантастически перемешаны в нём. Пифагор считал, что число есть сущность всех вещей и что Вселенная представляет собой гармоническую систему чисел и их отношений. [3]
Школа Пифагора много сделала, чтобы придать геометрии характер науки. Основной особенностью метода Пифагора было объединение геометрии с арифметикой.
Пифагор много занимался пропорциями и прогрессиями и, вероятно, подобием фигур, так как ему приписывают решение задачи: "По данным двум фигурам построить третью, равновеликую одной из данных и подобную второй".
Пифагор и его ученики ввели понятие о многоугольных, дружественных, совершенных числах и изучали их свойства. Арифметика как практика вычислений не интересовала Пифагора, и он с гордостью заявил, что "поставил арифметику выше интересов торговца".
Пифагор одним из первых считал, что Земля имеет форму шара и является центром Вселенной, что Солнце, Луна и планеты имеют собственное движение, отличное от суточного движения неподвижных звезд.
Учение пифагорейцев о движении Земли Николай Коперник воспринял как предысторию своего гелиоцентрического учения. Недаром церковь объявила систему Коперника "ложным пифагорейским учением". [18]
В школе Пифагора открытия учеников приписывались учителю, поэтому практически невозможно определить, что сделал сам Пифагор, а что его ученики.
Споры ведутся вокруг пифагорейского союза уже третье тысячелетие, однако общего мнения так и нет. У пифагорейцев было множество символов и знаков, которые были своего рода заповедями: например, «через весы не шагай», т.е. не нарушай справедливости; огня ножом не вороши», т. е. не задевай гневных людей обидными словами.
Но главным пифагорейским символом -
символом здоровья и опознавательным знаком –
была пентаграмма или пифагорейская звезда –
звёздчатый пятиугольник, образованный диагоналями
правильного пятиугольника. [4]
Членами пифагорейского союза были жители многих городов Греции.
В своё общество пифагорейцы принимали и женщин. Союз процветал более двадцати лет, а потом начались гонения на его членов, многие из учеников были убиты.
О смерти самого Пифагора ходило много самых разных легенд. Но учение Пифагора и его учеников продолжало жить.
3. Из истории теоремы Пифагора
В настоящее время известно, что эта теорема не была открыта Пифагором. Однако одни полагают, что именно Пифагор первым дал ее полноценное доказательство, а другие отказывают ему и в этой заслуге. Некоторые приписывают Пифагору доказательство, которое Евклид приводит в первой книге своих "Начал". С другой стороны, Прокл утверждает, что доказательство в "Началах" принадлежит самому Евклиду.
Как мы видим, история математики почти не сохранила достоверных конкретных данных о жизни Пифагора и его математической деятельности. Зато легенда сообщает даже ближайшие обстоятельства, сопровождавшие открытие теоремы. Многим известен сонет немецкого писателя-романиста Шамиссо:[21]
| Пребудет вечной истина, как скоро
Ее познает слабый человек! И ныне теорема Пифагора Верна, как и в его далекий век. Обильно было жертвоприношенье Богам от Пифагора. Сто быков Он отдал на закланье и сожженье
За света луч, пришедший с облаков. Поэтому всегда с тех самых пор, Чуть истина рождается на свет, Быки ревут, ее почуя, вслед. Они не в силах свету помешать, А могут лишь, закрыв глаза, дрожать От страха, что вселил в них Пифагор.
|
Исторический обзор теоремы Пифагора начнем с древнего Китая.
Здесь особое внимание привлекает математическая книга Чу-пей. В этом сочинении так говорится о пифагоровом треугольнике со сторонами 3, 4 и 5:
"Если прямой угол разложить на составные части, то линия, соединяющая концы его сторон, будет 5, когда основание есть 3, а высота 4"
.
Очень легко можно воспроизвести их способ построения. Возьмем веревку длиною в 12 м. и привяжем к ней по цветной полоске на расстоянии 3м. от одного конца и 4 метра от другого.
Прямой угол окажется заключенным между сторонами длиной в 3 и 4 метра. В этой же книге предложен рисунок, который совпадает с одним из чертежей индусской геометрии Басхары.
Кантор
(крупнейший немецкий историк математики) считает, что равенство 3 ² + 4 ² = 5² было известно уже египтянам еще около 2300 г. до н. э., во времена царя Аменемхета I (согласно папирусу 6619 Берлинского музея).
По мнению Кантора, гарпедонапты, или "натягиватели веревок", строили прямые углы при помощи прямоугольных треугольников со сторонами 3, 4 и 5.
Несколько больше было известно о теореме Пифагора вавилонянам. В одном тексте, относимом ко времени Хаммураби, т.е. к 2000 году до нашей эры, приводится приближенное вычисление гипотенузы прямоугольного треугольника; отсюда можно сделать вывод, что в Двуречье умели производить вычисления с прямоугольными треугольниками, по крайней мере, в некоторых случаях.
Геометрия у индусов
была тесно связана с культом. Весьма вероятно, что теорема о квадрате гипотенузы была известна в Индии уже около 8 века до нашей эры. Наряду с чисто ритуальными предписаниями, существуют и сочинения геометрически теологического характера, называемые Сульвасутры. В этих сочинениях, относящихся к 4 или 5 веку до нашей эры, мы встречаемся с построением прямого угла при помощи треугольника со сторонами 15, 36, 39.
В средние века
теорема Пифагора определяла границу, если не наибольших возможных, то, по крайней мере, хороших математических знаний. Характерный чертеж теоремы Пифагора, который ныне иногда превращается школьниками, например, в облаченного в мантию профессора или человека в цилиндре, в те времена нередко употреблялся как символ математики.[21]
В заключение приведем различные формулировки теоремы Пифагора в переводе с греческого, латинского и немецкого языков.
Евклида
эта теорема гласит (дословный перевод):
"В прямоугольном треугольнике квадрат стороны, натянутой над прямым углом, равен квадратам на сторонах, заключающих прямой угол".
Латинский перевод арабского текста Аннариции
(около 900 года до нашей эры), сделанный Герхардом Кремонским
(12 век) гласит (в переводе):
«Во всяком прямоугольном треугольнике квадрат, образованный на стороне, натянутой над прямым углом, равен сумме двух квадратов, образованных на двух сторонах, заключающих прямой угол»
В Geometry Culmonensis (около 1400года) теорема читается так (в переводе):
“Итак, площадь квадрата, измеренного по длиной стороне, столь же велика, как у двух квадратов, которые измерены по двум сторонам его, примыкающим к прямому углу”
В русском переводе евклидовых «Начал», теорема Пифагора изложена так:
«В прямоугольном треугольнике квадрат из стороны, противолежащей прямому углу, равен сумме квадратов из сторон, содержащих прямой угол».
[4]
Как видим, в разных странах и разных языках существуют различные варианты формулировки знакомой нам теоремы. Созданные в разное время и в разных языках, они отражают суть одной математической закономерности, доказательство которой также имеет несколько вариантов.
4. Шесть способов доказательства теоремы Пифагора
4.1. Древнекитайское доказательство
[4]
На древнекитайском чертеже четыре равных прямоугольных треугольника с катетами a
,
b
и гипотенузой с
уложены так, что их внешний контур образует квадрат со стороной a
+
b
, а внутренний – квадрат со стороной с
, построенный на гипотенузе
a2
+ 2ab +b2
= c2
+ 2ab
a2
+b2
= c2
4.2. Доказательство Дж. Гардфилда (1882 г.)
[4]
Расположим два равных прямоугольных треугольника так, чтобы катет одного из них был продолжением другого.
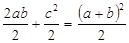
Площадь рассматриваемой трапеции находится как произведение полусуммы оснований на высоту
S =
C другой стороны, площадь трапеции равна сумме площадей полученных треугольников:
S =
Приравнивая данные выражения, получаем:
или с2
=
a
2
+
b
2
4.3. Старейшее доказательство
(содержится в одном из произведений Бхаскары). [4]

Пусть АВСD квадрат, сторона которого равна гипотенузе прямоугольного треугольника АВЕ (АВ = с, ВЕ = а,
АЕ = b);
Пусть СК
ВЕ = а, DL
CK, AM
DL
ΔABE = ∆BCK = ∆CDL = ∆AMD,
значит KL = LM = ME = EK = a-b.
.
4.4. Доказательство простейшее
[21]
| 
|
Это доказательство получается в простейшем случае равнобедренного прямоугольного треугольника.
Вероятно, с него и начиналась теорема.
В самом деле, достаточно просто посмотреть на мозаику равнобедренных прямоугольных треугольников, чтобы убедиться в справедливости теоремы.
Например, для треугольника АВС: квадрат, построенный на гипотенузе АС, содержит 4 исходных треугольника, а квадраты, построенные на катетах, - по два. Теорема доказана.
|
4.5. Доказательство древних индусов [
2]
а) б)
Квадрат со стороной (a+b), можно разбить на части либо как на рисунке а), либо как на рисунке b). Ясно, что части 1,2,3,4
на обоих рисунках одинаковы. А если от равных (площадей) отнять равные, то и останутся равные, т.е. с2
= а2
+
b
2
.
Впрочем, древние индусы, которым принадлежит это рассуждение, обычно не записывали его, а сопровождали лишь одним словом:
Смотри!
4.6. Доказательство Евклида
[1, 20]
В течение двух тысячелетий наиболее распространенным было доказательство теоремы Пифагора, придуманное Евклидом. Оно помещено в его знаменитой книге «Начала».
Евклид опускал высоту BН из вершины прямого угла на гипотенузу и доказывал, что её продолжение делит достроенный на гипотенузе квадрат на два прямоугольника, площади которых равны площадям соответствующих квадратов, построенных на катетах.
Чертёж, применяемый при доказательстве этой теоремы, в шутку называют «пифагоровы штаны». В течение долгого времени он считался одним из символов математической науки.
Доказательство теоремы Пифагора учащиеся средних веков считали очень трудным и называли его Dons asinorum- ослиный мост, или elefuga- бегство "убогих", так как некоторые "убогие" ученики, не имевшие серьезной математической подготовки, бежали от геометрии. Слабые ученики, заучившие теоремы наизусть, без понимания, и прозванные поэтому "ослами", были не в состоянии преодолеть теорему Пифагора, служившую для них вроде непреодолимого моста. Из-за чертежей, сопровождающих теорему Пифагора, учащиеся называли ее также "ветряной мельницей", составляли стихи вроде "Пифагоровы штаны на все стороны равны", рисовали карикатуры.

5. Применение теоремы Пифагора.
5.1. Задачи теоретические современные
1. Периметр ромба 68 см., а одна из его диагоналей равна 30 см. Найдите длину другой диагонали ромба. [4]
2. Гипотенуза КР прямоугольного треугольника КМР равна 
см., а катет МР равен 4 см. Найдите медиану РС. [4]
3. На сторонах прямоугольного треугольника построены квадраты, причем
S1
-S2
=112 см2
, а S3
=400 см2
. Найдите периметр треугольника. [4]
4. Дан треугольник АВС, угол С=900
, CD
AB, AC=15 см., AD=9 см.
Найдите АВ. [4]
5.2. Задачи практические старинные
5. Для крепления мачты нужно установить
4 троса. Один конец каждого троса должен крепиться на высоте 12 м, другой на земле на расстоянии 5 м от мачты. Хватит ли 50 м троса для крепления мачты? [19]
6. Задача индийского математика XII века Бхаскары
[19]
«На берегу реки рос тополь одинокий.
Вдруг ветра порыв его ствол надломал.
Бедный тополь упал. И угол прямой
С теченьем реки его ствол составлял.
Запомни теперь, что в том месте река
В четыре лишь фута была широка.
Верхушка склонилась у края реки.
Осталось три фута всего от ствола,
Прошу тебя, скоро теперь мне скажи:
У тополя как велика высота?»
7. Задача из учебника "Арифметика" Леонтия Магницкого
[
19]
"Случися некому человеку к стене лестницу прибрати, стены же тоя высота есть 117 стоп. И обреете лестницу долготью 125 стоп.
И ведати хочет, колико стоп сея лестницы нижний конец от стены отстояти имать."
8. Задача из китайской "Математики в девяти книгах"
[19]
"Имеется водоем со стороной в 1 чжан = 10 чи. В центре его растет камыш, который выступает над водой на 1 чи. Если потянуть камыш к берегу, то он как раз коснётся его.
Спрашивается: какова глубина воды и какова длина камыша?"
Заключение
Теорема Пифагора настолько известна, что трудно представить себе человека, не слышавшего о ней. Мы изучили ряд исторических и математических источников, в том числе информацию в Интернете, и увидели, что теорема Пифагора интересна не только своей историей, но и тем, что она занимает важное место в жизни и науке. Об этом свидетельствуют приведённые нами в данной работе различные трактовки текста этой теоремы и пути её доказательств.
Итак, теорема Пифагора - одна из главных и, можно сказать, самая главная теорема геометрии. Значение ее состоит в том, что из нее или с ее помощью можно вывести большинство теорем геометрии. Теорема Пифагора замечательна и тем, что сама по себе она вовсе не очевидна. Например, свойства равнобедренного треугольника можно видеть непосредственно на чертеже. Но сколько ни смотри на прямоугольный треугольник, никак не увидишь, что между его сторонами есть простое соотношение: c2
=a2
+b2
. Поэтому для её доказательства часто используют наглядность.
Заслуга же Пифагора состояла в том, что он дал полноценное научное доказательство этой теоремы.
Интересна личность самого учёного, память о котором неслучайно сохранила эта теорема. Пифагор – замечательный оратор, учитель и воспитатель, организатор своей школы, ориентированной на гармонию музыки и чисел, добра и справедливости, на знания и здоровый образ жизни. Он вполне может служить примером для нас, далёких потомков.
Литература и Интернет-ресурсы:
1. Г.И. Глейзер История математики в школе VII – VIII классы, пособие для учителей, - М: Просвещение 1982г.
2. И.Я. Демпан, Н.Я. Виленкин «За страницами учебника математики» Пособие для учащихся 5-6 классов, Москва, Просвещение 1989г.
3. И.Г. Зенкевич «Эстетика урока математики», М.: Просвещение 1981г.
4. Войтикова Н.В. «Теорема Пифагора» курсовая работа, Анжеро-Судженск, 1999г.
5. В. Литцман .Теорема Пифагора, М. 1960.
6. А.В. Волошинов «Пифагор» М. 1993.
7. Л. Ф. Пичурин «За страницами учебника алгебры» М. 1990.
8. А. Н. Земляков «Геометрия в 10 классе» М. 1986.
9. В. В. Афанасьев «Формирование творческой активности студентов в процессе решения математических задач» Ярославль 1996.
10. П. И. Алтынов «Тесты. Геометрия 7 – 9 кл.» М. 1998.
11. Газета «Математика» 17/1996.
12. Газета «Математика» 3/1997.
13. Н. П. Антонов, М. Я. Выгодский, В. В Никитин, А. И. Санкин «Сборник задач по элементарной математики». М. 1963.
14. Г. В. Дорофеев, М. К. Потапов, Н. Х. Розов «Пособие по математике». М. 1973
15. А. И. Щетников “ Пифагорейское учение о числе и величине “. Новосибирск 1997.
16. «Действительные числа. Иррациональные выражения» 8 класс. Издательство Томского университета. Томск – 1997.
17. М.С. Атанасян “Геометрия” 7-9 класс. М: Просвещение, 1991
18. www.moypifagor
.narod.ru/
19. http://www.zaitseva-irina.ru/html/f1103454849.html
20. http://ru.wikipedia.org/wiki/Теорема_Пифагора
21. http://th-pif.narod.ru/history.htm
|