| АНТИЦИКЛИЧЕСКОГО РЕГУЛИРОВАНИЯ ЭКОНОМИКИ
Эффект акселератора
Государственное антициклическое регулирование экономики осуществляется на основе классической и кейнсианской теории. Для полного понимания неокейнсианской концепции антициклического регулирования экономики необходимо ввести понятие «эффекта акселератора».
Ученые-экономисты, анализируя среднесрочные экономические циклы, пришли к выводу, что изменение совокупного спроса на потребительские товары практически всегда вызывает большее изменение в спросе на инвестиционные товары. То есть небольшое увеличение спроса на готовую продукцию веде! к еще большему усилению спроса на факторы производства, с помощью которых эта продукция производится. И наоборот, небольшое уменьшение спроса на готовую продукцию ведет к еще большему сокращению спроса на факторы производства. Дж. Кларк назвал эту зависимость «эффектом акселератора».
Также исследовавший эту проблему А. Афтальон дал аналогичное объяснение сути акселератора: увеличение совокупного спроса на потребительские товары через некоторое время приводит к еще большему спросу на инвестиционные товары, использованные для производства данных потребительских товаров.
В целом акселератор выражает влияние величины запаса на величину потока (вспомните, что мультипликатор выражал обратное воздействие).
Акселератор отражает степень изменения I объема валовых инвестиций (расходов) в ! зависимости от изменения величины национальною ; дохода.
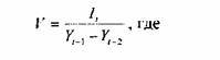
Коэффициент акселерации рассчитывается как прямое отношение валовых инвестиций к приросту национального Дохода.

V коэффициеш акселерации;
1 - величина инвестиций;
Y - величина национального дохода;
t - год, в который были осуществлены инвестиции.
Так, если увеличение совокупного спроса на потребительские товары имело место между 2002 и 2003 годом, то инвестиции будут сделаны только в 2004 году, так как коэффициент акселерации надо будет рассчитывать следующим обпгпом-
Важно не забывать, что между тем периодом, когда произошло увеличение совокупного спроса на потребительские товары, и периодом, когда будут сделаны инвестиции в средства производства этих товаров, пройдет какое-то время. В нашем случае - один год.
Забиваем Сайты В ТОП КУВАЛДОЙ - Уникальные возможности от SeoHammer
Каждая ссылка анализируется по трем пакетам оценки: SEO, Трафик и SMM.
SeoHammer делает продвижение сайта прозрачным и простым занятием.
Ссылки, вечные ссылки, статьи, упоминания, пресс-релизы - используйте по максимуму потенциал SeoHammer для продвижения вашего сайта.
Что умеет делать SeoHammer
— Продвижение в один клик, интеллектуальный подбор запросов, покупка самых лучших ссылок с высокой степенью качества у лучших бирж ссылок.
— Регулярная проверка качества ссылок по более чем 100 показателям и ежедневный пересчет показателей качества проекта.
— Все известные форматы ссылок: арендные ссылки, вечные ссылки, публикации (упоминания, мнения, отзывы, статьи, пресс-релизы).
— SeoHammer покажет, где рост или падение, а также запросы, на которые нужно обратить внимание.
SeoHammer еще предоставляет технологию Буст, она ускоряет продвижение в десятки раз,
а первые результаты появляются уже в течение первых 7 дней.
Зарегистрироваться и Начать продвижение
Политика государственного антициклического регулирования экономики
Как мы уже отмечали, в основе политики
государственного регулирования экономики лежат
неокейнсианские и неоклассические принципы. Будучи сторонниками государственного контроля и регулирования экономики, представители неокейнсианского направления рекомендуют государству непосредственно вмешиваться в экономические процессы с целью их корректировки. Представители же неоклассического направления настаивают на
ограничении прямого государственного воздействия на хозяйствующие субъекты, предлагая косвенные меры регулирования экономики. Нсоксйнсианцы делают акцент на регулировании совокупного спроса, в то время как ориентиром неоклассиков выступает совокупное предложение.
Одной из основных целей экономической политики правительства является достижение постоянных, умеренных темпов роста ВВП, что ведет к увеличению благосостояния и повышению уровня жизни всех граждан страны. Такой тип экономического развития принято называть «устойчивым».
Добиться устойчивою экономического роста - это значит не допускать резких подъемов и спадов. Несмотря на то, что такая цель является одинаковой для правительств, использующих как нсоксйнсианскис, так и неоклассические рецепты для регулирования экономики, средства ее достижения будут разниться.
Неокейнсианским инструментом регулирования
экономического развития страны выступает, в первую очередь, бюджетно-налоговая политика. С точки зрения неокейнсианцев, при резком экономическом подъеме для замедления экономической активности правительство должно сократить государственные расходы и увеличить налоги. Следствием данных мероприятий станет снижение совокупного спроса в стране, усиливаемое эффектом мультипликатора и акселератора, так как начнут сокращаться совокупные доходы. Это приведет к снижению закупок, уровня цен и замедлению производства ВВП. В данном случае результатом деятельности правительства станет сглаживание амплитуды цикла и недопущение «перегрева конъюнктуры» вследствие увеличения совокупного спроса.
В противоположном случае правительство должно будет снизить налоги и увеличить государственные расходы, чтобы не Допустить экономического кризиса и вывести экономику на -Л°ь1шательную волну. Именно в период подъема правительство
должно запасать средства, в том числе через налогообложение, для финансирования экономики на спаде.
Еще одним инструментом антициклического
Сервис онлайн-записи на собственном Telegram-боте
Попробуйте сервис онлайн-записи VisitTime на основе вашего собственного Telegram-бота:
— Разгрузит мастера, специалиста или компанию;
— Позволит гибко управлять расписанием и загрузкой;
— Разошлет оповещения о новых услугах или акциях;
— Позволит принять оплату на карту/кошелек/счет;
— Позволит записываться на групповые и персональные посещения;
— Поможет получить от клиента отзывы о визите к вам;
— Включает в себя сервис чаевых.
Для новых пользователей первый месяц бесплатно.
Зарегистрироваться в сервисе
регулирования является кредитно-денежная, или монетарная,
политика. С точки зрения неоклассиков, монетарная политика
является основой антициклического регулирования. Ее суть
сводится к изменению количества денег в обращении. Как мы
знаем, изменение величины денежной массы вызывает обратное
изменение ставки банковского процента. Так, на повышательной
волне правительство в лице центрального банка должно
уменьшить объем наличной денежной массы, результатом чего
станет рост процентной ставки (вспомните график равновесия на
денежном рынке в занятии № 8). Рост ставки ведет к
удорожанию кредита, так как процент за пользование кредитом
также увеличится. Все меньшее количество фирм смогут
пользоваться кредитом не только для расширения, но и
поддержания на прежнем уровне своих производственных
объемов (кроме прочего, кредит берется для расчетов с
поставщиками, потому' что произведенная продукция не сразу
может бьпь продана или не сразу получены деньги за ее
реализацию). Совокупное предложение перестане!
увеличиваться и начнет сокращаться. Результатом правительственных усилий станет охлаждение конъюнктуры.
Если точка пика пройдена и страна вошла в фазу сокращения, то правительство должно увеличить количество денег в обращении и тем самым приостановить экономический спад. Процентная ставка и процент за кредит уменьшатся, кредит станет более доступным, и производство начнет увеличиваться, уменьшая безработицу, но усиливая темп роста цен.
Заметим, что и бюджетно-налоговая, и кредитно-денежная политика используются как неокейнсианцами, так и
неоклассиками. Однако неокейпсианцы делают акцепт па первой, а нсоклассики - на второй.
Представим направления антициклического государственного регулирования экономики на графике (рис. 13.1).

Как уже отмечалось, независимо от применяемых Инструментов антициклического регулирования, правительство ставит цель достижения постоянного, или устойчивою, экономического роста. В случае резкого экономического роста правительство начинает проводить политику, направленную на охлаждение конъюнктуры (политику сдерживания, или рсстрикционную политику), ведущую к уменьшению деловой активности и объема ВВП. Если экономика сталкивается с падением темпов экономического роста, то правительство ЛЕрлодит политику, направленную на разогрев конъюнктуры
(политику разогрева, или экспансионистскую политику), выражающуюся в повышении деловой активности и объема ВВП страны. Представители нсоксйнсианского направления рекомендуют использовать для этого в первую очередь бюджетно-налоговую политик)', а неоклассики делают акцент на кредитно-денежной политике.
РЕЗЮМЕ
1. Акселератор показывает зависимость
увеличения инвестиций от роста национального дохода.
Несмотря на то. что экономическое развитие любой страны имеет циклическую форму, правительство счремится к поддержанию нос гонимых темпов экономического роста.
Для осуществления своей цели правительство проводит антициклическую политику, в основе которой лежат принципы неокейнсианской и неоклассической концепций.
В качестве основного инструмента антициклического регулирования неокейнсианцы предлагают проводить активную бюджетно-налоговую политику, направленную на регулирование совокупного спроса.
Неоклассики предлагают регулировать экономику путем воздействия на совокупное предложение в основном с номошыо кредитно-денежной политики.
|