| Монопо́лия
(греч. «монос»- один, «полео»- продаю») — фирма(ситуация на рынке, на котором действует такая фирма), действующая в условиях отсутствия значимых конкурентов (выпускающая товар(ы) и/или оказывающая услуги, не имеющие близких заменителей). Первые в истории монополии создавались сверху санкциями государства, когда одной фирме давалось привилегированное право торговли тем или иным товаром. При чистой монополии на рынке всего один продавец.Это может быть государственная организация,частная регулируемая монополия или частная нерегулируемая монополия.В каждом отдельном случае ценообразование складывается по-разному.Государственная монополия может с помощью политики цен преследовать достижение самых разных целей:например,установить цену ниже себестоимости,если товар имеет важное значение для покупателей,которые не в состоянии приобретать его за полную стоимость.Цена может быть составлена с расчетом на покрытие издержек или получение хороших доходов.А может быть и так,что цена назначается очень высокой для всемерного сокращения потребления.В случае регулируемой монополии государство разрешает компании устанавливать расценки,обеспечивающие получение "справедливой нормы прибыли",которая даст организации возможность поддерживать производство,а при необходимости и расширять его.И наоборот при нерегулируемой монополии фирма сама вольна устанавливать любую цену,какую только выдержит рынок.Тем не менее по ряду причин фирмы не всегда запрашивают максимально возможную цену.Здесь может играть роль боязнь введения государственного регулирования,нежелание привлекать конкурентов или стремление быстрее проникнуть-благодаря невысоким ценам-на всю глубину рынка. Монополия контролирует занимаемый ею сектор рынка полностью или в значительной степени. Антимонопольное законодательство многих стран считает монопольным положением занятие одной фирмой 30-70 % рынка и предусматривает для таких фирм различные санкции — регулирование цен, принудительный раздел фирмы, крупные штрафы и т. п.
Что такое монополистическая конкуренция?
Модель рынка монополистической конкуренции.
Монополистическая конкуренция
– тип рыночной структуры несовершенной конкуренции. Это распространённый тип рынка, наиболее близкий к совершенной конкуренции.
Монополистическая конкуренция
– тип отраслевого рынка, на котором существует достаточно много продавцов, продающих дифференцированный продукт, что позволяет им осуществлять определённый контроль над продажной ценой товара (или услуги).
Монополистическая конкуренция
является не только наиболее распространённой, но и наиболее трудно изучаемой формой отраслевых структур. Для подобной отрасли не может быть построено точной абстрактной модели, как это можно сделать в случаях чистой монополии и чистой конкуренции. Многое здесь зависит от конкретных деталей, характеризующих продукцию и стратегию развития производителя, предсказать которые практически невозможно, а также от природы стратегического выбора, имеющейся у фирм данной категории.
Примерами монополистических конкурентов служат небольшие сети магазинов, ресторанов, рынок сетевой связи и тому подобные отрасли. Монополистическая конкуренция похожа на ситуацию монополии, поскольку отдельные фирмы обладают способностью контролировать цену своих товаров. Она также похожа на совершенную конкуренцию, так как каждый товар продается многими фирмами, а на рынке существует свободный вход и выход.
Особенности монополистической конкуренции

Абстрактная модель монополистической конкуренции в краткосрочном периоде.
Рынок с монополистической конкуренцией характеризуется следующими особенностями:
· Большое число покупателей и продавцов.
На рынке монополистической конкуренции действует относительно большое число продавцов, каждый из которых удовлетворяет небольшую долю рыночного спроса на общий тип товара, реализуемого фирмой и её конкурентами. При монополистической конкуренции размеры рыночных долей фирм составляют в среднем от 1 до 5% общего объёма продаж на данном рынке, что больше, чем в условиях совершенной конкуренции (до 1%). Количество продавцов обуславливает тот факт, что последние не считаются с реакцией своих соперников, когда выбирают объёмы продаж и устанавливают цены на свою продукцию, в отличие от ситуации олигополии, когда на рынке одного товара действует лишь несколько крупных продавцов.
Забиваем Сайты В ТОП КУВАЛДОЙ - Уникальные возможности от SeoHammer
Каждая ссылка анализируется по трем пакетам оценки: SEO, Трафик и SMM.
SeoHammer делает продвижение сайта прозрачным и простым занятием.
Ссылки, вечные ссылки, статьи, упоминания, пресс-релизы - используйте по максимуму потенциал SeoHammer для продвижения вашего сайта.
Что умеет делать SeoHammer
— Продвижение в один клик, интеллектуальный подбор запросов, покупка самых лучших ссылок с высокой степенью качества у лучших бирж ссылок.
— Регулярная проверка качества ссылок по более чем 100 показателям и ежедневный пересчет показателей качества проекта.
— Все известные форматы ссылок: арендные ссылки, вечные ссылки, публикации (упоминания, мнения, отзывы, статьи, пресс-релизы).
— SeoHammer покажет, где рост или падение, а также запросы, на которые нужно обратить внимание.
SeoHammer еще предоставляет технологию Буст, она ускоряет продвижение в десятки раз,
а первые результаты появляются уже в течение первых 7 дней.
Зарегистрироваться и Начать продвижение
· Невысокие барьеры для вступления в отрасль.
При монополистической конкуренции легко основать новую фирму в отрасли или покинуть рынок – вход на данный отраслевой рынок не затруднён такими барьерами, какие ставят на пути новичка монополия и олигопольные структуры. Однако этот вход не настолько лёгок, как при совершенной конкуренции, поскольку вновь пришедшие фирмы часто испытывают трудности со своими новыми для покупателей торговыми марками. Примерами отраслей с преобладанием монополистической конкуренции могут служить рынки женской, мужской или детской одежды, ювелирных изделий, обуви, безалкогольных напитков, книг, а также рынки различных услуг – парикмахерские и т.п.
· Производство дифференцированной продукции имеющей много заменителей.
Хотя на отраслевом рынке продаются товары (или реализуются услуги) одного типа, при монополистической конкуренции продукт каждого продавца обладает специфичными качествами или характеристиками, которые служат тому, чтобы некоторые покупатели предпочли его товар товару конкурирующих фирм. Это называется дифференциацией товара в противовес стандартизированным товарам, характерным для совершенно конкуренции. Специфичность товара даёт каждому продавцу определённую степень монопольной власти над ценой: на престижные товары (например, часы «Ролекс», ручки «Монт Бланк», духи «Шанель») цены всегда устанавливаются выше, чем на аналогичные товары, не имеющие столь знаменитой торговой марки или не столь блестяще разрекламированные.
· Наличие неценовой конкуренции.
Очень часто в условиях монополистической конкуренции фирмы, соперничая друг с другом, не используют ценовую конкуренцию, но зато активно применяют различные способы неценовой конкуренции и в особенности рекламу. При неценовой конкуренции эпицентром соперничества между производителями становятся такие неценовые параметры продукции, как её новизна, качество, надёжность перспективность, соответствие международным стандартам, дизайн, удобство эксплуатации, условия послепродажного обслуживания и др. Фирмы на рынках с монополистической конкуренцией стремятся всеми способами убедить потребителя в том, что их товары отличаются от товаров конкурентов в лучшую сторону. Монопольно конкурентные рынки непрерывно разрабатывают новые товары и улучшают уже имеющиеся. Улучшение товара может быть незначительным, однако многие потребители действительно откликаются на изменение характеристик товара, что позволяет фирме извлекать дополнительную прибыль до тех пор, пока эти улучшения не будут взяты на вооружение её конкурентами.
Сервис онлайн-записи на собственном Telegram-боте
Попробуйте сервис онлайн-записи VisitTime на основе вашего собственного Telegram-бота:
— Разгрузит мастера, специалиста или компанию;
— Позволит гибко управлять расписанием и загрузкой;
— Разошлет оповещения о новых услугах или акциях;
— Позволит принять оплату на карту/кошелек/счет;
— Позволит записываться на групповые и персональные посещения;
— Поможет получить от клиента отзывы о визите к вам;
— Включает в себя сервис чаевых.
Для новых пользователей первый месяц бесплатно.
Зарегистрироваться в сервисе
Краткосрочный период
Суть монополистической конкуренции заключается в том, что каждая фирма продает продукцию, на которую существует много близких, но несовершенных заменителей. В результате каждая фирма имеет дело с убывающей кривой спроса на свою продукцию. В краткосрочном периоде поведение фирмы в условиях монополистической конкуренции во многом аналогично поведению монополии. Так как товар данной фирмы отличается от товаров фирм-конкурентов особыми качественными характеристиками, которые нравятся определённой категории покупателей, тогда фирма может поднять цену своего товара без падения продаж, потому что достаточное число потребителей готово заплатить более высокую цену. Как и монополия, фирма несколько недопроизводит продукцию и завышает на нее цену. Таким образом, монополистическая конкуренция похожа на ситуацию монополии тем, что фирмы обладают способностью контролировать цену своих товаров.
Долгосрочный период
В долгосрочном периоде монополистическая конкуренция аналогична совершенной конкуренции. В условиях свободного доступа на рынок потенциальная возможность получить прибыль привлекает новые фирмы с конкурирующими марками товаров, снижая прибыли до нуля. Этот же процесс работает и в обратном направлении. Если бы спрос на рынке с монополистической конкуренцией снизился после достижения равновесия, то фирмы покинули бы рынок. Это происходит потому, что сокращение спроса сделало бы невозможным для фирм покрывать свои экономические издержки. Они выйдут из отрасли и переместят свои ресурсы в более выгодные предприятия. Когда это произойдёт, кривые спроса и предельного дохода оставшихся на рынке продавцов сместятся вверх. Выход фирм из отрасли будет продолжаться до тех пор, пока не будет достигнуто новое равновесие.

1.
Абстрактная модель монополистической конкуренции в долгосрочном периоде
Влияние монополистической конкуренции на общество
При монополистической конкуренции не достигается производственная эффективность. Помимо этого, часто слышны обвинения в неразумных и неоправданных расходах на дифференциацию продукта и рекламу. При этом выдвигаются следующие аргументы.
1. Общество бесполезно тратит ограниченные редкие ресурсы на создание бессмысленной разницы в продуктах одного типа. Так, аспирин остается аспирином, хотя за некоторые его запатентованные и разрекламированные марки потребителю приходится платить вдвое и более. Потребителям в действительности не нужны, скажем, 50 различных сортов мыла или зубной пасты, которые по сути своей одинаковы. В результате потребители оплачивают и излишнее дифференцирование продукта, и рекламу. Расходы на рекламу составляют подчас до 50% и более от продажной цены товара.
2. Дифференцирование и реклама стремятся воздействовать на вкусы и предпочтения потребителей, изменить их, вызвать новые потребности, таким образом, получается, что люди существуют для удовлетворения нужд фирмы, а не фирмы служат людям. Общество утратило свою изначальную целевую ориентацию – развитие производства для удовлетворения потребностей людей.
3. Информация, содержащаяся в рекламе, по меньшей мере минимальна и недостаточна, а часто бывает и намеренно обманчивой.
4. Реклама своего продукта становится обязательной для фирмы, не желающей проиграть в конкурентной борьбе. Фирмы вынуждены расходовать колоссальные средства непроизводительно: эти расходы не увеличивают спрос на их продукт на рынке, но их отсутствие приведет к потере места на рынке.
5. Расходы на рекламу столь велики, что способны стать барьером на пути вхождения в отрасль и тем самым уменьшить остроту конкуренции.
6. Реклама превращается в вид налога на общество. На 15 мин новостей по телевидению приходится до 20 мин рекламы. Покупая газеты или журнал, потребитель вместе с 50 страницами интересующего его текста вынужден платить и за 75 страниц рекламных объявлений.
Однако несправедливо было бы видеть только отрицательные стороны монополистической конкуренции. Так, те же дифференциация продукта и реклама не столь однозначно плохи.
Их сторонники отмечают, что:
1. Дифференциация продукта помогает наиболее полно удовлетворять потребности людей во всем их многообразии.
2. Постоянное совершенствование продукта ведет к повышению уровня жизни.
3. Дифференциация продукта развивается в направлении улучшения его качества и повышения эффективности производства.
4. Реклама снабжает потребителя ценной информацией о качестве продукта, его цене, способе использования и т.д.
5. Дифференциация и реклама стимулируют конкуренцию и придают импульс к развитию всей рыночной системы. Сравнение двух противоположных мнений о роли рекламы и дифференциации продукта показывает еще раз, что в экономической теории нет абсолютных истин и верных для всех случаев жизни ответов.
Как бы то ни было, монополистическая конкуренция очень близка по многим показателям к конкуренции совершенной, практически не встречающейся в реальной жизни. Монополистическая конкуренция – это наиболее распространенный тип рыночных отношений. Он преобладает в сфере общественного питания, книгоиздании, производстве и продаже мебели, фармацевтических препаратов и т.д. Число фирм в этих отраслях составляет от 500 до 10 000. Монополистические тенденции при данной модели выражены достаточно слабо, а потому считается, что государство может практически не регулировать рынок подобной структуры
Определение цены и объема производства в условиях чистой монополии. Ценовая дискриминация
Следующий этап нашего анализа — изучение поведения на рынке фирмы — чистого монополиста, в частности вопросов, по какой цене и в каком объеме монополист будет реализовывать свой товар. Оптимальный объем производства фирмы-монополиста будет зависеть от двух факторов — рыночного спроса на ее продукцию, с одной стороны, и величины и структуры ее издержек, с другой.
Поскольку фирма-монополист выступает как отрасль, то кривая спроса на весь объем производимого ею товара является и кривой рыночного (отраслевого) спроса. Таким образом, в отличие от совершенной конкуренции, где спрос на товар фирмы абсолютно эластичен и фирма может продавать разные количества товара по одной и той же цене, спрос на продукт монополиста не является абсолютно эластичным. Кривая спроса на его продукцию имеет классический нисходящий вид, причем низкая степень ценовой эластичности спроса на монопольный продукт, порожденная отсутствием товаров-заменителей, будет иметь следствием резко падающий характер этого графика, Нисходящий характер графика спроса означает, что монополист обязан понижать цену производимого товара, чтобы продать дополнительную его единиц. Данный факт скажется на динамике показателей нового и предельного дохода рассматриваемой фирмы Поэтому в отличие от продавца, действующего в условиях совершенной конкуренции, монополист сталкивается с ситуацией, когда его валовой доход имеет сначала положительную динамику (возрастает) а потом, достигнув максимума, начинает падать.
У фирмы-монополиста график предельного дохода всегда лежит ниже графика спроса. Это объясняется тем, что для монополиста MR будет ниже цены (кроме первой единицы продукции), в отличие от конкурентной фирмы, для которой MR = PX. Это связано с тем, что увеличивая объемы продаж, монополистическая фирма вынуждена снижать цену не только на каждую следующую единицу продукции, но и на все предыдущие, которые ранее продавались по более высокой цене.

На графике спроса на продукт монополиста (DX) можно выделить два отрезка:
• эластичного спроса (ЕрD > 1), так как здесь TR растет по мере того, как снижается цена (Р);
•неэластичного спроса (ЕрD < 1), так как здесь TR сокращается по мере того, как снижается цена (Р).
Максимизирующий прибыль монополист будет стремиться избегать неэластичного участка кривой спроса на свой товар, так как на этом отрезке предельный доход (MR) принимает отрицательные значения. Зная об особенностях спроса на продукт монополиста, о «поведении» графиков его предельного и валового дохода, можно перейти к рассмотрению проблемы оптимального объема производства монопольного производителя. Используем уже известные подходы — сначала применим метод сопоставления валового дохода и валовых издержек (TR и TС), а потом метод уравнивания предельных показателей (MR и МС).
Графический анализ ситуации в соответствии с первым подходом предполагает совмещение в одних осях координат двух графиков — TR и TC — и поиск такого значения Qx, для которого расстояние между этими кривыми будет максимальным.

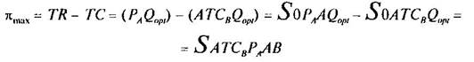
Итак, при объемах производства от 0 до QA и от QB и более фирма-монополист несет убытки, так как в этих интервалах валовой доход ниже валовых издержек (график TR ниже графика ТС). В интервале от QA до QB монополист получает прибыль. На рисунке максимальная прибыль будет достигаться монополистом при Qopt а величина прибыли составит разницу между TR И TС, соответствующих данному объему выпуска, т. е. ?max = TRD - ТСС.
Графическая интерпретация метода MR = МС для случая монопольного производителя представлена на рисунке ниже.

Точка пересечения графиков MR и МС (точка Е) и ее параметр Qopt отражает оптимальный объем производства. Причем Qopt на данном рисунке и на рисунке выше количественно совпадут. Далее по графику Dx определяем, по какой цене данный объем производства Может быть реализован монополистом, это параметр точки А — РА. Проекция точки В на ось ординат (АТСВ) отражает величину средних валовых издержек, соответствующих объему Qopt Таким образом, валовой доход монополиста будет соответствовать площади прямоугольника OPAQopt, а величина валовых издержек — площади прямоугольника OATCBBQopt Прибыль рассчитаем следующим образом:

что соответствует площади заштрихованной фигуры. Или:

Ценовая дискриминация.
При определенных условиях для монополии может возникнуть ситуация, которая в условиях конкурентного рынка была бы невозможна. Монополист может назначать за свою продукцию разную цену различным покупателям для максимизации прибыли. Это явление получило название ценовой дискриминации. Ценовая дискриминация возможна при выполнении следующих условий:
1) продавец товара или должен быть чистым монополистом, или контролировать подавляющую часть рынка данного товара;
2) продавец должен быть способен разделить покупателей на разные группы, которые по-разному могут платить за предлагаемый товар, т. е. сегментировать рынок; возможность сегментирования объясняется тем, что для разных сегментов рынка характерен спрос с разной степенью эластичности;
3) первоначальный покупатель данной продукции не может ее продать по более высокой цене другим потребителям, представляющим другой сегмент рынка.
Классический пример ценовой дискриминации — тарифная политика телефонных компаний, когда минута разговора в разное время суток имеет разную стоимость. Потребитель с неэластичным спросом (например, менеджер фирмы) будет платить высокий дневной тариф. Потребитель с высокоэластичным спросом (например, студент или пенсионер) — заплатит низкий тариф вечернего времени. Многообразие тарифных планов, предлагаемых поставщиками сотовой связи, также может быть упомянуто здесь в качестве примера.
Последствия ценовой дискриминации сводятся к следующему: фирма-монополист увеличивает прибыли; при ценовой дискриминации кривая спроса на предлагаемый продукт практически совпадает с графиком предельного дохода, т. е. у фирмы нет антистимулов к снижению объемов производства и продавцы, проводящие политику ценовой дискриминации, увеличивают выпуск данного товара.
Графическая модель, иллюстрирующая сказанное, представлена ниже. Если проводить сравнения с ситуацией, представленной на рисунке выше, то можно констатировать, что оптимальный объем производства для проводящей ценовую дискриминацию фирмы, будет определяться по точке А. То есть оптимальный объем производства для данной фирмы будет значительно превышать объемы выпуска фирмы, ценовую дискриминацию не проводящей (проекция точки Б на ось Ох на рисунке выше).

Прибыль при ценовой дискриминации будет соответствовать площади фигуры BEАС, которая больше площади прямоугольника АТСВ
РА
АВ на данном рисунке.
Основные черты рынка монополистической конкуренции.
Как показывает практика, в реальной жизни условия, присущие совершенной конкуренции и чистой монополии, редко соблюдаются. Чистую монополию и совершенную конкуренцию можно рассматривать как идеальные рыночные структуры, находящиеся на противоположных полюсах. Реальные же рыночные структуры занимают промежуточное положение, совмещая в себе отдельные черты и чистой монополии, и совершенной конкуренции. Одна из таких рыночных структур — монополистическая конкуренция, для описания которой полезно знать как представленную выше теоретическую модель рынка совершенной конкуренции, так и модель чистой монополии.
Заключение .
Монополистическая конкуренция
— рыночная структура, где превалируют черты совершенной конкуренции и имеются отдельные элементы, характерные для чистой монополии. Особенности монополистической конкуренции:
1. В отрасли функционирует довольно значительное количество небольших фирм, но численно их меньше, чем при совершенной конкуренции. Фирмы создают похожую, но не одинаковую продукцию. Из этого следует, что:
• отдельной фирме принадлежит лишь небольшая доля рынка данного товара;
• рыночная власть отдельной фирмы ограничена, следовательно, контроль рыночной иены товара отдельной фирмой тоже ограничен;
• отсутствует возможность сговора фирм и картелизации отрасли (создания отраслевого картеля), так как достаточно велико количество конкурирующих на рынке фирм;
• каждая фирма практически независима в своих решениях и не учитывает реакцию других конкурирующих фирм при изменении цены своего товара.
2. Реализуемый в отрасли продукт носит дифференцируемый характер. При монополистической конкуренции фирмы на рынке имеют возможность выпускать товар, несхожий с производимым конкурентами. Дифференциация продукции принимает следующие формы:
• разное качество продукции, т. е. товары могут различаться по множеству параметров;
• различные услуги и условия, связанные с продажей продукта (качество обслуживания);
• различия в размещении и доступности товаров (например, небольшой магазин в жилом микрорайоне может конкурировать с супермаркетом, несмотря на более узкий ассортимент предлагаемых товаров);
• мероприятия по стимулированию сбыта (реклама, торговые марки и знаки) и упаковка создают зачастую мнимые различия, которые навязываются потребителям.
Косметика, парфюмерия, фармацевтическая продукция, бытовая техника, услуги и т. п. — примеры дифференцированной продукции. Фирмы, производя дифференцированный продукт, имеют возможность в определенных пределах менять цену продаваемого товара, и кривая спроса отдельной фирмы имеет, как в случае с монополией, «падающий» характер. Каждая фирма-монополистичекий конкурент контролирует небольшую долю отраслевого рынка. Однако дифференциация продукции приводит к тому, что единый рынок распадается на отдельные, относительно самостоятельные части (сегменты рынка). И на таком сегменте доля отдельной, возможно даже маленькой, фирмы может быть очень большой. С другой стороны, товары, продаваемые конкурентами, являются близкими заменителями данного, значит спрос на продукцию отдельной фирмы достаточно эластичен и не понижается так резко, как в случае монополии.
3. Свобода входа в отрасль (на рынок) и выхода из нее. Поскольку в условиях монополистической конкуренции фирмы обычно небольшие по размеру, то чаще всего нет финансовых проблем при вступлении на рынок. С другой стороны, при монополистической конкуренции могут возникнуть дополнительные расходы, cвязанные с необходимостью выделить свой товар (например, расходы на рекламу), что может стать препятствием для входа новых фирм. Существование свободного входа фирм в отрасль приводит к тому, что в результате конкурентной борьбы становится типичной ситуация, когда предприятия в долгосрочном периоде не получают экономических прибылей, функционируя в точке безубыточности.
4. Существование неценовой конкуренции. Ситуация отсутствия экономической прибыли, функционирование в точке безубыточности в долгосрочном периоде не может долго удовлетворять предпринимателя. Стремясь получить экономическую прибыль, он будет пытаться найти резервы увеличения выручки. Возможности ценовой конкуренции в условиях монополистической конкуренции ограничены, и основной резерв здесь — неценовая конкуренция. Неценовая конкуренция построена на использовании преимуществ отдельных фирм в техническом уровне, дизайне, надежности эксплуатации производимых ими изделий. Решающую роль играют такие параметры производимой продукции, как экологичность, энергоемкость, эргономические и эстетические качества, безопасность в эксплуатации. В рамках реализации неценовой конкуренции существует несколько методов:
• дифференциация продукции, связанная с появлением в данный момент времени значительного количества типов, видов, стилей одного и того же товара;
• улучшение качества товара с течением времени, что необходимо из-за существования конкуренции в отрасли;
• реклама. Особенность данной формы неценовой конкуренции состоит в том, что идет приспособление потребительских вкусов к уже существующим видам продукции. Цель рекламы — увеличение доли фирмы на рынке этого товара. Каждая фирма-монополистический конкурент для успешной деятельности должна учитывать не только цену товара и возможности ее изменения, изменения самого продукта, но и возможности рекламно-пропагандистской компании.
Монополистическая конкуренция
— достаточно часто встречающийся тип реальных рыночных структур. Такая структура рынка характерна для пищевой промышленности, производства обуви и одежды, мебельной промышленности, розничной торговли, книгоиздания, многих видов услуг и ряда других отраслей. В России состояние рынка в этих сферах однозначно можно характеризовать как монополистическую конкуренцию, особенно учитывая тот факт, что дифференциация продукции в этих отраслях очень велика.
Итак, монополистическая конкуренция характеризуется тем, что каждая фирма в условиях дифференциации продукции обладает некоторой монопольной властью над своим товаром: она может повышать или же понижать цену на него вне зависимости от действий конкурентов. Однако эта власть ограничивается как наличием достаточно большего количества производителей аналогичных товаров, так и значительной свободой входа в отрасль других фирм. Например, «фанаты» кроссовок фирмы «Рибок» готовы заплатить за ее продукцию большую, чем за товары других фирм цену, однако если разница в ценах окажется слишком значительной, покупатель всегда найдет на рынке аналоги менее известных фирм по более низкой цене. То же относится к продукции косметической промышленности, производству одежды, обуви и т.д. Монополистическая конкуренция характеризуется сравнительно большим числом продавцов, которые производят дифференцированные продукты (женскую одежду, мебель, книги). Дифференциация является основой для создания благоприятных условий для продажи и обновления продукции. Олигополия отличается небольшим числом продавцов и эта «немногочисленность» означает, что решения об определении цени объемов производства являются взаимозависимыми. Каждая фирма испытывает на себе влияние решений, принимаемых ее конкурентами и должна учитывать эти решения в своем собственном поведении в области ценообразования и определении объема производства. Монополистическая конкуренция осуществляется тогда, когда многопродавцов конкурируют, чтобы продать дифференцированный продукт на рынке, где возможно появление новых продавцов.
Для рынка с монополистической конкуренцией характерно следующее:
1.Товар каждой фирмы, торгующей на рынке, является несовершенным заменителем товара, реализуемого другими фирмами.Продукт каждого продавца обладает исключительными качествами и характеристиками, которые служат тому, чтобы некоторые покупатели предпочли его товар товару конкурирующей фирме. Дифференциация товара означает, что предмет, продаваемый на рынке, не является стандартизированным. Это может происходить из-за действительных и качественных отличий между продуктами или из-за предполагаемых отличий, которые проистекают из различий в рекламе, престиже торговой марки или “имидже”, связанным с обладанием этим товаром.
2.На рынке существует относительно большое число продавцов, каждый из которых удовлетворяет небольшую, но не микроскопическую долю рыночного спроса на общий тип товара, реализуемого фирмой и ее соперниками.
При монополистической конкуренции размеры рыночных долей фирм в общем
превосходят 1% ,т.е. процент, который существовал бы при совершенной конкуренции. В типичном случае на фирму приходится от 1% до 10 % продаж на рынке в течение года.
3.Продавцы на рынке не считаются с реакцией своих соперников, когда выбирают, какую установить цену на свои товары или когда выбирают ориентиры по объему годовых продаж. Эта особенность является следствием все же относительно большого числа продавцов на рынке с монополистической конкуренцией, т.е. если отдельный продавец сократит цену, то вероятно, что прирост объема продаж произойдет не за счет одной фирмы, а за счет многих. Как следствие, маловероятно, что какой-нибудь отдельный конкурент принесет достаточно значительные потери своей доли на рынке из-за уменьшение продажной цены какой-нибудь отдельной фирмы. Следовательно, у конкурентов нет причин, чтобы отреагировать на это изменением своей политики, поскольку решение одной из фирм не воздействует в значительной степени на их возможности извлекать прибыли. Фирма знает это и, следовательно, не учитывает какой-либо возможной реакции конкурентов, когда выбирает свою цену или цель по продажам.
4.На рынке есть условия для свободного входа и выхода. При монополистической конкуренции легко основать фирму или покинуть рынок. Выгодная коньюктура на рынке с монополистической конкуренцией привлечет новых продавцов. Однако вход на рынок не настолько легок, как он был при совершенной конкуренции, поскольку новые продавцы часто испытывают трудности со своими новыми для покупателей торговыми марками и услугами. Следовательно, уже существующие фирмы с устоявшейся репутацией могут сохранять свое преимущество над новыми производителями. Монополистическая конкуренция похожа на ситуацию монополии, поскольку отдельные фирмы обладают способностью контролировать цену своих товаров. Она также похожа на совершенную конкуренцию, т.к. каждый товар продается многими фирмами, и на рынке существует свободный вход и выход.
Список использованной литературы:
· Журавлева Г.П., Экономика: Учебник. – М.: Юристъ, 2001. – 574 с.
· Сажина М.А., Чибриков Г.Г., Экономическая теория: учебник для вузов 2-е издание. – М.: Норма, 2007. – 672 с.
· Савицкая Е.В. Курс лекций по микроэкономике, М.: – 2002. – 302
· Борисов Е.Ф., Волков Ф.М. Основы экономической теории: Уч. пособие для сред. спец. уч. заведений.- М.: Высш. шк., 1994. С. 74
· 1. Белокрылова О.С. Экономика. - Ростов-на-Дону: Феникс, 2003.
· Добрынин А.И., Салов А.И. Экономика. М.: Юрайт, 2002.
· Сакс Д., Ларрен Ф. Макроэкономика. Глобальный подход. - М.: Просвещение, 1996
· Салов А.И. Экономика. - М.: Юрайт, 2004
· Экономическая теория. / Науч. ред. и рук. авт. коллектива В.Д. Камаев. - М.: ВЛАДОС, 1999.
|