Министерство Образования Российской Федерации
Уфимский Государственный Авиационный Технический Университет
Реферат на тему:
ОРГАНИЗАЦИЯ ЭНЕРГЕТИЧЕСКОГО ХОЗЯЙСТВА ПРЕДПРИЯТИЯ
Выполнил студент
Уфа 2006 г.
Введение. 3
1. Роль, задачи и структура энергетического хозяйства. 4
2. Планирование потребности предприятия в энергии различных видов. 10
3. Основные пути совершенствования работы энергетического хозяйства и его технико-экономические показатели. 17
Список использованной литературы.. 20
Введение
За последние годы в организации и управлении производственной эксплуатацией, особенно промышленных, произошли коренные изменения. Одновременно с сокращением большинства промышленных министерств ликвидированы общеотраслевые общесоюзные ремонтные организации (ремонтные объединения и тресты) осуществляющие централизацию ремонта основного энергетического оборудования. Перестали существовать отраслевые управления главного механика и главного энергетика, осуществляющие координацию основного ремонта оборудования в рамках отраслей. Экономический кризис привел к полной или частичной остановке многих производств. Загрузка действующих предприятий резко снизилась. Энергоремонтные службы предприятий потеряли 40 – 60 % квалифицированных рабочих . До 70 % ремонтных рабочих на сегодня составляют лица пенсионного возраста. Большая часть энергетического оборудования (60 % ) исчерпала свой амортизационный срок, требует замены или капитального ремонта.
Если сегодня, в силу неполной загрузки мощностей, предприятия могут существовать, то уже в начале этапа стабилизации (экономического роста), проблема восстановления ресурса активной части основных фондов энергетики встанет с особой остротой.
1. Роль, задачи и структура энергетического хозяйства
Современные предприятия машиностроения, а также радиоэлектронной промышленности являются крупнейшими потребителями энергии и энергоносителей, в частности электроэнергии, топлива, пара, сжатого воздуха, воды и т. д.
По характеру использования потребляемая энергия подразделяется на силовую, технологическую и производственно-бытовую. Силовая энергия приводит в движение технологическое оборудование, подъемно-транспортные средства; технологическая - служит для изменения свойств и состояния материалов (плавление, термообработка и т. д.); производственно-бытовая - расходуется на освещение, вентиляцию, отопление и другие цели.
Забиваем Сайты В ТОП КУВАЛДОЙ - Уникальные возможности от SeoHammer
Каждая ссылка анализируется по трем пакетам оценки: SEO, Трафик и SMM.
SeoHammer делает продвижение сайта прозрачным и простым занятием.
Ссылки, вечные ссылки, статьи, упоминания, пресс-релизы - используйте по максимуму потенциал SeoHammer для продвижения вашего сайта.
Что умеет делать SeoHammer
— Продвижение в один клик, интеллектуальный подбор запросов, покупка самых лучших ссылок с высокой степенью качества у лучших бирж ссылок.
— Регулярная проверка качества ссылок по более чем 100 показателям и ежедневный пересчет показателей качества проекта.
— Все известные форматы ссылок: арендные ссылки, вечные ссылки, публикации (упоминания, мнения, отзывы, статьи, пресс-релизы).
— SeoHammer покажет, где рост или падение, а также запросы, на которые нужно обратить внимание.
SeoHammer еще предоставляет технологию Буст, она ускоряет продвижение в десятки раз,
а первые результаты появляются уже в течение первых 7 дней.
Зарегистрироваться и Начать продвижение
Годовые затраты на потребляемую энергию на предприятиях весьма значительны, а их доля в себестоимости продукции в настоящее время достигает 25-30%.
Основными задачами энергетического хозяйства являются:
1) бесперебойное обеспечение предприятия, его подразделений и рабочих мест всеми видами энергии с соблюдением установленных для нее параметров - напряжения, давления, температуры и др.;
2) рациональное использование энергетического оборудования, его ремонт и обслуживание;
3) эффективное использование и экономное расходование в процессе производства всех видов энергии.
Экономия энергии достигается проведением в жизнь следующих мероприятий:
• ликвидация и снижение прямых потерь энергии в сетях и местах ее потребления (неисправное состояние электросетей, соединений трубопроводов, шлангов, кранов, вентилей и др.);
• внедрение в производство высокоэкономичных технологических процессов, приборов, оборудования (внедрение электроиндукционного нагрева деталей при термообработке вместо нагрева в электропечах сопротивления снижает расход электроэнергии более чем в 2 раза);
• применение наивыгоднейших режимов работы технологического и энергетического оборудования, обеспечивающих полное использование мощности электромоторов и трансформаторов, уменьшение холостых расходов энергии (повышается коэффициент мощности в сетях - косинус фи);
• вторичное использование энергоресурсов -тепла (отходящих газов печей, отработанного пара кузнечных цехов, тепла охлаждающей воды и т. д.);
• организация четкого планирования, нормирования расхода, учета и контроля за потреблением энергии (составление топливного и энергетического балансов по каждому виду энергии).
Для осуществления перечисленных задач, а также для разработки и внедрения мероприятий по экономии всех видов энергии на предприятиях создаются энергетические хозяйства, структура которых зависит от ряда факторов: типа производства, объема выпуска продукции, энергоемкости продукции, развития кооперации с другими предприятиями и т. д.

На крупных предприятиях (в объединениях) во главе энергетического хозяйства находится управление главного энергетика (УГЭ), на средних предприятиях - отдел главного энергетика (ОГЭ), на малых предприятиях - энергомеханический отдел во главе с главным механиком. Главный энергетик является заместителем главного механика.
Сервис онлайн-записи на собственном Telegram-боте
Попробуйте сервис онлайн-записи VisitTime на основе вашего собственного Telegram-бота:
— Разгрузит мастера, специалиста или компанию;
— Позволит гибко управлять расписанием и загрузкой;
— Разошлет оповещения о новых услугах или акциях;
— Позволит принять оплату на карту/кошелек/счет;
— Позволит записываться на групповые и персональные посещения;
— Поможет получить от клиента отзывы о визите к вам;
— Включает в себя сервис чаевых.
Для новых пользователей первый месяц бесплатно.
Зарегистрироваться в сервисе
В состав энергетического хозяйства среднего предприятия (предприятия РЭП) входят: отдел главного энергетика, электросиловой цех (или участок), тепло- или паросиловой цех, электроремонтный и слаботочный цехи.
Отдел главного энергетика возглавляется главным энергетиком завода, подчиняющимся главному инженеру.
В составе ОГЭ создаются следующие функциональные подразделения: бюро ППР, техническое бюро, планово-производственное бюро и бюро энергоиспользования.
Бюро ППР планирует, контролирует и учитывает выполнение всех видов ремонтных работ энергетического оборудования, инспектирует правильность эксплуатации этого оборудования; ведет паспортизацию и учет всех видов энергетического оборудования; устанавливает номенклатуру, сроки службы, нормы расхода и лимиты на запасные части и покупные материалы; планирует изготовление или закупку материальных ценностей для ремонта.
Техническое бюро осуществляет всю техническую подготовку производства системы ППР.
Планово-производственное бюро осуществляет планирование потребности предприятия в различных видах энергии и энергоресурсов. Планирование сводится к составлению энер-
гетических балансов, которые подразделяются на плановые и отчетные.
Плановый энергобаланс состоит в обосновании потребности предприятия в энергии и энергоресурсах.
Отчетный энергобаланс предназначен для контроля за фактическим энергопотреблением, для анализа использования энергии, а также для оценки качества работы энергоцехов.
Основой для составления плановых энергобалансов служат удельные нормы расхода энергии, топлива и т. д., а также плановые задания по выпуску продукции основного производства.
Бюро энергоиспользования занимается нормированием расхода энергии и вопросами ее рационального использования.
Электросиловой цех
включает участки: а) электроподстанцию с электросетями, которая принимает, преобразует в требуемое напряжение и доставляет электроэнергию заводским потребителям; при этом основное оборудование -трансформаторы, мотор-генераторы, установки, электродвигатели высокого напряжения; б) монтажный участок, который выполняет подвод электросетей к вновь устанавливаемому оборудованию и производит ремонт действующих электросетей.
Тепло- или паросиловой цех
объединяет участки: а) па-рокотельный с трубопроводами, подающий пар и горячую воду потребителям; его основное оборудование - паровые котлы установки для подогрева воды; б) водонасосная станция и канализация с водопроводными и канализационными сетями; в) компрессорная станция, снабжающая цехи сжатым воздухом; ее основное оборудование - компрессоры; г) азотно-кис-лородная, газогенераторная и ацетиленовая подстанции.
Электроремонтный цех
выполняет все виды ремонтов энергетического оборудования согласно системе ППР, а также ремонт электрической части технологического оборудования.
Слаботочный цех
включает участок связи и сигнализации, обслуживающий телефонную сеть, радиосвязь, электрочасовые установки, диспетчерскую связь и т. п.; участок по обслуживанию контрольно-измерительных приборов и средств автоматики и телемеханики.
Функции энергетической службы предприятия:
- разработка нормативов, касающихся энергетической службы;
- планирование потребности всех видов энергии и энергоносителей, составление энергетического баланса предприятия;
- планирование ППР оборудования;
- планирование потребности в запчастях;
- организация выработки (обеспечения) предприятия всеми видами энергии;
- оперативное планирование и диспетчирование обеспечения предприятия всеми видами энергии;
- организация ремонтных работ оборудования;
- разработка технической документации для проведения монтажных, ремонтных работ оборудования и энергетических коммуникаций (сетей);
- организация обслуживания энергетического оборудования, сетей, линий связи;
- контроль за качеством ремонтных работ;
- организация монтажных, пусконаладочных работ нового оборудования, демонтаж и утилизация списанного оборудования по энергетической части;
- надзор за правилами эксплуатации оборудования;
- контроль за расходами всех видов энергии.
2. Планирование потребности предприятия в энергии различных видов
Рациональная организация энергетического хозяйства в определенной мере зависит от правильности планирования своей производственно-хозяйственной деятельности, нормирования и учета потребления энергоресурсов.
Энергоснабжение предприятия имеет специфические особенности, которые заключаются в одновременности производства и потребления энергии. Подача электроэнергии на предприятие на каждый момент времени должна регулироваться объемом потребления. Недостаточно полное ее использование ведет к неизбежным потерям, к недоиспользованию мощности. При повышенном против графика потреблении возникают "пиковые" нагрузки.
Определение потребности предприятия в энергоресурсах и учет их расхода основываются на составлении энергетических и топливных балансов. Балансовый метод планирования дает возможность рассчитать потребность предприятия в энергии и топливе различных видов исходя из объема производства на предприятии и прогрессивных норм расхода, а также определить наиболее рациональные источники потребления этой потребности за счет получения энергии со стороны и собственного производства ее на предприятии.
Энергетические балансы классифицируются по следующим признакам:
• назначению - перспективные, текущие, отчетные;
• видам энергоносителя - частные по отдельным видам энергоносителя (уголь, нефть, пар, газ, вода) и общие по сумме всех видов топлива;
• характеру целевого использования энергии (силового, технологического, производственно-хозяйственного значения).
Перспективные балансы составляются на длительный срок и используются при проектировании, реконструкции производства и для развития энергохозяйства предприятия в целом.
Текущие плановые балансы составляются на год с разбивкой по кварталам и являются основной формой планирования и потребления энергии всех видов.
Главная задача разработки планового баланса - обоснование плановой потребности предприятия в топливе и энергии для выполнения производственной программы предприятия по выпуску продукции - это расходная часть баланса. Обоснование наиболее рациональных возможность рассчитать потребность предприятия в энергии и топливе различных видов исходя из объема производства на предприятии и прогрессивных норм расхода, а также способов покрытия этой потребности, получение энергии со стороны и на собственных генерирующих установках - приходная часть баланса.
Отчетные (фактические) балансы предназначены для контроля за потреблением энергоносителей и выполнением плановых балансов, а также служат основным материалом для анализа использования носителей, оценки работы в области рационализации энергохозяйства и экономии (перерасхода) топлива и энергии.
Определение потребности предприятия в энергоресурсах базируется на использовании прогрессивных норм расхода. Для использования топлива и энергии различных видов применяются удельные нормы.
Под прогрессивной нормой расхода энергии и топлива понимается минимально допустимый ее расход, необходимый для изготовления единицы продукции или выполнения единицы работы в наиболее рациональных условиях организации производства и эксплуатации оборудования.
Нормы энергопотребления бывают суммарными на единицу (времени) продукции или вид работ и операционными (дифференцированными) - на деталь, операцию, отдельный технологический процесс.
Основным методом определения норм расхода является расчетно-аналитический, позволяющий рассчитать плановую норму с учетом изменений в режиме работы, параметров технологических процессов и других факторов, влияющих на величину удельного расхода.
В зависимости от характера целевого использования энергии удельные нормы подразделяются на технологические и вспомогательные нужды (освещение, отопление, вентиляцию и т. д.). При этом учитываются допустимые потери энергии в сетях.
Плановая потребность предприятия в электроэнергии (общая) определяется по формуле
Необходимое количество электроэнергии для производственных целей рассчитывается по формулам

где Нр
э
- плановая норма расхода электроэнергии на единицу продукции, кВт- ч;
Nпл
- плановый объем выпуска продукции в натуральном (стоимостном) выражении, шт. (руб.);
Рэл
всп
- расход энергии на вспомогательные нужды (освещение, вентиляцию, отопление и т.д.), кВт • ч;
Pст
- планируемый отпуск энергии на сторону, кВт-ч;
Рпот
- планируемые потери энергии в сетях, кВт ■ ч.
Плановая потребность энергии по цехам определяется с помощью удельных норм расхода двигательной и технологической энергии на единицу продукции, а также объема производства в натуральном или других измерителях.
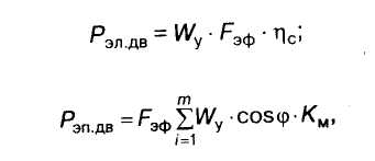
Необходимое количество двигательной (силовой) электроэнергии для производственных целей зависит от мощности установленного оборудования и определяется по формуле .

где Wу
- суммарная мощность установленного оборудования (электромоторов), кВт;
Fэф
- эффективный фонд времени работы оборудования (потребителей электроэнергии) за плановый период (месяц, квартал, год), ч;
К3
-
коэффициент загрузки оборудования;
Ко
-
средний коэффициент одновременной работы потребителей энергии;

Кс
- коэффициент полезного действия питающей электрической сети;
ηд
- коэффициент полезного действия установленных электромоторов.
cosφ
-
коэффициент мощности установленных электродвигателей; Км
- коэффициент машинного времени электроприемников (машинного времени работы оборудования).
Потребное количество электроэнергии, идущей на освещение помещений, определяется по формуле
(12.5)
или
(12.6)
где Ссв
- число светильников (лампочек) на участке, в цехе, на предприятии, шт.;
Рср
- средняя мощность одного светильника (лампочки), Вт; h -
норма освещения 1м2
площади, Вт (25Вт/м2
); S - площадь освещаемого здания, м2
.
Расход пара на производственные цели определяется на основе удельных норм расхода соответствующего потребителя. Например, на обогрев сушильных камер (на 1 т обогреваемых деталей) периодического действия расходуется 100 кг/ч, для непрерывного действия сушильных камер (конвейеров) -45-75 кг/ч.
Расход пара на отопление здания рассчитывается по формуле
(12.7)
где qn
- расход пара на 1 м3 здания при разности наружной и внутренней температур в 1°С;
to
- разность наружной и внутренней температур отопительного периода, °С;
Fд
- время отопительного периода, ч;
V3
- объем здания (по наружному обмеру), м3
;
J- теплосодержание пара (540 ккал).
Расход топлива на производственные нужды предприятия (термическая обработка металла, плавка металла, сушка литейных форм и т. д.) определяется по формуле
(12.8)
(12.10)
i 1,5 - коэффициент, учитывающий потери сжатого воздуха в трубопроводах, в местах неплотного их соединения;
d - расход сжатого воздуха при непрерывной работе воздухоприемника, м3
/ч;
Си
- коэффициент использования воздухоприемника во времени; К3
- коэффициент загрузки оборудования; т
- число наименований воздухоприемников.
Объем воды для производственных целей (ОВОД1
л) определяется по нормативам исходя из часового расхода:
| где qB
-
часовой расходводы на один станок, л. |
(12.11)
где q - норма расхода условного топлива на единицу выпускаемой
продукции; Кэ
- калорийный эквивалент применяемого вида топлива.
Расход топлива на отопление производственных и административных зданий рассчитывается по формуле
(12.9)
где qT
- норма расхода топлива на 1 м3
здания при разности наружной и внутренней температур в 1°С, ккал/ч; теплота сгорания условного топлива (7000 ккал/кг); коэффициент полезного действия котельной установки
Объем сжатого воздуха для производственных целей (Qb
,m3
) определяется по формуле
В результате расчета потребности в энергоресурсах устанавливается лимит по видам в натуральном и денежном выражениях по подразделениям предприятия.
Анализ использования энергии и топлива базируется на данных дифференцированного учета.
Основой организации первичного учета энергии и энергоресурсов всех видов является организация контрольно-измерительного хозяйства предприятия. Счетчики энергоресурсов должны быть установлены на каждой единице энергетического оборудования. Данные учета регистрируются в журналах или ведомостях. Основными направлениями рационализации энергопотребления являются правильный выбор энергоносителей, ликвидация прямых потерь, совершенствование технологии и организации производства, ориентация на ресурсосберегающие технологии, бережное использование энергии и вторичных энергоресурсов.
3. Основные пути совершенствования работы энергетического хозяйства и его технико-экономические показатели
Основными направлениями совершенствования организации энергетического хозяйства предприятия и повышения эффективности его работы являются
Разработка новых методов производства и преобразова ния энергии;
совершенствование энергопроизводящего оборудования и технологических процессов;
развитие взаимозаменяемости различных видов энергии и проводящих ее установок;
создание новых и совершенствование существующих средств преобразования энергии;
изучение закономерностей, тенденций и пропорций раз вития энергетики предприятия как единого целого;
формирование концепции оптимального управления энергохозяйством;
изучение комплексной проблемы энергетики, включая влияние ее на окружающую среду и развитие научно-техни ческого прогресса.
В соответствии с разработанными направлениями по совершенствованию энергетического хозяйства составляются мероприятия, которые условно подразделяются на энергетические, технологические, мероприятия по улучшению режима работы, общепроизводственные и организационные.
К энергетическим относятся такие мероприятия, как замена энергоносителей одного другим (мазута, угля - газом и др.), повышение экономичности выработки энергии, широкое использование вторичных энергоресурсов, снижение потерь и т.д.
К технологическим мероприятиям относятся широкое внедрение скоростных методов обработки металлов резанием, нагрева заготовок, прогрессивных способов получения заготовок (точное литье, штамповка, чеканка, высадка), более технологичных конструкций изделий, а также снижение процента брака и повышение выхода годной продукции.
Мероприятия по улучшению режима работы (повышению cosφ
)
включают повышение загрузки оборудования, снижение холостых ходов и простоев нагревательного оборудования, замена оборудования периодического действия на оборудование непрерывного действия, механизация и автоматизация тепловых технологических процессов и энергетических установок, централизация управления, замена асинхронных двигателей на синхронные и т. д.
К общепроизводственным мероприятиям относятся внедрение экономичных систем производственной вентиляции и промышленного водоснабжения, замена ламп накаливания люминесцентными источниками света, использование выделяющегося в производстве тепла для отопления цехов (экономайзеры, рекуператоры, утилизаторы).
Организационные мероприятия - это рациональная организация контрольно-измерительного хозяйства, внедрение технического нормирования энергопотребления, четкая организация первичного учета расхода энергоресурсов.
Широкое применение во всех цехах предприятия надлежащей контрольно-измерительной аппаратуры способствует установлению более обоснованных норм расхода и проведению более правильного первичного учета.
Для первичного учета расхода электроэнергии, газа, пара, сжатого воздуха, воды и других энергоносителей следует устанавливать приборы (счетчики, паромеры, водомеры и т. д.) так, чтобы можно было получать фактические удельные величины расхода, соответствующие системе планирования норм энергопотребления, принятой на заводе. Энергетический учет должен быть оперативным и достоверным. Очень важно наряду с учетом расхода энергоресурсов учитывать выход вторичных энергоресурсов с помощью приборов или расчетным путем.
Фактические данные о расходе энергии различных видов, получаемые первичным учетом, используются, во-первых, для составления отчетных энергетических балансов по энергии всех видов в абсолютных величинах; во-вторых, для определения фактических удельных показателей расхода энергии всех видов; в-третьих, для расчета технико-экономических показателей энергетического хозяйства предприятия.
К числу основных технико-экономических показателей, характеризующих работу энергетического хозяйства, относятся:
1) себестоимость единицы энергоресурса;
2) доля затрат на энергию в себестоимости продукции;
3) расход энергии на единицу продукции;
4) размер вторичного использования энергоресурса;
5) энерговооруженность труда, представляющая собой количество энергии, приходящейся на одного рабочего в год;
6) коэффициент мощности (cosφ
)
и коэффициент спроса, характеризующие степень использования и качества эксплуатации электрооборудования.
Список использованной литературы
1. Организация, планирование и управление деятельностью промышленных предприятий, - Под ред. С.Е. Каменицера, Ф.Ф. Русинова, - Москва: «Высшая школа», - 1984.
2. Организация, планирование и управление деятельностью промышленных предприятий, - Под ред. С.Е. Каменицера, - Москва: «Высшая школа», - 1976.
3. Горелкин В.А. Планирование на предприятии . М.: Филин. 1999 г.
4. Экономика, организация и планирование промышленного производства / Под. ред. Н.А. Лисицина. Минск, 1998 г.
|