Содержание
ВВЕДЕНИЕ………………………………………………………………..…..……3
ГЛАВА 1. ТЕОРЕТИЧЕСКИЕ ОСНОВЫ РАСЧЕТА ОПТИМАЛЬНОГО ОБЪЕМА ПРОИЗВОДСТВА……………………..……
5
1.1. Постоянные и переменные затраты на производство продукции………...5
1.2. Система показателей «затраты—выпуск—прибыль»…………………..…9
1.3. Методика расчета оптимизации объема производства предприятия……14
ГЛАВА 2. ТЕХНИКО-ЭКОНОМИЧЕСКАЯ ХАРАКТЕРИСТИКА ОАО «СУДБИЩЕНСКОЕ»…………………………………………………...20
2.1. Характеристика ОАО «Судбищенское»….……………………………….20
2.2. Анализ эффективности производства ОАО «Судбищенское»…………..24
2.2.1. Анализ динамики производства молока……………………….…24
2.2.2. Анализ динамики и структурной себестоимости молока……..…26
2.2.3. Факторный анализ себестоимости молока……………………..…28
2.3. Применение на ОАО «Судбищенское» современной техники, технологии, методов организации производства……………………...………29
ГЛАВА 3. определение оптимальНОго объема производства ОАО «СУДБИЩЕНСКОЕ»…………………….……..33
3.1. Расчет оптимального объема продукции на ОАО «Судбищенское»……33
3.2. Резервы увеличения производства продукции……………………………38
ЗАКЛЮЧЕНИЕ
……………………………………………………………..……40
Список использованной литературы………………………...42
приложения……………………………………………….………………..44
ВВЕДЕНИЕ
Создание нетрадиционных систем формирования информации об издержках производства и финансовых результатах, применение новых подходов к управлению ими, повышение ценности получаемой информации для анализа являются в настоящее время одними из наиболее актуальных проблем бухгалтерского учета, контроля и анализа хозяйственной деятельности. Это объясняется ролью, которую играют издержки в рыночных позициях фирмы. Все большее число компаний, в том числе российских, пересматривают свое отношение к издержкам, рассматривая их как фактор стратегического развития. Именно поэтому в последнее время появилось множество методик, облегчающие решения задач типа «производить самим или покупать», «ремонтировать или заменять новым», выявить оптимальные пропорции между переменными и постоянными затратами, ценой и объемом реализации, минимизировать предпринимательский риск. Взаимосвязь затрат и результатов деятельности издавна исследуются учеными. Вполне оправданно желание всех управленцев оптимизировать данное соотношение. Но как показывает практика, это не так то просто сделать в реальной жизни. Нет такого механизма, позволяющего решать все проблемы одновременно. Существуют лишь попытки правильного прогнозирования результатов в условиях неопределенности. Поэтому все усилия управленцев направлены на то, чтобы сделать эту задачу наиболее достижимой. В связи с этим сейчас при анализе деятельности предприятия используется множество показателей, позволяющих получить наиболее оптимальное решение при огромном множестве вариантов.
Забиваем Сайты В ТОП КУВАЛДОЙ - Уникальные возможности от SeoHammer
Каждая ссылка анализируется по трем пакетам оценки: SEO, Трафик и SMM.
SeoHammer делает продвижение сайта прозрачным и простым занятием.
Ссылки, вечные ссылки, статьи, упоминания, пресс-релизы - используйте по максимуму потенциал SeoHammer для продвижения вашего сайта.
Что умеет делать SeoHammer
— Продвижение в один клик, интеллектуальный подбор запросов, покупка самых лучших ссылок с высокой степенью качества у лучших бирж ссылок.
— Регулярная проверка качества ссылок по более чем 100 показателям и ежедневный пересчет показателей качества проекта.
— Все известные форматы ссылок: арендные ссылки, вечные ссылки, публикации (упоминания, мнения, отзывы, статьи, пресс-релизы).
— SeoHammer покажет, где рост или падение, а также запросы, на которые нужно обратить внимание.
SeoHammer еще предоставляет технологию Буст, она ускоряет продвижение в десятки раз,
а первые результаты появляются уже в течение первых 7 дней.
Зарегистрироваться и Начать продвижение
Объем производства и реализации продукции являются взаимозависимыми показателями. В условиях ограниченных производственных возможностей и неограниченном спросе на первое место выдвигается объем производства продукции. Но по мере насыщения рынка и усиления конкуренции не производство определяет объем продаж, а наоборот, возможный объем продаж является основой разработки производственной программы. Предприятие должно производить только те товары и в таком объеме, которые оно может реально реализовать.
Цель курсовой работы изучение определение оптимального объема продукции на примере открытого акционерного общества «Судбищенское».
Для достижения поставленной цели необходимо решить следующие задачи:
-раскрыть сущность понятий постоянные и переменные затраты на производство продукции;
-изучить систему показателей «затраты—выпуск—прибыль;
-определить методику расчета оптимизации объема производства продукции предприятия;
-проанализировать технико-экономические показатели ОАО «Судбищенское»;
-провести расчет оптимального объема продукции на ОАО «Судбищенское.
Предметом курсовой работы является формирование оптимального объема продукции на предприятии. Анализируемый период финансовой деятельности ОАО «Судбищенское» являются 2005-2007 гг.
Теоретической и методологической базой послужили Кодексы и Законы РФ, нормативные акты, отечественная литература, периодическая печать, бухгалтерская отчетность.
ГЛАВА 1. ТЕОРЕТИЧЕСКИЕ ОСНОВЫ РАСЧЕТА ОПТИМАЛЬНОГО ОБЪЕМА ПРОИЗВОДСТВА
1.1. Постоянные и переменные затраты на производство продукции
Одной из задач является подготовка информации для внутренних пользователей, необходимых для принятия ими управленческих решений, и своевременное доведение этой информации до руководства предприятия.
Поскольку управленческие решения обращены в перспективу, руководству необходима детальная информация об ожидаемых доходах и расходах. В этой связи в управленческом учете при выполнении расчетов, связанных с принятиями решения, выделяют следующие виды затрат:
Сервис онлайн-записи на собственном Telegram-боте
Попробуйте сервис онлайн-записи VisitTime на основе вашего собственного Telegram-бота:
— Разгрузит мастера, специалиста или компанию;
— Позволит гибко управлять расписанием и загрузкой;
— Разошлет оповещения о новых услугах или акциях;
— Позволит принять оплату на карту/кошелек/счет;
— Позволит записываться на групповые и персональные посещения;
— Поможет получить от клиента отзывы о визите к вам;
— Включает в себя сервис чаевых.
Для новых пользователей первый месяц бесплатно.
Зарегистрироваться в сервисе
- переменные, постоянные, условно-постоянные – в зависимости от реагирования на изменение объемов производства (продаж);
- ожидаемые затраты, учитываемые и не учитываемые в расчетах при принятии решения;
- безвозвратные затраты (затраты истекшего периода);
- вмененные затраты (упущенная выгода предприятия);
- планируемые и непланируемые затраты.
Кроме того, в управленческом учете различают предельные и приростные затраты и доходы.
Переменные, постоянные, условно-постоянные затраты.
Переменные затраты возрастают или уменьшаются пропорционально объему производства продукции (оказания услуг, товарооборота), то есть зависят от деловой активности организации. Переменный характер могут иметь как производственные, так и непроизводственные затраты. Примерами производственных переменных затрат служат прямые материальные затраты, прямые затраты на оплату труда и затраты на вспомогательные материалы и покупные полуфабрикаты.
Переменные затраты характеризуют стоимость продукта, все остальные (постоянные затраты) – стоимость самого предприятия. Рынок не интересует стоимость предприятия, его интересует стоимость продукта.
Совокупные переменные затраты имеют линейную зависимость от показателя деловой активности предприятия, а переменные затраты на единицу продукции являются постоянной величиной. Переменные затраты находятся в постоянном движении, их динамику несложно проследить.
К непроизводственным переменным затратам можно отнести расходы на упаковку готовой продукции для отгрузки ее потребителям, транспортные расходы, не возмещаемые покупателем, комиссионное вознаграждение для продажи товара, которое напрямую зависит от объема продажи.
Производственные затраты, которые остаются практически неизменными в течение отчетного периода, не зависят от деловой активности предприятия, называются постоянными производственными предприятиями. Даже при изменении объемов производства (продаж) они не изменяются. Примерами постоянных производственных затрат являются расходы на рекламу, арендная плата, амортизация основных средств и нематериальных активов.
Для описания поведения переменных затрат в управленческом учете используется специальный показатель – коэффициент реагирования затрат (Крз). Он характеризует соотношение между темпами изменения затрат и темпами роста деловой активности предприятия и рассчитывается по формуле:
Крз = Y / X,
Где Y – темпы роста затрат, %;
X – темпы роста делово й активности фирмы, %.
Нулевое значение коэффициента реагирования затрат свидетельствует о том, что мы имеем дело с постоянными издержками.
Разновидностью переменных затрат являются пропорциональные затраты. Они увеличиваются теми же темпами, что и деловая активность предприятия. Если же коэффициент реагирования затрат равен единице, то затраты являются пропорциональными.
Другим видом переменных затрат являются дегрессивные затраты. Темпы их роста отстают от темпов роста деловой активности фирмы. Случай, когда
0< Крз <1, свидетельствует о том, что затраты являются дегрессивными.
Затраты, растущие быстрее деловой активности предприятия, называются прогрессивными затратами. Затраты являются прогрессивными, если Крз > 1.
Постоянные затраты– это расходы на аренду помещения, охрану, амортизационные отчисления и др. Совокупные постоянные затраты являются константой и не зависят от объемов деловой активности, но могут измениться под воздействием других факторов (например, если цены растут, то совокупные постоянные затраты тоже возрастают).
В реальной жизни чрезвычайно редко можно встретить издержки, по своей сути являющиеся исключительно постоянными или переменными. В большинстве случаев издержки являются условно-переменными (или условно-постоянными). В этом случае изменения деловой активности организации также сопровождаются изменениями издержек, но в отличие от переменных затрат зависимость не является прямой. Условно-переменные (условно-постоянные) затраты содержат как переменный, так и постоянный компоненты (напр., оплата пользования телефоном состоит из фиксированной абонентной платы (постоянная часть) и оплаты междугородних переговоров (переменное слагаемое)).
Затраты, принимаемые и не принимаемые в расчет при оценках.
Процесс принятия управленческого решения предполагает сравнение между собой нескольких альтернативных вариантов с целью выбора из них наилучшего. Сравниваемые показатели можно разделить на 2 группы:
1 – остаются неизменными при всех альтернативных вариантах;
2- варьируют в зависимости от принятого решения.
Когда рассматривается большое количество альтернатив, процесс принятия решения усложняется. Поэтому целесообразно сравнивать между собой не все показатели, а лишь показатели второй группы, то есть те, которые от варианта к варианту меняются. Эти затраты, отличающие одну альтернативу от другой, называют релевантными. Они учитываются при принятии решения. Показатели первой группы не принимаются в расчет при оценках.
Безвозвратные затраты.
Это произведенные ранее затраты, которые не могут быть изменены никакими управленческими решениями. Безвозвратные затраты не учитываются при принятии решений.
Однако не всегда не принимаемые в расчет при оценках затраты являются безвозвратными.
Вмененные (воображаемые) затраты.
Данная категория присутствует лишь в управленческом учете. Бухгалтер финансового учета не может позволить себе «вообразить» какие-либо затраты, так как он строго следует принципу их документальной обоснованности.
В управленческом учете для принятия решения иногда необходимо начислить или приписать затраты, которые могут реально и не состояться в будущем. Такие затраты называются вмененными.
Приростные и предельные затраты.
Приростные затратыявляются дополнительными и появляются в результате изготовления или продажи дополнительной партии продукции. В приростные затраты могут включаться, а могут и не включаться постоянные затраты. Если постоянные затраты изменяются в результате принятого решения, то их прирост рассматривается как приростные затраты. Если постоянные затраты не изменяются в результате принятого решения, то приростные затраты будут равны нулю. Аналогичный подход применяется в управленческом учете и к доходам.
Планируемые и непланируемые затраты.
Планируемые – это затраты, рассчитанные на определенный объем производства. В соответствии с нормами, нормативами, лимитами и сметами, они включаются в плановую себестоимость продукции.
Непланируемые – затраты, которые отражаются в фактической себестоимости продукции. При использовании метода фактических затрат и калькулирования фактической себестоимости бухгалтер-аналитик имеет дело с непланируемыми затратами.
В связи с тем, что одной из задач является подготовка информации для внутренних пользователей, необходимых для принятия ими управленческих решений, и своевременное доведение этой информации до руководства предприятия, то вышеприведенная классификация затрат является весьма актуальной.
1.2. Система показателей «затраты—выпуск—прибыль»
Подразделение затрат на постоянные и переменные может быть использовано как для калькуляции себестоимости и определения прибыли, так и для принятия управленческих решений и планирования. Особенность вычисления себестоимости в данном случае заключается в том, что по отдельным видам продукции исчисляются (калькулируются) только переменные затрат. Постоянные же затраты между отдельными видами продукции не распределяются и учитываются как затраты отчетного периода.
Рассмотрим пример.
Переменные издержки: VC на единицу продукции
VC = 10000 руб/шт.
FC = 60000 руб/месс
Предприятие способно выпустить до 15 изделий в месяц.
VC1 – переменные затраты на единицу продукции
FC1 – на единицу продукции
С/ст – полная себестоимость
| Произведено, шт |
| 1 |
2 |
3 |
… |
10 |
… |
15 |
| VC1 |
10 |
10 |
10 |
10 |
10 |
| FC1 |
60 |
30 |
20 |
6 |
4 |
| C/ст |
70 |
40 |
30 |
16 |
14 |
 Постоянные затраты изменяются скачкообразно. Приемлемый диапазон объемов производства (область релевантности) характеризует определенный объем производства, при котором сохраняется устойчивая взаимосвязь между объемом производства, затратами и прибылью.
Рассмотрим определение критического объема продаж. Объем продаж, при котором выручка от реализации продукции полностью покрывает все затраты на производство этой продукции называется критическим объемом продаж. Методы расчета точки безубыточности (критического объема продаж):
1. Метод уравнений:
Вп – VC – FC = Пп = 0
Вп – выручка от продаж
Пп – прибыль от продаж
Пусть: FC = 2000 р/месс
VC1 = 120 р/шт
Р1 = 200 р/шт
N - ?
Р1N – VC1*N – FC = 0
N = 25 шт. – количество продаж
2. Метод маржинального дохода:
Вп – VC – FC = Пп = 0
Р1N – VC1*N – FC = 0
 P1 – VC1 – маржинальный доход на единицу продукции (величина покрытия)
3. Графический метод:

т. А – точка безубыточности Dм – маржинальный доход 1) Пп = 1200 руб.
 Пч = 1200 руб. – чистая прибыль после уплаты всех обязательств Нст – 0,4 = 40 % - налоговая ставка
 Пч = Пп – Пп * Нст N = 50 шт. 2) предприятие имеет следующие данные о финансовых результатах деятельности за месяц: Вп = 120 т.р. - 100 % = 1,0 100 т.р. - VC = 48 - 40 % = 0,4 - 40 = Dм = 72 - 60 % = 0,6 = 60 - FC – 60 - 60 = Пп = 12 = 0
– объем продаж, при котором достигается б/у
S = 60 / 0.6 = 100 т.р.
Пусть разность (Вп – S) будет называться запасом финансовой прочности, тогда эта величина будет характеризовать финансовую устойчивость предприятия. ЗФП = 120 – 100 = 20 т.р. = (20 / 120) * 100 = 17 % - величина, на которую мы сможем уменьшить объем реализации, не неся при этом убытки. ЗФП менее 30 % является признаком повышенного риска деятельности предприятия.
3) какой объем реализации у предприятия должен быть для обеспечения прибыли от продаж в размере 10 % объема продаж?
 0,5S = 60, S = 120
Рассмотрим влияние изменения отдельных видов затрат на прибыль.
Например
Р1 = 6 рю Вп = Т * З1 З1 = Ип . Т = 1125 . 150
МС1 = 4 зю МС = МС1 * З1
АС = 200 зю
Т = 150 штю
Проанализируем изменение прибыли при увеличении цены на 25 %, снижении VC и FC на 25 % и увеличении объема продаж на 25 %.
| 0 |
1 |
2 |
3 |
4 |
| Вп |
900 |
1125 |
900 |
900 |
1125 |
| VC |
600 |
600 |
450 |
600 |
750 |
| Dм |
300 |
525 |
450 |
300 |
375 |
| FС |
200 |
200 |
200 |
150 |
200 |
| Пп |
100 |
325 |
250 |
150 |
175 |
| Nкр |
100 |
58 |
67 |
75 |
100 |
Рассмотрим структурные сдвиги в ассортименте продукции.
| Показатель |
А |
В |
Всего |
| 1. Объем продаж (т.шт.) |
120 |
40 |
160 |
| 2. Вп (РА = 5 р., РВ = 10 р.) |
600 |
400 |
1000 |
| 3. VC (VCA = 4 p., VCB = 3 p.) |
480 |
120 |
600 |
| 4. Dм |
120 |
280 |
400 |
| 5. FC |
- |
- |
300 |
| 6. Пп |
100 |
1. Предприятие выпускает только изделие А:
NА = 300 / (5-4) = 300 (т.шт.)
1. Только В:
NВ = 300 / (10-3) = 42,8 (т.шт.)
1. Предприятие выпускает оба вида изделия:
А = 3В
 (5*3В + 10В) – (4*3В + 3В) – 300 = 0
Вп VC В = 30 (т. шт.) А = 90 (т. шт.) - обеспечение безубыточности
Kn – доля отдельного вида продукции в общем объеме продаж.
:90А, 30В Точка безубыточности изменяется с изменением структуры продаж. При анализе используются следующие допущения:
1. поведение общих затрат и выручки от продаж жестко определено и нелинейно в пределах области приемлемого диапазона объемов производства;
2. все затраты можно разделить на постоянные и переменные;
3. постоянные расходы остаются независимы от объема производства только в пределах приемлемого диапазона производства;
4. переменные расходы прямо пропорционально объему выпуска продукции;
5. цена реализации не изменяется;
6. цена на используемые ресурсы не изменяется;
7. производительность не меняется;
8. отсутствуют структурные сдвиги в ассортименте продукции;
9. объем производства равен объему продаж, или изменение начальных и конечных запасов продукции не значительны.
1.3. Методика расчета оптимизации объема производства предприятия
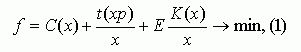
В экономико-статистических моделях, как и в оптимизационных, большое значение имеет правильный выбор критерия оптимальности. В каждом конкретном случае необходимо обосновать его слагаемые. Рассмотрим классическую задачу оптимизации объема производства предприятий, которые выпускают однородную продукцию. Чаще учитываются такие слагаемые, как себестоимость, транспортные расходы и удельные капиталовложения. В этом случае критерий для определения оптимального размера производства будет иметь следующий вид:
 |
где C(x) - функция, учитывающая зависимость себестоимости продукции от мощности предприятия; x - искомая мощность предприятия; p - плотность сырья в зоне расположения предприятия, т.е. количество товарного сырья, приходящегося на квадратный километр площади; t(xp)/x - функция, учитывающая зависимость удельных транспортных расходов от мощности предприятия и плотности сырья; E - нормативный коэффициент эффективности капитальных вложений в отрасли; K(x)/x - функция, отражающая зависимость удельных капитальных вложений от мощности предприятия. Возьмем пять предприятий с различным объемом производства однородной продукции, и выпишем их основные отчетные показатели (табл.1).

Для расширения круга альтернативных вариантов предприятий определим модели, характеризующие зависимость себестоимости продукции, транспортных расходов и удельных капитальных вложений от объема производства.
Сначала определим характер зависимости от объема производства первого элемента критерия - себестоимости единицы продукции C(x). Для этой цели построим график, характеризующий данную зависимость (рис.1).

Рисунок 1 - Зависимость себестоимости единицы продукции от объема производства
Как видно, эмпирическая линия регрессии по своему характеру близка кривой типа гиперболы и описывается уравнением: 
Далее перейдем к определению модели для расчета показателе второго слагаемого критерия оптимальности - удельных транспортных расходов t(xp)/x . Для этого изобразим графически зависимость транспортных расходов от объема производства (рис. 2)

Рисунок 2 - Зависимость удельных транспортных расходов от объема производства
Графически зависимость транспортных расходов от объема производства близка к линейной и описывается уравнением: 
В заключении определим модель для расчета показателей третьего слагаемого критерия оптимальности - удельных капитальных вложений K(x)/x. Графическая зависимость удельных капитальных вложений от размеров производства показана на рис. 3.

Рисунок 3 - Зависимость удельных капитальных вложений от объема производства
Эмпирическая линия регрессии по своему характеру близка к кривой типа гиперболы и описывается уравнением: 
Для определения параметров полученных уравнений воспользуемся МНК, следовательно, конкретные экономико-статистические модели будут следующими:

Итак, теперь получены все необходимые данные, чтобы по принятому критерию оптимальности рассчитать суммарные удельные затраты по всем возможным вариантам развития предприятий, включая и гипотетические, которых в действительности пока нет. Заметим, что в таблицу включаются только расчетные показатели себестоимости, удельных транспортных расходов и капиталовложений. Причем последний показатель умножается на 0,2 (Е) - нормативный коэффициент эффективности капиталовложений.

Описанные выше этапы комплексно представлены на следующем рисунке.

Рисунок 4 - Методика определения оптимального объема производства
Исходя из данных табл. 2 оптимальным является вариант предприятия мощностью в 100000 т. Суммарные удельные затраты здесь составляют 204,25 ден.ед. Далее они начинают возрастать.
Однако следует обратить внимание на два обстоятельства. Во-первых, незначительная разница в суммарных затратах по 5 и 6 вариантам и, во-вторых, большое различие в мощности предприятий по этим вариантам. Потому возникает необходимость апробирования вариантов, скажем, в 110б 120 и 130 тыс. т продукции. По этим вариантам суммарные удельные затраты соответственно составляют 203, 85, 203,83 и 193,85 ден.ед. Следовательно оптимальным будет предприятие с объемом производства в 130000 т. Суммарные затраты на тонну продукции на этом предприятии в два раза ниже, чем на первом с объемом производства в 11000 т и на 8% ниже, чем у наиболее крупного предприятия с объемом производства 200000 т.
Однако в связи с инерционностью производства оптимальный объем продукции является многовариантным и руководитель никогда не сможет произвести ровно столько продукции, сколько предполагает данная модель.
Для реализации поставленной задачи на практике необходимо расширить интервал оптимального объема производства, т.е. определить доверительный интервал. Для этого определяется доверительный интервал для функции себестоимости, удельных транспортных и капитальных вложений. После чего переходят к обратным функциям, т.е. определяется зависимость мощности предприятия от себестоимости продукции, удельных транспортных и капитальных вложений. Подставляя выше полученные значения доверительных интервалов в функции, получаем нижнее и верхнее значение интервала для оптимального объема производства.
ГЛАВА 2. ТЕХНИКО-ЭКОНОМИЧЕСКАЯ ХАРАКТЕРИСТИКА ОАО «СУДБИЩЕНСКОЕ»
2.1. Характеристика ОАО «Судбищенское»
ОАО «Судбищенское» расположено по адресу: Орловская область, Новодеревеньковский район, поселок Судбище.
Общество создано путем преобразования государственного предприятия
коллективно – долевого предприятия «Судбищенское», является его правопреемником прав и обязанностей. ОАО «Судбищенское» является юридическим лицом, имеет самостоятельный баланс, расчетные и иные счета в учреждениях Российской Федерации, круглую печать со своим наименованием, штамп, бланки.
Общество имеет своей целью извлечение прибыли. Для реализации поставленной цели Общество осуществляет следующие виды деятельности:
· Осуществление деятельности по заготовке, подработке, сушке и хранению зерновой продукции, осуществление производства и переработки сельскохозяйственной продукции, производство хлебобулочных изделий, производства молока;
· Торгово-закупочная деятельность, оптовая торговля зерном и молоком и продуктами их переработки.
· Осуществление иной деятельности, направленной на достижение целей Общества и не противоречащих действующему законодательству российской Федерации.
Отдельными видами деятельности, перечень которых определяется федеральными законами, Общество может заниматься только на основании специального разрешения (лицензии).
Деятельность Общества основана на полной хозяйственной самостоятельности, самоуправлении и самофинансировании. Общество самостоятельно планирует свою деятельность в соответствии с приоритетными направлениями деятельности, определяемыми общим собранием акционеров.
Уставный капитал Общества составляется из номинальной стоимости акций общества, приобретенных акционерами, и составляет 15476 тыс.руб. ( пятнадцать миллионов четыреста семьдесят шесть тысяч ) рублей.
Обществом размещено 15476 (пятнадцать тысяч четыреста семьдесят шесть) штук акций, из которых: 15476 (пятнадцать тысяч четыреста семьдесят шесть ) штук обыкновенных именных акций номинальной стоимостью 1000 (одна тысяча) рублей каждая.
Для регистрации прав на акции ведется реестр акционеров в соответствии с действующим законодательством РФ. Ведение реестра поручено специализированной организации. Изменение владельцев акций, их обременения и иные операции в соответствии с действующим законодательством фиксируется в реестре и не требует внесения изменения в учредительные документы Общества. Документальным подтверждением права собственности на акции и иных прав акционера является выписка из реестра, оформленная в соответствии с действующим законодательством и иными правовыми актами РФ.
Общество осуществляет учет результатов работ, ведет оперативный, бухгалтерский и статистический учет по нормам, действующим в Российской Федерации. Доходы от хозяйственной деятельности предприятия складываются исходя из стоимости произведенной и затратами на производство. С этой целью ознакомимся с видами, и себестоимостью производимой продукции ОАО «Судбищенское» (Приложение 1,2,3).
Таблица 3 - Состав и структура выручки от реализации продукции
| Виды продукции, отрасли |
2005 г |
2006 г |
2007 г |
Динамика, % |
| Выручка, тыс. руб. |
Удельный вес, % |
Выручка, тыс. руб. |
Удельный вес, % |
Выручка, тыс. руб. |
Удельный вес, % |
| Зерновые |
1177 |
21 |
599 |
11 |
5171 |
46 |
185 |
| Гречиха |
181 |
3 |
50 |
1 |
85 |
0,8 |
47 |
| Ячмень |
1028 |
18 |
2257 |
41 |
4780 |
42 |
465 |
| Горох |
100 |
2 |
29 |
0,5 |
1 |
0,2 |
1 |
| Овес |
57 |
1,4 |
126 |
2 |
895 |
8 |
1570 |
| Прочие зерновые |
33 |
0,6 |
69 |
1,5 |
60 |
0,5 |
182 |
| Прочая продукция растениеводства |
3045 |
54 |
2350 |
42 |
336 |
2,5 |
11 |
| Итого продук
ция растение
водства
|
5621
|
57
|
5480
|
59
|
11328
|
75
|
202
|
| КРС |
2157 |
51 |
1493 |
40 |
807 |
21 |
38 |
| Свиньи |
169 |
4 |
419 |
11 |
208 |
2 |
123 |
| Молоко |
1565 |
36 |
1486 |
40 |
2317 |
60 |
148 |
| Мясо |
364 |
9 |
364 |
9 |
557 |
17 |
153 |
| Итого продук
ция животноводства
|
4255
|
43
|
3762
|
41
|
3889
|
25
|
91
|
| Всего |
9876 |
100 |
9242 |
100 |
15217 |
100 |
154 |
Таблица 4 — Обеспеченность предприятия производственными ресурсами
| Показатели |
Годы |
Динамика, % |
| 2005 |
2006 |
2007 |
| 1. Приходится на 100 га сельскохозяйственных угодий: - трудовых ресурсов, чел. |
2,4
|
1,7
|
1,8
|
75
|
| - основных фондов, тыс. руб. |
287 |
276 |
528 |
184 |
| - энергетических средств, л.с. |
215 |
174 |
151 |
70 |
2. Приходится на 1 работника:
- сельскохозяйственных угодий, га
|
42
|
58
|
55
|
131
|
| - пашни, га |
33 |
46 |
44 |
133 |
| - основных фондов, тыс. руб. |
227 |
322 |
448 |
198 |
| - энергетических средств, л.с. |
89 |
101 |
83 |
93 |
Таблица 5 — Финансовый результат деятельности предприятия, тыс.руб.
| Показатели |
Годы |
Динамика, % |
| 2005 |
2006 |
2007 |
| Выручка от реализации продукции |
10147 |
10825 |
19305 |
190 |
| Себестоимость реализованной продукции |
10157 |
9980 |
18019 |
178 |
| Прибыль (+), убыток (-) от реализации |
(10) |
845 |
1286 |
| Операционные доходы |
- |
- |
- |
| Операционные расходы |
(509) |
(466) |
(531) |
104 |
| Внереализационные доходы |
2103 |
618 |
1688 |
80 |
| Внереализационные расходы |
(1617) |
(687) |
(1858) |
115 |
| Балансовая прибыль |
(33) |
342 |
585 |
171 |
| Налог на прибыль |
- |
(32) |
(13) |
| Чистая прибыль |
(59) |
310 |
572 |
185 |
В результате проведенного анализа модно сделать выводы о том, что работа ОАО «Судбищенское» в динамике произошло:
Увеличение в процентном соотношении таких показателей как:
| Выручка от реализации продукции |
На 90 |
| Стоимость имущества предприятия |
На 125 |
| Среднегодовая стоимость ОФ |
На 101 |
| Площадь сельскохозяйственных угодий |
На 9 |
| в том числе пашни |
На 11 |
| Продукция растениеводства |
На 102 |
| Себестоимость реализованной продукции |
На 78 |
| Балансовая прибыль |
На 71 |
| Чистая прибыль |
На 85 |
Снижение в процентном соотношении таких показателей как:
| Среднегодовая численность работников |
На 17 |
Среднегодовое поголовье КРС
в том числе коров
|
На 40
На 39
|
| Среднегодовое поголовье свиней |
На 68 |
| Наличие тракторов на конец года |
На 36 |
| Наличие энергетических мощностей |
На 23 |
| Продукция животноводства |
На 8 |
Рассмотрим обеспеченность предприятия оборотными средствами, их состав и структуру. Финансовое положение предприятия находится в прямой зависимости от состояния оборотных средств, поэтому предприятия заинтересованы в организации наиболее рационального движения и использования оборотных средств. Для того, чтобы узнать насколько ОАО «Судбищенское» обеспечено ОПФ, нужно рассмотреть таблицу 6.
Таблица 6 -Обеспеченность ОПФ и показатели их использования ОАО «Судбищенское» за 2005-2007 гг.
| № п.п. |
Показатели |
2005 |
2006 |
2007 |
2007 в % к |
| 2005 |
2006 |
1
|
Среднегодовая стоимость ОПФ (тыс.руб.) |
15378 |
14816 |
30919 |
201 |
209 |
2
|
Валовая продукция по себестоимости (тыс.руб.) |
10147 |
10825 |
19305 |
190 |
178 |
3
|
Среднесписочная численность работников (чел.) |
129 |
93 |
107 |
83 |
115 |
| 4 |
Площадь с/х угодий (га) |
5366 |
5366 |
5857 |
109 |
109 |
5
|
Фондообеспеченность на 100 га с/х угодий (тыс.руб.) |
287 |
276 |
528 |
184 |
191 |
| 6 |
Фондовооруженность (тыс.руб.) |
23089
|
243,35
|
298,03
|
129
|
123 |
| 7 |
Фондоотдача на 100 руб. ОПФ |
22,08
|
24,66
|
28,84
|
131
|
117 |
8
|
Фондоемкость на 100 руб. валовой продукции (тыс.руб.) |
452,86
|
405,48
|
346,79
|
81
|
85 |
Фондоотдача (Фо
) выражает отношение стоимости продукции, изготовленной за год (или задругой период времени), к среднегодовой стоимости основных производственных фондов. Этот показатель может быть рассчитан по объему продаж, реализованной или отгруженной продукции.
Фо
=19305,0/30919,0=0,63 руб.
Фондоемкость (Фе
) – величина, обратная фондоотдаче, она выражает отношение стоимости основных фондов к объему продукции.
Фе
=1/ Фо
=1/0,63=1,59 руб.
Фондорентабельность (ФР) показывает эффективность использования основных средств и прочих внеоборотных активов:
ФР
= Прп
/ ОПФ, где Прп
– прибыль предприятия от реализации продукции. ФР
=585,0/30919,0=0,0189 или 11,89%
Как видно из таблицы, обеспеченность хозяйства ОПФ не слишком высока и растет низкими темпами. Фондообеспеченность ОПХ увеличилась лишь на 0,7%. Такое изменение связано с повышением среднегодовой стоимости ОПФ на 0,7%, т.к. площадь с/х угодий осталась неизменной. Увеличение фондовооруженности на 22,5% связано со снижением среднесписочной численности работников ОПХ «Целинное» на 17,8%. Обеспеченность хозяйства ОПФ осталась прежней, т.к. увеличение среднегодовой стоимости ОПФ очень не значительны, а вот эффективность их использования повышается. Фондоемкость увеличилась на 4,1%, вследствие чего фондоотдача снизилась на 13,6%, это значит, что ОПФ хозяйство использует неэффективно.
2.2. Анализ эффективности производства ОАО «Судбищенское»
2.2.1. Анализ динамики производства молока
Объем производства и объем реализации продукции являются взаимозависимыми показателями. В условиях ограниченных производственных возможностей и неограниченного спроса приоритет отдается объему производства продукции, который определяет объем продаж. Но по мере насыщения рынка и усиления конкуренции не производство определяет объем продаж, а, наоборот, возможный объем продаж является основой разработки производственной программы. Предприятие должно производить только те товары и в таком объеме, которые оно может реализовать.
Темпы роста объема производства продукции, повышение ее качества непосредственно влияют на величину издержек, прибыль и рентабельность предприятия. Поэтому анализ данных показателей имеет большое значение. Проведем анализ производства молока в хозяйстве и оценим произошедшие изменения. Для этого составим таблицу, отражающую динамику производства молока за период 2005-2007 гг.
Таблица 7 - Динамика валового надоя в хозяйстве за 2005-2007 гг.
| Показатель |
2005 |
2006 |
2007 |
| Поголовье, гол. |
520 |
544 |
522 |
| Продуктивность, ц |
35,42 |
34,06 |
35,24 |
| Валовая продукция, ц |
18421 |
18530 |
18395 |
| Товарная продукция, ц |
12235 |
12009 |
14035 |
| Уровень товарности, % |
66 |
65 |
76 |
По данным таблицы мы видим, что численность поголовья изменяется, хотя и незначительно. Наибольшая численность поголовья имеет место в 2006 году, когда она составляла 544 головы, а наименьшая 520 в 2005 году. Рассматривая продуктивность, то здесь она изменяется также незначительно, в среднем продуктивность составила 34,9 ц. То есть в целом динамика численности и продуктивности коров имеет более или менее постоянную тенденцию.
Далее необходимо установить факторы и причины изменения объема производства продукции. Известно, что объем производства продукции молочного скотоводства зависит от поголовья и продуктивности животных, обеспеченности скота кормами и помещениями, рационов кормления, породности животных, условий их содержания.
Проведем факторный анализ изменения объемов производства молока, учитывая влияние факторов первого уровня, к которым относятся численность поголовья животных и их продуктивность. Все расчеты сведем в таблицу.
Таблица 8 - Факторный анализ объема производства продукции
| Год |
Изменение |
в т.ч. за счет |
| поголовья |
продуктивности |
| 2005 |
- |
- |
- |
| 2006 |
109 |
850,2 |
-741,2 |
| 2007 |
-135 |
-750 |
615 |
Проанализируем 2005 и 2006 гг.
ВП0
= 520∙35,425 = 18421 ∆ВП = 18530 – 18421 = 109
ВПусл
= 35,425∙544 = 19271,2 ∆ВПпг
= 19171,2 – 18421 = 850,2
ВП1
= 544∙34,062 = 18530 ∆ВПпр
= 18530 – 19271,2 = -741,2
Таким образом, мы видим, что в 2006 году по сравнению с 2005 годом валовой надой молока увеличился на 109 ц, в том числе за счет увеличения среднегодовой численности поголовья на 24 головы надой увеличился на 850,2 ц, а из-за снижения продуктивности коров на 1,363 ц, валовой надой снизился на 741,2 ц.
Рассмотрим 2006 и 2007 гг.
ВП0
= 544∙34,062 = 18530 ∆ВП = 18395 – 18530 = -135
ВПусл
= 522∙34,062 = 17780 ∆ВПпг
= 17780 – 18530 = -750
ВП1
= 522∙35,24 = 18395 ∆ВПпр
= 18395 – 17780 = 615
Проанализировав полученные данные за 2007 и 2006 годы можно сделать следующие выводы. В 2007 году валовой надой молока сократился на 135 ц, в том числе за счет уменьшения численности поголовья на 22 головы надой молока уменьшился на 750 ц, а за счет повышения продуктивности на 1,178 ц надой увеличился на 615 ц.
2.2.2. Анализ динамики и структурной себестоимости молока
Себестоимость продукции – важнейший показатель экономической эффективности ее производства, отражающий все стороны хозяйственной деятельности и аккумулирующий результаты использования всех производственных ресурсов. От его уровня зависят финансовые результаты деятельности предприятия, темпы расширенного воспроизводства, финансовое состояние субъектов хозяйствования.
Для оценки влияния отдельных статей затрат на себестоимость воспользуемся таблицей 9,10.
Таблица 9 - Влияние статей затрат на себестоимость в 2005, 2006 гг.
| Статья затрат |
2005 |
2006 |
Изменение
+/-
|
Структура |
Изменение
+/-
|
Влияние статьи затрат на себестоимость +/-, % |
| 2005 |
2006 |
Оплата труда
Корма
Содержание ОС
|
709
3620
997
|
184
4629
1897
|
-525
+1009
+900
|
11,8
60,2
16,6
|
2,6
66
27
|
-9,2
+5,8
+104
|
-8,7
+16,8
+14,9
|
| Итого |
6011 |
7014 |
+1003 |
100 |
100 |
- |
- |
в т.ч.
постоянные
переменные
|
1138
4873
|
411
6603
|
-727
+1730
|
18,9
81,1
|
5,6
94,4
|
-13,3
+13,3
|
-12,1
28,8
|
По таблице видно, что себестоимость молока в 2006 году увеличилась на 1003 тыс.руб. или на 17% и составила 7014 тыс.руб. Наибольшее влияние на это оказало увеличение затрат на корма и содержание основных средств на 28% и 90% соответственно.
Таблица 10 -Влияние статей затрат на себестоимость в 2006, 2007 гг.
| Статья затрат |
2006 |
2007 |
Изменение
+/-
|
Структура |
Изменение
+/-
|
Влияние статьи затрат на себестоимость +/-, % |
| 2006 |
2007 |
Оплата труда
Корма
Содержание ОС
|
184
4629
1897
|
634
5234
3978
|
+450
+605
+2081
|
2,6
66
27
|
6,4
52,9
40,2
|
+3,8
-13,1
+13,2
|
+6,4
+8,6
+29,7
|
| Итого |
7014 |
9888 |
+2874 |
100 |
100 |
- |
- |
в т.ч.
постоянные
переменные
|
411
6603
|
422
9466
|
+11
+2863
|
5,9
94,1
|
4,3
95,7
|
-1,6
+1,6
|
0,2
40,8
|
Анализируя данные 2006 и 2007 года можно также отметить, что происходит увеличение себестоимости молока на 2874 тыс.руб. или на 41%, в том числе за счет увеличения затрат по всем статьям. Можно также отметить, что наибольшую долю затрат занимают затраты на корма в среднем 60% за три года, а наименьшую затраты на оплату труда – 6,9%
2.2.3. Факторный анализ себестоимости молока
Себестоимость складывается из постоянных и переменных затрат. Изменение этих расходов приводит к изменению себестоимости. Поэтому следующим шагом будет факторный анализ себестоимости молока в зависимости от изменения величины постоянных, переменных расходов и объема производства.
Таблица 11 - Постоянные, переменные расходы и объем производства молока
| Показатель |
2005 |
2006 |
2007 |
| Объем производства |
18421 |
18530 |
18395 |
| Итого затрат |
6011 |
7014 |
9888 |
в т.ч.
постоянные
переменные
|
1138
4873
|
411
6603
|
422
9466
|
Проанализируем 2005 и 2006 гг.
 
 
Изменение себестоимости молока в 2006 году по сравнению с 2005годом: ∆С = С1
– С0
= 7014 – 6011 = 1003 тыс. руб.
За счет изменения постоянных расходов: ∆Спост.расх.
= Сусл1
– С0
= 6004,3 – 6011 = -6,7 тыс.руб.
За счет изменения объема производства: ∆Соб.пр.
= Сусл2
- Сусл1
= 5284 – 6004,3 = -720,3 тыс.руб.
За счет изменения переменных расходов: ∆Сперем.расх.
= С1
– Сусл1
= 7014 – 5284 = 1730 тыс.руб.
Итак, мы видим, что себестоимость в 2006 году по сравнению с 2005 повысилась на 1003 тыс. руб. в том числе за счет уменьшения постоянных расходов на 727 тыс.руб. себестоимость снизилась на 6,7 тыс.руб., но за счет увеличения переменных расходов на 1730 тыс.руб. себестоимость увеличилась на 1730 тыс. руб., а за счет увеличения объема производства на 109 ц. себестоимость уменьшилась на 720,3 тыс.руб. Проанализируем 2006 и 2007 гг.
 
 
Изменение себестоимости молока в 2006 году по сравнению с 2005годом: ∆С = С1
– С0
= 9888 – 7014 = 2874 тыс. руб.
За счет изменения постоянных расходов: ∆Спост.расх.
= Сусл1
– С0
= 7017 – 7014 = 3 тыс.руб.
За счет изменения объема производства: ∆Соб.пр.
= Сусл2
- Сусл1
= 7025 – 7017 = 8 тыс.руб.
За счет изменения переменных расходов: ∆Сперем.расх.
= С1
– Сусл1
= 9888 – 7025 = 2863 тыс.руб
Анализируя полученные данные мы видим, что себестоимость увеличилась на 2874 тыс.руб. в 2007 году по сравнению с 2006, в том числе за счет снижения объема производства на 135 ц себестоимость повысилась на 8 тыс.руб., за счет увеличения постоянных затрат на 11 тыс.руб. себестоимость увеличилась на 3 тыс.руб., за счет увеличения переменных расходов на 2863 тыс.руб. себестоимость повысилась на 2863 тыс.руб.
2.3. Применение на ОАО «Судбищенское» современной техники, технологии, методов организации производства
Развитие рынка и усиление конкуренции в экономике вынуждает предприятия искать конкурентные преимущества. Такие преимущества может обеспечить либо внутренняя производственная эффективность, либо лучшая по сравнению с конкурентами ориентация на рынок. Использование современных компьютерных разработок позволяет комплексно подходить к решению управленческих задач. Основные факторы повышения эффективности производства – это техника, технология, организация производства. Техника (машины, механизмы, автоматизированные системы управления производством) позволяет механизировать и автоматизировать производство. Технология - наука о способах и методах переработки сырья, воздействует на совершенствование производственных процессов, организацию производства, сокращение тяжелого и рутинного труда. Наиболее современное оборудование, гибкие производственные системы в отдельных случаях способны повысить производительность труда 10 - 20 раз.
В результате уменьшаются издержки производства, повышается рентабельность производства и качество продукции. Наука и техника служат средствами увеличения производственных возможностей. Организация производства – это совокупность методов, обеспечивающих наиболее целесообразное соединение и использование во времени и пространстве средств труда, предметов труда и самого труда в целях эффективного ведения производственных процессов и в целом предпринимательской деятельности.
Пути повышения эффективности производства — это комплекс конкретных мероприятий по росту эффективности производства в заданных направлениях. В тех случаях, когда повышение качества продукции, внедрение новой техники, передового опыта, техническое перевооружение и реконструкция, внедрение нового хозяйственного механизма оказывают влияние на конечные результаты работы предприятий, следует как при планировании, оценке и стимулировании деятельности трудовых коллективов, так и при экономическом анализе полностью выявить и учесть весь эффект, полученный за счет таких факторов.
Рассмотрим направления действий использования главных внутренних и внешних факторов повышения эффективности деятельности ОАО «Судбищенское». Энергонасыщенность производства предприятия необходимо повысить поставкой новых, более современных тракторов; комбайнов и другой техники. Большое внимание должно быть уделено внедрению перспективных: технологий производства сельскохозяйственной продукции, технологий; основанных на научно-технических достижениях с использованием техники с более высокими технико-экономическими показателями. В настоящее время предприятие не имеют возможность внедрять новые технологии; в связи с нехваткой финансовых ресурсов на закупку новой техники и оборудования. Из-за нехватки техники предприятие не всегда справляется с работой в лучшие агротехнические сроки, что ведет к неизбежным потерям продукции.
В настоящее время предприятие столкнулось со многими производственными проблемами. И, тем не менее, руководство ОАО «Судбищенское» находит способы, как повысить эффективность использования машинно-тракторного парка, разработать и внедрить экономические механизмы взаимоотношений сферы технического сервиса и основного производства. На предприятии проведен ряд работ по улучшению лугов и пастбищ, обводнению территории, посадке лесополос, что способствует в конечном итоге увеличению продуктивности пашни и улучшению экологической обстановки. Внедрение адаптивно-ландшафтной системы земледелия, проведенное в ОАО «Судбищенское» позволило в хозяйстве увеличить за 2005-2007 гг. посевные площади, повысить урожайность зерновых культур.
Таким образом, использование ресурсосберегающих технологий способствует увеличению стабильности и эффективности аграрного производства в различных экологических и экономических условиях, что способствует обеспечению продовольственной безопасности страны. Комплекс мер по внедрению современных технологий возделывания сельскохозяйственных культур включает систему агротехнических, технических, организационных и экономических мероприятий.
К агротехническим мероприятиям относятся: применение новых высокоурожайных, низкостебельных сортов с разными сроками созревания; повышение плодородия почвы за счет применения системы органических и минеральных удобрений, использования пожнивных остатков; применение современных высокоэффективных средств защиты растений на уровне экологического порога вредности.
Необходимо техническое переоснащение ОАО «Судбищенское», которое заключается в создании и применении новой техники, позволяющей повысить производительность труда в 2-4 раза.
Для полного цикла выращивания и уборки зерновых по минимальным технологиям будут необходимы: Базовый универсальный трактор; Универсальное почвообрабатывающее орудие (культиватор); Сеялка для мульчированного посева; Опрыскиватель; Разбрасыватель минеральных удобрений; Зерноуборочный комбайн.
Такие наборы техники позволяют по ресурсосберегающим технологиям (с минимальным числом операций) осуществлять:
1. Осенне-весеннюю обработку почвы.
2.Посев сеялками, оборудованными рабочими органами культиваторов (при этом выполняется одновременно до пяти операций).
Нужно отметить, что трудно сегодня ОАО «Судбищенское» обойтись без дотационной и другой поддержки со стороны государства. Во многих высокоразвитых странах государство оказывает большую поддержку сельскому товаропроизводителю. Необходимо также улучшить быт специалистов сельскохозяйственного производства, предотвращая тем самым отток экономистов, инженерно-технических кадров и других специалистов из села.В этих условиях особую важность приобретает формированиепродуманной и тщательно разработанной производственно-хозяйственной политики предприятия, рассчитанной на долговременную перспективу.
ГЛАВА 3. определение оптимальНого объема производства ОАО «СУДБИЩЕНСКОЕ»
3.1. Расчет оптимального объема продукции на ОАО «Судбищенское»
Безубыточность – такое состояние, когда деятельность предприятия не приносит ни прибыли, ни убытков, выручка покрывает только затраты. Безубыточный объем продаж можно выразить и в количестве единиц продукции, которую необходимо продать, чтобы покрыть затраты, после чего каждая дополнительная единица проданной продукции будет приносить прибыль предприятию. В основу анализа безубыточности заложено деление затрат в зависимости от изменения объема производства на постоянные и переменные. Переменные затраты изменяются в зависимости от изменения объема производства. К ним относится: сырье, материалы, заработная плата рабочим. Постоянные затраты не изменяются в зависимости от изменения объема производства, к ним относятся: амортизация, арендная плата, заработная плата аппарату управления. Для определения безубыточного объема продаж и зоны безопасности построим график.
Для этого воспользуемся уравнением общих затрат
Z = bx + a, где b – ставка переменных расходов на 1 изделие; а – постоянные затраты; х – объем производства.
Z = 472,95∙14035 = 6637853,2 руб. ;
6637,853 – 100%
а – 6%
а = 398271,19 руб. – постоянные затраты
6637853,2 = УПР ∙ 14035 + 398271,19; 6239582,1 = УПР ∙ 14035
УПР = 444,57 руб.
Переменные затраты = 444,57 ∙ 14035 = 6239582
Точка безубыточности (ТБ) = = = 4759,4 ц
Маржинальный доход (МД) = выручка – _ереем. затраты = 7414000 – 6239582 = 1174418 руб.; Доля МД в выручке = 15,8%; ПR = = 2520703,7 руб.; Запас финансовой устойчивости (ЗФУ) = = 
 
Рисунок 5 - Зависимость между прибылью, объемом реализации продукции и ее себестоимостью
По графику можно установить, что при объеме реализации более 4759,5 ц предприятие будет получать прибыль. Можно определить также объем реализации, при котором затраты будут равны выручке реализации, на графике это точка безубыточного объема (ТБ), равная 4759,5 ц, ниже которой производство будет убыточным. Если предприятие полностью использует свою производственную мощность, и реализует 14035 ц молока, то зона безопасности (запас финансовой устойчивости) составит 66%. Зона безопасности показывает, на сколько процентов фактический объем продаж выше критического, при котором рентабельность равна нулю.
Особое внимание в определении оптимального объема продукции уделяется показателям прибыли.
Величина прибыли предприятия является управляемым параметром. Управлять прибылью необходимо на всех стадиях производственно-коммерческого цикла, начиная от закупок сырья и материалов и кончая сбытом продукции. Эффективность управления прибылью возрастает в направлении, обратном движению производственно-технологического процесса.
Проблема оптимизации прибыли неоднозначна. С одной стороны, прибыль должна быть как можно больше, потому что это финансовый результат, характеризующий достижение конечных целей бизнеса, повышение его инвестиционных возможностей и привлекательности. С другой стороны, показывать в отчетах большую прибыль не выгодно, потому что возрастают налогооблагаемая база и сумма налога. Отсюда возникает проблема оптимизации прибыли.
Объем производства продукции, цена продукта и издержки (затраты на производство продукции) находятся в определенной функциональной зависимости друг от друга. Поэтому получение максимальной прибыли возможно при определенных соотношениях этих величин. При принятии решений, нацеленных на увеличение прибыли предприятия, необходимо учитывать предполагаемые величины предельного дохода и предельных издержек. Предельный доход — это прирост выручки от реализации на единицу прироста количества производимого продукта.
Введем следующие условные обозначения:
Q — количество товара (продукта);
Р — цена единицы товара;
р х Q — доход (выручка), от реализации товара;
С — издержки производства (затраты);
R — прибыль от реализации.
Тогда стремление получить максимум прибыли может быть представлено в формальном виде следующей функцией:

Отсюда следует: чтобы прибыль была максимальна, необходимо равенство предельных издержек и предельных доходов. Это соотношение позволяет найти оптимальный размер объема производства при известных (или заданных) функциях спроса Р =f(Q) и издержек С = g(Q).
Проведем анализ оптимальности объема производства ОАО «СУДБИЩЕНСКОЕ». Предварительно сделаем необходимые дополнения исходных данных для последующих расчетов (табл. 12).
Таблица 12 - Исходные данные для предельного анализа по молоку
| Показатели |
Базисный год |
Годы |
| 2002 |
2003 |
2004 |
2005 |
2006 |
2007 |
| Производство молока в натуральном выражении, ц |
8650 |
8900 |
11080 |
12235 |
12009 |
14035 |
| Цена единицы продукта, (Р), руб. |
469,8 |
478,1 |
480,0 |
518,80 |
518,30 |
528,25 |
| Затраты (издержки производства) по полной себестоимости (С), тыс. руб. |
4248 |
4059 |
4928 |
5840 |
5900 |
6638 |
| Выручка от реализации (р х Q), тыс. руб. |
4064 |
4255 |
5318 |
6348 |
6224 |
7414 |
| Прибыль (R), тыс. руб. |
184 |
196 |
391 |
508 |
324 |
776 |
Анализ зависимости между ценой продукта и его количеством в динамике позволяет выбрать для функции спроса линейную форму зависимости вида р = a 0 + a 1 * Q. По методу наименьших квадратов определяются неизвестные параметры a 0 и a 1 на основе составления и решения системы нормальных уравнений вида:
n * a0 + a1 = 
2
a0 + a1 = 
где n – число наблюдаемых лет;
pi – цена i-й единицы продукции;
Qi – количество i-q продукции в натуральном выражении
После проведения расчетов получим эмпирическую функцию спроса
p= 32057 - 4,509 * Q
Таблица 13 - Сравнительные данные объемов производства по результатам предельного анализа
| Показатель |
Фактически 2007 |
Оптимум |
Отклонения |
| Производство молока в натуральном выражении, ц. |
14035 |
14894 |
+859 |
| Цена единицы продукта, руб. |
528,25 |
517,0 |
-11,25 |
| Затраты (издержки) по полной себестоимости (С), тыс. руб. |
6638 |
6696 |
+58 |
| Выручка от реализации (р х 0), тыс. руб. |
7414 |
7700 |
+286 |
| Прибыль (Я), тыс. руб. |
776 |
1004 |
+228 |
Анализ зависимости между издержками и количеством выпускаемой продукции в динамике позволяет для функции издержек выбрать также линейную форму связи вида С = b 0+ b 1 * Q. Неизвестные параметры b0 и b1 также находятся по методу наименьших квадратов на основе составления и решения системы нормальных уравнений вида
n * b0 + b1 = 
2
b0 + b1 = 
где условные обозначения соответствуют принятым ранее. В окончательном виде имеем следующую эмпирическую функцию издержек:
С = 16286 + 8,724 * Q,
Теперь проведем расчеты предельного дохода и предельных издержек и, сравнивая их, найдем величину оптимального объема продукции:
р=32057-4,509*Q
C=16286+8,724*Q
2
р * Q = 32057 * Q - 4,509 * Q
d
(
p
*
Q
)
= 32057 -2.152*Q; dC
= 8.724;
dQdQ
32057-2.152*Q=8.724, т.е. Q = 14894.
Оптимальный объем выпуска продукции составляет 14894 ц. Зная размер выпуска, можно определить цену продукта, выручку, прибыль и издержки производства. Результаты расчетов представлены в табл. 13. Сделаем вывод. Применение предельного анализа показывает, что у предприятия имеются возможности увеличить прибыль на 228 тыс. руб. за счет увеличения объемов производства и реализации продукции. При этом затраты предприятия возрастут всего на 58 тыс. руб., или на 0,87%. Оптимальная цена продукта составит 517 руб., что ниже фактической цены на 11,25 руб., или на 4%.
Следовательно, предприятие может в перспективе придерживаться стратегии, направленной на рост объемов выпуска и реализации продукции, однако необходимо при этом сохранить достигнутый уровень затрат на производстве.
3.2. Резервы увеличения производства продукции
Основными источниками резервов увеличения производства продукции в животноводстве является рост поголовья и продуктивности животных. Резервы роста поголовья определяются в процессе анализа выполнения плана по обороту стада. Это сокращение яловости поголовья, падежа животных и реализация их при оптимальной массе (не допускать реализацию «недорощенного» скота и не держать на откорме дольше оптимального срока).
Основными источниками роста продуктивности животных является повышение уровня их кормления и эффективности использования кормов, сокращения яловости коров, улучшение возрастного и породного стада, а также условий содержания животных.
Резерв увеличения производства продукции за счет повышения уровня кормления определяется следующим образом: недовыполнение плана или возможный прирост уровня кормления животных (количество кормовых единиц на одну голову) умножается на фактическую окупаемость кормов в данном хозяйстве или делится на фактический расход кормов в расчете на единицу продукции, полученный резерв роста продуктивности нужно затем умножить на планируемое поголовье. Также хорошие результаты можно получить при использовании методов экономико-математического моделирования (например, рационов кормов и т.д.).
Чтобы определить резерв увеличения производства продукции за счет повышения эффективности использования кормов, необходимо перерасход кормов на 1 единицу продукции или его возможное сокращение умножить на фактический объем производства и полученный результат разделить на плановую норму расхода.
Большие потери продукции имеют с.х. предприятия в результате яловости коров, продуктивность которых ниже примерно на 45-50%. При определении резервов увеличения производства молока по данным зоотехнического учета необходимо установить потери молока в среднем на одну яловую корову и умножить на сверхплановое количество или возможное сокращение яловых коров.
Росту продуктивности животных и выходу продукции существенно содействуют хорошие условия содержания животных, надлежащий уход, правильный режим кормления и поения, добросовестное отношение работников к своему делу. Эти резервы выявляют на основе сравнительного анализа работы разных хозяйств, ферм, отдельных работников и изучения передового опыта.
Важным резервом увеличения производства продукции животноводства является сокращение ее потерь. Значительные потери продукции связаны с болезнями животных, нарушением технологической дисциплины. Результат этого – падеж животных, вынужденный убой, снижение прироста живой массы, выхода приплода и молока.
ЗАКЛЮЧЕНИЕ
Объём производства и объём реализации продукции являются взаимозависимыми показателями. В условиях ограниченных производственных возможностей и неограниченного спроса приоритет отдается объёму производства продукции, который определяет объём продаж. Но по мере насыщения рынка и усиления конкуренции не производство определяет объем продаж, а наоборот, возможный объем продаж является основной разработки производственной программы. Предприятие должно производить только те товары и в таком объеме, которые оно может реализовать.
Большое влияние на результаты хозяйственной деятельности оказывают ассортимент (номенклатура) и структура производства и реализации продукции. Своевременное обновление ассортимента продукции (услуг) с учетом изменения конъюнктуры рынка является одним из важнейших индикаторов деловой активности предприятия и его конкурентоспособности.
Важным показателем деятельности промышленных предприятий является качество продукции. Его повышение - одна их форм конкурентной борьбы, завоевания и удержания позиций на рынке. Высокий уровень качества продукции способствует повышению спроса на продукцию и увеличению суммы за счет не только объема продаж, но и более высоких цен. Также важным является ритмичность работы предприятия. Ритмичность – это равномерный выпуск и отгрузка продукции в соответствии с графиком в объеме и ассортименте, предусмотренных планом. Ритмичная работа является условием своевременного выпуска и реализации продукции. Неритмичность ухудшает все экономические показатели. В этих условиях особую важность приобретает формированиепродуманной и тщательно разработанной производственно-хозяйственной политики предприятия, рассчитанной на долговременную перспективу.
В ОАО «Судбищенское» имеется большой потенциал для улучшения экономической эффективности сельскохозяйственного производства и при соответствующей оптимизации и интенсификации производства можно добиться высоких результатов, дополнительной прибыли вывести производство на высокорентабельный уровень. Все это требует дополнительных затрат, но они высоко окупаются повышенной продуктивностью стада, урожайностью сельскохозяйственных культур и производительностью труда работников.
По результатам проведенных расчетов оптимальный объем выпуска продукции составил 14894 ц., что на 859 ц. больше фактических показателей. Предприятие должно приложить все ресурсы для дальнейшего ухудшения качества своей работы, для этого у него есть все ресурсы.
Необходимо вести работу по повышению продуктивности скота и увеличению урожайности культур. Для чего вести племенную работу во главе с зоотехником хозяйства и работу по улучшению качества посадочного материала, плодородия почвы и др. Для получения рентабельности производства и дополнительных средств необходимо найти оптимальные каналы сбыта, чтобы выручка от реализации была максимальной.
Список использованной литературы
1. Баканов М.И. Шеремет А.Д. Теория анализа хозяйственной деятельности. М.: Финансы и статистика, 1999
2. Добрынин В. А. , Беляев А. В. и др. Экономика сельского хозяйства. 2-е изд., перераб. и доп., М.: Агропромиздат, 2000.
3. Дыбаль С.В. Финансовый анализ: теория и практика: Учеб. пособие. – СПб.: Издат. Дом «Бизнес-пресса». 2007.
4. Ковалев В.В., Волкова О. Н. Савицкая Г.В. Анализ хозяйственной деятельности предприятий: Учебник.- М.: ТК Велби, 2007.
5. Круш З. А. Финансы предприятий сельского хозяйства. Колос, 2001
6. Лишанский М.Л., Маслова И.Б. Финансы в сельском хозяйстве: Учеб. пособие для вузов. – М.: Финансы, ЮНИТИ, 2001.
7. Моляков Д.С. Финансы предприятий отраслей народного хозяйства–Москва «Финансы и статистика», 2002.
8. Минаков М. А., Сабетова П.А. и др. Экономика сельского хозяйства. М.: Колос, 2006.
9. Никитин С.А., Чернова А.В., Ноздрин А.А., Котылева Н.Ю. Экономическая эффективность производственно-хозяйственной деятельности промышленного предприятия: оценка, моделирование и прогнозирование. – Тула: Изд-во ТГПИ, 2001.
10. Пиличев Н.А. Управление агропромышленным производством. – М.: Колос, 2000.
11. Попов Н. А. Экономика отраслей АПК. – М.: ИКФ «Экмос», 2005.
12. Попов М.А. Экономика отраслей АПК. Курс лекций. – М.: ИКФ «ЭКСМОС», 2002.
13. Сергеев И.В. Экономика предприятия: Учебное пособие. – 2-е изд., перераб. и доп. – М.: Финансы и статистика, 2001.
14. Савицкая Г.В. Анализ хозяйственной деятельности предприятия. 5-е изд. – Минск: ООО «Новое знание», 2005.
15. Финансы предприятий АПК Под общ. ред. Н.Е.Заяц, – Минск БГУ, 2000.
16. Финансы сельского хозяйства. Под ред. проф. Л.А. Дробозиной / М:Банки и биржи. ЮНИТИ, 2002.
17. Финансы сельского хозяйства: Учебник/ М.З. Пизенгольц и др.; Под ред. М.З. Пизенгольца. — М.: Финансы и статистика, 2002.
18. Экономика предприятия: Курс лекций. О.И. Волков, В.К. Скляренко. – М.: ИНФРА-М, 2002.
19. Экономика предприятия: Учебник для вузов/Под редакцией проф. В.Я. Горфинкеля, проф. В.А. Швандара. - М.: ЮНИТИ-ДАНА, 2003.
20. Экономика предприятий: Учебник/Под ред. А. Е. Карлика, М.Л. Шухгальтер.- М.: ИНФРА – М, 2004.
21. Экономика предприятия: Тесты, задачи, ситуации: учеб. пособие для студентов вузов/Под ред. В.А. Швандара. - 3-е изд.. перераб. и доп.- М.: ЮНИТИ-ДАНА, 2001.
22. Экономика предприятия: Учеб. пособие. – 2-е изд. Грузинов В.П., Грибов В.Д. – Москва: Финансы и статистика», 2002.
23. Экономика предприятия: Учеб. пособие. / Сергеев И.В, - М.: «Финансы и статистика», 2001.
24. Экономика предприятия: Учебник / Под ред. проф. Волкова И.О. - М.: «ИНФРА-М», 2003.
25. Экономика предприятия. /Под ред. Е.Л.Кантора. – СПб. : Питер, 2003.
26. Экономика предприятия: Учебник/ Под ред. А.Е.Карлика, М.Л.Шухгальтер. – М.: ИНФРА-М, 2002.
27. Экономика сельского хозяйства. /И.А.Минаков, Л.А.Сабетова, Н.И.Куликов и др.; Под ред. И.А.Минакова.– М.: Колос, 2000.
28. Экономика сельского хозяйства: Учебник. – М.: Дело и Сервис, 2001.
29. Бондина Н.Н., Бондин И.А. Финансовая устойчивость предприятия – основа повышения эффективности производства /Экономика сельскохозяйственных и перерабатывающих предприятий. – 2004. – №9.
|