Содержание
Раздел 1. Организационно-методический. 2
1.1. Введение
. 2
1.2. Цели и задачи написания реферативной работы
.. 4
Раздел 2. Экономико-географическая характеристика Тюменской области. 4
2.1. Природные условия и ресурсы.
4
2.2. Население
. 6
2.3. Хозяйство
. 8
2.3.1. Промышленность
. 9
2.3.2. Сельское хозяйство
. 11
2.3.3. транспорт и связь
. 13
Раздел 3. Расчет возможности организации на территории Тюменской области предприятия по производству чугуна – железа. 14
3.1. Методика выполнения расчетов
. 14
3.2. Расчет движения вещества по технологической цепочке по производству чугуна-железа
. 15
3.3. Определение возможного снижения себестоимости при комплексном использовании сырья.
17
3.4. Определение оптимального варианта размещения производства в соответствии с критерием наименьших приведенных затрат.
18
3.5. Общий вывод и рекомендации.
22
Список литературы:
24
Содержание этой области исследования: закономерности и проблемы функционирования и развития экономики Российской Федерации как системы взаимодействующих регионов (экономических зон, крупных экономических районов, субъектов Федерации, территориально-производственных комплексов, промышленных узлов, городских агломераций и других территориальных экономических подсистем); рациональное пространственное распределение экономических ресурсов; территориальная экономическая дифференциация и интеграция; разработка направлений функционирования и развития экономики отдельных регионов — подсистем национальной экономики;
Объект исследования: социально-экономическая система Томской области в территориальном аспекте, территориальные социально-экономические подсистемы экономики; межрегиональные взаимодействия; элементы территориальных социально-экономических подсистем и их взаимодействие; механизмы регулирования социально-экономического развития на национальном, межрегиональном, региональном и муниципальном уровнях; теория региональной экономики, методы исследования региональных экономических систем и их взаимодействий; межрегиональная и региональная производственная, социальная и институциональная инфраструктура; природные и экономические ресурсы и их эффективное использование.
Забиваем Сайты В ТОП КУВАЛДОЙ - Уникальные возможности от SeoHammer
Каждая ссылка анализируется по трем пакетам оценки: SEO, Трафик и SMM.
SeoHammer делает продвижение сайта прозрачным и простым занятием.
Ссылки, вечные ссылки, статьи, упоминания, пресс-релизы - используйте по максимуму потенциал SeoHammer для продвижения вашего сайта.
Что умеет делать SeoHammer
— Продвижение в один клик, интеллектуальный подбор запросов, покупка самых лучших ссылок с высокой степенью качества у лучших бирж ссылок.
— Регулярная проверка качества ссылок по более чем 100 показателям и ежедневный пересчет показателей качества проекта.
— Все известные форматы ссылок: арендные ссылки, вечные ссылки, публикации (упоминания, мнения, отзывы, статьи, пресс-релизы).
— SeoHammer покажет, где рост или падение, а также запросы, на которые нужно обратить внимание.
SeoHammer еще предоставляет технологию Буст, она ускоряет продвижение в десятки раз,
а первые результаты появляются уже в течение первых 7 дней.
Зарегистрироваться и Начать продвижение
Размещение большинства предприятий полного цикла (от производства чугуна до выпуска проката) ориентируется или на источники сырья (Урал, центральные районы России), или на источники технологического топлива - кокса (Западная Сибирь).
В эпоху НТР изменилась роль отдельных факторов размещения производительных сил. Снизилась роль природно-ресурсного, в связи с улучшением транспортной инфраструктуры, применением новых видов сырья и материалов и т.д. Существенно возросла роль фактора ЭГП, (особенно приморского, т.к. возросла роль привозного сырья топлива), а так же роль транспортного фактора (именно он помогает преодолевать территориальный разрыв между районами производства и потребления продукции).
Иное значение приобрели фактор трудовых ресурсов (на первое место вышло «качество» рабочей силы) и фактор территориальной концентрации (для эпохи НТР характерен процесс рассредоточения производства путём создания небольших и средних предприятий). А экологический и фактор наукоёмкости можно отнести к новым, появившимся в эпоху НТР. Эти и ряд других отрицательных явлений и тенденций (не говоря уже о чисто производственных проблемах) являются, безусловно, следствием непродуманной, а иногда - и авантюрной экономической политики, особенно - в осуществлении рыночных реформ на уровне макроэкономического регулирования. Нужно также признать, что сегодняшнее социально-экономическое состояние сибирских областей в значительной степени, является следствием отсутствия четкой государственной региональной политики.
1.2. Цели и задачи написания реферативной работы
Большое значение в новых условиях хозяйствования имеет прогноз развития экономики территориальных частей. Решение этой проблемы предполагает разработку основ выбора приоритетных направлений всех видов деятельности, включая промышленное производства чугуна.
В условиях становления и развития рыночных отношений в России, для научного обоснования радикальных экономических реформ большое значение приобретает региональная экономика.
Цель работы
– раскрыть принципы размещения производства чугуна-железа в Тюменской области: ресурсный, энергетический или потребительский, показать приемы по составлению, формализации технологических производственных цепочек и методы выбора лучшего варианта по размещению отдельных звеньев этих цепочек.
Задачи:
· Составить характеристику исследуемого региона
· Определить экономических показателей производства чугуна-железа
· Разработать схему производства чугуна как системного образования
Сервис онлайн-записи на собственном Telegram-боте
Попробуйте сервис онлайн-записи VisitTime на основе вашего собственного Telegram-бота:
— Разгрузит мастера, специалиста или компанию;
— Позволит гибко управлять расписанием и загрузкой;
— Разошлет оповещения о новых услугах или акциях;
— Позволит принять оплату на карту/кошелек/счет;
— Позволит записываться на групповые и персональные посещения;
— Поможет получить от клиента отзывы о визите к вам;
— Включает в себя сервис чаевых.
Для новых пользователей первый месяц бесплатно.
Зарегистрироваться в сервисе
· Определить критерии по оценке ситуации и выбора лучшего варианта по размещению этого производства
· Сбор и анализ исходной информации.
К черным металлам относят железо, марганец и хром. Включает в себя четыре передела металла: добычу и обогащение руды, производство чугуна, производство стали, производство проката. Помимо этого, существуют дополнительные и вспомогательные направления: выплавка ферросплавов, вторичный передел черных металлов (переплавка металлолома), коксование угля (спекание в печах определенных сортов угля), производство огнеупоров (специальные материалы, которыми выкладываются доменные печи).
2.1. Природные условия и ресурсы.
Тюменская область – это сложный территориально-экономический комплекс, являющийся на сегодняшний день одним из самых стабильных регионов Российской Федерации. В Ханты-Мансийском (ХМАО) и Ямало-Ненецком (ЯНАО) автономных округах, занимающих 89% территории, ведется основная нефте- и газодобыча, дающая в общей сложности 94% товарной продукции области. В соответствии с действующей Конституцией РФ и Федеративным договором они являются самостоятельными субъектами Федерации.
Приобье - район новых нефтяных городов (Сургут, Нижневартовск), где добывается более 50% российской нефти. Население здесь на 90% - новые мигранты, приехавшие в 70-80-е годы, в том числе из бывших союзных республик. Юг области - Тюмень и прилегающие районы - это зона давнего заселения, основными этническими группами здесь являются русские и сибирские татары. Экономика юга области ориентирована в основном на сельское хозяйство, однако в последние годы здесь также добывается нефть.
Экономический потенциал области составляет взаимосвязь экономик трех субъектов, нефть, газ, сельское хозяйство и машиностроение. Между округами и югом Тюменской области наметилось взаимовыгодное сотрудничество в развитии предприятий по переработке и производству сельскохозяйственной продукции.
Тюменская область продолжает удерживать лидирующее положение по производству промышленной продукции на душу населения в Уральском федеральном округе и в целом по РФ. Вклад тюменских производителей в общий объем выпуска страны составил 9,6%. За 9 месяцев 2002 г. организациями произведено продукции на 476,4 млрд. рублей. Устойчиво работает машиностроение, нефтехимия, нефтепереработка. Активно идет разработка группы Уватских месторождений. Хорошо развит трубопроводный транспорт, однако в силу изношенности большинства трубопроводов и оборудования насосных станций он стал в последнее время источником многочисленных аварий с тяжелыми экологическими последствиями.
Начались планомерные интенсивные поиски нефтяных и газовых месторождений. 14 апреля 1962 года в Тазовской тундре забил первый газовый фонтан. С 1964 по 1966 открыты еще пять крупных месторождений, в т.ч. Губкинское с запасом 350 млрд. кубометров газа и крупнейшее в мире Уренгойское. 1967 год дал три месторождения, в том числе уникальное Медвежье. Следующий год - еще три нефтегазоносных месторождения.
В 1972 году газ Медвежьего по трубопроводу Надым-Пунга прошел на Урал. В 1978 году заработал газопровод Уренгой-Надым. Газ Выгнапура влился в магистраль Уренгой - Тюмень - Челябинск. Ямальские газ и нефть стали реальностью. Названия небольших поселков, затерявшихся в бесконечных просторах тайги и тундры, Надым, Тарко - Сале, Новый Порт, Уренгой, Мыс Каменный - теперь известны во всем мире.
2.2. Население
Население Тюменской области – 3226 тыс. человек. Из них 1109 человек горожане, остальные – проживают в сельской местности. Доля городского населения составляет 66%. Средняя плотность населения – около 40 человек на 1 км, однако на периферии плотность сельского населения составляет лишь – 2-4 км.
Большинство населения составляют русские. Территориальные особенности формирования населения в области обусловлены различиями природных условии и неодинаковым уровнем их социально-экономического развития. До 1990 г. рост численности населения наблюдался во всех регионах района. В повышении общей численности населения первостепенную роль играл естественный прирост населения. Несмотря на ухудшения демографической обстановки соотношение лиц различных возрастных групп складывалось в пользу сравнительно молодого контингента населения, сохранялась высокая доля подростков и лиц трудоспособного возраста.

В настоящее время механический прирост населения имеет тенденцию к снижению. Для динамики населения характерны общие для России негативные тенденции: постарение, снижение доли детей и подростков и повышение доли лиц старше трудоспособного возраста. Темпы увеличения численности пенсионеров несколько превышают средние по РФ.

Тюменская область относится к числу регионов РФ с высоким показателем общественной занятости. К началу 1994 г. в народном хозяйстве было занято 96,4% всех трудовых ресурсов. Структурные изменения занятости в материальном производстве и непроизводственной сфере отражают процессы переориентации хозяйственного комплекса района на решение социально-экономических задач. Основную роль в закреплении и создании постоянных кадров играет приоритетное развитие отраслей непроизводственной сферы, для которой характерны более высокие темпы роста численности, чем в отраслях материального производства. С переходом на новые условия хозяйствования проблемы занятости населения осложнятся. Это объясняется сокращением ввода новых рабочих мест, территориальным несоответствием между наличием рабочих мест и свободных.
Большая часть экономически активного населения занята на государственных и муниципальных предприятиях. Уровень экономически активного населения с 1995 года остается почти неизменным - 55,5% -50% (1995 -1998 годы соответственно). Однако можно наблюдать тенденцию к увеличению уровня безработных, уровень которой повысился с 6,4% до 12, 64% и, соответственно, понизился уровень населения, занятого в экономике (с 93,6% до 87,36%). [4]
Область сохранила статус экономически стабильного региона и занимает в стране одно из ведущих мест по объемам лесозаготовок и лесопиления, внедрению новейших технологий. Продукция тюменских лесозаготовительных и деревообрабатывающих предприятий известна не только у нас в стране, но и пользуется спросом на международном рынке. Лучшие образцы товаров и изделий из древесины и продуктов ее переработки с тюменской маркой по качеству сегодня не уступают мировым.
Индустриальное будущее округа как главного газово-энергетического комплекса страны определила новая отрасль - геология. Летом 1958 года в Салехарде создана Ямало-Ненецкая комплексная геологоразведочная экспедиция.
Основными отраслями промышленности являются: нефте- и газодобывающая, машиностроение и металлообработка, лесная и деревообрабатывающая. Основные нефтегазодобывающие предприятия располагаются на территории Сургутского района (здесь же завод стабилизации газовых конденсатов, кирпичный завод) и Нижневартовского района, где действует несколько нефтегазодобывающих объединений. Главные промышленные центры: Тюмень, Ишим, Мегион, Надым, Нижневартовск, Нефтеюганск, Салехард, Сургут, Тобольск, Уренгой. В области не перерабатывают сырую нефть и нефтяной газ, на этом много теряет экономика региона. ГРЭС г. Сургута вырабатывает электроэнергию для предприятий юга Тюменской области и других регионов России. Огромные запасы древесины положили начало развитию лесо- и деревопереработки. На территории области работают более тысячи деревоперерабатывающих предприятий, вырабатывающих круглый лес, пиломатериалы, щепу для целлюлозно-бумажного и гидролизного производства; производятся лекарственные препараты, экстракты для парфюмерной промышленности и кормовые добавки. Проблемы экологии стоят в области очень остро.
По производству промышленной продукции на душу населения Тюменская область занимает лидирующее положение в Уральском федеральном округе и по РФ. По данным Тюменского областного комитета государственной статистики за 9 месяцев 2002 г. организациями области произведено продукции (работ, услуг) на 476,4 млрд. рублей (ХМАО - 71%, ЯНАО - 25%, юг области - 4%).
Промышленный рост в значительной степени обусловлен наращиванием объема производства в топливной промышленности (на 8,7%), удельный вес которой в отраслевой структуре составил 88%.
Отмечался рост объемов производства (на 1,3-4,8%) в промышленности строительных материалов, электроэнергетике, лесной и деревообрабатывающей промышленности, пищевой, химической и нефтехимической.
В нефтедобывающей отрасли объем добытой на территории области нефти превысил уровень января - сентября предыдущего года на 9,5%, попутного нефтяного газа - на 4,5%.
Нефтеперерабатывающими организациями увеличен объем первичной переработки нефти - на 24,8% и производства дизельного топлива - на 14,4%. Производство автомобильного бензина уменьшилось на 7,2%.
В газовой промышленности добыча природного газа возросла на 3,3%, газового конденсата - на 23,4%.
В химической и нефтехимической промышленности снизилось производство синтетических смол и пластических масс, труб и деталей трубопроводов соответственно на 24 и 29,6%. Выпуск бутадиена вырос на 2,2%.
В машиностроении увеличился выпуск автомобильных аккумуляторов и аккумуляторных батарей (на 10,8%), нефтепромыслового, бурового геологоразведочного и технологического оборудования для легкой промышленности и запчастей к нему (соответственно на 16,7 и 70%).
Почти на треть меньше выпущено бетоносмесителей и деревообрабатывающих станков, на 41,5% - нефтегазоперерабатывающего оборудования, на 10% - приборов, средств автоматизации и запасных частей к ним.
В легкой промышленности в 3 раза увеличился пошив курток. Вдвое сократился выпуск брюк, постельного белья, обуви, на 10,6-24,3% - платьев, шерстяной пряжи, валяной обуви. Производство пальто и полупальто из натурального меха, костюмов составило соответственно 8,8% и 36,1% к уровню января-сентября 2001 года.
В пищевой промышленности увеличился: выпуск спирта - в 5,6 раза, ликероводочной продукции - в 1,8 раза, мясных консервов - в 1,6 раза, колбасных изделий - на 28,4%, пищевого жира и сыров соответственно - на 12,6 и 13,7%, мяса и цельномолочной продукции - на 3,2 и 5,8%. Производство товарной пищевой рыбной продукции, включая консервы, превысило прошлогодний уровень на 2%, улов рыбы - на 3,2%.
Больше произведено хлеба и хлебобулочных изделий, минеральной воды, молочных консервов. Наполовину сократилось производство винных напитков, пива.
В медицинской промышленности отмечен рост выпуска шприцев однократного применения (на 40,3%) и сокращение производства лекарственных средств (на 2,3%), медицинской техники и запасных частей к ней (на 13,8%), игл однократного применения (на 65,1%).
Ведущие предприятия города
Создание нефтегазодобывающей отрасли вызвало быстрый рост экономического развития области. Выпуск промышленной продукции увеличивается в 2,6 раза производительность труда - вдвое. Важная отрасль промышленности города - машиностроение и металлообработка.
Тюменский судостроительный завод был образован в 1929 году. Первоначально здесь выпускались только сухогрузные баржи и речные буксиры. В настоящее время судостроительный завод выпускает грузовые теплоходы (сухогрузные и наливные), рефрижераторы, нефтеналивные самоходные баржи, танкеры - нефтевозы, мелкосидящие теплоходы для рек Казахстана.
Для перевозки леса по сибирским рекам завод выпускает баржи, разгружающийся методом кренования, шлюпочные электролебёдки для судостроителей Санкт-Петербурга, Николаева, Одессы и на экспорт.
Тюменские судостроители создали плавучую электростанцию "Северное сияние". Она хорошо показала себя в необжитых районах и способна обеспечить электроэнергией, теплом город на двадцать-тридцать тысяч жителей. Три такие электростанции уже работают: одна - на Колыме, другая - на Печоре, третья - на Алдане. Сейчас инженеры и конструкторы работают над созданием "Северного сияния" в морском исполнении.
Завод строительных машин пустили в действие в годы Великой Отечественной войны на базе оборудования Одесского завода строймеханизмов и Дмитровского экскаваторного завода, эвакуированных в Сибирь. Бетономешалки, выпускаемые заводом "Строймаш", работают на многих стройках России.
Завод автотракторного электрооборудования поставляет свою продукцию в адрес Горьковского, Миасского и Московского автозаводов.
Завод выпускает звуковые сигналы и свечи, выключатели и распределители зажигания. Всего на заводе АТЭ производится около 70 наименований различных изделий. Знают продукцию предприятия и за рубежом. Завод АТЭ - высокомеханизированное предприятие. Одним из свидетельств непрерывной механизации и автоматизации производства является поточная линия по производству корпусов свечей зажигания, с которой сходит до 15 миллионов свечей в год.
Всё большее применение находят на заводе пластические массы для изготовления деталей и узлов.
Аккумуляторный завод. Был пущен в действие в Затюменской части города в начале Великой Отечественной войны. На Тюменском аккумуляторном заводе есть цех гуминовой кислоты. Кислота вырабатывается из торфа и применяется при изготовлении аккумуляторов. Такие аккумуляторы не боятся никаких морозов. Отходы гуминового производства используются как удобрение в сельском хозяйстве.
Электромеханический завод выпускает электродвигатели для радиограммафонов и магнитофонов.
Станкостроительный завод является старейшим предприятием, он был основан в конце XIX века. На станках этого завода работают не только предприятия Тюменской области, а также Урала и других регионов России.
Земли сельскохозяйственного назначения составляют 2,9% всех земель области, из них пашня занимает 41%. Ведущая отрасль сельского хозяйства - животноводство молочно-мясного направления, развито птицеводство. В области, прежде всего в ее автономных округах, важную роль в экономике играют традиционные отрасли производства - оленеводство, рыболовство, охотничий промысел, звероводство. Есть госпромсовхозы, где занимаются добычей и разведением пушных зверей ценных пород. Из кожи и меха мастера изготовляют уникальные изделия.
Характерной особенностью аграрного сектора является высокий удельный вес подсобного хозяйства в общем объеме продукции растениеводства и животноводства. Агроклиматические ресурсы областей региона достаточны для возделывания большинства сельскохозяйственных культур умеренных широт. Районы специализируются на мясомолочном животноводстве, свиноводстве, птицеводстве, возделывании зерна, картофеля, овощей и сахарной свеклы. Например, фактический сбор урожая зерновых (в весе после доработки) составил в 2000 году - 22,2, в 2001 - 3,4, а в 2002 - 2,6 млн т при средней урожайности соответственно 17, 19 и 15 ц/га. Однако такую динамику не следует расценивать как признак сельскохозяйственной специализации области: в структуре оборота товаров и услуг доля сельского хозяйства не превышает 10%. Рост сельхозпроизводства следует рассматривать, прежде всего, с точки зрения обеспечения собственной продовольственной безопасности. Известно, например, что зерном область считается обеспеченной при норме 1 т пшеницы на душу населения. [8]
Вместе с тем представляется, что причины сельскохозяйственных успехов (теперь уже ежегодных) действительно следует искать в решениях исполнительной власти. Самые важные в их числе - кредитование сельхозпроизводителей для приобретения техники ГСМ и удобрений, а также экономическое регулирование закупочных цен и прямые закупки сельхозпродукции.
Во-первых, рост объемов сельскохозяйственного производства означает расширение предложения первичного сырья, используемого предприятиями пищевой и легкой промышленности. Не случайно по итогам 2002 года пищевая промышленность вышла на первое место среди всех отраслей промышленного производства Томская область и до сих пор не утратила своего лидерства.
Во-вторых, интенсивное развитие сельского хозяйства невозможно без обновления технологической базы, что предопределяет расширение спроса на продукцию сельхозмашиностроения. Причем областная исполнительная власть стремится реализовывать протекционистскую функцию аккумулирования такого спроса с последующей «переадресацией» местным производителям. 7]
Анализ развития сельского хозяйства областей региона свидетельствует, что за последние 5 лет низкая урожайность некоторых сельскохозяйственных культур привела к снижению их среднегодового производства. Остается низкой эффективность производства сельскохозяйственной продукции в общественном секторе по сравнению с индивидуальным. Сокращается и производство животноводческой продукции. Проблема повышения урожайности сельскохозяйственных культур и продуктивности животноводства чрезвычайно актуальна в контексте обеспечения продуктами питания местного населения.
На сегодняшний день тысячи километров новых автомобильных дорог и сотни мостов надежно связали между собой самые отдаленные населенные пункты области. За январь-сентябрь 2002 года введены в действие 36 км магистральных нефтепроводов и 107 км газопроводов, 157 км автомобильных дорог с твердым покрытием, 3 моста протяженностью 188 погонных метра.
3.1. Методика выполнения расчетов
Ниже приводятся решения задач по определению движения вещества в производственном процессе: выделяются два потока – полезная – целевая и нецелевая часть потока (сырье, отходы, продукты), включая долевое распределение затрат.

Рис. 8. Производственная цепочка по освоению минеральных ресурсов
3.2. Расчет движения вещества по технологической цепочке по производству чугуна-железа
Рассчитать движение вещества и долевое распределение затрат по технологической цепочке производства 1 тонны чугуна если известно:
- цепочка состоит из 3 звеньев (добыча, обогащение, производства чугуна);
- себестоимость добычи железной руды (i-e) по рассматриваемой j-ой технологии условно принимается равной 7 у.е./т; себестоимость производства 1 тонны концентрата 400 у.е./т; 1 тонны чугуна 1400 у.е./т; удельные, капитальные вложения соответственно 5, 15, 800 у.е./т.
- выбросы в атмосферу на выходе 2-го звена 7%, 3-го - 5%; средний коэффициент вскрыши 1:0,5; коэффициент извлечения железа на 2-м звене цепочки 80%, на 3-м - 85%; среднее содержание железа в рудной массе 35%, в концентрате 70%, в чугуне - 100%.
Исходим из предположения, что все затраты, связанные с производством продукта за исключением транспортных издержек, налоговых отчислений, платы за ресурсы, амортизационных отчислений, затрат на внешнюю инфраструктуру и по влиянию окружающей среды на производства при калькуляции себестоимости и капитальных вложений не учтены (при определении нормативных значений вышеперечисленные показатели, как правило, не учитываются).
Введем обозначения:
Сц" - среднее содержание полезного i-ro компонента в веществе n-го звена по j-той технологии.
Rsjn
- технологические потери i-ro компонента по j-ой технологии производства на n-ом звене в долях единицы.
Pii"- выбросы в атмосферу i-ro компонента по j-ой технологии производства на выходе n-го звена.
F- средний коэффициент вскрыши (отношение полезной массы, содержащей i-ый компонент, к объему вскрышных пород, приходящихся на единицу полезной).
Sii''-себестоимость i-ro продукта, сырья по j-й технологии производства;
Sjj'-стоимость транспортировки i-ro сырья, продукта, полученного по j-й технологии, t- тариф;
SijO
4
-3aтpaты на охрану среды (выплаты за использование природных ресурсов), приходящихся на единицу i-ro сырья, продукта, полученного по j-й технологии;
£Ъу"сумма всех видов налогов (за исключением налога на прибыль) приходящихся на единицу i-ro продукта, сырья, полученного по j-й технологии;
djj"- затраты по продвижению i-ro сырья, продукта, полученного по j-й технологии на рынке (включая рекламу);
р^'-коэффициент неучтенных затрат при оценке производства i-ro сырья, продукта по j-й технологии;
Ту- коэффициент, учитывающий влияние окружающей среды на производство i-ro продукта по j-й технологии в данном районе (пункте);
Е - априори принятый коэффициент, учитывающий время оборачиваемости капитальных вложений — величина обратная сроку оборачиваемости: Е=1/Т. где Т - срок возврата капитальных вложений.
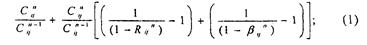
Движение вещества и долевое распределение затрат рассчитываются по следующей формуле:

где: п- количество звеньев цепочки (п-1 .....п).
Проведем расчет (расчет проводится от конечного звена к первому - от вещества с большим содержанием полезного вещества к меньшему): звенья 3-2:
100/70 + 100/66 *{ (1/(1-0,15) -1 ) + (1/ (1-0,05) – 1 } = 1,7 + 1,7 (1,8-1)+(1,05-1) = 1,7+ 1,7 * 0,23 = 2,09
(Примечание: при извлечении полезного вещества 85% потери составят 100-85=15 или в долях единицы 0,15, потери в атмосферу приведены в абсолютном значении.)
Следовательно, для получения 1 т чугуна потребуется 2,09 т концентрата. Из них 3% будет выброшено в атмосферу, 1 т чугуна целевой продукт на поверхности земли образуются отходы в объеме: (2,09-0,1-1)=0,99т шлаков.
На вход второго звена для получения необходимого объема концентрата (2,09 т) потребуется:
60/30 +60/35 *{( 1/(1- 0,20) -1 )+ (1/(1-0,07)-1)} = 2+ 0,64=2,64 т
Значит на каждую тонну концентрата необходимо 2,64 т руды, тогда на 2,09т - 5,52т руды, из них 0,38т - выбросы в атмосферу, 2,09т - концентрат, 3,05т - "отходы" на поверхности.
При среднем коэффициенте вскрыши 1:0,5 для получения 5,52т руды потребуется добыть 8,3т массы, из них 2,78т - породы вскрыши.
Таким образом, для получения 1 т чугуна потребуется переработать в общей сложности 8,3 т вещества, то есть суммарные отходы на каждую тонну чугуна составят 7,3 т.
3.3. Определение возможного снижения себестоимости при комплексном использовании сырья.
Долевое распределение затрат.
По условию задачи себестоимость добычи руды 7 у.е./т; себестоимость производства концентрата 300 у.е./т, чугуна - 1200 у.е./т (рыночная цена на 1 т чугуна 1800 у.е); удельные капитальные вложение на звене добычи 5 у.е./т, на 2 звене - 15 у.е./т, на 3 звене на 1 т чугуна 800 у.е./т.
Рассчитаем удельные, капитальные вложения, приходящиеся на единицу чугуна с учетом этих затрат на первых двух звеньях. Количество руды на первом звене, необходимое для производства чугуна по нашим расчетам,
- составляет 5,52*7=38,66;
- на производство концентрата 2,09*300=627 у.е;
- тогда на производство тонны чугуна всего потребуется 38,66 +627 + 1200=1865,66 у.е. капитальных вложений.
На выходе первого звена (добыча) имеем 5,52 т руды, себестоимость которой равна 7 у.е., а получено 5,52 руды и 2,78 т пород вскрыши, в целом 8.3 т массы. Себестоимость 1 т этой массы составит 55,2:8,3=6,65у.е. Доля удельных, капитальных вложений, приходящаяся на единицу массы равна: 55,2:8,3=6,65 у.е. Приведенные затраты на единицу руды при их долевом распределении не превысят (П=С+Е*к) П=6,65+0,33*6,65=8,8у.е. Реализация отходов (пород вскрыши) по цене не менее приведенных затрат позволит вернуть предприятию 2,78*8,8=24,46 у.е. на каждую тонну чугуна.
На выходе второго звена (обогащение) имеем 2,09т концентрата, себестоимость которого равна 400у.е., всего на выходе получено 2,09 т концентрата и 3,05 т хвостов обогащения, в целом 5,14 т массы. Себестоимость 1 т этой массы составит (2,09* 100)/5,14=40,7 у.е.
Доля удельных, капитальных вложений, приходящихся на единицу этой массы равна: (2,09*20)/5,14=41,8/5,14=8,1 у.е.
Приведенные затраты на единицу концентрата при их долевом распределении не превысят : 40,7+0,33*8,1=43,37 у.е. Реализация отходов (хвостов обогащения) по цене не ниже приведенных затрат позволит сэкономить 3,05*43,37=132,28 у.е. на каждую тонну чугуна. На выходе третьего звена имеем 1 т чугуна, себестоимость которой равна 580 у.е.
На выходе получено 1 т чугуна и 0,99 т «отходов-шлака». Реализация шлака даже по 10 у.е. за тонну позволит вернуть предприятию 9,9 у.е.. Общая сумма экономии составит: на первом звене 24,46 + на втором. 132,28 и на третьем 9,9, что в сумме составит 146,78 у.е, Приведенные затраты на 1 т чугуна без учета долевого распределения составят: ( 580 +125,4*0,33) =591,8.
Тогда за счет реализации отходящего потока вещества стоимость производства 1 т чугуна может быть уменьшена до 445,0 у.е. то есть предприятие из убыточных переходит в разряд прибыльных (530-445=85 у.е.) на каждую тонну чугуна общая прибыль составит 85 у.е.
Формируется как минимум три варианта размещения: с приближением к источнику сырья, к источнику электроэнергии или к потребителю. Достаточно рассмотреть размещение наиболее подвижного в большинстве случаев - последнего звена.
Разрабатываются три схемы возможного размещения производства. Для этого на картосхеме, принятой за основу, фиксируются: возможный источник сырья (А), поставщик электроэнергии (Z) и потребитель готовой продукции (П). Для всех обозначенных пунктов определяются поправочные коэффициенты к капитальным вложениям соответственно уьУ2,Уз, учитывающие влияние среды на рассматриваемое производство.
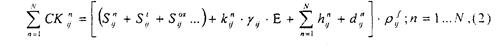
Воспроизводятся транспортные связи между обозначенными точками: их вид, протяженность и тариф (см. схема 1, схема 2, схема З). Каждый вариант оценивается по значению совокупного критерия (СК):

В каждом варианте величина критерия будет зависеть от протяженности пути, тарифа транспортировки, объема транспортируемой массы и значений коэффициентов влияния окружающей среды.
Рассмотрим первый вариант:
вся технологическая цепочка размещается у источника сырья - в пункте А- Первоуральск.
Принимаем за исходное, что все производственные затраты учтены при определении технико-экономических показателей за исключением затрат на транспорт, выплат за использование природных ресурсов, налогов, поправок, учитывающих влияние среды и затрат, связанных с реализацией продукта, включая рекламу. При решении нашего варианта задачи поставка дополнительного сырья и продукции не предусматривается.


Рис. 9. Картосхема вариантов размещения производства.
1. Размещение чугуна в районе сырья .
П з = С з + К уд * У
56 + ( 4* 128 * 5) *1,3 + 0,33*642,3 * 1,5= 2933,9 р.
П1 = П + t* l * 1,3 = 2933,9 +4*345,5*1,3 =4729,6 р.
П2 = П + t* l * 1,3= 2933,9 + 4*332,2 *1,3 =4661,34 р.
Сумма Пз = 4729,6 +4661,34 = 9390,94 р. За тонну
Рассмотрим второй вариант:
конечное звено (производство) размещается в районе поставщика энергии. Добыча и обогащение - у источника сырья. Сырье (в примере -железорудный концентрат) доставляются в пункт Артемовский; готовый продукт - к потребителю Тюмень и Исетское.

Формула по определению совокупного критерия примет вид:
56 – себестоимость сырья
5 – объем руды
4- время
1,2 – У
Пз = 56+ (4*128)*1,3 + 0,33*642,3 *1,2 = 2870,3
П1 = 2870 + 4* 222,6 *5*1,3 =5787,6 руб/т
П2 = 2870 + 4*229,8*5*1,3 =8844,8 руб/т
Сумма Пз =5787,6 +8844,8 =14632,4 руб/т
Рассмотрим третий вариант:
перерабатывающее звено располагается у потребителя (схема 3).
Рассуждая при разработке варианта аналогично выше рассмотренным, получим:

Пз = 56+ (4*345,5*5*1,3)+(4*222,6*3*1,3)+ 0,33*642,3 *1,4 =15071
П1= 15071
П2 = 15071 +4*77,5*1,3 *1 = 15474 руб/т
Сумма Пз =15071 + 15474 =30545 руб/т
Рассмотрим четвертый вариант:
Размещение в районе второго потребителя.
У=1,5
П =56+(4*332,2* 5* 1,3) +(4*229,87*3*1,3)+ 0,33* 642,3*1,5 =14839,2
П2 = 14839,2 руб/т
П1 = 14839,2 + (4*77,5 *1,3) = 15242 руб/т
Сумма Пз =14839,2 +15242 = 30081,4 руб/т
После оценки всех вариантов территориальной организации производства составляется сводная таблица значений критерия СК и чистой прибыли Э. Из конкретно рассмотренных вариантов выбирается вариант, обеспечивающий минимум значения совокупного критерия и максимума условной чистой прибыли.
Форма 4а.
| |
№ варианта
|
Значение критерия приведенных затрат
|
| |
1.
|
9390
|
| |
2.
|
14632
|
| |
3.
|
30545
|
| |
4.
|
30081,4
|
Таким образом, размещение чугунно-литейного производства с учетом двух потребителей целесообразно разместить в районе поставщика сырья –Первоуральск , так как сумма затрат в данном случае является минимальной.
Анализ данных, приведённых в работе и характеризующих направленность существующей на сегодня экономической деятельности, структуры хозяйства экономических районов и тенденций их развития, в том числе в историческом плане, показывает, что среди объективных факторов, влияющих на весь комплекс жизнедеятельности районов, и связанные с этим географические понятия из различных отраслей системы географических наук (климат, ландшафт, положение, гидрография, социально-территориальные комплексы и т. п.) занимают доминирующее, а зачастую — определяющее место. Иными словами, географическое положение и его системный анализ можно использовать как алгоритм при исследовании регионов по различным аспектам, составляющим предмет изучения всей совокупности географических наук.
Основным путем выхода из этой ситуации мне видится значительное увеличение капиталовложений в экономику, причем не столько в добывающую промышленность и сферу услуг, сколько в начальные стадии научно-технического развития, т.е. в фундаментальные научные исследования, прикладные исследования и, самое главное, внедрение в производство новых технологических процессов.
Однако в связи с мировым энергетическим кризисом ситуация резко изменилась, что объясняется большой энергоемкостью производства. Для металлургии характерен ряд специфических черт. Во-первых, невысокая степень обеспеченности сырьем. Из года в год сокращается производство таких металлов, кок цинк, уран, золото Подобная тенденция увеличивает зависимость области от внешних поставщиков сырья. Во-вторых, в структуре производственного цикла преобладают завершающие стадии при меньшем значении нижних этажей производства (выплавка первичного, особенно чернового металла), которые все более перемещаются за пределы страны. В этом проявляется учет экологического фактора, т. к. данное производство является достаточно грязным. В-третьих, центры металлургии ориентируются главным образом на источники дешевой электроэнергии, в меньшей степени — на транспорт и потребителя.
Тогда станет возможным увеличение производства конкурентоспособной конечной продукции многих отраслей промышленности и, следовательно, значительное уменьшение импортной зависимости.
Создание необходимых условий для развития этих отраслей и сфер человеческой деятельности обеспечит подъем его общего социально-экономического уровня, который должен определяться не только общегосударственными интересами, но и потребностями и интересами самого региона — субъектов хозяйствования, которые здесь размещены, и населения, которое здесь проживает.
Организация производства — это система мер, направленных на максимальное использование на предприятиях всех элементов производства - рабочей силы, орудий и предметов труда; обеспечение слаженности в работе и установление определенной пропорциональности и ритмичности между всеми частями предприятия, обеспечивающими производство установленного народнохозяйственным планом количества продукции определенного качества.
Организация производства охватывает: организацию материально-технической подготовки производства, куда входит обеспеченность средствами производства и инструментами, технологическими картами, инструкциями и т.д.; организацию труда, включающую обеспеченность и расстановку рабочей силы, организацию производственных процессов, рабочих мест, техническое нормирование, организацию заработной платы, обучение и социалистическое соревнование; планирование производства — перспективное и оперативное; организацию обслуживания производства, предусматривающую комплектование и своевременное обеспечение его материалами, оборудованием, транспортом, ремонтом, электроэнергией, питанием для рабочих и т.д.; учет за ходом производства; управление ходом производства и контроль за количество и качество выпускаемой продукции.
Таким образом, нужно выработать нестандартные ходы и решения при выборе приоритетов и конкретных сфер, развитие которых бы обеспечило прогрессивные изменения в экономической жизни региона, ускорило и направило рыночные реформы в необходимое русло, что, в свою очередь, будет инициировать приток капитала (и в том числе — иностранного. При выборе такой стратегия важно предусмотреть и учесть действие тех факторов, которые обусловливают специфику региона и создают преимущества его стартовых условий для прогрессивных социально-экономических преобразований.
1. Алаев Э.Б. Социально-экономическая география. – М.: Мысль, 1983.
2. Веселкина Т.С., Озорнова Л.М. Отраслевые и территориальные основы макроэкономических процессов в России: Учебное пособие. – Новосибирск: НГАЭиУ, 1993.
3. Госкомстат. Демографические перспективы России.-М.,1993.
4. Озорнова Л.М. Состояние и проблемы регионов России. Новосибирск: НГАЭиУ, 1993.
5. Региональная экономика// Под ред. Т.Г. Морозовой. М.: Юнити, 1995.
6. Шалмина Г.Г., Территориальные системы регулирования экономики. – Новосибирск, 1994.
7. Ларина Н.И. Депрессивность сибирских регионов: причины и решения// Анализ и моделирование экономических процессов переходного периода в России – Новосибирск: Экор, 1996.
8. Кристанов В.В. Региональная экономика России – М., Финансы и статистика, 2004
9. Добрецов Н.Л, Кокторович А.З., Коржубаев АГ, Кулешов В.В., Селиверстов В.Е., Суспов В.И. Научные основы стратегии социально-экономического развития Сибири // Регион: экономика и социология, 2001, №4,
10. Родионова И.А. Экономическая география и региональная экономика: Курс лекций – М., Московский лицей, 2003.
|