Содержание
Введение
1. Демографическая статистика
1.1 Статистика численности населения
1.2 Статистика общих показателей воспроизводства населения
1.3 Анализ брачности и разводимости
1.4 Статистика миграционных потоков
2. Статистика занятости и безработицы
2.1 Численность занятого населения в экономике по формам собственности
2.2 Прогноз безработицы и экономической активности на 2009 – 2009 гг.
3. Статистика валового внутреннего продукта и внутреннего регионального продукта
4. Статистика доходов и расходов населения
5. Отраслевые статистики
5.1 Статистика промышленности
5.2 Статистика образования
5.3 Статистика финансов (статистический анализ денежной массы)
Заключение
Список использованной литературы
Приложения
демографический статистика безработица экономический
Социально экономическая статистика – наука, изучающая количественные закономерности явлений и процессов, происходящих в населении, в непрерывной связи с их качественной стороной.
Актуальность темы исследования связана с теми задачами, которые решает статистика социально экономическая статистика.
Важнейшая ее задача – определение численности населения. Но часто требуется знать численность населения отдельных континентов и их частей, различных стран, экономических регионов стран, административных регионов. При этом ведется не простой арифметический, а особый – статистический счет – счет категорий населения. Статистически устанавливается число рождений, смертей, браков, случаев прекращения брака, численность прибывших и убывших мигрантов, т.е. определяется объем совокупности.
Ещё одна задача состоит в изучении взаимосвязей, имеющих место в самом населении между его различными группами и исследование зависимости процессов, происходящих в населении от факторов среды, в которой эти процессы протекают.
Цель исследования: проанализировать социально – экономические показатели развития Тамбовской области
Для реализации цели в курсовой работе решаются такие задачи, как:
- раскрыть систему показателей демографической статистики области;
- рассчитать показатели уровня занятости и безработицы;
- рассчитать показатели ВВП и ВРП;
- раскрыть отраслевые аспекты статистики
Забиваем Сайты В ТОП КУВАЛДОЙ - Уникальные возможности от SeoHammer
Каждая ссылка анализируется по трем пакетам оценки: SEO, Трафик и SMM.
SeoHammer делает продвижение сайта прозрачным и простым занятием.
Ссылки, вечные ссылки, статьи, упоминания, пресс-релизы - используйте по максимуму потенциал SeoHammer для продвижения вашего сайта.
Что умеет делать SeoHammer
— Продвижение в один клик, интеллектуальный подбор запросов, покупка самых лучших ссылок с высокой степенью качества у лучших бирж ссылок.
— Регулярная проверка качества ссылок по более чем 100 показателям и ежедневный пересчет показателей качества проекта.
— Все известные форматы ссылок: арендные ссылки, вечные ссылки, публикации (упоминания, мнения, отзывы, статьи, пресс-релизы).
— SeoHammer покажет, где рост или падение, а также запросы, на которые нужно обратить внимание.
SeoHammer еще предоставляет технологию Буст, она ускоряет продвижение в десятки раз,
а первые результаты появляются уже в течение первых 7 дней.
Зарегистрироваться и Начать продвижение
Задачи решаются в соответствующих разделах курсовой работы.
1.1 Статистика численности населения
Используя данные сайта Федеральной службы государственной статистики [8], рассмотрим численность постоянного населения Тамбовской области (табл. 1)
Таблица 1 Численность постоянного населения Тамбовской области на 1 января, чел
| 2004 |
2005 |
2006 |
2007 |
2008 |
2009 |
| все население |
1193381 |
1174233 |
1158858 |
1144817 |
1130352 |
1117119 |
| городское население |
682479 |
672267 |
664666 |
657869 |
650952 |
644402 |
| сельское население |
510902 |
501966 |
494192 |
486948 |
479400 |
472717 |
На основании данных табл. 1 и рис. 1 можно сделать вывод о снижении численности постоянного населения в Тамбовской области, причём это касается как городского, так и сельского населения.
Рассмотрим структуру населения (табл. 2)
Таблица 2 Структура населения Тамбовской области, тыс. чел.
| Год |
Городское население |
Сельское население |
Все население |
| Абс. |
% |
Абс. |
% |
Абс. |
% |
| 2004 |
682,5 |
57,2 |
510,9 |
42,8 |
1193,4 |
100,0 |
| 2005 |
672,3 |
57,3 |
501,9 |
42,7 |
1174,2 |
100,0 |
| 2006 |
664,7 |
57,4 |
494,2 |
42,6 |
1158,9 |
100,0 |
| 2007 |
657,9 |
57,5 |
486,9 |
42,5 |
1144,8 |
100,0 |
| 2008 |
651,0 |
57,6 |
479,4 |
42,4 |
1130,4 |
100,0 |
| 2009 |
644,4 |
57,7 |
472,7 |
42,3 |
1117,1 |
100,0 |
Таким образом, из табл. 2 видно, что структура населения имеет незначительную тенденцию в сторону уменьшения доли сельского населения в общей численности населения Тамбовской области.
Рассчитаем абсолютные приросты, темпы роста и прироста цепные и базисные, а также абсолютное содержание 1% прироста (табл. 3)
Таблица 3 Убыль населения Тамбовской области
| Годы |
Численность постоянного населения, тыс. чел. |
Абсолютные приросты |
Темпы роста, % |
Темпы прироста, % |
Абсолютное содержание 1% прироста |
| Цепной |
Базисный |
Цепной |
Базисный |
Цепной |
Базисный |
| 2004 |
1193,4 |
- |
- |
100,0 |
- |
- |
- |
- |
| 2005 |
1174,2 |
-19,2 |
-19,2 |
98,4 |
98,4 |
-1,6 |
-1,6 |
11,9 |
| 2006 |
1158,9 |
-15,3 |
-34,5 |
98,7 |
97,1 |
-1,3 |
-2,9 |
11,7 |
| 2007 |
1144,8 |
-14,1 |
-48,6 |
98,8 |
95,9 |
-1,2 |
-4,1 |
11,6 |
| 2008 |
1130,4 |
-14,4 |
-63,0 |
98,7 |
94,7 |
-1,3 |
-5,3 |
11,4 |
| 2009 |
1117,1 |
-13,3 |
-76,3 |
98,8 |
93,6 |
-1,2 |
-6,4 |
11,3 |
Построим погодовой баланс динамики численности населения за 2004 – 2009 гг. (табл. 4)
Баланс динамики численности населения строится по формуле

Таблица 4 Погодовой баланс численности населения Тамбовской области за 2004 – 2008 гг., тыс. чел.
| Годы |
Численность постоянного населения на начало года, тыс. чел. |
Убыль, тыс. чел. |
Численность постоянного населения на конец года, тыс. чел. |
| 2004 |
1193,4 |
-19,2 |
1174,2 |
| 2005 |
1174,2 |
-15,3 |
1158,9 |
| 2006 |
1158,9 |
-14,1 |
1144,8 |
| 2007 |
1144,8 |
-14,4 |
1130,4 |
| 2008 |
1130,4 |
-13,3 |
1117,1 |
Таким образом, делаем общий вывод об убыли постоянного населения в Тамбовской области, при этом также незначительно снижается доля сельского населения в общей численности.
а) общие коэффициенты рождаемости, смертности и естественного прироста за 2004 – 2008 гг.
Среднегодовая численность населения тыс. чел.
Общий коэффициент рождаемости чел. на тысячу населения
Общий коэффициент смертности чел. на тысячу населения
Коэффициент естественного прироста (убыли) населения
чел. на тысячу населения
Рассчитаем вначале среднегодовую численность населения (табл. 5)
Таблица 5 Среднегодовая численность населения Тамбовской области за 2004 – 2008 гг., тыс. чел.
| Годы |
Численность постоянного населения на начало года, тыс. чел. |
Численность постоянного населения на конец года, тыс. чел. |
Среднегодовая численность населения |
| 2004 |
1193,4 |
1174,2 |
1183,8 |
| 2005 |
1174,2 |
1158,9 |
1166,6 |
| 2006 |
1158,9 |
1144,8 |
1151,9 |
| 2007 |
1144,8 |
1130,4 |
1137,6 |
| 2008 |
1130,4 |
1117,1 |
1123,8 |
Используем данные Госстата [8], рассчитываем коэффициенты естественного движения населения.
Теперь рассчитанные коэффициенты сводим в табл. 6 и табл. 7
Таблица 6 Коэффициенты естественного движения населения Тамбовской области за 2004 – 2008 гг.
| Годы |
Среднегодовая численность населения |
Число родившихся, тыс. чел. |
Общий коэффициент рождаемости, ‰ |
Число умерших, тыс. чел. |
Общий коэффициент смертности, ‰ |
Коэффициент естественного прироста, ‰ |
| 2004 |
1183,8 |
9,6 |
8,1 |
23,4 |
19,8 |
-11,7 |
| 2005 |
1166,6 |
9,9 |
8,5 |
23,3 |
20,0 |
-11,5 |
| 2006 |
1151,9 |
10,0 |
8,7 |
22,0 |
19,1 |
-10,4 |
| 2007 |
1137,6 |
9,6 |
8,4 |
22,1 |
19,4 |
-11,0 |
| 2008 |
1123,8 |
9,2 |
8,2 |
20,6 |
18,3 |
-10,1 |
б) коэффициенты жизненности, оборота и экономичности воспроизводства населения за 2004 – 2008 гг.
Коэффициент жизненности 
Коэффициент оборота населения чел. на тысячу населения
Коэффициент экономичности воспроизводства населения

Таблица 6 Коэффициенты естественного движения населения Тамбовской области за 2004 – 2008 гг.
| Годы |
Общий коэффициент рождаемости, ‰ |
Общий коэффициент смертности, ‰ |
Коэффициент естественного прироста, ‰ |
Коэффициент жизненности |
Коэффициент оборота |
Коэффициент экономичности воспроизводства |
| 2004 |
8,1 |
19,8 |
-11,7 |
0,41 |
27,9 |
-0,42 |
| 2005 |
8,5 |
20,0 |
-11,5 |
0,43 |
28,5 |
-0,40 |
| 2006 |
8,7 |
19,1 |
-10,4 |
0,46 |
27,8 |
-0,37 |
| 2007 |
8,4 |
19,4 |
-11,0 |
0,43 |
27,8 |
-0,40 |
| 2008 |
8,2 |
18,3 |
-10,1 |
0,45 |
26,5 |
-0,38 |
Таким образом, по рассчитанным данным делаем вывод о весьма неблагоприятной ситуации по воспроизводству населения в Тамбовской области за анализируемый период. А именно: отрицательное значение естественного прироста свидетельствует об убыли населения, то есть смертность значительно превышает рождаемость, соответственно, коэффициент жизненности населения меньше единицы, а также коэффициент экономичности воспроизводства отрицателен.
Сервис онлайн-записи на собственном Telegram-боте
Попробуйте сервис онлайн-записи VisitTime на основе вашего собственного Telegram-бота:
— Разгрузит мастера, специалиста или компанию;
— Позволит гибко управлять расписанием и загрузкой;
— Разошлет оповещения о новых услугах или акциях;
— Позволит принять оплату на карту/кошелек/счет;
— Позволит записываться на групповые и персональные посещения;
— Поможет получить от клиента отзывы о визите к вам;
— Включает в себя сервис чаевых.
Для новых пользователей первый месяц бесплатно.
Зарегистрироваться в сервисе
Определим общие коэффициенты брачности и разводимости за 2004 – 2008 гг.
Коэффициент брачности браков на тысячу населения
Коэффициент разводимости разводов на тысячу населения
Коэффициент устойчивости брака 
Используя данные сайта Федеральной службы государственной статистики [8], рассмотрим число браков и разводов в Тамбовской области (табл. 7)
Таблица 7 Общие коэффициенты брачности и разводимости
| Годы |
Среднегодовая численность населения |
Число браков, тыс. |
Коэффициент брачности, ‰ |
Число разводов, тыс. |
Коэффициент разводимости, ‰ |
Коэффициент устойчивости брака, ‰ |
| 2004 |
1183,8 |
8,4 |
7,1 |
6,8 |
5,7 |
1,2 |
| 2005 |
1166,6 |
8,8 |
7,5 |
5,8 |
5,0 |
1,5 |
| 2006 |
1151,9 |
7,7 |
6,7 |
4,6 |
4,0 |
1,7 |
| 2007 |
1137,6 |
7,7 |
6,8 |
4,2 |
3,7 |
1,8 |
| 2008 |
1123,8 |
7,7 |
6,9 |
4,5 |
4,0 |
1,7 |
Данные табл. 7 позволяют сделать вывод о том, что семейные узы в Тамбовской области крепчают: коэффициент устойчивости брака больше единицы, и при этом видно его увеличение в среднем.
Определим общие коэффициенты миграции (прибытия, убытия, миграции) за 2004 – 2008 гг. Общий коэффициент прибыли чел. на тысячу населения. Общий коэффициент убытия чел. на тысячу населения. Коэффициент миграции чел. на тысячу населения. Валовой оборот миграции в абсолютном выражении 
Используя данные сайта Федеральной миграционной службы, [], рассмотрим число прибывших и убывших в Тамбовской области (табл. 8)
Таблица 8Общие коэффициенты миграции
| Годы |
Среднегодовая численность населения, тыс. чел |
Число прибывших, чел. |
Коэффициент прибытия, ‰ |
Число убывших, чел. |
Коэффициент убытия, ‰ |
Коэффициент миграции, ‰ |
| 2004 |
1183,8 |
1942 |
1,6 |
3583 |
3,0 |
4,7 |
| 2005 |
1166,6 |
1451 |
1,2 |
2521 |
2,2 |
3,4 |
| 2006 |
1151,9 |
1087 |
0,9 |
1841 |
1,6 |
2,5 |
| 2007 |
1137,6 |
1685 |
1,5 |
2758 |
2,4 |
3,9 |
| 2008 |
1123,8 |
2814 |
2,5 |
4029 |
3,6 |
6,1 |
Данные табл. 8 позволяют сделать вывод о том, миграция в Тамбовской области носит характер оттока коэффициент прибытия меньше коэффициента убытия. Построим график динамики исчисленных коэффициентов (рис. 5)
2.1 Численность занятого населения в экономике по формам собственности
По данным Тамбовского областного комитета госстатистики, на конец 2008 года в Тамбовской области насчитывалось 1117 тыс. чел., в том числе 536,2 тыс. мужчин и 580,8 женщин. В табл. 9 представлена информация о численности различных категорий экономически активного населения [5].
Таблица 9 Численность категорий экономически активного населения
| Показатели |
Количество, тыс. чел. |
| 2004 г. |
2005 г. |
2006 г. |
2007 г. |
2008 г. |
| Экономически активное население - всего |
634 |
637 |
638 |
646 |
649 |
| в том числе: |
| занятые в экономике |
580 |
588 |
587 |
600 |
605 |
| безработные |
54 |
50 |
51 |
46 |
44 |
| Мужчины |
324 |
326 |
324 |
328 |
329 |
| в том числе: |
| занятые в экономике |
295 |
299 |
299 |
304 |
306 |
| безработные |
29 |
26 |
25 |
25 |
23 |
| Женщины |
310 |
312 |
314 |
318 |
320 |
| в том числе: |
| занятые в экономике |
285 |
288 |
288 |
297 |
299 |
| безработные |
25 |
23 |
25 |
21 |
21 |
На основании этих данных охарактеризуем уровни экономической активности, занятости и безработицы населения.
Расчеты показателей занятости и безработицы в области
Анализ данных таблицы свидетельствует о том, что численность экономически активного населения увеличивается (рис. 6)
Уровень экономической активности населения, определяемый по формуле , на конец 2008 г. составил . Значение данного показателя говорит о том, что доля численности экономически активного населения в общей численности населения области составляет лишь более 50%, и это при том, что наметился явный рост численности экономически активного населения в 2004 – 2008 гг.
Коэффициент нагрузки на население, занятое в экономике, со стороны незанятого, равен . Полученное значение говорит о том, что в Тамбовской области на одного человека, занятого в экономике, приходится 0,4 человека, не занятых в экономике.
Определим коэффициент занятости

В Тамбовской области 93,2% трудоспособного населения занято в сфере общественно полезного труда.
Чтобы более наглядно представить структуру занятого населения, рассчитаем коэффициенты занятости отдельно для мужчин и для женщин.
- уровень занятости среди мужчин
- уровень занятости среди женщин
Как можно видеть из полученных результатов, уровень занятости среди женщин ниже уровня занятости среди мужчин на 1,4 процентных пункта.
Это представлено на рис. 8

Рис. 8. Занятость среди мужчин и женщин, %
Определим коэффициент безработицы

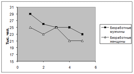
На основании данных табл. 9 рассмотрим динамику безработицы среди мужчин и женщин (рис. 9).

Рис. 9. Динамика безработицы по полу
Рис. 9 наглядно свидетельствует о тенденции к снижению безработицы в Тамбовской области.
Сделаем прогноз уровня безработицы среди мужчин и женщин на будущее до 2009 г. (на 3 года вперёд). Для этого воспользуемся уравнениями тренда, полученными с помощью Excel (рис. 10).

Рис. 10. Уравнения трендов по безработице среди мужчин и женщин
Получаем уравнение тренда для мужчин 
Каждый год число безработных мужчин снижается на 1,3 тыс. человек.
Получаем уравнение тренда среди женщин 
Каждый год число безработных женщин снижается на 1 тыс. человек.
Сделанные прогнозы сведём в табл. 10.
Таблица 10 Прогноз числа безработных среди мужчин и женщин на 2009 – 2009 гг.
| Категория населения |
Мужчины |
Женщины |
Всего |
| 2007 |
21,7 |
20,0 |
41,7 |
| 2008 |
20,4 |
19,0 |
39,4 |
| 2009 |
19,1 |
18,0 |
37,1 |
Таким образом, можно сделать вывод о том, что безработица имеет тенденцию к снижению, при этом в 2009 г. можно ожидать прогнозную численность безработных 37 тыс. чел. (19 тыс. мужчин и 18 тыс. женщин).
В современной российской экономике отчетливо проявляется перенос центра тяжести управления на региональный уровень. Это обусловлено ростом суверенитета, усилением экономической самостоятельности и становлением основ финансово-бюджетной независимости. Все актуальнее становятся изучение тенденций инновационной деятельности в процессах социально-экономического развития территорий для создания эффективной системы управления и обоснования стратегии этого развития. Целью социально-экономического развития Тамбовской области является превращение области в динамично развивающийся, инновационно – активный, конкурентоспособный, экологически благополучный регион, нацеленный на высокое качество жизни.
В 2008 году Тамбовская область преодолела важный рубеж: Минфином РФ Тамбовская область выведена из разряда высокодотационных регионов. Как отмечает в своем выступлении губернатор области: "Тамбовская область вышла на траекторию устойчивого развития". В подтверждении этого вывода ниже приведен анализ сравнительных изменений динамики валового регионального продукта (ВРП) области валового внутреннего продукта России (ВВП), рис. 11. Эти графики представляют собой затухающие колебания, с наибольшим отклонением от нормального состояния после финансового кризиса 1998 года, который вывел всю финансово-экономическую систему РФ и области из равновесия. В последние два года эти отклонения стали минимальными, что является следствием стабилизации и укрепления экономического роста. Это позволило спрогнозировать в 2007 году рост ВРП и достигнуть его в 2008 году с абсолютной точностью - 7,2%. Сравнительные данные прироста валового внутреннего продукта по РФ и валового регионального продукта области приведены в табл. 11.
Таблица 11 Прирост ВВП РФ и ВРП области, %
| Субъекты |
2008 год |
Среднегодовой прирост за 2002-2008 годы |
| Тамбовская область |
7,2% |
7,4% |
| Российская Федерация |
6,4% |
6,8% |
Графическая иллюстрация представлена на рис. 11 [11]
По рейтинговой оценке Агентства национальных новостей (АНН), в 2008 году Тамбовская область признана по совокупности показателей безопасности и благосостояния самым благополучным регионом России (табл. 12). Тамбовщина оказалась третьей в стране по уровню безопасности и 21-й по показателям благосостояния, рассчитанным как отношение денежных доходов на душу населения к величине прожиточного минимума.
Таблица 12 Рейтинг благополучия субъектов РФ в 2008 году
| Место в рейтинге |
Субъект Федерации |
Федеральный округ |
Количество баллов |
| 1 |
Тамбовская область |
ЦФО |
154 |
| 9 |
Белгородская область |
ЦФО |
137 |
| 10 |
Республика Татарстан |
ПФО |
132 |
| 11 |
Липецкая область |
ЦФО |
131,5 |
| 15 |
г. Москва |
ЦФО |
123 |
| 28 |
Брянская область |
ЦФО |
104,5 |
| 44 |
Пензенская область |
ПФО |
88 |
| 54 |
Орловская область |
ЦФО |
83 |
| 61 |
Воронежская область |
ЦФО |
75 |
| 62 |
Рязанская область |
ЦФО |
73,5 |
| 63 |
Московская область |
ЦФО |
73 |
Однако оценка основных макроэкономических показателей социально-экономического развития области за 2008 год свидетельствует о том, что существующая структура экономики региона, как и России в целом, не позволяет ей в дальнейшем развиваться на существующей экономической базе. Необходим переход на инновационный путь развития, имеющий долгосрочный характер.
Обеспечение высоких темпов и качества экономического развития страны в целом, и региона в частности, предполагает активизацию инновационной деятельности, которая сопровождается внедрением высоких технологий в производство и расширением выпуска инновационной продукции.
С целью реализации инновационной стратегии Тамбовской области необходима активизация инновационной и научно-технической политики, формирование инновационной инфраструктуры для обеспечения последующего перехода к инновационной модели развития, которая предполагает следующие этапы.
1. Разработка целевых инновационных программ. Разработанная программа развития научной, научно-технической и инновационной деятельности в Тамбовской области на 2008-2010 годы выступает основным механизмом реализации инновационной стратегии.
2. Размещение регионального заказа среди исполнителей, которые отбираются на конкурсной основе.
3. Результаты законченных инновационных разработок должны пройти приемку и внедрение с возможной продажей этих результатов потенциальным покупателям.
Анализ основных показателей инновационной деятельности Тамбовской области позволяет выделить следующие основные тенденции в развитии инновационной экономики региона:
Число организаций, выполняющих научные исследования и разработки на протяжении 1990-2008 г.г., остается стабильным – 24. При этом, численность работников таких организаций, за указанный период сократилась в 2,4 раза;
Как положительную тенденцию следует отметить рост среднемесячной заработной платы одного работника в отрасли "Наука и научное обслуживание". Данный показатель увеличился за период 1990-2008 г.г. в 15,31 раза. Однако, сопоставляя рассматриваемый показатель с аналогичным показателем в промышленности, отметим что, если в 1990 г. данное соотношение составляло 1,19, то в 2008 г. – 0,92.
Стоимость научных исследований, разработок и услуг, выполненных собственными силами организаций, возросла за период 1990-2008 г.г. в 12,5 раз.
Как свидетельствуют данные табл. 13, наибольшую долю в затратах на научные исследования и разработки занимают внутренние текущие затраты.
Таблица 13 Затраты на научные исследования и разработки, %
| Показатели |
2004г |
2005г. |
2006г. |
2007г. |
2008г. |
2009г. |
| Затраты на исследования и разработки всего, в т.ч.: |
100 |
100 |
100 |
100 |
100 |
100 |
| Внутренние затраты |
текущие |
91,36 |
89,76 |
96,11 |
86,46 |
82,28 |
87,96 |
| капитальные |
0,49 |
1,39 |
0,84 |
1,09 |
2,08 |
1,2 |
| Внешние затраты |
8,15 |
8,85 |
3,05 |
12,45 |
15,64 |
10,84 |
Данные о валовом внутреннем продукте [] представлены в табл. 15. При этом нижняя строка показывает долю валового регионального продукта в структуре регионального продукта по всем субъектам РФ
Таблица 14 Валовой региональный продукт по субъектам Российской Федерации в 2004-2008 гг. (в текущих основных ценах, млрд.рублей)
| 2005г. |
2006г. |
2007г. |
2008г. |
2009г. |
| Валовой региональный продукт по субъектам Российской Федерации |
8741,2 |
10742,4 |
13964,3 |
18034,4 |
22292,5 |
| Тамбовская область, всего |
38,9 |
46,9 |
56,8 |
63,6 |
78,5 |
| В процентах |
0,45 |
0,44 |
0,41 |
0,35 |
0,35 |
Таким образом, несмотря на рост ВРП за анализируемый период, видим тенденцию к снижению доли ВРП Тамбовской области по отношению к суммарному ВРП в Российской Федерации.
Система национальных счетов (СНС) - система взаимосвязанных балансовых таблиц, раскрывающих структуру экономических результатов хозяйственной деятельности на основе подсчета ВВП и его составляющих. Описывает наиболее важные аспекты экономического развития (производство, распределение, перераспределение и использование конечного продукта и национального дохода, формирование национального богатства).
Стандартная система национальных счетов разработана статистической комиссией ООН в 1953. Национальные счета используются более чем в 100 странах мира. В России с 1988 показатель ВВП определяется по методике ООН.
В СНС России 7 счетов для национальной экономики: счета продуктов и услуг, производства, образование доходов, распределение доходов, использование доходов, капитальных затрат, финансовый счет.
В 1993 году были внесены изменения в СНС, в ООН. Использовался метод Хикса при подсчете ВВП
Выделяют следующие основные счета:
Счет производства показывает результаты производственной деятельности (затраты, промежуточное потребление, производство добавленной стоимости). В итоге счет дает добавленную стоимость в рыночных ценах.
Счет образования доходов характеризует процесс образования прибыли, заработной платы, доходов от собственности, социальных выплат, других доходов.
Счет распределения доходов показывает, как доходы распределяются между основными получателями – домашними хозяйствами, фирмами, учреждениями, административными структурами.
Счет использования доходов отражает соответствующий процесс: из располагаемого валового дохода образуются конечное потребление и валовое накопление.
Счет капитала содержит показатели сбережения, изменения запасов, амортизации основного капитала, перечисления капитала.
Финансовый счет показывает итоговые изменения финансовых активов и пассивов, образование сальдо долговых требований и обязательств.
Используем данные [9] о распределении населения региона по 10% группам населения по уровню среднедушевого дохода (табл. 15)
Таблица 15 Распределение населения по уровню среднедушевого дохода в Тамбовской области
| 2008 г. (базисный) |
2009 г. (отчётный) |
| Денежные доходы – всего |
100,0 |
100,0 |
| В том числе по 10 – процентным группам населения |
| Первая (с наименьшими доходами) |
2,3 |
2,1 |
| Вторая |
3,7 |
3,3 |
| Третья |
5,2 |
4,2 |
| Четвёртая |
6,4 |
5,8 |
| Пятая |
7,6 |
7,2 |
| Шестая |
10,0 |
8,9 |
| Седьмая |
12,2 |
8,9 |
| Восьмая |
14,3 |
12,5 |
| Девятая |
16,7 |
21,4 |
| Десятая (с наибольшими доходами) |
21,6 |
25,7 |
Определим коэффициент дифференциации доходов (коэффициент фондов)

Базисный год: Кф
0
= = =9,391; отчётный год: Кф
1
= = =12,238
Определим коэффициент концентрации доходов Джини.
Рассчитывается по формуле:
,
где сumyi
– кумулятивная доля дохода (накопленная частость).
Коэффициент G изменяется в пределах от 0 до 1. Чем ближе его значение к 1, тем выше уровень неравенства (концентрации) в распределении, чем ближе к 0, тем выше уровень равенства.
Расчёты сводим в табл. 16 и 17 для 2007 и 2008 годов соответственно
Таблица 16Базисный год
| Группа населения |
Доля населения, xi
|
Доля в совокупном доходе, yi
|
Расчётные показатели |
| Sumyi
|
xi
*yi
|
xi
*Sum yi
|
| 1 |
0,1 |
0,023 |
0,023 |
0,0023 |
0,0023 |
| 2 |
0,1 |
0,037 |
0,06 |
0,0037 |
0,006 |
| 3 |
0,1 |
0,052 |
0,112 |
0,0052 |
0,0112 |
| 4 |
0,1 |
0,064 |
0,176 |
0,0064 |
0,0176 |
| 5 |
0,1 |
0,076 |
0,252 |
0,0076 |
0,0252 |
| 6 |
0,1 |
0,1 |
0,352 |
0,01 |
0,0352 |
| 7 |
0,1 |
0,122 |
0,474 |
0,0122 |
0,0474 |
| 8 |
0,1 |
0,143 |
0,617 |
0,0143 |
0,0617 |
| 9 |
0,1 |
0,167 |
0,784 |
0,0167 |
0,0784 |
| 10 |
0,1 |
0,216 |
1,000 |
0,0216 |
0,1000 |
| Всего |
1,0 |
1,000 |
0,1000 |
0,385 |
Коэффициент К. Джини равен:
G=1-2* =1-2*0,385+0,1=0,33
Таблица 17Отчётный год
| Группа населения |
Доля населения,
xi
|
Доля в совокупном доходе,
yi
|
Расчётные показатели |
| Sumyi
|
xi
*yi
|
xi
*Sum yi
|
| 1 |
0,1 |
0,021 |
0,021 |
0,0021 |
0,0021 |
| 2 |
0,1 |
0,033 |
0,054 |
0,0033 |
0,0054 |
| 3 |
0,1 |
0,042 |
0,096 |
0,0042 |
0,0096 |
| 4 |
0,1 |
0,058 |
0,154 |
0,0058 |
0,0154 |
| 5 |
0,1 |
0,072 |
0,226 |
0,0072 |
0,0226 |
| 6 |
0,1 |
0,089 |
0,315 |
0,0089 |
0,0315 |
| 7 |
0,1 |
0,089 |
0,404 |
0,0089 |
0,0404 |
| 8 |
0,1 |
0,125 |
0,529 |
0,0125 |
0,0529 |
| 9 |
0,1 |
0,214 |
0,743 |
0,0214 |
0,0743 |
| 10 |
0,1 |
0,257 |
1,000 |
0,0257 |
0,1 |
| Всего |
1,0 |
1 |
0,1000 |
0,3542 |
Коэффициент К. Джини равен:
G=1-2* =1-2*0,3542+0,1=0,3916
Построим график Лоренца (рис. 12 и 13). Для этого проделаем расчёты (табл. 18)
Таблица 18 Расчёт для построения кривой Лоренца распределения доходов населения
| % населения |
Базисный период |
Отчётный период. |
| Доля дохода |
Накопленная доля дохода при равенствеX0
|
Накопленная доля дохода фактически Y0
|
Доля дохода |
Накопленная доля дохода при равенстве X1
|
Накопленная доля дохода фактически Y1
|
| 0,1 |
0,023 |
0,1 |
0,023 |
0,021 |
0,1 |
0,021 |
| 0,1 |
0,037 |
0,2 |
0,06 |
0,033 |
0,2 |
0,054 |
| 0,1 |
0,052 |
0,3 |
0,112 |
0,042 |
0,3 |
0,096 |
| 0,1 |
0,064 |
0,4 |
0,176 |
0,058 |
0,4 |
0,154 |
| 0,1 |
0,076 |
0,5 |
0,252 |
0,072 |
0,5 |
0,226 |
| 0,1 |
0,1 |
0,6 |
0,352 |
0,089 |
0,6 |
0,315 |
| 0,1 |
0,122 |
0,7 |
0,474 |
0,089 |
0,7 |
0,404 |
| 0,1 |
0,143 |
0,8 |
0,617 |
0,125 |
0,8 |
0,529 |
| 0,1 |
0,167 |
0,9 |
0,784 |
0,214 |
0,9 |
0,743 |
| 0,1 |
0,216 |
1,0 |
1,0 |
0,257 |
1,0 |
1,0 |
2007 год

Рис. 12. Ряд 1 – линия равномерного распределения, ряд 2 – линия фактического распределения (кривая Лоренца распределения населения Тамбовской области по размеру среднедушевых доходов)
2008 год

Рис. 13. Ряд 1 – линия равномерного распределения, ряд 2 – линия фактического распределения (кривая Лоренца распределения населения Тамбовской области по размеру среднедушевых доходов)
Таким образом, дифференциация доходов населения в отчётном году выросла по сравнению с базисным с 9,391 до 12,238; это говорит об увеличении неравенства доходов населения. Коэффициенты К.Джини составили 0,33 и 0,3916 соответственно в базисном и отчётном годах; это подтверждает увеличение неравенства доходов. Такой же вывод можно сделать из визуального анализа графиков М.Лоренца: неравномерность доходов увеличивается (заметен крен кривой линии вправо).
5.1 Статистика промышленности
Рассмотрим вопрос тенденции развития промышленного производства
Для прогнозирования промышленного производства в Российской Федерации используем данные Госкомстата РФ [8].
Ниже (таб. 19) приводится информация, характеризующая динамику производства по разделам ОКВЭД "Добыча полезных ископаемых", "Обрабатывающие производства", "Производство и распределение электроэнергии, газа и воды" и их подразделам, структуру отгруженной продукции (работ, услуг) по видам экономической деятельности, использование производственной мощности организаций по выпуску отдельных видов продукции, отдельные показатели финансово-хозяйственной деятельности организаций.
Объем отгруженной продукции (работ, услуг) - стоимость отгруженных или отпущенных в порядке продажи, а также прямого обмена (по договору мены) всех товаров собственного производства, выполненных работ и оказанных услуг собственными силами. Разработка данного показателя осуществляется с 2007 г.
Объем отгруженных товаров представляет собой стоимость тех товаров, которые произведены данным юридическим лицом и фактически отгружены (переданы) в отчетном периоде на сторону (другим юридическим и физическим лицам), включая товары, сданные по акту заказчику на месте, независимо от того, поступили деньги на счет продавца или нет.
Объем работ и услуг, выполненных собственными силами, представляет стоимость работ и услуг, оказанных (выполненных) организацией другим юридическим и физическим лицам.
Данные приводятся в фактических отпускных ценах без налога на добавленную стоимость, акцизов и других аналогичных обязательных платежей.
Группировки по видам деятельности представляют совокупность соответствующих фактических видов деятельности, осуществляемых организациями, независимо от их основного вида деятельности.
Индекс производства - относительный показатель, характеризующий изменение масштабов производства в сравниваемых периодах. Различают индивидуальные и сводные индексы производства. Индивидуальные индексы отражают изменение выпуска одного продукта и исчисляются как отношение объемов производства данного вида продукта в натурально-вещественном выражении в сравниваемых периодах. Сводный индекс производства характеризует совокупные изменения всех видов продукции и отражает изменение создаваемой в процессе производства стоимости в результате изменения только физического объема производимой продукции. Для исчисления сводного индекса производства индивидуальные индексы по конкретным видам продукции поэтапно агрегируются в индексы по видам деятельности, подгруппам, группам, подклассам, классам, подразделам и разделам. Индекс промышленного производства - агрегированный индекс производства по видам деятельности "добыча полезных ископаемых", "обрабатывающие производства", "производство и распределение электроэнергии, газа и воды".
Производственная мощность - максимально возможный выпуск продукции (за год, сутки, смену) или объем добычи и переработки сырья в номенклатуре и ассортименте. Определяется с учетом полного использования установленного режима работы производственного оборудования и производственных мощностей. Величину мощности по выпуску конкретного вида продукции, факторы ее изменения и уровень использования характеризует баланс производственной мощности. По данным баланса производственной мощности рассчитываются среднегодовая производственная мощность, действовавшая в отчетном периоде, и процент ее использования. Процент использования производственной мощности - относительный показатель, характеризующий степень использования производственной мощности по выпуску отдельных видов продукции. Исчисляется как отношение фактического выпуска продукции к среднегодовой производственной мощности, действовавшей в отчетном периоде по выпуску этой продукции.
Таблица 19 Индексы производства по видам экономический деятельности (1991 г. =100)
| Показатели |
2005 |
2006 |
2007 |
2008 |
2009 |
2010 |
2011 |
2012 |
| Добыча полезных ископаемых |
88,2 |
70,7 |
74,3 |
78,8 |
84,2 |
91,5 |
97,7 |
99,0 |
| в том числе: |
| добыча топливно-энергетических полезных ископаемых |
94,7 |
77,8 |
80,9 |
85,8 |
92,1 |
101,6 |
109,4 |
111,4 |
| добыча полезных ископаемых, кроме топливно-энергетических |
71,0 |
52,0 |
60,0 |
57,7 |
57,2 |
58,6 |
63,6 |
61,6 |
| Обрабатывающие производства |
81,8 |
47,5 |
51,0 |
52,0 |
52,6 |
58,0 |
64,1 |
67,8 |
| из них |
| производство пищевых продуктов, включая напитки, и табака |
80,0 |
50,2 |
54,5 |
58,9 |
63,1 |
67,5 |
70,5 |
73,6 |
| текстильное и швейное производство |
71,9 |
22,0 |
23,4 |
25,2 |
24,6 |
24,9 |
23,9 |
23,5 |
| производство кожи, изделий из кожи и производство обуви |
78,0 |
20,8 |
15,5 |
17,6 |
19,6 |
21,9 |
21,8 |
21,2 |
| обработка древесины и производство изделий из дерева |
78,7 |
40,8 |
37,5 |
36,6 |
38,1 |
41,8 |
45,4 |
47,4 |
| целлюлозно-бумажное производство; издательская и полиграфическая деятельность |
88,0 |
62,7 |
81,2 |
89,0 |
92,6 |
99,8 |
104,9 |
106,1 |
| производство кокса и нефтепродуктов |
82,8 |
62,2 |
60,1 |
61,8 |
64,6 |
66,0 |
67,6 |
71,3 |
| химическое производство |
79,0 |
54,7 |
69,8 |
70,0 |
70,1 |
73,9 |
78,8 |
80,8 |
| производство резиновых и пластмассовых изделий |
79,5 |
38,4 |
52,5 |
53,3 |
53,4 |
56,3 |
63,9 |
67,4 |
| производство прочих неметаллических минеральных продуктов |
80,9 |
46,9 |
40,3 |
41,8 |
42,3 |
45,4 |
49,2 |
50,9 |
| металлургическое производство и производство готовых металлических изделий |
82,3 |
57,6 |
66,8 |
69,9 |
73,5 |
78,8 |
81,9 |
86,6 |
| производство машин и оборудования |
84,4 |
38,1 |
32,3 |
34,4 |
31,4 |
37,4 |
45,3 |
45,3 |
| производство электрооборудования, электронного и оптического оборудования |
79,8 |
37,3 |
45,3 |
49,1 |
45,3 |
64,9 |
87,3 |
105,4 |
| производство транспортных средств и оборудования |
85,3 |
45,0 |
53,1 |
39,1 |
38,7 |
44,1 |
49,2 |
52,2 |
| прочие производства |
91,2 |
60,7 |
60,4 |
65,5 |
68,1 |
75,5 |
83,4 |
84,0 |
| Производство и распределение электроэнергии, газа и воды |
95,3 |
80,2 |
76,9 |
78,0 |
81,7 |
84,4 |
85,5 |
86,5 |
На основании исходных данных, представленных в предыдущем разделе, выполним экстраполяцию основных показателей развития промышленности РФ до 2010 года. Такая глубина прогнозирования обусловлена исходным рядом динамики, то есть данные, представляющие исходную тенденцию, имеются за прошлые 13 лет. Примерно на половину этого срока в будущем могут быть получены данные, имеющие приемлемую точность. Учтём также, что исходный ряд динамики – неравномерный, то есть в нём отсутствуют данные за 1993, 1994, 1996, 1997, 1998, 1999 годы. Для экстраполяции используем ряд динамики, начиная с 2002 года. При этом для упрощения вычислений обозначим 2002 год как год "1", 2003 – год "2" и так далее.
Перед выполнением экстраполяции сделаем некоторые предварительные замечания.
Во – первых, будем использовать модель линейной регрессионной зависимости вида ; такой выбор обусловлен видом ряда динамики: за каждый год известны значения базисных (по отношению к 1991 году) индексов, то есть имеется один фактор – время.
Во – вторых, с помощью этой модели получим прогнозные значения по всем видам индексов, представленных в таблице 19. Это позволит сформировать прогнозную таблицу такого же вида, как и исходная информация.
В третьих, для оценок параметров уравнения регрессии будем использовать метод наименьших квадратов; однако ввиду ограниченного объема работы и упрощения техники вычислений также целесообразно пользоваться средствами Excel, то есть получение уравнения тренда средствами с помощью встроенных функций в электронной таблице Excel.
Наконец, после выполнения экстраполяции сделаем выводы.
Оценки параметров уравнения регрессии методом наименьших квадратов можно получить по следующим формулам.
Система нормальных уравнений имеет вид:

При этом коэффициенты находятся из уравнений.
и 
Таблица 20 Динамика добычи полезных ископаемых
| Год |
Добыча полезных ископаемых |
| 1 |
74,3 |
| 2 |
78,8 |
| 3 |
84,2 |
| 4 |
91,5 |
| 5 |
97,7 |
| 6 |
99,0 |
Составим расчётную таблицу 21
Таблица 21 Расчёт уравнения тренда по методу наименьших квадратов
| Год, t |
Добыча полезных ископаемых, yt
|
yt
*t |
t2
|
| 1 |
74,3 |
74,3 |
1 |
| 2 |
78,8 |
157,6 |
4 |
| 3 |
84,2 |
252,6 |
9 |
| 4 |
91,5 |
366 |
16 |
| 5 |
97,7 |
488,5 |
25 |
| 6 |
99 |
594 |
36 |
| Сумма (=21) |
525,5 |
1933 |
91 |
Получаем


Следовательно, уравнение тренда (регрессии) будет иметь вид.
=
Совершенно аналогично получаем уравнения трендов по остальным позициям
Добыча топливно – энергетических полезных ископаемых
=
Добыча полезных ископаемых, кроме топливно – энергетических
=
Обрабатывающие производства
=
Производство пищевых продуктов, включая напитки, и табака
=
Текстильное и швейное производство
=
Производство кожи, изделий из кожи и производство обуви
=
Обработка древесины и производство изделий из дерева
=
Целлюлозно-бумажное производство; издательская и полиграфическая деятельность
=
Производство кокса и нефтепродуктов
=
Химическое производство
=
Производство резиновых и пластмассовых изделий
=
Производство прочих неметаллических минеральных продуктов
=
Металлургическое производство и производство готовых металлических изделий
=
Производство машин и оборудования
=
Производство электрооборудования, электронного и оптического оборудования
=
Производство транспортных средств и оборудования
=
Прочие производства
=
Производство и распределение электроэнергии, газа и воды
=
Таким образом, получены уравнения регрессии, моделирующие ряды индексов промышленного производства в России. С помощью этих уравнений рассчитаем прогнозные значения индексов до 2010 года (2008 год – год "7", 2009 – год "8", 2010 – год "9", 2009 – год "10" и 2010 год – год "11").
Соответствующие значения года "t" подставляем в уравнения регрессий. Получаем прогнозные значения индексов промышленного производства.
Таблица 22 Индексы производства по видам экономический деятельности (1991 г. =100)
| Показатели |
2002 |
2003 |
2004 |
2005 |
2006 |
2007 |
2008 |
2009 |
2010 |
2011 |
2012 |
| Добыча полезных ископаемых |
74,3 |
78,8 |
84,2 |
91,5 |
97,7 |
99,0 |
92,3 |
95,7 |
99,0 |
102,4 |
105,8 |
| в том числе: |
| добыча топливно-энергетических полезных ископаемых |
80,9 |
85,8 |
92,1 |
101,6 |
109,4 |
111,4 |
120,1 |
126,8 |
133,4 |
140,1 |
146,7 |
| добыча полезных ископаемых, кроме топливно-энергетических |
60,0 |
57,7 |
57,2 |
58,6 |
63,6 |
61,6 |
62,5 |
63,3 |
64,0 |
64,8 |
65,6 |
| Обрабатывающие производства |
51,0 |
52,0 |
52,6 |
58,0 |
64,1 |
67,8 |
70,2 |
73,7 |
77,3 |
80,9 |
84,5 |
| из них |
| производство пищевых продуктов, включая напитки, и табака |
54,5 |
58,9 |
63,1 |
67,5 |
70,5 |
73,6 |
78,2 |
82,0 |
85,9 |
89,7 |
93,6 |
| текстильное и швейное производство |
23,4 |
25,2 |
24,6 |
24,9 |
23,9 |
23,5 |
23,9 |
23,8 |
23,8 |
23,7 |
23,6 |
| производство кожи, изделий из кожи и производство обуви |
15,5 |
17,6 |
19,6 |
21,9 |
21,8 |
21,2 |
23,9 |
25,2 |
26,4 |
27,7 |
28,9 |
| обработка древесины и производство изделий из дерева |
37,5 |
36,6 |
38,1 |
41,8 |
45,4 |
47,4 |
49,1 |
51,4 |
53,6 |
55,9 |
58,2 |
| целлюлозно-бумажное производство; издательская и полиграфическая деятельность |
81,2 |
89,0 |
92,6 |
99,8 |
104,9 |
106,1 |
113,5 |
118,7 |
123,8 |
128,9 |
134,0 |
| производство кокса и нефтепродуктов |
60,1 |
61,8 |
64,6 |
66,0 |
67,6 |
71,3 |
72,7 |
74,8 |
77,0 |
79,1 |
81,3 |
| химическое производство |
69,8 |
70,0 |
70,1 |
73,9 |
78,8 |
80,8 |
82,4 |
84,8 |
87,3 |
89,7 |
92,1 |
| производство резиновых и пластмассовых изделий |
52,5 |
53,3 |
53,4 |
56,3 |
63,9 |
67,4 |
68,7 |
71,8 |
75,0 |
78,1 |
81,2 |
| производство прочих неметаллических минеральных продуктов |
40,3 |
41,8 |
42,3 |
45,4 |
49,2 |
50,9 |
52,8 |
55,0 |
57,3 |
59,5 |
61,8 |
| металлургическое производство и производство готовых металлических изделий |
66,8 |
69,9 |
73,5 |
78,8 |
81,9 |
86,6 |
90,3 |
94,3 |
98,3 |
102,3 |
106,3 |
| производство машин и оборудования |
32,3 |
34,4 |
31,4 |
37,4 |
45,3 |
45,3 |
48,1 |
51,0 |
54,0 |
56,9 |
59,9 |
| производство электрооборудования, электронного и оптического оборудования |
45,3 |
49,1 |
45,3 |
64,9 |
87,3 |
105,4 |
109,7 |
122,1 |
134,5 |
146,9 |
159,4 |
| производство транспортных средств и оборудования |
53,1 |
39,1 |
38,7 |
44,1 |
49,2 |
52,2 |
49,2 |
50,1 |
51,0 |
51,9 |
52,7 |
| прочие производства |
60,4 |
65,5 |
68,1 |
75,5 |
83,4 |
84,0 |
90,7 |
95,8 |
101,0 |
106,1 |
111,2 |
| Производство и распределение электроэнергии, газа и воды |
76,9 |
78,0 |
81,7 |
84,4 |
85,5 |
86,5 |
89,5 |
91,6 |
93,7 |
95,8 |
97,8 |
Таким образом, получен прогноз развития промышленности РФ до 2010 г. При этом из анализа прогнозной таблицы делаем следующие выводы.
По основным отраслям промышленности предполагается рост, при этом в 2010 г. по 5 позициям уровень составит больше 100% от уровня 1991 года. По 5 позициям уровень производства составит менее 60% от уровня 1991 года. Остальные отрасли будут развиваться таким образом, что уровень производства составит примерно от 60 до 100% от уровня 1991 года.
Основным источником об уровне образования населения является перепись. Программа переписи предусматривает получение сведений об уровне образования каждого человека, а также о типах учебных заведений, в которых он учился или закончил.
Значительное внимание уделяется изучению подготовки и повышению квалификации занятого населения. Такое изучение осуществлялось по данным единовременных учетов, как рабочих, так и специалистов со средним специальным и высшим образованием. Сведения об уровне, профиле обучения и профессиональной подготовке внесены в программы периодических выборочных опросов незанятого населения, проводимых службами государственной статистики с 1992 года.
Главным источником информации о государственных учреждениях образования остается государственная статистическая отчетность, представляемая раз в год. Программа отчетности содержит сведения о численности, составе и движении обучающихся; профессиональной подготовке и продолжительности педагогической работы; данные о материальной обеспеченности и финансовые показатели деятельности учебных заведений. Разнообразные данные собираются в выборочных обследованиях обучающихся, проводимых не только статистическими службами, но и педагогами, медиками, социологами и другими специалистами.
Одна из ведущих задач статистики заключается в измерении образовательного потенциала общества; в изучении процессов его формирования, дифференциации и использования. Образовательных потенциал общества – накопленный поколениями объем и качества знаний и профессионального опыта, которые усвоены населением и воспроизводятся через систему образования.
Измерение уровня образования населения осуществляется при проведении переписи. В процессе разработки программы переписи определяются критерии образованности (грамотности). Исходя из программы переписи, создается методика построения обобщающих показателей образования населения в целом и отдельных социально-демографических групп, изучения их динамики.
Денежная масса М2 включает:
наличные деньги в обращении (денежный агрегат М0) - наиболее ликвидная часть денежной массы, доступная для немедленного использования в качестве платежного средства. Включает банкноты и монету в обращении.
безналичные средства - остатки средств нефинансовых и финансовых (кроме кредитных) организаций и физических лиц на расчетных, текущих, депозитных и иных счетах до востребования (в том числе счетах для расчетов с использованием банковских карт) и срочных счетах, открытых в действующих кредитных организациях в валюте Российской Федерации, а также начисленные проценты по ним. Безналичные средства, учитываемые на аналогичных счетах в кредитных организациях с отозванными лицензиями, не входят в состав денежного агрегата М2.
В показатель денежной массы в национальном определении не включаются депозиты в иностранной валюте.
Статистические данные объёма денежной массы [11] в Российской Федерации за 2008 – 2010 гг. представлены ниже (табл. 23 – 25).
Таблица 23 Денежная масса М2 РФ в 2010 г. (млрд. руб.)
| Дата |
Денежная масса М2 |
Темпы прироста денежной массы, % |
| Всего |
в том числе |
к предыдущему месяцу |
к 01.01.2010 |
| Наличные деньги (M0) |
Безналичные средства |
| 01.01.2010 |
13272,1 |
3702,2 |
9569,9 |
9,1 |
— |
| 01.02.2010 |
12914,8 |
3465,7 |
9449,1 |
-2,7 |
-2,7 |
| 01.03.2010 |
13080,4 |
3487,6 |
9592,8 |
1,3 |
-1,4 |
| 01.04.2010 |
13382,9 |
3475,5 |
9907,4 |
2,3 |
0,8 |
По данным табл. 23, объём денежной массы увеличился за первый квартал 2010 года с 13272,1 млрд. руб. до 13382,9 млрд. руб., в том числе зафиксировано увеличение объёма наличных денег М0 с 3702,2 млрд. руб. до 3475,5 млрд. Прирост денежной массы за 4 месяца 2010 г. по отношению к началу года (01 января 2010 г.) составил 0,8%.
Динамика роста денежной массы представлена на рис. 14.

Рис.14. Увеличение денежной массы М2 РФ за 2010 г.
Таблица 24 Денежная масса М2 РФ в 2009 г. (млрд. руб.)
| Дата |
Денежная масса М2 |
Темпы прироста денежной массы, % |
| Всего |
в том числе |
к предыдущему месяцу |
к 01.01.2009 |
| Наличные деньги (M0) |
Безналичные средства |
| 01.01.2009 |
8995,8 |
2785,2 |
6210,6 |
12,3 |
— |
| 01.02.2009 |
8700,8 |
2630,1 |
6070,6 |
-3,3 |
-3,3 |
| 01.03.2009 |
8902,0 |
2682,0 |
6220,1 |
2,3 |
-1,0 |
| 01.04.2009 |
9412,6 |
2741,2 |
6671,4 |
5,7 |
4,6 |
| 01.05.2009 |
10006,0 |
2859,4 |
7146,6 |
6,3 |
11,2 |
| 01.06.2009 |
10699,3 |
2896,6 |
7802,6 |
6,9 |
18,9 |
| 01.07.2009 |
10857,7 |
3027,5 |
7830,2 |
1,5 |
20,7 |
| 01.08.2009 |
10923,5 |
3087,0 |
7836,5 |
0,6 |
21,4 |
| 01.09.2009 |
11156,8 |
3170,6 |
7986,2 |
2,1 |
24,0 |
| 01.10.2009 |
11494,0 |
3220,9 |
8273,2 |
3,0 |
27,8 |
| 01.11.2009 |
11421,7 |
3259,1 |
8162,6 |
-0,6 |
27,0 |
| 01.12.2009 |
12163,3 |
3373,4 |
8789,9 |
6,5 |
35,2 |
По данным табл. 24, объём денежной массы увеличился за 2009 год с 8995,8 млрд. руб. до 12163,3 млрд. руб., в том числе зафиксировано увеличение объёма наличных денег М0 с 2785,2 млрд. руб. до 3373,4 млрд. Прирост денежной массы за 2009 г. по отношению к началу года (01 января 2009 г.) составил 35,2%.
Динамика роста денежной массы представлена на рис. 15.

Рис.15. Увеличение денежной массы М2 РФ за 2009 г.
Таблица 25 Денежная масса М2 РФ в 2008 г. (млрд. руб.)
| Дата |
Денежная масса М2 |
Темпы прироста денежной массы, % |
| Всего |
Наличные деньги (M0) |
Безналичные средства |
к предыдущему месяцу |
к 01.01.2008 |
| 01.01.2008 |
6044,7 |
2009,2 |
4035,4 |
11,2 |
— |
| 01.02.2008 |
5842,7 |
1875,6 |
3967,1 |
-3,3 |
-3,3 |
| 01.03.2008 |
5919,3 |
1890,1 |
4029,3 |
1,3 |
-2,1 |
| 01.04.2008 |
6169,4 |
1928,8 |
4240,6 |
4,2 |
2,1 |
| 01.05.2008 |
6360,1 |
2027,8 |
4332,3 |
3,1 |
5,2 |
| 01.06.2008 |
6692,8 |
2096,9 |
4595,9 |
5,2 |
10,7 |
| 01.07.2008 |
7090,8 |
2233,4 |
4857,5 |
5,9 |
17,3 |
| 01.08.2008 |
7228,9 |
2290,3 |
4938,6 |
1,9 |
19,6 |
| 01.09.2008 |
7447,2 |
2351,6 |
5095,6 |
3,0 |
23,2 |
| 01.10.2008 |
7750,7 |
2400,8 |
5349,9 |
4,1 |
28,2 |
| 01.11.2008 |
7766,4 |
2402,2 |
5364,2 |
0,2 |
28,5 |
| 01.12.2008 |
8014,1 |
2450,7 |
5563,4 |
3,2 |
32,6 |
По данным табл. 25, объём денежной массы увеличился за 2008 год с 6044,7 млрд. руб. до 8014,1 млрд. руб., в том числе зафиксировано увеличение объёма наличных денег М0 с 2009,2 млрд. руб. до 2450,7 млрд. Прирост денежной массы за 2008 г. по отношению к началу года (01 января 2008 г.) составил 32,6%.
Динамика роста денежной массы представлена на рис. 16.

Рис.16. Увеличение денежной массы М2 РФ за 2008 г.
Таким образом, годовой рост объёма денежной массы за период 2008 -2010 гг.составляет несколько более 30%. Рассмотрим структуру денежной массы в сравнении за 2008 и 2009 гг. (табл. 26 и 27). Данные за 2010 г. учитывать не будем, в связи с тем, что год не закончился.
Таблица 26 Структура денежной массы за 2008 г.
| Дата |
2008 г. |
| Всего |
Наличные деньги (M0) |
Безналичные средства |
| Млрд. руб. |
% |
Млрд. руб. |
% |
Млрд. руб. |
% |
| 01.01 |
6044,7 |
100,0 |
2009,2 |
33,2 |
4035,4 |
66,8 |
| 01.02 |
5842,7 |
100,0 |
1875,6 |
32,1 |
3967,1 |
67,9 |
| 01.03 |
5919,3 |
100,0 |
1890,1 |
31,9 |
4029,3 |
68,1 |
| 01.04 |
6169,4 |
100,0 |
1928,8 |
31,3 |
4240,6 |
68,7 |
| 01.05 |
6360,1 |
100,0 |
2027,8 |
31,9 |
4332,3 |
68,1 |
| 01.06 |
6692,8 |
100,0 |
2096,9 |
31,3 |
4595,9 |
68,7 |
| 01.07 |
7090,8 |
100,0 |
2233,4 |
31,5 |
4857,5 |
68,5 |
| 01.08 |
7228,9 |
100,0 |
2290,3 |
31,7 |
4938,6 |
68,3 |
| 01.09 |
7447,2 |
100,0 |
2351,6 |
31,6 |
5095,6 |
68,4 |
| 01.10 |
7750,7 |
100,0 |
2400,8 |
31,0 |
5349,9 |
69,0 |
| 01.11 |
7766,4 |
100,0 |
2402,2 |
30,9 |
5364,2 |
69,1 |
| 01.12 |
8014,1 |
100,0 |
2450,7 |
30,6 |
5563,4 |
69,4 |
Таблица 27 Структура денежной массы за 2009 г.
| Дата |
2009 г. |
| Всего |
Наличные деньги (M0) |
Безналичные средства |
| Млрд. руб. |
% |
Млрд. руб. |
% |
Млрд. руб. |
% |
| 01.01 |
8995,8 |
100,0 |
2785,2 |
31,0 |
6210,6 |
69,0 |
| 01.02 |
8700,8 |
100,0 |
2630,1 |
30,2 |
6070,6 |
69,8 |
| 01.03 |
8902,0 |
100,0 |
2682,0 |
30,1 |
6220,1 |
69,9 |
| 01.04 |
9412,6 |
100,0 |
2741,2 |
29,1 |
6671,4 |
70,9 |
| 01.05 |
10006,0 |
100,0 |
2859,4 |
28,6 |
7146,6 |
71,4 |
| 01.06 |
10699,3 |
100,0 |
2896,6 |
27,1 |
7802,6 |
72,9 |
| 01.07 |
10857,7 |
100,0 |
3027,5 |
27,9 |
7830,2 |
72,1 |
| 01.08 |
10923,5 |
100,0 |
3087,0 |
28,3 |
7836,5 |
71,7 |
| 01.09 |
11156,8 |
100,0 |
3170,6 |
28,4 |
7986,2 |
71,6 |
| 01.10 |
11494,0 |
100,0 |
3220,9 |
28,0 |
8273,2 |
72,0 |
| 01.11 |
11421,7 |
100,0 |
3259,1 |
28,5 |
8162,6 |
71,5 |
| 01.12 |
12163,3 |
100,0 |
3373,4 |
27,7 |
8789,9 |
72,3 |
Из данных табл. 26 и 27 можно сделать вывод о том, что в структуре денежной массы безналичные деньги вытесняют наличные.
Для количественной оценки этого явления рассмотрим соответствующие индексы (по датам: январь 2009 г. к январю 2008 г. и так далее).
Сведём расчёты в табл. 28.
Таблица 28 Индексы денежной массы (2009 к 2008, по месяцам)
| Дата |
Наличные деньги (M0), % |
Безналичные средства, % |
Индексы |
| 2008 г. |
2009 г. |
2008 г. |
2009 г. |
По М0 |
По безналичным средствам |
| 01.01 |
33,2 |
31,0 |
66,8 |
69,0 |
0,934 |
1,033 |
| 01.02 |
32,1 |
30,2 |
67,9 |
69,8 |
0,941 |
1,028 |
| 01.03 |
31,9 |
30,1 |
68,1 |
69,9 |
0,944 |
1,026 |
| 01.04 |
31,3 |
29,1 |
68,7 |
70,9 |
0,930 |
1,032 |
| 01.05 |
31,9 |
28,6 |
68,1 |
71,4 |
0,897 |
1,048 |
| 01.06 |
31,3 |
27,1 |
68,7 |
72,9 |
0,866 |
1,061 |
| 01.07 |
31,5 |
27,9 |
68,5 |
72,1 |
0,886 |
1,053 |
| 01.08 |
31,7 |
28,3 |
68,3 |
71,7 |
0,893 |
1,050 |
| 01.09 |
31,6 |
28,4 |
68,4 |
71,6 |
0,899 |
1,047 |
| 01.10 |
31,0 |
28,0 |
69,0 |
72,0 |
0,903 |
1,043 |
| 01.11 |
30,9 |
28,5 |
69,1 |
71,5 |
0,922 |
1,035 |
| 01.12 |
30,6 |
27,7 |
69,4 |
72,3 |
0,905 |
1,042 |
Проиллюстрируем увеличение индекса по безналичным средствам на рис. 17.

Рис. 17. Динамика индекса безналичных средств в структуре денежной массы
Таким образом, наглядно видно, что имеется тенденция вытеснения безналичными средствами денежного агрегата М0 из структуры денежной массы: за период 2008 – 2009 гг. рост показателя составил 5%.
По результатам проведённого исследования сделаем ряд выводов.
Статистический анализ численности населения показал, что наблюдается убыль постоянного населения в Тамбовской области, при этом также незначительно снижается доля сельского населения в общей численности. При этом делаем вывод о весьма неблагоприятной ситуации по воспроизводству населения в Тамбовской области за анализируемый период. А именно: отрицательное значение естественного прироста свидетельствует об убыли населения, то есть смертность значительно превышает рождаемость, соответственно, коэффициент жизненности населения меньше единицы, а также коэффициент экономичности воспроизводства отрицателен. Вместе с тем, имеется положительная тенденция брачной статистики: браков по области больше, чем разводов. Миграция в Тамбовской области носит характер оттока: коэффициент прибытия меньше коэффициента убытия.
Анализ экономической активности показал, что доля численности экономически активного населения в общей численности населения области составляет лишь более 50%, и это при том, что наметился явный рост численности экономически активного населения в 2004 – 2008 гг. В исследовании сделан прогноз уровня безработицы в области, из которого можно сделать вывод о том, что безработица имеет тенденцию к снижению, при этом в 2009 г. можно ожидать прогнозную численность безработных 37 тыс. чел. (19 тыс. мужчин и 18 тыс. женщин).
Исследование ВВП показало, что Тамбовская область выведена из разряда высокодотационных регионов, и заняла первое место в рейтинге благополучия субъектов РФ. В подтверждение этого вывода проведен анализ сравнительных изменений динамики валового регионального продукта (ВРП) области и валового внутреннего продукта России (ВВП).
Статистика доходов населения Тамбовской области проведена в контексте дифференциации доходов населения за 2007 и 2008 гг. При этом в 2008 г. дифференциация выросла по сравнению с 2007 г. с 9,391 до 12,238; это говорит об увеличении неравенства доходов населения. Коэффициенты К. Джини составили 0,33 и 0,3916 соответственно; это также подтверждает увеличение неравенства доходов.
В целом следует отметить наличие как положительных, так и отрицательных тенденций в развитии области.
1. Курс социально-экономической статистики / под редакцией д.э.н., профессора М.Г. Назарова, 6-издание, Москва, 2009г.;
2. Курс экономики: Учебник / под ред. Б. А. Райзберга. – 4 –е изд., перераб. и доп. – М.: ИНФРА – М, 2008. – 672 с.
3. Регионы России. Основные характеристики субъектов Российской Федерации. 2004-2009, Статистика России;
4. Российский статистический ежегодник 2004-2009: Стат. Сб., Госкомстат России
5. http://rfdata.al.ru статистика регионов
6. http://statorel.narod.ru/catal.htm - Перечень официальных статистических публикаций
7. http://www.info.gks.ru/ - статистика России
8. http://www.gks.ru/ - сайт Росстата (Госкомстат РФ)
Сайты региональных комитетов статистики
9. http://www.perepis2004.ru/ - данные перепеси населения 2004 года
10. http://ru.wikipedia.org/ - "народная" энциклопедия
11. http://www.fms-rf.ru/
Приложение 1. Тамбовская область

Общая информация о Тамбовской области
ФЕДЕРАЛЬНЫЙ ОКРУГ Центральный
ЭКОНОМИЧЕСКИЙ РАЙОН Центральный
ДАТА ОБРАЗОВАНИЯ 27 сентября 1937 г.
ТЕРРИТОРИЯ 34,3 тыс. кв. км, или 0,20 % от РФ 66 место в РФ
НАСЕЛЕНИЕ Общая численность 1 179,6 тыс. чел., или 0,81 % от РФ 46 место в РФ. Городских жителей 57,25 %. Средняя плотность 34,4 чел. на 1 кв. км
ОБЛАСТНОЙ ЦЕНТР город Тамбов, число жителей - 309,2 тыс. чел.
АДМИНИСТРАТИВНО-ТЕРРИТОРИАЛЬНОЕ ДЕЛЕНИЕ
23 района и 7 городов областного подчинения.
ГЕОГРАФИЧЕСКОЕ ПОЛОЖЕНИЕ
Область расположена в центре Восточно-Европейской равнины, занимает центральную часть Окско-Донской равнины. Граничит с Липецкой, Рязанской, Пензенской, Воронежской, Самарской, Волгоградской областями.
РАССТОЯНИЕ ОТ ТАМБОВА ДО МОСКВЫ 480 км.
КРУПНЕЙШИЕ ГОРОДА И ПРОМЫШЛЕННЫЕ ЦЕНТРЫ
Тамбов, Мичуринск, Моршанск, Рассказово, Котовск.
СЫРЬЕВЫЕ РЕСУРСЫ
Золото, титан, цинк, магниевые руды, кварцевый песок, фосфориты, торф, минеральные краски.
ОСНОВНЫЕ ОТРАСЛИ ПРОМЫШЛЕННОСТИ
Машиностроение, горнодобывающая, пищевая и перерабатывающая, легкая, лесная и деревообрабатывающая химическая, топливная промышленность, промышленность строительных материалов, электроэнергетика, электроника.
СЕЛЬСКОЕ ХОЗЯЙСТВО
Сельскохозяйственные угодья занимают 80% территории области. Выращивают зерновые, технические культуры, развито садоводство. Животноводство имеет мясо-молочную направленность, развито также птицеводство.
ТРАНСПОРТ (железнодорожный)
Проходят линии Москва - Рязань – Мичуринск - Воронеж - Ростов-на-Дону, Ряжск - Моршанск - Пенза, Липецк - Тамбов - Саратов.
КРУПНЕЙШИЕ ПРЕДПРИЯТИЯ АО Электроприбор, АО Моршанская мануфактура, ОАО Русский сахар, ОАО Элтра, ОАО Синтез, ОАО Арти, ОАО Гранит, ЗАО Кирсановский механический завод, ГП Котовский завод пластмасс, ОАО Пигмент.
Приложение 2. Данные государственной статистики по Тамбовской области
| Численность постоянного населения на 1 января, человек, Тамбовская область, на 1 января |
| 2004 |
2005 |
2006 |
2007 |
2008 |
2009 |
| все население |
1193381 |
1174233 |
1158858 |
1144817 |
1130352 |
1117119 |
| городское население |
682479 |
672267 |
664666 |
657869 |
650952 |
644402 |
| сельское население |
510902 |
501966 |
494192 |
486948 |
479400 |
472717 |
| Число родившихся (без мертворожденных), человек, Тамбовская область, значение показателя за год |
| 2005 |
2006 |
2007 |
2008 |
2009 |
| оба пола |
| все население |
9614 |
9940 |
9987 |
9636 |
9217 |
| городское население |
5604 |
5833 |
5927 |
5710 |
5437 |
| сельское население |
4010 |
4107 |
4060 |
3926 |
3780 |
| женщины |
| все население |
4642 |
4817 |
4905 |
4631 |
4545 |
| городское население |
2733 |
2769 |
2932 |
2756 |
2671 |
| сельское население |
1909 |
2048 |
1973 |
1875 |
1874 |
| мужчины |
| все население |
4972 |
5123 |
5082 |
5005 |
4672 |
| городское население |
2871 |
3064 |
2995 |
2954 |
2766 |
| сельское население |
2101 |
2059 |
2087 |
2051 |
1906 |
| Число умерших, человек, Тамбовская область, значение показателя за год |
| 2005 |
2006 |
2007 |
2008 |
2009 |
| оба пола |
| все население |
23386 |
23275 |
21999 |
22050 |
20554 |
| городское население |
12044 |
11809 |
11219 |
11283 |
10556 |
| сельское население |
11342 |
11466 |
10780 |
10767 |
9998 |
| женщины |
| все население |
11252 |
11146 |
10521 |
10290 |
9924 |
| городское население |
5668 |
5601 |
5329 |
5229 |
5139 |
| сельское население |
5584 |
5545 |
5192 |
5061 |
4785 |
| мужчины |
| все население |
12134 |
12129 |
11478 |
11760 |
10630 |
| городское население |
6376 |
6208 |
5890 |
6054 |
5417 |
| сельское население |
5758 |
5921 |
5588 |
5706 |
5213 |
| Естественный прирост населения, человек, Тамбовская область, значение показателя за год |
| 2005 |
2006 |
2007 |
2008 |
2009 |
| оба пола |
| все население |
-13772 |
-13335 |
-12012 |
-12414 |
-11337 |
| городское население |
-6440 |
-5976 |
-5292 |
-5573 |
-5119 |
| сельское население |
-7332 |
-7359 |
-6720 |
-6841 |
-6218 |
| женщины |
| все население |
-6610 |
-6329 |
-5616 |
-5659 |
-5379 |
| городское население |
-2935 |
-2832 |
-2397 |
-2473 |
-2468 |
| сельское население |
-3675 |
-3497 |
-3219 |
-3186 |
-2911 |
| мужчины |
| все население |
-7162 |
-7006 |
-6396 |
-6755 |
-5958 |
| городское население |
-3505 |
-3144 |
-2895 |
-3100 |
-2651 |
| сельское население |
-3657 |
-3862 |
-3501 |
-3655 |
-3307 |
| Число браков, единица, значение показателя за год |
| 2005 |
2006 |
2007 |
2008 |
2009 |
| Тамбовская область |
8383 |
8763 |
7700 |
7861 |
7733 |
| Число разводов, единица, значение показателя за год |
| 2005 |
2006 |
2007 |
2008 |
2009 |
| Тамбовская область |
6784 |
5825 |
4601 |
4222 |
4505 |
|