Тема 5: ТЕОРИЯ ПОТРЕБИТЕЛЬСКОГО ПОВЕДЕНИЯ
Сейчас уже практически ни у кого не вызывает сомнений особая экономическая роль потребителя, который является одним из главных действующих субъектов рыночного механизма.
Именно решения отдельных потребителей о приобретении того или иного товара формируют в конечном счете рыночный спрос.
Выходя на рынок, потребитель ставит перед собой цель максимально удовлетворить свои потребности, получить наивысшую полезность от потребления какого-либо блага.
В данной теме рассматривается модель поведения потребителя, который составляет план поведения в соответствии со своими предпочтениями при заданных ценах на блага и заданном бюджете.
ВОПРОС 1. Полезность: совокупная и предельная. Потребительские предпочтения.
Потребительское поведение – это процесс формирования спроса отдельного потребителя на различные товары и услуги.
Поведение индивидуальных потребителей зависит от того, как удовлетворяются их потребности теми благами, которые они приобретают на рынке.
Благо в теории потребления – это любой объект потребления, способный доставить определенное удовлетворение потребителю, то есть повысить уровень его благосостояния.
Благами могут выступать как предметы, так и действия (в рыночной экономике в данной связи различаются товары и услуги). Важно отметить, что при этом не делается различия между благами материального и нематериального характера.
Экономические решения при выборе благ продиктованы желанием покупателя достичь наибольшей выгоды при имеющихся возможностях.
Эта выгода, представляющая степень удовлетворения потребностей, называется полезностью (
U
–
utility
).
Но здесь необходимо сделать два замечания:
1) понятия «полезность» и «польза» не являются синонимами.
Например, произведения живописи могут быть бесполезными с практической точки зрения, но они обладают полезностью, т.к. удовлетворяют наши потребности в положительных эмоциях.
2) полезность – это не объективное свойство блага, а субъективное отношение людей к ним.
Полезность одного и того же блага может быть разной для разных людей – например, очки для людей с испорченным зрением и для людей со здоровыми глазами; лыжи для людей Севера и Юга.
Забиваем Сайты В ТОП КУВАЛДОЙ - Уникальные возможности от SeoHammer
Каждая ссылка анализируется по трем пакетам оценки: SEO, Трафик и SMM.
SeoHammer делает продвижение сайта прозрачным и простым занятием.
Ссылки, вечные ссылки, статьи, упоминания, пресс-релизы - используйте по максимуму потенциал SeoHammer для продвижения вашего сайта.
Что умеет делать SeoHammer
— Продвижение в один клик, интеллектуальный подбор запросов, покупка самых лучших ссылок с высокой степенью качества у лучших бирж ссылок.
— Регулярная проверка качества ссылок по более чем 100 показателям и ежедневный пересчет показателей качества проекта.
— Все известные форматы ссылок: арендные ссылки, вечные ссылки, публикации (упоминания, мнения, отзывы, статьи, пресс-релизы).
— SeoHammer покажет, где рост или падение, а также запросы, на которые нужно обратить внимание.
SeoHammer еще предоставляет технологию Буст, она ускоряет продвижение в десятки раз,
а первые результаты появляются уже в течение первых 7 дней.
Зарегистрироваться и Начать продвижение
О происхождении самого термина «полезность».
Его придумал и ввел в экономический оборот англ. Философ и социолог Иеремия Бентам (1748-1832г.г.). Он изучал английское законодательство и пришел к идее его реформирования по принципу «наибольшее благо для наибольшего числа». Бентам искал слова для выражения понятия максимального блаженства.
Все обычные слова, такие как «удовольствие», «удовлетворение», «счастье», по его мнению , не подходили. И он придумал слово «полезность», и организовал общественное движение под названием «утилитаризм», призванное способствовать распространению этой идеи.
Пройдя через века этот термин утратил свой первоначальный смысл и сегодня экономисты используют это понятие для определения цели, к которой стремится потребитель, осуществляя выбор среди экономических благ.
Различают общую и предельную полезность.
Общая полезность – это удовлетворение, которое потребители получают от потребления определенного набора благ.
Предельная полезность (
MU
) – это величина добавочной, дополнительной полезности, которую получает потребитель от использования еще одной единицы блага (при прочих равных условиях).
Например, если кто-то собирает фильмотеку – общую полезность будет характеризовать весь набор дисков и эта полезность будет возрастать с покупкой каждого нового диска.
Предельная полезность – это то удовлетворение, которое некто будет получать от последней покупки очередного диска.
Графически общая и предельная полезность могут быть представлены следующим образом:

Т.о., функция общей полезности имеет возрастающий характер, т.е. каждая дополнительная единица блага увеличивает общую полезность до некоторой точки насыщения.
Каждая следующая единица приносит меньшее увеличение общей полезности, чем предыдущая. По мере увеличения количества потребляемого блага его предельная полезность имеет тенденцию к уменьшению.
Появляется вопрос о том, как можно измерить величину предельной полезности?, то есть определить, насколько увеличилось или уменьшилось удовлетворение потребителя от приобретения дополнительной единицы блага.
Экономисты уже много лет пытаются это сделать и пока безуспешно. Но все же некоторые подходы в решении этого вопроса существуют.
В поисках единицы количественного измерения предельной полезности благ выделилось два направления:
Первое
– кардиналистское, когда каждый потребитель может выразить свое желание приобрести некоторое благо посредством количественной оценки этого блага.
Сервис онлайн-записи на собственном Telegram-боте
Попробуйте сервис онлайн-записи VisitTime на основе вашего собственного Telegram-бота:
— Разгрузит мастера, специалиста или компанию;
— Позволит гибко управлять расписанием и загрузкой;
— Разошлет оповещения о новых услугах или акциях;
— Позволит принять оплату на карту/кошелек/счет;
— Позволит записываться на групповые и персональные посещения;
— Поможет получить от клиента отзывы о визите к вам;
— Включает в себя сервис чаевых.
Для новых пользователей первый месяц бесплатно.
Зарегистрироваться в сервисе
Авторами количественной теории полезности, исходящей из гипотезы о возможности прямого измерения полезности различных благ, являются У.Джевонс, К.Менгер и Л.Вальрас. Эта теория была разработана ими в 70-х гг. ХIХ в. К ней благосклонно относились многие экономисты, в том числе и А.Маршалл. Были и противники, которые соглашались с правильностью ее принципиальных положений, но отмечали ряд недостатков. Основной недостаток - невозможность использования теории на практике из-за отсутствия надежного и объективного инструмента измерения субъективной полезности благ.
Для этого они вводят специальную единицу измерения – ютиль
.
Общая полезность измеряется по формуле:
TU = ∑ ui
,
где ui
– полезность i– той единицы блага в ютилах; n– количество единиц данного блага.
Предельная полезность рассчитывается по формуле: MU = ∆TU/∆Q.
Второе направление
– ординалистское. С его помощью можно выяснить уменьшается или увеличивается степень удовлетворения потребителя, но нельзя определить саму эту степень удовлетворения.
Порядковая теория полезности, предложенная В.Парето и И.Фишером позволила преодолеть противоречия, с которыми столкнулась количественная теория.
Порядковый подход основан на менее жестких предпосылках, чем количественный. Он не требует измерения полезности в абсолютных единицах.
Если вернуться к примеру с домашней видеотекой: будет ли одинаковой в процессе ее формирования полезность 10-го диска и 54-го?. Очевидно, что нет. Так по мере накопления дисков острота потребности будет падать. Соответственно, полезность 54-го диска будет меньше, чем 10-го.
На основе порядкового подхода можно сделать следующий вывод:
полезность блага
зависит от количества потребляемых единиц этого блага.
Это можно записать в виде следующей функции: U = ƒ (х), где х – количество единиц потребляемого блага.
Если потребление других благ остается неизменным, то по мере насыщения потребности в этом благе удовлетворение от потребления последующей его единицы снижается.
Это относится ко всем товарам и рассматривается как закон убывающей предельной полезности.
Теоретическое обоснование принцип убывающей предельной полезности находит в основном психо-физиологическом законе Вебера-Фехнера, согласно которому раздражения равной интенсивности, повторяющиеся в течение определенного времени, сопровождаются снижением интенсивности ощущений (макивара – доска, обмотанная рисовой соломой; футболисты, хоккеисты).
Снижение предельной полезности связано с уменьшением субъективной оценки потребителем единицы блага, когда возрастает количество приобретаемых единиц этого блага.
Иными словами, чем большее количество продукта приобретают потребители, тем меньше их стремление к получению дополнительных единиц этого же продукта.
Наиболее наглядно это видно на примере товаров длительного пользования. Например, если человек не имеет компьютер, потребность в нем может быть очень большой. Желание иметь 2-ой компьютер уже ослабевает.
Порядковый подход базируется на нескольких
аксиомах
, которые остаются в силе для большинства людей в большинстве ситуаций.
1. Аксиома полной упорядоченности предпочтений
: потребитель всегда может сказать, как он относится к сравниваемым наборам благ. Это означает, что либо он предпочитает один набор другому, либо они для него равнозначны.
Поэтому для любых 2-х наборов А и В всегда могут быть 3 варианта:
а) А > В - А предпочтительнее набора В;
б) А < В - А менее предпочтительнее В;
в) ≈ В?А - потребителю все равно, он безразличен в выборе.
Говоря об упорядоченности предпочтений, как и в последующих аксиомах, следует иметь в виду, что игнорируется стоимость приобретаемых наборов. Если набор А предпочтительнее набора В , это вовсе не означает, что стоимость набора А меньше стоимости набора В. Мы можем предпочитать отдых на Багамах, но на каникулах поедем в деревню к родственникам, т.к. это дешевле.
2. Аксиома транзитивности предпочтений
: то есть предпочтения потребителя последовательны и всегда можно перенести предпочтения с одного набора благ на другой.
Если А > В, а В > С, то → А > С;
Если А ≈ В, а В ≈ С, то → А ≈ С.
Если «Жигули» предпочтительнее «Москвича», а «Москвич» предпочтительнее «Оки», то «Жигули» предпочтительнее «Оки».
3. Аксиома ненасыщаемости потребностей
: все товары желательны, но не учитывая их стоимости потребители всегда предпочитают большее количество любого товара меньшему.
Если набор А включает большее количество товаров, чем набор В, то он будет предпочтительнее. То есть, лучше то, что больше.
4. Аксиома независимости потребителя:
удовлетворения потребителя зависит только от количества потребляемых им благ, и не зависит от количества благ, потребляемых другими.
5. Аксиома рефлексивности:
при наличии двух одинаковых наборов благ потребитель считает, что любой из них не хуже другого.
Под все эти аксиомы не подходят антиблага – блага, обладающие отрицательной полезностью, когда потребление этого антиблага не увеличивает, а сокращает уровень благосостояния данного потребителя (например, потребление наркотиков, трансгенных продуктов и т.д.).
Но в теории потребления анализируется поведение разумного, рационального человека, который стремится максимизировать общую полезность.
ВОПРОС 2. Кривые безразличия. Карта безразличия.
При порядковом подходе для исследования поведения потребителей пользуются понятием кривой и карты безразличия.
Этот метод был предложен итальянским ученым В.Парето в начале ХХ в., а затем в 1939 г. был дополнен англ. экономистом Дж. Хиксом.
В основе метода лежит геометрическое совмещение 2-х типов кривых – так называемой бюджетной линии и собственно, кривых безразличия.
Недостаток графических методов – двухмерность пространства. Поэтому анализ ограничивается двумя благами в наборе. Но основные выводы распространяются на любое количество товаров в наборе.
Если выполнены все аксиомы, то потребитель может всегда указать, что два набора либо равноценны, либо один набор предпочтительнее другого.
Эта информация может потом использоваться для классификации всех возможностей потребительского выбора.
Чтобы показать это графически, предположим, что имеется только 2 товара:
(1) – одежда (Х) и
(2) – продукты питания (У), доступные для потребителя.
Наборы дадут сочетание продуктов питания и одежды, которые человек захочет приобрести.
Покажем эти наборы на графике. Набор А
( 20х; 30y) предпочтительнее набора Е (10х; 20 y).

Набор Д (30х; 40у ) предпочтительнее набора А (20х; 30у) – исходя из аксиомы ненасыщаемости.
Так можно сравнить все наборы на заштрихованных участках с набором А, так как они содержат или больше, или меньше товаров Х и У.
Но сравнение набора А с наборами В и С требует большей информации об их оценке потребителем, т.к. набор В содержит больше товаров У, но меньше товаров Х, чем набор А; а набор С – наоборот.
Эту дополнительную информацию дает график кривой безразличия, которая проходит через точки В, А, С.
Кривая безразличия
– это совокупность потребительских наборов, которые обеспечивают одинаковый уровень удовлетворения потребностей.
Потребитель безразличен к выбору наборов, которые представлены на кривой. Они равноценны.
То есть, потребитель не чувствует себя ни лучше, ни хуже, отказавшись от 3 единиц продуктов питания (из В в А) и получив 2 единицы одежды. Точно также он может отказаться от 1,5 единиц продуктов питания, чтобы получить 3 единицы одежды, перемещаясь от набора А к С.
Кривая безразличия имеет следующие свойства
:
1) Она всегда имеет отрицательный наклон.
Объясняется это тем, что для потребителя товары Х и У обладают определенной полезностью, и чтобы переходя от набора В к набору А сохранить общую полезность, увеличить потребление товара Х можно только при условии сокращения потребления товара У.
Иными словами, между двумя наборами благ существует обратная зависимость. А любая кривая, выражающая обратную связь переменных имеет нисходящий вид.
Отрицательный наклон кривой безразличия можно доказать еще иначе: предположим, что кривая безразличия идет вверх → от А к Д.
Но тогда это противоречит предположению, что, чем больше товаров в наборе, тем лучше.
Так как набор Д содержит больше и продуктов питания, и одежды, чем набор А, его должны предпочесть набору А и, следовательно, он не может находиться на той же кривой безразличия, что и А.
2) Кривая всегда вогнута по отношению к началу координат и по мере удаления от середины она становится менее крутой.
Это говорит о том, что готовность потребителя к замещению одного товара другим по мере перемещения вверх по кривой уменьшается.
Например, если мы будем рассматривать набор В.
Для потребителя продукты питания более ценный товар, чем одежда.
Чтобы увеличить потребление одежды, он должен заплатить сокращением потребления продуктов питания. Перемещаясь по кривой потребитель готов отдать все меньше и меньше товара У для увеличения Х.
Поэтому кривая безразличия вогнута, то есть неравномерна по готовности замещения одного товара другим.
Названные характеристики относятся к кривой безразличия, если оба товара являются нормальными благами.
Но возможны несколько частных случаев:
А) оба товара являются антиблагами (
MU
<0)
Б) оба товара являются нейтральными. Добавление в набор одного из них не изменяет общей полезности, а
MU
= 0.
В) набор смешанного типа, когда при малом объеме потребления (А) товары являются благами, а при большом – антиблагами.
Практически все пищевые продукты относятся к такому типу: начиная с некоторого момента наступает «переедание» и потребление дополнительной единицы продукта сокращает общую полезность (например, мороженое).
Г) блага, образующие комплект
(например, левый и правый сапог. MU=1).
Люди всегда идут на компромиссы, когда делают выбор между товарами. Чтобы количественно определить объем товара, которым потребитель готов пожертвовать ради другого, рассчитывается показатель предельной нормы замещения одного товара другим (MRSx
,
y
).
MRSx
,
y
- это норма, в соответствии с которой одно благо можно заменить на другое без изменения общей полезности набора.
Чтобы сделать дальнейшие выводы, построим график и рассчитаем MRS.

Двигаясь от набора В к набору А потребитель готов
отказаться от -2 единиц товара У, чтобы на единицу
увеличить потребление товара Х → MRS = (30 – 50) / (20 – 10) = - 2/1
от набора А к С: предельная норма замещения (MRS)
равна -1 и т.д.
Из расчетов можно сделать следующие выводы:
(СЛАЙД 4)
1) алгебраические значения
MRS
всегда отрицательны, т.к. абсолютные приращения ∆Х и ∆У имеют разные знаки;
2) величина
MRS
зависит от конкретной точки кривой безразличия, где проводится измерение
MRS
;
3) величина
MRS
в конкретной точке определяется наклоном касательной, проведенной к кривой безразличия в этой точке (через
tg
угла).
По мере продвижения по кривой безразличия вниз или верх абсолютные значения
MRS
начинают уменьшаться. Это отражает правило уменьшающейся
MRS
:
чем меньше единиц одного блага имеет человек, тем труднее ему отказаться от еще одной дополнительной единицы этого блага и тем больше потребуется другого блага, чтобы компенсировать потерю первого.
Предельную норму замещения вдоль кривой безразличия можно связать с предельными полезностями товаров Х и У
.
Изъятие товара У в размере - ∆У из набора приносит потребителю ущерб. Потеря полезности составит -∆У * MUy. Утраченная полезность должна быть возмещена приростом полезности за счет увеличения потребления товара Х, то есть ∆Х*MUх. И тогда →
-∆Y * MUy = - ∆Х * MUx
-∆Y/ ∆Х = MUx / MUy = MRSx,y
Кривая безразличия может быть проведена через точку, соответствующу. Любому набору на графике.
Набор кривых безразличия образует
карту безразличия
– она представляет способ описания предпочтений потребителя.
Свойства карты безразличия:
1) каждая кривая безразличия на карте соответствует различной величине совокупной полезности ;
2) кривые безразличия не пересекаются.
Чтобы доказать это, предположим обратное: две кривые безразличия пересекаются в точке С, она общая для обеих кривых.
Поскольку набор С находится на кривой U1
, потребитель не будет различать набор А и К ( Uк
= Uа
).
Аналогично - набор А на кривой U2
вместе с набором С, поэтому потребитель не будет делать различия между А и С ( Ua
= Uc
).
Отсюда вытекает, что потребитель также не различает К и А, то есть
Uс
= Uк
Uс
= Uа
→ Uс
= Uк
= Uа.
А по графику полезность набора К больше полезности набора А, чего не может быть.
ВОПРОС 3. Бюджетные ограничения.
Кривые безразличия отражают систему предпочтений индивидуума, но для анализа потребительского выбора необходимо учесть ограниченность ресурсов (а именно бюджета).
Все доступные конкретному покупателю товарные наборы могут быть выражены с помощью бюджетной линии, если ее поместить в ту же систему координат, что и кривую безразличия.
Предположим, потребитель располагает доходом в 40 ден.ед., которые он может потратить на одежду и питание за определенный фиксированный отрезок времени.
| Наборы благ |
Питание (Х)
Рх
= 1
|
Одежда (У)
Ру
= 2
|
Общий расход |
| А |
0 |
20 |
40 |
| В |
10 |
15 |
40 |
| С |
20 |
10 |
40 |
| Д |
30 |
5 |
40 |
| Е |
40 |
0 |
40 |
Отложим все значения таблицы на осях Х и У, соединим точки А и Е прямой линией.

Полученная прямая носит название бюджетной линии или линии бюджетного ограничения
(АВСДЕ).
Каждая точка бюджетной линии показывает, какой набор товаров Х и У может приобрести покупатель, располагая ограниченным бюджетом.
Уравнение бюджетной линии имеет вид:
I
= Рх
* Х + Ру
* У, ( 1 )
где
I
– доход потребителя,
Рх
– цена товара Х,
Ру
– цена товара У,
Х – количество приобретаемых единиц товара Х,
У - количество приобретаемых единиц товара У.
Для исследования свойств бюджетной линии уравнение (1) запишем как уравнение прямой линии: у = а – вх →
У =
I
/ Ру
– Рх / Ру
* Х(2 )
Свойства бюджетной линии:
1)
I
/ Ру
– это точка пересечения бюджетной линии с осью У. Она показывает максимально возможный объем потребления товара У.
2) Рх
/ Ру
– угловой коэффициент бюджетной линии, который является отрицательным соотношением цен 2-х товаров. Его величина показывает норму замещения товаров, при условии, что общая сумма денег, затраченных на покупки, остается неизменной (
MRS
= - Рх
/ Ру
).
3) При изменении дохода потребителя бюджетная линия смещается параллельно вверх-вправо или вниз-влево (при условии, что цены товаров Х и У остаются неизменными).
Из уравнения линейной функции следует, что при изменении дохода меняется длина отрезка, отсекаемого на оси ординат, но угол наклона остается неизменным, так как цена ни одного из товаров не изменяется.
Поэтому при изменении дохода происходит параллельный сдвиг линии влево или вправо в зависимости от того увеличивается или уменьшается доход.
4) Изменение цены товара Х сместит бюджетную линию вдоль оси Х либо по, либо против часовой стрелки, не изменяя точки ее пересечения с осью У (аналогично, если меняется цена товара У).
Предположим, цена товара Х сократилась, а цена товара У и доход потребителя остались неизменными. Тогда отрезок , отсекающий на оси ординат остается неизменным, а угловой коэффициент изменяется (уменьшается).

ВОПРОС 4. Оптимальный выбор потребителя.
Цель любого потребителя – осуществлять покупки таким образом, чтобы обеспечить себе максимум полезности в рамках своего бюджетного ограничения.
Чтобы достичь оптимума, необходимо выполнение 2-х условий:
1) Оптимальный набор должен находиться на бюджетной линии.
Если мы будем рассматривать любой набор, расположенный ниже бюджетной линии, то часть дохода потребителя останется неизрасходованной. Можно предположить, что потребители откладывают часть дохода для будущего потребления.
Но это означает, что выбор сделан не просто между товарами Х и У, а между этими товарами в настоящем и в будущем. Но здесь мы упрощаем ситуацию, предполагая что весь доход расходуется в настоящее время.
Любой набор, расположенный выше бюджетной линии, не может быть закуплен, так как это не позволяет сделать ограниченный бюджет.
2) Этот набор должен предоставить потребителю наиболее желаемое сочетание товаров и услуг.
Исходя из этого на бюджетной линии необходимо найти точку, где потребности покупателя удовлетворяются максимально.
Графически проиллюстрируем решение проблемы потребительского выбора.

Любой набор потребительских благ, находящийся на кривой безразличия (3), обеспечивал бы потребителю самую высокую степень удовлетворения потребностей. Но ни один из них недоступен, так как бюджетная линия лежит ниже кривой.
Рассмотрим кривую безразличия (1). Набор (А), хотя и соответствует полному использованию бюджета, все равно не является наиболее предпочтительным выбором, потому что перераспределение дохода, при котором больше тратится на товар Х и меньше на товар У, может увеличить степень удовлетворения потребностей (полезность наборов Е,В,С одинакова).
Передвигаясь к набору (Е), потребитель расходует то же количество денег и достигает более высокого уровня удовлетворения потребностей.
Следовательно, именно набор (Е) максимизирует удовлетворение потребностей покупателя.
Набор, обеспечивающий максимальное удовлетворение потребностей при ограниченном бюджете должен находиться в точке касания кривой безразличия с бюджетной линией (набор Е).
В точке (Е) наклон бюджетной линии совпадает с наклоном кривой безразличия.
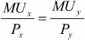
Наклон кривой безразличия определяется путем проведения касательной к точке (Е) – это MRS= MUx / MUy.
Наклон бюджетной линии равен соотношению цен товаров Х и У – (Рх/Ру) → или 
– это
уравнение показывает, что максимизируя полезность, потребитель приобретает 2 товара таким образом, что их предельные полезности в расчете на одну денежную единицу равны.
Потребитель не всегда принимает решение купить каждый из имеющихся на рынке товаров. Иногда потребление некоторых товаров сводится к минимуму, или вообще равно нулю
(например, некоторые люди совсем не тратят денег на путешествия и развлечения).
Равновесие потребителя, при котором один из товаров не потребляется вообще, называется угловым равновесием.
MRS
в таком случае не равна соотношению цен товаров.

ВОПРОС 5. Реакция потребителя на изменение цены. Эффект дохода и эффект замещения.
Предположим, что цена товара Х изменяется (например, снижается), а цена товара У и доход остаются неизменными.
Каждое снижение цены товара Х поворачивает бюджетную линию против часовой стрелки до нового пересечения с осью Х. По мере того, как бюджетная линия приобретает меньший наклон, покупатель приобретает больше единиц товара Х, сокращая для себя предельную полезность этого товара, чтобы уравнять ее с новой, более низкой ценой.
Кривая, соединяющая все точки равновесия потребителя, когда цена одного товара изменяется, а цена другого товара и доход неизменны называется кривой «цена – потребление» (РС).
Эта линия для различных видов благ имеет разный наклон.
Для взаимодополняемых товаров она имеет положительный наклон.
Это означает, что с изменением цены одного товара потребление другого увеличивается.
Для товаров-заменителей – отрицательный наклон.
Со снижением цены одного товара, потребление другого уменьшается.
Для нейтральных товаров – горизонтальна или вертикальна.
При изменении цены одного товара потребление другого остается неизменным.
Линия «цена – потребление» может быть использована для построения кривой индивидуального спроса.

На графике точки на оси ОХ показывают
количество товара Х, которое потребитель
мог бы купить, если бы он потратил весь
свой доход только на этот товар.
По этим точкам можно подсчитать цену
на товар Х.
Начнем с бюджетной линии (1). Цена товара
Х равна ( Рх = I /Х ), то есть это доход
потребителя, разделенный на количество
товара Х, которое он мог бы купить, если бы
потратил весь доход на него.
И тогда бюджетное ограничение можно записать так: I
= Рх * Х + 0 →
Рх =
I
/ Х.
Такие же расчеты можно сделать для бюджетной линии (2 и 3). Соответствующие объемы товара Х и цены переносятся на график. Точки соединяются и мы получаем кривую индивидуального спроса.
При снижении цены товара возникает два эффекта: эффект дохода и эффект замещения.
Эффект дохода выражается в том, что со снижением цены товара Х, реальный доход потребителя возрастает и он на прежнюю сумму денег может приобрести большее количество товара Х.
А эффект замещения приводит к тому, что более дорогие товары вытесняются более дешевым товаром Х.
Общий эффект изменения цены будет выражаться в изменении объема спроса, равного сумме эффекта дохода и эффекта замещения.
Предположим, что первоначально
бюджетная линия имела вид IА.
Потребитель максимизирует
полезность за счет набора Е1,
достигая таким
образом уровня полезности,
соответствующего кривой
безразличия U1
.
Предположим, что цена товара Х
снизилась.
Произойдет перемещение бюджетной линии, которое состоит из 2-х этапов.
На первом этапе
потребитель в силу того, что товар Х стал более дешевым, замещает им все остальные товары.
Поскольку общая полезность при этом не меняется, то бюджетная линия будет скользить по кривой безразличия U1
и займет положение СD.
Точка равновесия переместится в E'
.
На втором этапе
бюджетная линия СD сместится параллельно вверх до положения IB, так как реальный бюджет потребителя увеличится в результате действия эффекта дохода.
За счет этого эффекта потребление товара Х возрастает .
Точка E2
будет новой точкой равновесия потребителя, через которую пройдет кривая безразличия U2
.
Общий эффект будет представлен увеличением потребления товара.
Так выглядит ситуация, если оба товара являются нормальными.
Если товар низкокачественный
, то эффект дохода отрицательный, так как потребление таких товаров обычно с ростом дохода сокращается.
Но отрицательный эффект дохода редко бывает достаточно большим, чтобы перекрыть эффект замещения.
Поэтому в итоге, когда снижается цена низкокачественного товара, его потребление тем не менее почти всегда растет.
Для товаров Гиффена эффект дохода может быть очень большим.
Снижение цены товара Х высвобождает достаточную часть дохода и теперь потребитель может больше тратить на другие товары и меньше на товар Х.
Но товар Гиффена должен быть
одновременно и низкокачественным и в то
же время таким, на который потребитель
тратит большую часть своего дохода.
Но такие товары, на которые потребитель
расходует относительно высокую долю
дохода – транспорт, жилье, одежда –
не могут рассматриваться как
некачественные.
Товары же, которые потребитель может
считать некачественными – дешевый хлеб,
картофель – не могут отнимать у него
большую часть дохода.
Поэтому в настоящее время все труднее и труднее найти примеры товаров Гиффена и очень маловероятно, что парадокс Гиффена сейчас имеет место.
ВОПРОС 6 . Реакция потребителя на изменение дохода.
Решение потребителя приобрести товар определяется не только ценой, но и доходом. Изменение дохода ведет к параллельному смещению линии бюджетного ограничения. В результате этого устанавливается новое равновесие потребителя.
Кривая, проходящая через все точки равновесия, соответствующие разным величинам дохода, называется линией «доход – потребление» (
I
С).
Она показывает, как потребительский набор, состоящий из товаров Х и расходов на другие товары, изменяется в зависимости от дохода. Эта кривая также в зависимости от видов благ имеет разный наклон.
Для нормальных товаров эта линия имеет положительный наклон.
Для нейтральных – она горизонтальна.
Для некачественных товаров – отрицательный наклон.
Следует иметь в виду, что отнесение товаров к нормальным и некачественным зависит от предпочтений покупателей, то есть это чисто субъективное понятие.
Поэтому при переходе от одних групп потребителей к другим оценка одного и того же товара может измениться даже на противоположную.
Например, товары, которые потребители часто считают некачественными – это низкосортное мясо (требуха), подержанные автомобили, мебель, одежда.
Для многих обеспеченных людей некачественной услугой является пользование общественным транспортом. Но в то же время, многие из них при увеличении дохода предпочитают собственному автомобилю такси при передвижении на короткие расстояния и самолет – при передвижении на дальние расстояния. А во Флоренции одним из самых дорогих блюд является «Требуха по Флорентийски» - его готовят в самых дорогих ресторанах.
Линия «доход – потребление» может быть использована для построения кривой Энгеля, которая показывает соотношение между доходом покупателя и количеством приобретаемого товара Х.
Она названа так в честь немецкого экономиста и статистика Эрнста Энгеля, исследовавшего такие взаимосвязи.
Строится она также как и кривая индивидуального спроса. Только по оси ординат вместо цены будет доход.
Наклон кривой Энгеля может быть выражен так: ∆
I
/ ∆
Q
.
Форма кривой Энгеля может быть разной:

А) для некачественных товаров; б) для нормальных; в) для нейтральных

В исследованиях Энгеля в области соотношения между доходами и объемами покупок выведены определенные закономерности, которые позже стали известны как «законы Энгеля».
Согласно его исследованиям, при данных ценах доля расходов на продукты питания по мере роста дохода сокращается. В то же время растет доля расходов на услуги (медицина, образование).
|