ФЕДЕРАЛЬНОЕ АГЕНТСТВО ПО ОБРАЗОВАНИЮ РФ
Государственное образовательное учреждение
высшего профессионального образования
МОСКОВСКИЙ ГОСУДАРСТВЕННЫЙ ИНДУСТРИАЛЬНЫЙ
УНИВЕРСИТЕТ
(ГОУ МГИУ)
КАФЕДРА «БЖД и ПЭ»
КУРСОВОЙ ПРОЕКТ
По дисциплине "Экология"
Загрязнение окружающей среды
Преподаватель: Лукашина Г.В.
Студент: Трибендис О.Н. Факультет: ЭМиИТ
Группа: 08М31п
Вариант: № 24
Содержание
Введение
1. Нормирование качества окружающей среды.
2. Проектная часть
2.1 Расчет загрязнения атмосферы от организованного высокого источника выбросов(плавильный агрегат литейного производства)
2.1.1 Расчет массы выбросов загрязняющих веществ
2.1.2 Определение максимальных приземных концентраций загрязняющих веществ
2.1.3Определение предельно допустимых выбросов (ПДВ)
2.1.4Определение размеров санитарно-защитной зоны (СЗЗ)
2.1.5 Определение категории опасности предприятия
2.2 Определение предотвращенного экологического ущерба
2.2.1 Водные ресурсы
2.2.2 Атмосферный воздух
2.2.3 Земельные ресурсы
Заключение
Выводы по расчетам (раздел 2.1.)
Выводы по расчетам (раздел 2.2.)
Список литературы
Введение
Главнейшим и наиболее распространенным видом отрицательного воздействия человека на биосферу является ее загрязнение, т.е. поступление в окружающую природную среду любых твердых, жидких и газообразных веществ, микроорганизмов или энергии в виде звуков, шумов, излучений в количествах, вредных для здоровья человека, животных, состояния растений и экосистем. Источниками антропогенного загрязнения являются промышленные предприятия, предприятия теплоэнергетики, транспорт, сельскохозяйственное производство и другие объекты.
Воздействие человека на биосферу достигло к настоящему времени беспрецедентных размеров. Современное состояние планеты оценивается как приближенное к глобальному кризису. Особенно возросли темы роста загрязнений, причем не только в количественном, но и в качественном отношении.
1. Нормирование качества окружающей среды
Принцип нормирования качества окружающей природной среды положен в основу всех природоохранных мероприятий, что означает установление нормативов предельно допустимых воздействий человека на окружающую природную среду или качества природной среды. Соблюдение экологических нормативов обеспечивает экологическую безопасность населения, сохранение генетического фонда человека, растений и животных, рациональное использование и воспроизводство природных ресурсов в условиях устойчивого развития.
Забиваем Сайты В ТОП КУВАЛДОЙ - Уникальные возможности от SeoHammer
Каждая ссылка анализируется по трем пакетам оценки: SEO, Трафик и SMM.
SeoHammer делает продвижение сайта прозрачным и простым занятием.
Ссылки, вечные ссылки, статьи, упоминания, пресс-релизы - используйте по максимуму потенциал SeoHammer для продвижения вашего сайта.
Что умеет делать SeoHammer
— Продвижение в один клик, интеллектуальный подбор запросов, покупка самых лучших ссылок с высокой степенью качества у лучших бирж ссылок.
— Регулярная проверка качества ссылок по более чем 100 показателям и ежедневный пересчет показателей качества проекта.
— Все известные форматы ссылок: арендные ссылки, вечные ссылки, публикации (упоминания, мнения, отзывы, статьи, пресс-релизы).
— SeoHammer покажет, где рост или падение, а также запросы, на которые нужно обратить внимание.
SeoHammer еще предоставляет технологию Буст, она ускоряет продвижение в десятки раз,
а первые результаты появляются уже в течение первых 7 дней.
Зарегистрироваться и Начать продвижение
К санитарно-гигиеническим нормативам относятся предельно допустимая концентрация вредных веществ (ПДК) и допустимый уровень физических воздействий – шума, вибрации, ионизирующих излучений и др.
ПДК – представляет собой такое количество загрязняющего вещества в единице объема или массы почвы, воздуха или воды, которое при постоянном или временном воздействии на человека не влияет на его здоровье и не вызывает неблагоприятных последствий у его потомства. В настоящее время в России действуют более 1900 нормативов ПДК вредных химических веществ для водной среды, более 500 для атмосферного воздуха и более 130 для почв.
Для нормирования содержания загрязняющих веществ в атмосферном воздухе установлены два норматива – максимально разовая и среднесуточная ПДК.
Максимально разовая ПДК (ПДКмр) – это такая концентрация вредного вещества в воздухе, которая не должна вызывать при вдыхании его в течение 20 минут рефлекторных реакций в организме человека.
Среднесуточная ПДК (ПДКсс) – это такая концентрация вредного вещества в воздухе, которая не должна оказывать на человека прямого или косвенного вредного воздействия при неопределенно долгом воздействии.
Предельно допустимый выброс (ПДВ) или сброс (ПДС) – это максимальное количество загрязняющих веществ, которое в единицу времени разрешается выбрасывать данному конкретному предприятию в атмосферу или сбрасывать в водный объект, не вызывая при этом превышения в них предельно допустимых концентраций загрязняющих веществ и неблагоприятных экологических последствий.
В данном курсовом проекте рассмотрим организованный источник выбросов на примере плавильного агрегата литейного цеха:
- определим концентрацию трех вредных веществ (взвешенные вещества, углерода окись, аммиак) в приземном слое воздуха, установим по ним ПДВ, размеры санитарно-защитных зон и определим класс опасности предприятия;
- определим величину предотвращенного экологического ущерба по водным ресурсам, атмосферному воздуху, земельным ресурсам.
2. Проектная часть
2.1 Расчет загрязнения атмосферы от организованного высокого источника выбросов (плавильный агрегат литейного производства)
2.1.1 Расчет массы выбросов загрязняющих веществ
2.1.2 Определение максимальных приземных концентраций загрязняющих веществ
Исходные данные:
Сервис онлайн-записи на собственном Telegram-боте
Попробуйте сервис онлайн-записи VisitTime на основе вашего собственного Telegram-бота:
— Разгрузит мастера, специалиста или компанию;
— Позволит гибко управлять расписанием и загрузкой;
— Разошлет оповещения о новых услугах или акциях;
— Позволит принять оплату на карту/кошелек/счет;
— Позволит записываться на групповые и персональные посещения;
— Поможет получить от клиента отзывы о визите к вам;
— Включает в себя сервис чаевых.
Для новых пользователей первый месяц бесплатно.
Зарегистрироваться в сервисе
№ вар.
|
Размещение
|
Выплавка
|
Условия
плавки
|
Высота трубы Н, м
|
Диаметр устья трубы Д, м |
Скорость выхода вещества W0, м/с |
Т, 0С
|
Коэффициент рельефа местности, |
24
|
Азов
|
стали
|
легирован. сталь |
8,2
|
0,61
|
12,8
|
19
|
1,2
|
Исходные данные и удельное выделение вещества на единицу продукции кг/м.
|
| Производительность печи, Д т/ч |
Эффективность пылеочистки, |
Эффективность газоочистки, |
Взвешенные вещества |
Углерода окись |
Хлороводород
|
19
|
0,79
|
0,77
|
22,01
|
0,86
|
0,84
|
Рассчитать массу выбросов загрязняющих веществ плавильного агрегата литейного цеха. Определить концентрацию вредных веществ в приземном слое воздуха от организованного источника выбросов промышленного предприятия. Установить значение ПДВ, размеры СЗЗ. Определить класс опасности данного предприятия. По результатам расчетов дать заключение.
Решение данной задачи производится в несколько этапов.
Этап 1. Расчет массы выбросов плавильного агрегата литейного производства.
Расчет выбросов i – го вещества при работе плавильного агрегата производится по формуле:
Mi = qi Д β (1-η) кг/ч,
где:
q
– удельное выделение вещества на единицу продукции, кг/т;
Д
– расчетная производительность агрегата, т/ч;
β
- поправочный коэффициент для учета условий плавки;
η
- эффективность пылеочистки или газоочистки. Принимается условно в долях единицы.
Решение:
Mi = qi Д β (1-η) кг/ч,
Mвв
= 22,01 · 19 · 0,85 · (1- 0,79) = 74,65 кг/ч → 20,74 г/с
MСО
= 0,86 · 19 · 0,85 · (1-0,77) = 3,2 кг/ч → 0,89 г/с
MHCL
= 0,84 · 19 · 0,85 · (1-0,77) = 3,12 кг/ч → 0,87 г/с
Этап 2. Определение приземной концентрации загрязняющих веществ.
В отходящих дымовых газах литейного производства по каждому загрязняющему веществу определяем максимальную приземную концентрацию.
Максимальное значение приземной концентрации вредного вещества См (мг/м3
) при выбросе газовоздушной смеси из одного точечного источника с круглым устьем достигается при неблагоприятных метеорологических условиях на расстоянии Хm
(м) от источника и определяется по формуле:
где:
А – коэффициент, зависящий от температуры стратификации атмосферы с 2/3 мг град 1/3/г;
М – масса вредного вещества, выбрасываемого в атмосферу в единицу времени, г/с;
F – безразмерный коэффициент, учитывающий скорость оседания вредный веществ в атмосферном воздухе;
m, n - коэффициенты, учитывающие условия выхода газовоздушной смеси из устья источника выброса;
Н – высота источника выброса над уровнем земли, м;
η - безразмерный коэффициент, учитывающий влияние рельефа местности;
Т – разность между температурой выбрасываемой газовоздушной смеси и температурой окружающего атмосферного воздуха, 0
С;
А – значение коэффициента, соответствующее неблагоприятным метеорологическим условиям, при которых концентрация вредных веществ в атмосферном воздухе максимальна в Азове = 200
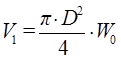
V1
– расход газовоздушной смеси, м³/с. Определяется по формуле:

D
–
диаметр устья источника выброса, м;
W
0
- средняя скорость выхода газовоздушной смеси из устья источника выброса, м/с.
Значение безразмерного коэффициента F принимается: для газообразных вредных веществ и мелкодисперсных аэрозолей (возгоны, туманы, дымы и т.п.), скорость упорядоченного оседания которых практически равна нулю, F
=1
.
Значение коэффициентов m и n определяются в зависимости от параметров f, Uм
, Um
’, fe
.
Решение:

f = 1000 · 12,8² · 0,61/8,2² · 19 = 99942,4/1277,56 = 78,23 < 100
f
= 78, 23 < 100
следовательно, m
находим по формуле:

m = 1/0,67 + 0,1· + 0,34 · = 0,33
Um= 
Um = 0,65 · 2,054 = 1,33

V1
= 3,14 · 0,61² / 4 · 12,8 = 3,74 м³/с
Так как Um = 0,5 < 1,33 < 2 значит, применяем следующую формулу:
n =
0,532 · 1,33² – 2,13 · 1,33 + 3,13 = 1,24
Поскольку значения каждого параметра нам известны, мы можем вычислить максимальные приземные концентрации для каждого вещества по формуле:
Для взвешенных веществ:
Смвв = 200 · 20,74 · 2 · 0,33 · 1,24 · 1,2 / 8,2² · = 14,63 мг/м3
Для окиси углерода:
CмCO = 200 · 0,89 ·1 · 0,33 ·1,24 · 1,2 /8,2² ·
= 0,31 мг/м³
Для хлороводорода:
CмHCL = 200 ·0,87 · 1· 0,33 · 1,24 · 1,2 /8,2² ·
= 0,31 мг/м³
Этап 3. Определение ПДВ.
Значение ПДВ (г/с) для I-го вещества, выбрасываемого одиночным источником с круглым устьем при фоновой концентрации Сф
< ПДК определяется по формуле:

Сф
– фоновая концентрация рассматриваемого вещества, мг/м3
. При отсутствии данных принимается обычно Сф
= 0,1 ПДК мр
ПДК мр (вв) = 0,5 мг/м³
ПДК мр (CO) = 5 мг/м³
ПДК мр (HCL) = 0,2 мг/м³
Решение:

ПДВвв = (0,5 – 0,1 · 0,5) · 8,2² /200 · 2 · 0,33 · 1,24 · 1,2
= 0,64 г/с
ПДВco = (5 – 0,1 · 5) · 8,2²/ 200 ·1 · 0,33 · 1,24 · 1,2 ·
= 6,38 г/с
ПДВHCL = (0,2 – 0,1 · 0,2) · 8,2²/ 200 · 1· 0,33 · 1,24 · 1,2 ·
= 0,26 г/с
Этап 4. Определение санитарно-защитной зоны.
Для уменьшения концентрации вредных веществ на прилегающей к промышленному предприятию территории устанавливают санитарно-защитные зоны (СЗЗ).
Размеры нормативной СЗЗ до границы жилой застройки устанавливают в зависимости от мощности предприятия, особенностей технологического процесса производства, характера и количества выделяемых в атмосферу вредных и с неприятным запахом веществ. В соответствии с санитарной классификацией промышленных предприятий размеры санитарно-защитных зон устанавливаются в зависимости от класса опасности предприятия.
Последовательность расчета СЗЗ литейного производства:
1. Определяем расстояние Хм, при котором достигается максимальное значение приземной концентрации вредного вещества См для каждого загрязнителя.
Расстояние Хм (м) от источника выбросов, на котором приземная концентрация См (мг/м3
) при неблагоприятных метеорологических условиях достигает максимального значения, определяется по формуле:

где d – безразмерный коэффициент.
Решение:
Окись углерода (СO), хлороводорода ( HCL). Так как f=78,23 < 100 и 0,5≤Um≤2, то 
d = 4,95 · 1,33 · (1 + 0,28 · = 6,58 · 4,28 =14,47
Х м = (5 - 1) · 14,47 · 8,2 /4 = 118,65 м
Взвешенные вещества
Х м = (5 - 2) · 14,47 · 8,2 /4 = 88,99 м
2. Определяем расстояние Хn от источника в расчетном направлении для каждого загрязнителя.
Распределение концентраций вредных веществ в приземном слое воздуха по оси факела на различных расстояниях Х от источника выброса находиться по формуле:
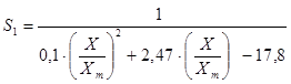
Сх =
S
1
*
C
м
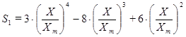
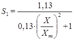
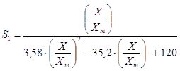
Безразмерная величина S1 зависит от отношения X/Xм. При X/Xм > 8 она зависит от скорости взвешенных частиц выбросов.
Согласно ОНД-86 S1 рассчитывают по формулам:
Если то 
Если то 
Если а F=1, то 
Если и F = 2; 2,5; 3, то 
Итак, рассчитаем СЗЗ для взвешенных веществ. Результаты вычислений отразим в таблице.
XM для взвешенных веществ равно 88,99 м.
Решение:
Находим точки абсциссы и их отношения к расстоянию.
Для X1 = 0,1· 88,99 = 8,9
Для X2 = 0,5 · 88,99 = 44,5
Для X3 = 0,8 · 88,99 = 71,19
Для X4 = 3 · 88,99 = 266,97
Для X5 = 5 · 88,99 = 444,95
Для X6 = 8 · 88,99 = 711,92
Далее можем вычислить значения S1 для каждой точки.
Для X1 → 0,1≤1
=0,05
По аналогичным формулам вычисляем значения для точек X2 и X3.
для X2
= 0,69
для X3
= 0,97
для X4 → 1<3≤8 применяем другую формулу:
= 0,52
Так же находим X5 и X6
для X5
= 0,26
для X6
= 0,12
для Х7, Х8, Х9, Х10 > 8 и F= 2, 2,5

= 0,06
= 0,02
= 0,01
= 0,009
Находим Cx для каждого Х (точки ординат).
CMвв = 14,63 мг/м³
14,63 · 0,05 = 0,73
14,63 · 0,69 = 10,09
14,63 · 0,97 = 14,19
14,63 · 0,52 = 7,61
14,63 · 0,26 = 3,80
14,63 · 0,12 = 1,76
14,63 · 0,06 = 0,87
14,63 · 0,02 = 0,29
14,63 · 0,01 = 0,15
14,63 · 0,009 = 0,13
| Номера точек (Хn) |
Х1 |
Х2 |
Х3 |
Х4 |
Х5 |
Х6 |
Х7 |
Х8 |
Х9 |
Х10 |
| Абсцисса точек |
0,1Х(m) |
0,5Х(m) |
0,8Х(m) |
3Х(m) |
5Х(m) |
8Х(m) |
10(Хm) |
15(Хm) |
20Х(m) |
25Х(m) |
| 8,9 |
44,5 |
71,19 |
266,97 |
444,95 |
711,92 |
889,9 |
1334,85 |
1779,8 |
2224,75 |
 |
0,1 |
0,5 |
0,8 |
3 |
5 |
8 |
10 |
15 |
20 |
25 |
 |
0,05 |
0,69 |
0,97 |
0,52 |
0,26 |
0,12 |
0,06 |
0,02 |
0,01 |
0,009 |
 |
0,73 |
10,09 |
14,19 |
7,61 |
3,80 |
1,76 |
0,87 |
0,29 |
0,15 |
0,13 |

Рис. 1. График распределения концентраций взвешенных веществ в атмосфере от организованного высокого источника выбросов
СЗЗ для CO определяем по схеме описанной выше, только применяем значение расстояния = 118,65 м.
Решение:
Находим точки абсциссы и их отношения к расстоянию.
Для X1 = 0,1 · 118,65 = 11,86
Для X2 = 0,5 · 118,65 = 59,33
Для X3 = 0,8 · 118,65 = 94,92
Для X4 = 3 · 118,65 = 355,95
Для X5 = 5 · 118,65 = 539,25
Для X6 = 8·118,65 = 949,2
Находим Cx для каждого Х (точки ординат).
CMco = 0,31 мг/м³
0,31 · 0,05 = 0,02
0,31 · 0,69 = 0,21
0,31 · 0,97 = 0,30
0,31 · 0,52 = 0,16
0,31 · 0,26 = 0,08
0,31 · 0,12 = 0,04
Построим график.
| Номера точек (Xn) |
 |
 |
 |
 |
 |
 |
| Абсцисса точек |
0,1 |
0,5 |
0,8 |
3 |
5 |
8 |
| 11,86 |
59,33 |
94,32 |
355,95 |
539,25 |
949,2 |
 |
0,1 |
0,5 |
0,8 |
3 |
5 |
8 |
 |
0,05 |
0,69 |
0,97 |
0,52 |
0,26 |
0,12 |
 |
0,02 |
0,21 |
0,30 |
0,16 |
0,08 |
0,04 |

Рис. 2. График распределения концентраций окиси углерода в атмосфере от организованного высокого источника выбросов
И для третьего загрязняющего вещества хлороводород (HCL) тоже вычислим
СЗЗ.
XM = 118,65 м.
В данном случае все расчеты совпадают с расчетами для CO, за исключением значений Cx.
Найдем эти значения:
CM HCL = 0,31 мг/м³
CMco = 0,31 мг/м³
0,31 · 0,05 = 0,02
0,31 · 0,69 = 0,21
0,31 · 0,97 = 0,30
0,31 · 0,52 = 0,16
0,31 · 0,26 = 0,08
0,31 · 0,12 = 0,04
| Номера точек (Xn) |
 |
 |
 |
 |
 |
 |
| Абсцисса точек |
0,1 |
0,5 |
0,8 |
3 |
5 |
8 |
| 11,86 |
59,33 |
94,32 |
355,95 |
539,25 |
949,2 |
 |
0,1 |
0,5 |
0,8 |
3 |
5 |
8 |
 |
0,05 |
0,69 |
0,97 |
0,52 |
0,26 |
0,12 |
 |
0,02 |
0,21 |
0,30 |
0,16 |
0,08 |
0,04 |
  
   
Рис. 3. График распределения концентраций водорода хлористого в атмосфере от организованного высокого источника выбросов
2.1.5 Определение категории опасности предприятия
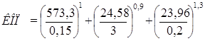
В зависимости от массы и видового состава выбросов в атмосферу, определяют категорию опасности предприятия (КОП) по формуле (5):

где - масса i-го вещества в выбросе, т/год;

где Т
– годовой фонд работы оборудования, ч.(количество смен в году – 320, с учетом круглосуточной работы плавильного агрегата принимаем Т=7680 ч); ПДКСС
i
– среднесуточная ПДК i-го вещества;
n
– количество загрязняющих веществ;
а i
– безразмерная константа, позволяющая соотнести степень вредности
I - го вещества с вредностью диоксида азота.
Класс опасности загрязняющего вещества.
| Класс |
1 |
2 |
3 |
4 |
 |
1,7 |
1,3 |
1,0 |
0,9 |
В зависимости от величины КОП предприятие подразделяют на следующие категории опасности.
| Категория |
Значения КОП |
| 1 |
>106 |
| 2 |
104 - 106 |
| 3 |
103 - 104 |
| 4 |
<103 |
Взвешенные вещества→ 3 = 1,0
СО → 4 = 0,9
HCL→ 2 = 1,3
Определяем массу в выбросе, т/год для каждого вещества.
Mвв = 74,65 · 7680 · = 573,3 т/год
Mco = 3,2 · 7680 · = 24,58 т/год
MHCL = 3,12 · 7680 · = 23,96 т/год
Определим категорию опасности предприятия (КОП).
= 3902,87
Так как 103
<3902,87 <104
, категория опасности предприятия – 3.
2.2 Определение предотвращенного экологического ущерба
2.2.1 Водные ресурсы
Расчет предотвращенного эколого-экономического ущерба от загрязнения водной среды
Предотвращенный эколого-экономический ущерб для водных объектов
(Упр
, тыс. руб./год) в рассматриваемом регионе за расчетный период времени определяется по формуле:
Упр
= Ууд
*Мпр
*Кэ
*
Id
где:
Ууд
– показатель удельного ущерба (цены загрязнения) водными ресурсам, наносимого единицей (условная тонна) приведенной массы загрязняющих веществ на конец расчетного периода в рассматриваемом регионе, руб./усл. т. ;
Кэ
– коэффициент экологической ситуации и экологической значимости состояния водных объектов по бассейнам основных рек;
Id
– индекс-дефлятор по отраслям промышленности, устанавливаемый Минэкономики России. В расчетах принимаем равным 1;
Мпр
– приведенная масса сокращенного в результате проведения соответствующих природоохранных мероприятий сброса загрязняющих веществ в регионе, тыс.усл.т/год;
Мпр
= М - Мсп
М = М1
– М2
+ Мнов
М
– валовой объем приведенной массы сокращенного сброса, тыс.усл.т/год;
Мсп
- приведенная масса сброса, сокращенного в результате спада производства в регионе, тыс.усл.т./год;
М1
и М2
– соответственного приведенная масса сброса на начало и конец расчетного периода, тыс.усл.т./год;
Мнов
– приведенная масса сброса новых предприятий и производств, тыс.усл.т./год;
Для расчета приведенной массы загрязнений используются утвержденные значения предельно-допустимых концентраций (ПДК) загрязняющий веществ в воде водоемов рыбохозяйственного значения (как наиболее жесткие). С помощью ПДК определяются коэффициенты эколого-экономической опасности загрязняющих веществ как величина, обратная ПДК: Кэ
i
= 1/ПДК.
Приведенная масса загрязняющих веществ рассчитывается по формуле:

mi
-масса фактического сброса i-го вещества в водные объекты рассматриваемого региона, т./год;
K
э
i
– коэффициент относительной эколого-экономической безопасности для i-го загрязняющего вещества;
N
– количество учитываемых загрязняющих веществ.
Задание № 1
Определить величину эколого-экономического ущерба, предотвращенного в результате осуществления природоохранняемых мероприятий по охране водных объектов в Хабаровском крае (Бассейн Тихого океана, р. Амур), для экономической оценки деятельности территориального комитета по охране окружающей среды (экологический контроль, реализация экологических программ, экологическая экспертиза и др.)
Основные исходные данные для расчета величины предотвращенного ущерба представлены в таблице.
| № п/п |
Наименование загрязняющих веществ |
mi1 |
miнов |
m i2 |
mi |
m icn |
miпр |
| 1 |
Азот аммонийный |
4771.6 |
- |
3336.8 |
1434.8 |
789.1 |
645.7 |
| 2 |
Фенолы |
1.07 |
0.06 |
0.53 |
0.6 |
0.33 |
0.27 |
| 3 |
СПАВ |
82.3 |
0.43 |
69.9 |
12.83 |
7.44 |
5.39 |
| 4 |
Медь |
4.0 |
- |
2.98 |
1.02 |
0.56 |
0.46 |
| 5 |
Цинк |
10.9 |
- |
8.14 |
2.76 |
1.38 |
1.18 |
| 6 |
Хром |
5.29 |
- |
4.86 |
0.43 |
0.27 |
0.16 |
| 7 |
Ртуть |
0.02 |
- |
- |
0.02 |
0,01 |
0.01 |
| 8 |
Марганец |
2.15 |
- |
1.74 |
0.41 |
0.17 |
0.24 |
| 9 |
Фтор |
201.1 |
- |
136.14 |
64.96 |
30.53 |
34.43 |
| 10 |
Формальдегид |
4.04 |
0.07 |
2.3 |
1.81 |
1.81 |
0 |
| 11 |
Дихлорэтан |
0.38 |
- |
- |
0.38 |
0.38 |
0 |
| 12 |
Тетраэтилсвинец |
0.02 |
- |
- |
0.02 |
0,01 |
0.01 |
| Приведенная масса загрязнений, тыс. усл. тонн. |
M1
11,489
|
Mнов
44,03
|
M2
7,706
|
Mi
3,827
|
Micn
2,227
|
Miпр
1,6
|
Обозначения к таблице:
mi
1
– объем(масса) сброса загрязняющего вещества от i-му ингредиенту в начале расчетного периода, т.;
mi
2
– объем сброса загрязняющего вещества по i-му ингредиенту в конце расчетного периода, т.;
mi
нов
– объем сброса загрязняющего вещества от новых предприятий, введенных в эксплуатацию в течение расчетного периода, т.;
mi
–
валовой объем сокращенного сброса загрязняющего вещества по i-му ингредиенту (с учетом введенных в эксплуатацию новых предприятий и производств), т.;
mi
сп
-
объем сброса i-го загрязняющего вещества, сокращенного в результате спада производства в регионе в течение расчетного периода, т;
mi
пр
–
объем (предотвращенного) сброса загрязняющих веществ, сокращенного в результате проведения комплекса мероприятий по охране вод в регионе в течение расчетного периода, т (по i-му ингредиенту).

1) mi
= 4771.6 - 3336.8 = 1434.8
2) mi
= 1.07 + 0.06 - 0.53 = 0.6
3) mi
= 82.3 + 0.43 - 69.9 = 12.83
4) mi
= 4.0 - 2.98 = 1.02
5) mi
= 10.9 - 8.14 = 2.76
6) mi
= 5.29 - 4.86 = 0.43
7) mi
= 0.02
8) mi
= 2.15 - 1.74 = 0.41
9) mi
= 201.1 - 136.14 = 64.96
10) mi
= 4.04 + 0.07 - 2.3 = 1.81
11) mi
= 0,38
12) mi
= 0,02
1) mi
пр
= 1434.8 - 789.1 = 645.7
2) mi
пр
= 0.6 - 0.33 = 0.27
3) mi
пр
= 12.83 - 7.44 = 5.39
4) mi
пр
= 1.02 - 0.56 = 0.46
5) mi
пр
= 2.76 - 1.38 = 1.38
6) mi
пр
= 0.43 - 0.27 = 0.16
7) mi
пр
= 0.02 - 0.01 = 0.01
8) mi
пр
= 0.41 - 0.17 = 0.24
9) mi
пр
= 64.96 - 30.53 = 34.43
10) mi
пр =
1.81 – 1.81 = 0
11) mi
пр
= 0.38 – 0.38 = 0
12) mi
пр
= 0.02 – 0.01 = 0.01

М1
= 4771.6 *1 + 1.07*550 + 82.3*11 + 4.0*550 + 10.9*90 + 5.29*90 + 0.02*15000 + 2.15*90 + 201.1*1 + 4,04*90 + 0,38*550 + 0,02*15000 = 11489,7/1000 = 11,489
М2
=
3336.8 *1 + 0.53*550 + 69.9*11 + 2.98*550 + 8.14*90 + 4.86*90 + 1.74*90 + 136.14*1 + 2.3*90 = 7705,94/1000 = 7,706
Мнов
= 0.06*550 + 0.43*11 + 0.07*90 = 33 + 4.73 + 6,3 = 44,03/
1000 = 0,044
Мсп =
789.1 *1 + 0.33*550 + 7.44*11 + 0.56*550 + 1.38*90 + 0.27*90 + 0.01*15000 + 0.17*90 + 30.53*1 + 1.81*90 + 0,38*550 + 0,01*15000 = 2226,67/1000= 2,227
∆М
= М1
– М2
+ Мнов
∆М
= 11,489 – 7,706 + 0,044 = 3,827
Мпр
=
М - Мсп
Мпр
= 3,827 – 2,227 = 1,6
тыс. усл. т.
Упр
=
Ууд
*Мпр
*Кэ
* Id
Ууд
=5549,5
Мпр
= 1,6
Кэ
=1,27
Id
= 1
Упр
=5549,5*1,6*1,27*1 = 11276,584 тыс. руб/год = 11,3 млн. руб
Валовой приведенный объем сокращенного расчета за расчетный период времени сброса загрязняющих веществ в регионе, согласно расчетам, составил 3,827 тыс. усл. т. Из них - 2,227 тыс. усл. т. в результате спада производства и
1,6 тыс. усл. т. – в результате деятельности территориального органа Госкомэкологии России.

Рис. 4. Диаграмма сокращенной приведенной массы загрязняющих веществ в Хабаровском крае.
Расчет предотвращенного ущерба от загрязнения атмосферного воздуха
Укрупненная оценка величины предотвращенного ущерба от выбросов загрязняющих веществ в атмосферу может проводиться как для одного крупного источника или группы источников могут рассматриваться все источники в данном городе, регионе, рассматриваемые как единый «приведенный» источник.
Предотвращенный эколого-экономический ущерб от выбросов загрязняющих веществ в атмосферный воздух (Упр
тыс. руб./год) в рассматриваемом экономическом районе РФ за расчетный период времени определяется по формуле:

Ууд
- показатель удельного ущерба от выбросов загрязняющих веществ в атмосферный воздух в рассматриваемом экономическом районе РФ, руб/усл.т. = 47,9 (Калининградская область)
Кэ
- коэффициент экологической ситуации и экологической значимости состояния атмосферного воздуха территорий экономических районов России
Id
- индекс-дефлятор по отраслям промышленности, устанавливаемый Минэкономики России = 1
Мпр
- приведенная масса выброса загрязняющих веществ в регионе, сокращенного в результате проведения соответствующих природоохранных мероприятий, тыс.усл. т./год.
Кэ
i- коэффициент относительной эколого-экономической опасности для i-го загрязняющего вещества
N
- количество учитываемых загрязняющих веществ
№п/п
|
Наименование
Загрязняющих
веществ
|
mi1
|
mi2
|
miнов
|
mi
|
miсп
|
miпр
|
Кiэ
|
| Твердые |
| 1 |
Неорганическая пыль |
1912,1 |
1726,5 |
216 |
401,6 |
116,6 |
291 |
2,7 |
| 2 |
Органическая пыль |
1142,9 |
1103,6 |
128 |
467,3 |
42,3 |
125 |
6 |
| 3 |
Сажа (углерода) |
108,8 |
126,1 |
90 |
72,7 |
42,1 |
30,6 |
2,7 |
| Газообразные и жидкие |
| 4 |
Диоксид серы |
4258,3 |
10446,5 |
6200 |
11,8 |
- |
11,8 |
20 |
| 5 |
Оксид углерода |
15260 |
12206 |
340 |
3394 |
2120 |
1274 |
0,4 |
| 6 |
Оксиды азота |
32688,1 |
30844 |
428 |
2272,1 |
1400 |
872,1 |
16,5 |
| 7 |
Углеводороды |
24744,8 |
19785,8 |
260 |
5219 |
3680 |
1539 |
0,7 |
| 8 |
ЛОС |
26945,2 |
21515,8 |
- |
5429,4 |
4200 |
1229,4 |
0,7 |
| 9 |
Аммиак |
2100,7 |
1682,6 |
- |
418,1 |
218 |
200,1 |
28,5 |
| 10 |
Бензин |
1180,9 |
756 |
112 |
536,9 |
186 |
350,9 |
1,2 |
| 11 |
Этилацитат |
12,2 |
9,4 |
- |
2,8 |
1,8 |
1 |
6,7 |
| 12 |
Ацетон |
77,2 |
66,2 |
- |
11 |
- |
11 |
28,5 |
| Приведенная масса загрязнений, тыс.усл.тонн |
mi1
742,689
|
mi2
814,084
|
miнов
133,109
|
mi
61,741
|
miсп
36,595
|
iпр
25,119
|
Кiэ
1,5
|
mi
= mi1
+ mi
нов
- mi2
1) mi
= 1 912,1+ 216 – 1 726,5 = 401,6
2) mi
= 1 142,9+128 – 1 103,6 = 167,3
3) mi
= 108,8 + 90 – 126,1 = 72,7
4) mi
= 4 258,3 + 6 200 – 10 446,5 = 11,8
5) mi
= 15 260 + 340 – 12 206 = 3 394
6) mi
= 32688,1 + 428 – 30844 = 2 272,1
7) mi
= 24 744,8 + 260 – 19 785,8 = 5 219
8) mi
= 26 945,2 – 21 515,8 = 5 429,4
9) mi
= 2 100,7 – 1 682,6 = 418,1
10) mi
= 1180,9 + 112 – 756 = 536,9
11) mi
= 12,2 – 9,4 = 2,8
12) mi
= 77,2 – 66,2 = 11
mi
пр
= mi
- mi
сп
1) mi
пр
= 401,6 – 116,6 = 291
2) mi
пр
= 167,3 – 42,3 = 125
3) mi
пр
= 72,7 – 42,1 = 30,6
4) mi
пр
= 11,8
5) mi
пр
= 3394 – 2120 = 1274
6) mi
пр
= 2272,1 – 1400 = 872,1
7) mi
пр
= 5219 – 3680 = 1539
8) mi
пр
= 5429,4 – 4200 = 1229,4
9) mi
пр
= 418,1 – 218 = 200,1
10) mi
пр
= 536,9 – 186 = 350,9
11) mi
пр
= 2,8 – 1,8 = 1
12) mi
пр
= 11
М1
= 1912,1*2,7 + 1142,9*6 +108,8*2,7 + 4258,3*20 +15260*0,4 +32688,1*16,5 +24744,8*0,7 + 26945,2*0,7 + 2100,7*28,5 + 1180,9*1,2 + 12,2*6,7 + 77,2*28,5 = 5162,67 + 6857,4 + 293,76 + 85166 + 6104 + 539353,65 + 17321,36 + 18861,64 + 59869,95 + 1417,08 + 81,74 + 2200,2 = 742689,45/1000 = 742,689
М2
= 1726,5*2,7 + 1103*6 + 126,1*2,7 + 10446,5*20 + 12206*0,4 + 30844*16,5 + 19785,8*0,7+ 21515,8*0,7 + 1682,6*28,5 + 756*1,2 + 9,4*6,7 + 66,2*28,5 = 4661,55 + 6618 + 340,47 + 208930 + 4882,4 + 508926 + 13850,06 + 15061,06 + 47954,1 + 910,8 + 62,98 + 1886,7 = 814084,12/1000 = 814,084
Мнов
= 216*2,7 + 128*6 + 90*2,7 + 6200*20 + 340*0,4 + 428*16,5 +260*0,7 + 112*1,2 = 583,2 + 768 + 243 + 124000 + 136 + 7062 + 182 + 134,4 = 133108,6/1000 = 133,109
М
ic
п
= 116,6*2,7 + 42,3*6 + 42,1*2,7 + 2120*0,4 + 1400*16,5 +3680*0,7 + 4200*0,7 + 218*28,5 + 186*1,2 + 1,8*6,7 = 314,82 + 253,8 + 113,67 + 848 + 23100 + 2576 + 2940 + 6213 + 223,2 + 12,06 = 36594,55/1000 = 36,595
М =
М1
– М2
+ Мнов
М =
742,689 – 814,084 + 133,109 = 61,714
Мпр
=
М - Мсп
Мпр
=
61,714 – 36,595 = 25,119

У
уд
=
47,9
М
пр = 25,119
K
э =1,5
I
д =1
47,9 * 25,119 * 1,5 * 1 =
1804,800
тыс. руб.

Рис. 5. Диаграмма сокращенной приведенный массы загрязняющих веществ в Калининградской области.
Задание № 2
Определить величину эколого-экономического ущерба в заданном регионе, предотвращенного в результате проведения природоохранный мероприятий по охране атмосферы от выбросов загрязняющих веществ.
2.2.3 Земельные ресурсы
Расчет величины ущерба от ухудшения и разрушения почв и земель, предотвращенного в результате природоохранной деятельности
Экологический ущерб от ухудшения и разрушения почв и земель под воздействием антропогенных нагрузок выражается главным образом в:
- деградации почв и земель;
- захламлении земель несанкционированными свалками;
- загрязнении земель химическими веществами.
Оценка величины предотвращенного в результате природоохранной деятельности ущерба (Упрд тыс. руб. /год) от деградации почв и земель производится по формуле:
У
n
прд
= Нс
*
Sd
* Кэ * К
n
где:
Нс
– норматив стоимости освоения новых земель, изымаемых с/х угодий для несельскохозяйственных нужд, тыс.руб./га = 124
Sd
- площадь почв и земель, сохраненная от деградации за отчетный период времени в результате проведенных природоохранных мероприятий, га = 135;
Кэ
– коэффициент экологической ситуации и экологической значимости территории;
К
n
- коэффициент для особо охраняемых территорий.
Оценка величины ущерба, предотвращенного в результате природоохранной деятельности от захламления земель несанкционированными свалками, производится по формуле:

где:
Sс
– площадь земель, которые удалось защитить от захламления отходами i-го вида за отчетный период времени, га (данные таблицы).
Оценка величины предотвращенного ущерба в результате природоохранной деятельности от загрязнения земель химическими веществами производится по формуле:

где:
S
х
– площадь земель, которые удалось защитить от загрязнения химическим веществом i-го вида в отчетном году, га;
Кх
– повышающий коэффициент (предотвращение загрязнения земель несколькими n химическими веществами)

В расчетах принимаем n=1.
Общая величина предотвращенного ущерба (Уп
пр
) от ухудшения и разрушения почв и земель в рассматриваемом районе за отчетный период времени определяется суммированием всех видов предотвращенных ущербов:
Уп
пр
= Уп
прд
+ Уп
прс
+ Уп
прх
+Уп
пр
j
Где:
Уп
пр
j
- любой другой j-тый вид предотвращенного ущерба от ухудшения и разрушения почв в рассматриваемом регионе за отчетный период времени, тыс. руб./год.
Задание №3:
Рассчитаем предотвращенный ущерб от ухудшения и разрушения почв и земель в II зоне (Республика Марий Эл, Удмуртская, Брянская, Владимирская, Вологодская, Ивановская, Калужская, Тверская, Кировская, Костромская, Удмуртская, Брянская, Владимирская, Вологодская, Ивановская, Калужская, Тверская, Кировская,Костромская, Ярославская области; Коми-Пермяцкий АО).
Решение:
Оценка величины предотвращенного ущерба от деградации почв и земель в результате осуществления природоохранительных мероприятий вычисляется по формуле:
У
n
прд
= Нс
*
Sd
* Кэ * К
n
Нс
= 124 тыс.руб./га
Sd = 135
Кэ =1,6
Кn =1,5
Уn
прд = 124*135*1,6*1,5 = 40176 тыс.руб.
Оценка величины предотвращенного в результате природоохранной деятельности ущерба ( Уn
прс, тыс.руб/год) от захламления земель отходами i-ой категории, несанкционированными свалками производится по формуле:
У
n
прс = Нс
*
S
с * Кэ * К
n
где:
Sc
– площадь земель, которые удалось защищать от захламления отходами i-го вида за отчетный период времени, га = 280
Уn
прс = Нс
* Sс * Кэ * Кn
Нс
= 124
Sс = 280
Кэ = 1,6
Кn = 1,5
Уn
прс = 124*280*1,6*1,5 = 83328 тыс. руб.
Оценка величины предотвращенного в результате природоохранной деятельности ущерба от загрязнения земель химическими веществами производится по формуле:
У
n
прх = (Нс
*
S
х * Кэ * К
n
)*Кх
где:
Sх – площадь земель, которые удалось защитить от загрязнения химическим веществом i-го вида в отчетном году, га = 185;
Кх – повышающий коффициент (предотвращение загрязнения земель несколькими n химическими веществами)
Кх = 1+0,2(
n
– 1), при
n
< 10 в расчетах
n
= 1
3, при
n
> 10
Kx= 1 + 0,2 * (1-1) = 1
У
n
прх = (Нс
*
S
х * Кэ * К
n
)*Кх
Уn
прх = (124*185*1,6*1,5)*1 = 55056 тыс.руб.
Общая величина предотвращенного ущерба (Уn
пр) от ухудшения и разрушения почв и земель в рассматриваемом районе за отчетный период времени определяется суммированием всех видов предотвращенных ущербов:
У
n
пр = У
n
прд + У
n
прс + У
n
прх + У
n
j
пр
где:
У
n
npj
-
любой другой вид предотвращенного ущерба от ухудшения и разрушения почв в рассматриваемом регионе за отчетный период времени, тыс. руб./год.
У
n
npj
= Уn
прд + Уn
прс + Уn
прх
У
n
npj
= 40176 + 83328 + 55056 = 178560 тыс.руб.

Заключение
Выводы по расчетам (раздел 2.1.)
Максимальная концентрация Смi отходящих газов будет наблюдаться на расстоянии Хм от источника выбрасов, так как отходящие аэрополютанты относятся воздушным потоком (как правило, См> ПДК). Благодаря диффузионным процессам и турболентности воздуха рассеивание начинает опережать накопленные примеси, и уровень загрязнения постепенно снижается. В ближайшей городской зоне концентрация аэрополлютанов не должна превышать ПДК.
Научно обоснованные нормы ПДК в преземном слое атмосферы должны обеспечивать контролем за соблюдением нормативов для источников выбросов. Такими нормативами являются придельно допустимые выбрасы – ПДВ. Это максимальные выбрасы в единицу времени для данного природопользователя по данному компоненту, которые создают в преземном слое атмосферы максимальную концентрацию этого вещества Смi не превышающую ПДК, с учетом фонового (существующего) загрязнения Сфi.
Данное предприятие по классу опасности относится к третьему классу.
Из расчетов по отдельным видам веществ можно сделать выводы, что предприятие необходимо размещать на расстоянии 2230 м от жилой зоны так как концентрация взвешенных веществ убывает на этом расстоянии.
Подставим полученные данные в формулу, чтобы проверить верность неравенства для каждого аэрополлютанта.

ПДВвв → 0,1∙0,5+14,63/0,5 = 29, 36 > 1
ПДВCO → 0,1∙5+0,31/5 = 0,16 ≤1
ПДВHCL→ 0,1∙0,2+0,31/0,2 = 1,65 >1
На основе данных я сделала вывод, что предприятие загрязняет окружающую среду и ухудшает экологическую ситуацию.
Выводы по расчетам (раздел 2.2)
По итоговым результатам строим диаграмму предотвращенного экологического ущерба природным ресурсам.
Из диаграммы видно, что наибольшее внимание предотвращению экологического ущерба уделяется земельным ресурсам, затем водным ресурсам и в последнюю очередь атмосферному воздуху.

Рис. 6. Предотвращенный экологический ущерб земельным ресурсам
Список литературы
1. Акимова Т.А., Кузин А.П., Хаскин В.В. Экология. – М.:ЮНИТИ, 2001.
2. Безопасность жизнедеятельности / С.В. Белов, А.В. Ильницкая, А.Ф. Козьяков и др. – Высшая школа, 2001.
3. Резчиков Е.А. Экология: уч. пособие. – 3-е изд. испр. и доп. – М.: МГИУ, 2004 г. – 104 с.
4. С.В. Белов, А.В. Ильницкая, А.Ф.Козьяков и др. Безопасность жизнедеятельности. – М.: Высшая школа, 2001 г.
5. С.В. Белов, Ф.А. Барбинов, А.Ф. Козьяков и др. Охрана окружающей среды, - М.: Высшая школа, 1991 г.
6. «Экология» Методические указания по выполнению курсового проекта, О.Н. Заломнова, Г.В.Лукашина, Изд.МГИУ, Москва 2005 г.
|