Шушкова А.Г., ДонНТУ
Мониторинг — это система наблюдений, оценки и прогноза состояния природной среды, не включающая управление качеством окружающей среды, но дающая необходимую информацию для такого управления.
Мониторинг может охватывать как локальные районы, так и земной шар в целом (глобальный мониторинг).
Чтобы обеспечить эффективную оценку и прогноз, мониторинг должен включать наблюдения за источниками загрязнения, загрязнением природной среды и эффектами от этого загрязнения.
Основу системы мониторинга составляют регулярные наблюдения, являющиеся единственным источником прямой и статистической информации. Кроме того, неотъемлемой частью мониторинга являются математическое моделирование загрязнения атмосферы, основанное на результатах замеров ЗВ.
Прямые измерения выбросов загрязняющих веществ являются наиболее эффективным способом контроля источников на локальном уровне. В глобальном масштабе приходится прибегать к косвенным оценкам выбросов, исходя из потребления топлива, сырья, технологии производства. [1]
Выбросы обычно разделяют на три основные группы: организованные, неорганизованные и распределенные. Организованные выбросы обычно производятся из дымовых труб, их характеризует большая высота выброса (десятки и сотни метров), высокие концентрации и большие объемы загрязняющих веществ. Неорганизованные выбросы связаны с поступлением загрязняющих веществ в атмосферу из производственных помещений предприятий, концентрация и объем загрязняющих веществ, обычно бывают существенно меньше, чем при организованных выбросах; выброс происходит на малых высотах — от уровня земли до первых десятков метров. Распределенные выбросы в основном связаны с транспортом, в первую очередь автотранспортом. Другой характерный источник распределенных выбросов – это обработка сельскохозяйственных угодий и других территорий ядохимикатами с помощью авиации, при которой часть веществ всегда остается в воздухе.
Число антропогенных веществ, поступающих в природные среды, постоянно растет. Список только основных из них, имеющих достаточно широкое распространение составляет не менее 30 тыс. и возрастает за год на 1—2 тыс. Главную роль в загрязнении окружающей среды играет довольно ограниченное число веществ, не превышающее нескольких десятков. [2]
Забиваем Сайты В ТОП КУВАЛДОЙ - Уникальные возможности от SeoHammer
Каждая ссылка анализируется по трем пакетам оценки: SEO, Трафик и SMM.
SeoHammer делает продвижение сайта прозрачным и простым занятием.
Ссылки, вечные ссылки, статьи, упоминания, пресс-релизы - используйте по максимуму потенциал SeoHammer для продвижения вашего сайта.
Что умеет делать SeoHammer
— Продвижение в один клик, интеллектуальный подбор запросов, покупка самых лучших ссылок с высокой степенью качества у лучших бирж ссылок.
— Регулярная проверка качества ссылок по более чем 100 показателям и ежедневный пересчет показателей качества проекта.
— Все известные форматы ссылок: арендные ссылки, вечные ссылки, публикации (упоминания, мнения, отзывы, статьи, пресс-релизы).
— SeoHammer покажет, где рост или падение, а также запросы, на которые нужно обратить внимание.
SeoHammer еще предоставляет технологию Буст, она ускоряет продвижение в десятки раз,
а первые результаты появляются уже в течение первых 7 дней.
Зарегистрироваться и Начать продвижение
В данной работе рассматриваются методы и модели расчета рассеяния ЗВ в атмосферном воздухе.
Все газы и частицы, взаимодействуя с атмосферной влагой и реагируя друг с другом, превращаются в атмосферные аэрозоли. Основные процессы образования и превращения аэрозолей происходят в тонкодисперсной фракции. Аэрозоли тонкодисперсной фракции представляют собой ядра конденсации, частицы Айткена и кумулятивные частицы.
Аэрозоли грубодисперсной фракции представляют собой в основном твердые частицы, привнесенные в атмосферу и оседающие под действием силы тяжести. В зависимости от географического района и химического состава такие аэрозоли следует подразделять на четыре типа: городские, природные, промышленных районов и дымовых факелов.
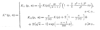
Для построения оптических моделей атмосферы и расчетов характеристик рассеяния для различных сред выбирают соответствующие законы распределения частиц f(r), состава и показателей преломления. Для различных состояний атмосферы вычисляются полидисперсные коэффициенты рассеяния для данных функций распределения по размерам, которые затем сравниваются с экспериментально измеренными значениями βрас. Вот одна из аналитических моделей, хорошо зарекомендовавшая себя в практических применениях. В качестве ядра была принята полученная аппроксимированная функция Ми, справедливая для любых вещественных значений показателя преломления:

где К (ρ) — фактор эффективности Хюлста для приближения малых частиц:

При исследовании аэрозоля в выбросах существенное значение имеет учет показателя преломления вещества аэрозоля, который несет в себе информацию о химическом составе аэрозоля. В этом плане использование описанной выше модели весьма перспективно.
Зависимости для полидисперсного коэффициента рассеяния, приведенные выше, позволяют определять параметры аэрозолей путем построения алгебраической системы уравнений.
Для получения более точных значений параметров аэрозоля и особенно счетной концентрации N по объемному коэффициенту рассеяния используется избыточность информации, полученной при лазерном зондировании. Для этого строится функционал вида

Минимизация этого функционала для отыскания оптимальных параметров модели осуществляется «методом оврагов».
При наличии данных, полученных путем длительных измерении концентрации аэрозольных загрязнений, присущих данному району, появляется возможность разделения антропогенного загрязнения и естественного аэрозоля, присущего данному району. Так как достаточно хорошо установлена однозначная корреляционная связь между сульфатными частицами и коэффициентом рассеяния или видимостью, то по непрерывным измерениям коэффициентов рассеяния и временным вариациям этого коэффициента даже на одной длине волны можно путем частотной селекции этих измерений разделить аэрозольные массы, привнесенные фронтами, и локальные естественные аэрозоли (местный фон). [3]
Сервис онлайн-записи на собственном Telegram-боте
Попробуйте сервис онлайн-записи VisitTime на основе вашего собственного Telegram-бота:
— Разгрузит мастера, специалиста или компанию;
— Позволит гибко управлять расписанием и загрузкой;
— Разошлет оповещения о новых услугах или акциях;
— Позволит принять оплату на карту/кошелек/счет;
— Позволит записываться на групповые и персональные посещения;
— Поможет получить от клиента отзывы о визите к вам;
— Включает в себя сервис чаевых.
Для новых пользователей первый месяц бесплатно.
Зарегистрироваться в сервисе
Существующие системы.
Информационная система анализа и прогнозирования рассеивания ЗВ в пограничном слое атмосферы в локальном масштабе. Использовалась в Луганской области для определения выбросов формальдегида фотометрическим методом. Основана на использовании модели Эйлера на грубой сетке и определялась локальной моделью вблизи источника. [4]
Комплекс АК-ГИС. При реализации ГИС-проекта для бассейна Волги был сконфигурирован комплекс (АК-ГИС), объединяющий в себе модуль по приему спутниковой информации и модуль по ее обработке. При его создании использовались существующие или специально разработанные аппаратно-программные средства и методы, позволяющие обеспечить получение необходимого решения. [5]
Проведя анализ выбранного метода, было решено его откорректировать. Функционал (3), для уменьшения погрешности будет вычисляться генетическим алгоритмом, что позволит производить более точные расчеты и получать дальнее прогнозирование.
Список литературы
1. Охрана окружающей среды Донбасса. Донецк.: 1991г с. 3-5
2. Земля тривоги нашої: За матерiалами доповiдi про стан навколишнього природного середовища в Донецькiй обастi у 2000р. Донецьк.: 2001р. – 103 с.
3. Назаров И.М. Основы дистанционных методов мониторинга загрязнения окружающей природной среды. Ленинград.: 1989г – 420 с.
4. Компьютерные системы поддержки принятия решения в экологии. Под ред. А.А. Мороза. Киев.: 1991.
5. Информационные системы анализа и прогнозирования загрязнения атмосферы стационарными источниками выбросов //Экотехнологии и ресурсосбережение. – 2000. - №2. – с.52-59
|