Введение
В настоящее время компьютерная техника широко применяется во всех областях человеческой деятельности. Работа с компьютером характеризуется значительным умственным напряжением и нервно-эмоциональной нагрузкой, высокой напряженностью зрительной работы и достаточно большой нагрузкой на мышцы рук при работе с клавиатурой. Большое значение имеет рациональная конструкция и расположение элементов рабочего места, что важно для поддержания оптимальной рабочей позы человека оператора.
В процессе работы с компьютером необходимо соблюдать правильный режим труда и отдыха. В противном случае может возникнуть значительное напряжение зрительного аппарата с появлением жалоб на неудовлетворенность работой, головных болей, раздражительности, нарушений сна, усталости и болезненных ощущений в глазах, пояснице, в области шеи и в руках.
Цель данной работы – рассмотреть автоматизацию рабочего ме6ста бухгалтера-кассира в ЖЭУ.
Актуальность, цели и задачи данной работы определяются нижеследующими положениями:
Необходимостью ведения учета больших объемов специфической информации, касающихся жилищно-коммунального хозяйства.
Сложностью и трудоемкостью выявления должников по оплате за услуги.
Предупреждением недоразумений, вызванных ошибками по оплате за услуги.
Изменением тарифов по оплате за горячую и холодную воду, тепло, платы за площадь.
Обезопасить добросовестного жильца, оплачивающего регулярно и в полной мере услуги, от ошибок бумажного документооборота.
Для удобства фискальных операций и декларирования балансовых отчетов.
1. Основные положения об автоматизации рабочего места
Чтобы увеличить эффективность работы бухгалтера-кассира, прежде всего, следует выделить два направления автоматизации работы любого офисного сотрудника, по которым можно существенно повысить эффективность:
- Анализ документации (или состояния на рынке);
- Рутинные операции.
Наиболее очевидна возможность автоматизации рутинных операций, особенно если они однотипны. Так, например, очень часто разные бухгалтера занимаются вводом информации появившейся и напечатанной уже в недрах компании. В этой ситуации достаточным средством автоматизации будет программный модуль, обеспечивающий передачу информации из одной системы в другую, или замена двух независимых систем на одну комплексную. При этом произойдет подмена человеческого труда на машинный. Если же от данной рутинной операции нельзя избавиться, то можно минимизировать человеческие усилия. Именно такой подход и заложен в концепцию конвейерного учета в продукте.
Забиваем Сайты В ТОП КУВАЛДОЙ - Уникальные возможности от SeoHammer
Каждая ссылка анализируется по трем пакетам оценки: SEO, Трафик и SMM.
SeoHammer делает продвижение сайта прозрачным и простым занятием.
Ссылки, вечные ссылки, статьи, упоминания, пресс-релизы - используйте по максимуму потенциал SeoHammer для продвижения вашего сайта.
Что умеет делать SeoHammer
— Продвижение в один клик, интеллектуальный подбор запросов, покупка самых лучших ссылок с высокой степенью качества у лучших бирж ссылок.
— Регулярная проверка качества ссылок по более чем 100 показателям и ежедневный пересчет показателей качества проекта.
— Все известные форматы ссылок: арендные ссылки, вечные ссылки, публикации (упоминания, мнения, отзывы, статьи, пресс-релизы).
— SeoHammer покажет, где рост или падение, а также запросы, на которые нужно обратить внимание.
SeoHammer еще предоставляет технологию Буст, она ускоряет продвижение в десятки раз,
а первые результаты появляются уже в течение первых 7 дней.
Зарегистрироваться и Начать продвижение
Автоматизация анализа документации тоже возможна, но только до определенных пределов. Можно автоматизировать сбор полной информации для анализа и предоставление ее в наиболее удобном виде, также можно реализовать запрограммированные аналитические выводы (т.е. однозначные выводы по первичной информации).
На современном этапе автоматизации управления общественным производством наиболее перспективным является автоматизация планово-управленческих функций на базе персональных ЭВМ, установленных непосредственно на рабочих местах специалистов.
Эти системы получили широкое распространение в организационном управлении под названием автоматизированных рабочих мест (АРМ).
Специфика деятельности бухгалтерии позволяет выбрать методом решения создание АРМ. Это позволит использовать систему людям, не имеющим специальных знаний в области программирования, и одновременно позволит дополнять систему по мере надобности.
АРМ можно определить как комплекс информационных ресурсов, программно-технических и организационно-технологических средств индивидуального и коллективного пользования, объединенных для выполнения определенных функций профессионального работника управления.
С помощью АРМ специалист может обрабатывать тексты, посылать и принимать сообщения, хранящиеся в памяти ЭВМ, участвовать в совещаниях, организовывать и вести личные архивы документов, выполнять расчеты и получать готовые результаты в табличной и графической форме. Обычно процессы принятия решений и управления в целом реализуются коллективно, но необходима проблемная реализация АРМ управленческого персонала, соответствующая различным уровням управления и реализуемым функциям. Подготовка информации для принятия решений, собственно принятие решений и их реализация могут иметь много общего в различных экономических службах предприятия. Также многие функции являются типовыми для многих предприятий. Это позволяет создавать гибкие, перестраиваемые структуры управления.
В основу конструирования АРМ положены следующие основные принципы:
1. Максимальная ориентация на конечного пользователя, достигаемая созданием инструментальных средств адаптации АРМ к уровню подготовки пользователя, возможностей его обучения и самообучения.
Сервис онлайн-записи на собственном Telegram-боте
Попробуйте сервис онлайн-записи VisitTime на основе вашего собственного Telegram-бота:
— Разгрузит мастера, специалиста или компанию;
— Позволит гибко управлять расписанием и загрузкой;
— Разошлет оповещения о новых услугах или акциях;
— Позволит принять оплату на карту/кошелек/счет;
— Позволит записываться на групповые и персональные посещения;
— Поможет получить от клиента отзывы о визите к вам;
— Включает в себя сервис чаевых.
Для новых пользователей первый месяц бесплатно.
Зарегистрироваться в сервисе
2. Формализация профессиональных знаний, то есть возможность предоставления с помощью АРМ самостоятельно автоматизировать новые функции и решать новые задачи в процессе накопления опыта работы с системой.
3. Проблемная ориентация АРМ на решение определенного класса задач, объединенных общей технологией обработки информации, единством режимов работы и эксплуатации, что характерно для специалистов экономических служб.
4. Модульность построения, обеспечивающая сопряжение АРМ с другими элементами системы обработки информации, а также модификацию и наращивание возможностей АРМ без прерывания его функционирования.
5. Эргономичность, то есть создание для пользователя комфортных условий труда и дружественного интерфейса общения с системой.
В основу классификации АРМ может быть положен ряд классификационных признаков. С учетом областей применения возможна классификация АРМ по функциональному признаку:
1. АРМ административно - управленческого персонала;
2. АРМ проектировщика радиоэлектронной аппаратуры, автоматизированных систем управления и т.д.
3. АРМ специалиста в области экономики, математики, физики, и т.д.
4. АРМ производственно - технологического назначения.
Важным классификационным признаком АРМ является режим его эксплуатации, по которому выделяются одиночный, групповой и сетевой режимы эксплуатации. В первом случае АРМ реализуется на обособленной ПЭВМ, все ресурсы которой находятся в монопольном распоряжении пользователя. Такое рабочее место ориентировано на решение нестандартных, специфических задач, и для его реализации применяются ЭВМ небольшой мощности.
При групповом режиме эксплуатации на базе одной ЭВМ реализуется несколько рабочих мест, объединенных по принципу административной или функциональной общности. В этом случае требуются уже более мощные ЭВМ и достаточно сложное программное обеспечение. Групповой режим эксплуатации обычно используется для организации распределенной обработки данных в пределах отдельного подразделения или организации для обслуживания стабильных групп специалистов и руководителей.
Сетевой режим эксплуатации АРМ объединяет достоинства первого и второго. В этом случае каждое АРМ строится на базе одной ЭВМ, но в то же время имеется возможность использовать некоторые общие ресурсы вычислительной сети.
Одним из подходов к классификации АРМ является их систематизация по видам решаемых задач. Возможны следующие группы АРМ:
1. Для решения информационно-вычислительных задач;
2. Для решения задач подготовки и ввода данных;
3. Для решения информационно-справочных задач;
4. Для решения задач бухгалтерского учета;
5. Для решения задач статистической обработки данных;
6. Для решения задач аналитических расчетов.
Обоснованное отнесения АРМ к определенной группе будет способствовать более глубокому и тщательному анализу, возможности сравнительной оценки различных однотипных АРМ с целью выбора наиболее предпочтительного.
2. Должностная инструкция бухгалтера-кассира
Выполняет работу по ведению бухгалтерского учета имущества, обязательств и хозяйственных операций (учет основных средств, товарно-материальных ценностей, затрат на производство, реализации продукции, результатов хозяйственно-финансовой деятельности, расчеты с поставщиками и заказчиками, а также за предоставленные услуги и т.п.).
Участвует в разработке и осуществлении мероприятий, направленных на соблюдение финансовой дисциплины и рациональное использование ресурсов. Осуществляет прием и контроль первичной документации по соответствующим участкам бухгалтерского учета и подготавливает их к счетной обработке. Отражает на счетах бухгалтерского учета операции, связанные с движением основных средств, товарно-материальных ценностей и денежных средств.
Составляет отчетные калькуляции себестоимости продукции (работ, услуг), выявляет источники образования потерь и непроизводительных затрат, подготавливает предложения по их предупреждению.
Производит начисление и перечисление налогов и сборов в федеральный, региональный и местный бюджеты, страховых взносов в государственные внебюджетные социальные фонды, платежей в банковские учреждения, средств на финансирование капитальных вложений, заработной платы рабочих и служащих, других выплат и платежей, а также отчисление средств на материальное стимулирование работников предприятия.
Обеспечивает руководителей, кредиторов, инвесторов, аудиторов и других пользователей бухгалтерской отчетности сопоставимой и достоверной бухгалтерской информацией по соответствующим направлениям (участкам) учета.
Разрабатывает рабочий план счетов, формы первичных документов, применяемые для оформления хозяйственных операций, по которым не предусмотрены типовые формы, а также формы документов для внутренней бухгалтерской отчетности, участвует в определении содержания основных приемов и методов ведения учета и технологии обработки бухгалтерской информации.
Участвует в проведении экономического анализа хозяйственно-финансовой деятельности предприятия по данным бухгалтерского учета и отчетности в целях выявления внутрихозяйственных резервов, осуществления режима экономии и мероприятий по совершенствованию документооборота, в разработке и внедрении прогрессивных форм и методов бухгалтерского учета на основе применения современных средств вычислительной техники, в проведении инвентаризаций денежных средств и товарно-материальных ценностей.
Подготавливает данные по соответствующим участкам бухгалтерского учета для составления отчетности, следит за сохранностью бухгалтерских документов, оформляет их в соответствии с установленным порядком для передачи в архив.
Выполняет работы по формированию, ведению и хранению базы данных бухгалтерской информации, вносит изменения в справочную и нормативную информацию, используемую при обработке данных.
Участвует в формулировании экономической постановки задач либо отдельных их этапов, решаемых с помощью вычислительной техники, определяет возможность использования готовых проектов, алгоритмов, пакетов прикладных программ, позволяющих создавать экономически обоснованные системы обработки экономической информации.
Должен знать: законодательные акты, постановления, распоряжения, приказы, руководящие, методические и нормативные материалы по организаций бухгалтерского учета имущества, обязательств и хозяйственных операций и составлению отчетности; формы и методы бухгалтерского учета на предприятии; план и корреспонденцию счетов; организацию документооборота по участкам бухгалтерского учета; порядок документального оформления и отражения на счетах бухгалтерского учета операций, связанных с движением основных средств, товарно-материальных ценностей и денежных средств; методы экономического анализа хозяйственно-финансовой деятельности предприятия; правила эксплуатации вычислительной техники; экономику, организацию труда и управления; рыночные методы хозяйствования; законодательство о труде; правила и нормы охраны труда. Требования к квалификации:
> бухгалтер I категории: высшее профессиональное (экономическое) образование и стаж работы в должности бухгалтера II категории не менее 3 лет.
> бухгалтер II категории: высшее профессиональное (экономическое) образование без предъявления требований к стажу работы или среднее профессиональное (экономическое) образование и стаж работы в должности бухгалтера не менее 3 лет.
> бухгалтер: среднее профессиональное (экономическое) образование без предъявления требований к стажу работы или специальная подготовка по установленной программе и стаж работы по учету и контролю не менее 3 лет.
> бухгалтер-кассир: среднее профессиональное (экономическое) образование без предъявления требований к стажу работы или специальная подготовка по установленной программе и стаж работы по учету и контролю не менее 3 лет.
3. Автоматизация работы
3.1. Описание программы
Программа предназначена для операциониста-кассира в Сбербанке для учета оплаты за предоставляемые населению услуги в зависимости от жилищной площади, количества проживающих и льгот владельца квартиры.
Интерфейс программы построен по принципу всплывающих меню. Для просмотра записей и проведения операций требуется выбрать соответствующий пункт меню.

рис. 1.
Для просмотра данных о домах и квартирах, требуется выбрать пункт "Загрузка дома".
Далее, из списка имеющихся домов выбирается требуемый. Для управления просмотром используются клавиши "ВВЕРХ" и "ВНИЗ", для выбора "ENTER".
Для удобства пользователя, в нижней части экрана имеется подсказка.

рис. 2.
Для добавления нового дома в главном меню требуется выбрать пункт "Новый дом". В подменю "Улица", "Номер дома", "Количество квартир" оператор вводит соответствующие данные.

рис. 3.
ВНИМАНИЕ: при вводе нового дома, по умолчанию устанавливается полная оплата с января текущего года до текущего месяца.
Для введения/корректировки данных о домах и квартирах, требуется выбрать пункт "Редактирование данных".

рис. 4.
Из списка имеющихся домов выбирается требуемый. Для управления просмотром используются клавиши "ВВЕРХ" и "ВНИЗ", для выбора "ENTER".

рис. 5.
На выбранной карточке квартиры перемещение осуществляется клавишами "ВВЕРХ","ВНИЗ", редактирование клавишей "ПРОБЕЛ", фиксация введенных данных - "ENTER".

рис. 6.
Для смены карточки квартиры (перехода на другую квартиру), выбирается пункт "Номер квартиры" и клавишами "ВПРАВО","ВЛЕВО" изменяется значение поля.
Изменения года, месяца осуществляются аналогично.
Для внесения/изменения данных об оплате, выбирается соответсвующий месяц и год, затем в полях "гор.вода", "хол.вода", "тепло", "плата за S" клавишей "ПРОБЕЛ" производятся изменения.
(X-не оплачено, √-оплачено).
Для удобства пользователя, в нижней части экрана имеется подсказка.
Для введения/корректировки данных по тарифам, требуется выбрать пункт "Работа с тарифами".

рис. 7.
Подменю позволяет просмотреть установленные тарифы, осуществить дополнение/редактирование имеющихся тарифов, сохранить новые тарифы.

рис. 8.
При просмотре тарифов, выводится следующая таблица:

рис. 9.
Выбор года осуществляется клавишами «вправо» и «влево». ESC-выход обратно в подменю.
Редактирование тарифов осуществляется путем выбора пункта подменю «Редактирования тарифов»:

рис. 10.
После выбора месяца и года, предлагается ввести тарифы за соответствующие услуги.

рис. 11.
Для сохранения измененных (введенных) тарифов следует выбрать пункт «Сохранение тарифов»:

рис. 12.
Выход из подменю осуществляется выбором пункта "Выход".

рис. 13.
Выход из программы осуществляется выбором пункта Выход в основной меню.

рис. 14.
3.2.Расшифровка идентификаторов и описание функций
Программа реализована на языке Borland C++ 3.01 и имеет следующие функции.
char *input(int posx,int posy, int kol) - функция считывающая количество kol символов и обеспечивает вывод их на экран в позиции posx, posy;
int question (char *que) – функция запроса согласия на выполнение действия *que;
void readkoef() - считывание коэффициентов из файла в kff;
void screennewkof(int y,int i) - ввод новых коэффициентов за i-тый месяц и
y-тый год;
void screenkoefic(int year) - функция вывода на экран тарифов за год year ;
void koefic() - управление выводом тарифов на экран
void nk(int y,int m,int n) - вывод на экран года y и месяца m при выборе на редактирование тарифов;
void newkof() - управление выбором года месяца для ввода новых тарифов;
void setzil(char fl[],int kolkvr) - записывает "нулевые" данные при создании нового дома;
void wrtwin(struct karta temp,int m,int y,int nmk) - вывод на экран информации о квартире за год y, месяц m;
void setkrt(struct karta temp,int m,int y,int nmk,int nom) - функция вывода информации при редактировании карты
void red(char fl[],int nomk) - управление при редактировании карточки дома;
void win(struct karta temp,int nmk) - управление выводом карт жильцов при просмотре;
void screen(int curpos,int n) - функциявыводжильцовдома;
void rabdom(char fl[],int kol) - управление выводом при просмотре дома;
void scrdom(struct dom temp[5],int nomact,int r) - вывод данных о файлах, домах, адресе и количестве квартир;
void deldom(struct dom m) - функция удаления дома;
int getdom() - функция загрузки дома;
void newdom() - функция создания нового дома
void rabk() - функция подменю тарифов и навигации в нем
void menu() - функция основного меню и навигации в нем
void main() - основная функция программы (тело программы)
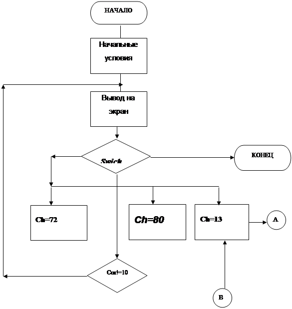
3.3. Блок-схема алгоритма работы программы

Рис. 15. Блок-схема алгоритма основной программы
Рис. 16.Блок-схема функции menu().
Рис. 17.Блок-схема функции menu()(продолжение).
Заключение
Таким образом, в результате выполнения данной работы можно отметить следующее:
Любая даже малая работа по автоматизации рабочего места бухгалетра-кассира резко повышает эффективность деятельности и значительно экономит время на поиск, обработку и выдачу данных. При этом также выигрывается точность и качество обслуживания.
Реализация программы на языке программирования С++ делает ее гибкой и удобной для дальнейшей переработки и трансформации при применении разработки в смежных областях.
В работе рассмотрены основные положения об автоматизации рабочего места, представлена должностная инструкция бухгалтера-кассира предложены мероприятия по автоматизации рабочего места бухгалтера-кассира ЖЭУ.
Список литературы
1С: Бухгалтерия (версия 7.5): руководство пользователя. – М.: Авис, 1998. – 215 с.
Введение в конфигурирование в 1С: Бухгалтерии 7.7. - М.: Компьютерра, 1999.
Галактика: руководство пользователя. - Новосибирск: Наука, 1999.
Операции в программе 1С: Предприятие / Под ред. О.А. Абрамова. - М.: Информатика+, 1999.
Дадько А.С. Бухгалтерский учет на компьютере. – М.: Амика-пресс, 1998. – 107 с.
Умнова Э.А., Чистов Д.В. Бухучет на ПЭВМ. - М.: Аурум-Плюс, 1998.
Харитонов С.А. Компьютерная бухгалтерия 7.7 в системе гибкой автоматизации бухучета. - М.: Прогресс, 1999.
Чистов Д.В. Компьютерный учет валютных операций. - М.: Изд. дом 1С, 1999.
Чистов Д.В. Основы компьютерной бухгалтерии. - М.: Информ-Пресс, 1998.
Чистов Д. Программа 1С: Предприятие и ее базовые модули. - М.: Информ-пресс, 1999.
Чистов Д. Хозяйственные операции в программе 1С: Предприятие. - М.: Информ-Пресс, 1999.
Шуремов Е.Л. Компьютерный учет торговых операций. - М.: изд. дом 1С, 1999.
|