Юрий Маханьков
Настоящая работа имеет своей целью рассмотрение вопросов связанных с опытами Физо, Майкельсона и Морли и, прежде всего, с возможностью другой интерпретации этих экспериментов, чем это сделано в Теории относительности созданной Эйнштейном. В Теории относительности в достаточной мере производится объяснение проводимых экспериментов по определению скорости распространения света, тем не менее, эти объяснения не могли удовлетворить любопытство автора предлагаемой Вашему вниманию работы. Скорее всего это связано с тем, что Теория относительности объясняет многие физические явления только чисто абстрактным представлением, что позволяет производить только математическое взвешивание этих явлений без объяснения их физической сущности. Хотя одно из основных положений диалектики, выдвинутое Лениным: «Абстрактной истины нет – истина всегда конкретна» в данном случае нарушается, тем не менее, в физике Теория относительности, а также многие другие занимают ведущее положение, хотя их «истина», прежде всего, абстрактна и не объясняет физической сути рассматриваемых процессов.
В случае если мы попытаемся рассмотреть абстракции Теории относительности конкретно, нам необходимо будет, прежде всего, согласиться с искривлением пространства, но в таком случае возникает вопрос, что конкретно в пространстве искривляется? Почему материя искривляет это своим присутствием? Да и каким образом должна быть устроена материя, чтобы это что-то в пространстве искривлять? Это, пожалуй, основные вопросы, которые возникают к Теории относительности. Вполне естественно, что они носят скорее философский характер, но ответ на них в значительной степени интересует и физиков, а также возможно и других ученых. Однако целью этой работы не является объяснение вышеупомянутых вопросов. Ее цель скорее понять, как может быть устроена материя, чтобы объяснить ее известные нам проявления, то есть ответы на такие вопросы как, что такое масса, инерциальные свойства, взаимодействия и многое другое, которое касается не абстрактных рассуждений на уровне весов, под названием математика, которая позволяет интерпретировать поведение чего угодно, не объясняя сути, то есть строения и физических связей.
Забиваем Сайты В ТОП КУВАЛДОЙ - Уникальные возможности от SeoHammer
Каждая ссылка анализируется по трем пакетам оценки: SEO, Трафик и SMM.
SeoHammer делает продвижение сайта прозрачным и простым занятием.
Ссылки, вечные ссылки, статьи, упоминания, пресс-релизы - используйте по максимуму потенциал SeoHammer для продвижения вашего сайта.
Что умеет делать SeoHammer
— Продвижение в один клик, интеллектуальный подбор запросов, покупка самых лучших ссылок с высокой степенью качества у лучших бирж ссылок.
— Регулярная проверка качества ссылок по более чем 100 показателям и ежедневный пересчет показателей качества проекта.
— Все известные форматы ссылок: арендные ссылки, вечные ссылки, публикации (упоминания, мнения, отзывы, статьи, пресс-релизы).
— SeoHammer покажет, где рост или падение, а также запросы, на которые нужно обратить внимание.
SeoHammer еще предоставляет технологию Буст, она ускоряет продвижение в десятки раз,
а первые результаты появляются уже в течение первых 7 дней.
Зарегистрироваться и Начать продвижение
При этом критика Теории относительности абсолютно не носит необходимый характер для этих объяснений, она связана скорее с тем, что автору противопоставляли эту теорию, которая ему ничего не объясняла.
Цель этой работы – объяснить исходные для Теории относительности опыты, с точки зрения того мировоззрения, которое в настоящее время сформировалось у ее автора. Вполне возможно, что это мировоззрение в чем-то неверно, нельзя забывать, что оно является чисто субъективным. Поэтому меня не будет шокировать возможная критика в мой адрес, скорее меня шокирует отсутствие таковой, что было уже неоднократно. Мне кажется, что для вступления этого достаточно и можно спокойно переходить к изложению сути, которая будет носить несколько философский характер.
Материя
Этому вопросу посвящено достаточно много статей, рассматривают возможные законы взаимодействия материи, законы познания, при этом, являясь материалистами, оставляют маленькую лазейку для идеализма. «Кто-то же эти законы диктует природе – материи?» Так вот, чтобы этой лазейки не было, попытаемся произвести выводы основных свойств материи, обладая которыми материя сама бы объясняла эти законы.
Свойство первое – материя бесконечна. Бесконечность эта может проявляться, не только в бесконечности пространства, или скажем времени, бесконечность проявляется во всем, даже в таких явлениях количество которых для нас ограничено, скажем взаимодействия – для нас их всего четыре, но это скорее за счет нашей ограниченности, так уже сейчас догадываются о существовании взаимодействий между галактиками, а о том, что ядерные взаимодействия могут быть разбиты на большее количество пока можно только фантазировать.
О бесконечности количества пространств, об этом возможно даже трудно фантазировать, но если я окажусь прав, то это может оказаться реальностью. Можно также рассматривать бесконечное количество частиц, ведь если даже рассматривать галактику, то и это в конечном итоге частица материи. Т.е. частицы материи являются организациями более мелких частиц и величина этой малости стремится к бесконечности – это относится к бесконечности структур организации частиц материи, а о том, что частиц с одинаковой структурой и одинаковых между собой, скажем протонов, бесконечное количество кажется всем ясно.
Вполне возможно, что бесконечность можно переносить и на другие стороны существования материи, хотя при ограниченном логическом аппарате которым обладаем мы, это несколько затруднительно.
Сервис онлайн-записи на собственном Telegram-боте
Попробуйте сервис онлайн-записи VisitTime на основе вашего собственного Telegram-бота:
— Разгрузит мастера, специалиста или компанию;
— Позволит гибко управлять расписанием и загрузкой;
— Разошлет оповещения о новых услугах или акциях;
— Позволит принять оплату на карту/кошелек/счет;
— Позволит записываться на групповые и персональные посещения;
— Поможет получить от клиента отзывы о визите к вам;
— Включает в себя сервис чаевых.
Для новых пользователей первый месяц бесплатно.
Зарегистрироваться в сервисе
Свойство второе – материи свойственна самоорганизация. Это свойство вытекает из первого, в бесконечной системе могут возникать любые сочетания частиц материи, как обладающие упорядоченной структурой, так и не обладающие ею. В данном случае всю систему материи в целом следует рассматривать как «Гомеостат Эшби», когда бесконечное количество существующего в системе энергетического возмущения частиц порождает их бесконечное количество всевозможных организаций и взаимодействий. Тем не менее мы имеем дело с ограниченным количеством всевозможных организаций по структуре – ядерные частицы, атомы, молекулы, мы сами и т.д. это связано прежде всего с наличием третьего свойства материи.
Свойство третье – наиболее часто встречаются те и только те структурно упорядоченные объединения частиц материи которые удовлетворяют условию: Тж
·cр
≥ 1, (где Тж
– время жизни, cр
– приведенная скорость размножения) если меньше единицы, то это приведет к вырождению частиц – объединений по данной структуре для этой части пространства.
В целом для всего пространства для устойчивых объединений, условие равенства единице сохраняется. Любые же возникающие объединения которые не удовлетворяют этому свойству будут иметь случайный характер и встречаться редко.
Для бесконечной системы вполне возможно, что для любых сочетаний возникающих объединений, условия равенства единице Тж
·cр
будут сохраняться. В таком случае только в отдельных частях пространства будут наблюдаться отклонения от единицы данного произведения. В зависимости от того в какую сторону будут наблюдаться отклонения от 1 для различных структур в той или иной части пространства будут встречаться те или иные объединения материи. В качестве иллюстрации можно привести такой пример, как существование жизни на Земле, условия на которой позволяют возникновению таких сложных объединений как живые существа (сложные с нашей точки зрения), при этом для Земли в целом на каком то этапе ее существования, для любого из возможных живых существ свойство третье удовлетворяется. При нарушении его, т.е. равенства 1, происходит нарушение экологической системы в результате чего одни виды, для которых это равенство меньше 1 исчезают, а другие, для которых оно больше единицы, начинают преобладать. В конечном итоге преобладающие виды будут стремиться к Тж
·cр
=1, а со временем при изменении условий «возможно» и меньше 1. По-видимому это свойство необходимо отнести и к неживой природе.
Так если рассматривать трансурановые элементы, то для них в наших условиях приводимое произведение меньше 1, но раз они вообще имеют место, то, следовательно, есть области пространства, где это произведение больше 1 т.е. происходит их образование.
Так как в бесконечном свойстве материи заложено, и бесконечное количество возможных вариантов, практически рассмотреть все их нет смысла. Пожалуй, имеет смысл рассматривать только те варианты объединений и взаимодействий материи, которые в той или иной степени могут представлять интерес для нашей системы. Поэтому рассмотрим только часть материи, состоящую из бесконечного количества маленьких частиц, существующих бесконечное количество времени в бесконечном пространстве и находящихся под воздействием бесконечного количества энергетических возмущений.
Вполне очевидно, что такая система может рассматриваться, как чисто физическая среда, обладающая такими характеристиками, как давление, плотность, скорость распространения возмущений, температура и т.д. Единственное отличие от тех реальных физических сред с которыми мы привыкли иметь дело заключается в том, что если принимать частицы материи как исчезающие малые, такую среду можно рассматривать как абсолютно подвижную, т.е. частицы материи в такой среде могут иметь относительно друг друга любую скорость движения. (Это, впрочем, противоречит Теории относительности, поэтому в дальнейшем придется провести некоторые выводы на основании формул Лоренца, на которые опирается данная теория, для того чтобы вывести несоответствие самой Теории относительности в данном вопросе.)
В такой системе энергетические возмущения, которые можно рассматривать как изменения плотности, давления, температуры или всех этих характеристик вместе, приведут к перераспределению частиц материи. За счет этих перераспределений вполне возможно и будут возникать устойчивые структурные объединения. Одно из них будет описано дальше в этой работе.
Перейдем к такому важному вопросу как взаимодействия, где собственно и будет затронута Теория относительности.
Взаимодействия
Для начала проведем небольшой мысленный эксперимент.
Пускай мы имеем, некоторую неподвижную систему А, относительно которой движется некоторое тело В, причем это тело излучает свет во все стороны. Считаем, что система А ограничена некоторой поверхностью и представляет из себя полость внутри которой происходит движение тела В. Тогда вполне очевидно, что энергия излучаемая телом В будет передана стенкам полости, а следовательно перейдет в систему А, тело В при этом потеряет часть своей массы, которая уйдет на излучение. Таким образом, задача сводится к тому, чтобы определить какое количество энергии излучено телом и какое количество воспринято полостью.
Из курса физики для каждого отдельного фотона можно записать, что его энергия равна:
Wф
= h · vф
Но частота фотона согласно преобразованию Лоренца будет равна:

где β = v / c,
v – скорость движения тела относительно полости,
c – скорость распространения света.
Т.е. в каждой точке стенок полости мы будем воспринимать фотоны с различной частотой, в зависимости от направления движения и скорости тела В относительно полости.
При этом общая энергия, которая излучена телом будет равна:

а энергия воспринятая полностью:

где I = dn/dψ,
n – количество излучаемых фотонов,
ψ – телесный угол.
Считая, что тело В излучает во всех направлениях энергию I=const и с одинаковой частотой получаем, что энергия излучаемая телом будет равна:
Wu
= 4πnvI,
а воспринятая полостью, т.е. перешедшая в неподвижное пространство:

Отсюда нетрудно получить зависимость передаваемой энергии от подвижного, относительно полости, тела к полости как функцию от относительной его скорости:

При β = 1 получается неопределенность ∞ × 0, которая разрешается при помощи правила Лопиталя и приводит к Wb
/Wu
=0, при β = 0, неопределенность 0/0.
Wb
/Wu
= 0 | β = 1; Wb
/Wu
= 1 | β = 0.
Подставляя значения для скорости, несложно получить следующую таблицу зависимости Wb
/Wi
= F(v):
| β |
0 |
0,4 |
0,5 |
0,6 |
0,7 |
0,8 |
0,9 |
0,95 |
1 |
| Wb
/Wi
|
1 |
0,96 |
0,95 |
0,65 |
0,45 |
0,3 |
0,18 |
0,1 |
0 |
Однако согласно Теории относительности при излучении фотонов источник должен потерять массу:
Δm = Wu
/ c2
= 4πnvI / c2
.
При этом в пространство, относительно которого источник движется должна передаться энергия:

и отношение энергии при этом будет соответственно равно:
Wb
/Wu
= 1 / √(1 – β2
),
т.е. воспринимаемая полностью энергия будет в раз 1/√(1 – β2
) раз больше чем излучаемая.
Таким образом получаем, что одна и та же задача решенная с помощью преобразований Лоренца и теории относительности, которая базируется на преобразованиях Лоренца, имеет диаметрально противоположные ответы. Что это, очередной парадокс теории относительности?
Но если теперь представить, что ограничение по скорости движения относительно друг друга не существует (Теория относительности доказывает обратное), а взаимодействия между движущимися системами определяется их относительной скоростью, то вполне очевидно, что в каждой точке пространства мы можем иметь какое угодно количество подпространств, отделенных друг от друга только скоростью их относительного движения. В данном случае степень взаимодействия между отдельными частицами в зависимости от скорости относительного движения будет описываться некоторой функцией F(v), определению которой будут посвящены дальнейшие рассуждения. F(v) описывает в первую очередь взаимодействия между пространствами и для электромагнитных взаимодействий привязывается к скорости света, для гравитационных к скорости распространения гравитационных возмущений, для ядерных соответственно – ядерных возмущений и т.д.
Таким образом, пускай мы имеем систему состоящую из n количества пространств, которые отличаются друг от друга относительной скоростью движения, при этом n→∞. Вполне очевидно, что если некоторая функция F(v) определяет взаимодействия между частицами одного пространства в зависимости от скорости движения, а F(v) взаимодействия в другом пространстве, то между этими пространствами будет происходить взаимодействие F(v), которое определяется количеством общих для обоих подпространств частиц, а также степенью их взаимодействия с каждым из подпространств. Отсюда, взаимодействие за счет одной частицы принадлежащей обоим подпространствам будет ΔF = F(v1
) · F(v2
).
Учитывая, что (v1
– v2
) = v, где v – относительная скорость движения подпространств, можно записать:
ΔF = F(v1
) · F(v1
+ v).
В свою очередь, так как обе системы отсчета одинаковы, т.е. ни одна из систем не является преимущественной, а функция F(v1
); F(v2
) взаимодействий определяется одним и тем же законом. Предположим, что F(v) выглядит следующим образом для каждого из подпространств:

Рис. 1.
Но так как общее количество частиц принадлежащих каждому из подпространств стремится к бесконечности, то общее взаимодействие между обоими подпространствами будет определяться суммой всех взаимодействующих частиц и будет стремиться к

или учитывая, что (v2
– v1
) = v

Полученное интегральное уравнение может иметь бесконечное количество решений, каждое из которых может быть привязано к определенным условиям.
В данном случае нами рассматривалось, что в какой бы системе мы ни находились и с какой бы скоростью не двигались относительно чего-либо, скорость распространения возмущения (света) везде будет определяться только условиями той системы в которой мы находимся, или производятся измерения, в частности плотностью материи ее температурой и т.д.
На этом, несколько незаконченном, общем подходе к материи как к бесконечной системе из которого возможно немного стало ясно независимость системы отсчета при определении конкретных величин, физического характера, мне кажется, следует закончить.
Что касается опытов Физо и Майкельсона, то оба эксперимента прежде всего доказывают независимость систем отсчета и в одинаковой степени могут служить, как для построения Теории относительности, так и любой другой, где будет соблюдаться принцип независимости систем отсчета.
Снова материя
В этой главе прежде всего пойдет речь об одном из возможных вариантов организации более мелких частиц материи в более крупные, при этом нам придется пользоваться теми немногими выводами произведенными ранее.
Таким образом, для построения возможной модели частицы материи, в нашем распоряжении имеется бесконечное пространство, заполненное бесконечным количеством частиц и существующее бесконечное количество времени, при этом в полученной таким образом среде может существовать сколько угодно больших или малых энергетических возмущений. Вполне очевидно, что в такой среде могут встречаться любые возможные объединения более мелких частиц в более крупные. Однако нас будут интересовать только устойчивые объединения, т.е. такие которые для одной из областей пространства будут удовлетворять третьему свойству материи. Поскольку проводить перебор всевозможных объединений практически невозможно, мы воспользуемся одной из известных моделей в Астрофизике под названием гравитационный коллапс. Однако, рассматривать явление коллапса мы будем несколько в другом плане.
Пускай в рассматриваемой среде в результате энергетических возмущений в некоторых точках пространства давление ниже, чем в остальных точках, тогда частицы материи из остальных точек пространства устремятся к образовавшейся таким образом области разряжения, при этом скорость которую приобретут частицы относительно друг друга будет определяться перепадом давлений и к центру разряжения. В тоже время необходимо учитывать, что в центре разряжения скорость распространения возмущений будет меньше, чем в открытом пространстве. Таким образом, встречные потоки частиц материи могут встречаться со скоростью большей скорости распространения возмущений (скорость света), однако как видно из предыдущих рассуждений о том, что взаимодействия между частицами уменьшаются по мере увеличения их относительной скорости и будет равно 0, при скорости равной или несколько большей скорости света. (Это вытекает также из Теории относительности – массы тел относительно друг друга будут мнимыми при их относительной скорости большей скорости света). Но в таком случае частицы материи двигающиеся к центру разряжения будут беспрепятственно покидать область разряжения не взаимодействуя с встречным потоком. Такая область, следовательно, может существовать устойчиво в пространстве достаточно большое время.
Подобное явление можно рассматривать как коллапс давления. Если не учитывать возможные завихрения возникающие при таком коллапсе, то скорость движения частиц можно определить исходя из уравнения движения используемого в гидроаэродинамике.
2W×v + grad (v 2
/2) + ∂V/∂t = F – (1/ρ) grad p
для безвихревого движения: F = 0, 2W×v = 0, ∂v/∂t = 0
grad (v 2
/2) = – (1/ρ) grad p.
Частный случай решения этого уравнения при ρ = const будет v=K/r2
В данном случае нами предполагается, что изменение давления может происходить за счет изменения таких характеристик среды, как температура без изменения ее плотности. Подобное динамическое объединение частиц материи можно рассматривать, как более крупную частицу материи. В дальнейшем если произвести рассмотрение подобной модели с учетом вихревых движений, то несложно будет получить модель галактик со всеми вытекающими физическими законами и явлениями действующими в последних, одновременно, это может быть и моделью атома. Однако для рассмотрения полных моделей необходимы более значительные затраты времени и поэтому в данном случае они рассматриваться не будут.
Исходя из полученных результатов, несложно определить размеры полученных гипотетических частиц материи для внешнего пространства в их трансформацию, в случае движения последних относительно данного пространства. Так если рассматривать скорость распространения возмущения как c – скорость света, то электрический радиус частиц материи будет равен. (В данном случае под электрическим подразумевается тот радиус частицы материи, который в какой-то мере определяет ее электрические взаимодействия, либо, как это будет показано далее, ядерные).
r0
= √(K/v), v = c, r0
= √(K/c)
для случая если частица неподвижна относительно выбранного пространства. Если частица движется относительно этого пространства, то с учетом сокращения Лоренца ее размеры будут иметь следующую зависимость от скорости движения относительно наблюдателя:

где v – относительная скорость движения между частицей и наблюдателем,
α – угол между направлением движения и направлением по которому определяется радиус частицы r.
Как видно из данного выражения, при движении частиц близком к скорости «света», последняя будет сплющиваться в плоскости нормальной к направлению движения и растягиваться в этой плоскости, для наблюдателя. Конечно интересно было бы рассмотреть поведение объема занимаемого частицей, в данном случае процессы происходящие внутри этого объема наблюдаться не могут, так как скорость частиц в нем больше скорости распространения света, и таким образом еще раз вывести, что скорость взаимодействия частицы с наблюдателем зависит от их относительной скорости, а конкретней уменьшаются с увеличением скорости.
На этом можно закончить упрощенное рассмотрение одной из возможных моделей организации частиц материи. Перейдем к рассмотрению взаимодействий между двумя областями разряжения (частицами) построенными по модели коллапса давления.
Взаимодействия
Как говорилось ранее область разряжения частиц материи может существовать устойчиво достаточное время в пространстве при условии, что частицы материи встречаются в центре области разряжения со скоростью большей, чем скорость распространения взаимодействий. Вполне очевидно, что подобная область разряжения будет прежде всего характеризоваться потоками материи втекающими в область разряжения и вытекающими из нее.
Если в нашем распоряжении будет две или несколько подобных областей, то эти области должны взаимодействовать друг с другом за счет взаимодействия последних. Взаимодействия должны приводить к изменению взаимных положений областей разряжения, в конечном итоге эти изменения и рассматриваются как наличие взаимодействия.
Произведем рассмотрения взаимодействий между двумя областями, за счет втекающих и вытекающих потоков частиц.
Пускай мы имеем две области расположенные на расстоянии 2a друг от друга, при этом часть частиц из остального пространства будет ускоряться в одну область, а часть в другую область, причем энергия, которая будет приобретаться потоками частиц при таком ускорении со стороны соседней частицы будет меньше, чем энергия потоков со стороны свободного пространства. (Это один из подходов к выяснению взаимодействия). В результате такого неравенства возникнет реактивный момент, что приведет к движению частиц друг от друга (взаимодействия между двумя протонами).
Попробуем произвести количественную оценку подобного взаимодействия. Энергия частицы в потоке будет равна:
ΔW = mv2
/2
Если произвести интегрирование для всего количества частиц двигающихся к центру разряжения, то получится полная энергия связанная областью разряжения.
W = – (2πK2
ρ) / r0
= (2πK2
ρ√K) / √c
В случае если в пространстве находится две области разряжения, то полная энергия связанная каждой областью разряжения будет несколько меньше за счет уменьшения количества поступающих частиц.

Рис. 2.
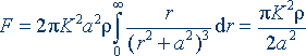
Возникающий при этом реактивный момент, приводящий к отталкиванию областей разряжения друг от друга, с силой F можно вычислить если предположить, что вместо второй области разряжения на расстоянии a от области разряжения находится непроницаемый для частиц материи экран. В таком случае, как это видно из рис.2, можно считать.
ΔF = Δmv = v2
ρΔS = [(v2
a2
ρ) / (r2
+ a2
)] 2πrdr ,
где ΔF – сила, действующая на область разряжения за счет отсутствия поступления в последнюю частиц материи массой Δm и имеющих скорость v.
Подставив v = F(r), получим:
ΔF = [(K2
a2
ρ) / (r2
+ a2
)3
] 2πrdr .
Произведем интегрирование по всей поверхности экрана для всех ΔF, в результате чего получим значение силы действующей на область разряжения со стороны свободного пространства:

Как видно из данного выражения, взаимодействия между двумя областями разряжения обратно пропорциональны квадрату расстояния между ними и направлены на расталкивание областей разряжения друг от друга. Полученную модель взаимодействия можно интерпретировать как взаимодействие между двумя протонами за счет электрических полей.
Таким образом, нами рассмотрено взаимодействие между двумя моделями частиц материи, возникающее в результате перераспределения коллапсирующих потоков, направленных к центру каждой из рассматриваемых частиц.
Кроме этого взаимодействия. Частицы материи выходящие из области разряжения, (более крупной частицы материи) со скоростью большей скорости распространения возмущений, входя в другую область разряжения, будут передавать свою энергию частицам материи коллапсирующим в другой области разряжения, так как при этом их скорость относительно последних может оказаться меньше скорости распространения возмущения для данной области пространства. В результате рассматриваемого процесса, часть частиц в другой области разряжения получит дополнительное ускорение, что приведет к сдвигу границы области разряжения, (частицы материи) в направлении к потоку частиц, поступающих из первой области разряжения. Такое перемещение можно интерпретировать как силы притяжения между двумя областями разряжения (частицами материи), ядерные гравитация и др.
Произведем упрощенный расчет возникающих таким путем сил притяжения, исходя из того, что в нашем распоряжении имеется две области разряжения расположенные на расстоянии 2a друг от друга.

Рис. 3.
При этом поток расходящихся частиц от одной области разряжения будет захватываться не полностью другой областью, а только частично, причем радиус захвата для другой области разряжения будет равен r. Как нетрудно определить (см. рис.3) реактивный момент, возникающий за счет захвата частиц потока, при условии, что r << a, будет равен:
F = ρv2
S, v = c, S = π (r0
r' / 2a)2
, F = ρ(cr0
r')2
/ 4a2
,
где r0
– радиус области разряжения, частный случай – электрический радиус частицы;
r' – радиус взаимодействия разлетающихся и коллапсирующих потоков.
Как видно из данного выражения, взаимодействие между двумя областями разряжения (частицами), вызываемое расходящимися потоками, зависит в первом приближении от квадрата расстояния между ними. Для более точного определения этого взаимодействия необходимо произвести вычисление r'=F(a), а также дополнительное увеличение скорости разлетающихся частиц и др. Таким образом нами была рассмотрена простейшая модель возможной организации более мелких частиц в более крупную, а также взаимодействия, которые могут возникнуть между такими моделями (частицами построенными по этим моделям).
Из этой модели несложно определить инерционные свойства частиц материи построенных таким образом, а также связанную частицами энергию пространства и плотность энергии в подпространстве.
Микро-, макро-, мега- мир
В этой главе не будет математики – просто потому, что над ней необходимо еще работать, в ней будет только небольшое количество качественных связей, которые могут иметь место, если производить дальнейшее рассмотрение модели организации частиц по принципу коллапса давления.
В ранее приведенных рассуждениях использовалась упрощенная модель движения частиц материи без учета вихревого движения, которое обязательно должно возникнуть при существовании подобной модели в реальных условиях. Если рассматривать развитие этого вихревого движения то коллапс будет происходить по спирали, в тоже время в самих спиралях возникнут своеобразные вихри, что приведет к тому, что вылетающие из области разряжения частицы материи начнут взаимодействие с некоторыми областями вихрей. В результате подобного усложнения модели уже не все частицы материи будут разлетаться от области разряжения в свободное пространство, часть из них будет снова втягиваться через вихри в область разряжения.
Если производить дальнейшее рассмотрение поведения организовавшихся подобным образом вихрей, то нетрудно будет заметить, что подобная система, вместе с областью разряжения, будет напоминать такое известное нам объединение, как галактика. Определение же взаимодействий в такой системе за счет потоков частиц может дать ответы на такие вопросы, как форма магнитного поля в галактике, распределение водорода, зоны образования частиц материи, в частности устойчивых (протонов, нейтронов и электронов), взаимодействия внутри галактики и между галактиками. Однако необходимо отметить, что подобная модель галактики в различных областях ее будет иметь различное давление среды более мелких частиц материи, собственно за счет этого и происходит движение последних. Вместе с тем эти частицы материи организуют известные нам частицы, такие как протоны и др., возможно также за счет коллапса. Взаимодействия между этими частицами будут определяться не только потоками частиц, но и давлением в области галактики, где находятся эти частицы. В областях галактики, где давление будет возрастать, будут возрастать и взаимодействия и наоборот, скорость распространения возмущений (скорость света) будет также изменяться, поэтому условия сохранения коллапса давления для каждой частицы в отдельности, при ее переходе из одной области галактики в другую будет сохраняться. Однако изменение ядерных взаимодействий, приведет к тому, что устойчивость тяжелых элементов будет зависеть от их положения в галактике. Общая тенденция движения материи в галактике, до прохождения частицами материи области коллапса (центра галактики), проходит в сторону уменьшения давления. Отсюда вытекает, что по мере своего движения в любой звездной системе максимальный вес устойчивых элементов будет падать. Для нашей системы это значит, что со временем будет радиоактивным такой элемент, как свинец, а затем и ниже. Значительный интерес могут представлять в данном случае всевозможные флюктуации в движении, в результате которых могут происходить быстрые переходы из одной области галактики в другую, с резкими понижениями в давлении, что может привести к взрыву переходящих тел, состоящих из тяжелых элементов. Наиболее часто такие переходы происходят при движении тел от одного рукава галактики к другому. В результате взрывов звезд состоящих из тяжелых элементов при описанных выше переходах, часть элементов входящих в состав звезды разбрасывается в окружающее пространство, образуя облако из распадающихся элементов, из этого облака в дальнейшем может происходить образование планетных систем. Если проследить процессы взрыва более полно, то можно заметить, что при определенных условиях разлагается только центральная часть звезды, состоящая из тяжелых элементов. В результате может происходить формирование звездных систем, содержащих в своем составе звезду из более легких элементов и планеты из более тяжелых. В последующих переходах звезд с подобными планетными системами в области с еще более низким давлением будут происходить взрывы планет, состоящих из более тяжелых элементов. При этом, возможно будут организовываться разлетающиеся кольцевые туманности, со звездой в центре.
Таким образом, можно рассматривать некоторые процессы, происходящие в галактике, собственно ими можно объяснить большое количество водорода в центре рукавов – остальные элементы там будут неустойчивы, а также в областях близких к центральной части галактики. Если продолжать рассматривать взаимодействия в полученной модели коллапса давления, то несложно будет вывести, что модель рукава галактики является моделью электрона в атоме. Конечно, можно логически построить и модели поведения подобного электрона, из которых вытекает, что электрон, как частица проявляет себя только в присутствии протонов, в свободном пространстве он будет расширяться и на больших расстояниях от протонов будет неустойчив.
Теперь несколько слов о мега мире, если принять во внимание, что наша Вселенная находится в состоянии до или после коллапса Мега мира, то она действительно будет расширяться, однако это расширение в нашей системе трудно зафиксировать, также как трудно зафиксировать расширение материи в галактике, находясь при этом внутри атома. Однако всем нам известно, что существует красное смещение в спектрах галактик, которое мы наблюдаем и по которому производится отсчет расстояний до этих галактик. Это смещение можно объяснить не только расширением Вселенной, но и за счет того, что среда в которой распространяется свет коллапсирует к галактикам. Правда при этом красное смещение будет являться нелинейной функцией от расстояния между галактиками, а также от положения наблюдателя в галактике. Если непосредственно рассматривать движение нашей Солнечной системы в галактике, исходя из выше приведенных рассуждений, то, вращаясь вокруг центра рукава галактики, наша система будет поочередно проходить области с повышенным давлением, там где движение ее будет происходить в направлении от центра галактики, и с пониженным давлением, при движении к центру галактики, а также в области расположенной ближе к центру галактики. В результате такого движения в Солнечной системе будут происходить изменения взаимодействий, как ядерных, так и гравитационных, при этом планеты систем будут то удаляться, то приближаться к Солнцу, одновременно будет изменяться и солнечная активность, как результат этого, будет изменяться поступление энергии со стороны Солнца на планеты (ледниковые периоды). Однако устойчивость тяжелых элементов будет также изменяться, что может привести к компенсации уменьшения притока энергии, за счет распада тяжелых элементов (повышение геологической активности Земли). Наконец при быстрых переходах из областей, в которых происходит движение нашей системы по спирали вокруг центра рукава галактики, к центру рукава, либо в сторону от рукава, может произойти быстрое уменьшение взаимодействий, что может привести к сильному разогреву, а возможно и к взрыву планет, в результате быстрого распада тяжелых элементов.
Заключение
Вашему вниманию были предложены некоторые из возможных подходов к анализу процессов происходящих в окружающем нас Мире – это, прежде всего рассмотрение основных свойств материи, применение которых позволило несколько иначе интерпретировать некоторые физические явления, хотя и со значительным упрощением. Необходимо отметить, что более детальное развитие анализа происходящих явлений требует значительных затрат во времени, да и значительного запаса знаний, это требует подключения коллектива для работы в предлагаемом направлении. Вполне естественно, что изложенная точка зрения на физическую природу затрагиваемых явлений является субъективной, а поэтому не может претендовать на абсолютную истину, но я надеюсь, что некоторые из положений могут объяснить правильно часть физических явлений. Что касается практической проверки, то помимо известных мне явлений, которые вписывались в рассматриваемые модели, можно предложить проведение некоторых экспериментов. Одним из них является изучение активности радиоактивных элементов на поверхности Земли и в космосе, а также в реакторах при облучении зоны реакции электромагнитными полями.
Помимо предлагавшейся Вашему вниманию устойчивой модели коллапса, можно рассматривать и другие модели, так в некоторой степени я представляю, как может устойчиво существовать модель антиколлапса, хотя недостаточно ясно, для того чтобы производить из нее построение связанных систем.
|