В.И. Шаповалов
Обращение к социокультурным реалиям, к теории и практике школьного образования позволяет сделать важный частный вывод о существующих противоречиях между быстро развивающейся теоретико-методологической базой инновационного педагогического менеджмента и его слабым использованием (внедрением) в школьной практике.
Развитие инновационного педагогического менеджмента обусловлено, с одной стороны, возникшей в результате социально-экономических преобразований в России потребности в новом типе управления образованием и образовательными процессами, с другой, - требованиями, которые предъявляет изменяющаяся среда к конкурентоспособности выпускника школ.
Педагогический менеджмент можно рассматривать как альтернативу административно-командного управления школой, но альтернативу не отрицающую, а преобразующую управление с учетом всего положительного, что, безусловно, имело место в управлении образованием в прошлом.
Установлено, что однозначного определения менеджмента (В.Р. Веснин, О.С. Виханский, Н.Н Герчикова, Р.А. Фатхутдинов, Ф.М. Руссинов и др.) и педагогического менеджмента (Ю.А. Ко-наржевский, Т.И. Шамова, В.П. Симонов и др.) в настоящее время все еще не существует, так что обобщенный образ педагогического менеджмента включает в себя следующие дефиниции:
— управление процессом обучения и воспитания в их системной взаимосвязи: совокупность принципов, методов, средств и форм управления учебным процессом с целью повышения его эффективности;
— умение педагога добиваться поставленных целей, используя труд, интеллект, мотивы поведения учащихся; способ, манеры обращения с учащимися и искусство управления учебным процессом;
— новую область педагогического знания, основанную на предположении, что методы мышления, развитые естественными науками, могут и должны быть применены к обучению человека и групп людей;
— интегративный процесс, с помощью которого профессионально подготовленные педагоги формируют ученический коллектив в целом и отдельных ее членов в частности и управляют осуществляемой ими учебной деятельностью путем постановки целей и способов их достижения, разрабатываемых совместно с учениками;
Забиваем Сайты В ТОП КУВАЛДОЙ - Уникальные возможности от SeoHammer
Каждая ссылка анализируется по трем пакетам оценки: SEO, Трафик и SMM.
SeoHammer делает продвижение сайта прозрачным и простым занятием.
Ссылки, вечные ссылки, статьи, упоминания, пресс-релизы - используйте по максимуму потенциал SeoHammer для продвижения вашего сайта.
Что умеет делать SeoHammer
— Продвижение в один клик, интеллектуальный подбор запросов, покупка самых лучших ссылок с высокой степенью качества у лучших бирж ссылок.
— Регулярная проверка качества ссылок по более чем 100 показателям и ежедневный пересчет показателей качества проекта.
— Все известные форматы ссылок: арендные ссылки, вечные ссылки, публикации (упоминания, мнения, отзывы, статьи, пресс-релизы).
— SeoHammer покажет, где рост или падение, а также запросы, на которые нужно обратить внимание.
SeoHammer еще предоставляет технологию Буст, она ускоряет продвижение в десятки раз,
а первые результаты появляются уже в течение первых 7 дней.
Зарегистрироваться и Начать продвижение
— вид профессиональной деятельности педагога по организации процессов достижения учащимися системы учебно-воспитательных целей, принимаемых и реализуемых с использованием научных педагогических подходов, образовательных концепций и человеческого фактора;
— педагогическая деятельность, отличающаяся преимущественно умственным и творческим характером работы, в которой постановка целей, принятие решений, разработка способов и путей их достижения, а также организация совместной деятельности учащихся с обязательным синергетическим эффектом составляют ее главный смысл и содержание;
— педагогическая деятельность, предметом которой является информация, преобразующаяся с целью принятия решений, направленных на изменение состояния управляемого объекта.
Историческими предпосылками педагогического менеджмента являются, во-первых, теоретические знания и практические навыки, приобретенные на разных этапах развития менеджмента как области управленческих знаний, во-вторых, социально-экономические и социокультурные условия развития новой России. Содержательно они подразделяются на три парадигмы: рациональную (технократическую), гуманистическую (социально-психологическую) и системную. Эти парадигмы, преимущественно утверждая принципы управленческой деятельности в производственных организациях, неизменно оказывали существенное влияние на организацию управленческой деятельности в образовательных учреждениях, доказывая универсальность принципов управления, введенных Н. Винером.
В условиях рыночной экономики проблема формирования кадрового потенциала, способного не только противостоять всем изменениям, происходящим в обществе, но и взять на себя в недалеком будущем управление социально-экономическими процессами, становится генеральной линией системы образования. Действительно, на сегодняшних школьников ляжет вся тяжесть проблем, которые необходимо будет решать в свободном обществе цивилизованных конкурентных рыночных отношений. Таким образом, направленность образовательного процесса на создание условий для воспитания и обучения конкурентоспособной личности является стратегической задачей школьного образования.
А.А. Кирсанов отмечает, что высокий уровень конкурентоспособности -важнейшее требование учащегося как будущего специалиста, который, по сути, определяет степень его профессиональной компетентности.
Конкурентоспособность - социально ориентированная система способностей, свойств и качеств личности, характеризующая ее потенциальные возможности в достижении успеха (в учебе, профессиональной и внепрофессиональ-ной жизнедеятельности), определяющая адекватное индивидуальное поведение в динамически изменяющихся условиях, обеспечивающая внутреннюю уверенность в себе, гармонию с собой и окружающим миром. Для формирования таких социально ориентированных качеств личности необходимы новые, инновационные по своей сущности условия, которые в традиционно функционирующей системе школьного образования создать не удается. Результаты социологических опросов практически подтверждают необходимость проведения такого рода инноваций в школе и прежде всего тех, которые интегрируют ее в социокультурную сферу, поскольку именно здесь учащиеся испытывают наибольшие затруднения. По данным социологического опроса в области трудоустройства, 68 % учащихся выпускных классов испытывают тревогу по поводу будущего трудоустройства; в области социально-экономической политики — более 63 % учащихся считают ее несовершенной и бесперспективной для будущего сегодняшней молодежи; в области социальной защищенности — 37 % молодых людей видят угрозу своей свободе со стороны государства; в области образования - более 50 % не удовлетворены школьной подготовкой, 27% - чувствуют ущемление со стороны учителей, 42% учащихся старших классов не хотят ходить в школу. На этом фоне несколько обнадеживает, что 56% учащихся готовы потратить свое время на интересующие их занятия.
Сервис онлайн-записи на собственном Telegram-боте
Попробуйте сервис онлайн-записи VisitTime на основе вашего собственного Telegram-бота:
— Разгрузит мастера, специалиста или компанию;
— Позволит гибко управлять расписанием и загрузкой;
— Разошлет оповещения о новых услугах или акциях;
— Позволит принять оплату на карту/кошелек/счет;
— Позволит записываться на групповые и персональные посещения;
— Поможет получить от клиента отзывы о визите к вам;
— Включает в себя сервис чаевых.
Для новых пользователей первый месяц бесплатно.
Зарегистрироваться в сервисе
Определение структуры конкурентоспособности предполагает упорядочивание качеств и параметров, ее характеризующих, в соответствующую теоретическую модель. В работе предлагается модель, которая включает сущностные признаки и структурные компоненты конкурентоспособности и соответствующий набор параметров, конкретизирующих содержание структурных компонентов.
На основе анализа теоретических работ по психологии личности (А.А. Бодалев, Е.А. Климов, Б.Ф.Ломов, Л.М. Митина, С.Л. Рубинштейн и др.) в качестве сущностных признаков конкурентоспособности нами выделены: интеллектуальный потенциал, самоактуализация, адекватная самооценка, самообучение, коммуникабельность, интернальность, нравственный императив, способность принимать ответственные решения, ценностно-ориентированная адекватность, готовность к профессиональному самоопределению.
С позиций структурно-функционального подхода нами выделяются следующие компоненты конкурентоспособности - парадигмально-прогностический, информационно-содержательный, опера-ционально-деятельностный, мотивацион-но-ценностный и эмоционально-волевой. Каждый из компонентов является относительно самостоятельной подструктурой, которая в то же время подчиняется общим законам развития личности и воплощает в себе единство сознания, деятельности и общественных отношений.
Парадигмально-прогностический компонент предполагает выявление личностных перспектив конкурентоспособного поведения (КС-поведения), самосовершенствование в соответствии с идеальной моделью КС-поведения.
Информационно-содержательный компонент образует комплекс знаний, связанных с «Я-концепцией», определением стратегии и тактики КС-поведения, принятием решения, самооценкой, коммуникативными и регулятивными действиями.
Операционально-деятельностный компонент составляют умения и навыки познавательного, коммуникативного, регулятивного и иного характера, определяющие успешность КС-поведения.
Мотивационно-ценностный компонент отражает ценностные ориентации личности, стремление к нравственному самосовершенствованию, позитивную установку на различные виды социально значимой активности, потребности самоактуализации, самоутверждения, самовыражения, саморазвития.
Эмоционально-волевой компонент включает ответственность, самостоятельность, инициативность, уверенность в себе, сопереживание, самоконтроль.
Систематизация качеств конкурентоспособности - это задача не только теоретическая, но главное - практическая, касающаяся критериев социокультурного развития и личностного самосовершенствования каждого человека в отдельности. В ходе исследования структурные составляющие конкурентоспособности конкретизированы в наборе определенных параметров, которые в формальном плане разделены на две группы: показатели надежности предметно-средовых знаний (что соответствует информационно-содержательному и опера-ционально-деятельностному компонентам) и показатели надежности личностного саморазвития (что соответствует парадигмально-прогностическому, моти-вационно-ценностному и эмоционально-волевому компонентам) (рис. 1).
Степень развития указанных компонентов, представленная в виде обобщенного интегрального индекса, может быть принята как показатель уровня конкурентоспособности.
Это можно выразить в виде математической записи графического представления (рис. 1):
KC = F(Рзн; Рлич)
или КС = Рзн * Р лич, где КС - индекс конкурентоспособности (вероятность достижения успеха);
F - обозначение знака функциональной зависимости; Р зн — уровень развития личности в предметной области; Рлич - уровень социально ориентированного развития личности.

Уровень личностного саморазвития Рис. 1. Модель конкурентоспособной личности
Для практического исследования уровня конкурентоспособности конкретного учащегося предлагается схема, основанная на двумерном подходе к пониманию рассматриваемого свойства личности.
Схематичное описание модели предполагает наличие двух векторов, которые отражают конкурентоспособность личности в области предметных знаний (ось ординат) и в области социально-ориентированного развития (ось абсцисс) (рис.1).
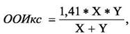
Параметры в своей совокупности позволяют представить степень выраженности (сформированности) конкурентоспособности в виде обобщенного инте-гративного индекса: ОИИ кс = F (Р зн; Р лич) или ОИИкс=Рзн*Рлич, где ОИИ кс — обобщенный интегральный индекс конкурентоспособности (вероятность достижения успеха); F - функциональная зависимость; Рзн - показатель надежности предметно-средовых знаний; Рлич — показатель надежности личностного саморазвития.
Для практической оценки уровня конкурентоспособности предложена схема в виде двух векторов - вектора предметно-средовых знаний (ось ординат) и вектора личностного саморазвития (ось абсцисс) (Рис. 2).

Рис. 2. Схема расчета индекса ОИИкс
Полученная таким образом теоретическая модель позволяет выполнить проектные описания целостного процесса формирования КС-личности. При выполнении данной процедуры мы имели возможность опереться на алгоритм педагогического проектирования и систему проектных характеристик (целефункцио-нальные, содержательные, структурно-логические, инструментально-технологические, организационно-управленческие), предложенные Ю.С. Тюннико-вым.
Согласно представленной схеме,

обобщенный интегративный индекс рассчитывается следующим образом:
где Х - уровень развития личности в области предметно-средовых знаний; У - уровень личностного саморазвития.
Обратим внимание на ряд принципиальных моментов разработанной теоретической модели. Во-первых, модель дает необходимые представления о том, в чем именно заключается суть стратегии образовательно-воспитательного процесса и в этой связи позволяет определить систему его педагогических приоритетов. Тем самым появляется возможность определить целефункциональные характеристики процесса, ориентированного на формирование КС-личности.
Во-вторых, структурные компоненты и параметры конкурентоспособности позволяют центрировать предметное содержание, реализуемое учебными планами общеобразовательной школы, и налаживать структуру межпредметных связей под стратегически заданную цель. В итоге конкретизируются содержательные характеристики проектируемого процесса.
В-третьих, компоненты и параметры модели задают логико-содержательную основу для определения этапов целостного педагогического процесса и установления преемственности педагогических целей. В этой связи уточняются структурно-логические характеристики проектирования.
В-четвертых, модельное представление конкурентоспособности личности позволяет говорить об определенном наборе педагогических средств, методов и приемов обучения и воспитания, организационных форм, педагогических технологий, что имеет прямое отношение к инструментально-технологическим характеристикам рассматриваемого процесса.
В-пятых, теоретическая модель конкурентоспособности личности указывает на необходимость разработки организационно-управленческих характеристик проектирования, посредством которых координируются и направляются взаимодействия педагогов образовательных учреждений.
В итоге теоретическая модель связывает пять групп проектных характеристик и вскрывает существенные взаимосвязи всех компонентов целостного процесса формирования КС-личности (целей, содержания, методов, средств, форм организации, результатов).
Вместе с тем теоретическая модель конкурентоспособности личности (на том уровне общности, который принят при ее разработке) не дает прямого ответа по целому ряду вопросов: по поводу структуры образовательно-воспитательного процесса, особенностей функционально-ролевого распределения субъектов педагогического процесса, системы педагогического инструментария, возможностей использования педагогического потенциала социокультурной среды.
Дело в том, что применение психологической теории деятельности (А.Н. Леонтьев, Б.Ф. Ломов, В.Д. Шадриков и др.) при построении модели конкурентоспособности личности так или иначе направлено на особую организацию педагогического процесса прежде всего как деятельности по овладению предметными знаниями. При этом в должной мере не учитываются характеристики социокультурной реальности и социально-психологические характеристики развития личности учащихся, иначе говоря, игнорируются те существенные моменты, которые делают возможным само понимание КС-поведения и полноценное овладение им. В этой связи возникает проблема организационно-управленческой интерпретации теоретической модели конкурентоспособности личности, которая может быть решена в методологии и контексте теоретических представлений инновационного педагогического менеджмента.
Обратимся к понятию «инновационный педагогический менеджмент», который рассматривается в психолого-педагогической литературе в кругу таких основных понятий, как «педагогические инновации», «организационные изменения», «гармонизация отношений субъектов инновационного процесса», «синергетический эффект», «стратегия успеха», «ситуационный подход», «сопротивление организационным изменениям» и др. Как было отмечено, анализ различных определений приводит к выводу, что главный смысл инновационного педагогического менеджмента состоит в поиске и обосновании управленческого комплекса (принципов, методов, организационных форм и технологических приемов управления), связанного с инновационным преобразованием педагогической системы и предполагающего постановку стратегических целей, принятие решений, разработку способов и путей их достижения.
Принципиальное отличие (базовые параметры) инновационного и неинновационного менеджмента представлены в табл. 1.
Как обобщенная и систематизированная методологическая основа управления процессом формирования конкурентоспособности личности инновационный педагогический менеджмент может быть представлен в определенном наборе проектных позиций. Каждая такая позиция отражает существенные особенности инновационного педагогического менеджмента и вместе с тем позволяет продвинуться в вопросах построения целостного процесса формирования КС-личности.
Таблица 1 Базовые параметры инновационного и неинновационного менеджмента
| n.n. |
Традиционное управление учебно-воспитательным процессом (УВП) |
Инновационный педагогический менеджмент |
| 1 |
Целепостановка согласно достигнутым результатам |
Целепостановка согласно прогнозируемой перспективе |
| 2 |
Фиксированные позиции субъектов УВП |
Опора на самостоятельность и инициативность всех субъектов УВП |
| 3 |
Управление УВП как реакция на конкретно возникающие события (как правило, с запаздыванием) |
Управление УВП как активный поиск возможностей с учетом предвидения будущего |
| 4 |
Минимизация отклонений от принятых схем организации УВП; стремление к максимальной унификации основных составляющих УВП |
Плюрализм, множественность логик развития УВП; стремление к педагогическим инновациям, поиску новых подходов к организации УВП |
| 5 |
Поиск решения управленческих проблем ведется последовательно до первого положительного решения |
Поиск решения управленческих проблем ведется с применением специальных технологий процесса принятия решения, критерием которых является оптимизация педагогической системы в целом |
| 6 |
Оптимизация результативности УВП |
Оптимизация потенциала результативности УВП |
Проектная позиция «инновационная среда». Профессиональная и внепрофес-сиональная жизнедеятельность человека с точки зрения КС-поведения - это непрерывный поток ожидаемых и неожиданных изменений, детерминируемых вероятностно-неопределенной социокультурной средой. Для актуализации и управления КС-поведением учащихся необходима специально организованная среда. Педагогический менеджмент имеет дело с педагогическими инновациями разного характера и направленности. Применительно к проектируемому педагогическому процессу данная позиция определяет специфику и общую архитектонику инновационной среды: ее ориентации (социокультурная, экономико-предпринимательская и др.), региональные особенности; источники и типы инноваций; характер и механизмы воздействия на учащихся.
Проектная позиция «барьеры КС-поведения». Все виды активности человека неизбежно связаны с психологическими барьерами познавательного, коммуникативного, регулятивного и иного характера. Психологические барьеры раскрывают природу КС-поведения, выступают одновременно как побудительный стимул, необходимое условие и критерий развития личности. Инновационный педагогический менеджмент в представленной позиции ставит вопросы о типах барьеров КС-поведения и их целенаправленном применении при организации процесса формирования КС-личности (разработка индивидуальных маршрутов, конкретизация содержания и инструментария системы психолого-педагогической поддержки).
Проектная позиция «рефлексия КС-поведения». Педагогический менеджмент рассматривает рефлексию субъектов педагогического процесса как обязательное условие инновационного преобразования и в то же время - как специфический объект управления. Рефлексия как психологический процесс позволяет учащимся адекватно оценивать «себя со стороны». Данная проектная позиция включает в систему взаимоотношений «учащийся - педагог», «учащийся - учащиеся», «учащийся - социокультурная среда» новую рефлексивную составляющую - знание и оценку своего наличного конкурентоспособного потенциала и своих инновационных возможностей. Такого рода знания помогают ученику проектировать свою учебную и внеучебную деятельность, а также прогнозировать свое будущее с позиции уникального личностного опыта.
Проектная позиция «организационные изменения». Организационные изменения - ключевое понятие инновационного педагогического менеджмента. В контексте инновационного педагогического менеджмента данная позиция предполагает соответствующие организационные изменения педагогического процесса, когда обучаемые (в нашем случае учащиеся старших классов) последовательно погружаются в инновационную среду КС-поведения, то есть овладевают программными знаниями и умениями или осуществляют их применение с конкретно заданных позиций конкурентоспособности. Инновационный педагогический менеджмент в организации целостного педагогического процесса формирования КС-личности должен быть представлен практикой и системой средств управления данным процессом. Организационные изменения предполагают наличие специальных социально ориентированных технологий, определенной психолого-педагогической поддержки, хорошо отлаженных процедур мониторинга процесса формирования КС-личности.
В заключение необходимо подчеркнуть, что выделенные проектные позиции инновационного педагогического менеджмента в практике школьного дополнительного образования становятся стратегическими позициями скоординированной деятельности педагогов и психологов.
Список литературы
1. Бодалев А.А. Личность и общение // Избранные труды. М.: Наука, 1983.
2. Брушлинский А.В. Проблемы психологии субъекта. М.: Ин-т психологии РАН, 1994.
3. Веснин В.Р. Основы менеджмента: Учебник. М.: Институт международного права и экономики. Изд-во «Триада, Лтд», 1996.
4. Винер Н. Кибернетика. М.: Сов. радио, 1968.
5. Виханский О.С., Наумов А.И. Менеджмент: человек, стратегия, организация, процесс. М.: Фирма Гардарика, 1996.
6. Герчикова И.Н. Менеджмент: Учебник. М.: Банки и биржи, ЮНИТИ, 1994.
7. Кирсанов А.А. Методологические проблемы создания прогностической модели специалиста. Казань: Изд-во КГТУ, 2000.
8. Климов Е.А. Психология профессионального самоопределения. Ростов-на-Дону: Феникс, 1996.
9. Конаржевский Ю.А. Внутришкольный менеджмент. М., 1993.
10. Леонтьев А.Н. Деятельность. Сознание. Личность. М., 1977.
11. Ломов Б.Ф. Методологические и теоретические проблемы психологии. М.: Наука, 1984.
12. Менеджмент в управлении школой / Под ред. Т.И. Шамовой. М., 1993.
13. Митина Л.М. Психология развития конкурентоспособной личности. М.: МПСИ; Воронеж: Изд-во НПО «МОДЭК», 2002.
14. Рубинштейн С.Л. Основы общей психологии. М.: Педагогика, 1989.
15. Руссинов Ф.М., Никулин Л.Ф., Фаткин Л.В. Менеджмент и самоменеджмент. М.: ИНФРА-М, 1996.
16. Симонов В.П. Педагогический менеджмент. М.: Российское педагогическое агентство, 1997.
17. Тюнников Ю.С. Культурно-образовательное пространство личности: в поисках проектных решений // Проектирование инновационных процессов в социокультурной и образовательной сферах: Материалы 3-й Междунар. науч. метод. конф., Сочи, 12-14 июня 2000 г. В 2 ч. Ч. 1 / Отв. ред. Ю.С. Тюнников, Г.В. Яковенко. Сочи: РИО СГУТиКД, 2000.
18. Фатхутдинов Р.А. Конкурентоспособность: экономика, стратегия, управление. М.: ИНФРА-М, 2000.
19. Шадриков В.Д. Деятельность и способности. М.: Логос, 1994.
|