В. И. Лашкин
Введение
Эволюция человеческих цивилизаций является, как известно, предметом рассмотрения социологических наук и теорий, которые в своих исследованиях обычно используют историю, политическую экономию и специфические общественные законы, не содержащие количественных величин и сложного математического аппарата. Никакой разумной физико-математической модели общества, рассматриваемого как единое целое, в виде физической системы, не существует. Не существует даже идей, на основе которых могла бы быть создана подобная модель общества, адекватная реальной жизни и истории цивилизаций. В настоящей работе предпринимается первая попытка такого рода, то есть попытка осуществить математизацию социологии.
Вводится понятие абстрактной математической модели замкнутого (изолированного) человеческого общества. При этом предполагается обязательное наличие в нём товарно-денежных отношений, благодаря которым в обществе, через сферу общественного сознания, создаётся естественный механизм, обеспечивающий его экономическое и структурное развитие.
Замкнутость общества означает, что его развитие обусловлено главным образом внутренними причинами; обеспечивается же она либо изоляцией общества от других цивилизаций, либо наличием в нём политической организации - государства. Идеальным примером такой цивилизации является вся земная цивилизация, рассматриваемая как связанное единое целое.
Иными словами, в данной работе рассматривается весьма идеализированная схема существования цивилизации, что объясняется огромной трудностью самой постановки задачи. Тем не менее, эта упрощённая схема позволяет отразить в математических формулах многие социальные процессы и явления, реально происходящие в обществе.
В рассматриваемой системе выделяются два главных, реально происходящих объективных процесса, которые называются: один - процесс структурной эволюции, а второй - процесс отчуждения. Оба процесса причинно связаны посредством постоянно действующего механизма товарно-денежных отношений. Количественно эти процессы характеризуются двумя безразмерными кусочно-непрерывными и кусочно-дифференцируемыми фазовыми параметрами n(t) и q(t), полностью определяющими состояние системы в любой момент времени.
Забиваем Сайты В ТОП КУВАЛДОЙ - Уникальные возможности от SeoHammer
Каждая ссылка анализируется по трем пакетам оценки: SEO, Трафик и SMM.
SeoHammer делает продвижение сайта прозрачным и простым занятием.
Ссылки, вечные ссылки, статьи, упоминания, пресс-релизы - используйте по максимуму потенциал SeoHammer для продвижения вашего сайта.
Что умеет делать SeoHammer
— Продвижение в один клик, интеллектуальный подбор запросов, покупка самых лучших ссылок с высокой степенью качества у лучших бирж ссылок.
— Регулярная проверка качества ссылок по более чем 100 показателям и ежедневный пересчет показателей качества проекта.
— Все известные форматы ссылок: арендные ссылки, вечные ссылки, публикации (упоминания, мнения, отзывы, статьи, пресс-релизы).
— SeoHammer покажет, где рост или падение, а также запросы, на которые нужно обратить внимание.
SeoHammer еще предоставляет технологию Буст, она ускоряет продвижение в десятки раз,
а первые результаты появляются уже в течение первых 7 дней.
Зарегистрироваться и Начать продвижение
Медленное изменение этих параметров во времени отождествляется с медленной, постепенной эволюцией общества, а различного рода, не детерминируемые и заранее не предсказуемые, математические скачки этих параметров и их производных по времени, - с различными, относительно короткими, периодами социальных потрясений и катаклизмов, когда фазовые параметры n, q, или их производные по времени, или то и другое вместе, изменяются быстро и независимо друг от друга, но обязательно так, чтобы при этом, тоже скачком, уменьшалась бы производная от них величина f, которая называется социальная неустойчивость.
В данной работе показано, что всего может существовать 15 типов социальных фазовых переходов; к ним относятся, например, социальные революции, непродолжительные войны, экономические кризисы, гражданские войны, резкие изменения в численности населения, и др.
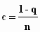
Важно сразу же отметить, что в периоды медленной эволюции общества фазовые параметры связаны линейной зависимостью, в которую входит некоторая числовая безразмерная постоянная характеристика общества, которая называется удельным фондом потребления производительной группы и обозначается буквой с.
В работе также дана условная, абстрактная графическая картина, позволяющая наглядно, как бы со стороны, видеть развитие общества в виде ступенчатых циклов параметров q и n, обобщающих известные "большие циклы" русского учёного – экономиста Н.Д. Кондратьева.
Профессор Н.Д Кондратьев в 1922 году опубликовал работу, в которой впервые высказал мысль, что капиталистическая экономика в своём развитии испытывает не только обычные колебания деловой активности с периодом 8 – 10 лет, но и более длительные – со средней продолжительностью 50 лет.
При этом он одновременно высказал гениальную догадку, что большинство социальных потрясений, такие как войны, революции и т. д., группируются либо в начале, либо в конце фазы подъёма большого цикла.
За эти, и подобные им, мысли и идеи советский профессор Н.Д. Кондратьев в 1928 году был отстранён от должности директора Конъюнктурного института, а в 1930 году арестован. В 1931 году он, вместе с другими крупными экономистами и хозяйственниками Советского Союза, предстал перед судом по делу о "Трудовой крестьянской партии". По приговору этого суда Н.Д. Кондратьев был осуждён на 8 лет тюрьмы, но в 1938 году, по тому же делу, был приговорён к расстрелу, и вскоре расстрелян как "враг народа". 16 июля 1987 года Верховный Суд СССР реабилитировал его своим Постановлением посмертно. Сама же идея "больших циклов" в Советском Союзе с начала 30-х годов была предана анафеме, остракизму и полностью вычеркнута из арсенала советской экономической науки. Никакого упоминания о Н.Д. Кондратьеве и его "больших циклах" в советских источниках, вплоть до 1987 года, не было. Но, как известно, "рукописи не горят", а мысли и идеи уничтожить нельзя.
Сервис онлайн-записи на собственном Telegram-боте
Попробуйте сервис онлайн-записи VisitTime на основе вашего собственного Telegram-бота:
— Разгрузит мастера, специалиста или компанию;
— Позволит гибко управлять расписанием и загрузкой;
— Разошлет оповещения о новых услугах или акциях;
— Позволит принять оплату на карту/кошелек/счет;
— Позволит записываться на групповые и персональные посещения;
— Поможет получить от клиента отзывы о визите к вам;
— Включает в себя сервис чаевых.
Для новых пользователей первый месяц бесплатно.
Зарегистрироваться в сервисе
Однако следует заметить, что и в современной, антисоветской, России о Н.Д. Кондратьеве и его "больших циклах" нигде и никогда упоминаний не бывает. Так что, как говорится, хрен редьки не слаще…
С помощью параметров n и q в данной работе сконструирован ряд других важных числовых и количественных характеристик общества, имеющих реальный смысл. К ним относятся такие величины, как удельный относительный фонд потребления производительной группы c, общественная производительность труда a и мера цивилизации m.
Сфера общественного сознания, как это принято в историческом материализме, считается в данной работе вторичной по отношению к указанным материальным процессам, и присутствует в рассматриваемой физической системе неявно, в виде идеального поля социальных противоречий, существующего только в общественном сознании и в головах отдельных людей.
Это идеальное поле математически характеризуется некоторой безразмерной функцией двух переменных P(t,n), являющейся решением дифференциального уравнения в частных производных второго порядка, по форме совпадающего с уравнением математической физики, описывающим мгновенное распределение тепла от импульсного теплового источника вдоль бесконечного одномерного материального стержня. Аналогом такого стержня в настоящей работе является временная ось, а аналогом температурного поля стержня – поле социальных противоречий.
В заключение данной работы дана механико-геометрическая аналогия общественной эволюции в виде движения геометрической точки по двухмерной поверхности, являющейся абстрактным геометрическим образом функции поля социальных противоречий.
Благодаря наличию в обществе поля социальных противоречий, нематериальные "силовые линии" которого как бы пронизывают всё общество, а точнее – сферу общественного сознания, создаётся однонаправленный, нравственно окрашенный вектор общественного развития и невидимый своеобразный водоворот, втягивающий в себя всех, вся и всё.. При этом ещё раз следует отметить, что это поле возникает в обществе только при наличии в нём товарно-денежных отношений, и только в этом случае оно создаёт реальную, постоянно действующую движущую силу, обеспечивающую структурное и экономическое развитие общества.
Относительно параметра q, который в работе называется отчуждаемым продуктом, высказывается интуитивная статистическая гипотеза, напоминающая одну из формулировок второго начала термодинамики, согласно которой энтропия любой изолированной термодинамической системы никогда не убывает, а всегда только растёт или остаётся постоянной. Точно так же и в обществе, ввиду наличия в нём постоянных социальных антагонизмов, связанных с распределением и потреблением материальных благ, отчуждаемый продукт в периоды плавного развития общества никогда не уменьшается. По сути, это центральная, ключевая идея работы, сформулированная в самой общей, абстрактной форме. Всё дальнейшее – это нетривиальные наслоения вокруг этой идеи, по принципу "были бы кости, а мясо нарастёт".
Простейшим, фундаментальным понятием данной социологической теории является общественно необходимая цель. При этом в обществе выделяются и рассматриваются только основные, опорные общественно необходимые цели, такие, как производство материальных благ, оборона страны, охрана внутреннего порядка, обучение населения, охрана его здоровья, развитие науки и культуры, и так далее.
Общество в структурном отношении делится на функциональные группы. Сущность общественно необходимой деятельности людей, причисляемых к этой социальной группе, напрямую связана с реализацией конкретной, вполне определённой общественно необходимой цели. Иными словами, каждая функциональная группа однозначно соответствует какой-нибудь общественно необходимой цели, и наоборот. В основе такого соответствия лежит общественное разделение труда, которое широко использовали в своих трудах Карл Маркс и Фридрих Энгельс.
Уместно сразу же заметить, что всякая функциональная группа существует только до тех пор, пока в обществе есть соответствующая общественно необходимая цель. Как только эта цель исчезает, или становится не актуальной, исчезает, как таковая, и соответствующая ей функциональная группа. В силу этого, целевой подход к исследованию общественных процессов позволяет проследить развитие любого общества с единой точки зрения, независимо от понятия экономической формации, то есть способа производства материальных благ.
Исходной, самой главной функциональной группой, определяющей развитие общества, является производительная группа, занимающаяся производством материальных благ. Упомянутый выше безразмерный параметр n(t) характеризует её относительную численность.
Параметризация модели
В любом обществе всегда можно выделить функциональную группу, занимающуюся производством материальных благ. Она является самой главной функциональной и социальной группой, определяющей развитие общества. Будем считать, что её всегда, в принципе, можно однозначно выделить, хотя практически это сделать не всегда просто, так как сущность общественно необходимой деятельности того или иного человека, как и сущность вещей и явлений вообще, познать не легко.
В общем случае, то есть в развитом обществе, производительная группа может состоять из людей, имеющих самые разные профессии и специальности, физического или умственного труда, и так далее; важно одно: общественно необходимый труд этих людей связан, в основном, с производством материальных благ и предметов, как то: предметов потребления, средств производства, строительных объектов, транспортных средств, военной техники, и так далее, и тому подобное.
Численность производительной группы будем рассматривать не абсолютную, а относительную (что само по себе очень важно!), и характеризовать её безразмерным числом
(1)
где N - общая численность трудоспособного населения в обществе, N1 - численность производительной группы.
Число n назовём главным структурным параметром общества. Поскольку производство материальных благ является первоосновой любого общества, то главный структурный параметр n, выражающий собой относительную долю работников сферы материального производства в обществе, является важной, то есть существенной, характеристикой общества, причём, чем меньше главный структурный параметр, тем более развитым в структурном отношении оно является.
Например, для первобытного общества параметр n = 1, так как для этого общества справедливо равенство N1 = N , означающее, что в первобытном обществе всё трудоспособное население занято в сфере материального производства, а духовная сфера отсутствует вообще.
Переходим к определению второго параметра.
Производительная группа производит в течение некоторого, относительно малого, промежутка времени t , примыкающего к моменту времени t , отсчитываемому от некоторого начала, совокупный материальный общественный, то есть подвергшийся товарно-денежным отношениям, продукт, который, в принципе, можно всегда оценить, то есть измерить, с помощью некоторого эквивалента, скажем, золота, некоторым числом Q.
В течение этого же промежутка времени производительная группа использует на личные нужды своих членов, либо на создание и поддержание их собственности, предназначенной для выработки материального продукта с помощью личного труда (в дальнейшем будем говорить коротко: расходует), некоторую часть совокупного материального общественного продукта, которую также можно, в принципе, измерить некоторым количеством денег Q1 < Q. (Это неравенство, при наличии в обществе товарно-денежных отношений, будем считать всегда выполненным.)
Составим теперь отношение
(2)
и рассмотрим его предел для момента времени t, при t -> 0. (Здесь и в дальнейшем имеется в виду безразмерное время, выраженное, скажем, в долях десятилетия.)
Поскольку процессы производства и расходования материальных благ, осуществляемые производительной группой, почти всегда являются непрерывными, то предел отношения (2) почти всегда существует, за исключением, быть может, конечного числа кратких отрезков времени, которыми пока можно пренебречь. Обозначим этот предел через q и назовем отчуждаемым продуктом.
Таким образом, по определению,
(3)
В виду того, что процессы производства и расходования материальных благ, измеренных в деньгах, осуществляемые производительной группой, почти всегда взаимно уравновешены и изменяются, в основном, медленно и плавно, за исключением, быть может, кратковременных, в историческом смысле, периодов, когда они изменяются скачком (об этом подробнее будет сказано ниже), то для вычисления предела (3) нет необходимости рассматривать, как это принято при вычислении пределов, бесконечно малые промежутки времени, а достаточно ограничиться сравнительно небольшим сроком, скажем, в один год, и даже больше. В определении предела (3) важно только то, что он имеет реальный смысл и почти всегда существует, то есть является положительной, однозначной, кусочно-непрерывной функцией времени q(t), которая всегда меньше единицы. (Так как денежный эквивалент Q1 всегда больше нуля).
Отчуждаемый продукт q, как и главный структурный параметр n, есть величина вполне реальная, можно сказать, физическая, так как денежные эквиваленты Q и Q1, необходимые для её вычисления, можно всегда, в принципе, выразить весовым количеством золота, а саму её - вычислить путём физического измерения – взвешивания.
Безразмерная величина q является вторым основным параметром предлагаемой абстрактной физико-математической модели общества ввиду следующих причин.
Во-первых, часть отчуждаемого, то есть не расходуемого производительной группой, материального общественного продукта идет на удовлетворение текущих потребительских нужд остальной части общества, что совершенно необходимо.
Во-вторых, оставшаяся часть отчуждаемого продукта образует собой фонды возмещения, страхования и накопления общества (производственного и непроизводственного), что также совершенно необходимо для нормальной жизни и деятельности всех членов общества и прочих, кроме производительной, функциональных групп, сущность общественно необходимой деятельности которых заключается в реализации общественно необходимых целей, отличных от цели производства материальных благ.
Такие цели всегда имеются в любом развитом обществе. К ним относятся, например: цель обороны страны (только при успешной реализации этой общественно необходимой цели общество является замкнутым); цель защиты здоровья населения страны; цель просвещения, обучения и образования народа; цель охраны внутреннего порядка в обществе и государстве; цель производства духовных ценностей, и др.
Общественно необходимых целей в развитом обществе может быть очень много; нужно выделять и учитывать только главные, опорные, и каждой из них сопоставлять в однозначное соответствие некоторую функциональную социальную группу, что, в принципе, всегда можно осуществить ввиду общественного разделения труда. (Хотя, следует заметить, на практике это сделать не просто, так как иногда трудно понять, к какой функциональной группе отнести того или иного работника общества).
Функциональные группы – это своеобразные органы общественного организма, рассматриваемые в виде единого целого, в соответствии с их целевым предназначением и ролью в обществе, без учета их численности. Взаимодействие между функциональными группами составляет, согласно данной теории, сущность социального движения и ввиду марксистского материалистического понимания истории, в конечном счёте, сводится к распределению между ними совокупного материально продукта Q, создаваемого в сфере материального производства.
В данной работе это взаимодействие исследуется математически в нулевом, так сказать, приближении: выявляются и рассматриваются количественные закономерности, описывающие процесс распределения совокупного общественного материального продукта между производительной группой и всеми остальными функциональными группами, вместе взятыми.
В силу сказанного, параметр q характеризует степень экономической развитости общества в данный момент времени, количество материальных благ, которыми оно располагает, для поддержания деятельности и развития имеющихся и возникновения новых функциональных групп. Иными словами, отчуждаемый продукт q, как и главный структурный параметр n, является очень важной интегральной характеристикой общества.
Нетрудно видеть, что отчуждаемый продукт сильно напоминает марксов прибавочный продукт, однако не совпадает с ним полностью, так как является его модификацией и обобщением.
2. Общая характеристика функций q(t) и n(t)
Относительно характера изменения во времени отчуждаемого продукта q(t) принимается без доказательства следующая статистическая, интуитивно ясная гипотеза – основной постулат теории:
Отчуждаемый продукт q(t), при наличии в обществе механизма товарно-денежных отношений, почти всегда непрерывно, монотонно и плавно растет, либо остается постоянным, за исключением, быть может, конечного числа кратких промежутков, условно – моментов, времени, когда параметр q(t), или его производная по времени , или обе эти величины вместе, изменяются очень быстро, скачком, в ту или иную сторону.
Согласно этой эвристической гипотезе, функция q(t) является почти всюду монотонно-неубывающей и дифференцируемой, так что в интервалах её одновременной непрерывности и дифференцируемости выполняется условие . В точках разрыва функции q(t) и её производной последняя не существует, но для её левосторонних пределов условие также выполняется.
Заметим, что основной постулат данной теории напоминает второе начало термодинамики, если считать, что отчуждаемый продукт является аналогом энтропии замкнутой термодинамической системы.
Относительная численность производительной группы n, то есть главный структурный параметр общества, также не остается постоянным ввиду следующих причин.
Во-первых, в обществе, кроме производительной, всегда есть другие, функциональные группы, для развития которых., а также для создания новых функциональных групп, нужны всё новые и новые люди, и поставляет их туда, распадаясь, именно производительная группа, так что её относительная численность n имеет тенденцию всё время уменьшаться.
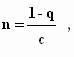
Во-вторых, в интервалах непрерывного увеличения отчуждаемого продукта q, относительная доля 1-q материальных благ, расходуемых производительной группой (в дальнейшем - относительный фонд потребления производительной группы), уменьшается, что также приводит к тому, что производительная группа уменьшает свою относительную численность n, чтобы не допустить снижения своего удельного относительного фонда потребления
(4)
При этом производительная группа самыми различными способами повышает производительность своего труда и вытесняет из своих рядов высвобождающихся (лишних) людей, делая это, в основном, непрерывно и плавно, а иногда очень быстро, условно – математическим скачком. (Следует сразу же отметить, что вторая форма высвобождения чревата для общества самыми неблагоприятными последствиями, например, массовой безработицей).
Что касается интервалов времени, в которых q=const , то для них выполняется условие n=const , то есть главный структурный параметр общества в интервалах постоянства отчуждаемого продукта также остается постоянным. Это характерно для так называемого "азиатского" способа производства.
Таково аксиоматическое поведение функции n(t) в интервалах одновременной непрерывности функций q(t) и . Оно отражает реальные процессы, происходящие в обществе.
Относительно же точек разрыва функций q(t) и будем допускать наличие скачков и для величин n(t) и , в ту или другую сторону. При этом будем предполагать, что для левосторонних и правосторонних пределов производной обязательно выполняется условие , подобно тому, как для левосторонних и правосторонних пределов производной в точках её разрыва обязательно выполняется условие .
Согласно предлагаемой социологической теории, описанные естественноисторические процессы неуменьшения отчуждаемого продукта q и неувеличения главного структурного параметра общества n являются основными материальными социальными процессами, обусловливающими все остальные социальные процессы и явления, а также сферу общественного сознания. Это утверждение носит всеобщий характер, то есть справедливо по отношению к любому обществу, независимо от его политического и экономического устройства.
В дальнейшем эти два главных социальных процесса будем называть соответственно процессом отчуждения и процессом структурной эволюции.
Из этого определения следует, что в интервалах времени, где и  процессы отчуждения и структурной эволюции прекращаются.
Ещё раз отметим, что, в силу материалистического понимания истории, структурная эволюция общества является закономерным следствием процесса отчуждения, так что оба процесса протекают одновременно и не отделимы друг от друга. В дальнейшем, на основании дополнительных гипотез и предположений относительно характера изменения величины n, q, и , будет найдена явная функциональная зависимость n = n(q), содержащая один постоянный параметр.
Наличие точек разрыва и угловых точек на графиках функций q(t) и n(t) вполне естественно, так как история человеческих цивилизаций свидетельствует, что длительные периоды их медленного, постепенного и плавного развития, под действием, в основном, экономических причин и механизма товарно-денежных отношений, когда величины q(t) и n(t), а также их производные и n с точкой, изменяются непрерывно, время от времени сменяются относительно короткими периодами социальных потрясений и радикальных быстрых перемен (социальных фазовых превращений), когда процессы структурной эволюции и отчуждения, под воздействием внеэкономических причин и факторов, принимают бурный, спонтанный характер, так что все указанные величины, или только некоторые из них , изменяются очень быстро, условно – математическим скачком.
Примерами таких событий являются социальные революции, для которых характерны изменение форм собственности, а также ожесточенные и кровавые гражданские и внешние войны, в результате чего быстро увеличивается отчуждаемый продукт q и резко снижается относительная численность производительной группы, то есть главный структурный параметр n.
При этом, также скачком, в ту или иную сторону, изменяется скорость процесса отчуждения , то есть, фактически, быстро изменяются темпы общественного экономического развития. После революций они, в основном, увеличиваются, однако могут и уменьшаться.
Другими примерами социальных потрясений являются отмена крепостного права в России в 1861 году и двухступенчатый переход в новое состояние - капиталистический кризис перепроизводства или большая война. (Что, с точки зрения данной теории, одно и то же).
В первом случае произошёл скачок в сторону уменьшения отчуждаемого продукта q и увеличение скорости отчуждения (скачок параметра n при этом был равен нулю), а во втором случае на первой ступени фазового перехода происходит скачкообразное увеличение величин q, и скачкообразное уменьшение параметра n, а на второй, наоборот, скачкообразное уменьшение величины q, и одновременно, скачкообразное увеличение параметра n. Скачок скорости на второй ступени двухфазового перехода либо отсутствует, либо направлен в сторону её уменьшения.
Конкретно для кризиса капиталистического перепроизводства имеем следующую картину:
Начало кризиса: 1. Переброска капиталов из производств, ориентированных на предметы потребления, в производства, ориентированные на накопление. В связи с этим происходят снижение заработной платы и ухудшение жизни населения. Но одновременно идет быстрая модернизация средств производства за счёт переброшенных в эту сферу капиталов. 2. Происходит резкое увеличение числа безработных. 3. Быстро увеличиваются темпы экономического развития общества.
Окончание кризиса: 1. Переброска капиталов из фонда накопления в фонд потребления, что выражается в снижении потребительских цен и повышении заработной платы одновременно. 2. Снижается безработица.
В результате двухфазового перехода (кризиса перепроизводства или большой войны), в соответствии с основной тенденцией социальной эволюции, отчуждаемый продукт, в конечном счёте, увеличивается: q = q1 - q2 > 0. То же самое можно сказать и о скорости отчуждения: . Что же касается главного структурного параметра, то он уменьшается: n = n1 - n2 < 0.
Для большой войны имеем, по сути, то же самое, но только скачки n1 и n2 здесь означают массовую мобилизацию людей из производственной сферы в армию, и обратно, а скачки q1 и q2 – увеличение и уменьшение оборонных расходов соответственно.
Ещё одним, более страшным, примером социального катаклизма, можно сказать, социальной катастрофы, может служить геноцид народа в Камбодже, осуществлённый в середине семидесятых годов коммунистическим режимом Пол Пота.
В терминах данной теории, он выражается очень просто: произошёл очень быстрый скачок параметра q в сторону уменьшения, и одновременно скачком увеличился главный структурный параметр n, так как геноцид красных кхмеров был осуществлен, главным образом, в отношении населения городов и интеллигенции.
Резкое уменьшение параметра q (фактически его провал) произошло в Камбодже во времена Пол Пота из-за отмены товарно-денежных отношений по идеологическим соображениям. Механизм товарно-денежных отношений исчез, поэтому сразу же исчезла естественная структурная эволюция общества, и произошёл социальный коллапс. Камбоджийское общество стало очень быстро превращаться в первобытнообщинное. А так как большая численность для этого общества просто не мыслима, то сразу же началось его самоуничтожение. Произошел очень быстрый своеобразный социальный фагоцитоз: одна часть общества, меньшая, стала как бы “пожирать” другую часть общества, большую.
Такой же социальный фагоцитоз имел место в СССР, в 20-е и 30-е годы, когда быстро растущие города буквально поглощали в себя избыточное крестьянское население перенаселённой деревни. А значительная часть освобождающегося сельского населения, которую города принять в себя для своего расширения не смогли, была уничтожена советским государством по идеологическим соображениям, под лозунгом ликвидации "врагов народа". Но это разговор отдельный, - очень тяжёлый, трудный и долгий. Он требует специального рассмотрения в другой работе.
Можно привести ещё несколько примеров социальных потрясений и радикальных общественных перемен, во время которых реализуются другие комбинации скачков величин q, и n. Однако детальное рассмотрение этого вопроса требует специального исследования, которое в данной работе не проводится.
Отметим только одно очень важное обстоятельство: при любой комбинации одновременных скачков величин q, и n величина
(5)
может изменяться только в сторону уменьшения. Почему это так, будет ясно из дальнейшего. Пока только укажем название величины (5): социальная неустойчивость.
Таким образом, согласно изложенным соображениям, параметр q(t) почти всё время монотонно возрастает или остается постоянным, параметр n(t) – монотонно убывает или не изменяется, число скачков этих параметров конечно, и имеют место неравенства q < 1 , n > 0. В таком случае, по известной теореме математического анализа [1], существуют пределы
 (6)
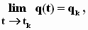
которые будут достигнуты одновременно в некоторый, заранее неизвестный, момент времени tk.
В этот момент процессы отчуждения и структурной эволюции завершатся, и общественный организм в структурном отношении больше развиваться не будет. Начиная же с некоторого момента времени t*, то есть при , будут выполняться условия:
  
где - любое, сколь угодно малое, положительное число.
Первобытное общество состояло, по сути, только из одной функциональной группы – производительной (одного функционирующего органа), так как всё его трудоспособное население занималось только производством материальных благ и полностью их потребляло. В силу этого для первобытного общества, хотя в нём и не было ещё товарно-денежных отношений, в формулах (1) и (3) можно считать:
N1 = N, Q1 = Q, то есть n = 1, q= 0 , = 0 , = 0 .
Процессов отчуждения и структурной эволюции в обществе ещё не было, так как отсутствовал механизм товарно-денежных отношений, поэтому первобытное общество много тысяч лет топталось на одном месте и не развивалось, ни в экономическом, ни в структурном отношениях. Пользуясь терминологией квантовой физики и аналитической механики, можно сказать, что первобытное общество находилось в потенциальной яме, или положении устойчивого равновесия. Его социальная неустойчивость f была равна нулю.
Однако с течением времени она стала постепенно увеличиваться.
Заключалось это в том, что со временем среди трудоспособного населения первобытного общества стали появляться люди, которые не занимались непосредственно производством материальных благ, а выполняли другие функции, также ставшие необходимыми первобытному обществу. Имеются в виду служители культа, колдуны, знахари, старейшины родов, вожди племен, и так далее.
Это привело к тому, что параметры n и q стали постепенно отличатся от единицы и нуля соответственно, то есть стали появляться зародыши других, кроме производительной, функциональных групп, а также отчуждаемый продукт, хотя, следует отметить, до появления развитых товарно-денежных отношений он не имел ещё тенденции к непрерывному росту, то есть процесса отчуждения, и следовательно, процесса структурной эволюции ещё не было. Но, в конце концов, наступил момент, когда степень неустойчивости первобытного общества по параметрам n и q увеличилась настолько, что в нём начался процесс отчуждения, превратившийся после возникновения развитых товарно-денежных отношений, частной собственности и государства – что с точки зрения данной теории произошло одновременно – в почти непрерывный, закономерный и устойчивый процесс, продолжающийся во всех странах мира до настоящего времени.
В предлагаемой абстрактной физико-математической модели общества последнее рассматривается в виде физической статистической системы, в которой одновременно протекают два материальных процесса, описываемые кусочно-гладкими функциями q(t), n(t), причём эти процессы время от времени прерываются не детерминируемыми “фазовыми превращениями”, когда внутренние характеристики системы меняются скачком. Схематически графики функций q(t) и n(t) выглядят следующим образом (см. рис. 1, 2):

Точка 0 на этих графиках условно соответствует моменту времени, когда впервые начался устойчивый процесс отчуждения, то есть моменту появления развитых товарно-денежных отношений, частной собственности и государства.
В интервале (0, t1) функции q(t) и n(t) изменяются очень медленно и вяло, поэтому в точке t1 скачков параметров q и n нет. В этой точке эти функции почти плавно переходят в прямые, параллельные оси времени.
В интервале (t1, t2) функции q(t) и n(t) остаются постоянными (“азиатский” способ производства).
Типы скачков на этих графиках соответствуют рассмотренным: t3 – момент времени, условно соответствующий социальной революции; t4 – отмена крепостного права в России в 1861 г.; t5, t6 – начало и конец экономического кризиса в капиталистической стране. Эти моменты можно также интерпретировать как моменты начала и окончания войны: с точки зрения настоящей теории между экономическим кризисом и войной разницы нет.
Неизвестные заранее величины 0 < qk < 1 и 0 < nk < 1, показанные на рис.1 и 2, означают предельные значения параметров q и n, которые будут неизбежно достигнуты в заранее неизвестный момент времени tk.
В этот момент, согласно данной теории, скорость отчуждения достигнет своего предельного минимального значения, а общество достигнет окончательного положения почти устойчивого равновесия. Это при обязательном условии, что в обществе будут сохранены товарно-денежные отношения. Если же это условие будет нарушено, то возможен очень быстрый необратимый коллапс общества, то есть его катастрофическое саморазрушение и погружение в состояние полпотовского геноцида.
Заметим, что кривые q(t), изображенные на рис.1, графически напоминают экономические циклы русского ученого-экономиста Н.Д. Кондратьева, открытые им в 1922 г. Налицо также наличие социальных потрясений на восходящих ветвях этих циклов, в результате которых они прерываются, после чего начинается новый восходящий экономический цикл. Иными словами графики, показанные на рис. 1 и 2, полностью подтверждают идеи советского профессора Н.Д Кондратьева, расстрелянного в 1938 году.
Таким образом, абстрактная физико-математическая модель замкнутой цивилизации в общих чертах построена. Она характеризуется двумя безразмерными параметрами q(t), n(t), значения которых лежат в области
 
где qk и n k существуют, но заранее не известны, ввиду непредсказуемости скачков параметров q и n.
На фазовой плоскости q, n имеем следующую условную картину:

Рассматриваемая физическая система, выйдя в начальный момент времени t0=0 (появление товарно-денежных отношений, частной собственности и государства) из состояния, близкого к устойчивому состоянию А(0;1), в дальнейшем к нему не возвращается, а движется по кусочно-непрерывной траектории n = n(q) к некоторому другому устойчивому состоянию В(qk;nk).
Задачей данной работы является нахождение функций n(q) и q(t).
Однако, независимо от решения этой задачи, возникает очень важный вопрос: достаточно ли только двух параметров q и n для адекватного математического описания общественных процессов, пусть даже и приближенно? Иными словами, может ли предлагаемая абстрактная двумерная физическая система, с достаточной для практического применения точностью, смоделировать такую сложную и уникальную систему, как общество? На этот вопрос можно однозначно ответить, используя материалистическое понимание истории, сформулированное К. Марксом в [6].
Поскольку производство материальных благ является первоосновой любого общества, а отношения между людьми, возникающие при этом, - производственные, – являются главными, определяющими все остальные общественные отношения, то параметров q и n, отражающих сущность процесса производства материальных благ, достаточно для построения адекватной физической модели общества, при условии, что математические уравнения, описывающие эту модель, будут в количественном отношении правильно выражать сущность реальных процессов отчуждения и структурной эволюции.
Но окончательный ответ на вопрос об истинности предлагаемой теории может дать только общественно историческая практика. Прошедшую же историю человеческих цивилизаций настоящая теория учитывает.
Дополнительные понятия и гипотезы
Как было уже сказано, параметры q и n являются основными в предлагаемой теории. Однако для целей дальнейшего потребуется ещё несколько понятий, производных от величин q и n.
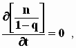
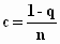
Первое такое понятие – удельный относительный фонд потребления производительной группы. Оно определяется формулой (4), которая пояснений почти не требует. Заметим только, что, согласно изложенному выше, и числитель, и знаменатель дроби (4) в периоды медленной эволюции общества убывает, так что характер изменения функции c(t) пока неизвестен. В дальнейшем, на основании дополнительной гипотезы, вид функции c(t) будет найден.
Вторым производным понятием является также ранее введенная величина f, определяемая формулой (5). Назовем эту величину социальной неустойчивостью. Смысл её таков.
Процесс отчуждения, хотя и является совершенно необходимым, без которого немыслимо экономическое развитие общества, тем не менее, наталкивается на огромное социальное сопротивление, в первую очередь - со стороны производительной группы, поскольку вынуждает её все время повышать производительность своего труда и производить всё больше, и больше продукции. В силу этой неустранимой объективной глубокой противоречивости процесса отчуждения, в обществе возникает социальная напряженность, противоположные стороны которой представляются, на первый взгляд, взаимно уравновешенными. Однако эта уравновешенность не является абсолютной, и всегда возможны отклонения от неё в ту или иную сторону. Постепенно накапливаясь и отражаясь на состоянии общества, эти отклонения могут привести к срыву, т.е. к прерыванию закономерного изменения параметров q и n, а также скорости отчуждения , в результате чего эти величины в некоторые, заранее непредсказуемые, моменты времени могут изменяться скачком.
Представляется естественным, за количественную меру внутренней неуравновешенности процесса отчуждения принять социальную неустойчивость (5), прямо пропорциональную скорости отчуждения (темпам экономического развития) и обратно пропорциональную удельному относительному фонду потребления производительной группы, характеризующему материальное положение работников сферы материального производства.
Представляется также естественным, выдвинуть интуитивную (эвристическую) гипотезу, согласно которой при любой комбинации одновременных скачков q, и n социальная неустойчивость может только уменьшаться. Именно в уменьшении социальной неустойчивости заключается конечный смысл всех социальных потрясений, то есть социальных “фазовых” переходов! Но доказать логически это утверждение нельзя.
Из (5) следует, что социальная неустойчивость при q const всегда отлична от нуля, и обращается в ноль только при =0. Как видно из графика, изображенного на рис.1 это условие выполняется для первобытного общества (q = 0), для интервала (t1, t2), в котором q = const, и для моментов времени , для которых q = qk. Во всех перечисленных случаях состояние общества является устойчивым, и оно может находиться в любом из них неопределенно долгое время.
Следует, однако, сделать существенное замечание, что социальная неустойчивость является локальной характеристикой общества, в силу чего она, сама по себе, не может мгновенно оказать на него реальное воздействие: для этого необходим ещё фактор времени. Поэтому реальное значение играет не сама социальная неустойчивость f, а произведение

где t - малый отрезок времени, примыкающий к моменту времени t (эпохе t); - приращение отчуждаемого продукта за время t.
Малую величину назовем импульсом социальной неустойчивости, подобно импульсу силы в механике.
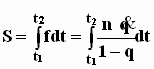
Очевидно, полное действие социальной неустойчивости в некотором интервале (t1, t2) одновременной непрерывности величин q, и n определяется интегралом
(8)
Назовем этот интеграл действием социальной неустойчивости, подобно тому, как в аналитической механике, при изложении её интегральных принципов, вводится понятие действия по Гамильтону [2].
Интеграл (8) представляет собой линейный функционал, зависящий от двух неизвестных функций q(t) и n(t). Проанализируем его подынтегральное выражение.
Параметр n(t) характеризует собой внутреннюю сторону процесса отчуждения, противоположную его внешней стороне, которую характеризует параметр q(t). Поэтому в самом общем, философском, смысле, процесс отчуждения можно интерпретировать, в духе материалистической диалектики [7] , как единство и борьбу его внутренней и внешней сторон, причём ведущей стороной этого процесса является всегда его внешняя сторона, так как в интеграл (8) входит производная по времени параметра q(t), а не параметра n(t). Это очень важно отметить! Процесс отчуждения в обществе является всегда ведущим, а процесс структурной эволюции – ведомым.
Эти эвристические рассуждения философского характера можно выразить в трёх независимых гипотезах, касающихся характера изменения величин q(t), n(t) и . Именно, примем без доказательства, что в любой момент времени эти величины принимают максимально возможные значения.
В таком случае нетрудно сделать логическое заключение, что подынтегральное выражение функционала (8) в каждый момент времени также принимает максимально возможное значение, а сам функционал в любом интервале (t1, t2) одновременной непрерывности функций q(t), n(t) и достигает максимума.
Заметим, что третья из выше принятых гипотез – гипотеза максимальности производной - является обобщением закона максимальной прибавочной стоимости при капитализме, открытого К. Марксом [5, 8].
В заключение этого раздела введем ещё две важные количественные социальные характеристики. Это общественная производительность труда

и мера цивилизации, или общественного прогресса,

Так как в периоды медленной эволюции общества параметр n уменьшается, а параметр q увеличивается, то величины a и m почти все время медленно растут.
Эти два определения не случайны. Они количественно выражают и конкретизируют интуитивное представление о производительности труда, достигнутой в сфере материального производства, и степени развития общества. Чем меньше главный структурный параметр общества n, тем больше общественная производительность труда a; чем больше общественная производительность труда a и величина отчуждаемого продукта q, тем выше количественная ступень развития общества, то есть мера цивилизации m.
Меньшим числом производителей производится все больше продукции – это и есть социальный прогресс!
Так как величины n и q при стремлении времени t к моменту tk имеют пределы nk и qk, то общественная производительность труда и мера цивилизации также в этот момент достигнут своих предельных значений
 
и
Таким образом, количественная параметризация общества позволяет ввести объективную количественную меру степени его развития, не связанную с его общественно-политическим строем и какой-либо идеологией.
При этом важно отметить, что мера цивилизации m(t) общества не совпадает полностью со степенью его экономического развития, характеризуемой величиной отчуждаемого продукта q(t), так как мера общественного прогресса, по определению, включает ещё в себя степень структурной эволюции общества, характеризуемой параметром n(t). Значит, мера цивилизации m является более точной, правильной и глубокой числовой характеристикой общественного развития, чем отчуждаемый продукт q, то есть степень его экономического развития. Интуитивно это понимали и понимают многие социологи, но совершенно чётко это отличие можно выразить только в рамках данной теории, на языке её понятий и числовых величин.
4. Математические уравнения модели
Условие максимальности функционала (8) в любом интервале (t1, t2) позволяет применить к нему известное в вариационном исчислении уравнение Эйлера и найти явную зависимость между функциями q(t) и n(t). Но прежде заметим, что, ввиду замкнутости цивилизации, параметр n в любой момент времени должен полностью определяться своими главными внутренними материальными причинами, то есть значением параметра q. Значит, должна существовать функциональная зависимость n = n(q).
Считая это аксиоматическое условие выполненным и применяя к функционалу (8) вариационное уравнение Эйлера [3], приходим к равенству

выражающему условие его максимума в любом интервале времени (t1, t2).
Так как моменты t1 и t2 произвольны, то это условие дает:
(9)
Получен первый фундаментальный результат теории - интеграл социального движения:
В периоды медленного и плавного общественного развития удельный относительный фонд потребления c производительной группы остается неизменным. Значит, изменить величину c можно только путем скачкообразного изменения параметров q и n, от которых она зависит.
Из формулы (9) видно, что функция n(q) является линейной, то есть траектории на фазовой плоскости q, n, изображенные на рис.3, являются отрезками прямых линий.
С учётом условия (9), равенство (7) можно записать в виде:
(10)
то есть импульс социальной неустойчивости прямо пропорционален приращению отчуждаемого продукта и обратно пропорционален удельному относительному фонду потребления производительной группы (который постоянен).
Ранее было отмечено, что социальная неустойчивость f может скачком уменьшаться; из (7) следует, что в этом случае уменьшается, также скачком, и величина импульса социальной неустойчивости.
 
Нетрудно видеть, что локальное уменьшение величин можно осуществить, как это следует из (5), пятью способами:
уменьшить скорость отчуждения , оставив удельный относительный фонд потребления c производительной группы неизменным;
уменьшить и увеличить c;
уменьшить и в меньшей степени уменьшить c;
оставить неизменной величину и увеличить c;
увеличить 
и в ещё большей степени увеличить c.
Так как величину c, как это видно из (4), можно изменить, или оставить неизменной, каждый раз тремя способами, то всего получается 15 вариантов скачкообразного уменьшения социальной неустойчивости. Какой из этих вариантов реализуется на практике, в кризисной ситуации назревания скачка величины f, - зависит от соотношения социальных сил и тенденций общественного развития. Однако в любом случае, повторяем ещё раз, социальная неустойчивость после этих скачков может только уменьшиться. (Иначе теряется сам смысл скачка социальной неустойчивости.)
Заметим, что скачки величины f, связанные с изменением относительного удельного фонда потребления

производительной группы, могут сопровождаться резкими изменениями её относительной численности n в ту или иную сторону. Следствием этого может стать множество неблагоприятных общественных явлений, таких как безработица, нехватка рабочей силы и специалистов, массовые репрессии (массовые заключения людей в концлагеря), и даже массовая гибель людей. Последнее, например, имеет место, когда резкое снижение относительной численности производительной группы происходит путём физического уничтожения населения страны – с помощью войн, террора и даже геноцида.
Самым нежелательным из пяти перечисленных способов снижения социальной неустойчивости является третий способ, когда одновременно, скачком, уменьшаются величины и c, то есть когда одновременно, скачком, снижаются темпы экономического развития страны и ухудшается материальное положение членов производительной группы. Тем не менее, на практике возможен и такой способ снижения социальной неустойчивости, о чём свидетельствуют многочисленные примеры из истории человеческих цивилизаций, на которых мы, однако, останавливаться не будем.
Детальное рассмотрение и анализ всех 15 возможных вариантов уменьшения величины f – весьма обширная тема для специальных будущих исследований. В данной работе такое рассмотрение не проводится, поскольку сделать это просто невозможно.
Для начала процесса отчуждения, то есть для момента появления развитых товарно-денежных отношений, частной собственности и государства, характерно, как это следует из формулы (4), приближённое равенство c = 1. (Если в этой формуле положить n = 1, q = 0.) Однако со временем такой относительный фонд потребления перестал удовлетворять членов производительной группы (в основном - рабов), что стало весьма отрицательно сказываться на производительности их труда и процессе отчуждения. В результате рабовладельческое общество, продолжая развиваться, стало в сильной степени внутренне неустойчивым.
Так как для этого общества f = , то, после достижения некоторой критической скорости отчуждения на восходящей ветви экономического цикла, социальная неустойчивость рабовладельческого общества также достигла критической величины, в результате чего произошло скачкообразное, с исторической точки зрения, уменьшение социальной неустойчивости, то есть произошла феодальная революция, в результате которой: быстро уменьшился отчуждаемый продукт q (рабы приобрели кое-какую собственность и стали крепостными крестьянами); уменьшилась относительная численность производительной группы n, за счёт внутренних и внешних войн и роста городов; увеличилась скорость отчуждения (увеличились темпы экономического развития общества), за счёт повышения производительности труда, обусловленного быстрым развитием науки и техники.
Такова же, в общих чертах, сущность и других социальных революций.
Следует остановиться ещё на одном важном обстоятельстве.
Ранее было показано, что удельный относительный фонд потребления производительной группы в периоды медленной эволюции общества постоянен. Но это совершенно не означает постоянства материального положения её членов в абсолютном смысле, так как оно зависит от очень многих факторов, и подвержено значительным не детерминируемым колебаниям. Однако, в длительной перспективе, по мере роста параметра q, то есть экономической развитости общества, удельный относительный фонд потребления производительной группы наполняется всё новым реальным содержанием, так что социальное и материальное положение членов производительной группы (как и остальных людей общества!), в общем, неизменно улучшается. С этой точки зрения, марксистский тезис об абсолютном обнищании пролетариата и людей труда при капитализме является несостоятельным, но невозможность увеличения удельного относительного фонда потребления производительной группы, без социальной революции, К. Марксом угадана правильно.
Несмотря на это положительное обстоятельство, экономические возможности, которыми располагает общество для удовлетворения материальных потребностей производительной группы, всё равно остаются ниже этих потребностей, и это основное социальное противоречие, до окончания процесса отчуждения, нельзя устранить никакими способами.
Формула (9) дает простую линейную зависимость
(11)
но следует ещё знать зависимость от времени q = q (t).
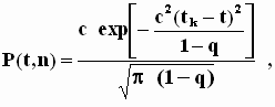
Для отыскания функции q (t) введем ещё одно очень важное вспомогательное понятие: поле социальных противоречий, характеризуемое функцией двух переменных P(t,n). Но прежде чем определить это понятие математически, заметим следующее.
Процесс отчуждения – это реальный диалектический социальный процесс, характеризуемый двумя безразмерными параметрами q и n. Параметр q характеризует внешнюю сторону этого процесса, то есть ту часть общества, которая не принимает непосредственного участия в производстве материальных благ, но, тем не менее, отчуждает часть из них от производительной группы в свою пользу в силу общественной необходимости. (Не случайно Гегель всегда повторял, что миром движет необходимость.)
Параметр же n характеризует внутреннюю сторону процесса отчуждения, то есть ту часть общества, которая непосредственно производит все материальные блага, в том числе и отчуждаемый продукт q, путём разрешения своих внутренних противоречий, приводящих, в конечном счете, к сокращению относительной численности производительной группы, что, в свою очередь, автоматически ведёт к увеличению относительной численности непроизводительной части общества и к дальнейшему увеличению отчуждаемого продукта. (А на восходящей ветви экономического цикла – ещё и к увеличению скорости отчуждения!).
В результате всего этого получается замкнутая причинно-следственная связь, одновременно порождающая, разрешающая и воспроизводящая социальные противоречия, для количественной оценки которых в данной работе и вводится совершенно новое понятие поля социальных противоречий.
Социальные противоречия как бы пронизывают всю сферу общественного сознания в виде некоторого идеального поля, связывая его неразрывными духовными узами в единую систему и наполняя своим идеальным содержанием все общественные процессы и явления, в том числе и процесс отчуждения.
Поле социальных противоречий – это особая идеальная форма высокоорганизованной материи, необходимая для реализации связей между людьми и функциональными группами. Однако в отличие от материальных полей, идеальное поле социальных противоречий существует только в общественном сознании и в головах и людей. Никакими физическими опытами и приборами его уловить, зафиксировать и измерить невозможно, хотя числовая мера этому полю в данной работе даётся. Здесь кроется кажущийся парадокс материалистической диалектики, которого в жизни на самом деле нет.
В определённом смысле, поле социальных противоречий играет в данной социологической теории такую же роль, как гравитационное поле в небесной механике, электромагнитное поле в электродинамике и кривизна пространства - времени в общей теории относительности Эйнштейна, то есть в его теории гравитации.
После этих предварительных, слегка расплывчатых, но очень важных теоретических рассуждений дадим точное математическое определение идеального поля социальных противоречий, опираясь на материалистическое понимание основного вопроса философии.
Используя принцип вторичности общественного сознания по отношению к общественному бытию, поле социальных противоречий, и сами социальные противоречия, в количественном отношении будем характеризовать некоторой функцией двух переменных P(t, n). Реальные же свойства этой функции, оказывающие воздействия на основные социальные процессы через сознательную деятельность людей, определим следующим образом:
(12)
(13)
где - малый элемент производительной группы; - приращение отчуждаемого продукта, соответствующее малому приращению времени ; t – безразмерное время.
Равенство (12) отражает связь функции социальных противоречий с внешней стороной процесса отчуждения и состоит в том, что дополнительный отчуждаемый продукт , создаваемый в малую единицу времени некоторым малым элементом производительной группы, обусловлен непрерывным ростом функции социальных противоречий (или просто: социальных противоречий) вдоль временной оси, и прямо пропорционален скорости возрастания этой функции и абсолютной величине элемента производительной группы. При этом все элементы считаются однородными, то есть воздействию поля социальных противоречий они подвергаются одинаково. В этом состоит интегрирующая роль этого поля.
Равенство (13) отражает связь поля социальных противоречий с внутренней стороной (неуравновешенностью) процесса отчуждения. Состоит оно в том, что локальный импульс социальной неустойчивости, вычисленный для фиксированного момента времени t, численно равен разности значений функции поля социальных противоречий, взятых при этом значении времени и при значениях второго аргумента, равных и , соответственно.
Заметим, что в интервалах времени, где q=const, n=const, , f=0, функция P(t, n) постоянна. (Социальные противоречия не растут.) В дальнейшем эти интервалы времени из рассмотрения исключаем.
Так как , то уравнение (13) показывает, что вдоль оси (как и вдоль временной оси) функция P(t,n) только растет, поэтому рост социальных противоречий вдоль временной оси можно компенсировать только за счёт одновременного уменьшения относительной численности производительной группы, что и происходит на самом деле.
Используя равенство (10), запишем равенство (13) следующим образом:

откуда, с учётом обычного осреднённого предельного равенства

получаем совершенно понятное и прозрачное равенство

Далее рассуждаем следующим образом.
Совокупный отчуждаемый продукт q1, создаваемый производительной группой в интервале (t1, t2), и при одновременном уменьшении её численности в этом интервале от n1 до n2 (n1 > n2), равен:
(14)
С другой стороны, равенство (12) позволяет подсчитать величину дополнительного продукта q2, отчуждаемого от производительной группы за время t1 - t2, по-другому, а именно:
(15)
Очевидно, что для любого интервала времени (t1, t2), внутри которого частные производные и непрерывны, выполняется условие неразрывности: q1 = q2, поэтому, сравнивая подынтегральные выражения в интегралах (14) и (15), получаем очень важную дифференциальную зависимость
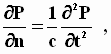
(16)
представляющую собой дифференциальное уравнение в частных производных 2-го порядка, решением которого и является функция поля социальных противоречий.
Уравнение (16) – это хорошо известное в математической физике дифференциальное уравнение в частных производных 2-го порядка, описывающее одномерный процесс мгновенного распределения тепла от внезапно возникшего импульсного источника.
Роль линейной координаты в этом уравнении играет безразмерное время t, роль времени – относительная численность производительной группы n, роль температуры – функция поля социальных противоречий P(t,n), роль удельной теплоёмкости – величина , а плотность и коэффициент внутренней теплопроводности “вещества” одномерного стержня (в данном случае - временной оси) равны 1. Вот такая сверхинтересная и сверхудивительная аналогия получается!
Рассмотрим теперь какой-либо непрерывный и гладкий кусок кривой .
Если предположить, что процесс отчуждения завершится в некоторый, заранее неизвестный, момент времени , при заданном значении величины , то задача отыскания функции P(t, n) сводится к следующей:
Найти функцию  , удовлетворяющую уравнению (16) и условию 
Это модифицированная задача Коши для мгновенного точечного источника, решением которой является фундаментальное решение уравнения теплопроводности, но с одним отличием, что тепло распространяется от импульсного источника тепла (точки с координатой ) не в обе стороны теплопроводного стержня (в данном случае временной оси), а только влево от него.
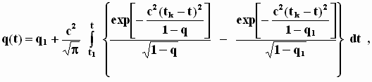
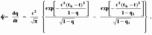
С учётом этого замечания, нетрудно получить способом, изложенном в [4], следующее фундаментальное решение этой задачи:
(17)
Графики этого довольно простого решения, при фиксированном значении , как функции от t, для отдельных значений параметра n, имеют вид:

Учитывая соотношение (11), запишем уравнение (17) в виде
(18)
где .
Отсюда видно, что при фиксированном t, по мере роста отчуждаемого продукта q, функция P(t, n), то есть величина социальных противоречий, уменьшается, так как экспонента, стоящая в знаменателе этой дроби, уменьшается гораздо быстрее, чем уменьшается знаменатель
Для отчуждаемого продукта, с помощью равенств (10) и (13), получаем интегральное уравнение

равносильное дифференциальному нелинейному уравнению 1-го порядка

(19)
где - начальный момент времени, а q1 = q(t1).
Поскольку момент времени неизвестен, то, чтобы его найти, хотя бы теоретически, следует, кроме величины q1 задать ещё начальную скорость .
Из этого уравнения, путем численных методов, следует сначала найти неизвестную величину , выразив её через величины , q1 , и c, которые можно считать известными; затем можно численно проинтегрировать дифференциальное уравнение (19) и найти приближенную зависимость q(t), а затем, по формуле (11), - найти неизвестную функцию n(t). Таков трудный и долгий путь решения поставленной задачи. Это работа не для одного человека.
Таким образом, в принципе, основная задача данной работы решена, то есть функции q(t) и n(t) найдены.
В заключение кратко остановимся на характере поведения функции поля социальных противоречий.
Из рис.4 видно, что вдоль временной оси эта функция возрастает, следовательно, социальные противоречия при и с течением времени только растут. Однако скорость их роста, по мере приближения к моменту времени , имеет тенденцию к уменьшению, вплоть до нуля.
Что касается скорости отчуждения и связанной с ней равенством (5) социальной неустойчивости f, то эти величины с течением времени, то есть по мере приближения к моменту времени , стремятся, как это следует из (19), к своим предельным минимальным значениям
 
Прибегая к механико-геометрической аналогии, можно сказать, что точка, описывающая траекторию некоторой цивилизации на поверхности функции поля социальных противоречий P(t,n), участвует сразу в двух движениях: поднимается вверх вдоль временной оси и одновременно, чтобы компенсировать социальные противоречия увеличением отчуждаемого продукта, скатывается вбок вниз, вдоль оси параметра q, причём подъем всегда преобладает над спуском.
В конечном счёте, в периоды медленной эволюции общества социальные противоречия только растут, но при этом в любой момент времени возможен, хотя и с разной вероятностью, разрыв функций q(t), , n(t) и P(t, n).
Если же разрыва не произойдёт, то параметры q и n в некоторый момент времени достигнут своих предельных значений qk и nk, при некоторой минимальной, но отличающейся от нуля, скорости отчуждения , и процесс отчуждения на этом закончится. На этом развитие общества, безусловно, не остановится, но предлагаемая физико-математическая модель дальше его не описывает. Можно только предположить, что при товарно-денежные отношения и государство сохранятся, структурная эволюция закончится, а социальные противоречия расти не будут, то есть произойдёт "замораживание" социальных противоречий и одновременно - стагнация его экономического и структурного развития. Этот вывод следует из того, что при можно считать q = const и n = const, как это показано на рис.1, 2. Условно это состояние общества можно считать его концом. Современные интеграционные процессы, имеющие место в Европе, направлены на то, чтобы как можно дольше оттянуть этот конец. Но опять же, это - тема для других, очень трудоёмких, исследований.
Список литературы
1. Г.М. Фихтенголц. “Основы математического анализа”, Т.1, Т.2. М., “Наука”, 1960 г.
2. Ф.Р. Гантмахер. “Лекции по аналитической механике”. М., “Наука”, 1966 г.
3. Л.Э. Эльсгольц. “Дифференциальные уравнения и вариационное исчисление”. М., “Наука”, 1964 г.
4. М.М. Смирнов. “Дифференциальные уравнения в частных производных”. М., “Наука”, 1964 г.
5. К .Маркс. “Капитал”, Т.1. М., “Политиздат”, 1951 г.
6. К. Маркс. “К критике политической экономии”. М., “Политиздат”, 1951 г.
7. “Марксистско-ленинская философия”. Диалектический и исторический материализм. Высшая партийная школа при ЦК КПСС. М., “Мысль”, 1977 г.
8. А.М. Румянцев, Г.А. Козлов и др. “Политическая экономия”, Т.1, Т.2. М., “Политиздат”, 1976 г
|