Соколов Юрий Николаевич, д.ф.н., к.х.н., проф.
Показано, что любое взаимодействие в природе осуществляется отдельными порциями, квантами. Установлена принципиальная структура кванта взаимодействия и его циклическая структура пространства-времени. Доказывается, что теория кванта взаимодействия или общая теория цикла может выступить как новая методология решения научных проблем в различных областях человеческой деятельности.
Введение
Циклы –будущее всей фундаментальной науки.
Размышление об итогах десятилетнего становления и развития циклического направления в фундаментальной науке России и стран СНГ
В октябре 1993 года небольшая группа ставропольских ученых организовала и провела первую международную конференцию по проблеме циклов природы и общества. На конференции было заявлено о том, что в науке наступает новое время, время научной революции на знаменах которой начертаны циклы. Основой такого заявления являлась общая теория цикла, разработанная автором данной статьи. В теории доказывалось, что мироздание имеет единую основу в виде кванта взаимодействия, структура пространства-времени которого циклична. Получалось, что природой управляет один универсальный закон цикличности пространства-времени. Все законы, которые функционируют в разных науках, предстают как разные выражения этого универсального управителя мироздания.
В 1993 году это утверждение, безусловно, было встречено скептически в том числе многими учеными-циклистами. Время шло. К 2003 году ставропольские ученые провели уже 14 международных конференций по проблеме циклов (десять провел институт им. Чурсина В.Д и четыре Северо-Кавказский государственный технический университет.
Сегодня можно утвердительно говорить о том, что данные конференции сформировали в науке новое междисциплинарное направление, основой которого является циклическая методология научного исследования. Циклы не на словах, а на деле способствуют интеграции науки в единое целое. Находит все больше и больше доказательств утверждение, что абсолютно все процессы в природе цикличны. Именно циклы управляют миром.
Новая идея проходит три этапа. Первый- этого не может быть, второй- в этом что-то есть, третий –иначе быть не может. Циклисты два этапа уже прошли и находятся в начале третьего. То, что это так подтвердило совещание-семинар, которое состоялось по инициативе РАН в Москве в феврале 2002 г на тему “Цикличность и ритмичность в геологии как отражение общих законов природы”. На совещание было признано, что циклы в геологии становятся важнейшим методом научного исследования.
Забиваем Сайты В ТОП КУВАЛДОЙ - Уникальные возможности от SeoHammer
Каждая ссылка анализируется по трем пакетам оценки: SEO, Трафик и SMM.
SeoHammer делает продвижение сайта прозрачным и простым занятием.
Ссылки, вечные ссылки, статьи, упоминания, пресс-релизы - используйте по максимуму потенциал SeoHammer для продвижения вашего сайта.
Что умеет делать SeoHammer
— Продвижение в один клик, интеллектуальный подбор запросов, покупка самых лучших ссылок с высокой степенью качества у лучших бирж ссылок.
— Регулярная проверка качества ссылок по более чем 100 показателям и ежедневный пересчет показателей качества проекта.
— Все известные форматы ссылок: арендные ссылки, вечные ссылки, публикации (упоминания, мнения, отзывы, статьи, пресс-релизы).
— SeoHammer покажет, где рост или падение, а также запросы, на которые нужно обратить внимание.
SeoHammer еще предоставляет технологию Буст, она ускоряет продвижение в десятки раз,
а первые результаты появляются уже в течение первых 7 дней.
Зарегистрироваться и Начать продвижение
Возникает вопрос- что же произошло в науке и почему мы, ученые-циклисты, добились успеха?
Кризис современной фундаментальной науки
В процессе познания окружающего мира наука вырабатывает совокупность определенных норм, правил, принципов, законов, которые позволяют все глубже проникать в суть вещей и явлений. Эта совокупность принципов и законов составляет метод познания или методологию наук.
В последнее десятилетие мы наблюдаем, что в фундаментальной науке возник и развивается кризис . Он заключается в том, что старые методы познания окружающего мира себя уже исчерпали. Возникли проблемы, которые, несмотря на упорные стремления ученых, не поддаются решению. Для их решения нужны новые методы, а они еще не выработаны. Кризис методологии в разных науках, конечно, ощущается по-разному.
Ситуация в философии. В 1867 году К. Маркс издал первый том своего огромного сочинения “Капитал”. В “Капитале” К. Маркс применил новый метод научного исследования — диалектику. Это позволило ему решить те проблемы, которые не могли решить ученые-экономисты до него. Философы-марксисты взяли на вооружение диалектику, но только формально. Формализм заключался в том, что этот метод только декларировался, но ни разу не заработал. “Диалектическое ружье” почему-то не стреляло. И дело здесь заключалось не в том, что оно не могло стрелять. Дело заключалось в том, что никто не знал, как из него стрелять. Это очень стало ясно после краха марксизма. Почти все кафедры диалектического материализма философских факультетов университетов срочно сменили вывеску и стали называться кафедрами теории и методологии познания.
Ситуация в физике. Положение в физике с методом научного исследования не менее сложно. Теория относительности А. Эйнштейна, которая составляла гордость этой науки, сегодня многими физиками отвергается как ошибочная. Ленинградский физик профессор Денисов издает в 1990 г. книгу, которую называет так: “Мифы теории относительности”. Вторая международная конференция, состоявшаяся в Санкт-Петербурге в сентябре 1991 г. по проблемам пространства и времени в естествознании, принимает обращение, в котором ситуация, сложившаяся в физике, характеризуется как кризисная. Кроме того, в обращении содержится призыв к ученым отказаться от теории относительности, не преподавать ее в школах и вернуться к классическим представлениям. Критике подвергается в настоящее время и такой раздел физики, как квантовая механика. Она объявляется “наукой лентяев”, которые, не утруждая себя познанием сути явлений, просто описывают их средствами математики.
Сервис онлайн-записи на собственном Telegram-боте
Попробуйте сервис онлайн-записи VisitTime на основе вашего собственного Telegram-бота:
— Разгрузит мастера, специалиста или компанию;
— Позволит гибко управлять расписанием и загрузкой;
— Разошлет оповещения о новых услугах или акциях;
— Позволит принять оплату на карту/кошелек/счет;
— Позволит записываться на групповые и персональные посещения;
— Поможет получить от клиента отзывы о визите к вам;
— Включает в себя сервис чаевых.
Для новых пользователей первый месяц бесплатно.
Зарегистрироваться в сервисе
Ситуация в химии и биологии. В 50-е годы в химию начинают внедряться идеи квантовой механики. Энтузиазм внедрения физических идей для решения собственно химических проблем столь высок, что в 60-е годы студентам-химикам в университетах начинают читать курс квантовой механики. В дальнейшем этот курс заменяют курсом строения вещества. Принесло ли это пользу химии как науке? Безусловно, принесло. Квантовая механика позволила объяснить многие свойства химической связи, понять структуру строения химических веществ, объяснить периодическое изменение свойств элементов в периодической системе. Однако внедрение чисто физических идей для объяснения природы химических явлений страдало и серьезным недостатком. Он заключался в том, что объяснение природы одних явлений природой явлений другого уровня заводило и завело постепенно теоретическую химию в тупик наиболее остро этот тупик стал ощущаться в 80-90-е годы нашего столетия.
Нерешенные проблемы таит в себе и периодическая система химических элементов Д.И.Менделеева. Данная система в целом довольно успешно описывается квантовой механикой. Однако проблема верхней границы системы оказалась для квантовой механики “не по зубам”. Каким элементом закончится периодическая система? Каков будет порядковый номер этого элемента? Эти вопросы остаются открытыми.
Ситуация в биологии. Кризисной точкой в биологии, на наш взгляд, является эволюционная теория.
Теория эволюции биологических систем, созданная Дарвином, в биологии не отвергается. Однако в научных журналах в последнее время появляются статьи, в которых делается попытка, если не кардинально, то во всяком случае довольно существенном подправить механизм эволюции, предложенный Дарвином. Это говорит о том, что эволюционная теория сегодня уже не устраивает биологов.
Ситуация в медицине. Тревожное положение, которое складывается в этой области деятельности, не может не беспокоить. Разработка новых медицинских технологий, лекарств становится все более и более дорогим мероприятием. Медицинское обслуживание дорожает. Человечество, видимо, движется к пределу затрат. В этой ситуации необходимо кардинальное изменение всей этой области, необходима новая методология лечения. Чтобы это сделать, необходимы принципиально новые подходы к человеческому организму, чего современная биология дать просто не может.
Ситуацию, которая сложилась в науках, можно описать следующим образом. Представим, что идет наступление войска на хорошо укрепленную крепость. Войско - это совокупность различных наук, крепость - это тайны природы, непознанные ее законы. До некоторых пор наступление шло довольно успешно. Смяты первые, а затем вторые ряды обороны крепости. Отряды наступающих уже около стен крепости. Еще немного, и крепость будет взята. Но не тут-то было! Стены крепости тверды, их не берет оружие наступающих. Пробуются разные методы штурма, но и они не приносят положительного результата. В рядах наступающих, особенно в передовых (философия, физика, химия, биология) наблюдается замешательство. Возникает вопрос — что делать?
В этой ситуации ученые, безусловно, не сидят, сложа руки. Активно ведется поиск новой методологии, новых способов анализа реальности. Мы все помним, как в 80-е годы возник бум системных исследований. Казалось, что “системщики” дадут нам реально работающий универсальный метод познания. Увы, эти надежды не сбылись.
Поиски новой методологии шли в несколько ином направлении. речь идет о возникновении и развитии такой междисциплинарной науки, как синергетика. Возникнув на стыке физики, математики и философии, синергетика, безусловно, позволяет исследовать природу с новый позиций. Сегодня эта наука имеет определенную методологическую ценность. Однако, если говорить в общем, то ни синергетика, ни общая теория систем, ни диалектика в том виде, в каком она существует, не дают принципиального рывка в методологии. Все эти методы сегодня - это полумеры. Сегодня нужна принципиально новая, революционная методология. Ситуация, сложившаяся в науке, требует этого. Сегодня нужна такая методология, которая позволила бы кардинально изменить способы, принципы анализа природы, кардинально изменить общую картину мира.
Трудный путь общей теории цикла
Наблюдая и изучая окружающий мир, люди всегда пытались найти в нем нечто такое, что не изменяется, не исчезает, вечно существует. Они пытались понять, что является основой мира, т.е., они пытались найти то, из чего вещи возникают и во что превращаются. Этот “проклятый” вопрос на протяжении тысячелетий стоял и стоит до настоящего времени перед человечеством. Достаточно четкого и ясного ответа на данный вопрос до сих пор нет, как и нет ответа на вопрос, а стоит ли вообще искать основу мироздания, и может быть ее вообще не существует.
Были ли попытки хоть как-то ответить на поставленный вопрос в истории развития человечества и вместе с этим развитием в истории развития представления о мире? Безусловно, были. Религия, например, данный вопрос решает достаточно просто. В основе мира, утверждает она, находится Бог. Именно Бог все создает и всем управляет, все находится в руках Божьих. Данный постулат лежит в основе всех существующих на сегодняшний день религий. Философия пыталась по-своему ответить на вопрос об основе мира. В разных философских системах, начиная с древнегреческой и кончая философской системой Гегеля, ответы были неодинаковы. Одни считали, что основой мира выступает некая бестелесная идея, другие считали основой некие материальные шарики (атомы), третьи говорили о некоем универсальном законе “Дао, Логос, Субстанция”.
Основу мира усиленно искала и физика. Сначала физики пришли к мысли о том, что в основе мира лежат неделимые атомы. Атомы, как оказалось, делятся. Физики стали эксплуатировать идею, что в основе мироздания находятся элементарные частицы. У современной физики возникло серьезное опасение, что и элементарные частицы имеют сложное строение и могут делиться. Основа мира, в этой связи, снова становится призраком, и снова нет достаточно четкого и ясного ответа.
Существует ли вообще основа мироздания и если существует, то, что это такое? На этот вопрос мы достаточно ясно ответили в своей общей теории цикла, которую мы развиваем с 1981 года.
Да, основа мира существует, и она является универсальной структурой взаимодействия. Любое взаимодействие, а мир, по существу, это не что иное как взаимодействие материальных объектов, построено по универсальной схеме, своеобразному шаблону. Этот шаблон устроен циклически, т.е. время в нем движется по кругу, а изменения любого параметра описываются волнообразной кривой. Данный шаблон мы назвали квантом взаимодействия. Мир оказался устроенным по принципу “матрешка в матрешке”, то есть квант взаимодействия в кванте взаимодействия, более широком.
Изучение устройства кванта взаимодействия привело нас к выводу, что весь окружающий мир описывается одним единственным законом - законом циклической структуры пространства-времени кванта взаимодействия. Квант взаимодействия, в этой связи, выступает как своеобразный управитель и распорядитель окружающего мира, как своеобразный материалистический бог.
Идея, которую мы выдвинули, была оформлена в виде единой концепции, получившей название “Общая теория цикла”. Эту идею, естественно, мы стали пытаться внедрить в сознание ученых и стокнулись с ее резким неприятием. Наша борьба за ее внедрение в науку напоминала путь по краю пропасти. В любой момент можно было сорваться вниз. Однако всегда находились люди, которые подавали руку помощи.
В 1987 году на основе общей теории цикла нами была разработана циклическая структура периодической системы Д.И.Менделеева. Остро встал вопрос о ее публикации. Путь в центральные научные журналы ввиду нетривиальности идеи нам, как говорится, был заказан. Единственная возможность публикации – это депонирование в ВИНИТИ АН СССР. Однако, для этого необходимо было решение ученого совета любого высшего учебного заведения. Ученые двух ставропольских вузов, куда мы обратились, дали резко отрицательное заключение по содержанию статьи. Наше психологическое состояние было критическим. В это трудное время нашелся человек, который помог. Это был ректор Северо-Кавказского государственного технического университета академик Синельников Б.М. Благодаря его помощи работа была депонирована.
В 1985 году общая теория цикла теория в виде кандидатской работы по философии была представлена на кафедру философии института повышения квалификации при Ростовском государственном университете с целью выхода на защиту. Вердикт предварительной экспертизы был суров — автор-химик по первому образованию недостаточно хорошо разобрался в философии и написал нечто непотребное. Работа была решительно отвергнута. Нас, однако, это не остановило. С 1989 года по 1991 год работа еще дважды обсуждалась в Ростове на той же кафедре и трижды в Уральском университете на кафедре, которая в то время называлась кафедрой диалектического материализма. Результат был один и тот же — работа не соответствует уровню философских исследований, а автор предстает как возомнивший о себе дилетант. Единственным ученым, поддержавшим в то время работу был профессор Уральского университета Пивоваров Д.В.
В 1992 году с отрицательным заключением экспертного совета мы решили доказывать свою правоту на философском совете в Ростовском университете в виде защиты диссертации на соискание ученой степени кандидата философских наук. Около трех с половиной часов шел довольно острый разговор на Совете. Итог опять был не в нашу пользу. Десять членов Совета проголосовали “против” и только пять — “за”. Одним из ученых, выступившим “за”, был профессор Давидович В.Е.
После неудачной защиты для нас как бы наступило просветление. Мы очень хорошо поняли довольно простую и банальную истину, которая была для нас недоступна — если нам противостоит сила, то на эту силу надо ответить силой. Иными словами, нужно было собирать единомышленников, чтобы сломить сопротивление официальной философской науки и заставить ее признать общую теорию цикла. Так родилась идея проведения конференций по проблеме циклов природы и общества. Эту идею активно поддержал заведующий кафедрой философии Северо-Кавказского государственного технического университета профессор Горшков В.А. Идея о проведении конференций по проблеме циклов природы и общества была одобрена и претворена в жизнь ректором негосударственного ставропольского университета Чурсиным В.Д. В период с 1993 по 2001 год данным учебным заведением проводятся девять международных конференций по проблеме циклов. С 1999 года аналогичные конференции стали проводится в стенах СевКавГТУ.
История науки показывает очевидную истину, что новые идеи появляются в определенное время и обусловлены всем ходом развития науки, т.е. они являются своевременными и обязательно будут приняты, несмотря на сопротивление. Была ли идея цикла своевременной? Сегодня можно достаточно уверенно сказать, что да.
В марте 1997 года мы защитили диссертацию на тему “Циклы социальных систем: проблемы методологии” на соискание ученой степени доктора философских наук в Московском педагогическом государственном университете им. В.И. Ленина.
Конференции и успешная защита диссертации поставили точку под вердиктом: в науке возникло новое междисциплинарное циклическое направление с большими эвристическими возможностями.
Мы выражаем сердечную благодарность всем ученым, которые помогли нам на трудном научном пути. Это профессора Синельников Б.М.,Горшков В.А.,Пивоваров Д.В.,Давидович В.Е. и ныне покойный Чурсин В.Д. Выражаем сердечную благодарность председателю диссертационного Совета профессору Микешиной Л.А., членам совета профессорам Князеву В.Н., Егорову Ю.Л., а также всему коллективу Совета за компетентность, смелость, мужество и честность в оценке нашей работы.
На знаменах великой научной революции -Циклы
Итак, циклическое научное направление существует. Чтобы ясно и четко видеть перспективы развития данного направления, ученым-циклистам сегодня необходима программа действий. Выскажем некоторые соображения о самых общих контурах такой программы.
Основной лейтмотивом такой программы, и в этом мы твердо уверены, должна быть идея кардинального реформирования всей фундаментальной науки на основе циклов. Другая постановка вопроса, на наш взгляд, несерьезна и она просто не в полной мере использует мощь и силу циклического метода изучения природы. Это, во-первых. Во-вторых, если мы, ученые-циклисты, не поставим эту задачу сегодня и не начнем ее решать, то завтра данная задача и ее решение будет выполняться другими. Нам же останется только горевать и сожалеть о том, что, создав циклическую методологию, мы остановились на пол-пути и не смогли на ее основе сделать великое дело- кардинально реформировать всю фундаментальную науку.
Если мы согласимся с задачей кардинального реформирования науки, то неизбежно возникает более конкретный вопрос о мероприятиях, которые необходимо провести в каждой конкретной фундаментальной науке - философии, физике, химии, геологии, истории, педагогике.
Философия. Философия как одна из форм освоения природы существует уже более 3000 лет. Чем же занимались философы все это время. Если мы посмотрим чистым, незамутненным различными измами, взором на философские системы и поразмыслим о них головой, не испорченной догматами, то отчетливо увидим, что каждый философ, строя философскую систему, пытался найти первооснову мироздания, ее сущность, первоатом, основной и единый закон. Эта проблема пронизывает абсолютно все философские системы, начиная с древности и кончая грандиозной философской системой Гегеля.
В небольшой книжке “Людвиг Фейербах и конец классической немецкой философии”,которая впоследствии стала библией для начинающих марксистов, Ф. Энгельс писал, что “великий, основой вопрос всей философии является вопрос об отношении сознания к материи”. Это неверно! Никогда этот вопрос в истории философии не был великим и основным. Или Ф. Энгельс не знал истории философии, что довольно трудно предположить, или этот обман был им сделан сознательно, чтобы обострить борьбу материалистов и идеалистов в политических целях марксистов.
Великий и основной вопрос всей мировой философии был вопрос о первопричине всего сущего, основе мироздания. Именно этот вопрос по-разному решался в разных философских системах. Гегель был последним философом, кто попытался на него научно ответить, объявив, что основой мироздания является абсолютная идея. После Гегеля данный вопрос не ставился и, естественно, не решался. Марксисты занялись разработкой мифической теории коммунизма. Западная философия углубилась в логику, историю философии, позитивизм, экзистенциализм и т.д.
Как ни грустно об этом говорить, но философия после Гегеля напрочь теряет свой действительный предмет познания. Это не могло не завести и завело всю мировую философию в теоретический тупик. Особенно этот тупик стал заметен в постмарксистской философии. Что она представляет собой в настоящее время? По сути дела, это некая смесь из социологии, диалектики, теории человека, глобальных проблем человечества изрядно заправленная историей философии. Мы далеки от мысли, что марксизм ничего не дал позитивного. Отнюдь! “Капитал” К. Маркса - это великое произведение и его величие заключается в методе - диалектике. К сожалению, марксисты не дали себе труда понять эту диалектику, написав о ней горы книг, диссертаций и статей.
Как же можно реформировать современную философию? Прежде всего из нее необходимо отпочковать то, что относится к проблематике социума - этику, эстетику, религовидение, теория общественного устройства и т.д. Все это должна изучать своя наука - социология. Такая наука существует. От философии остается то, что называется онтологией, т.е. теория устройства неорганической природы. Этот раздел неизбежно, на наш взгляд, превращается в теорию циклов или циклологию. Основы такой науки ученые-циклисты уже успешно создают в своих работах, обсуждают на встречах и конференциях. Циклология - это совсем недалекое будущее всей мировой философии.
Физика. Кардинальное реформирование физики связано, на наш взгляд, с решением ее проблем. Какие же это проблемы?
Первая проблема - это чрезвычайная математизация современной физики. Против союза физики и математики принципиальных возражений нет до той поры, пока физики средствами математики описывают явления, физическая сущность которых ясна. Когда же происходит описание явлений, физическая сущность которых не очевидна, математика зачастую заводит физиков в тупик. В этом случае физические явления как бы исчезают и остаются одни уравнения. Именно этой бедой страдает современная теоретическая физика.
Вторая проблема - это создание единой теории поля. Данная проблема была в свое время поставлена А. Эйнштейном. Суть дела заключается в том, чтобы создать общую теорию четырех видов взаимодействий - гравитационного, слабого, электромагнитного и сильного. А. Эйнштейн 35 лет занимался решением данной проблемы. Решением данной проблемы заняты и современные физики. Несмотря на упорные усилия лучших физических умов, данная проблема не решена.
Третья проблема - это понимание природы электрона как единства частицы и волны. Хотя физики оперируют уравнениями, которые математически описывают это единство, физическая сущность данного явления, составляющая краеугольный камень квантовой механики, остается непознанной.
Третья проблема - это непосильность для современной физики выявить природу тех образований, которыми она оперирует буквально на каждом шагу. Речь идет о массе и энергии.
Решение всех этих проблем традиционными методами с использованием сложнейшего математического аппарата и даже с изобретением все новых и новых математических приемов успеха не принесет. Два последних десятилетия развития физики это показывают очень четко. Нужна новая научная парадигма, нужен новый принципиальный подход к описанию физических явлений. Именно новый принципиальный подход, новую методологию дают, на наш взгляд, циклы.
В своих работах мы показали, что на основе общей теории цикла возможно решение проблемы создания единой теории поля. Более того, такое решение дано. Оказалось, что выведенное нами уравнение фундаментального кванта взаимодействия оказалось единым мировым уравнением из которого путем нехитрых алгебраических манипуляций выводятся уравнения всех взаимодействий. Было показано, что мировые константы являются комплексными и состоят из более фундаментальных - m0, l0, t0. Было определено численное значение данных трех мировых констант - массы, длины и времени. Показано, что единство гравитации и электромагнетизма определяется уравнением фундаментального кванта взаимодействия:
Fо tо= mо·vо Fо tо - заряд.
Данный подход, на наш взгляд, является ключевым для начала кардинального реформирования физики и, естественно, простого неожиданного и оригинального решения всех тех проблем, на которые мы указали.
Химия. В 50-е годы в теоретическую химию начинают активно внедряться идеи квантовой механики. Возникает целый раздел химии, который можно условно назвать квантовой химией. Энтузиазм химических последователей идей квантовой механики столь высок, что в 60-е годы на химических факультетах студентам стали читать курс квантовой механики. В дальнейшем, чтобы упростить данный курс для студентов-химиков начинают читать курс, который получает название “Строение вещества”. Симбиоз химии и квантовой механики до поры и времени был прогрессивным. Однако, по мере развития химии, он стал серьезным тормозом в объяснении природы многих химических явлений. Трудности здесь носили принципиальный характер - нельзя явления одного уровня (химического) объяснить закономерностями другого уровня (квантомеханического). Химические явления должны объясняться именно закономерностями данного уровня движения материи. В начальный период внедрения идей квантовой механики в химию это было не очевидно. Сегодня сомнений в том, что данный путь неверен, почти нет ни у кого. Но одно дело сказать, что здесь что-то не так. Более трудная задача заключается в том, чтобы предложить более эффективный альтернативный метод.
Мы думаем, что и здесь разработка эффективных теоретических подходов связана с циклическим методом исследования процессов в природе. В научной литературе уже появляются первые перспективные работы в этом направлении. В этой связи можно указать на талантливые работы ученого-химика из Минска Терешковой С.Г. Терешкова С.Г. активно разрабатывает теорию цикличности химических реакций. Мы думаем, что в самом ближайшем будущем это направление в химии станет ключевым и с ним будет связано кардинальное реформирование всей теоретической химии.
Важнейшим химическим законом является периодический закон Д.И. Менделеева. Более ста лет химики используют этот закон. Однако периодическая система до сих пор таит в себе тайны. Одна из них - это проблема верхней границы системы. Ни химики, ни физики не могут дать внятного ответа на данный вопрос. В своих работах мы показали, что периодическую систему можно представить в циклическом виде. Циклическая структура периодической системы химических элементов просто и наглядно показывает динамику изменения химических свойств элементов. Данная структура помогает более глубоко понять всю природную архитектуру системы. Мы глубоко уверены в том, что более глубокое познание периодического закона связано с циклическими представлениями.
Биология и медицина. Если в неорганических системах циклы необходимо выявлять, то в биологических системах они буквально находятся на поверхности. Все живое пронизано циклами и ритмами. Это, естественно, не могли не заметить и не изучать ученые-биологи. С 1961 года официально признана хронобиология как важнейший раздел биологии. К настоящему времени биологи накопили и продолжают накапливать огромный фактический материал. Это, безусловно, радует, но в то же время внушает определенную тревогу. Анализ работ биологов по циклам показывает, что их исследования носят феноменологический характер. В очень редких работах ставится задача проникнуть в суть биологических циклов. В настоящих условиях такие проблемы необходимо ставить и решать, ибо в противном случае биологи захлебнуться в фактическом материале. Мы думаем, что хорошим подспорьем в этом может служить общая теория цикла как методология исследования биологических циклов. В этой связи можно указать на работы ученого из Ставрополя профессора Гневушева В.В. В своих работах Гневушев В.В. активно использует общую теорию циклов и выходит на совершенно оригинальные и неожиданные результаты.
Исследования хронобиологов не могут не использоваться в современной медицине. Процесс циклизации медицины в самом широком смысле уже идет полным ходом. Мы глубоко уверены в том, что вся медицина в самом ближайшем будущем станет насквозь циклической. Циклы помогут быстро и эффективно не только лечить болезни, но и, самое главное, их предупреждать. Работу в этом направлении надо, на наш взгляд, убыстрить и привлечь к ней ведущих медиков России и стран СНГ.
Геология. Цикличность геологических процессов не составляет для геологов никакой тайны. Более того, для обозначения застывших циклов, которые происходили в разное время на Земле циклисты-геологи придумали очень удачное название – циклиты. Теория цикличности геологических процессов в настоящее время активно разрабатывается. Здесь только можно посоветовать геологам использовать в этой работе общую теорию циклов.
Подведя итог всему вышеизложенному, мы можем с полной уверенностью сказать, что циклический метод в настоящее время самый перспективный и он динамично развивается. В науке создалась ситуация, когда. используя только наработанный материал, на основе циклического метода можно делать широкие обобщения и даже открытия. И это надо делать! Если не мы, то это сделают другие. А нам будет обидно, что, создав циклическую методологию, мы не смогли на ее основе кардинально реформировать всю науку.
Мы уверены, что циклический метод станет доминирующим в будущей науке.
Циклы — это революция в науке, циклы — это наука XXI века.
Вновь как в октябре 1993 года мы призываем всех, кто не заражен опасными бациллами догматизма и ортодоксальности, встать под наши знамена и плодотворно поработать во благо настоящего и будущего поколений.
1. Основные положения общей теории цикла
Начало исследования
На протяжении нескольких тысячелетий ученые всех стран и народов, пытаясь понять окружающий мир, стремились отыскать в нем нечто универсальное и абсолютное, то, из чего все возникает и во что со временем превращается. Это была проблема поиска первоначала, первопричины всего сущего, основы мироздания. Данный вопрос в той или иной форме формулировался и решался в различных философских системах и в теоретических построениях ученых-естественников. Несмотря на обилие теорий первоосновы, она так и не найдена. В ХХ веке данной проблемой почти никто из ученых не занимался. Все как-то молчаливо согласились, что поиски первоосновы из-за ненаучности постановки проблемы обречены на неудачу. Однако в конце ХХ века данный вопрос вновь становится актуальным.
Автор данной работы никогда не занимался теорией первоосновы мироздания, а исследовал развитие противоречия. Изучение этого вопроса привело нас к вычленению первоосновы всего сущего. Теорию данной первоосновы мы назвали “Общая теория цикла”. Центральным положением нашей теории выступило утверждение, что любое взаимодействие природа строит по универсальной и абсолютной схеме, структуре. Именно данная структура, на наш взгляд, и выступает как первооснова мироздания.
Итак, универсальное и абсолютное начало окружающего мира найдено. Возникает вопрос: не слишком ли это смелое утверждение?
Любая новая теория не возникает вдруг. Ее возникновение обусловлено длительным развитием науки. Наступает некий момент, когда новая теория должна появиться, и она неизбежно появляется. Общая теория цикла в последние два десятилетия витала в воздухе. Осталось сделать последний и, видимо, самый трудный шаг. Кто-то должен был его сделать. Именно этот шаг посчастливилось сделать нам. Что это? Везение, подарок судьбы или что-то другое? Мы этого не знаем. Однако знаем, что за это мы заплатили 15 годами мучительной и тяжелой работы. Мы не можем сказать, что она была безрадостной. Нет! Работать над новой теорией — это огромное счастье, но одновременно и тяжкий, каторжный труд, если учесть еще и то, что в течение 12 лет приходилось работать, по сути, дела в одиночестве, встречая порой непонимание, упреки, насмешки, оскорбления и прямые издевательства окружающей “просвещенной” публики. Все это теперь позади. Общая теория цикла прошла апробацию на международных конференциях по проблеме циклов природы и общества, которые были проведены в городе Ставрополе в период с 1993 по 2003 год. Общая теория цикла в настоящее время успешно работает в качестве принципиально новой методологии научного исследования. Эта теория, и мы в этом твердо уверены, будет определять развитие всей науки и всей жизни человечества в XXI веке.
Ньютон открыл закон всемирного тяготения, глядя на падающее яблоко. Немецкий химик Кекуле увидел формулу бензола во сне. Русскому химику Д.И. Менделееву периодическая система химических элементов тоже приснилась. Нечто подобное произошло и с нами в начале работы над общей теорией цикла. Расскажем кратко, как это было.
В 1977 году после окончания аспирантуры в Москве в Московском химико-технологическом институте, я был направлен на работу в Ижевский механический институт ассистентом на кафедру химии. В Ижевске я решил изменить свою специальность и стать философом. С этой целью в 1979 году я поступил учиться заочно в Уральский университет на философский факультет. В научном плане я стал заниматься диалектикой. В то время передо мной встал вопрос: что является противоположностью любого материального объекта. Помню, что я раздумывал над этой проблемой недели три. Решение никак не давалось. Ранним январским утром 1981 года я шел в магазин, и ни о каких противоречиях не думал. И вот, когда я вышел из подъезда своего дома, меня пронзила молнией мысль. Мой мозг, помимо моей воли, сделал следующий мысленный эксперимент. Он поместил некий материальный объект в материальную среду, а потом его вынул, но вынул так, чтобы среда не заполнила его место. Я моментально понял, что объект и среда выступают как противоположности, ибо объект ограничен выпуклой поверхностью, а “дырка” от него в материальной среде ограничена вогнутой поверхностью. Эта идея была началом долгого и трудного пути, имя которому “Общая теория цикла”.
Основы исследования
В основе нашего исследования пять положений. Они просты, очевидны и могут быть приняты без доказательств.
Первое положение. Природа, объективный мир, устроен не просто, а гениально просто. Задача заключается в том, чтобы понять эту простоту.
Второе положение. Природа, объективный мир, имеет только один-единственный закон, один принцип своего существования.
Мысль о том, что в мире действует только один закон, кажется дикой и нелепой. Разве возможно, чтобы вечно изменяющаяся, вечно новая природа имела только один закон своего существования?! Да, действительно, с точки зрения здравого научного смысла, это невозможно. Но ведь еще Энгельс предупреждал о том, что здравый смысл хороший попутчик только в четырех стенах наших домов. Когда он отваживается выйти на простор научного исследования, с ним происходят удивительные события. Это первое возражение. Кроме того, если мы проанализируем все философские системы, начиная с древности и вплоть до грандиозной системы Гегеля, то увидим, что сквозной идеей идет поиск первоосновы мира, универсального закона, универсального принципа построения природы. Правда, эта основа, несмотря на упорные усилия, не найдена. Но это совсем не значит, что она не существует. Сегодня о мире мы знаем много. Но это знание деталей. Общая картина мироздания пока нам не дается. Древние мыслители знали меньше, но они лучше видели общее. Настает время, когда от знания деталей надо вернуться к общему и разгадать замысел Творца.
Третье положение. Объективный мир представляет собой совокупность самых различных материальных объектов. Материя, из которой построен мир, существует не иначе как в форме индивидуальных материальных объектов. Индивидуальность выступает как характерная черта реальности. Материальные объекты существуют не иначе как во взаимодействии. Невозможно представить себе объект, который абсолютно не взаимодействовал бы с окружающим миром. Такого объекта в природе просто не существует. Итак, третьим основанием нашего исследования является положение, что мир — это совокупность взаимодействующих материальных объектов.
Четвертое положение. В любом взаимодействии существуют силы действия некоторого объекта на среду и силы противодействия среды. Мы не задаемся вопросом, как они возникают, их наличие мы постулируем.
Пятое положение. В глубокой древности ученые-философы пришли к выводу, что источником самодвижения и саморазвития природы является противоречие как взаимоотношение двух противоположностей. Это положение в нашем исследовании является центральным.
Квант взаимодействия
Представим, что во всем материальном мире существуют только два объекта А и В, которые находятся во взаимодействии. В этом взаимодействии действуют две противоположно направленные силы. Это силы действия объекта А на объект В и силы противодействия объекта В. Через эти силы каждый объект проявляет себя и выступает как бы “силовым” узлом взаимодействия.
Взаимодействие двух объектов А и В объединяет эти два объекта в одно неразрывное целое. Следовательно, силы действия и противодействия принадлежат одновременно как объекту А, так и объекту В. Нас интересует объект А. Рассмотрим, что будет происходит с этим объектом по истечении некоторого времени взаимодействия.
Силы действия и противодействия, которые сосредоточены на объекте А, можно представить в виде двух противоположно направленных векторов (F+ и F-). В процессе взаимодействия эти силы будут каким-то образом изменяться, поскольку взаимодействие это не статика сил, а скорее их динамика. Как же будут изменяться эти силы?
Здесь возможны только два варианта. Во-первых, изменение их направления; во-вторых, изменение их величин. Рассмотрим вначале изменение направления сил.
Силы действия и противодействия определенно направлены. Если силы действия обозначить, например, как правые, то тогда противоположные силы противодействия будут выступать как левые. В процессе взаимодействия они могут измениться по направлению только одним способом, а именно: изменить свое направление на противоположное. Правые силы станут левыми, а левые силы станут правыми. Если говорить математическим языком, то произойдет инверсия сил. В процессе дальнейшего взаимодействия вновь произойдет изменение направления сил, и они вернутся в исходное состояние. При дальнейшем взаимодействии все повторится. Что могут означать для объекта А эти изменения направления сил?
Рис.2. Принципиальная схема изменения сил по направлению
Во взаимодействии объект А выступает “силовым” узлом. Если силы действия и противодействия в одном силовом узле имеют одно направление, а в другом прямо противоположное, то это означает, что эти два узла являются противоположностями. Если один силовой узел выступает как объект А, то второй как его зеркальная копия, как противоположность, как антиобъект. Итак, во взаимодействии можно выделить повторяющуюся структуру. В этой структуре объект А переходит в свою противоположность, а затем возвращается к себе (рис. 2, 3).
Рис.3. Принципиальная структура кванта взаимодействия.
Данную структуру взаимодействия мы определяем, как элементарную и называем ее квантом взаимодействия.
Направление сил и геометрия сил
Любую силу можно представить в виде вектора, который имеет как определенное направление, так и определенную величину.
Вектор силы или совокупность векторов сил мы будем называть направлением сил.
В процессе инверсии или изменения направления сил действия и противодействия основания векторов сил описывают определенную линию.
Эту линию или совокупность линий мы будем называть геометрией сил. Таким образом, силы, участвующие в инверсии, характеризуются направлением и геометрией (рис. 4).
Рис. 4. Направление сил и геометрия сил.
В процессе инверсии вектор некой силы изменяет свое направление на противоположное. Это изменение не происходит внезапно, а проходит ряд определенных промежуточных стадий. На каждой стадии направление вектора силы строго фиксировано и определено. Можно сказать, что направление силы изменяется дискретно. Иными словами, такую характеристику силы, как ее направление, можно охарактеризовать понятием “дискретность”.
В процессе изменения силы основание вектора описывает определенную геометрию. Хотя эта геометрия складывается из совокупности определенных дискретных положений основания вектора, она непрерывна, т.е. геометрия силы характеризуется понятием “непрерывность”.
Отсюда становится ясно, что направление сил (дискретность) и геометрия сил (непрерывность) являются противоположностями. В самом деле, направление сил всегда единично и оно отрицает общее, т.е. геометрию сил. Но с другой стороны, геометрия сил отрицает каждое единичное, дискретное направление. Геометрия соединяет все дискретные направления в одно неразрывное целое.
Направление и геометрия сил не только отрицают друг друга, но и взаимовысвечиваются друг в друге. В самом деле, направление сил дискретно, но это не чистая дискретность. В этой дискретности проявилась непрерывность в виде того, что вектор имеет не только направление, но и величину. Иными словами, вектор силы выступает как “непрерывная дискретность”. С другой стороны, не существует во взаимодействии “чистая” геометрия сил, т.е. “чистая” непрерывность. В этой непрерывности высвечивается дискретность сил в виде того, что геометрия состоит из совокупности связанных между собой отдельных дискретных участков движения основания вектора. Иными словами, геометрия сил, или непрерывность, является как “дискретной непрерывностью” (рис. 5).
Направление сил и геометрия взаимообусловливают друг друга. Геометрия сил существует постольку, поскольку есть каждое отдельное направление сил, а направление обусловлено геометрией. Мы выяснили, что направление сил и геометрия силвзаимоотрицают друг друга, взаимовысвечивают и взаимообусловливают друг друга. Иными словами, они выступают как диалектические противоположности. Эти противоположности сосредоточены на материальных объектах. Объекты выступают как узлы, которые связывают их в одно целое. Но раз есть две неразрывные противоположности, то можно говорить о наличии противоречия.
Противоречие кванта взаимодействия составляют две противоположности: направление сил и геометрия сил.
Движение противоречия в кванте взаимодействия
Квант взаимодействия, как мы показали, имеет два противоположных полюса, которые в процессе взаимодействия взаимопереходят друг в друга. Этот переход осуществляется, естественно, за счет движения противоречия. Наша задача состоит в том, чтобы определить, как происходит движения противоречия.
Сравним, как представлены противоречия двух полюсов цикла. Противоречие объекта А первого полюса цикла составляют две противоположности — направление сил действия и геометрия этих сил. Противоречие объекта А второго полюса цикла составляют направление сил противодействия и геометрия этих сил. Направление сил действия и противодействия являются противоположностями. Из этого следует, что геометрии сил действия и противодействия являются также противоположностями. Как представить две геометрии как противоположности? Если вектора сил действия двигаются по выпуклой геометрии, то вектора сил противодействия будут двигаться в этом же время по вогнутой геометрии. Выпуклость и вогнутость являются противоположностями. Таким образом, две противоположности объекта А противоположны двум противоположностям объекта А. Это означает, что два противоречия друг относительно друга представлены зеркальным образом. Противоречие объекта А это противоречие объекта А, но только перевернутое, зеркальное. Но если противоречия объектов выступают как противоположности, то отсюда следует единственный вывод, что объекты А и А - противоположности.
Разберем более подробно механизм изменения противоречия при взаимодействии двух полюсов цикла. Противоречие составляют две противоположности — направление сил и геометрия сил. Эти две противоположности, естественно, должны проявить себя во взаимодействии. Как они это могут сделать?
Здесь существует единственная возможность. Каждая противоположность должна проявиться себя через другую или высветить себя через другую. Процесс взаимопроявления идет через две одновременные, взаимозависимые стадии — внутреннюю (взаимопроявление на каждом объекте) и внешнюю (взаимопроявление между объектами) (рис. 5).
Рис. 5. Принципиальная структура взаимосвязи направления сил и геометрии сил в кванте взаимодействия
В процессе взаимодействия эти взаимопроявления противоположностей друг в друге приводят к взаимопереходу объектов друг в друга.
Геометрическая структура направления сил
В предыдущем разделе мы рассмотрели изменение векторов сил по направлению. Вполне понятно, что кроме направлений векторов будет меняться и их величина. Возникает вопрос- каким образом и в каких пределах?
Сумма сил действия и противодействия по абсолютной величине составляет меру взаимодействия, которая в нашем случае не может быть превышена из-за наличия только двух взаимодействующих объектов.
[F+] + [F ] = constanta
Если во взаимодействии будет увеличиваться сила действия, то для того, чтобы не изменилась мера, сила противодействия будет уменьшаться. Сила противодействия, естественно, не может исчезнуть совсем. Ее исчезновение было бы прекращением взаимодействия. Следовательно, существует некий предел увеличения сил действия и уменьшения сил противодействия.
Силы действия и противодействия во взаимодействии совершенно равноправны. Значит, во взаимодействии будет существовать ситуация, когда силы противодействия будут увеличиваться, а силы действия уменьшаться. Здесь также будет присутствовать тот же предел их увеличения и уменьшения, как и в первом случае.
Логично предположить, что во взаимодействии двух объектов будут периодически чередоваться эти две ситуации. Первая ситуация: увеличение сил действия и уменьшение сил противодействия. Вторая ситуация: увеличение сил противодействия и уменьшение сил действия. Силы действия мы обозначим как положительные (F+), а силы противодействия — как отрицательные (F-).
В результате реализации двух ситуаций сначала будет увеличиваться результирующая положительная сила, которая достигнув максимума, будет уменьшаться. Затем будет увеличиваться отрицательная результирующая сила, которая, также достигнув максимума, будет уменьшаться. Данный процесс можно представить в виде графика (рис. 6). Точки 1, 3, 1 соответствуют ситуации, когда силы действия равны силам противодействия. В точке 2 сила действия максимальна, а сила противодействия минимальна. В точке 4 все наоборот — сила противодействия максимальна, а сила действия минимальна. Если принять, что точка 1 соответствует объекту, то точка 3 будет соответствовать его противоположности. Точка 1 — это возврат объекта А в исходное состояние. Наш график, следовательно, отражает процесс изменения результирующей силы в кванте взаимодействия.
Рис.6. Принципиальная схема изменения результирующей силы в кванте взаимодействия
Золотое сечение – константа кванта взаимодействия
Мы показали, что в точке (2) сила действия максимальна, а сила противодействия минимальна. В точке (4) все наоборот, сила действия минимальна, а сила противодействия максимальна. Возникает вопрос о пределе увеличения одной силы и уменьшения второй. Такой предел должен существовать и это вытекает из следующих рассуждений. Представим, что такого предела нет. Тогда можно увеличивать одну силу и уменьшать вторую силу до нуля. Мы приходим к тому, что остается только одна сила, а это равносильно исчезновению взаимодействия. Такого, естественно. быть не может. Следовательно, предел увеличения одной силы и уменьшения второй существует
Вопрос о пределе изменения сил, на наш взгляд, можно решить на основе золотого сечения. В последние годы в российской науке наблюдается оживление в исследовании роли золотого сечения в разных областях науки и техники. Учеными убедительно показывается, что золотое сечение выступает как универсальная мировая константа. Однако природа золотого сечения остается непознанной. Мы думаем, что природу золотого сечения можно раскрыть только в рамках общей теории цикла. Изложим наши соображения по этому поводу.
В кванте взаимодействия действуют две противоположные силы — действия и противодействия. Поскольку, в нашей модели взаимодействуют только два объекта, то данное взаимодействие идет в пределах определенной меры. Это означает, что сумма двух сил по абсолютной величине должна на протяжении всего взаимодействия оставаться постоянной.
[F+] + [F ] = constanta
Рассмотрим ситуацию во взаимодействии, когда две силы по величине равны друг другу (схема А). Пусть общая сумма этих сил по абсолютной величине будет равно 1. Величина одной силы в этом случае будет равна 0,5. В кванте взаимодействия две силы порознь выступают как части взаимодействия, а их сумма, естественно, как целое. Рассчитаем отношение частей друг к другу и отношение целого к одной части взаимодействия (схема А).
  
 
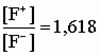
Будем увеличивать положительную силу (схема В). Отрицательная сила, чтобы не изменилась мера взаимодействия, будет уменьшаться. Величина отношения частей будет увеличиваться в этом случае, а величина отношения целого к части будет, естественно, уменьшаться. Наступит момент, когда эти два отношения будут равны друг другу. Это равенство наступит в тот момент, когда оба отношения будут равны величине 1,618. Эта величина выступает как золотое сечение.
 
В данной точке достигается гармония частей друг с другом и целого с одной частью взаимодействия. Именно поэтому мы думаем, что дальнейшее увеличение положительной силы и уменьшение отрицательной невозможно. Это предел. Этот предел на графике изменения результирующей силы соответствует точке (2).
Во взаимодействии реализуется, естественно, и противоположная ситуация.

Эта ситуация соответствует точке (4) на нашем графике результирующей силы взаимодействия.
На основе данных рассуждений следует, что в кванте идет колебательный процесс от точки гармонии частей, целого и одной части к точке гармонии частей, целого и второй части взаимодействия. Точка равенства двух сил является чрезвычайно неблагоприятной в плане гармонии частей, целого и части. Золотое сечение, в этой связи, выступает как константа кванта взаимодействия. Природа золотого сечения, на наш взгляд, определяется структурой взаимодействия, которая реализуется в кванте взаимодействия.
Структура геометрии сил
В процессе взаимоперехода двух полностью противоположных полюсов цикла А и А друг в друга происходит изменение направления действующих сил на противоположное. Сила действия объекта А изменится по направлению и станет противоположной. Аналогичный процесс будет происходить и с силами противодействия объекта А. В этом процессе силы проходят определенный путь своих изменений или описывают определенную геометрию. Какова же геометрия этого пути? В математике есть геометрическая фигура, с помощью которой можно наглядно показать процесс изменения сил по направлению на противоположное или их переворот. Этой фигурой является лента Мебиуса.
При переходе объекта А в А происходит переворот сил. Этот переворот не совершается, естественно, сразу, вдруг, поскольку он определяется взаимодействием объекта А со средой, а среда состоит из отдельных объектов. Переворот сил происходит стадийно, последовательно. Что фиксирует эту последовательность? Ответ, на наш взгляд, может быть только один - последовательность переворота сил фиксирует геометрия переворота, которая выступает в виде ленты Мебиуса. На рис. 7 лента Мебиуса развернута в форму восьмерки.
Рис. 7. Принципиальная структура геометрии сил в кванте взаимодействия.
Структура пространства-времени кванта взаимодействия
Квант взаимодействия существует, естественно, не иначе как в пространстве и во времени, а значит, имеет определенную структуру этих образований. Наша задача состоит в том, чтобы установить ее. Мы будем использовать определения Лейбница пространства и времени. Время он определяет как “одно после другого”, а пространство “одно рядом с другим”.
“Одно после другого”. В процессе взаимоперехода двух полностью противоположных полюсов цикла А и А друг в друга происходит изменение направления действующих сил на противоположное. Сила действия объекта А изменится по направлению и станет противоположной. Аналогичный процесс будет происходить и с силами противодействия объекта А. В этом процессе силы проходят определенный путь своих изменений или описывают определенную геометрию. Мы установили, что структуру этой геометрии определяет лента Мебиуса. Данная геометрия фиксирует путь изменения векторов сил. Следовательно, геометрия переворота или геометрия ленты Мебиуса фиксирует “одно после другого” и ввиду этого тождественна времени в кванте взаимодействия (рис.8).
“Одно рядом с другим”. В кванте взаимодействия существуют две диалектические противоположности – геометрия сил и направление сил. Мы определили, что геометрия сил тождественна времени в кванте взаимодействия, ввиду того, что она фиксирует процесс “одно после другого”.
Для определения пространства остается вторая противоположность – направление сил. Мы думаем, что направление сил тождественно пространству и его можно характеризовать количественно, т.е. результирующей силой взаимодействия. Мы показали, что результирующая сила взаимодействия изменяется по волнообразной кривой (рис. 8).
Рис. 8. Принципиальная структура пространства и времени в кванте взаимодействия
Фазы кванта взаимодействия
Фазы кванта взаимодействия рассмотрим на основе структуры пространства. Данная структура описывается волнообразной кривой от точки 1 до точки 5 (рис.9). Для нашего рассмотрения удобней брать эту кривую от точки от точки 2 до точки 6. Суть дела при этом не меняется, поскольку длина волны изменения пространства остается постоянной.
В кванте взаимодействия можно выделить определенные этапы или фазы.
Первая фаза — зарождение. Эта фаза начинается в точке 2 и заканчиваться в точке 3. В этой фазе довлеет отрицательная сила, однако, она уменьшается. Положительная сила в этой фазе увеличивается.
Вторая фаза — подъем. В этой фазе положительная сила увеличивается и довлеет над отрицательной. Отрицательная сила в этой фазе уменьшается. Фаза начинается в точке 3 и заканчивается в точке 4.
Третья фаза — упадок. В этой фазе положительная сила довлеет над отрицательной, однако, она уменьшается. Отрицательная сила в этой фазе увеличивается. Фаза начинается в точке 4 и заканчивается в точке 5.
Рис.9. Структура пространства в кванте взаимодействия
Четвертая фаза — гибель. В этой фазе отрицательная сила довлеет над положительной. Отрицательная сила на протяжении всей фазы увеличивается, а положительная уменьшается. Эта фазе начинается в точке 5 и заканчивается в точке 6.
Конец последней фазы является началом следующего кванта взаимодействия или следующего цикла.
Уравнение кванта взаимодействия
Любая сила, как вполне, понятно, имеет как определенное качество, так и определенное количество. Что же такое качество силы? Качество силы — это есть ее направление действия. Именно направление силы можно выразить только качественно, определяя ее направление по отношению к направлению других сил. Иными словами, нужно установить направления: верх-низ, правое-левое, вперед-назад. Никакая количественная характеристика здесь работать не будет. Направление сил получает, таким образом, определение “качество сил”.
С другой стороны, вторую противоположность противоречия, геометрию сил, можно определить только количественно: длиной, площадью. Иными словами, геометрия сил определяется понятием “количество сил”.
Направления сил и геометрия сил существуют в диалектическом единстве, а это означает, что они высвечиваются или взаимопроявляются друг в друге. Естественно. в таком же взаимоотношении будут находится качество и количество сил. Попробуем выявить динамику взаимопроявления качества и количества сил, т.е. направления и геометрии сил друг в друге.
Динамику этого процесса рассмотрим, используя структуру времени в полукванте взаимодействия. Полуквант взаимодействия это переход объекта в свою зеркальную противоположность. Если структура времени кванта взаимодействия описывается геометрией ленты Мебиуса, т.е. двумя кругами, то структура времени полукванта взаимодействия описывается кругом (рис.10).
F-величина вектора силы
l –длина окружности,
t – количество дискретных положений вектора на окружности
Проявление количества как “качественного количества”. Вектор “F” движется дискретно по окружности длиной “l”. Длина окружности, т.е. геометрия сил, выступает по нашему определению как количество. Это количество “соткано” из отдельных кусочков величиной “l/t”. В этой величине количество выступает уже не как “чистое” количество, а как “качественное количество”. При выявлении динамики проявления количества в качестве необходимо учесть тот факт, что вектор “F” может двигаться в самых разных направлениях, т.е. двигаться по поверхности сферы. Если при движении по окружности мы получаем “качественно-количественный” шаг “l/t’, то при движении по сфере этот шаг будет измеряться не длиной, а площадью некой “качественно-количественной” поверхностью. Легко понять, что площадь этого шага составляет “ ” или “ ”. Величина “ ” и представляет динамику проявления количества как качества.

Рис. 10. Структура времени в полукванте взаимодействия
Проявление качества как “количественного качества”. Качество сил в кванте взаимодействия проявляется, по нашему определению, в величине вектора силы “F”. При движении по окружности длиной “l” вектор “F” создает некую качественную силовую площадь величиной “F l”. Данное качество должно по диалектическому закону проявиться как некое количество или “высветиться” в количестве. Чтобы выявить динамику этого процесса необходимо учесть, что вектор “F” движется во всех направлениях. Это означает, что силовая площадь “F l” создает некий силовой скалярный объем. Что это за скалярный силовой объем? Мы думаем, что ответ здесь может быть только одним — это не что иное, как масса. Если мы разделим силовую площадь “F l” на силовой объем, то получим динамику проявления качества в количестве: — количественное качество.
Если мы приравняем динамику проявления количества в качестве динамике проявления качества в количестве, мы получим не что иное, как уравнение цикла:

Сократим правую и левую часть уравнения на “l” и, учитывая, что получаем:
F t = m V
Данное уравнение и является, на наш взгляд, уравнением кванта взаимодействия.
Фундаментальный квант взаимодействия
Квантованность взаимодействия приводит нас к выводу: в природе должен существовать минимальный квант взаимодействия. Такой квант взаимодействия можно назвать фундаментальным. Уравнение фундаментального кванта взаимодействия предстает в виде:
Fо tо = mо Vо
Вывод о наличии в природе фундаментального кванта взаимодействия мы постараемся доказать в разделе “Единство мировых констант”.
Взаимосвязь понятий цикл и ритм
При анализе циклических процессов неизбежно возникает вопрос о взаимосвязи понятий цикл и ритм. В рамках общей теории цикла это решается достаточно просто и наглядно. Поясним это.
Квант взаимодействия является инвариантом мироздания. Структура пространства-времени данного инварианта циклична. Это означает, что структура времени описывается кругом, а структура пространства волнообразной кривой. Следовательно, понятием цикл отражается структура времени, а понятием ритм отражается структура пространства. Иными словами,. если процессы циклические, то они одновременно и ритмические. Верно и обратное утверждение.
В дальнейшем изложении понятия квант взаимодействия и цикл взаимодействия будем употреблять как равноценные.
Структура взаимосвязи квантов взаимодействий
Мы выявили и рассмотрели структуру кванта взаимодействия. Рассмотренный квант взаимодействия является изолированным, поскольку он не связан с другими квантами взаимодействий. Вполне понятно, что такой квант взаимодействия в природе не существует и является идеализированным. В этой связи, возникает вопрос – как отдельный квант взаимодействия существует в системе единой природной взаимосвязи?
При рассмотрении абстрактного взаимодействия двух объектов нам удалось выявить универсальную структуру взаимодействий и назвать ее “квантом взаимодействия”. На основе этих представлений можно сделать вывод, что любое взаимодействие в природе осуществляется квантами. Между квантами взаимодействий существует взаимосвязь и представить такую структуру, на наш взгляд, можно единственным образом – один квант взаимодействия в другом. Иными словами, структура мироздания предстает в виде структуры “матрешка в матрешке”. Здесь, правда, возникает вопрос о тонкой структуре взаимосвязи квантов взаимодействий. Этим вопросом мы и займемся.
Структура пространства кванта взаимодействия описывается волнообразной кривой. На этой кривой находятся две точки – максимума и минимума. Отношение большей по абсолютной величине силы к меньшей в этих точках будет соответствовать величине золотого сечения 1,618.
Рассмотрим точку минимума. В данной точке сила отрицательная сила (сила противодействия) максимальна, а положительная сила (сила действия) минимальна (рис.11-1). Рассмотрим несколько вариантов развития взаимодействия из этой точки.
Вариант первый. Развитие взаимодействия будет заключаться в уменьшении по абсолютной величине отрицательной силы и увеличения абсолютного значения положительной силы. Предположим, что увеличение и уменьшение сил происходит с одинаковой скоростью. Данный процесс приведет взаимодействие в точку 2, в которой положительная сила будет максимальна, а отрицательная минимальна. Их отношение будет составлять золотое сечение или 1,618. Из точки 2 процесс в результате уменьшения положительной силы и увеличения отрицательной придет в точку 3. В итоге мы получим структуру пространства изолированного кванта взаимодействия. В природе такого кванта взаимодействия не существует. Исходя из этого можно сделать вывод, что наше предположение о одинаковой скорости изменения двух сил является неверным.
Рис.11. Варианты развития взаимодействий в квантах взаимодействий.
Вариант второй. Нам остается предположить, что скорость изменения двух сил будет разной. Предположим, что меньшая по абсолютной величине сила увеличивается быстрее, чем уменьшается большая сила. Пусть эта ситуация реализуется при развитии взаимодействия от точки 1 до точки 2 и от точки 2 до точки 3 (рис. 2-2). Результатом этого процесса будет увеличение амплитуды колебаний. В общем случае мы будем иметь структуру пространства квантов взаимодействий, представленную рис. 12.
Рис.12. Структура пространства взаимосвязанных квантов взаимодействий
Вариант третий. Пусть большая по абсолютной величине сила уменьшается быстрее, чем увеличивается меньшая сила. В этом случае мы будем иметь ситуацию зеркально симметричную первой. Амплитуда колебаний будет уменьшаться (рис.11-3). В общем случае мы будем иметь структуру пространства квантов взаимодействия, представленную на рисунке 13.
Вариант четвертый. Данный вариант будет комбинацией двух предыдущих. Увеличение и уменьшение амплитуд колебаний будет чередоваться в определенной последовательности.
Рис.13. Структура пространства взаимосвязанных квантов взаимодействий
Рис.14. Структура времени взаимосвязанных квантов взаимодействий
Структура времени. Для структуры пространства, представленной рисунком 12, будет соответствовать структура времени тождественная раскручивающейся спирали (рис.14). Для структуры пространства, представленной рисунком 13, будет соответствовать структура времени тождественная скручивающейся спирали (рис.14).
2. Методологическое значение общей теории цикла
Мы показали, что квант взаимодействия имеет определенную структуру пространства-времени. Структура времени тождественна геометрии ленты Мебиуса, а структура пространства определяется силой взаимодействия, которая изменяется по закону циклоиды. Поскольку квант - это универсальное и абсолютное образование, то структура пространства-времени кванта является универсальной и абсолютной, т.е. верной для всего мироздания. Выявленная структура пространства - времени, следовательно, выступает как структура развития всех объектов в природе. Эта структура показывает, что каждый объект рождается, проходит путь своего становления, затем следует процесс упадка и наступает смерть объекта.
Выявленная структура пространства - времени позволяет сделать вывод, что взаимосвязь противоположностей в противоречии носит волнообразный, циклический характер.
Общая теория цикла ОТЦ может выступать, на наш взгляд, как метод познания в любой науке. Почему это возможно?
Всю природу, как известно, можно условно разделить на три части: собственно природа, общество и мышление. Этому делению соответствует и деление наук. Существуют науки, изучающие природу, общество и мышление.
Возьмем науки, которые изучают природу. Природа состоит из самых разных материальных тел, существующих не иначе как во взаимодействии. Изучение материальных тел, следовательно, не может быть изучением их вне взаимодействия, вне их реальной жизни. Но если принять, что "элементарным атомом" взаимодействия является квант взаимодействия (что мы и попытались доказать в работе), то, изучая те или иные объекты, выступающие как узлы кванта, любая наука, желает он того или нет, изучает в природе всегда одно и то же - вездесущий квант взаимодействия. Правда, его всякий раз образуют определенные и конкретные материальные объекты. Однако это нисколько не меняет структуры кванта и механизм действия в нем диалектических законов. Отсюда становится совершенно ясно, что знание структуры кванта и механизма действия диалектических законов в нем дает в руки исследователей реальный метод познания природы.
Науки, изучающие общество, не могут не изучать структурную единицу, человека. Но человека тоже ведь нельзя изучить изолированно от его взаимодействия со средой, которое выступает как деятельность. В самом деле, можно ли понять такие производные человека и общества, как "идеальное", "психическое", "сознание", "мышление" и т.д., не изучая деятельность? Анализ этих категорий вне рассмотрения деятельности невозможен. А деятельность, как покажем в работе, имеет свою "клеточку", квант деятельности. Следовательно, знание структуры кванта деятельности и механизма действия в нем диалектических законов и здесь дает в руки исследователей метод познания.
И, наконец, науки, изучающие мышление. Мышление хотя и выступает как форма человеческого, общественного сознания, является все же природным процессом. Законы мышления, следовательно, должны быть законами природы. И если в природе мы находим особую универсальную структуру, которая выступает как своеобразный "элементарный кирпичик", то, видимо, такой же "кирпичик" должен присутствовать и в мышлении. В работе мы попытаемся показать, что это действительно так и есть. Структура кванта логики понятий (суждение) в целом повторяет структуру природного кванта. Механизм движения противоречия в суждении соответствует механизму в природном кванте взаимодействия.
Основные положения общей теории цикла
1. Структуру кванта взаимодействия составляют два полностью противоположных объекта, которые находятся в нем в процессе взаимоперехода. Квант выступает элементарным "строительным элементом" мира. Как дом сложен из кирпичей, так и все наше мироздание представляет собой систему взаимосвязанных квантов.
2. Главным и определяющим в кванте взаимодействия, его "душой", выступает противоречие как взаимоотношение двух противоположностей - направления и геометрии сил. Направление сил - это определенно направленный вектор силы или совокупность векторов сил. Геометрия сил - это геометрия движения основания вектора силы. Взаимоотношение этих двух составляющих цикла характеризуется взаимоотрицанием, взаимообусловленностью, взаимопроникновением и взаимовысвечиванием направления и геометрии сил. В совокупности это составляет их диалектическое тождество. Диалектическое тождество направления и геометрии сил выступает как закон кванта взаимодействия.
3. Время в кванте взаимодействия выступает как последовательность дискретных положений основания вектора. Эта последовательность дискретных положений образует линию. Время в цикле в этой связи тождественно линиям двух окружностей или развернутой ленте Мебиуса. Структура пространства определяется величиной результирующей силы взаимодействия, которая изменяется по волнообразной кривой.
4. Структура развития любого материального объекта в природе выступает как выведенная структура пространства-времени. Причем под объектом следует понимать не только единичное образование, но и некую цельную совокупность. Например, солнце выступает как один объект, но и солнечную систему можно рассматривать как единую совокупность. Выявление закона развития любого объекта выступает, по сути дела, как выявление его структуры пространства-времени, т.е. установление волнообразного характера изменения параметров объекта.
5. Любой материальный объект или некое их единство являются одним из полюсов кванта взаимодействия. Вторым полюсом выступает среда. Взаимосвязь объекта и среды составляет полный квант взаимодействия.
Суть общей теории цикла
Сутью данной теории является выявленный механизм движения противоречия. В чем он состоит? Возьмем объект А, который имеет противоречие. Условно обозначим противоположности противоречия как плюс и минус. Противоречие данного объекта не остается, конечно, неизменным, оно меняется. С другой стороны, изменяясь, противоречие не может исчезнуть, оно должно сохраниться. Исчезновение противоречия было бы потерей источника самодвижения. Возникает следующий вопрос - как должно измениться противоречие, чтобы одновременно сохраниться хотя бы в каком-то новом качестве? Здесь существует, на наш взгляд, только единственный вариант. Противоположности противоречия должны поменять свои знаки. Плюс должен перейти в минус, минус в плюс. Противоречие как бы перевернется "вверх ногами", перейдет в свою зеркальную копию, в свою противоположность. А что произойдет с объектом А? Поскольку противоречие перешло в свою противоположность, то и объект перейдет также в свою противоположность, или в антиобъект А. Противоречие антиобъекта А изменяться будет аналогично. В результате антиобъект перейдет в объект. Мы получим в результате два полюса в виде объекта и его зеркальной копии, которые в результате изменения противоречия переходят друг в друга.
Возникает колебание противоречия. Оно колеблется между двумя противоположностями. Поскольку противоречие - это самое главное в объектах, выступает как бы "душой" всего материального мира, то колебание противоречия обусловливает все закономерности реального мира. Можно сказать более точно, колебание противоречия является универсальным законом природы. Смысл данной работы заключается в том, что нам удалось показать структуру и механизм данного колебания. Механизм колебания заключается в том, что противоположности в противоречии взаимообусловливают, взаимотрицают, взаимопроникают и взаимовысвечивают друг друга. Такую взаимосвязь мы назвали законом диалектического тождества противоположностей в противоречии. Данная взаимосвязь противоположностей действует, как мы показали, в универсальной материальной структуре. Эта структура имеет два полюса, которые в процессе жизни взаимопереходят друг в друга. Эту структуру мы назвали квантом взаимодействия и определили, что он выступает как первооснова мироздания. Закон диалектического тождества противоположностей имеет, и это тоже показано, универсальную структуру пространства-времени.
Таким образом, сутью теории цикла является положение о том, что любое взаимодействие в природе имеет универсальную и абсолютную структуру. Эта структура образуется в результате универсального и абсолютного механизма движения противоречия. Данная структура выступает как "элементарный атом" взаимодействия, как квант взаимодействия.
Как применить основные положения ОТЦ в научных исследованиях
Колебательный характер взаимодействия обусловлен "игрой" или взаимодействием двух противоположно направленных и взаимообусловленных сил, тенденций. Именно, эта "игра" и определяет структуру цикла. Следовательно, чтобы применить общую теорию цикла, необходимо начать с самого главного - с выявления двух противоположных сил. При исследовании разных систем названия этих сил будут всякий раз разные. Если берется взаимодействие в неорганической природе, то эти силы будут выступать как силы действия и противодействия. При исследовании биологических процессов - это наследственность и изменчивость, ассоциация и диссоциация, жизнь и смерть, паринхема и строма. При исследовании политических процессов - это, видимо, тоталитаризм и демократия. Четкое выявление этих сил в каждом исследовании самое важное и решающее для дальнейшего анализа.
После того, как выявлены две противоположные тенденции, необходимо установить два противоположных и взаимообусловленных полюса цикла. Один полюс слагается из максимального значения положительной силы и минимального значения отрицательной силы. Второй полюс является противоположностью первого и слагается из минимального значения положительной силы и максимального значения отрицательной силы. Как было показано в нашем изложении, именно, между этими полюсами и осуществляется колебательный процесс.
Следующий этап работы состоит в нахождении параметра, который определяет инертную массу и скорость процесса изменения двух противоположных сил. Скорость процесса прослеживается в течении интересующего времени и по описанной методике строится циклограмма. По циклограмме определяется длина волны, амплитуда и величина колебательного "коридора". При необходимости исследуется взаимовлияние соседних циклов на данный цикл. Например, можно поставить задачу о влиянии солнечных циклов на колебательный политический процесс и т.д.
Список литературы
Соколов Ю.Н. Цикл как основа мироздания. Изд-во “ЮРКИТ”, Ставрополь, 1996 г., с. 1-123, 7,8 п.л. (монография).
Соколов Ю.Н. Цикл как основа мироздания. Головной Совет СКНЦВШ. - Ставрополь, 1992 г., с. 1-128, 18 п.л. (монография в соавторстве) .
Соколов Ю.Н. Цикл как основа мироздания. Ставропольское книжное изд-во. - Ставрополь, 1990 г., с. 1-140, 7 р.л. (монография).
Соколов Ю.Н. Диалектика как теория цикла реального мира. - Ставропольское книжное изд-во, 1990 г., с. 1-180, 5 п.л. (монография).
Соколов Ю.Н. Общая теория цикла. Единая теория поля // Материалы четвертой международной конференции “Циклы природы и общества”. Часть 1. - Ставрополь, 1996 г., с. 17-36, 1 п.л.
Соколов Ю.Н. Общая теория цикла и ее эвристические возможности // Материалы Третьей международной конференции “Циклы природы и общества”. Вып. 1-2. - Ставрополь, 1995 г., с. 5-68, 7 п.л.
Соколов Ю.Н. Принципиальная структура элементарных частиц // Материалы Третьей международной конференции “Циклы природы и общества”. Вып. 3-4. - Ставрополь, 1995 г., с. 149, 0,1 п.л.
Соколов Ю.Н. Природа золотого сечения // Материалы Второй международной конференции “Циклические процессы в природе и обществе”. Вып. 2. - Ставрополь, 1994 г., с. 125-126, 0,1 п.л.
Соколов Ю.Н. Единая теория поля // Материалы Второй международной конференции “Циклические процессы в природе и обществе”. Вып. 2. - Ставрополь, 1994 г., с. 17, 0,5 п.л.
Соколов Ю.Н. Основные положения теории цикла // Материалы Второй международной конференции “Циклические процессы в природе и обществе”. Вып. 2. - Ставрополь, 1994, с. 7-17, 1 п.л.
Соколов Ю.Н. Проблема идеального // Циклы природы и общества. - Вып. 4. - Ставрополь, 1994, с. 5-15, 1 п.л.
Соколов Ю.Н. Общая теория цикла: проблемы методологии // Циклические процессы в природе и обществе. Вып. 1. - Ставрополь, 1994, с. 9-37, 0,5 п.л.
Соколов Ю.Н. Теория цикла // Материалы первой международной конференции “Циклические процессы в природе и обществе”. - Ставрополь, 1993, с. 5-38, 1 п.л.
Соколов Ю.Н. Диалектика взаимодействия. Бюллетень проблемного совета по педагогике и психологии высшей школы. Головной совет СКНЦВШ, выпуск 11, Ставрополь, 1993 г., с. 11-25, 1 п.л.
Соколов Ю.Н. Теория диалектического цикла и медицина: проблема и практика. Бюллетень проблемного совета по педагогике и психологии высшей школы. Головной совет СКНЦВШ, выпуск 10, Ставрополь, 1993 г., с. 54-58, 0,2 п.л.
Соколов Ю.Н. Новый методологический подход к научному исследованию и творчеству. Сборник “Научное творчество: теория, методология, практика”. - Ставрополь, 1992, с. 22-37, 0,2 п.л.
Соколов Ю.Н. Человеческая деятельность: проблемы диалектики. Сборник “Непрерывное образование”: актуальные проблемы. - Ставрополь, 1992, с. 55-57, 0,3 п.л.
Соколов Ю.Н. Общая теория цикла // Материалы V Международной конференции “Циклы природы и общества”, г. Ставрополь, 1997. - Ч. 1. - С. 47-77.
Соколов Ю.Н. Цикл как основа мироздания // НИИ “Циклы природы, экономики и общества”, г. Ставрополь, 1998г. - С. 91.
Соколов Ю.Н. Единство мировых констант // Вестник Ставропольского университета. - Вып. 3-4. - Изд-во Ставропольского университета, г. Ставрополь, 1997 (издано в марте 1998 г.). - С. 1550158.
Соколов Ю.Н. Единая теория поля. - Изд-во Ставропольского технического университета, г. Ставрополь, 1998 г.
|