Банк рефератов содержит более 364 тысяч рефератов, курсовых и дипломных работ, шпаргалок и докладов по различным дисциплинам: истории, психологии, экономике, менеджменту, философии, праву, экологии. А также изложения, сочинения по литературе, отчеты по практике, топики по английскому.
Реклама
Полнотекстовый поиск
Всего работ:
364139
Теги названий
Реклама
VisitTime.ru помогает быстро организовать онлайн-запись клиентов и держать расписание под контролем.
📅 Настройте услуги и длительность приёма, откройте свободные окна — и клиенты запишутся сами в пару кликов.
🕒 Вы избегаете накладок, меньше тратите времени на переписки и звонки, а автоматические напоминания повышают явку.
💡 Отличное решение для мастеров, студий и сервисных команд, которым важны порядок и стабильная загрузка.
Начать пользоваться сервисом



Разделы
Авиация и космонавтика (304)
Административное право (123)
Арбитражный процесс (23)
Архитектура (113)
Астрология (4)
Астрономия (4814)
Банковское дело (5227)
Безопасность жизнедеятельности (2616)
Биографии (3423)
Биология (4214)
Биология и химия (1518)
Биржевое дело (68)
Ботаника и сельское хоз-во (2836)
Бухгалтерский учет и аудит (8269)
Валютные отношения (50)
Ветеринария (50)
Военная кафедра (762)
ГДЗ (2)
География (5275)
Геодезия (30)
Геология (1222)
Геополитика (43)
Государство и право (20403)
Гражданское право и процесс (465)
Делопроизводство (19)
Деньги и кредит (108)
ЕГЭ (173)
Естествознание (96)
Журналистика (899)
ЗНО (54)
Зоология (34)
Издательское дело и полиграфия (476)
Инвестиции (106)
Иностранный язык (62791)
Информатика (3562)
Информатика, программирование (6444)
Исторические личности (2165)
История (21319)
История техники (766)
Кибернетика (64)
Коммуникации и связь (3145)
Компьютерные науки (60)
Косметология (17)
Краеведение и этнография (588)
Краткое содержание произведений (1000)
Криминалистика (106)
Криминология (48)
Криптология (3)
Кулинария (1167)
Культура и искусство (8485)
Культурология (537)
Литература : зарубежная (2044)
Литература и русский язык (11657)
Логика (532)
Логистика (21)
Маркетинг (7985)
Математика (3721)
Медицина, здоровье (10549)
Медицинские науки (88)
Международное публичное право (58)
Международное частное право (36)
Международные отношения (2257)
Менеджмент (12491)
Металлургия (91)
Москвоведение (797)
Музыка (1338)
Муниципальное право (24)
Налоги, налогообложение (214)
Наука и техника (1141)
Начертательная геометрия (3)
Оккультизм и уфология (8)
Остальные рефераты (21692)
Педагогика (7850)
Политология (3801)
Право (682)
Право, юриспруденция (2881)
Предпринимательство (475)
Прикладные науки (1)
Промышленность, производство (7100)
Психология (8692)
психология, педагогика (4121)
Радиоэлектроника (443)
Реклама (952)
Религия и мифология (2967)
Риторика (23)
Сексология (748)
Социология (4876)
Статистика (95)
Страхование (107)
Строительные науки (7)
Строительство (2004)
Схемотехника (15)
Таможенная система (663)
Теория государства и права (240)
Теория организации (39)
Теплотехника (25)
Технология (624)
Товароведение (16)
Транспорт (2652)
Трудовое право (136)
Туризм (90)
Уголовное право и процесс (406)
Управление (95)
Управленческие науки (24)
Физика (3462)
Физкультура и спорт (4482)
Философия (7216)
Финансовые науки (4592)
Финансы (5386)
Фотография (3)
Химия (2244)
Хозяйственное право (23)
Цифровые устройства (29)
Экологическое право (35)
Экология (4517)
Экономика (20644)
Экономико-математическое моделирование (666)
Экономическая география (119)
Экономическая теория (2573)
Этика (889)
Юриспруденция (288)
Языковедение (148)
Языкознание, филология (1140)

Реферат: Манифест природы или ответ на российский вопрос: ‘что делать?'

Название: Манифест природы или ответ на российский вопрос: ‘что делать?'
Раздел: Рефераты по философии
Тип: реферат Добавлен 15:04:16 01 мая 2006 Похожие работы
Просмотров: 25 Комментариев: 21 Оценило: 3 человек Средний балл: 5 Оценка: неизвестно     Скачать

Виктор Борисович Вяткин

Контакт с автором: vbvvbv@yandex.ru

Выборы, выборы… Очередные выборы… Потом снова выборы… Кого мы выбираем? Зачем? Почему? Чего ждем после выборов? Наверное, нет такого человека в России, который бы ни разу не задавал подобных вопросов хотя бы самому себе. И каков ответ? – Ответом для подавляющего большинства россиян являются новые, но уже послевыборные вопросы. – Почему после отдачи предпочтения на выборах безукоризненно-красивым лозунгам и неукоснительно-блестяще написанным программам, обращенным к общечеловеческим ценностям, жизнь становится все хуже, все невыносимее в своей безысходности? Почему все больше и больше процветают: наркомания; преступники всех мастей, жаргон которых по существу уже более популярен, чем язык Пушкина; коррумпированные чиновники, выдающие себя за слуг народа? Почему многонациональный характер России начинает угрожать ее целостности, а сама Россия, слабея и шатаясь от разбазаривания и откровенного растаскивания своих материальных ресурсов, стоит перед миром с протянутой рукой, словно нищенка на паперти? Перечень таких вопросов можно продолжать, но все они, в своей интегральной совокупности, трансформируются в один всеобъемлющий, извечный Российский вопрос: “Что делать?” – Как выйти из глубочайшего кризиса, охватившего все сферы общественной жизни? Как поднять и организовать экономику? Какую политическую форму придать управлению государством? И каким образом, в конечном счете, начать, наконец, повышать жизненный уровень россиян, подавляющая часть которых фактически ведет борьбу за физическое выживание и только за него, постепенно деградируя при этом в своей массе?

Очевидно, что ответ на эти вопросы лежит, прежде всего, в идеологической плоскости государственной политики, потому что именно идеология выступает в качестве того базиса, на основе которого осуществляются те или иные общественные преобразования. Поэтому для современной России закономерным является тот факт, что относительно государственной идеологии, как основы для достижения одной и той же цели – процветания общества – на сцене политического театра шли, идут и в обозримом будущем будут идти перманентные баталии, приобретающие ожесточенный характер в период президентских и парламентских избирательных кампаний. В ходе проведения таких кампаний на нас постоянно обрушивается с экранов телевизоров, газетных полос, рекламных щитов на улицах и т.д. лавина “единственно правильных” и по своей форме одинаково категоричных ответов на этот истинно Российский вопрос “Что делать?”. За каждым ответом стоит своя политическая партия (движение, коалиция) с традиционными идеологическими призывами от ультраправого – “неуклонно следовать курсом реформ” (Вот только непонятно, каких?) и до ультралевого – “вставай, проклятьем заклейменный…” (Опять до основания? А, что потом?). Практически каждая такая партия в той или иной мере, либо уже подержалась, либо еще продолжает держаться за руль Российской государственной власти. И, что? – А, ничего, как говорится, “воз и ныне там”.

Реклама

Естественен вопрос: если каждая из традиционных идеологий не довела пока и, по-видимому, вряд ли доведет Россию до “светлого будущего”, то чем нужно руководствоваться при ответе на ее вопрос: “Что делать?” Во всяком случае, – не нужно, как это порой бывает, примерять на Россию социально-политические и экономические платья более развитых стран, которые шились многие десятилетия с учетом индивидуальных силуэтов.

Можно предложить политическим партиям и их лидерам, упрямо идущим к вершинам государственной власти, взять на вооружение новую идеологию. Новую, по своей форме, и бесконечно старую, по своей сущности – идеологию, опирающуюся на философию Природы.

Для начала нужно просто внимательно и пристально посмотреть на окружающий нас природный мир. Постараться понять, как он устроен и организован, увидеть, как он гармоничен и последователен в своем развитии. А, увидев и поняв это, осознать, наконец, что социальные системы являются наиболее молодыми его образованиями, которые в силу своего детского возраста, должны учиться у него мудрости и воспитываться на его законах. (Напомним, что в настоящее время известно только пять стадий поступательного развития материи, каждой из которых соответствует своя структурная единица: дозвездная стадия – элементарная частица, звездная – атом, планетная – молекула, биологическая – клетка, социальная – человек.)

При этом неоценимую помощь в понимании структурной организации и закономерностей развития природных систем может оказать синергетическая теория информации, в рамках которой установлен информационный закон отражения системных объектов. Согласно этому закону информация , отражаемая системным образованием, как единым целым, через совокупность своих частей, разделяется на отраженную и неотраженную составляющие, каждая из которых имеет свою содержательную интерпретацию. Отраженная информация характеризует структурную упорядоченность системы и называется аддитивной негэнтропией отражения, а неотраженная информация является мерой структурного хаоса и именуется энтропией отражения, то есть:

Реклама

.

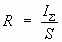
Структурная организация системы, в свою очередь, оценивается по значению R-функции:

,

которое больше единицы, если в отражении системы преобладает порядок и меньше единицы, если – хаос.

Любая система, в зависимости от числа своих автономных частей, неизбежно попадает в один из трех детерминированных интервалов, в пределах каждого из которых R-функция ведет себя определенным образом: левый (порядок, ), правый (хаос, ) или центральный (равновесие, ).

Чтобы отчетливо понимать, что из себя представляет порядок левого интервала и хаос правого, проведем следующий мысленный эксперимент. Возьмем две пишущие машинки, посадим за одну из них обезьяну (с которой "работал" французский математик Э.Борель), а за другую дятла и посмотрим, что они напечатают. Обезьяна, случайным образом ударяя по клавишам, неизбежно получает бессмысленную чехарду “слов”. Такой “текст” олицетворяет хаос правого интервала, а его R-функция стремится к нулю. Дятел, в свою очередь, методично ударяя по одной и той же понравившейся ему клавише, иногда даже случайно промахиваясь, выдает практически однобуквенную последовательность, также лишенную всякого смысла. “Текст” дятла соответствует крайней левой части левого интервала, где идеальный порядок и серое однообразие. R-функция при этом стремится к бесконечности.

Приведенные примеры свидетельствуют, что заорганизованность, заупорядоченность систем левого интервала и практическое отсутствие всякой организации в системах правого интервала не могут привести к появлению гармоничных, внутренне упорядоченных, наполненных содержательным смыслом отношений между их элементами.

Сам собой напрашивается интуитивный вывод: такие отношения должны быть в системах центрального интервала. Подтверждением этого являются результаты определения R-функции системных образований различной природы. Приведем некоторые из них.

1) Неорганические системы. Анализ электронных систем атомов химических элементов показывает, что все они, начиная с лития, находятся в центральном интервале, а их R-функция варьирует в интервале значений от 0,63 до 1,71 при среднем значении 0,82. Периодическая система Д.И.Менделеева в целом, рассматриваемая со стороны объединенной электронной системы ее элементов, также находится в центральном интервале, а R-функция имеет значение 0,93. 2) Органические системы. Гемоглобин человека:  -цепь аминокислот – центральный интервал, R = 0,93;  -цепь аминокислот – центральный интервал, R = 0,98. Миоглобин кита – центральный интервал, R = 0,87. 3) Лингвистические системы. Поэма А.С.Пушкина “Евгений Онегин”: 1-е четырнадцатистишие – центральный интервал, R = 0,94; 2-е четырнадцатистишие – центральный интервал, R = 0,98 и т.д.

Анализ приведенных значений R-функции различных системных образований позволяет утверждать, что в природе действует определенный закон структурной организации, который регулирует антагонистические взаимоотношения хаоса и порядка таким образом, чтобы системные образования устойчиво функционировали в пределах центрального интервала, а их R-функция стремилась при этом к единице.

С позиций полученных представлений о структурном хаосе, порядке и равновесии различных системных образований исторический путь России в ХХ веке, по основным вехам перемены власти, можно представить в виде следующей цепочки. Монархия: порядок левого интервала  Октябрьская революция + Гражданская война: хаос правого интервала  Сталинско-Брежневская эпоха: порядок левого интервала  Ельцинский период: хаос правого интервала  ?!

Как видим, история повторяется… и свидетельствует, что Россия в ХХ веке бросалась из одной структурно-организационной крайности в другую и никак не могла обрести равновесие центрального интервала, начальные предпосылки для вхождения в который были, по всей видимости, в период Февральской революции и во время правления Горбачева.

Представляется очевидным, что спасением для России является центральный интервал. Отвечая на вопрос “Что делать?”, можно с уверенностью сказать: стратегия одна – необходимо вектор структурной перестройки всей социально-экономической жизни страны, как единой системы, направить в сторону равновесного центрального интервала, войти в него, развиваться в нем и никогда потом больше не совершать бросков ни влево, ни вправо. И при этом, в принципе, не так уж и важно, кто будет управлять государством: президент, парламент, конституционный монарх или генеральный секретарь какой-либо политической партии. Главное – чтобы они понимали гармонию Природы, имели представление об особенностях организации и развития ее систем и в своей деятельности руководствовались ими. Степеней свободы в центральном интервале для политических маневров хватит всем! – Нужно только взять на себя труд открыть двери в его мир.

С предложенным подходом к решению вопроса “Что делать?” трудно не согласиться. Но, существует одно “но”, которое может кого-то насторожить и не только насторожить, но, в определенной мере и напугать. Дело в том, что и Февральская революция, и время Горбачева, как потенциальные зачатки движения России в направлении центрального интервала, приходятся на периоды ее перехода от диктатуры порядка левого интервала к неуправляемому хаосу правого интервала. Если это является объективной исторической закономерностью, то можно утверждать, что современную Россию, на пути ее движения в центральный интервал гармоничного развития, ждет порядок левого интервала, который стороной обойти нельзя. Проблема заключается в том, как быстро Россия войдет в левый интервал, и как без великих потрясений потом из него выйдет, не задерживаясь там, как прежде, на семьдесят, а то и более лет. И при этом наберется мудрости, выходя из порядка левого интервала, снова не оказаться в одночасье в беспорядочном хаосе правого интервала, как это уже было в 1917-м и 1992-м годах.

Новый порядок левого интервала, исходя из его потенциальной необходимости, в настоящее время следует воспринимать как должное. Да, новый – потому что пока неизвестно, кто и каким образом будет наводить порядок в России на этот раз. И не нужно, если что, твердить про коммунистическую угрозу и 37-й год, которыми нас постоянно пугают. Не поминаем же мы все время священнослужителям, что именно религиозные догматы остановили на многие столетия прогресс человечества в целом. Что теперь? – Каждый день выставлять у церковных ворот пикеты с портретом Джордано Бруно? – Нет, нужно просто не забывать и не повторять грубейших ошибок прошлого.

Оценить/Добавить комментарий
Имя
Оценка
Комментарии:
Хватит париться. На сайте FAST-REFERAT.RU вам сделают любой реферат, курсовую или дипломную. Сам пользуюсь, и вам советую!
Никита04:06:31 02 ноября 2021
.
.04:06:29 02 ноября 2021
.
.04:06:29 02 ноября 2021
.
.04:06:28 02 ноября 2021
.
.04:06:28 02 ноября 2021

Смотреть все комментарии (21)
Работы, похожие на Реферат: Манифест природы или ответ на российский вопрос: ‘что делать?'

Назад
Меню
Главная
Рефераты
Благодарности
Опрос
Станете ли вы заказывать работу за деньги, если не найдете ее в Интернете?

Да, в любом случае.
Да, но только в случае крайней необходимости.
Возможно, в зависимости от цены.
Нет, напишу его сам.
Нет, забью.



Результаты(294402)
Комментарии (4230)
Copyright © 2005 - 2024 BestReferat.ru / реклама на сайте