1. Производительность труда
Производительность труда - это показатель эффективности трудовой деятельности работников, отношение стоимости используемых ресурсов к стоимости произведенной продукции.
Производительность труда определяется отношением количества произведенных товаров и услуг к затратам труда. От производительности труда зависит развитие общества и уровень благосостояния населения.
Различают производительность живого и совокупного труда. Производительность живого труда определяется затратами рабочего времени в данном производстве, а производительность совокупного (общественного) труда затратами живого и общественного труда. По мере совершенствования производства, производительность труда увеличивается, но при этом величина затрат живого и общественного труда на единицу продукции уменьшается.
Производительность труда выступает как интенсивный фактор увеличения объема продукции; изменение массы затрат рабочего времени является экстенсивным фактором.
Уровень производительности труда измеряется выработкой продукции в единицу времени, и трудоемкостью изготовления продукции.
Выработка - это количество продукции, произведенной в единицу рабочего времени или приходящейся на одного среднесрочного работника в год (квартал, месяц).
Это прямая величина производительности труда: она увеличивается при повышении производительности труда и уменьшается при ее снижении.
Трудоемкость
характеризует затраты рабочего времени на производство единицы продукции или работы. Трудоемкость - обратная величина средней выработки: она уменьшается при росте производительности труда и увеличивается при ее снижении.
Выработка - наиболее распространенный и универсальный показатель труда. Для ее измерения используют натуральные, условно-натуральные и стоимостные (денежные) единицы измерения.
Единицы трудоемкости - нормо-часы. Труд, затраченный на производство продукции, может быть выражен в человеко-часах, человеко-днях или среднесрочной численностью работающих.
В зависимости от способа выражения объема продукции различают три основных метода измерения производительности труда: натуральный, трудовой и стоимостный.
При натуральном методе уровень производительности труда исчисляется как отношение объема продукции в физических единицах измерения к среднесрочной численности ППП.
Забиваем Сайты В ТОП КУВАЛДОЙ - Уникальные возможности от SeoHammer
Каждая ссылка анализируется по трем пакетам оценки: SEO, Трафик и SMM.
SeoHammer делает продвижение сайта прозрачным и простым занятием.
Ссылки, вечные ссылки, статьи, упоминания, пресс-релизы - используйте по максимуму потенциал SeoHammer для продвижения вашего сайта.
Что умеет делать SeoHammer
— Продвижение в один клик, интеллектуальный подбор запросов, покупка самых лучших ссылок с высокой степенью качества у лучших бирж ссылок.
— Регулярная проверка качества ссылок по более чем 100 показателям и ежедневный пересчет показателей качества проекта.
— Все известные форматы ссылок: арендные ссылки, вечные ссылки, публикации (упоминания, мнения, отзывы, статьи, пресс-релизы).
— SeoHammer покажет, где рост или падение, а также запросы, на которые нужно обратить внимание.
SeoHammer еще предоставляет технологию Буст, она ускоряет продвижение в десятки раз,
а первые результаты появляются уже в течение первых 7 дней.
Зарегистрироваться и Начать продвижение
При трудовом методе объем продукции исчисляется в нормо-часах. Уровень производительности труда стоимостным методом определяется путем деления объема продукции в денежном выражении на среднесрочную численность ППП.
В зависимости от состава затрат, включаемых в трудоемкость продукции, различают следующие ее виды:
а) технологическая трудоемкость (затраты труда основных рабочих);
б) трудоемкость обслуживания производства (затраты труда вспомогательных рабочих);
в) производственная трудоемкость (затраты труда основных и вспомогательных рабочих);
г) трудоемкость управления производством (затраты труда руководителей, специалистов и служащих);
д) полная трудоемкость (затраты труда всего промышленно-производственного персонала).
2. Пути повышение производительности труда и влияние факторов внешней среды.
Пути повышения производительности труда связаны с улучшением качества продукции. Высокое качество способствует снижению издержек за счет увеличения доли продукции, которую можно продать, уменьшения случаев возврата и переделки некачественных изделий.
На производительность влияют некоторые факторы внешней среды:
- высокая стоимость энергии понижает производительность; - жесткое правительственное регулирование в установлении норм и правил организации производства ведут к увеличению расходов и снижению производительности; - общая экономическая ситуация; например, при инфляции наблюдается снижение производительности (без индексации); - налоговая политика; увеличение налогов вызывает повышение цен и, следовательно, снижение производительности; - рост сферы услуг вызывает снижение производительности в производственной сфере; - социальные факторы: алкоголизм, наркомания и т.п. снижают производительность.
3. Факторы повышения производительности труда
Факторы повышения производительности труда можно классифицировать по трем направлениям:
1) факторы, создающие условия для роста производительности труда: уровень развития науки, повышения квалификации работников, укрепление трудовой дисциплины, сокращение текучести кадров и др.)
2) факторы, способствующие росту производительности труда: материальное и моральное стимулирование, совершенствование оплаты труда, внедрение научно и технически обоснованных норм труда, внедрение прогрессивной технологии и др.
Сервис онлайн-записи на собственном Telegram-боте
Попробуйте сервис онлайн-записи VisitTime на основе вашего собственного Telegram-бота:
— Разгрузит мастера, специалиста или компанию;
— Позволит гибко управлять расписанием и загрузкой;
— Разошлет оповещения о новых услугах или акциях;
— Позволит принять оплату на карту/кошелек/счет;
— Позволит записываться на групповые и персональные посещения;
— Поможет получить от клиента отзывы о визите к вам;
— Включает в себя сервис чаевых.
Для новых пользователей первый месяц бесплатно.
Зарегистрироваться в сервисе
3) факторы, непосредственно определяющие уровень производительности труда на предприятии: механизация и автоматизация производственных процессов, улучшение качества труда, ликвидация простоев, устранение брака, совершенствование управления и организации труда и др.
Базой повышения уровня производительности труда является научно-технический прогресс.
4. Измерение производительности труда.
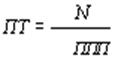
Измерить производительность труда можно исходя из количества продукции, произведенной в единицу времени (выработка) или количества времени, затраченного на производство единицы продукции (трудоемкость):или , (1)
где ПТ - производительность труда работающих;
N - количество продукции, произведенной в единицу времени (смену, месяц, год);
t - трудоемкость единицы продукции;
ППП - численность промышленно-производственного персонала, обеспечившего выпуск продукции.
Производительность труда может быть выражена:
-в натуральных единицах, например: шт/чел.год, т/чел.час, м/чел. мес.;
-в денежной форме - руб./чел.мес, руб./чел.год;
-в единицах трудоемкости, затрачиваемой на изготовление продукции: н.ч/шт.
Производительность труда может исчисляться по объему производства (N), выраженному в валовой продукции
(Nвал
), товарной продукции (Nтов
) или реализованной продукции (Nреал
).
Исчисление производительности труда по валовой продукции недостаточно полно характеризует ее действительный уровень, т.к. сильно зависит от объема незавершенного производства, от стоимости материалов и комплектующих изделий, не связанных с производительностью труда.
Исчисление производительности труда по товарной продукции отражает ее действительный уровень и не зависит от объема незавершенного производства, но зависит от стоимости материалов и комплектующих изделий. При неизменных затратах на эти статьи расходов и при исчислении производительности труда по товарной продукции, выраженной в натуральных единицах, этот показатель правильно отражает производительность труда, если расчет производительности труда ведется в натуральных единицах.
В знаменателе формулы (1) фигурирует численность промышленно-производственного персонала. Это позволяет учесть влияние на производительность труда не только основных производственных рабочих, но и других категорий работающих (вспомогательных рабочих, инженерно-технических работников, служащих и др.). В отдельных случаях может исчисляться производительность труда только производственных рабочих.
5. Технико-экономические факторы
Основными технико-экономическими факторами, влияющими на рост производительности труда, являются:
1)Повышение технического уровня производства.
2)Совершенствование управления, организации производства и труда.
3)Изменение объема и структуры производства.
4)Отраслевые факторы.
К первой группе относятся факторы, влияющие на технический уровень производства: внедрение новой техники, прогрессивной технологии, механизации и автоматизации производственных процессов, повышение уровня оснащенности технологических процессов, улучшение использования сырья, материалов, применение прогрессивных материалов и др. Производительность труда увеличивается за счет сокращения трудозатрат на производство единицы продукции.
Факторы, относящиеся ко второй группе - совершенствование управления, организации производства и труда - позволяют:
- сократить потери рабочего времени, а следовательно, увеличить действительный годовой фонд времени одного рабочего (Фдр
), повысить нормы выработки и уменьшить численность производственных рабочих;
- повысить нормы обслуживания и уменьшить численность вспомогательных рабочих и обслуживающего персонала;
- уменьшить численность аппарата управления и в результате сократить численность промышленно-производственного персонала, то есть повысить производительность труда.
По факторам третьей группы рост производительности труда обуславливается тем, что численность всех категорий промышленно-производственного персонала, кроме основных производственных рабочих при прочих равных условиях увеличивается в меньшей степени, чем возрастает объем производства. Это приводит к относительному уменьшению общей численности промышленно-производственного персонала. К такому же результату приводит изменение удельного веса отдельных видов продукции, то есть изменение соотношения между объемом продукции с различной трудоемкостью в производственной программе.
В четвертую группу включаются все факторы, которые не могут быть отнесены к первым трем. Влияние этих факторов на производительность труда обуславливается изменениями трудоемкости и подсчитывается по отраслевым методикам и инструкциям.
6. Понятие и виды эффективности производства
Эффективность производства
представляет собой комплексное отражение конечных результатов использования всех ресурсов производства за определенный промежуток времени.
Эффективность производства характеризует повышение производительности труда, наиболее полное использование производственных мощностей, сырьевых и материальных ресурсов, достижение наибольших результатов при наименьших затратах. Оценка экономической эффективности производится путем сопоставления результатов производства с затратами: Под результатами производства понимают его полезный конечный результат в виде:
1) материализированного результата процесса производства, измеряемого объемом продукции в натуральной и стоимостной формах;
2) народнохозяйственного результата деятельности предприятия, который включает не только количество изготовленной продукции, но и охватывает ее потребительскую стоимость.
Конечным результатом производственно-хозяйственной деятельности предприятия за определенный промежуток времени является чистая продукция, т.е. вновь созданная стоимость, а конечным финансовым результатом коммерческой деятельности - прибыль.
Эффективность производства можно классифицировать по отдельным признакам на следующие виды:
А) по последствиям - экономическая, социальная и экологическая;
Б) по месту получения эффекта - локальная (хозрасчетная) и народнохозяйственная;
В) по степени увеличения (повторения) - первичная (одноразовый эффект) и мультипликационная (многократно-повторяющаяся);
Г) по цели определения - абсолютная (характеризует общую величину эффекта или в расчете на единицу затрат или ресурсов) и сравнительная (при выборе оптимального варианта из нескольких вариантов хозяйственных или других решений).
Все вместе взятые виды эффективности формируют общую интегральную эффективность деятельности предприятия.
Достижение экономического или социального эффекта связано с необходимостью осуществления текущих и единовременных затрат. К текущим относятся затраты, включаемые в себестоимость продукции. Единовременные затраты - это авансированные средства на создание основных и прирост оборотных фондов в форме капитальных вложений, которые дают отдачу только через некоторое время.
7. Измерение эффективности: критерии и система показателей эффективности производства
Измерение эффективности производства предполагает установление критерия экономической эффективности, который должен быть единым для всех звеньей экономики - от предприятия до народного хозяйства в целом. Таким образом общим критерием экономической эффективности производства является рост производительности общественного труда.
В настоящее время экономическая эффективность производства оценивается на основе данного критерия, выражающегося в максимизации роста национального дохода (чистой продукции) на единицу труда.
На уровне предприятия формой единого критерия эффективности его деятельности может служить максимизация прибыли.
8. Факторы роста эффективности
Уровень экономической эффективности в промышленности зависит от многообразия взаимосвязанных факторов. Для каждой отрасли промышленности вследствие ее технико-экономических особенностей характерны специфические факторы эффективности.
Все многообразие факторов роста эффективности можно классифицировать по трем признакам:
1) источникам повышения эффективности, основными из которых является: снижение трудо-, материало-, фондо- и капиталоемкости производства продукции, рациональное использование природных ресурсов, экономия времени и повышение качества продукции;
2) основным направлениям развития и совершенствования производства, к которым относятся: ускорение научно-технического прогресса, повышение технико-экономического уровня производства; совершенствование структуры производства, внедрение организационных систем управления; совершенствование форм и методов организации производства, планирования, мотивации, трудовой деятельности и др.;
3) уровню реализации в системе управления производством, в зависимости от которого факторы подразделяются на: а) внутренние (внутрипроизводственные), основными из которых являются: освоение новых видов продукции; механизация и автоматизация; внедрение рогрессивной технологии и новейшего оборудования; улучшение использования сырья, материалов, топлива, энергии; совершенствование стиля управления и др.; б) внешние - это совершенствование отраслевой структуры промышленности и производства, государственная экономическая и социальная политика, формирование рыночных отношений и рыночной инфраструктуры и другие факторы.
9. Приложения
В условиях формирования рыночных отношений следует различать отношение к процессам изменения производительности с общественной точки зрения и с точки зрения частного владельца — фирмы, предприятия (рис. 1).
На уровне общества На уровне владельца предприятия
 |
 |
 |
 |
 |
 |
 |
| Распад сплоченности общества |
|
| Внесение вкладов в благосостояние общества |
|
Особое место среди факторов роста производительности труда занимают образование и профессиональная подготовка. Инвестиции в человеческий капитал — важное средство повышения производительности труда. Важнейшим показателем качества рабочей силы является уровень образования. В предыдущих главах уже рассмотрена эта зависимость.
Влияние квалификации на повышение производительности труда и в результате этого на увеличение ВНП схематически изображено на рис. 2.
Как показано на рис.2, взаимосвязь между повышением уровня квалификации и производительностью труда довольно сложна. Но тем не менее часть роста производительности труда зависит от уровня квалификации. Этому относительному приросту производительности в свою очередь соответствует определенная часть общего прироста ВНП
.
        
| ПРОФЕССИОНАЛЬНАЯ КВАЛИФИКАЦИЯ РАБОТНИКОВ |
|
| СОВЕРШЕНСТВОВАНИЕ СРЕДСТВ ПРОИЗВОДСТВА И ТЕХНОЛОГИИ |
|
| ПРИРОСТ ПРОИЗВОДИТЕЛЬНОСТИ ТРУДА |
|

КВАЛИФИКАЦИЯ ПРОИЗВОДСТВЕН-
НЫХ РАБОТНИКОВ
|
|
| ПРОЕКТЫ СОВЕРШЕНСТВОВА-НИЯ СРЕДСТВ ПРОИЗВОДСТВА |
|
| КВАЛИФИКАЦИЯ РАБОТНИКОВ, ВНЕДРЯЮЩИХ ДОСТИЖЕНИЯ ТЕХНИЧЕСКОГОПРОГРЕССА |
|
| СОВЕРШЕНСТ-ВОВАНИЕ СОЦИАЛЬНО-ТРУДОВЫХ ОТНОШЕНИЙ |
|
Литература.
1. Азбука экономики. James D. Gwartney and Richard L. Stroup, What Everyone Should Know About Economics and Prosperity
, 1993 Авторизованный русский перевод: Институт национальной модели экономики,1996 Азбука экономики
2. Рынок труда и заработной платы. Лекции
3. Производительность труда в системе отношений переходной экономики. СЕМЕНЮТИНА О. Г. Новочеркасская государственная мелиоративная академия Ростов на Дону 1998 г.
4. Рост производительности труда - центральная проблема совершенствования хозяйственного механизма. В сб.: Формирование нового хозяйственного механизма. Материалы научного совещания. Краснодар. 1997.
5. Устинов В.А. «Экономика управления предприятием» Учебное пособие.. – М.: ГАУ, 1993 г.
6. «Курс экономической теории», под редакцией ЧепуринаМ.Н., КиселевойЕ.А., «АСА»,Киров1997г.
|