КНИГА И КНИЖНОЕ ДЕЛО НА РУБЕЖЕ ТЫСЯЧЕЛЕТИЙ
В ходе общемирового процесса информатизации, характерной особенностью которого, как известно, является возрастание роли информации и трансформации ее в важнейший ресурс экономического и социального развития, сравнимый по значимости с материей и энергией, достойное место занимает книга — уникальный информационный источник, возникший за несколько тысячелетий до нашей эры и сохранивший свои высокие достоинства посей день. Правда, по мере приближения к рассматриваемому нами периоду времени — рубежу второго и третьего тысячелетии — то и дело появляются прогнозы и пророчества о том, что книга и книжное дело исчерпали свои возможности, что постоянно возникающие новые информационные технологии полностью вытеснят в ближайшем будущем печатное слово из сферы коммуникаций.
КНИГА В ИНФОРМАЦИОННОМ ПОТОКЕ
Несмотря на то, что новые информационные технологии являются определяющим фактором современного развития мировых коммуникаций, нет опасений того, что человечество войдет в новое тысячелетие без традиционной книги. Более того, в первой половине 90-х годов, начался новый подъем мирового книгоиздания.
Объем выпуска книжной продукции в мире, как можно видеть из табл 1, постоянно возрастает, причем темпы роста остаются достаточно высокими и устойчивыми. Если, например, за первую половину столетия производство книг и брошюр увеличилось примерно на 70% (1955 г. к 1900 г.), то в 1991 г к 1955 г. — более чем втрое.
Повышение темпов роста издания книг и брошюр в рассматриваемый период времени было характерным для всех крупных регионов Земли, хотя проходило по-разному в каждом из них. Например, в Австралии и Океании особенно высокие темпы роста книжного производства пришлись на первые 25 лет (1955-1980 гг), когда объем выпуска увеличился более чем в 12 раз (правда, от низкого стартового уровня — всего 1000 названий), а затем стабилизировался. Примерно на этот же период времени приходится активный рост книжного выпуска в регионе Северной Америки, где объем производства увеличился в 7 раз, а также в странах Латинской Америки и Карибского бассейна — в 4 раза. В Азии, наоборот, "пик" высоких темпов пришелся на последние годы, в 1990 г. количество выпущенных изданий втрое превысило уровень 1970 г., а удельный вес азиатских стран в мировом книгопроизводстве поднялся почти вдвое — с 14,4 до 27%.
Забиваем Сайты В ТОП КУВАЛДОЙ - Уникальные возможности от SeoHammer
Каждая ссылка анализируется по трем пакетам оценки: SEO, Трафик и SMM.
SeoHammer делает продвижение сайта прозрачным и простым занятием.
Ссылки, вечные ссылки, статьи, упоминания, пресс-релизы - используйте по максимуму потенциал SeoHammer для продвижения вашего сайта.
Что умеет делать SeoHammer
— Продвижение в один клик, интеллектуальный подбор запросов, покупка самых лучших ссылок с высокой степенью качества у лучших бирж ссылок.
— Регулярная проверка качества ссылок по более чем 100 показателям и ежедневный пересчет показателей качества проекта.
— Все известные форматы ссылок: арендные ссылки, вечные ссылки, публикации (упоминания, мнения, отзывы, статьи, пресс-релизы).
— SeoHammer покажет, где рост или падение, а также запросы, на которые нужно обратить внимание.
SeoHammer еще предоставляет технологию Буст, она ускоряет продвижение в десятки раз,
а первые результаты появляются уже в течение первых 7 дней.
Зарегистрироваться и Начать продвижение
Табл.1. Мировое книжное производство во второй половине XX века (тыс.названий) ¹
| Годы
|
| Континенты и регионы |
1955 |
1960 |
1970 |
1980 |
1990 |
1991 |
| Мир в целом |
269,0 |
332,0 |
521,0 |
715,0 |
842,0 |
863,0 |
| Австралия и Океания |
1,0 |
1,0 |
7,0 |
12,5 |
12,0 |
12,0 |
| Азия |
54,0 |
51,0 |
75,0 |
138,0 |
228,0 |
215,0 |
| Африка |
3,0 |
5,0 |
8,0 |
12,0 |
13,0 |
13,0 |
| Европа² |
186,0 |
239,0 |
326,0 |
411,0 |
441,0 |
479,0 |
| Латинская Америка и страны Карибского бассейна |
11,0 |
17,0 |
22,0 |
43,0 |
42,0 |
42,0 |
| Северная Америка |
14,0 |
18,0 |
83,0 |
99,0 |
106,0 |
102,0 |
¹По данным UNESCOStatistical Yearbook, 1995
²Данные по Европе включают в себя показатели выпуска книг и брошюр в бывшем СССР
В старейшем книгоиздающем районе мира — Европе — несмотря на некоторое замедление темпов роста издательского дела в последние годы (1955-1970: 75%, 1970-1991: 47%) сохраняются высокие ежегодные объемы книжного производства, составляющие более половины мировой издательской продукции.
В странах Азии, Латинской Америки и особенно на африканском континенте удовлетворение потребностей населения в книжной продукции собственного производства далеко отстает от показателей, достигнутых в Европе и Северной Америке. Усилия ЮНЕСКО и других организаций, в том числе Международной ассоциации издателей, в области укреплений издательского дела в Африке и развивающихся странах других континентов пока не дали ощутимых результатов. В большинстве стран Африки, например, количество выпускаемых книг и брошюр измеряется десятками, в лучшем случае — сотнями и только в двух странах — Нигерии и Южной Африке — этот показатель превышает тысячу названий.
Количество названий, выпускаемых на 1 млн жителей в Европе, более чем в двадцать раз превышает уровень аналогичного показателя в странах африканского континента. Довольно серьезно отстают от среднемирового уровня и другие страны развивающегося мира.
Концентрация издательского дела находит свое отражение в степени развития книгоиздания не только в различных регионах мира, но и на уровне отдельных стран. Подсчитано, что если в 1980 г. в пяти крупнейших книгоиздающих странах было выпущено более трети (35,7%) всей мировой книжной продукции по числу названий, в странах первой десятки — свыше половины (55,1%), а первой двадцатки — более двух третей (68,8%), то в 1990 г. эти показатели возросли соответственно до 36,7; 58,4 и 71,8%. И этот процесс продолжается, о чем говорят данные, приведенные в табл.2.
Табл. 2 Выпуск книг и брошюр в крупнейших книгоиздающих странах.
| Страна |
Число названий |
| 1980 |
1990 |
1993 |
| Великобритания |
48069 |
63756 |
95015(1994) |
| КНР |
19109 |
73923 |
92972 |
| Федеративная Республика Германия |
64761 |
61015 |
67208 |
| США |
42377 |
46738 |
49276(1992) |
| Франция |
32318 |
41720 |
41234 |
| Япония |
45596 |
40576 |
35496(1992) |
| Испания |
28195 |
36239 |
40750 |
| Южная Корея |
20978 |
38330 |
30861 |
| Италия |
12029 |
25068 |
30110 |
| Российская Федерация |
49563 |
41234 |
29017 |
| Бразилия |
27557(1992) |
| Канада |
22208 |
| Швейцария |
10362 |
13839 |
14870 |
| Швеция |
7598 |
12034 |
12895 |
| Бельгия |
9009 |
12157 |
13913(1991) |
| Индия |
13148 |
13937 |
12788 |
| Нидерланды |
14951 |
13691 |
11844 |
| Финляндия |
6511 |
10153 |
11700 |
| Дания |
9256 |
11082 |
11492 |
| Польша |
11919 |
10242 |
9788 |
Совокупность издательств и других предприятий и организаций, так или иначе вовлеченных в работу по выпуску книг и брошюр, другой печатной продукции составляет издательскую систему, характеризующуюся в конце XX века высокой динамикой развития. Достаточно сказать, что выпускаемый ежегодно издательством K.G.Saur (ФРГ) по заказу Международного агентства ISBN "Международный указатель издательств" содержал в себе в 1986 г. список адресов 150 тыс. издательств из 61 страны, а в 1995 г. в него было включено уже более 320 тыс. издательств из 209 стран.
Сервис онлайн-записи на собственном Telegram-боте
Попробуйте сервис онлайн-записи VisitTime на основе вашего собственного Telegram-бота:
— Разгрузит мастера, специалиста или компанию;
— Позволит гибко управлять расписанием и загрузкой;
— Разошлет оповещения о новых услугах или акциях;
— Позволит принять оплату на карту/кошелек/счет;
— Позволит записываться на групповые и персональные посещения;
— Поможет получить от клиента отзывы о визите к вам;
— Включает в себя сервис чаевых.
Для новых пользователей первый месяц бесплатно.
Зарегистрироваться в сервисе
Наиболее развитой издательской системой обладают Соединенные Штаты, где, согласно тому же источнику, имеется более 75 тыс. издательств, что составляет около четверти всего количества издательств в мире. Хотя основную часть этого огромного издательского сообщества формируют малые и средние предприятия, однако, значительная доля выпуска продукции приходится лишь на несколько крупных издательских структур. О степени концентрации издательской деятельности в США говорят такие данные. В 1984 г. объем продаж книжной продукции составил около 9 млрд. долл., из этой суммы 5,3 млрд. Долл., или 57,7% пришлось на 15 ведущих издательств, в том числе на 5 самых крупных из них — более 35% всех продаж. Более двух третей всех продаж книг в твердом переплете было осуществлено 11 издательствами, выпускающими книги такого стандарта, а 95% всех книг в мягкой обложке для массового рынка было реализовано всего лишь 13 издательствами.
Примерно половина всех внесенных в реестр издательств расположена в Европе, что соответствует роли этого континента в мировом книжном выпуске. Самой крупной издательской системой в Европе располагает Великобритания (более 40 тыс. издательств), свыше 20 тыс. издательств расположено на территории Германии, около 18 тыс. — во Франции. На европейском континенте также наблюдается отчетливое расслоение между предприятиями-гигантами и огромной массой малых и средних издательств, многие из которых зачастую не имеют даже собственного офиса.
Мощные издательские системы современного типа имеют и крупные книгоиздающие страны на других континентах. Среди азиатских стран — это Япония — 7420 издательств, Южная Корея — около 3700, Индия — более 3000, среди латиноамериканских — Аргентина (2717) и Бразилия (более 2000), в Африке—Нигерия (1657) и Южная Африка (около 1200). На этом фоне выделяются своими размерами издательские системы Канады (18000, из них примерно третья часть издательств выпускает продукцию на французском языке) и Австралии — около 13 тыс. издательств.
В жизни мирового издательского сообщества этот год ознаменован важным событием — исполняется 100 лет со дня образования Международной ассоциации издателей (МАИ) — профессионального неправительственного объединения национальных издательских ассоциаций, наделенных правом представлять издателей своей страны на международной арене (Россию в этой организации представляет АСКИ). Каждые четыре года собирается съезд МАИ, представляющий собой форум издателей всего мира, на котором обсуждаются основные проблемы и перспективы развития издательского сообщества. Очередной, 25 съезд МАИ проходит сейчас в Барселоне. В повестку дня съезда включено большое количество вопросов, затронутых в данном докладе, в связи с чем мы сочли целесообразным привести ее здесь полностью.
Организаторы предполагают обсудить во время съезда следующие комплексные темы:
Социальная функция издателя: от книги к мультимедиа
Издательское дело и общество
Привлечение к чтению. Официальные проблемы. Вопросы налогов. Роль общественности и частных издателей в свободном обществе.
Созидательная роль издателя
(обсуждается в пяти комиссиях)
1 комиссия: научно-технические издания
2 комиссия: художественная литература
3 комиссия: учебные издания
4 комиссия: издания для детей
5 комиссия: музыка
Концентрация и сплочение
Роль издателя в общественных группах. Преимущества распространения: товар и единство рынка. Использование новых технологий в различных типах и видах изданий.
Технологический прогресс: от электронной книги к информационным потокам
(обсуждается в трех комиссиях)
1 комиссия: техническое обучение издателей
2 комиссия: авторское право и мультимедиа
3 комиссия: роль малых издательств
Рынок
Свободные цены против фиксированных цен. Книжная торговля в отношении ГАТТ и создание ВТО: общий рынок лингвистических или политических устремлений. Совместные издания. Единый мировой рынок. Нелегальные издания. Нелегальное воспроизведение.
Транскультура
Транскультурная роль книги. Издатели на пяти континентах (обсуждается в комиссиях)
Комиссия: проблемы перевода Комиссии по географическим регионам
Контроль информации, контроль влияния
Свобода издания и цензура. Знак авторского права и защита свободы в информационных потоках. Монополизация информации и общественные группы.
Средства массовой информации и будущее книги
Определение культурных моделей общества. Культурное воздействие телевидения. Будущее книги на открытом рынке.
Издательское дело — это творчество и прогресс в условиях свободы
Идеи для новой эры. Издательское дело на пороге 2000 года
РОССИЙСКОЕ КНИГОИЗДАНИЕ: СТРАТЕГИЯ ЭФФЕКТИВНОГО ФУНКЦИОНИРОВАНИЯ КАК ФАКТОР УСТОЙЧИВОГО РАЗВИТИЯ ОБЩЕСТВА¹
В качестве основы данного раздела использованы некоторые положения доклада "Стратегия эффективного развития книгоиздания как фактор устойчивого развития общества", подготовленного Российской книжной палатой к научно-практическому семинару "Проблемы перехода России к устойчивому развитию". Семинар проходил 29 ноября — 1 декабря 1995 г. в Москве под эгидой Аналитического управления Президента РФ и Российской Академии наук.
Исторический опыт свидетельствует, что состояние книжного дела всегда было определяющей доминантой развития общества на протяжении многих столетий. Само изобретение книгопечатания послужило мощным толчком для коренных перемен в жизни человечества, серьезных преобразований в сфере производительных сил и производственных отношений, в области науки, культуры, просвещения, в решении многих социальных и экономических задач.
На XXIY съезде Международной ассоциации издателей (Нью-Дели, 1992) было очень точно определено место книги в современном социальном развитии: "Книга продолжает оставаться наиболее предпочтительной формой существования и сохранения культурного наследия и в этом смысле — развития культуры. Мы можем даже сказать, что в распространении культуры книга играет роль, подобную той, которую играет энергия в экономическом развитии. И не потому только, что книга является незаменимым устройством для эстетического восприятия произведения, для выражения его в форме искусства слова. Книги служат (и чем дальше, тем больше эта их роль будет возрастать) самым дешевым и одновременно самым простым средством сбора и пользования информацией, справочным пособием и вместилищем знаний. Благодаря тем удобствам, которые книга предоставляет в различных сферах письменной коммуникации, можно сказать, что она вне конкуренции с точки зрения решения многочисленных задач современной культуры — развития воображения, тренировки памяти, приобретения знаний, усвоения аналитических подходов к явлениям окружающего мира".
Специалисты считают, что чтение книг оказывает на человека огромное влияние в самых различных аспектах: научном и культурном (овладение культурным и научным наследием человечества); общественном (чтение служит предпосылкой активного участия человека в общественной жизни); экономическом (новые материалы и технологии, овладение основами маркетинга требуют широкообразованных, грамотных во всех отношениях специалистов, отсутствие которых серьезно сказывается на общественном прогрессе); демократическом (печатное слово — наиболее эффективное средство для обеспечения плюрализма мнений в демократическом обществе. Демократия опирается на хорошо информированных людей); в аспекте развития творческих возможностей человека (пассивному, некритическому, зачастую проходящему на сублиминальном уровне приему информации по телевидению книга противопоставляет возможность активной работы человеческого сознания, его воображения, всей творческой доминанты личности).
По тому, насколько эффективно и масштабно функционирует в той или иной стране книгоиздательский сектор, можно с достаточной степенью уверенности судить об общеэкономической и социально-политической обстановке в этой стране. Не случайно большинство развитых в экономическом отношении стран имеют развернутую и динамичную издательскую систему.
Развитие российского книгоиздания в последние — 1991-1995 — годы было весьма противоречивым. Мы являемся свидетелями (и в определенной степени — участниками) не возрождения бывшего российского книгоиздания (дореволюционного или нэповского, в данном случае значение не имеет), а скорее — становления принципиально новой системы, аналогов в историческом прошлом России не имевшей. Чтобы в этом убедиться, достаточно, к примеру, вспомнить, что в этом историческом далеке не было периода, когда издатель был бы свободен от цензуры и иных методов контроля со стороны властей. Весьма сложной была всегда проблема учреждения или организации издательских или полиграфических предприятий.
Начиная с 1990 г., когда был принят Закон СССР "О печати и других средствах массовой информации" положение изменилось кардинальным образом. Это в особой степени относится к издательской системе. Вместо 230-240 государственных издательств, действовавших на всей территории СССР, только в Российской Федерации функционирует сейчас более 7000 издательств или других организаций, в той или иной степени занятых издательской деятельностью. Подавляющее большинство из них — негосударственные, относящиеся к разным формам собственности (частные, акционерные, смешанные и т.д.). Значительно активизировалась работа по выпуску книг, газет и журналов на периферии. Так, например, если до 1990 г. многие областные города России имели всего по одному издательству, а некоторые из них — ни одного, то в настоящее время на территории РФ за пределами Москвы и Санкт-Петербурга действует, по нашим данным, уже свыше 1500 издательских структур. Наиболее крупными издательскими центрами на периферии стали Новосибирск (около 100 издательств), Екатеринбург (66), Ростов-на-Дону (54), Уфа (49), Казань (48), Нижний Новгород (45), Саратов (39), Самара (35) и другие — всего более 130 городов.
Однако территориальная неравномерность в распределении издательского выпуска, сложившаяся за годы советской власти, не претерпела серьезных изменений. Согласно данным государственной статистики печати за 1994 г., почти 56% всего выпуска книг и брошюр приходилось на издательские организации Москвы и Московской области и более 10% — на издательства С.-Петербурга и области. Доля же остальных регионов в общероссийском книжном выпуске более чем скромна: Поволжский район — 5,5%, Уральский — 4,6%, Северо-Кавказский и Западно-Сибирский — по 4,1%, Центрально-Черноземный и Восточно-Сибирский — менее 2,0% каждый.
Парадоксально, но факт: обретение свободы и переход к демократическим формам книгоиздательской деятельности обернулись резким падением количественных показателей, динамика которых отчетливо видна из табл.3.
Нетрудно заметить, правда, что падение количества названий почти вдвое от достигнутого уровня не только прекратилось, но и показывает тенденцию к медленному повышению, хотя следует заметить, что нынешний уровень этого важнейшего показателя издательской активности практически не отличается от того, что было в 1913 г. (30079 названий).
Гораздо большее беспокойство вызывает обвальное снижение тиражей выпускаемых книг и брошюр. Если прогноз относительно суммарного тиража в 1995 г. подтвердится, то, как видно из таблицы, количество изданных книг уменьшится по сравнению с максимумом, достигнутым в 1988 г., почти в 5 раз и мы будем отброшены к довоенному 1940 г. (353,5 млн. экз.). В расчет на одного жителя в 1988 г. выпускалось более десяти книг, в 1994 г. — около 4, в 1995 г., похоже, — менее 3.
Обращают на себя внимание и деформации в структуре выпускаемых книг и брошюр. Особенно резким является снижение названий и тиражей по социально значимой литературе: научной, учебной, производственной, справочной. Характерной и тревожной тенденцией последних лет является не только общее падение тиража, но и то, что оно коснулось и тех видов литературы, которые всегда пользовались повышенным спросом — художественной и детской (снижение в 1994 г. по сравнению с 1993 г. в 2 раза и на 57,9% соответственно).
Таблица 3. Динамика российского книгоиздания (1980-1995 гг.)
| Годы |
Число названий |
%
к предшествующему году
|
Тираж млн. экз. |
%
к предшествующему году
|
| 1980 |
49563 |
1393,2 |
| 1981 |
51963 |
104,8 |
1514,9 |
107,0 |
| 1982 |
49262 |
94,8 |
1533,8 |
101,2 |
| 1983 |
49662 |
100,8 |
1564,0 |
102,0 |
| 1984 |
50313 |
101,3 |
1662,1 |
106,3 |
| 1985 |
51094 |
101,6 |
1725,0 |
103,8 |
| 1986 |
51323 |
100,4 |
1794,6 |
104,0 |
| 1987 |
50061 |
97,5 |
1809,9 |
100,9 |
| 1988 |
49603 |
99,1 |
1815,9 |
100,3 |
| 1989 |
46023 |
92,8 |
1759,9 |
96,9 |
| 1990 |
41234 |
89,6 |
1553,1 |
88,2 |
| 1991 |
34050 |
82,6 |
1630,0 |
105,0 |
| 1992 |
28716 |
84,3 |
1313,0 |
80,6 |
| 1993 |
29017 |
101,0 |
949,9 |
72,3 |
| 1994 |
30390 |
104,7 |
594,3 |
62,6 |
| 1995¹ |
32500 |
105,3 |
450,0 |
67,3 |
1995
в % к
максимуму
|
62,5
(1981)
|
24,8
(1988)
|
¹-оценка
Один парадокс неизбежно порождает другой: в условиях, когда тиражи выпускаемых книг снизились до пределов, которые представлялись нам ранее краем пропасти, производители книг — издатели столкнулись с проблемами затоваривания, трудностей с реализацией продукции. Не производство, а сбыт — вот что становится проблемой № 1 в книжном деле.
Пути выхода книжного дела из кризисной ситуации связаны, конечно, с использованием различных инструментов рыночного хозяйства, прежде всего — маркетинга. В условиях демократической политической системы и рыночной экономики издательства ведут свою деятельность независимо от государства. Свобода издательской деятельности постоянно декларируется как самими субъектами ее, так и различными профессиональными объединениями издателей на всех уровнях — от регионального до мирового. С другой стороны, издатели нуждаются в поддержке со стороны государства, особенно при выпуске так называемых социально значимых видов литературы, так или иначе ориентированных на удовлетворение потребностей всего общества. Таким образом, отношения издателей с государством носят диалектически противоречивый характер, модуль которого сводится к тому, чтобы вовлечение государственных органов в проблемы издательского сообщества ограничивалось протекционистскими мерами, но не переходило границ творческой самостоятельности издательских структур.
Примером государственного протекционизма в области книжного дела является укрепление нормативно-правовой базы — принятие законов о средствах массовой информации, авторском праве, библиотечном деле, обязательном экземпляре документов и т.д. Государство частично дотирует выпуск издательствами различных видов социально значимой литературы, направленной на удовлетворение нужд образования, науки, производства, культуры. В 1993-1995 гг. удалось выпустить на этой основе более 5 тыс. названий.
В октябре 1995 г. принята Федеральная программа, которая имеет целью развить материально-техническую базу печати и укрепить отечественную полиграфию, обеспечить выпуск социально значимой литературы и сформировать общенациональный репертуар книгоиздания при государственной поддержке, а также впервые в истории отечественного энциклопедического дела обеспечить издание уникального многотомного собрания, посвященного России, — "Большой Российской энциклопедии".
Однако все эти меры носят разрозненный характер, решают частные проблемы, не носят пока системного начала. Не случайно председатель Комитета РФ по печати И.Д. Лаптев, представляя Федеральную программу журналистам, назвал ее "программой-минимумом", "программой-компромиссом". Книжное же дело представляет собой сложный, взаимоувязанный комплекс, по существу включающий несколько отраслей, требует системных решений в форме "Основ государственной политики по отношению к книге и книжному делу", где нашли бы свое отражение задачи развития книгоиздания на подлинно демократической базе, организации книжной торговли, регулирования отношений издательств и библиотек, развития национального книгоиздания, формирования информационной инфраструктуры книжного сектора
Последний вопрос требует более подробного рассмотрения. Переход к рынку предполагает повышение роли информационных связей между издателями и книгораспространителями, с одной стороны, и потребителями книжной продукции — библиотеками, школами, институтами, специалистами — с другой. Одной из наиболее действенных информационных систем в области книгоиздания, подтвердивших свою самую высокую эффективность во многих странах с развитой издательской сферой, являются каталоги типа "Букс ин принт" ("Книги в наличии и печати"), выпускаемые как в традиционной бумажной форме, так и в виде компакт-дисков CD-ROM. Широкой известностью в мире пользуются издания американской фирмы "Баукер", издательства при Биржевом союзе немецких книготорговцев и др. Каждое из этих изданий представляет собой актуальное предложение всех имеющихся в наличии названий, а также книг, находящихся в печати и готовящихся к выходу в свет. Любая позиция такого каталога дает возможность книготорговцу, библиотекарю или иному пользователю системы заказать нужную книгу и быть уверенным, что она будет поставлена ему в срок.
Российская книжная палата при активной поддержке Комитета РФ по печати, Министерства культуры РФ, ассоциаций издателей и книгораспространителей уже приступила к созданию такой системы Выпущены два каталога "Книги в наличии и печати", а также их электронные версии на дискетах.
Перечисленные вопросы составляют только часть той государственной программы, которая должна быть разработана и осуществлена в целях обеспечения надежного функционирования книжного дела в России, стране, всегда славившейся своими традициями в этои области.
КНИГОВЕДЕНИЕ: ЧТО ВПЕРЕДИ?
Во всем мире, да и в России тоже, идут процессы, которые знаменуют собой серьезные изменения в сфере культуры, науки, информации, причем изменения настолько масштабные, что они действительно обещают стать доминантой развития человечества на рубеже тысячелетий. Социологи утверждают, что технология коммуникаций оказывает значительное воздействие и на институциональное устройство общества и на характер восприятия и мышления у членов этого общества. Осмысление перемен, как нам кажется, могло бы послужить более надежной базой для выработки новых идей в книговедении.
К числу наиболее актуальных направлений, по которым следовало бы развивать книговедение надо отнести следующие:
1. Роль книги на современном этапе цивилизованного процесса и прогноз развития книжного дела на ближайшие годы и в более отдаленной перспективе.
2. Интеграция книжного дела в современный информационный поток.
3. Книга и другие информационные продукты. Использование новых информационных технологий в развитии книжного производства.
4. Теория и практика современного книгоиздания как преимущественно предпринимательского сегмента книжного дела. Предпринимательская и культурническая функции издателя.
5. Книжный маркетинг.
Этот перечень вовсе не означает, что предполагается оставить вне пределов внимания книговедов традиционные направления научной работы. Более того, давно пора подумать о создании монографии, или учебника, или обзора, или какого-либо иного вида научного отчета, в котором была бы предпринята попытка синтезировать комплекс книговедческих наук в единый блок, представляющий саму комплексную науку.
КНИГООБМЕН РОССИИ СО СТРАНАМИ БЛИЖНЕГО ЗАРУБЕЖЬЯ
На IX Международной московской книжной ярмарке, Российской книжной палатой в 1995 году, был проведен социологический опрос. Украина, Белоруссия, Казахстан, Узбекистан, Армения были представлены на ярмарке национальными (коллективными) экспозициями, Азербайджан — государственной книготорговой фирмой «Азеркитап», Латвия — московским представительством издательства «Полина». Таким образом, в ММКЯ-95 участвовали представители 8 стран ближнего зарубежья
Среди участников ярмарки количество представителей книготорговых и дилерских фирм, а также библиотек из России и ближнего зарубежья превысило цифру 230. Свою книжную продукцию представляли 420 издательских и смешанных фирм России и ближнего зарубежья .
Объем выборки составил 123 респондента. Это около 20,0% от общего числа участников из России и ближнего зарубежья.
Представители российских фирм-участников составили 67,8% опрошенных, ближнего зарубежья — 12,2%, что приблизительно соответствует реальному соотношению среди участников ярмарки.
Результаты проведенного исследования свидетельствуют о том, что 96,3% среди опрошенных российских книжников и 86,6% — из ближнего зарубежья имеют партнеров на территории бывшего Союза. Для одних это уже устоявшееся партнерство, для других коммерческие сделки с коллегами — лишь краткие эпизоды в работе. Российские издатели и книготорговцы ориентируются преимущественно на белорусский и украинский книжные рынки. Их коллеги из ближнего зарубежья — прежде всего на Россию и только потом — на своих «соседей» по ближнему зарубежью.
Результаты опроса российских участников отчетливо выявили ряд интересных процессов, имеющих место в деловых контактах новых государств.
По разнообразию форм сотрудничества с коллегами из стран ближнего зарубежья российские негосударственные издательства и книготорговые предприятия проявляют большую мобильность по сравнению с государственными издательствами (см. таблицу 4)
Таблица 4. Формы сотрудничества российских книжников с книжниками из ближнего зарубежья
Формы сотрудничества
|
Государственные предприятия (31)
|
Негосударственные предприятия (73)
|
| абс. % |
абс % |
Продажа лицензий
Покупка лицензий
Подрядное производство
(использование полиграфической базы)
Продажа книжной продукции
Покупка-продажа книжной продукции
Бартерный обмен книжной продукцией
Информационная и рекламная
деятельность, рассылка журналов
Совместная издательская деятельность
Дилерские услуги
Обмен книжной продукции на
полиграф, материалы
|
2 6,4
4 12,9
4 12,9
22 93,5
7 22,6
10 32,2
1 3,2
2 0,4
1 3,2
|
6 8,2
11 15,1
13 16,4
69 94,5
20 27,4
32 43,8
3 4,1
10 13,6
1,4
|
Как видно из таблицы, существующие формы сотрудничества российских книгоиздателей, книгораспространителей и их коллег из ближнего зарубежья весьма разнообразны. Основными формами сотрудничества являются продажа изданий и бартерный обмен книжной продукцией По продаже книг в ближнее зарубежье государственные и негосударственные предприятия России находятся примерно на одном уровне. Зато все остальные существующие формы сотрудничества (бартерный обмен, подрядное производство, совместная издательская деятельность, приобретение лицензий, их продажа и др ) негосударственные фирмы используют шире.
Среди форм сотрудничества с книжниками из ближнего зарубежья единожды упомянуты дилерские услуги В России эта форма сотрудничества между издателями и распространителями развивается примерно с 1993. В частности, АО «Интоника» является дилером некоторых российских издательств и представляет их книготорговые интересы в странах ближнего зарубежья.
Далее. Как выяснилось, российские книжники покупают лицензии чаще, чем продают. Одна из причин состоит в том, что русскоязычному автору в силу объективных и субъективных обстоятельств издать свою книгу в ближнем зарубежье сложнее, нежели в России.
Негосударственные организации несколько мобильнее в применении форм взаиморасчетов со странами ближнего зарубежья (см. таблицу 5).
Таблица 5. Используенмые формы взаиморасчетов российских издательств (фирм) в сделках с издательствами (фирмами) стран ближнего зарубежья (в % к числу ответивших)
Первая строка – государственные организации
Вторая строка – негосударственные организации
Название страны
|
Формы расчетов |
| Предоплата |
Частич. оплата |
Кредит |
Бартер |
Другие формы |
| Белоруссия |
35,7
16,5
|
21,4
28,3
|
12,1
|
17,8
37,9
|
7,1
6,9
|
| Украина |
50,0
56,9
|
32,1
29,3
|
7,1
8,6
|
17,8
36,2
|
21,4
8,6
|
| Страны Балтии |
25,0
24,1
|
14,3
1,7
|
3,6
3,4
|
14,3
5,2
|
3,6
3,4
|
| Казахстан |
35,7
25,8
|
14,3
12,1
|
36,9
|
7,1
10,1
|
3,6 |
| Узбекистан |
10,7
8,6
|
1,7
|
1,7
|
7,1
6,7
|
| Киргизия |
10,7
6,9
|
3,6
1,7
|
7,2
3,6
|
3,6
1,7
|
| Молдавия |
7,2
5,2
|
3,6
|
14,3
3,6
|
36
|
| Армения |
10,7
|
3,6 |
3,6 |
3,6 |
| Азербайджан |
7,2
3,4
|
1,7
|
1,7
|
| Грузия |
3,6
|
| Туркмения |
7,2
|
3,6 |
3,6 |
В сделках с издательствами, книготорговыми фирмами чаще других применяются три формы взаиморасчетов. Это предоплата (иногда стопроцентная), частичная оплата и бартер. Реже поставляется книжная продукция в кредит. Но эту не очень распространенную форму в основном используют негосударственные организации.
Другие формы расчетов, а подразумевается прежде всего расчет наличными рублями, значительно чаще предлагают нашим книжникам партнеры из Украины. Покупают российские издания за наличный расчет и коллеги из Белоруссии, но в два раза реже украинских издателей и книготорговцев. На третьем месте по использованию этой формы расчетов — страны Балтии. С представителями фирм Казахстана, Молдавии и Армении за наличный расчет совершаются лишь эпизодические сделки. Не покупают книжную продукцию за наличный расчет представители Узбекистана, Азербайджана, Туркмении и Грузии. Вообще Азербайджан, Грузию и Туркмению можно занести в список редких партнеров российских книжников.
Сведения о поставлямемых изданиях по видам литературы приведены в таблице 6. Наиболее велика доля учебной литературы — 15% в государственных и 20% в негосударственных издательствах. Примерно равное соотношение поставляемых изданий художественной литературы — 16% в государственных и 17% в негосударственных издательствах, а также научно-технической соответственно 10% и 9% и справочно-энциклопедической — по 10% в общей доле поставляемых изданий.
Таблица 6. Сведения о доле различных видов литературы, поставляемых российскими издательствами в страны ближнего зарубежья (в % от числа ответивших)
| Виды литературы |
Издательства |
| Государственные |
Негосударственные |
| Учебная |
15,0 |
20,0 |
| Детская |
11,0 |
16,0 |
| Научно-техническая |
10,0 |
9,0 |
Справочно-
Энциклопедическая
|
10,0 |
11,0 |
| Художественная |
16,0 |
17,0 |
| По увлечениям |
4,0 |
4,0 |
| Финансовое дело |
11,0 |
6,0 |
| Экономическая |
8,0 |
2,2 |
| Философская |
4,0 |
1,0 |
| Изопродукция |
11,0 |
13,0 |
Духовно-
Просветительская
|
0,8 |
| ИТОГО:
|
100,0 |
100,0 |
Примерно каждое десятое (11,0%) государственное и восьмое (13%) негосударственное издательство поставляет в страны ближнего зарубежья книги по изобразительному искусству, различные виды изопродукции — календари, буклеты, альбомы.
По числу наименований, поставленных в ближнее зарубежье, негосударственные издательства значительно — в 5 раз — опережают государственные: 1156 названий относительно 218. Общее количество названий, отправленных в ближайшее зарубежье, равняется 1374. Это меньше, чем издавалось в России в 1994 году ежедневно.
На вопрос анкеты об объеме поставок ответили только 32 представителя издательств, что составило примерно треть от числа опрошенных издателей. Их ответа в известной степени приблизительны.
При всей неполноте сведений можно сделать вывод, что наибольшая доля поставок книжной продукции приходится на следующие страны: Белоруссию, Украину, Казахстан.
Российские издательства, конечно, не от хорошей жизни вынуждены серьезно конкурировать с отечественными книготоргами в распространении российской книжной продукции в странах ближнего зарубежья.
Исследование подтвердило, что изучение покупательского спроса не проводится в полной мере значительной частью российских издателей и книгораспространителей Покупательский спрос на поставляемые издания изучают 55,0% государственных и 61,0% негосударственных издательств. Не изучают соответственно 45% и 39% Но среди тех, кто сегодня не занимается изучением покупательского спроса, 37% государственных и 25% негосударственных издательств предполагают заняться этим в будущем.
Очевидно, многих российских книжников сдерживают существующие трудности в распространении книг в ближнем зарубежье Основная часть опрошенных (82%) отметила, что изучает спрос прежде всего в Белоруссии, Украине, Казахстане, Молдавии и странах Балтии; 11% указали на изучение опроса во всех странах ближнего зарубежья
Анализ ответов о способах изучения покупательского спроса позволяет сделать вывод об общей пассивности издателей в их применении (см. таблицу 7). На этот вопрос ответили 33% представителей государственных и 45% негосударственных предприятий И те и другие наибольшее значение придают рекламе. В целом же государственные издательства проявляют меньшую заинтересованность в применении существующих способов изучения покупательского спроса.
Таблица 7.
сбору информации через заинтересованные ведомства, коммерческие структуры, шестое — участию в ярмарках.
Безусловно, тот факт, что многие российские книжники не занимаются изучением покупательского спроса в ближнем зарубежье, связан с различными трудностями, осложняющими экспорт книг в страны ближнего зарубежья и книгообмен вообще По мнению российских участников ярмарки, причины, затрудняющие сотрудничество с книжниками из ближнего зарубежья, следующие.
Таблица 5
Мнения российских книжников о причинах, затрудняющих сотрудничество с коллегами из ближнего зарубежья (%)
| Причины, затрудняющие сотрудничество |
Издатели |
Книготорговцы |
| Таможенные барьеры |
52,0 33,0 |
| Дороговизна |
| транспортных услуг |
74,0 |
| Отсутствие банковского |
| обслуживания, сложности |
| во взаиморасчетах |
30,0 44,0 |
| Неплатежеспособность |
| партнеров |
54,0 58,0 |
| Низкий жизненный |
| уровень населения |
28,0 |
| Общий развал |
| экономики в России и |
| странах ближнего зарубежья |
12,0 8,0 |
| Различия в |
| законодательных системах |
10,0 8,0 |
Данные о способах изучения спроса (в % к ответившим)
| Способы изучения спроса |
Предприятия |
| государствен |
негосударствен |
Участие в ярмарках 50,0 16,0
Контакты
с книготорговцами 38,0 40,0
Реклама
(рассылка прайс-листов) 61,0 43,0
Опросы покупателей 7,1 27,0
Сбор информации
через заинтересованные
ведомства, коммерческие
предприятия - 20,0
Через своих
представителей (дилеров)
в странах ближнего
зарубежья - 42,0
Почти две трети из них на первое место выдвигают рекламу, которая чаще всего заключается в рассылке прайс-листов, на второе — участие в ярмарках, на третье — контакты с книготорговцами.
Негосударственные издательства первое место отводят рекламе, второе — действиям своих представителей, дилеров, третье — контактам с книготорговцами, четвертое — опросам потенциальных покупателей, пятое —
Неплатежеспособность партнеров, таможенные барьеры, низкий жизненный уровень населения, высокие цены на транспортные услуги, отсутствие банковского обслуживания являются основными причинами, осложняющими для издателей поставку книжной продукции в страны ближнего зарубежья
Что касается дороговизны транспортных услуг, то попробуем это объяснить так. Распространяя книжную продукцию, и прежде всего собственную, издатели вынуждены заниматься не своим делом Для них доставка, транспортировка книг, как, впрочем, и складирование, — это выполнение в общем-то чужих функций Их заставила взять на себя сегодняшняя реальность Для торговцев же транспортировка книжной продукции — обычное дело. И дорожание транспортировки на общем фоне повышения цен не воспринимается ими как помеха в сотрудничестве с книжниками из ближнего зарубежья. Гораздо больше их беспокоит неплатежеспособность клиентов.
Следующий абзац можно было бы предварить пометкой «Nota bene», так как речь пойдет о наиболее экономически выгодных формах сбыта книжной продукции в ближнее зарубежье. И здесь мнения книжников-практиков явно не совпадают с мнением экономистов Самыми выгодными формами сбыта книг, на взгляд российских издателей, являются прямые поставки издательств книготоргам ближнего зарубежья (100%), бартерный обмен (51,4%), поставки через свои представительства или представителей (43,0%), поставки через негосударственные предприятия своей страны (42%).
Таблица 6
Мнения российских издателей об экономически выгодных формах сбыта книжной продукции в страны ближнего зарубежья
| Формы сбыта книжной продукции
|
Издательства
|
| государствен.
|
негосударствен.
|
Поставки через
государствен, книготорги 20,0 15,0
Прямые поставки
издательств книготоргам
стран ближнего зарубежья 52,0 48,0
Поставки через другие
организации, предприятия
(негосударственные)
своей страны 12,0 30,0
Поставки через
представительства (или
представителей) издательств в
странах ближнего зарубежья 18,- 25,0
Бартерный обмен 15,4 36,0
Прямые поставки издательств
крупным профилированным
магазинам - 3,3
«Челноки» 3,8
Отметим, что среди наиболее экономически выгодных форм сбыта три первые формы исключают посредников в сделках. В их числе и бартерный обмен. В действительности форма экономически невыгодна. В данном случае мы столкнулись с тем, что книжники-практики оценивали формы сбыта книжной продукции не только по предложенному нами критерию экономической выгоды, но по реальности использования этих форм в распространении российских изданий.
Рейтинг государственных книготоргов невысок. Чуть более трети опрошенных издателей считают поставки через государственные книготорги экономически выгодными Наряду с уже названными формами упомянута новая форма — «прямые поставки издательств крупным профилированным магазинам». В частности, издательство «Дрофа» поставляет учебную литературу в специализированные магазины Киева и Минска. Не перестали действовать и «челноки».
Что касается мнений книготорговцев об экономически выгодных формах сбыта книжной продукции, то они, разумеется, существенно отличаются от суждений издателей. Их ответы распределились следующим образом:
поставки через другие организации, предприятия (негосударственные) своей страны — 31%, бартерный обмен — 26%, поставки через представительства или представителей в странах ближнего зарубежья — 13%.
Для анализа состояния книгообмена между Россией и странами ближнего зарубежья, его перспектив представляют интерес и ответы российских участников ММКЯ 1995 г., не установивших партнерских отношений с коллегами из ближнего зарубежья, но намеренных это сделать. Ответы этой части опрошенных также подтверждают то, что российские книжники ориентируются прежде всего на книжные рынки Украины, Белоруссии, затем стран Балтии и Казахстана.
В свою очередь, для издателей и книготорговцев из ближнего зарубежья наибольший интерес представляет книжный рынок России, затем Белоруссии, Украины и
только потом — стран-соседей. Это понятно, так как в качестве основного товара выступает книга на русском языке. Четверть опрошенных поставляет в Россию только художественную литературу.
Мнения книжников ближнего зарубежья о причинах, затрудняющих сотрудничество, совпадают с мнениями российских коллег. Это таможенные барьеры, сложности взаиморасчетов, дороговизна транспортных услуг, различия в законодательных системах.
Что касается определения наиболее экономически выгодных форм сбыта книжной продукции, то картина выглядит так. Прямые поставки издательств книготоргам стран ближнего зарубежья — 46,6%, бартерный обмен — 33,3%, поставки через государственные книготорги своей страны, поставки через другие организации (негосударственные) и через свои представительства — по 20,0%. И здесь мнения издателей и книготорговцев ближнего зарубежья во многом совпадают с мнением российских книжников. Было бы странно, если бы мнения разошлись. Ведь речь идет о действиях и тех и других в одном пространстве, на одной территории и в одно время.
Выводы
Результаты опроса свидетельствуют о том, что, с одной стороны, книгообмен между странами ближнего зарубежья осуществляется в мизерных объемах, с другой — несмотря на все объективные трудности, он все-таки существует и имеет тенденцию к развитию.
Центр тяжести в книгообмене по объективным причинам приходится на Россию, которая, естественно, являясь самым крупным производителем и потребителем книжной продукции на русском языке, занимает позицию главного экспортера и импортера в книгообмене. Именно Россия в качестве партнера представляет наибольший интерес для стран ближнего зарубежья. В свою очередь, российские книжники ориентируются прежде всего на рынки Украины, Белоруссии, Казахстана — самые крупные после российского. Таким образом, остальные страны, где численность русского и русскоязычного населения меньше, остаются за пределами интересов основной массы российских, точнее московских и петербургских, издателей и книготорговцев. Для этих стран потенциальными партнерами могли бы стать книготорги российских областей, пограничных с той или иной страной ближнего зарубежья.
Основными формами сотрудничества между российскими книжниками и их коллегами из ближнего зарубежья являются продажа книжной продукции и бартерный обмен книгами.
Негосударственные предприятия по сравнению с государственными более мобильны практически во всем. Негосударственные предприятия во много раз опережают государственные по количеству названий книг, поставленных в ближнее зарубежье.
Новая форма расчетов — наличный расчет в рублях — весьма выгодна для российских книжников. Правда, она пока не имеет широкого применения. Чаще других за наличный расчет покупают книги украинские партнеры, затем белорусские и из стран Балтии. И еще одна тенденция. В сфере распространения книг издательства составляют серьезную конкуренцию книготорговым организациям. Кардинальных сдвигов в расширении экспорта-импорта русскоязычных книг в России и странах ближнего зарубежья при ныне существующих условиях не предвидится.
Розничная книжная торговля
Попытка классификации
Картина розничной книжной торговли в Москве напоминает сегодня работу абстракциониста по сравнению с социалистическим реализмом прошлых лет. Абстракционизм многих раздражает, и не только тех, кто не разбирается в живописи,
опытаться разобраться в том, что происходит с книжной торговлей, поначалу довольно сложно. В прежние времена можно было пойти, скажем, в "Москнигу" и получить там какую-то информацию. Затем зайти в несколько книжных магазинов — и дело прояснялось. Теперь "Москниги" нет, централизованной информации почти нет, профессиональные ассоциации еще не наладили свою работу, книжные магазины меняются на глазах. Старая система разрушена, новая еще не Сформировалась. Создается ощущение пустоты, хаоса.
Однако можно найти определенный порядок и в хаосе. Рынок вообще хаотичен только на первый взгляд. Хотя он у нас ныне находится в своем первоначальном состоянии — в форме базара, что создает трудности в классификации розничных книгопродавцев. Все-таки попытаемся описать новые наиболее заметные формы.
г 6
j 1. ЛОТКИ.
Книжнь1е_лртки, как-д-коммерческие "киоски, стали отличительной особенностью нашего города. Их массовое появление относится к 1991 году^ Первоначально они действовали под прикрытием вывески "пунктов первопрочтения". Во втором полугодии именно лоточники фактически взорвали существующую систему ценообразования на книжную продукцию, од-/. ними из первых (огогпг-же) перейдя на свободные цены| ПоэтоС" му рост цен, столь болезненно воспринятый обществом, f'
книжном деле шел более низкими темпами, чем в других оУ
раслях.
По моим наблюдениям, в хорошую погоду в городе выходит торговать до 1200—1500 лоточников, в ненастье примерно на треть меньше. С их слов, ежедневная реализация лотка составляет в среднем 3—4 тыс. рублей. Таким образом, ежедневный оборот этой группы можно оценить в 4—5 млн руб. (данные на конец 1992 года). Для сравнения- оборот "Москниги" за первое полугодие 1992 года составил (с разными товарами) около 300 млн руб Правда, надо учесть, что здесь частично имеет место двойной счет, т.к многие лоточники снабжаются и в муниципальных магазинах (см. "Книжное дело", №1, с. 70). Оценки, конечно, весьма приблизительны, поскольку точного учета никто не ведет.
Ц>^ Ассортимент лотков обычно не превышает 50-70 названий ^~Все это кнми устойчивого постоянного спроса и коммерческая литература: детективы, фантастика, детские книги, домоводство, словари и учебники иностранных языков, эротика, "анже-лики", деловая литература, подписные издания и альбомы\ Имеются признаки некоторой специализации лотков Так, появились лотки подписных изданий, словарей, религиозной, деловой литературы, даже лотки книг в мягкой обложк<|_Большинство лоточников, как правило, связаны с какой-то более крупной фирмой, которая снабжает их литературой, однако они пользуются полной самостоятельностью в способах ее реализации. 1
^п т>
Постепенно лоточники осваивают искусство книюпродав-ца' раскладывают книги по определенным разделам, дают реко-
М. А. МорОЗОвСкий
мендации по выбору, информируют о новых поступлениях, рекламируют отдельные книги Дополнительные услуги отсутствуют. О будущем лотков судить трудно многое будет зависеть от приватизации i осударственной книготорговли, решений городских властей, доступности помещений и т п Скорее все! о, в будущем их число существенно сократится.
2. КИОСКИ.
Более устоявшаяся форма кнш ораспространр-ния. Выделяются несколько подгрупп ^
2 1. Книжные киоски традиционных организаций.
Это киоски i осударственных (муниципальных) книжных магазинов, "Академкниги" и некоторых других. Расположены у станций метро, вблизи крупных универмагов, на предприятиях и в учреждениях. Ассортимент киосков формируется поставщиками. В киосках больше, чем у лоточников, книг в обложке Будущее этой 1руппы будет зависеть, по всей видимости, от судьбы "материнских" магазинов
2 2 Книжные киоски альтернативных организаций.
В сущности, это тот же лоток, только слегка увеличенный и защищенный от непогоды. Открыть частный киоск сложнее, чем поставить лоток, поэтому киосков гораздо меньше Некоторые киоски открываются в организациях с условием продавать литературу для сотрудников этих организаций по более низким ценам При этом киоскеры получают надежную базу для хранения товара Киоск ориентируется на более широкий Kpyi покупателей, чем лоток, т.к. может позволить себе хранить большее количество книг. Цены в киосках в среднем на 10—15% ниже, чем на лотках. Ассортимент киоска шире — до 100 названий.
2.3 Киоски "Союзпечати"
("Роспечати"). Газетные киоски и раньше торговали книгами, но в последние годы ассортимент в них расширился даже до тех категорий, которые традиционно считаются магазинными (доро! ие книги в переплетах). да
•
Обычно в газетном киоске выставлено 10—20 названий, и 1 которых 30—40% — в переплете. Что касается тематики, то это чаще всего коммерческая бульварная литература. В Москве около 1,5 тыс. книжных киосков.
3 МАГАЗИНЫ.
Состав этой категории также неоднороден
3 1 Государственные (муниципальные) книжные магазины.
До начала приватизации "Москнига" объединяла около 200 ма1азинов. Сегодня "Москнига" ликвидирована, многие магазины приватизируются.
Пока же в книжных магазинах бывшей "Москниги" отражаются все проблемы переходного периода как отрасли, так и экономики в целом. Ассортимент изданий существенно сократился. Сохранились еще не списанные остатки партийно-политической продукции, устаревшей научно-технической литературы. Новые кню и подобной тематики появляются редко. В периоды школьных кампаний появляется учебно-методическая литература, не попадающая на лотки. Выбор художественной и детской литературы далек от лоточного. В магазин обращаются обычно те, кто издал не очень ходовые книги в обложках и не может их сбыть. Поэтому кню в обложке в магазинах больше Сохраняются старые связи с поставщиками, но, по всей видимости, основной источник доходов мно1ие муниципальные магазины ищут уже не в серьезной работе с кнш ой. [_ Практически во всех ма1азинах значительную площадь занимают коммерческие отделы. Некогда книжные, ма1азины сегодня завалены ширпотребом В книжных магазинах до трети, а в некоторых и до половины торговой площади занято одсж-
дои, обувью, парфюмерией, техникой, даже мебелью. Зато все труднее становится купить нужную кншу. Конечно, подобное положение объясняется прежде всего объективными трудностями, но мноше специалисты считают, что и на кнше сегодня можно делать хороший бизнес, если серьезно работать
В муниципальных книжных магазинах покупают книги те, кто победнее, у кого есть время на поиски нужного издания. Здесь ищут книги серьезные книюлюбы, лоточники, специалисты заходят сюда по привычке за специальной литературой, родители - за учебниками и детской недорогой книгой. Пока еще к магазинам сохранилось определенное доверие со стороны покупателей, поэтому многие издатели предпочитают проводить здесь подписки Ассортимент подписных отделов значительно расширяется, да и подписаться стало гораздо проще,
Уровень обслуживания покупателей в основной массе книжных магазинов остается низким (как и вообще в гостор-ювле) Сеюдня продавцы озабочены новыми проблемами, в основном "прихватизацией", и им по-прежнему не до покупателей Многие магазины ликвидировали некоторые дополнительные услуги, например прием предварительных заказов. Это вызвано также невыполнением издательствами своих обязательств. Некоторые услуги все же сохраняются скупка подержанных книг, обмен, оценка
Работники магазинов начинают понимать, что рассчитывать ^^К-1 больше не на кого, что на рынке никто не гарантирует спо-Т^^Ъйной жизни и что в конкурентной среде необходимо искать совершенно новые, непривычные подходы к работе. Некоторые магазины занимаются мелкооптовыми операциями, заключают доюворы на распространение подписных изданий частных фирм, расширяют ассортимент коммерческой литературы, активно ищут новых поставщиков
Крупные книжные магазины
(Дома книги).
Это особая категория i осударственных книжных магазинов. Некогда они считались центрами ассортиментной работы На фоне общей де-храдации государственной книжной торговли дома книги пока еще держатся Правда, здесь тоже появилось множество "комков", но кнша занимает больше места Ассортимент заметно шире, чем в большинстве ма1 азинов, в том числе коммерческой литературы, сохраняются специализированные отделы. Возможности крупных магазинов позволяют им напрямую работать с издателями дорогой литературы, поэтому в домах книги можно купить популярные издания дешевле, чем на лотках.
Преимущества крупных магазинов привлекают соответст вующий круг покупателей Сюда приходят книголюбы за хорошей книгой, специалисты за узкоспециальной литературой (и даже ино1да находят) Уровень обслуживания и квалификации продавцов в домах книги остается заметно выше, чем в обыч-JBk'bix книжных магазинах
Книжные
магазины других
систем. Государственная книжная торговля представлена в Москве также магазинами "Академкниги", "Военкниги", "Мосбуккниги", "Транспортной книги" - всего не более трех десятков торговых предприятий, тесно связанных с основным поставщиком Эти магазины в большей степени сохранили свою специфику и традиционных покупателей Хотя они не оказывают заметного влияния на ситуацию на книжном рынке из-за небольших в масштабах Москвы объемов продаж, у них гораздо больше шансов на выживание.
3 2. Альтернативные книжные магазины.
Самая, на мой взгляд, интересная и наименее изученная форма книжной торговли
Новые книжные магазины разнородны по своему происхождению и по формам ор1анизации Мне известно около 30 таких розничных точек в Москве Располагаются они обычно в библиотеках, домах культуры, школах, подвалах жилых зданий, в старых домах Место их расположения обычно отдаленные районы города, хотя некоторым удалось закрепиться в центре ("Элина", "Палянка") Часть этих магазинов выросла из пунктов обмена и скупки подержанной литературы, часть — из мелкооптовых складов альтернативных издательских и книютор-ювых фирм Они начинали свою деятельность с продажи книг крупным ер1анизациям книголюбов и оптовым пекупателям из других городов, но по мере роста конкуренции и насыщения рынка перешли и к розничной продаже По разным причинам широко себя нс рекламируют Такие фирмы имеют постоянные связи с лоточниками, мелкооптовыми кнш отор! овыми фирмами В последнее время многие частники берутся за распростра-
4 Книжное дело № 2
нение подписных изданий (например, фирма "Вело" распространяет "Библиотеку сентиментального романа", "Элина" - собрания сочинений А. Дюма, Р. Сабатини и др.) Среди покупателей альтернативных фирм значительную часть составляют заядлые книголюбы
В этой группе можно выделить две основные под1руппы. Первая - "обмены", т е розничники, занимающиеся в основном обменом и скупкой подержанных кню У них нет достаточных площадей для закупки крупных тиражей, поэтому они редко работают с оптовыми поставщиками. Вторая i руппа -"подвалы" (хотя они не всегда распола! аются в подвалах) В "подвале" обычно около 100 названий, почти исключительно коммерческой литературы и в переплетах. Ассортимент -лоточный, но цены на 25-30% ниже. "Подвалы" - оптово-роз-ничные предприятия, у них обширные связи с покупателями из других регионов Хотелось бы надеяться, что, реконструируя центральную часть юрода, юродские власти не забудут про книжные магазины Можно было бы несколько помещений продать со скидкой, но с условием размещения в них книжных лавок Книжный магазин украшение любой улицы.
3 3. Магазины
"Рскиечати". В Москве их около 70. Далеко не все активно работаю! lкнигами. В большинстве таких точек ассортимент немногим отличается от ассортимента киоска, а часть помещений сдается все тем же коммерческим отделам Но немало магазинов, особенно арендных, которые активно занимаются книжной торговлей. Например, магазины цепи "Находка" (5 торговых точек в Москве) или магазин "Кругозор" на Ленинском проспекте В ассортименте последнего представлено несколько сот названий. В основном это книги в переплетах, хотя в обложке тоже немало. По тематике - коммерческая литература, подписные издания, многотомники. Имеется отдел подержанной книги Периодика занимает небольшой прилавок и несколько стеллажей, т е малую часть т9рговой площади.
Арендные магазины "Союзпечати" во многом похожи на "новые" книжные магазины. Они также являются оптово-роз-ничными предприятиями, работают с организациями книголюбов, имеют разветвленные связи по всей стране, снабжают лоточников
Арендные магазины обычно располагаются в небольших помещениях, что затрудняет серьезную работу с ассортиментом, В общем, это готовая модель новой книюторювой фирмы в ее первоначальном развитии
4 КНИЖНЫЕ КЛУБЫ.
Важный канал распространения „
ор1анизации книголюбов Крупные организации на больших про- S
мышленных предприятиях и в учреждениях ведут дела само- "
стоятельно, мелкие чаще прибегают к услугам районных коми- <ч
тетов общества Достоинство этого канала — отработанная сие а=
тема распространения, доверие сотрудников предприятия к сво- д
им коллегам, распространяющим литературу. С ростом цен ко- " личество закупаемой клубами литературы сокращается Они
U
стремятся распространять только качественные книги в перепле- о тах Только на предприятиях и в организациях, пожалуй, сохра- в
няется еще "нагрузка" Сейчас практически все клубы работают на коммерческой основе, т е за определенный процент от в реализации ^
Клубы обслуживают, как правило, только работников своих трудовых коллективов Покупатель здесь в основном с высшим образованием, разбирающийся в кнюах Особенно активны организации книголюбов различных НИИ Кроме отработанности распространения, клубы очень важны серьезным подходом к делу, что позволяет рассматривать их как началь-ет редакгирование. Кроме гиповых макрокоманд, предназначенных для конкретных действий, таких, как печать на конвертах и т.п., можно создавать целые библиотеки макрокоманд и хранить в одном файле глоссарии до 1000 макрокоманд.
В MS Word чрезвычайно удачно решены вопросы разделения самого текста и кодов форматирования, которые вообще могут бьпь невидимыми. Общий принцип сохранения кодов форматирования в виде стилей оформления текста и ориентация MS Word на работу с логической порцией текста в виде абзаца позволяют связывать части текста, например такие, как заголовки, сноски и т.п., с конкретными стилями. Одну таблицу стилей можно использовать сразу с несколькими разными документами.
MS Word действительно ориентирован на работу с книгами большого объема. В пятой версии введено понятие книжной закладки, позволяющей присваивать имена любым выделенным частям документа и использовать их для быстрого перехода к нужным местам документа, а также для составления таблиц перекрестных ссылок. Специально для редактора введена
возможность внесения редакторских пометок, мест вставки, уничтожения, замены и перемещения фрагментов текста, автоматического сохранения текущей версии файла через заданные промежутки времени.
Большим достоинством системы Word является превос-сходное управление печатью с удобным выбором шрифтов. В новой версии допускается в одном документе вертикальное и горизонтальное расположение текста, расширена поддержка до 50 типов принтеров, в том числе и для стандарта PostScript с возможностью выбора шрифта любого кегля в диапазоне от 2 до 127 кеглей (1 кегль равен 0,376 мм — величина, оценивающая высоту шрифта).
Появление в России полностью русифицированных версий MS Word, например продукта Русское Слово, распространяемого совместным предприятием "Параграф", делает этот пакет наиболее предпочтительным для использования профессиональными редакторами при подготовке документов и книг типографского качества.
(Продолжение следует}
Приложение 1
ГРАФИЧЕСКИЕ СТАНДАРТЫ И УСТРОЙСТВА ОТОБРАЖЕНИЯ В ИЗДАТЕЛЬСКИХ СИСТЕМАХ
1981 год
-IBM CGA
- первый графический стандарт для IBM PC, отображение максимум 16 цветов при низком разрешении или 4 цвета при разрешении 320х200 точек
-Xerox Star Workstation - впервые использование графического интерфейса с метафорами письменного стола, пиктограммами и WYSIWYG-интерфейса
1982 год
-
Hercules Graphics Card
— стандарт для монохромного дисплея, позволяющий выводить текст и графику при разрешении 720х350 точек
1983 год
- Apple Lisa - первая машина, основанная на графическом интерфейсе пользователю (ГИП) для конторских работ
1984 год
-
Macintosh
— машина с привлекательным ГИП,
дающая преимущества графики даже для традиционно неграфических применений
-
Adoby PostScript
— язык описания полос изданий, ставший стандартом для широкого набора выводных устройств
-
IBM EGA PC/AT (Enhanced Graphic Adapter)
- отображение 16 цветов из палитры 64 цвета при разрешении 640х480 точек
-
IBM PGA (Professional Graphic Adator) -
отображение 256 цветов при разрешении 640х480 точек
1985 год
Aldus PageMaker for Macintosh
— первый коммерческий пакет для настольных издательских систем
-
Truevision Targa Card
— видеографическая плата, использующая при разрешении 512х482 24 бит-на пиксел для представления 16,7 миллиона цветов
- Commodore Amiga 1000 - быстрый компьютер с возможностью отображения многих сред (multimedia). Впервые использование NTSC видеостандарта и многозадачной операционной системы
1986 год
- Х
Windows
- первый сетевой графический интерфейс, ставший стандартом для UNIX-машин
1987 год
- Мае II — поддержка цвета на различных мониторах при разрешении 640х480 точек с одновременным отображением 256 цветов, выбираемых из палитры 16 миллионов цветов
-
IBM VGA,
PS/2 (Video Graphics Arrat) - поддержка 256 цветов при разрешении 320х200 точек или 16 цветов при разрешении 640х480 точек
- 8574А - IBM графический ускоротель с максимальным разрешением 1024х768 точек и отображением 256 цветов
1988 год
-
Display PostScript
- новая система окон, созданная Adoby для машин NeXT, использующая единый язык описания полосы при выводе на принтер и дисплей с истинным WYSIWIG
1989 год
- Super VGA
- стандарт, предложенный VESA (Video Electronics Standards Association), поддерживающий разрешение 800х600 точек при отображении 256 цветов, при стоимости ниже стандарта 8514А
-
32-bit QuickDraw
- система для машин Macintosh, поддерживающая 16,7 миллиона цветов на экране
-
Adoby Type Manager
— система поддержки масштабируемых шрифтов, отображаемых на дисплее
-
SuperMac ColorCard/24
— первая плата поддержки 2. бит на пиксел (16,7 миллиона цветов) для машин МастЮ<в||| при разрешении 640х480 точек
- SuperMac Spectrum/24 - графический ускоритель для поддержки языка QuickDraw
1990 год
-
Microsoft Windows 3.0
— ГИП для DOS, с эффективным использованием памяти и многозадачной поддержкой
-
IBM XGA
PS/2 - (Extended Graphics Array)
- адаптер для конструктива Micro Channel Architecture, поддерживающий для Windows и OS/2 256 цветов при разрешении 1024х768 ючек или 65 536 цветов при разрешении 640х480 точек
1991 год
-
True Type
- открытый стандарт для масштабируемых шрифтов, разработанный Apple и Microsoft, в противовес закрытым шрифтам фирмы Adoby в формате Туре 1
-
JPEG Standard
— первый международный стандарт для сжатия цифровых изображений, предложенный Join Photographies Expert Group
-
Third-Party Windows GUI
Accelerators - появление первых графических ускорителей, поддерживающих Windows (плата Impression фирмы Matrox поддерживает Windows 3 до разрешения 1152х882 24 бита на точку для мониторов типа MultiScan с верт. и гор. разверткой 64 и 72 Мщ
Бумага и книги на биржах
1. Биржевая торговля в 1992 г. Краткий обзор.
рошедший 1992 год можно смело назвать годом "утраченных иллюзий" биржевой торговли. Постараемся выявить те причины, как объективные, так и субъективные, предопределившие сокращение, а зачастую и свертывание биржевой деятельности в России. Во-первых, помимо высокой 28-процентной ставки налога с биржевых операций (НДС), был введен 45-процентный налог на брокерскую деятельность. Чрезмерность этого налога была заведомо очевидна. В обществе сложилось устойчивое мнение, что профессия биржевика-брокера связана с получением фантастических сверхдоходов, и введение налога было обусловлено, возможно, именно этим. Но также очевидно и то, что биржевые структуры нашли лазейки для значительного уменьшения налогообложения брокеров.
Второй веской причиной сокращения биржевой активности явился разразившийся кризис взаимных неплатежей между предприятиями (производителями и потребителями), и все это усугубилось развалом банковской системы между странами СНГ. Переводить деньги в страны "ближнего зарубежья" сегодня рискнет не каждый, а в биржевой торговле и подавно.
Принятие закона "О биржевой деятельности и товарных биржах" явилось третьим и весьма существенным аргументом сокращения финансовых поступлений в биржевые структуры:
Был положен конец "торговле воздухом", т.е. спекулятивной продаже брокерских мест
В 1992 году на биржах получила широкое распространение деятельность так называемых "черных брокеров", когда покупатель и продавец, встретившись на бирже, заключали соглашения в обход ее и не платили биржевого сбора. Явление это приобрело такой размах, что руководство бирж было вынуждено отказаться от процентных выплат после заключения официального договора. Большинство бирж назначает фиксированную ежемесячную сумму отчислений бирже, независимо от количества заключенных сделок. Биржа "Российская бумага" пошла по другому пути. Сегодня все брокерские конторы (50 брокерских контор на бирже работают постоянно) вместо оплаты стоимости брокерского места обязаны стать полными членами биржи (с правом торговли во всех филиалах). Для этого брокерской конторе необходимо приобрести 5 акций биржи по 50 тыс. руб. за каждую на сумму 250 тыс. руб. Если брокерская контора намерена торговать в одном из филиалов биржи, то ей необходимо приобрести 2 акции на сумму 100 тыс. руб. В этом случае брокер становится неполным членом биржи. Но существует на "Российской бумаге" и категория так называемых постоянных посетителей с правом ведения торговых операций (сроком на два года). Эта услуга стоит также 100 тыс. руб.
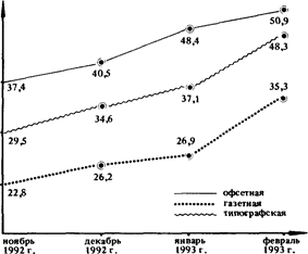
В целом же состояние биржевой торговли в России сейчас можно оценить как нестабильное, а наступивший 1993 год
Динамика цен из бумагу (в тыс. руб.)

будет, скорее всего, годом выживания бирж.
Приводим список лучших товарных бирж России за 1992 год, составленный газетой "Коммерсантъ".
1. Российская товарно-сырьевая биржа
2. Московская товарная биржа
3. Московская торговая палата
4. Межреспубликанская универсальная товарная биржа
5. Товарно-фондовая биржа "Санкт-Петербург"
6. Свердловская товарная биржа
7. Пермская товарная биржа
2. Продажа бумаги и книг на биржах
Довольно неожиданно для многих в торговле бумагой на второе место вслед за "Российской бумагой" вышла Московская торговая палата (МТП). Раньше она называлась Международная универсальная биржа вторичных ресурсов. За первую неделю января объем предложений бумаги на МТП составил 186,8 млн. руб. (На "Российской бумаге" - 382,4 млн руб., а на Рослес-бирже предложение бумаги составило всего 96,4 млн. руб.) Если раньше "Российская бумага" была недосягаемым лидером как по объемам предложения бумаги, так и по структуре этого предложения, то сегодня заметна довольно мощная конкуренция со стороны МТП, по крайней мере в объемах предложения. Хотя ситуацию в Московской торговой палате нельзя считать безоблачной, а репутацию ее безупречной. Дело в том, что на этой бирже выявлены нарушения закона "О товарных биржах и биржевой торговле". Ведется проверка деятельности МТП.
С 1 января 1993 года введены ставки экспортных пошлин при вывозе товара с территории Российской Федерации. Теперь товаропроизводители бумаги и картона или бизнесмены, купившие их в биржевых структурах, при реализации будут вынуждены платить экспортный тариф. За бумагу и картон, а также изделия из бумаги — 15% от таможенной стоимости товара, а при товарообменных (бартерных) сделках — 22,5%. За 1азетную бумагу независимо от ее стоимости надо будет заплатить за каждую тонну 80 ЭКЮ пошлины. Каждая тонна бартерных поставок газетной бумаги будет облагаться пошлиной в 120 ЭКЮ. Продажа за рубеж книг и другой печатной продукции более вьп одна. Экспортные пошлины здесь значительно ниже и составляют 10% от таможенной стоимости груза. При бартерных поставках - 15%.
Биржевые торговцы бумагой, очевидно, понимают, что необходимо стремиться не -юлько продава1ь крупные партии цел-люлозно-бумажной продукции, но и дробить их для реализации мелким оптом. Сегодня открывается много контор, фирм, нуждающихся в небольших партиях самой разнообразной бумаги Некоторые типографии хотели бы покупать регулярно бумагу, но не в тех количествах, какими оперируют брокеры на биржах. Сейчас для покупки мелких партий бумаги приходится обращаться к посредникам, т.к. биржевикам невыгодно заниматься мелкооптовой торговлей.
В этих условиях биржевые структуры вынуждены создавать торговые дома, в которых осуществляется деление крупных партий бумажной продукции. Санкт-Петербургский филиал биржи "Российская бумага" в ноябре 1992 года открыл первый торговый дом для мелкооптовой торговли бумагой. Теперь биржевикам приходится заниматься в общем-то несвойственной им деятельностью, арендовать склады, иметь дело с реальным товаром, оказывать покупателям складские и транспортные услуги.
Очевидно, "портфель заказов" на бумажную продукцию торговый дом будет формировать на бирже, там же покупать крупные партии бумаги, а затем дробить товар на более мелкие партии. При такой работе бумага из торгового дома будет несколько дороже, чем на бирже, здесь неизбежна "накрутка", но, безусловно, эта форма реализации бумажной продукции будет выгодна покупателям, т.к. ликвидируется цепь дополнитель-
ных посредников, манипулирующих крупными партиями бумаги.
Деятельность биржи "Российская бумага" по реализации книжной продукции значительно изменилась за последние полгода. Эта трансформация была вызвана многими причинами, главной из которых является то, что продажа книг определенными партиями по фиксированным дням торгов не имела успеха. Книжная секция биржи начала искать новые методы работы. В первую очередь видоизменяется деятельность брокерских контор. Им приходится работать более гибко и энергично. Сегодня их клиентами становятся, как правило, издательства и книготорговые структуры с периферии, которые из-за узости своего рынка не могут полностью реализовать свои тиражи либо закупать нужные им издания. Биржа стремится помочь таким клиентам и принимает предварительные заказы на покупку или реализацию печатных изданий и перепоручает эти заказы брокерским конторам. Дальнейшая судьба заказа целиком зависит от
деловых качеств брокера, его мобильности и компетентности. Можно привести такой пример, когда мало кому известная брокерская контора "Гермес" из Ростова-на-Дону превратилась в мощное смешанное товарищество под тем же названием, контролирующее значительную долю книжного рынка на юге России. Активно работают с книгой на "Российской бумаге" брокерские конторы "Ладъ" и "Альфа", которые осуществляют контейнерную доставку печатной продукции в масштабах России.
17 февраля 1993 года на бирже "Российская бумага" состоялась книжная ярмарка. Она проводилась совместно с "Литературной газетой" и Международным сообществом книголюбов. Мероприятие это - некоммерческое, бесплатное. Главная цель ярмарки - привлечь на биржу новые государственные, муниципальные, частные издательства и книготорговые организации, заинтересовать их услугами по купле-продаже тиражей, а также привлечь их как покупателей бумаги.
Цены на бумагу на биржах (в тыс. руб.)
l:^ te 1^ 1^ fe l^ |1й 1^ 1^ Ы
11^ Ш
<а «СЛ 8"!^ '^«CT» "-КО^ Я.»0>
н
;«7N "»0\
НЯ<7\ „Я^ 'в»<
йй^ I^S0
'
tto&. ow а °»> > oon So\
a «aw > юо
— Я ел Я Дел ^S"^ ^.й.^ —и.0
' о в т^ 5 ЕС •-4 1—1 X г~( н— Л
*--* —4 tt^-i 1—1 tt'—i w tt^-i »—il3<i—i ^-" ^ ,—< 1—<к^ч »—i !J'< 1 ^
'U ' '
|
"Российская бумага" (Москва)
Офсет №1 38,0 34,2 34,3 33,5 41,0 39,0 38,0 51,3 54,6 67,9 62,7 57,1 чЖЬзетная 19,0 21,0 22,0 23,0 23,2 23,8 25,0 31,1 32,1 31,0 31,8 42,8 ' типографская №1 28,0 26,5 27,0 28,3 32,6 37,5 37,0 22,0 43,0 34,0 43,7 43,1 Офсет №2 25,0 25,5 25,7 25,1 29,5 31,0 30,0 44,1 50,7 48,1 48,8 50,4 Типографская №2 21,0 21,0 21,0 21,0 23,3 33,4 33,4 33,7 41,0 41,2 42,8 43,9 Типографская для глубокой печати 42,4 55,7 50,7 50,7 40,0 42,5 Писчая 23,0 23,0 23,0 23,0 31,5 43,0 39.6 47.4 50,0 57,2 57,4 57,4
РТСБ
Офсет №1 41,0 36,0 34,4 41,0 49,9 39,5 51,0 55,0 45,0 Газетная 23,0 18,6 35,0 24,6 34,0 36,1 33,0 34,0 42,0 Типографская № 1 30,8 37,8 Офсет №2 32,0 30,5 41,0 51,9 Типографская для глубокой печати 41,6 41,6 45,8 Типографская №2 39,0 42,0 46,0 Писчая 43,0
ТФБ "Санкт-Петербург"
Офсет №1 33,1 51,8 51,8 57,0 57,0 Газетная 25,0 30,0 30,0 Типографская №1 25,0
"Российская бумага" (Санкт-Петербург)
Офсет №1 33,2 34,0 41,0 40,2 43,5 35,0 54,0- 41,9 35,0 42,0-Mk| 114,0 114,0 Офсет №2 23,5 23,5 23,5 55,0 55,0 55,0 Газетная 26,1 35,3 36,0 35,8 36,0 35,0 18,0 20,0 20,0 20,0 Типографская №1 31,0 30,1 32,0 35,0 33,6 52,0 52,0 Типографская №2 33,5 37,4
Московская торговая палата Офсет №1 47,0 41,0 40,5 40,0 40,0 45,0 45,0 51,0 53,0 59,3 59,3 Офсет №2 30,0 34,0 32,5 30,0 30,0 45,3 50,0 Газетная 19,0 19,2 18,6 18,0 19,5 24,0 19,5 37,0 37,0 43,5 50,0 Типографская №1 30,0 30,0 30,0 29,0 30,0 39,0 39,0 40,0 40,0 60,0 60,0 Типографская N»2 26,0 35,0 35,0 55,0 55,0 Писчая 33,0 35,0 40,0 40,0 40,0 40,0
МТБ
Офсет №1 32,0 33,0 33,0 33,0 33,0 31,0 30,0 33,0 33,0 Газетная 19,0 19,0 19,0 19,0 19,0 19,0 26,0 42,5 42,5 Типографская №1 40,0 Типографская №2 36,0 Писчая 49,5
Интерлесбиржа
Офсет №1 32,0 Офсет №2 28,0 Газетная 17,6 23,5 23,5 23,0 23,0 29,0
Рослесбиржа
Офсет №1 43,9 55,5 57,5 57,5 70,0 Офсет №2 44,6 49,5 51,5 51,5 60,1 Газетная 17,0 30,0 30,0 30,0 Типографская №1 34,6 39,9 42,0 42,0 42,0
|
Восстановленная бумага:
проблемы и пути их решения
Несколько десятилетий назад, когда объемы производства картона и бумаги были значительно ниже и перед человечеством еще не стоял вопрос экологического и энергетического кризисов, термин "макулатура" ассоциировался с чем-то неприятным, присущим всем отбросам. Считалось, что ресурсы древесного сырья неисчерпаемы, поскольку постоянно и в огромных количествах воспроизводятся природой. Поэтому целлю-лозно-бумажная промышленность надежно обеспечена волокнистыми полуфабрикатами из свежей древесины. Макулатуре длительное время как серьезному источнику сырья в нашем хозяйстве не уделялось достаточного внимания.
Макулатура. Перспективы
В мировой экономике интерес к широкому использованию вторичных волокнистых материалов для получения полноценной продукции широкого назначения возник давно, но особенно обострился, когда в начале 70-х годов она ощутила отрицательные последствия многократного повышения цен на нефть и другие энергоносители Многие развитые страны мира со скромными лесными ресурсами начали резко повышать долю вторичного волокна в композиции картона и бумаги. В 1970 г. потребление макулатуры в мире составило 31 млн т, что соответствовало 24% в общем балансе волокнистого сырья, в 1988 г. эти показатели составили соответственно 72 млн т, или 32%. В настоящее время тенденция роста использования макулатуры не ослабевает По мере юго как растет давление защитников окружающей среды, растет и значение вторичного волокна для бумажной промышленности. Девяностым годам суждено стать свидетелям расширения номенклатуры макулатурных видов в большинстве секторов бумажной промышленности, не только в газетном, но и в более высококачественном секторе печатных видов бумаги
Резкое увеличение использования макулатуры в композиции почти всех видов бумаги и возникновение крупного стратегически важного макулатурного бизнеса открыли для бумажной промышленности широкий источник новых сырьевых материалов. Доля вторичного волокна в мировой бумажной композиции возросла с 24,8% в 1980 г. до 30,6% в 1990 г., и, по прогнозу специалистов, этому виду волокна в 90-е годы будет отведе-
Таблица 1
Общемировой рост спроса на сырьевые материалы для бумаги и картона: 1990-2000 гг.
| Полуфабрикаты Рост спроса, % от общего тыс. т роста спроса |
| Древесная масса +5 760 +6,3 Беленая сульфатная целлюлоза +14470 +15,8 Небеленая сульфатная целлюлоза +4 800 +5,2 Сульфитная целлюлоза -1 860 -2,0 Полуцеллюлоза +1 160 +1,3 Недревесные полуфабрикаты +4 650 +5,1 Вторичное волокно +47210 +51,4 Пигменты +15 500 +17,0 Итого сырьевые материалы +91 690 100 |
или 38,5 - 41,7% общего производства бумаги и картона.
В ближайшие 3 года темпы роста использования макулатуры в ЦБП США будут вдвое выше темпов роста использования природных волокнистых полуфабрикатов. Североамериканские фирмы-изготовители газетной бумаги планируют до 1995 г. вложить 1,1 млрд долл. в создание на своих предприятиях мощностей по облагораживанию типографской макулатуры. Потребление старых газет к 1995 г. в этом секторе промышленности должно возрасти более чем на 1 млн т. Сбор бывшей в употреблении гофротары возрастет с 12,4 млн т в 1988 г. до 18,8 млн т в 1995 г. и приблизится к предельно достижимому уровню (60-65%). Сбор высококачественного вторичного сырья -заменителей целлюлозы (обрезков и других отходов от производства бумажно-картонных изделий) - возрастет с 3,5 до 4 млн т (100%), а сбор высококачественной печатной макулатуры увеличится с 2,6 млн т в 1988 г. до 4,4 млн т в 1995 г. (50% имеющихся резервов).
Для столь резкого повышения потребления макулатуры необходимы мощные рычаги увеличения ее сбора. Естественно, основным рычагом является экономический. В США, например, удельные капиталовложения в строительство линий по производству обесцвеченной макулатурной массы (ОММ) дешевле на 25%, расходы на эксплуатацию ниже на 15—20%, чем на производство ХТММ. При этом необходимо учитывать большой экологический эффект при замене свежего волокна вторичным. Рыночная цена беленой целлюлозы 700 долл./т, а ОММ - 350. Фабрика мощностью 200 т/сут экономит до 70 тыс. долл. в сутки, а ее окупаемость составляет 2 года.
Рост потребления макулатуры опирается прежде всего на экономические основы. Например, в ряде штатов установлено, что издательства обязаны довести долю потребляемой газетной бумаги из ОММ к 2000 г. до 90%. За выполнение этого предписания предоставляется беспроцентный кредит в сумме 56 долл. за 1 т закупаемой бумаги из макулатуры, за невыполнение — различные суммы штрафов.
В Японии макулатура закупается и поступает на склады вторичного сырья из супермаркетов, магазинов, предприятий, выпускающих продукцию из бумаги и картона (обрезки, отходы производства тары и т.д.), домашних хозяйств (часть в обмен на мыло, туалетную бумагу и другие товары), затем макулатура поступает на целлюлозно-бумажные предприятия. Сбор и транспортировку макулатуры осуществляют и организуют специализированные пункты. К сбору привлекаются различные общественные организации.
Таким образом, расширяется рынок сбыта бумаги из макулатуры в силу чисто экономических факторов, стимулирующих ее производство, а следовательно, и сбор макулатуры. Аналогичная тенденция наблюдается в Европе и Азии. Сейчас в Германии 70% газетной бумаги вырабатывается с добавкой до 60% ОММ, в Швейцарии - 50, в Японии - 55%.
Макулатура, пригодная для повторного использования, состоит из различных видов продукции бумажного и картонного производства, кроме сортов для "разового" потребителя (са-нитарно-гигиеническая, сигаретная бумага, обои). Книги и документы обычно редко включаются в повторный цикл переработки. Наилучшие виды продукции для рециркуляции: телефонные справочники, газеты, журналы, печатные рекламные материалы, картон и гофротара. Самое ценное вторичное сырье -отходы печатного производства. Почти 100% этих отходов пригодны для повторного использования, в то время как свыше 15% бытовой макулатуры, как правило, не пригодны для этих целей. Макулатуру обычно сортируют, а цены на нее устанавливаются в зависимости от качества. К макулатуре высшего качества относятся обрезки белой бумаги, газеты и журналы, самое низкое качество у макулатуры из небеленого (бурого) картона и несортированной. Неочищенная (несортированная) макулатура традиционно используется в производстве низкосортной бумаги и картона, главным образом предназначенного для получения упаковочных и строительных материалов. Сортированная или облагороженная макулатура идет на выработку газетной, печатно-писчей, санитарно-гигиенической, упаковочной бумаги, сплошного и гофрированного картона.
В настоящее время объем экспортируемой макулатуры превышает 8 млн т. Почти половину этого количества вывозят США. Главные районы импорта макулатуры в мире — Азия (более 3 млн т) и Западная Европа (3 млн т)
В мировой практике все чаще применяется термин "восстановленная" вместо "макулатурная", потому что макулатурная ассоциируется с плохой бумагой, а восстановленная нет. Хорошим источником международной статистики по тенденции использования восстановленной бумаги является ежегодный обзор, опубликованный журналом "Международная целлюлоза и бумага", в котором приведены данные по мировому использованию восстановленной бумаги в бумажной промышленности. В 1990 г. было использовано 83,5 млн т восстановленной бумаги (табл.3).
Ожидается, что к 2000 г. в большинстве стран коэффициент восстанавливаемости превысит 30%, в пяти странах этот пока-
| Сбор, потребление и торговля макулатурой (тыс. т) в некоторых странах в 1989 - 1990 гг. 1аблица 3
|
| Страна Сбор Потребление Импорт Экспорт Степень утилиза- Степень сбора, ции, % * % * • |
| 1989 1990 1989 1990 1989 1990 1989 1990 1989 1990 1989 1990 |
| Франция 2878 3039 3089 3295 718 775 510 520 46 47 34 35 Италия 1 767 1 762 2 685 2 504 922 748 4 6 48 45 26 25 Великобритания 2977 3092 2 $78 2847 80 159 479 404 57 59 31 33 Финляндия 430 455 408 438 85 55 56 50 5 5 30 33 Швеция 890 909 951 1034 218 275 147 140 11 12 47 46 СССР 3000 2500 2885 2300 0 0 115 100 26 23 29 26 Канада 1339 1310 1851 1789 540 497 314 260 11 11 23 23 США 24562 26242 18344 19769 157 112 5722 5901 26 28 32 34 Китай 3 730 3 750 3 346 3 370 448 423 2 3 25 25 27 26 Япония 13091 13860 13493 14613 328 634 51 22 50 52 48 49 Южная Корея 1619 1875 2943 3342 1373 1487 0 0 73 74 42 44 Тайвань 1 724 2 083 3 083 3 403 1 256 1 320 0 0 101 102 54 63 Бразилия 1 553 1 453 1 597 1 453 45 24 1 4 33 30 37 35 Общемировое 79781 83739 79164 83508 11839 12376 11077 11349 34 35 34 35 |
* — Потребление макулатуры как процент общего производства бумаги и картона
** - Сбор макулатуры как процент общего потребления бумаги и картона Источник: ежегодный обзор PPI
затель превысит 45%, но ни в одной стране этот показатель не будет выше 50%, т.к. дальнейший рост этого показателя столкнется с трудностями и ограничен технологическими и экономическими факторами (более низкое качество, более высокие издержки, связанные со сбором макулатуры, трудностями приведения в соответствие предложения и спроса с точки зрения качества).
Для решения задач по расширению использования макулатуры в передовых зарубежных странах большие ассигнования выделены на проведение научно-исследовательских работ. Например, Институт бумаги США имеет программу стоимостью 4 млн долл. Такой же объем исследований выполняет Национальная ассоциация предпринимателей ЦБП.
Использование и структура переработки макулатуры в нашей стране
До 1987 г. объемы переработки макулатуры в отрасли незначительно увеличивались в основном за счет волевого повышения норм ее расхода. Это привело к ухудшению качества продукции, поскольку никакой модернизации действующих линий по подготовке макулатурной массы не проводилось. Установлено, например, что около 25% основного оборудования полностью изношено морально и физически. Сюда входят главным образом гидроразбиватели, сортировки, очистители, т.е. агрегаты, имеющие решающее значение при подготовке массы. Технологические схемы упрощены до неразумных пределов и доведены до
тами. Из таблицы 4, отражающей потребление бумаги и картона и сбор макулатуры на душу населения, видно, что кратность увеличения сбора в различных странах почти полностью соответствует кратности душевого потребления в России. Ресурсы макулатуры, доступные для заготовки, определяются исключительно уровнем потребления картона и бумаги на душу населения.
Таким образом, наша страна, занимая место в четвертой десятке стран по производству и потреблению бумаги на душу населения в настоящее время, учитывая падение производства, обладает незначительными возможностями по увеличению сбора макулатуры. Однако в условиях роста производства, внедрения рыночной экономики эта ситуация должна существенно меняться. Для строительства новых предприятий необходимо увеличить сбор макулатуры в основном у населения. Население России на 1 января 1992 г. - 148,8 млн чел. (городское -109,7 млн, сельское - 39,0 млн).
Нетрудно подсчитать, что, даже учитывая наши весьма скромные потребности, резервы будут, и немалые, однако следует учесть громадный разброс компактных источников образования макулатуры на огромной территории нашей страны (1057 городов, 1857 районов, 2164 поселка городского типа), что осложняет ее заготовку и транспортировку к местам переработки. По данным экономистов США, перевозка макулатуры на расстояние свыше 600 км делает ее использование убыточ-д ным, несмотря на значительную разницу стоимости свежих и^ вторичных полуфабрикатов.
Таблица 4
| Страна Численность Потребление бумаги Собрано Кратность по отношению Процент населения, и картона на душу макула- к России тыс. чел. населения туры |
| всего, на 1 чел., всего, на 1 чел., потребление сбор ма- использо- регенера-млн т кг млн т кг бумаги и кар- кулатуры вания ции тона на душу на душу населения населения |
| Россия 148800 5,65 38,0 1,968 13,2 1 1 28,8 29,0 США 245415 77,0 313,7 25,7 104,8 8,3 7,9 24,5 31,0 ФРГ 60714 12,2 201,0 4,735 78,0 5,3 5,9 43,0 41,0 Япония 122424 25,0 204,0 12,0 98,0 5,4 7,4 50,0 48,0 Англия 56800 9,26 163 2,7 47,5 4,3 3,6 56,0 30,0 Италия 57 265 6,2 108 1,6 28 2,8 2,1 44,0 26,0 Китай 1096140 13,15 12,0 2,6 2,4 0,32 0,18 25,0 20,0 |
крайне примитивного состояния в процессе эксплуатации, т.к. многие узлы (пульсационные мельницы, очистители, сортировки) выходят из строя из-за недостаточной надежности и неправильной эксплуатации и выключены из потока. По оценкам специалистов, уровень техники и технологии подготовки макулатурной массы на большинстве предприятий отрасли отстает от мирового на 30 и более лет.
В нашей стране вообще никогда не рассматривался вопрос о самостоятельной программе научных исследований по переработке макулатуры. Ежегодные затраты на науку просто мизерны, например в ценах 1990 г. выделялось 300 - 500 тыс. руб. на отраслевой институт, включающий примерно 60 специалистов, работающих в этой области. Фундаментальные исследования вообще не проводились.
В настоящее время по Российской государственной научно-технической программе "Комплексное использование и воспроизводство древесного сырья" (1992 г. - 140 млн руб.) объем научных исследований, проводимых разрозненно коллективами трех институтов (ЦНИИБ, СПТИ, ЦБП, УЛТИ), также крайне мал и составляет менее 1% от общего финансирования программы.
Таков закономерный итог недостаточного внимания к вопросам развития научных исследований в нашей стране. Только в условиях крайнего дефицита целлюлозно-бумажной продукции, особенно бумаги, предприятия пока без труда находят рынок сбыта своей продукции, в композицию которой входит макулатурное волокно.
Вопрос о возможности резкого увеличения сбора макулатуры в стране в результате применения экономических или принудительно-правовых рычагов иногда дискутируется специалис-
Как видно из табл. 4, некоторые ресурсы, доступные для увеличения сбора, еще существуют и в настоящее время. Модернизация действующих потоков подготовки макулатурной массы позволит резко улучшить качество продукции и расширить ее ассортимент. А это весьма важно в условиях зарождающейся рыночной экономики и возможности выхода на внешний рынок.
Страны СНГ являются единственными в мире, где число марок макулатуры лишь 12. В различных странах собирают макулатуру по 15—40 маркам, т.е. тщательно сортируют еще на приемном пункте. При ограниченном числе марок рассортировать макулатуру для использования при выработке квалифицированных видов бумаги практически невозможно.
Широкое применение макулатуры в целлюлозно-бумажной промышленности требует, несомненно, капиталовложений, необходимых для обеспечения сбора, сортировки и главным образом облагораживания макулатуры. Однако эти капиталовложения будут примерно в три раза меньшими, чем на эквивалент-ное развитие лесозаготовок, а эффект применения в несколько раз выше.
Используя материалы публикаций отечественных специалистов, попытаемся выделить некоторые узловые вопросы, проблемы переработки макулатуры, пути их решения и перспективы практической реализации.
Ресурсы макулатуры и объемы ее переработки
Ресурсы макулатуры зависят, как уже отмечалось, от объема производства и потребления в стране бумаги и картона (с учетом их импорта и экспорта), уровня техники и технологии промышленности, потребляющей бумагу и картон К 1990 г. ее ре-
Ресурсы макулатуры в 1990 г. по регионам страны
ТаблицаS
| Регион Всего МС-1 МС-2 МС-3 МС-4 МС-5 МС-6 МС-7 МС-8 МС-9 МС-10 МС-11 МС-12 Труднопе-ресур- рерабаты-сов, ваемая тыс. т. |
Россия 1968,1 33,3 91,0 285,1 73,3 80,7 320,1 354,0 4,7 5,7 396,9 207,6 16,1 99,6 Северный 91,2 1,2 3,1 16,5 5,1 2,6 22,1 11,4 - 0,1 15,8 8,8 0,5 4,0
Западный 212,9 6,1 17,4 39,6 18,3 5,2 24,8 37,2 0,4 1,1 36,1 15,3 1,4 10,0 Центральный 547,8 14,8 42,2 15,9 34,5 16,3 116,6 98,0 3,3 3,0 108,3 52,5 6,4 36,0 Волго-Вятский 108,6 1,0 2,5 24,4 1,2 2,8 14,4 21,0 - 0,1 21,9 12,1 0,7 6,5 Центральночерноземный 77,5 0,5 1,2 13,2 1,1 6,0 11,6 13,8 - 0,1 16,7 9,0 0,7 3,6 Поволжский 195,1 3,2 8,3 35,3 2,0 9,8 32,3 34,7 - 0,6 34,6 23,8 1,5 9,0 Северо-Кавкаэский 158,8 1,0 2,5 30,7 2,3 5,2 21,4 27,3 0,6 0,2 38,8 20,5 1,3 7,0 Западносибирский 156,0 1,2 3,3 32,4 1,4 3,9 20,8 30,6 - 0,2 36,5 17,8 0,9 7,0 Уральский 240.7 2,7 7,3 43,7 4,4 19,9 23,7 50,1 0,2 0,3 51,1 27,1 1,2 9,0 Восточносибирский 90,7 1,1 2,1 15,6 0,8 4,9 16,7 14,7 0,1 - 18,2 11,4 0,6 4,5 Дальневосточный 88,8 0,5 1,1 17.8 2,2 4,1 15,7 15,2 0,1 - 18,9 9,3 0,9 3,0
|
^»сурсы ориентировочно составили 1968,1 тыс. т (табл. 5). На-'^^ибольшая доля ресурсов находится в Центральном регионе. На его долю приходится 27,8% всех ресурсов. Наименьшие ресурсы в Северном (4,6%), Восточно-Сибирском (4,6%), Дальневосточном (4,5%) регионах, что объясняется удаленностью их от центральной части, трудностью сбора, малой численностью населения. Наиболее массовыми марками макулатуры по всем районам являются МС-3, МС-6, МС-7, МС-10, МС-11. По Северному региону на долю этих марок приходится 3,8%, Центральному - 19,9%.
Потребление макулатуры в отдельных регионах страны зависит от размещения предприятий, перерабатывающих макулатуру. Часто объемы образования ресурсов и переработки макулатуры в регионе сильно отличаются, что влечет за собой дальние межрегиональные перевозки. Из общего количества перерабатываемой макулатуры 80% используется в производстве картона и только 20% в производстве бумаги.
Крупнейшими предприятиями, перерабатывающими свыше 100 тыс. т макулатуры, являются Санкт-Петербургская КФ, Алексинская КФ, Светлогорский ЦБК, Ступинская КФ; более 50 тыс. т перерабатывают Жидачовский ЦКЗ и Суоярвская КФ. Балахнинский ЦКК, Пермский ЦБК и др. перерабатывают от 20 до 50 тыс. т макулатуры, остальные предприятия имеют мощности по переработке макулатуры до 20 тыс. т. Переработкой Л| макулатуры и отходов собственного производства занято при-Т мерно 65 предприятий. Доля макулатуры в композиции сырья, используемого для производства бумаги и картона, составляет в нашей стране всего 17,7%, в то время как в ряде зарубежных стран она превышает 30% и продолжает расти.
Важнейшей на сегодня причиной недостаточного использования макулатуры является не столько низкое развитие целлю-лозно-бумажной промышленности, сколько крайне примитивный технический уровень применяемого оборудования. Комплексное обследование 55 предприятий, перерабатывающих макулатуру, показало, что 30 из них перерабатывают 90% макулатуры, а остальные только 10%.
Основные стадии переработки макулатуры это, как известно, измельчение, очистка, облагораживание, промывка и отбеливание. Размол макулатуры происходит при концентрации массы 12-15% и представляет собой лучший компромисс между бережной обработкой волокна и хорошей степенью провара. Инородные частицы, содержащиеся в макулатуре, задерживаются в сеточной сортировке гидроразбивателя и вымываются, а хорошая масса накапливается в бассейне. Флотация служит для удаления печатной краски. При использовании обесцвеченной макулатурной массы применяется диспергирование для размола и распределения остатков печатной краски, приставших к волокну и не поддающихся флотации, так, чтобы полотно стало оптически гомогенным. Другая, еще более важная причина применения размола - это диспергирование и мельчайшее распределение клеевых частиц, которые могут привести к образованию отложений на сетках, сукнах и поверхностях валов машины и к образованию отверстий в бумаге, что вызывает обрыв полотна.
По технологии применения макулатуры в композиции са-нитарно-бытовых видов бумаги уже имеется достаточный отечественный опыт. В 1989-1990 гг. ЦНИИБ совместно с ПО "Светогорск" освоил технологию производства крепированной бумаги массой 32 г/м и изделий на ее основе (рулончиков туалетной бумаги) из отходов сортирования целлюлозных производств названного предприятия (40-60%) и макулатуры (60-40%). Подготовка макулатурной массы в производстве туалетной бумаги в ПО "Светогорск" (рис. 1) предусматривает ее роспуск, размол, сортирование и очистку от грубых и мелких включений в аппаратах различных типов, термодисперсионную обработку в щелочной среде (РН - 8-9) при повышенной температуре (60-90° С) и концентрации (12-15%).
Технико-экономические показатели использования макулатуры
В нашей стране на целлюлозно-бумажных предприятиях выпус-
Схема подготовки макулатурной массы:
1 - барабанный гидроразбиватель "Файбер-Флоу"; 2; 7; 10; 14 — бассейны массы;
3 - песочница; 4 - очиститель высокой концентрации ОМ—02М; 5 — вибрационное сито СВ-01А; б- сортировка напорная СНС—05-50; 8— термодисперсионная установка; 9 - бассейн фильтрата; 11 -сортировка напорная СЦН—04-01; 12— вихревые очистители для тонкой очистки макулатурной массы фирмы "Валмет";

кается 48 видов марок бумаги и картона, содержащих в композиции от 10 до 100% макулатурного волокна. В основном это упаковочные виды бумаги и картона, на производство которых используется более 78% общего количества перерабатываемой макулатуры. Наибольший удельный вес в общем объеме потребления макулатуры занимает картон коробочный всех марок (42%), тарный для гладких слоев гофрокартона (19%), оберточная бумага всех видов (19%) и бумага пачечная двухслойная для упаковки папирос и сигарет. Если рассматривать использование макулатуры в композиции продукции, то наибольший удельный вес она занимает при производстве кровельного и чемоданного картона (77%), коробочного (74%), тарного (53%) При производстве бумаги наибольшая доля макулатуры в композиции волокна бумаги для контрольно-кассовых аппаратов (80%) и оберточных видов бумаги.
Цена на макулатуру и изделий из нее
Общий принцип построения цен как
суммы себестоимости и прибыли применяется при построении цен на макулатуру и продукцию из нее. Так, у населения и предприятий вне зависимости от качества макулатура покупается по 1000 руб./т, затем продается заготовительным предприятиям на 30-50% дороже, проходит там сортировку и первичную обработку и продается потребителям в 1,5 - 5 раз дороже в зависимости от марки.
Необходимо отметить, что показатели цен и затрат по всем стадиям переработки и потребления макулатуры различаются в зависимости от расстояния транспортировки макулатуры от пунктов сбора до заготовительных организаций и от них до бумажных фабрик, а также от марки макулатуры.
В целом экономическая ситуация с заготовкой и обработкой макулатуры вполне благоприятна. Тем не менее за последние годы цены на макулатуру выросли в 50 раз, и это не предел. Рост цен на макулатуру не может не вызвать дальнейшее повышение цен на бумагу и картон, а значит, на конечный продукт . книги и другие товары.
Подход к определению цен на макулатуру как вторичное сырье требует существенных изменений. Эти цены должны стимулировать сдатчиков, заготовителей и потребителей макулатуры. Кроме того, цены на макулатуру должны быть гибкими и отражать как спрос на нее, так и предложения, существующие в конкретный момент времени По-видимому, на дефицитные марки макулатуры (МС-4, МС-5, МС—6) заготовительные организации должны иметь право устанавливать более высокие цены. Таким образом, договорные цены позволят учесть конкретные особенности предприятий-потребителей и предприятий-поставщиков При этом варьирование цен не должно повышать среднюю цену тонны макулатуры Такая система позволит создать экономическую заинтересованность всех организаций, участвующих в сборе, заготовке и переработке макулатуры.
Эффективность использования макулатуры
62
Общий эффект от использования вторичного сырья представляет собой сумму экономического эффекта, образующегося у предприятий—изготовителей продукции из макулатуры, и предотвращенного ущерба, получаемого от снижения вредного воздействия газовых выбросов, твердых отходов и сточных вод z
на природную среду. Методика оценки этого эффекта разра-rботана ВНИПИЗИлеспромом
"
Расчеты эффективности использования макулатуры по конечной продукции доказали, что ее применение характеризует-о ся более высокими экономическими показателями, чем исполь-я эование для этих же целей первичного древесного сырья почти " для всех видов продукции. Увеличение удельного потребления к макулатуры до нормативного уровня без изменения качествен-а
ных параметров конечной продукции снижает затраты на производство тарного картона на 12,6%, а бумаги санитарно-гигаени-ческого назначения на 43,3%. Каждая тонна макулатуры, использованная в композиции тех видов бумажно-картонной продукции, где ее применение технологически целесообразно, приносила прибыль в размере от 52 до 350 руб. (в ценах 1990 г.) в зависимости от вида продукции.
Экологические аспекты использования макулатуры
В настоящее время на передний план выступают проблемы экологии. В США стоимость складирования отходов выросла на порядок за последнее десятилетие и стремительно продолжает увеличиваться. Для захоронения 1т отходов требуется 8-12м2
площади. Парламенты вынуждены издавать законы о принудительном сборе макулатуры и других отходов
Экологические мотивы выбора способа производства или исходного сырья более важны, чем экономические. Если экономический фактор является относительным, временным, действующим в данный непродолжительный период и не всегда отражает объективно действительную ценность продукта, на которой основываются расчеты эффективности создаваемого производства, то фактор экологический, по существу, является абсолютным. Так, если диоксин отрицательно действует на организм, то это действие, не зависит ни от экономических, ни от других причин и его влияние не меняется во времени. Поэтому при выборе технологии для производства продукции с одинаковыми свойствами предпочтение должно отдаваться более экологически безопасному процессу, а не экономически выгодному.
Производство целлюлозы всегда опаснее для водоемов, чем производство макулатурной массы. Стоки от производства макулатурной массы также содержат специфические загрязнения Особенно экологически неблагоприятен сток от установок фл<'(^ тационно облагороженной макулатуры, что обусловлено загряз-нениями исходных бумаги и картона, в которых содержатся остатки смол. водамина, мочевидно-формальдегидной, — а также поверхностно-активных веществ и других химикатов, используемых для проклейки в массе и на поверхности, повышения удержания волокна и каолина и других целей, связанных с приданием продукции необходимых потребительских свойств. Удаление из макулатуры типографской краски связано, так же как и при отбелке ТММ или ХТММ, с попаданием в стоки остатков различных химикатов, имеющих высокие ПДК Из анализа специфики выбросов в атмосферу видно, что производство целлюлозы экологически более опасно, чем производство механической или макулатурной массы. В процессе обесцвечивания макулатуры дополнительно образуется 80-85 кг/т шлама, содержащего остатки типографской краски, мелкое волокно и наполнитель Причем флотационные шламы содержат тяжелые металлы, которые при определенных концентрациях делают эти отходы высокотоксичными.
Таким образом, при выборе способа использования макулатуры необходим тщательный анализ всех факторов, характерных для данного региона, процесса или вида продукции, учитывая интересы производителя, потребителя и народного хозяйства в целом. Окончательное решение должно базироваться только на объективных всесторонних расчетах ^_
По потреблению свежей воды целлюлозно-бумажное производство занимает 6-е место среди отраслей промышленности Удельное потребление на 1 т продукции (суммарно - целлюлозы, древесной массы, бумаги и картона) составляет 163 м3
, из которых значительная доля приходится на производство волокнистых полуфабрикатов. Заметный вклад в снижение водо-потребления и загрязнения сточных вод вносит использование макулатуры. Уже в настоящее время на Суоярвской и Ступинской КФ удельное потребление свежей воды составляет от 5 до 18 мЭ/т. Перспективна возможность перевода ряда макулату-роперерабатывающих предприятий на замкнутую систему водопользования и утилизации твердых отходов. В настоящее время прототипом такого предприятия может служить Суоярвская картонная фабрика, которая вырабатывает коробочный картон при удельном водопотреблении около 5м3
/т
В процессе переработки макулатуры и при очистке сточных вод образуется значительно меньшее количество осадков, требующих дальнейшей утилизации, чем при использовании первичного сырья. Так, удельный экономический эффект от снижения количества осадков составит 5,1 руб/т (в ценах 1990 г), а при пересчете на весь объем перерабатываемой макулатуры -16 млн руб
Общее количество потерь при переработке макулатуры составляет 15-17%, из них около 5% (крупные отходы - проволока, металлические предметы, камни, резина и т.д ) из гидро-разбивателей вывозится в отвал, а остальное (скоп — мелкое волокно вместе с наполнителем) может и должно быть использовано, так как его общее количество при условии захоронения составляет около 300 тыс. т. Поэтому практически на каждом перерабатывающем макулатуру предприятии должны быть запроектированы цехи по выработке продукции (плит) из скопа. Существуют также технологические решения по удержанию мелкого волокна на формирующих цилиндрах, что позволит сократить образование скопа на 30-40%.
Величина общего экономического эффекта использования макулатуры в народном хозяйстве в 1990 г. составила 211,5 млн руб. (в ценах 1990 г.).
Экономико-организационные аспекты заготовки и использования макулатуры
Переработка бумаги и картона, сделанных из макулатуры вместо аналогичной продукции из свежего волокна, всеща связана с дополнительными издержками потребителя. Например, при печати на бумаге, содержащей макулатуру, может снижаться скорость печатных машин из-за ее повышенной пылимости или пониженной прочности. Использование макулатурного коробочного картона приводит к увеличению отбраковки при расфасовке и упаковке продуктов на автоматах и снижению их производительности. Производство гофрированной тары из картона — ""'^^^стлайнера — также связано со снижением скорости перерабатывающего оборудования. Кроме того, получающийся ящик менее прочен и долговечен, что также вызывает определенные потери и сложности в процессе его использования.
При всех достоинствах макулатуры как волокнистого материала нельзя ее переоценивать. Следует учитывать своеобразный процесс "старения" макулатуры. Макулатура повторного использования резко уступает по качеству свежей макулатуре.
Каковы же экономико-организационные причины неудовлетворительного положения с использованием макулатуры в отрасли?
1. Структура использования макулатуры несовершенна, а значительные потенциальные возможности наращивания объемов ее переработки используются далеко не полностью.
2. Низкое качество макулатуры, поставляемой заготовительными организациями, ее качественная неоднородность при отсутствии адекватных экономических санкций со стороны потребителя.
3. Сезонная зависимость бытовых сборов макулатуры, высокая степень загрязненности, полимеризованности печатных красок, требующая специальной обработки.
4 Дефицит тех марок, которые необходимы для изготовления тарного картона, бумаги пачечной и оберточно-упаковочной. JBk 5. Ограниченность возможностей потребителя по исполь-Узованию продукции с максимальным содержанием макулатуры.
6. Жесткая система цен на макулатуру, не реагирующая на изменения спроса на отдельные марки макулатуры.
7. Несоответствие соотношений цен отдельных марок макулатуры между собой и видам первичного сырья.
8. Слаборазвитая сеть заготовительных пунктов, их низкая техническая оснащенность и культура обслуживания, низкие и недифференцированные закупочные цены на макулатуру.
9. Наличие посредника между крупными компактными источниками макулатуры и предприятиями-потребителями, приводящее к излишним перевозкам и возможности срыва поставок.
Если учитывать все расходы на облагораживание и подготовку макулатуры, то повторное ее использование не всегда будет значительно дешевле использования первичного волокна.
Необходимо еще раз подчеркнуть, что одна из проблем, с которой приходится сталкиваться при утилизации макулатуры, - высокие транспортные расходы. Так, оплата транспортировки макулатуры по железной дороге равна оплате перевозки полученной газетной бумаги. В связи с этим большинство фабрик, работающих на макулатурном сырье, располагаются в густонаселенных городских районах, где имеются большие количества легкодоступной макулатуры. Кроме того, необходим переход на прямые хозяйственные связи с крупными полиграф-комбинатами.
В связи с тем что в стране имеется в избытке низкокачественная макулатура и практически не используется весь
объем отходов бумаги с покрытиями (ламинированной, фоль-гированной, битумированной, парафинированной), целесообразна переработка макулатуры в нетрадиционных направлениях:
в производстве тепло- и звукоизоляционных материалов; декоративных облицовочных материалов; в производстве топлива, спирта и продуктов гидролиза макулатуры; кормовых дрожжей, листового и формованного материала для семян,, рассады; элементов упаковочной и формованной тары. Около 300 тыс. т низкокачественной макулатуры без значительных капитальных вложений может быть использовано в производстве твердых и мягких древесноволокнистых плит в количестве 15 и 30% соответственно.
Выводы
1. При правильной организации производства, соответствующем техническом оснащении и обоснованном уровне цен на исходное сырье использование макулатуры в продукции, если это не нарушает ее потребительских свойств, теоретически всегда должно быть рентабельнее, чем использование свежего волокна. Затраты на подготовку макулатурной массы ниже в 2—3 раза, чем на производство древесной массы, в 3,2 раза чем на производство полуцеллюлозы и в 6 раз - чем на производство це-люлозы. Вместе с тем стоимость сырья и материалов при производстве макулатурной массы составляет 86,9%, древесной массы - 69,6, полуцеллюлозы - 64,3, а целлюлозы - 58% от общей себестоимости полуфабриката.
2. Организация заготовки древесины требует значительных и постоянных эксплуатационных затрат, необходимых для строительства лесовозных дорог, лесозаготовительных и лесовос-становительных хозяйств, соответствующей техники. Затраты на сбор, первичную обработку и доставку макулатуры к местам потребления значительно ниже по сравнению с этими же операциями при использовании древесины,
3. Для широкого применения макулатуры в ЦБП страны есть все основания. Это один из резервов, необходимых для перераспределения инвестиций, что позволит с существенным экономическим эффектом увеличить более чем в 2 раза долю использования макулатуры в общем объеме перерабатываемых волокнистых полуфабрикатов, при этом загрязнение воздуха сокращается на 73%, воды - на 40, твердых отходов - на 39%, сберегается древесина.
4. Об экономической эффективности применения макулатурной массы для изготовления бумаги и картона свидетельствуют следующие данные. Средняя цена за 1 т макулатуры в 2,5 - 3 раза ниже, чем целлюлозы, и на 25 - 30% ниже древесной массы. При этом не учтены сопряженные расходы на заготовку и транспортировку древесины в пересчете на 1 т макулатурной массы. Удельные капиталовложения в производство на основе макулатуры в 2—3 раза ниже, чем на базе соответствующих свежих полуфабрикатов.
5. В масштабах страны с учетом объемов и размещения ресурсов макулатуры, состояния транспорта, энергообеспечения, экологических требований, мощностей строительных организаций и возможностей машиностроения мощность типового предприятия 5 тыс. т бумаги или 10 тыс. т картона в год. Потребное число таких предприятий для переработки макулатуры в настоящее время — 80—100 и должно, безусловно, расти.
Используемая литература
1. Целлюлоза, бумага, картон. Специальное приложение. М., 47, сентябрь 1992 г., с. 37, 44.
2. Pulp and paper. 1990, № 3, p. 198-200; № 4, р. 29-31.
3. Tappi. 1986, 69, № 5, р. 9, 143
4. Pulp and paper. 1989, №11, р. 69-74.
5. Потребление макулатуры в США. Экспресо-информ : Заруб. опыт (Экономика и управление, вып. 5). М., ВНИПИЗИлес-пром, 1989, с. 9-11.
6. Бумажная промышленность, 8—9, 1991, с. 4
7. Бумажная промышленность, 6-7, 1991, с. 29.
8. Информ. сб. Передовой произв. опыт М., ВНИПИЗИлес-пром, 1989 (Целлюлоза, бумага, картон, вып. 17)
9. Экономика использования вторичных древесных ресурсов. М Лесная пром., 1990.
|