| МОСКОВСКАЯ ФИНАНСОВО – ЮРИДИЧЕСКАЯ АКАДЕМИЯ
ЯРОСЛАВСКИЙ ФИЛИАЛ
И.В. Будний
КОНЦЕПЦИИ СОВРЕМЕННОГО ЕСТЕСТВОЗНАНИЯ
Учебно – методическое пособие
Ярославль 2009
И.В. Будний
Концепции современного естествознания: Учебно-методическое пособие. – Ярославль, «Ремдер», 2009.-
В соответствии с Государственным образовательным стандартом в учебные планы гуманитарных и экономических специальностей с недавнего времени введена новая общеобразовательная дисциплина «Концепции современного естествознания».
Методические указания предназначены для студентов заочной формы обучения и студентов, использующих при обучении дистанционные технологии. Они содержат программу лекционного курса, планы семинарских занятий, вопросы для экзамена (зачета), примерную тематику контрольных работ, перечень вопросов для тестирования, словарь наиболее употребительных терминов, список рекомендуемой литературы, включая электронные ресурсы.
При изучении курса рекомендуется в первую очередь работать с учебниками и учебными пособиями, выделенными курсивом в списке рекомендуемой литературы. Особое внимание следует уделить электронным учебникам и пособиям, которые содержат не только информативный материал по курсу, но также упражнения и тесты для самопроверки знаний.
Будний И.В.
кандидат химических наук, доцент
Ó Будний И.В., 2009
СОДЕРЖАНИЕ
1.ВВЕДЕНИЕ.. Ошибка! Закладка не определена.
2.Наука
и научный метод……………………………………………………………………………6
3
. ПЕРИОДЫ И ЭТАПЫ ИСТОРИИ ЕСТЕСТВОЗНАНИЯ…………………………………………….9
4. ПРИНЦИПИАЛЬНЫЕ ОСОБЕННОСТИ СОВРЕМЕННОЙ ЕСТЕСТВЕННОНАУЧНОЙ
КАРТИНЫ МИРА……………………………………………………………………………………………12
5
. СТРУКТУРНЫЕ УРОВНИ ОРГАНИЗАЦИИ МАТЕРИИ………………………………………… 15
6. ПРОСТРАНСТВО И ВРЕМЯ В СОВРЕМЕННОЙ НАУЧНОЙ КАРТИНЕ МИРА……………...28
7
. ХИМИЯ И ЕЕ РОЛЬ В РАЗВИТИИЕСТЕСТВЕННОНАУЧНЫХ ЗНАНИЙ…………………....34
8. ОСОБЕННОСТИ БИОЛОГИЧЕСКОГО УРОВНЯ ОРГАНИЗАЦИИ МАТЕРИИ………………44
9. ЧЕЛОВЕК, БИОСФЕРА И КОСМИЧЕСКИЕ ЦИКЛЫ………………………………………………50
10.ТЕМЫ СЕМИНАРОВ…………………………………………………………………………………… .55
11.ВОПРОСЫ К ЭКЗАМЕНУ (ЗАЧЕТУ)…………………………………………………………………..56
12. ТЕМЫ КОНТРОЛЬНЫХ РАБОТ………………………………………………………………………57
13. ПЕРЕЧЕНЬ ВОПРОСОВ ДЛЯ ТЕСТИРОВАНИЯ…………………………………………………..58
14.
ГЛОССАРИЙ………………………………………………………………………………………………60
Забиваем Сайты В ТОП КУВАЛДОЙ - Уникальные возможности от SeoHammer
Каждая ссылка анализируется по трем пакетам оценки: SEO, Трафик и SMM.
SeoHammer делает продвижение сайта прозрачным и простым занятием.
Ссылки, вечные ссылки, статьи, упоминания, пресс-релизы - используйте по максимуму потенциал SeoHammer для продвижения вашего сайта.
Что умеет делать SeoHammer
— Продвижение в один клик, интеллектуальный подбор запросов, покупка самых лучших ссылок с высокой степенью качества у лучших бирж ссылок.
— Регулярная проверка качества ссылок по более чем 100 показателям и ежедневный пересчет показателей качества проекта.
— Все известные форматы ссылок: арендные ссылки, вечные ссылки, публикации (упоминания, мнения, отзывы, статьи, пресс-релизы).
— SeoHammer покажет, где рост или падение, а также запросы, на которые нужно обратить внимание.
SeoHammer еще предоставляет технологию Буст, она ускоряет продвижение в десятки раз,
а первые результаты появляются уже в течение первых 7 дней.
Зарегистрироваться и Начать продвижение
15. СПИСОК РЕКОМЕНДУЕМОЙ ЛИТЕРАТУРЫ
……………………………………………………..69
ВВЕДЕНИЕ
Главная цель данного курса - ознакомление с современной естественнонаучной картиной мира, усвоение, пусть даже в общем виде, основных принципов и методов исследования, применяемых в современном естествознании. Это дает возможность формировать у будущих специалистов естественнонаучный способ мышления, целостное мировоззрение, что поможет лучше овладеть собственной профессией.
Актуальность курса КСЕ обусловлена еще и тем, что в последнее время в нашей стране получают все большее распространение различного рода ненаучные виды знания, такие, например, как астрология, магия, эзотерические, мистические и т.п. учения. Постепенно, но достаточно определенно, они вытесняют на периферию общественного сознания естественнонаучную картину мира, основанную на рациональных способах его объяснения. Поэтому сегодня, как никогда ранее, важно утверждение естественнонаучного знания в обществе. Речь идет об усвоении основных концепций в области физики, химии, биологии и других естественных наук, получении представлений о важнейших школах, и направлениях в развитии современного естествознания.
1. ПРЕДМЕТ И ЦЕЛИ ЕСТЕСТВОЗНАНИЯ
«Нельзя объять необъятное», - иронично предостерегает Козьма Прутков всякого, кто пытается решить много проблем и сразу. Задача современного естествознания глобальна – объять разумом бесконечный мир и построить единую картину мира. Эту задачу пытались решить с давних пор. Содержание предмета естествознания со временем менялось, хотя объект его – Природа – оставался неизменным.
Слово “естествознание” представляет собой сочетание двух
слов – “естество” (природа) и “знание”.
Предмет естествознания – различные формы движения материи в природе и их материальные носители, образующие лестницу последовательных уровней организации материи; их взаимосвязь и внутренняя структура; основные формы всякого бытия – пространство и время; закономерная связь явлений природы.
Цели естествознания двоякие: 1) находить сущность явлений природы, их законы и на этой основе предвидеть или создавать новые явления и 2) раскрывать возможность использования на практике познанных законов, сил и веществ Природы. Можно сказать: познание истины (законов природы) - непосредственная или ближайшая цель естествознания, содействие их практическому использованию – конечная цель естествознания. Цели естествознания совпадают, таким образом, с целями самой человеческой деятельности.
Сервис онлайн-записи на собственном Telegram-боте
Попробуйте сервис онлайн-записи VisitTime на основе вашего собственного Telegram-бота:
— Разгрузит мастера, специалиста или компанию;
— Позволит гибко управлять расписанием и загрузкой;
— Разошлет оповещения о новых услугах или акциях;
— Позволит принять оплату на карту/кошелек/счет;
— Позволит записываться на групповые и персональные посещения;
— Поможет получить от клиента отзывы о визите к вам;
— Включает в себя сервис чаевых.
Для новых пользователей первый месяц бесплатно.
Зарегистрироваться в сервисе
Естествознание, опираясь на конкретные естественные науки (в первую очередь физику, химию, биологию и астрономию), в то же время не является совокупностью отдельных дисциплин, в отличие от специальных наук оно исследует Природу как единое целое.
2. НАУКА И НАУЧНЫЙ МЕТОД
2.1 Наука как процесс познания
В общем понимании наука — это система сознания и деятельности людей, направленная на достижение объективно-истинных знаний и систематизацию доступной человеку и обществу информации. Знания должны допускать доказательство и эмпирическую проверку.
Современная наука охватывает огромную область знаний — около 15000 дисциплин, которые в различной степени отдалены друг от друга. В XX в. научная информация за 10—15 лет удваивается. Более 90% всех важнейших достижений научно-технического уровня приходится на XX в. Сегодня можно утверждать, что наука коренным образом изменила жизнь человечества и окружающей его природы. По мнению ряда ученых, в том числе академика В.И. Вернадского, началась новая эра Земли. Формируется ноосфера — оболочка Земли, преобразующаяся на основе науки в положительно значимое для человека и живого вещества состояние.
Вводя понятие «ноосфера», В.И.Вернадский поставил в неразрывную взаимосвязь две основные планетарные силы: живое вещество (как совокупность всех живых организмов) и разум человечества. Ноосфера в учении В.И.Вернадского это биосфера, преобразованная человеческой мыслью и трудом в качественно новое состояние, в котором разумная человеческая деятельность становится определяющим фактором динамики общества.
Наука изучает только те явления, которые повторяются, и потому ее главная задача - искать законы их существования. За 2,5 тыс. лет своего существования наука превратилась в сложное, системно организованное образование с четко просматриваемой структурой. Основными элементами научного знания являются:
- твердо установленные факты;
- закономерности, обобщающие группы фактов;
- теории, как правило, представляющие собой знания системы закономерностей, в совокупности описывающих некий фрагмент реальности;
- научные картины мира, рисующие обобщенные образы реальности, в которых сведены в некое системное единство все теории, допускающие взаимное согласование.
В естествознании можно выделить три формы (стороны) научного познания: 1) эмпирическую, 2) теоретическую и 3) производственно-прикладную.
Эмпирическая сторона предполагает необходимость сбора фактов и информации, а также их описание (изложение фактов и их первичная систематизация).
Теоретическая сторона связана с объяснением, обобщением созданием новых теорий, выдвижением гипотез, открытием новых законов, предсказанием новых фактов в рамках этих теорий.
Производственно-практическая сторона естествознания проявляет себя как непосредственно производительная сила общества. Современная научно-техническая революция показывает, что естествознание прокладывает пути для развития техники.
В XVII в., в эпоху зарождения классического естествознания, Ф. Бэкон и Р.Декарт сформулировали две разнонаправленные методологические программы развития науки: эмпирическую (индукционистскую) и рационалистическую (дедукционистскую).
Под индукцией принято понимать такой способ рассуждения, при котором общий вывод делается на основе обобщения частных посылок. Проще говоря, это движение познания от частного к общему. Движение в противоположном направлении, от общего к частному, получило название дедукции.
Традиционная модель строения научного понимания предполагает движение по цепочке: установление эмпирических фактов - первичное эмпирическое обобщение - обнаружение отклоняющихся от правила фактов - изобретение теоретической гипотезы с новой схемой объяснения - логический вывод (дедукция) из гипотезы всех наблюдаемых фактов, что и является ее проверкой на истинность. Подтверждение гипотезы конституирует ее в теоретический закон. Подобная модель научного знания называется гипотетико-дедуктивной. Считается, что большая часть современного научного знания построена именно таким способом.
2.2 Критерии истинности в науке
Принято считать, что научную истину можно установить логически. Рассмотрим три примера логических рассуждений. Вот первое, оно родилось в древности: критянин Эпименид сказал: «Все критяне лжецы!». Но Эпименид сам критянин, следовательно он тоже лгун. Но если Эпименид лгун, тогда его заявление, что все критяне лгуны, - ложно, так как Эпименид – критянин, следовательно, он не лгун, и поэтому его утверждение «Все критяне лжецы» - истинно. Таким образом, мы, ни разу не нарушив строгость логики, пришли к двум взаимоисключающим положениям – парадоксу: Эпименид одновременно лжет и не лжет.
А теперь другой пример из студенческого фольклора:
Чем больше учишься, тем больше знаешь,
Чем больше знаешь, тем больше забываешь,
А чем больше забываешь, тем меньше знаешь,
А чем меньше знаешь, тем меньше забываешь,
Но чем меньше забываешь, тем больше знаешь.
Следовательно, чем меньше учишься, тем больше знаешь,
И вообще, для чего учиться, когда и так все знаешь.
Здесь, не нарушая законов формальной логики, пришли уже к одному, но неверному положению. К такому неверному выводу привели две ложные логические посылки, заключенные во второй и шестой строфах примера.
Оказывается, добыть истину только логическим путем сложно, а иногда вообще невозможно. Первый парадокс решают до сих пор.
А вот второй пример – это не парадокс, а софизм. Софизм – это такое логическое построение аргументов в споре и доказательствах, в котором рассуждение намеренно направлено по заведомо ложному пути. То есть в софизме ошибочное рассуждение принимается за истинное.
Рассмотрим третий логический пример – рассуждение Аристотеля о причинах движения тел. Стрела, сходящая с тетивы лука, сначала движется под действием тетивы, вытесняя при этом воздух со своего положенного места. Когда же стрела освобождается от тетивы, воздух, возвращаясь на свое место, вытесняет с этого места уже стрелу и так далее – стрела движется.
Рассуждения Аристотеля сводятся к следующей схеме:
Движение возникает от взаимодействия тел
Воздух вытесняет стрелу со своего места
Вывод: движение без среды невозможно, а значит, «природа не терпит пустоты».
Такая логическая схема, в которой из двух связанных категорических суждений рождается третье, называемого выводом, является силлогизмом.
Задание
Определите, к какому типу логических утверждений относится: «Вор не желает приобрести ничего дурного. Приобретение хорошего – есть дело хорошее. Следовательно, вор желает хорошего».
Теперь понятно, что научная истина может прятаться за логикой рассуждений. Утверждение, построенное на основе софизма, не только не является истиной, но способно и погубить ее. Аналогично истину можно утерять и в силлогизмах.
Аристотелева боязнь пустоты продержалась в науке до конца XIX века и отрицала существование атомов Демокрита – атомы имеют границы, а между границы появились бы пустоты. Отсюда ложное понятие эфира – субстанции без цвета и запаха, способной проникать во все тела и служить средой распространения, например, электромагнитных волн.
Итак, роль софизмов в познании – отрицательна, разве что оттачивают логический формализм. Какова же роль парадоксов?
Без возникновения парадокса невозможно движение науки вперед. Все новое в науке – парадоксально с точки зрения устоявшихся понятий и воззрений. С позиций понятного и принятого обществом все новое кажется нелепым, противоестественным. Разве не такой казалась идея о вращении Земли вокруг собственной оси и вокруг Солнца?
Новое кажется парадоксальным, и чем сложнее разрешаемый парадокс, тем фундаментальнее потом оказывается теория, разрешившая его.
Вот примеры парадоксальных утверждений из которых выросли новые теории:
«Тяжелые предметы падают не быстрее легких» - эксперимент Галилея привел Ньютона созданию классической механики.
«Тепло есть движение» - создание молекулярной физики, термодинамики.
«Малярия вызывается комарами» - разрешен механизм возникновения эпидемий.
Даже в математике есть парадоксы. Говорят даже: «величайший парадокс состоит в том, что в математике есть парадоксы». Один из них - о несоразмерности величин. Длина диагонали квадрата не может быть выражена никаким рациональным числом, она кратна Ö2 от стороны квадрата. Аналогично и отношение длины окружности к ее диаметру выражается числом p. Известно, что Ö2 и число p - иррациональные (бессмысленные) числа (бесконечная десятичная дробь). Вот так парадокс о несоразмерности величин привел рождению нового класса чисел – иррациональных.
Когда ученые перестали избегать парадоксов и даже появилась такая теорема: «Если нормальная теория непротиворечива, то она не полна» (К.Гедель).
Исходя из этой теоремы, на смену ньютоновской механике как полной, замкнутой теории, не содержащей парадоксов, должна была прийти новая более открытая теория, какой и явилась теория относительности. Эта теория еще изобилует парадоксами, поэтому следует ожидать, что она просуществует еще долгое время.
Никакая теория, гипотеза не может существовать вечно. Еще в XIX веке, веке великих открытий в науках, казалось, что все создается на века. Мир выступал как кем то отлаженный механизм, в котором все процессы, явления подчиняются несложным уравнениям. Все казалось открытым, все парадоксы – разрешенными.
Пример: Макс Планк в 1879 году планировал свое научное будущее.
Пример: физик В.Томсон в 1900 году говорил о приближении физики к своему завершению: «Красота и ясность динамической теории тускнеет из-за двух туч» - не удавалось теоретически описать спектры излучения тел и непонятное упорство проявлял свет – его скорость почему-то не хотела складываться со скоростью источника.
Вот эти две «небольшие тучки» и взорвали всю физику, выстроенную от Галилея до Максвелла, взорвали 300-летнюю науку. Выяснилось, что здание классической физики построено без должного фундамента. Этот фундамент, сложенный на абсолютности пространства и времени, на строжайшей причинности любых событий, рушился. Абсолютность пространства и времени разрушалась принципами теории относительности, а строжайшая причинность – квантовым принципом излучения тел. Но только на этих новых принципах можно было объяснить поведение света и спектры излучения тел.
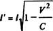
ХХ век стал хорошей школой в понимании недолговечности научных истин. Научная истина – идеал познания, горизонт, к которому можно только стремиться, но невозможно достичь. Так, например, стало с механикой Ньютона – она является частным случаем теории относительности, реализуемых для медленно (V<<300000 км/cек) движущихся тел.
ХХ век выявил парадокс в самом процессе познания. Если в ХIХ веке из единой некогда науки стали формироваться самостоятельные дисциплины, то в конце ХХ века эти науки оказались вынуждены взаимодействовать. Биология, например, решая проблемы жизненных процессов на клеточном уровне, не может обойтись без физики и химии.
Постепенно взаимное проникновение наук становиться необходимым для изучения мира как единого целого.
3. ПЕРИОДЫ И ЭТАПЫ ИСТОРИИ ЕСТЕСТВОЗНАНИЯ
Главное назначение научной деятельности — получение знаний о реальности. Человечество накапливает их уже давно. Однако большая часть современного знания получена всего лишь за два последних столетия. В историческом масштабе наука — сравнительно молодое социальное образование. Ей не более 2,5 тыс. лет. И хотя вопрос о точной дате рождения науки, как было уже отмечено, является дискуссионным, все же достаточно определенную границу между наукой и “преднаукой” провести можно.
Европейской родиной науки считается Древняя Греция. Древнегреческие мудрецы не просто собирали и накапливали факты, суждения, откровения или высказывали новые предположения, они начали их доказывать, аргументировать, т.е. логически выводить одно знание из другого, тем самым, придавая им систематичность, упорядоченность и согласованность. Причем была выработана не только привычка к доказательству, но проанализирован и сам процесс доказывания, создана теория доказательств — логика Аристотеля. Иными словами, был определен метод наведения порядка в хаотичном прежде мире разнообразных опытных знаний, рецептов, решений и т.д.
Античная наука за очень короткий исторический срок создала замечательные математические теории (Евклид), космологические модели (Аристарх Самосский), сформулировала идеи целого ряда будущих наук — физики, биологии и т. д.
История естествознания состоит в неразрывной связи с историей всего общества. Каждому уровню и типу развития производительных сил, техники отвечает своеобразный период в истории естествознания.
Первый – подготовительный, натурфилософский (зарождение элементов будущего естествознания) характерен для древности. В целом техника была еще слабо развита, хотя имелись уже отдельные выдающиеся достижения. Начали складываться в самостоятельные отрасли знания статистика и астрономия, и обслуживающая их математика. Позднее стала выделяться химия (в форме алхимии). Анатомия, медицина, физика находились в зачаточном состоянии. Все естественные и научные знания входили в единую недифференцированную науку, находившуюся под эгидой философии.
Об атомизме Левкиппа-Демокрита (
V
век до н.э.) нобелевский лауреат, физик середины ХХ века Р.Фейнман: «Если бы в результате какой-то мировой катастрофы все накопленные научные знания оказались бы уничтоженными и к грядущим поколениям перешла только одна фраза, то какое утверждение, составленное из наименьшего числа слов, принесло бы наибольшую информацию? Я считаю, что это
атомная гипотеза
. Все тела состоят из атомов – маленьких телец, которые находятся в беспрерывном движении, притягиваются на небольшом расстоянии, но отталкиваются, если одно из них плотнее прижать к другому. В одной этой фразе содержится невероятное количество информации о мире, стоит только приложить к ней немного воображения.
Второй подготовительный период характеризуется господством схоластики и теологии в Западной Европе и спорадическими открытиями у арабоязычных народов. Наука на Западе стала придатком теологии (астрология, алхимия, магия и др.). Прогресс техники на Западе совершался очень медленно. Техника почти не нуждалась в систематическом познании природы, а потому не оказывала заметного влияния на развитие естественнонаучных знаний. Но и в это время, хотя и медленно, шло накопление новых фактов, подготовивших переход к следующему периоду, В целом это была переходная полоса между первой и второй фазами общего хода естествознания.
Переход механического и метафизического естествознания, начавшийся с возникновения естествознания как систематической экспериментальной науки в эпоху Возрождения, отвечает времени установления и утверждения капиталистических отношений в Западной Европе (со второй половины 15 века до конца 18 века). Естествознание этого периода революционно по своим тенденциям. Здесь выделяется естествознание начала 17 века (формирование механического естествознания – Г.Галлилей) и конца 17 века – начала 18 века (завершение этого процесса – И.Ньютон). Естествознание было механическим, поскольку ко всем процессам природы прилагался исключительно масштаб механики. Но уже создание в 17-18 вв. в математике анализа бесконечно малых величин (И.Ньютон, Г.Лейбниц) и аналитической геометрии (Р.Декарт), космогоническая гипотеза Канта-Лапласа, атомно-кинетическое учение М.В.Ломоносова, идея развития в биологии К.Вольфа подготовили крушение метафизического взгляда на природу (метафизика
«после физики» - философское учение о сверх чувствительных, недоступных опыту основах бытия).
Для создателей классической механики ее законы совпадали с законами мышления. Образ устойчивого мира, связанный с детерминизмом
механики, вплоть до ХХ века являлся идеалом теоретической физики и всей науки.
Детерминизм – философская концепция, признающая объективную закономерность и причинную обусловленность всех явлений природы и общества.
Велика роль закона всемирного тяготения в становлении идеи единства материального мира. Кроме понятия материальной точки возникли представления о колебаниях и волнах, которые стали основой для использования дискретного и непрерывного
описаний.
Период открытия всеобщей связи и утверждения эволюционных идей в естествознании характеризуется стихийным проникновением диалектики в естествознание, так что его можно назвать стихийно-диалектическим. Промышленность вступает в фазу крупного машинного производства, начавшегося в конце 18 века – технический и промышленный переворот. Энергетической базой промышленности становится паровой двигатель, и преимущественное развитие механики перестает удовлетворять потребности производства. На первый план выдвигаются физика и химия, изучающие взаимопревращения форм энергии и видов вещества (химическая атомистика). В геологии возникает теория медленного развития Земли (Ч.Лайель), в биологии зарождается эволюционная теория (Ж.Ламарк), палеонтология (Ж.Кювье), эмбриология (К.М.Бэр).
Три великих открытия (вторая треть 19 века) – клеточная теория, учение о превращении энергии и дарвинизм – нанесли окончательный удар по старой метафизике. Затем последовали открытия, раскрывающие диалектику природы полнее: создание теории строения органических веществ (А.М.Бутлеров, 1861 г), периодического закона и периодической системы элементов (Д.И.Менделеев, 1869 г), химической термодинамики (Я.Х.Вант-Гофф, Дж.Гиббс), основ научной физиологии (И.М.Сеченов, 1863 г), электромагнитной теории света (Дж. К.Максвелл,1873 г).
Период “новейшей революции” в естествознании совпал с вступлением капитализма в стадию империализма. В ХХ веке форсируется, прежде всего, развитие физики (атомная энергетика, радиолокация, радиоэлектроника, средства связи, автоматика и кибернетика, квантовая электроника и т.д.). Главной задачей химии становится синтез полимеров, особенно играющих роль стратегического сырья (каучук, искусственное волокно), получение синтетического топлива, легких сплавов и заменителей металлов для авиации и космонавтики. Энергетической базой промышленности в начале 20 века становится все больше электричество, химическая энергия, а после окончания 2-й мировой войны и атомная энергия.
Стимулирующее воздействие на естествознание новых потребностей техники привело к тому, что в середине 90-х годов 19 века началась “новейшая революция” в естествознании, главным образом в физике, а также в химии и биологии. В 1913-1921 гг. на основе представлений об атомном ядре, электронах и квантах Н.Бор создает модель атома, разработка которой ведется соответственно периодической системе элементов Д.И.Менделеева. Это первый этап революции в физике и во всем естествознании. Он сопровождается нарушением первых представлений о материи и ее строении, свойствах, формах движения и типах закономерностей, о пространстве и времени. Это привело к кризису физики всего естествознания в целом и вызвало основное противоречие естествознания данного периода. Второй этап революции в естествознании начался в середине 20-х годов 20 века в связи созданием квантовой механики и сочетанием ее с теорией относительности в общую квантово-релятивистскую концепцию.
Началом третьего этапа в естествознании было первое овладение атомной энергией в результате открытия явления деления ядра (1939 г) и последующих исследований (1940-1945 гг.), с которыми связано зарождение электронно-вычислительных машин и кибернетики. Полное развитие он получил в середине 20 века. Его особенностью является то, что наряду с физикой теперь лидирует в естествознании целая группа отраслей естествознания: биология (особенно генетика, молекулярная биология) химия (особенно макрохимия, химия полимеров), а также науки, смежные с естествознанием – космонавтика, кибернетика. Если в начале 20 века физические открытия развивались самостоятельно, то с середины 20 века революция в естествознании органически слилась с революцией в технике, приведя к современной научно-технической революции.
Четко и однозначно фиксируемых радикальных смен научных картин мира, или научных революций, в истории развития науки вообще и естествознания в частности можно выделить три. Если их персонифицировать по именам ученых, сыгравших в этих событиях наиболее заметную роль, то три глобальные научные революции должны именоваться: аристотелевской, ньютоновской и эйнштейновской.
В VI—IV в.в. до н.э. произошла первая революция, в познании мира в результате которой и появилась на свет наука. Исторический смысл этой революции заключается в том, что науку стали отличать от других форм познания и освоения мира, а также в создании определенных норм и образцов построения научного знания. Наиболее ясно наука была осознана в трудах великого древнегреческого философа Аристотеля. Он создал формальную логику, т.е. фактически учение о доказательстве - главном инструменте выведения и систематизации знания. Геоцентрическая система идеальных, равномерно вращающихся небесных сфер с принципиально различной физикой земных и небесных тел была существенной составной частью первой научной революции. Конечно, сейчас мы знаем, что она была неверна. Но неверна - не значит ненаучна!
Вторая глобальная научная революция пришлась на XVI— XVIII вв. Ее исходным пунктом считается переход от геоцентрической модели мира к гелиоцентрической. Это, безусловно, самый заметный признак смены научной картины мира, но он мало отражает суть происшедших в эту эпоху перемен в науке. Их общий смысл обычно определяется формулой: становление классического естествознания. А классиками-первопроходцами признаны: Н. Коперник, Г. Галилей, И. Кеплер, Р. Декарт, И. Ньютон.
Принципиальные отличия созданной ими науки от античной заключаются в следующем.
- Классическое естествознание заговорило языком математики.
- Новоевропейская наука нашла мощную опору в методах экспериментального исследования явлений со строго контролируемыми условиями. Это подразумевало активное, наступательное отношение к изучаемой природе, а не просто ее созерцание и умозрительное воспроизведение.
- Классическое естествознание безжалостно разрушило античные представления о космосе, как вполне завершенном и гармоничном мире, который обладает совершенством, целесообразностью и пр. На смену им пришла скучная концепция бесконечной, без цели и смысла существующей Вселенной, объединяемой лишь идентичностью законов.
- Доминантой классического естествознания, да и всей науки Нового времени, стала механика.
Таковы особенности второй глобальной научной революции, условно названной ньютоновской.
“Потрясение основ” — третья научная революция — произошло на рубеже XIX-XX вв. В это время последовала целая серия блестящих открытий в физике (сложной структуры атома, явления радиоактивности, дискретного характера электромагнитного излучения и т. д.). Их общим мировоззренческим итогом явился сокрушительный удар по базовой предпосылке механистической картины мира — убежденности в том, что с помощью простых сил, действующих между неизменными объектами, можно описать все явления природы, а универсальный ключ к пониманию происходящего дает механика И. Ньютона.
Если механика Галилея описывала процессы на поверхности Земли, то Ньютон распространил это описание на все тела, движущиеся в инерциальных системах отсчета. Впоследствии Эйнштейн расширил сферу применимости законов физики и на ускоренные системы отсчета вплоть до скоростей, близких к скорости света.
Наиболее значимыми теориями, составившими основу новой парадигмы научного знания, стали теория относительности (специальная и общая) и квантовая механика. Первую можно квалифицировать как новую общую теорию пространства, времени и тяготения. Вторая обнаружила вероятностный характер законов микромира, а также неустранимый корпускулярно-волновой дуализм в фундаменте материи.
Таким образом, три глобальные научные революции предопределили три длительных стадии развития науки, каждой из которых соответствует своя общенаучная картина мира. Это, конечно, не означает, что в истории науки важны одни лишь революции. На эволюционном этапе также делаются научные открытия, создаются новые теории и методы. Однако бесспорно, что именно революционные сдвиги, затрагивающие основы фундаментальных наук, определяют общие контуры научной картины мира на длительный период.
4. ПРИНЦИПИАЛЬНЫЕ ОСОБЕННОСТИ СОВРЕМЕННОЙ ЕСТЕСТВЕННОНАУЧНОЙ КАРТИНЫ МИРА
Главная принципиальная особенность современной естественнонаучной картины мира – принцип глобального эволюционизма. Появление принципа глобального эволюционизма означает, что в современном естествознании утвердилось убеждение в том, что материя, Вселенная в целом и во всех ее элементах не могут существовать вне развития. Это принципиально новый для естествознания взгляд на вещи, хотя сама идея эволюции зародилась в XIX в. Наиболее сильно она прозвучала в учении Ч. Дарвина о происхождении видов.
Идея эволюции проникла и в другие области естествознания. В геологии, например, окончательно утвердилась концепция дрейфа континентов. А экология, биогеохимия, антропология были “эволюционны” изначально.
Таким образом, современное естествознание вправе сформулировать лозунг: “Все существующее есть результат эволюции!” Но если в биологии концепция эволюции имеет давние устойчивые традиции, то физика и химия, как уже было сказано, к ней только привыкают. Облегчить этот процесс призвано новое междисциплинарное научное направление, появившееся в 70-х годах, — синергетика.
4.1 Синергетика — теория самоорганизации
В классической науке XIX в. господствовало убеждение, что материи изначально присуща тенденция к разрушению всякой упорядоченности, стремление к исходному равновесию (в энергетическом смысле это и означает неупорядоченность или хаос). Такой взгляд на вещи сформировался под воздействием равновесной термодинамики. Эта наука занимается изучением процессов взаимопревращения различных видов энергии.
Как известно, в природе процессы протекают в определенном направлении. Процессы, которые могут протекать без внешнего воздействия, т.е. без затраты работы извне, называются самопроизвольными. Установить направление самопроизвольно протекающих процессов позволяет второе начал термодинамики: “теплота не может самопроизвольно переходить от менее нагретого тела к более нагретому”.
В качестве критерия самопроизвольности протекания процессов немецким ученым Р.Клаузиусом была предложена функция, названная энтропией (S). Энтропия является критерием самопроизвольности протекания процесса в изолированных системах. Для обратимых изотермических процессов изменение энтропии:
DS = Q/T
Рассмотрим систему, состоящую из двух сосудов, в которых находятся молекулы различных газов, не реагирующих между собой, при одинаковых внешних условиях.
Если убрать перегородку между сосудами, то начинает протекать самопроизвольный процесс смешения двух газов без изменения энергетического запаса всей системы. Обратный же процесс разделения газов самопроизвольно не пойдет. Вероятность этого процесса практически равна нулю. Смешанное состояние газов является более вероятным и более неупорядоченным.
Самопроизвольный процесс смешения газов будет протекать до тех пор, пока не наступит состояние равновесия. При этом достигается наибольшая вероятность системы. Чем больше частиц, тем больше термодинамическая вероятность, и тем более беспорядочно расположение частиц. Следовательно, при необратимых процессах в изолированных системах происходит возрастание вероятности.
Австрийский физик Л.Больцман связал понятие энтропии с вероятностью (W) уравнением: S = k lnW, где k - постоянная Больцмана. Из уравнения Больцмана следует, что энтропия является мерой вероятности, а также мерой неупорядоченности системы.
Следовательно, в изолированных системах всякий необратимый самопроизвольно протекающий процесс сопровождается возрастанием энтропии: DS>0. С возрастанием неупорядоченности и ростом числа частиц энтропия растет.
Статистическая природа второго начала термодинамики не позволяет применить его к с системам любых размеров. Распространяя второе начало термодинамики на Вселенную, как изолированную систему, Клаузиус сделал вывод, что возрастание энтропии приведет в конце концов к полному выравниванию температур, т.е. наступит “тепловая смерть вселенной”. Из хаоса, как утверждали древние греки, Вселенная родилась, в хаос же, по предположению классической термодинамики, и возвратится.
Возникает, правда, любопытный, вопрос: если Вселенная эволюционирует только к хаосу, то как она могла возникнуть и сорганизоваться до нынешнего упорядоченного состояния. Живая природа почему-то стремилась прочь от термодинамического равновесия и хаоса. Налицо была явная нестыковка законов развития неживой и живой природы.
После замены модели стационарной Вселенной на развивающуюся, в которой ясно просматривалось нарастающее усложнение организации материальных объектов — от элементарных и субэлементарных частиц в первые мгновения после Большого взрыва до звездных и галактических систем, — несоответствие законов стало еще более явным. Ведь если принцип возрастания энтропии столь универсален, как же могли возникнуть такие сложные структуры? Стало ясно, что для сохранения непротиворечивости общей картины мира необходимо постулировать наличие у материи в целом не только разрушительной, но и созидательной тенденции. Материя способна осуществлять работу и против термодинамического равновесия, самоорганизовываться и самоусложняться. На этой волне и возникла синергетика — теория самоорганизации. Ее разработка началась несколько десятилетий назад. В настоящее время она развивается по нескольким направлениям: синергетика (Г. Хакен), неравновесная термодинамика (И.Р. Пригожин) и др.
Самоорганизация – природный скачкообразный процесс, переводящий открытую неравновесную систему, достигшую в своем развитии критического состояния, в новое устойчивое состояние с более высоким уровнем сложности и упорядоченности по сравнению с исходным.
Общий смысл комплекса синергетических (термин Г. Хакена) идей, которые развивают эти направления, заключается в следующем:
- процессы разрушения и созидания, деградации и эволюции во Вселенной равноправны;
- процессы созидания (нарастания сложности и упорядоченности) имеют единый алгоритм, независимо от природы систем, в которых они осуществляются. Таким образом, синергетика претендует на открытие некоего универсального механизма, при помощи которого осуществляется самоорганизация как в живой, так и неживой природе. Под самоорганизацией при этом понимается спонтанный переход открытой неравновесной системы от менее сложных и упорядоченных форм организации к более сложным и упорядоченным. Системы прежде всего должны быть:
- открытыми, т.е. обмениваться веществом или энергией с внешней средой;
- существенно неравновесными, или находиться в состоянии, далеком от термодинамического равновесия.
Но именно такими являются большинство известных нам систем. Изолированные системы классической термодинамики - это определенная идеализация, в реальности они — исключение, а не правило. Сложнее обстоит дело с Вселенной в целом. Если считать Вселенную открытой системой, то что может служить ее внешней средой? Современная физика полагает, что для вещественной Вселенной такой средой является вакуум. Итак, синергетика утверждает, что развитие открытых и сильно неравновесных систем протекает путем нарастающей сложности и упорядоченности. В цикле развития такой системы наблюдаются две фазы:
1) период плавного эволюционного развития, с хорошо предсказуемыми линейными изменениями, подводящими в итоге систему к некоторому неустойчивому критическому состоянию;
2) выход из критического состояния одномоментно, скачком и переход в новое устойчивое состояние с большей степенью сложности и упорядоченности.
Важная особенность второй фазы заключается в том, что переход системы в новое устойчивое состояние неоднозначен. Достигшая критических параметров система из состояния сильной неустойчивости как бы “сваливается” в одно из многих возможных, новых для нее устойчивых состояний. В этой точке эволюционный путь системы, можно сказать, разветвляется, и какая именно ветвь развития будет выбрана — решает случай! Но после того как “выбор сделан” и система перешла в качественно новое устойчивое состояние — назад возврата нет. Этот процесс необратим. А отсюда следует, что развитие таких систем имеет принципиально непредсказуемый характер. Можно просчитать варианты возможных путей эволюции системы, но какой именно будет выбран — однозначно спрогнозировать нельзя.
Таким образом, хаос не только разрушителен, но и созидателен, конструктивен; развитие осуществляется через неустойчивость (хаотичность).
4.2 Хронология эволюции Вселенной
Мир, в котором мы живем, состоит из разномасштабных открытых систем, развитие которых подчиняется общим закономерностям. При этом он имеет свою долгую историю, в общих чертах известную современной науке. Приведем хронологию наиболее важных событий.
20 млрд. лет назад — Большой взрыв.
3 минуты спустя — образование вещественной основы Вселенной
(фотоны, нейтрино и антинейтрино с примесью ядер водорода, гелия и электронов).
Через несколько
сотен тысяч лет — появление атомов (легких элементов).
19—17 млрд. лет назад — образование разномасштабных структур (галактик).
15 млрд. лет назад — появление звезд первого поколения, образование атомов тяжелых элементов
5 млрд. лет назад — рождение Солнца.
4,6 млрд. лет назад — образование Земли.
3,8 млрд. лет назад — зарождение жизни.
450 млн. лет назад — появление растений.
150 млн. лет назад — появление млекопитающих.
2 млн. лет назад — начало антропогенеза.
Подчеркнем, что современной науке известны не только “даты”, но во многом и сами механизмы эволюции Вселенной от Большого взрыва до наших дней. Это - фантастический результат. Причем наиболее крупные открытия тайн истории Вселенной осуществлены во второй половине нашего века: предложена и обоснована концепция Большого взрыва, построена кварковая модель атома, установлены типы фундаментальных взаимодействий, построены первые теории их объединения и т. д. Мы обращаем внимание в первую очередь на успехи физики и космологии потому, что именно эти фундаментальные науки формируют общие контуры научной картины мира. Основные принципы ее построения и организации :системность, глобальный эволюционизм, самоорганизация, историчность.
Системность означает воспроизведение наукой того факта, что Вселенная предстает как наиболее крупная из известных нам систем, состоящая из огромного множества элементов (подсистем) разного уровня сложности и упорядоченности.
Глобальный эволюционизм — это признание невозможности существования Вселенной и всех порождаемых ею менее масштабных систем вне развития, эволюции.
Самоорганизация — наблюдаемая способность материи к самоусложнению и созданию все более упорядоченных структур в ходе эволюции.
Историчность заключается в принципиальной незавершенности настоящей, да и любой другой научной картины мира. Та, которая есть сейчас, порождена как предшествующей историей, так и специфическими социокультурными особенностями нашего времени. Развитие общества, изменение его ценностных ориентаций, меняют стратегию научного поиска, отношение человека к миру.
5. СТРУКТУРНЫЕ УРОВНИ ОРГАНИЗАЦИИ МАТЕРИИ
Согласно современным научным взглядам на природу, все природные объекты представляют собой упорядоченные, структурированные, иерархически организованные системы. В естественных науках выделяются два больших класса материальных систем: системы неживой природы и системы живой природы.
В неживой природе в качестве структурных уровней организации материи выделяют элементарные частицы, атомы, молекулы, поля, физический вакуум, макроскопические тела, планеты и планетные системы, звезды и звездные системы — галактики, системы галактик — метагалактику.
В живой природе к структурным уровням организации материи относят системы доклеточного уровня — нуклеиновые кислоты и белки; клетки как особый уровень биологической организации, представленные в форме одноклеточных организмов и элементарных единиц живого вещества; многоклеточные организмы растительного и животного мира; надорганизменные структуры, включающие в себя виды, популяции и биогеоценозы и, наконец, биосферу как всю массу живого вещества.
B науке выделяются три уровня строения материи.
- Макроми - мир макрообъектов, размерность которых соотносима с масштабами человеческого опыта: пространственные величины выражаются в миллиметрах, сантиметрах и километрах, а время — в секундах, минутах, часах, годах.
- Микромир — мир предельно малых, непосредственно не наблюдаемых микрообъектов, пространственная разномерность которых исчисляется от 10-8
до 10-16 см, а время жизни — от бесконечности до 10-24
сек.
- Мегамир — мир огромных космических масштабов и скоростей, расстояние в котором измеряется световыми годами, а время существования космических объектов — миллионами и миллиардами лет.
И хотя на этих уровнях действуют свои специфические закономерности, микро-, макро- и мегамиры теснейшим образом взаимосвязаны.
5.1 Макромир. Физическая картина мира
В истории изучения природы можно выделить два этапа: донаучный и научный.
Донаучный, или натурфилософский, охватывает период от античности до становления экспериментального естествознания в XVI—XVII вв. В этот период учения о природе носили чисто натурфилософский характер: наблюдаемые природные явления объяснялись на основе умозрительных философских принципов.
Поскольку современные научные представления о структурных уровнях организации материи были выработаны в ходе критического переосмысления представлений классической науки, применимых только к объектам макроуровня, то начинать исследование нужно с концепций классической физики.
Ключевым в физической картине мира служит понятие “материя”. Поэтому смена физической картины мира связано со сменой представлений о материи. В истории физики это происходило два раза. Сначала был совершен переход от атомистических корпускулярных представлений о материи к полевым – континуальным. Затем, в 20 веке, континуальные представления были заменены современными квантовыми. Поэтому можно говорить о трех последовательно сменявших друг друга физических картинах мира.
Формирование научных взглядов на строение материи относится к XVI в., когда Г. Галилеем была заложена основа первой в истории науки физической картины мира — механической. Он не просто обосновал гелиоцентрическую систему Н. Коперника и открыл закон инерции, а разработал методологию нового способа описания природы — научно-теоретического. Суть его заключалась в том, что выделялись только некоторые физические и геометрические характеристики, которые становились предметом научного исследования. Галилей писал: “Никогда я не стану от внешних тел требовать чего-либо иного, чем величина, фигура, количество и более или менее быстрого движения для того, чтобы объяснить возникновение вкуса, запаха и звука”. Выделение отдельных характеристик объекта позволяло строить теоретические модели и проверять их в условиях научного эксперимента. Эта методологическая концепция, впервые сформулированная Галилеем в труде “Пробирные весы”, оказала решающее влияние на становление классического естествознания.
И. Ньютон, опираясь на труды Галилея, разработал строгую научную теорию механики, описывающую и движение небесных тел, и движение земных объектов одними и теми же законами. Природа рассматривалась как сложная механическая система.
В рамках механической картины мира, разработанной И. Ньютоном и его последователями, сложилась дискретная (корпускулярная) модель реальности. Материя рассматривалась как вещественная субстанция, состоящая из отдельных частиц — атомов или корпускул. Атомы абсолютно прочны, неделимы, непроницаемы, характеризуются наличием массы и веса.
Существенной характеристикой ньютоновского мира было трехмерное пространство евклидовой геометрии, которое абсолютно постоянно и всегда пребывает в покое. Время представлялось как величина, не зависящая ни от пространства, ни от материи. Движение рассматривалось как перемещение в пространстве по непрерывным траекториям в соответствии с законами механики. Считалось, что все физические процессы можно свести к перемещению материальных точек под действием силы тяготения, которая является дальнодействующей.
Ключевым понятием механической картины мира было понятие движения. Именно законы движения Ньютон считал фундаментальными законами мироздания. Тела обладают внутренним врожденным свойством двигаться равномерно и прямолинейно, а отклонения от этого движения связаны с действием на тело внешней силы (инерции). Мерой инертности является масса, другое важнейшее понятие классической механики. Универсальным свойством тел является тяготение.
Новая физическая гравитационная картина мира, опирающаяся на строгие математические обоснования, представлена в классической механике И. Ньютона. Ее вершиной стала теория тяготения, провозгласившая универсальный закон природы — закон всемирного тяготения. Согласно этому закону предметы притягиваются с силой, прямо пропорциональной их массе. Она изменяется обратно пропорционально квадрату расстояния между ними. Другими словами, если расстояние увеличивается вдвое, то сила тяжести уменьшается в 4 раза. За математическими выкладками Ньютона лежит озарение, которое пришло к ученому в саду, когда он увидел, как яблоко падает на землю. Эта легенда хорошо известна. Но даже если этого случая и не было в действительности, открытый закон справедлив: яблоко и Луна, булыжники и планеты - всем управляет одна и та же сила. Закон тяготения универсален.
Распространив на всю Вселенную закон тяготения, Ньютон рассмотрел и возможную ее структуру. Он пришел к выводу, что Вселенная является не конечной, а бесконечной. Лишь в этом случае в ней может существовать множество космических объектов — центров гравитации. Так, в рамках ньютоновской гравитационной модели Вселенной утверждается представление о бесконечном пространстве, в котором находятся космические объекты, связанные между собой силой тяготения.
Механистический подход к описанию природы оказался необычайно плодотворным. Вслед за ньютоновской механикой были созданы гидродинамика, теория упругости, механическая теория тепла, молекулярно-кинетическая теория и целый ряд других, в русле которых физика достигла огромных успехов. На основе механической картины мира в 18 – начале 19 веков была разработана земная, небесная и молекулярная механика. Быстрыми темпами шло развитие техники. Это привело к абсолютизации механической картины мира.
Для создателей классической механики ее законы совпали с законами мышления. Образ устойчивого мира, связанный с детерминизмом
механики, до ХХ века являлся идеалом теоретической физики и всей науки (детерминизм – философская концепция, признающая объективную закономерность и причинную обусловленность всех явлений природы и общества).
Однако были две области — оптических и электромагнитных явлений, которые не могли быть полностью объяснены в рамках механистической картины мира.
Было обнаружено, что если на пути света поместить непрозрачное тело с резкой гранью, то на границах резких теней можно видеть слабые участки освещенности в форме перемежающихся светлых и темных полосок или ореолов. Это явление было названо дифракцией света (рис.3). Волновая теория света объяснила как это явление, так и явление интерференции, т.е. появлению темных полосок при наложении света на свет (рис.4). Причина этого заключается в том, что согласно волновой теории, свет представляет собой не поток материальных частиц, а колебания упругой среды, или волновое движение. При наложении друг на друга цепочек волн появляются темные и светлые полосы.
Эксперименты английского естествоиспытателя М. Фарадея и теоретические работы английского физика Дж.К. Максвелла окончательно разрушили представления ньютоновской физики o дискретном веществе как единственном виде материи. Изучение электромагнитных явлений и появление теории электромагнитного поля требовали пересмотра представлений о природе взаимодействия и положили начало электромагнитной картине мира.
Явление электромагнетизма открыл датский естествоиспытатель Х.К. Эрстед, который впервые заметил магнитное действие электрических токов. Продолжая исследования в этом направлении, М.Фарадей обнаружил, что временное изменение в магнитных полях создает электрический ток. Осмысливая свои эксперименты, он ввел понятие “силовые линии” (рис.5). М.Фарадей, обладавший талантом экспериментатора и богатым воображением, с классической ясностью представлял себе действие электрических сил от точки к точке в их “силовом” поле (рис.6). На основе своего представления о силовых линиях он предположил, что существует глубокое родство электричества и света, и хотел построить и экспериментально обосновать новую оптику, в которой свет рассматривался бы как колебания силового поля.
Единая сущность света и электричества, которую М. Фарадей предположил 1845 г., а Дж.К. Максвелл теоретически обосновал в 1862 г., была экспериментально подтверждена немецким физиком Г. Герцом в 1888 г. В экспериментах Г. Герца в результате искровых разрядов между двумя заряженными шарами появлялись электромагнитные волны. Когда они падали на круговой проволочный виток, то создавали в нем токи, о появлении которых свидетельствовали искры, проскакивающие через разрыв.
Итак, к концу ХIX в. физика пришла к выводу, что материя существует в двух видах: дискретного вещества и непрерывного поля.
- Вещество и поле различаются как корпускулярные и волновые сущности: вещество дискретно и состоит из атомов, а поле непрерывно.
- Вещество и поле различаются по своим физическим характеристикам: частицы вещества обладают массой покоя, а поле — нет.
- Вещество и поле различаются по степени проницаемости: вещество мало проницаемо, а поле, наоборот, полностью проницаемо.
- Скорость распространения поля равна скорости света, а скорость движения частиц вещества меньше ее на много порядков.
Взгляды на материю менялись кардинально: совокупность неделимых атомов переставала быть конечным пределом делимости материи. В качестве такового принималось единое абсолютно непрерывное бесконечное поле с силовыми точечными центрами – электрическими зарядами и волновыми движениями в нем.
Движение принималось не только как простое механическое перемещение, первичным по отношению к этой форме движения становилось распространение колебаний в поле, которое описывалось не законами механики, а законами электродинамики.
Ньютоновская концепция абсолютного пространства не подходила к полевым представлениям. Поскольку поле является абсолютно непрерывной материей, пустого пространства просто нет. Так же и время неразрывно связано с процессами, происходящими в поле. Пространство и время перестали быть самостоятельными, независимыми от материи.
Не менялось в электромагнитной картине мира представление о месте и роли человека во Вселенной. Его появление считалось лишь капризом природы. Идеи о качественной специфике жизни и разума с большим трудом прокладывали себе путь в научном мировоззрении.
Новая электромагнитная картина мира объяснила большой круг явлений, непонятных с точки зрения механической картины мира. Она глубже вскрыла материальное единство мира, поскольку электричество и магнетизм объяснялись на основе одних и тех же законов.
Принимая законы электродинамики в качестве основных законов физической реальности, А. Энштейн ввел в электромагнитную картину мира идею относительности пространства и времени. Так появилась общая теория относительности, ставшая последней крупной теорией, созданной в рамках электромагнитной картины мира.
5.2 Микромир
В конце XIX — начале XX вв. физика вышла на уровень исследования микромира, для описания которого концептуальные построения классической физики оказались непригодными.
В результате научных открытий были опровергнуты представления об атомах как о последних неделимых структурных элементах материи.
Об атомизме Демокрита (
V
век до н.э.) нобелевский лауреат, физик в середине ХХ века Р.Фейнман: « Если бы в результате какой-то мировой катастрофы все накопленные научные знания оказались бы уничтоженными и к грядущим поколениям перешла только одна фраза, то какое утверждение, составленное из наименьшего числа слов принесло бы наибольшую информацию? Я считаю, что это – атомная гипотеза. Все тела состоят из атомов – маленьких телец, которые находятся в беспрерывном движении, притягиваются на небольшом расстоянии, но отталкиваются, если одно из них плотнее прижать к другому».
В одной этой фразе содержится невероятное количество информации о мире, стоит только приложить к ней немного воображения и чуть соображения.
История исследования строения атома началась в 1895 г. благодаря открытию Дж. Дж. Томсоном электрона — отрицательно заряженной частицы, входящей в состав всех атомов. Поскольку электроны имеют отрицательный заряд, а атом в целом электрически нейтрален, то было сделано предположение о наличии помимо электрона и положительно заряженной частицы. Опыты английского физика Э. Резерфорда с альфа-частицами привели его к выводу о том, что в атомах существуют ядра — положительно заряженные микрочастицы, размер которых очень мал по сравнению с размерами атомов, но в которых почти полностью сосредоточена масса атомов. Модель атома, предложенная Резерфордом в 1911 г., напоминала солнечную систему: в центре находится атомное ядро, в котором сосредоточена основная масса атома, а вокруг него по своим орбитам движутся электроны. Ядро имеет положительный заряд, а электроны — отрицательный. Вместо сил тяготения, действующего в Солнечной системе, в атоме действуют электростатические силы.
Исследования Мозли рентгеновских спектров позволили определить величину заряда ядра атома, которая оказалась равной порядковому номеру элемента в периодической системе Д.И.Менделеева.
В дальнейшем было обнаружено, что атомы одних элементов могут превращаться в атомы других в результате радиоактивности, впервые открытой французским физиком А. А. Беккерелем. Вопросы радиоактивности различных элементов изучались французскими физиками Пьером и Марией Кюри.
Открытие сложной структуры атома стало крупнейшим событием в физике, поскольку оказались опровергнутыми представления классической физики об атомах как твердых и неделимых, структурных единицах вещества.
При переходе к исследованию микромира оказались разрушенными и представления классической физики о веществе и поле как двух качественно своеобразных видах материи. Изучая микрочастицы, ученые столкнулись с парадоксальной, с точки зрения классической науки, ситуацией: одни и те же объекты обнаруживали как волновые, так и корпускулярные свойства.
Первый шаг в этом направлении был сделан немецким физиком M. Планком. В процессе работы по исследованию теплового излучения, которую M. Планк назвал самой тяжелой в своей жизни, он пришел к ошеломляющему выводу о том, что в процессах излучения энергия может быть отдана или поглощена не непрерывно и не в любых количествах, а лишь в известных неделимых порциях — квантах. Сумма энергий этих мельчайших порций энергии — квантов определяется через то колебаний соответствующего вида излучения и универсальную естественную константу, которую M. Планк ввел в науку под символом h: Е = hn, ставшим впоследствии знаменитым (где hn - квант энергии, n - частота). Это открытие послужило началом новой эры естествознания.
Первым физиком, который восторженно принял открытие элементарного кванта действия и творчески развил его был А. Эйнштейн. В 1905 г. он перенес гениальную идею квантованного поглощения и отдачи энергии при тепловом излучении на излучение вообще и таким образом обосновал новое учение о свете.
Представление о свете как о дожде быстро движущихся квантов было чрезвычайно смелым, почти дерзким, в правильность которого вначале поверили немногие. Прежде всего, с расширением квантовой гипотезы до квантовой теории света был не согласен сам М. Планк, относивший свою квантовую формулу только к рассматриваемым им законам теплового излучения черного тела. А. Эйнштейн предположил, что речь идет о естественной закономерности всеобщего характера. Не оглядываясь на господствующие в оптике взгляды, он применил гипотезу Планка к свету и пришел к выводу, что следует признать корпускулярную структуру света.
Теория А. Эйнштейна, развивающая взгляды М. Планка, позволила Н. Бору в 1913 г. применить принцип квантования при решении вопроса о строении атома и характеристике атомных спектров, устранив тем самым противоречия, которые возникали при планетарной модели атома Э. Резерфорда. Н. Бор выдвинул гипотезу строения атома, основанную на двух постулатах, совершенно несовместимых с классической физикой:
1) электрон может двигаться вокруг ядра, не излучая энергию только по определенным круговым орбитам;
2) при переходе электрона с удаленной орбиты на более близкую, атом излучает энергию в виде светового кванта.
Теория атома Н. Бора позволяла дать точное описание атома водорода, состоящего из одного протона и одного электрона, достаточно хорошо согласующееся с экспериментальными иными. Дальнейшее же распространение теории на многоэлектронные атомы и молекулы столкнулось с непреодолимыми трудностями.
Для того, чтобы сделать следующий шаг в познании атома, требовалось в корне изменить представление о движении микрочастиц.
В 1924 г. произошло одно из величайших событий в истории физики: французский физик Луи де Бройль выдвинул идею о волновых свойствах материи. Он утверждал, что волновые свойства присущи всем видам материи: электронам, протонам, атомам, молекулам и даже макроскопическим телам.
Согласно де Бройлю, любому телу с массой m, движущемуся со скоростью v, соответствует волна l = h/mv. Фактически аналогичная формула была известна раньше, но только применительно к квантам света — фотонам.
В 1926 г. австрийский физик Э. Шредингер нашел математическое уравнение, описывающее движение микрочастиц, так называемое волновое уравнение.
Смелая мысль Луи де Бройля о корпускулярно-волновом “дуализме” позволила построить теорию, с помощью которой можно было охватить свойства материи и света в их единстве.
Наиболее убедительным свидетельством существования волновых свойств материи стало обнаружение в 1927 г. дифракции электронов американскими физиками К. Дэвисоном и Л. Джермером.
Квантово-механическое описание микромира основывается на соотношении неопределенностей, установленном немецким физиком В. Гейзенбергом, согласно которому положение электрона в пространстве неопределенно. Невозможно с одинаковой точностью установить место и скорость микрочастицы. Только одно из этих двух свойств можно определить точно.
С позиции квантовой механики представления Бора об атоме с его определенными орбитами электронов должны быть заменены описанием, при котором оценивается лишь вероятность нахождения электрона в том или ином месте пространства атома. Современным понятиям о движении электрона в атоме отвечает понятие об электронном облаке неравномерной плотности. Электрон как бы размазан в пространстве. Максимальная электронная плотность отвечает наибольшей вероятности нахождения электрона в данном объеме. Формы электронных облаков различны.
Состояние электронов в атоме характеризуется четырьмя квантовыми числами: главным, орбитальным, магнитным и спиновым.
Главное квантовое число
n определяет общий запас энергии электрона и принимает значения 1, 2, 3, 4, . . ., ¥. Оно определяет номер слоя.
Орбитальное квантовое число
l
- связано с формой электронного облака на данном подуровне, и может принимать все целочисленные значения от 0 до n—1.
Элементы, атомы которых в нормальном состоянии содержат валентные s-электроны, называют s-элементами, p-электроны — p-элементами, d- и f-электроны d- и f
-элементами.
Магнитное квантовое число
m определяет дискретные возможные ориентации электронных облаков в пространстве относительно направления внешнего магнитного поля. Магнитное квантовое число m связано с орбитальным квантовым числом l
: оно принимает все целочисленные значения от —l
до +l
.
Например для p-подуровня (l
=1) возможны три значения m= -1, 0, +1. Число m определяет число орбиталей (ячеек) на данном подуровне.
Голландские физики Г. Е. Уленбек и С. А. Гоудсмит пришли к выводу (1925), что электрон обладает особыми свойствами, которые связаны с наличием у него спина (S —spin). Открытие спина как неотъемлемого физического свойства электрона оказало огромное влияние на последующее развитие физики атома, углубило понимание магнетизма вещества, позволило объяснить тонкую структуру спектра, эффект Зеемана и другие явления.
Спиновое квантовое число
ms
характеризует собственное внутреннее движение электрона. ms
= ±1/2, в зависимости от одного из двух возможных направлений спина электрона по отношению к орбитальному магнитному моменту в магнитном поле спиновое число имеет знак + или —. При “параллельной” установке спина S=-+l/2 (его обозначают на схемах ), при “антипараллельной” S= -1/2 (обозначают ¯).
Периодическая система Д. И. Менделеева представляет собой классификацию элементов по структуре электронных оболочек атомов. Распределение электронов в атомах элементов происходит в соответствии с принципом наименьшей энергии, принципом Паули и правилом Хунда.
Принцип Паули утверждает, что в атоме не может быть электронов с одинаковыми наборами всех четырех квантовых чисел — n, l
, ml
и ms
.
Для обозначения распределения электронов в атоме (электронная формула) принимается следующая система записи: впереди цифрой указывается электронный слой, затем буквой — подуровень и вверху, справа от буквы, цифрой — число электронов в слое. Например, возьмем атом хлора (С1), порядковый номер 17, элемент 3-го периода, VII главной подгруппы. В атоме в соответствии с номером периода три электронных слоя, на которых по ячейкам (орбиталям) размещается 17 электронов. С учетом “запрета” Паули формулу распределения электронов в атоме хлора можно выразить так: 1s2
2s2
2p6
3s2
3p5
3d0
. Это p-элемент, валентные электроны заполняют ячейки 3s2
и Зp5
(рис 6).
Последовательность заполнения орбиталей атомов, начиная с более низких по энергии, характеризуется тем, что электроны первоначально по одному занимают разные орбитали и имеют параллельные спины. Выполняется правило Хунда: электроны занимают возможные вырожденные орбитали в атоме поодиночке с одинаковой ориентацией спинов, при этом суммарный спин максимален.
Дальнейшее проникновение в глубины микромира связано с переходом от уровня атомов к уровню элементарных частиц. В качестве первой элементарной частицы в конце XIX в. был открыт электрон, а затем в первые десятилетия XX в. — фотон, протон, позитрон и нейтрон.
После второй мировой войны, благодаря использованию современной экспериментальной техники, и прежде всего мощным ускорителям, в которых создаются условия высоких энергий и громадных скоростей, было установлено существование большого числа элементарных частиц — свыше 300. Среди них имеются как экспериментально обнаруженные, так и теоретически вычисленные, включая резонансы, кварки и виртуальные частицы.
Термин “элементарная частица” первоначально означал простейшие, далее ни на что неразложимые частицы, лежащие в основе любых материальных образований. Позднее физики осознали всю условность термина “элементарный” применительно к микрообъектам. Сейчас уже не подлежит сомнению, что частицы имеют ту или иную структуру, но, тем не менее, исторически сложившееся название продолжает существовать.
Основными характеристиками элементарных частиц являются масса, заряд, среднее время жизни, спин и квантовые числа.
Массу покоя элементарных частиц определяют по отношению к массе покоя электрона. Существуют элементарные частицы, не имеющие массы покоя, — фотоны. Остальные частицы по этому признаку делятся на лептоны — легкие частицы (электрон и нейтрино); мезоны — средние частицы с массой в пределах от одной до тысячи масс электрона; барионы — тяжелые частицы, чья масса превышает тысячу масс электрона и в состав которых входят протоны, нейтроны, гипероны и многие резонансы.
Электрический заряд является другой важнейшей характеристикой элементарных частиц. Все известные частицы обладают положительным, отрицательным либо нулевым зарядом. Каждой частице, кроме фотона и двух мезонов, соответствуют античастицы с противоположным зарядом. Приблизительно в 1963—1964 гг. была высказана гипотеза о существовании кварков — частиц с дробным электрическим зарядом. Экспериментального подтверждения эта гипотеза пока не нашла.
По времени жизни частицы делятся на стабильные и нестабильные. Стабильных частиц пять: фотон, две разновидности нейтрино, электрон и протон. Именно стабильные частицы играют важнейшую роль в структуре макротел. Все остальные частицы нестабильны, они существуют около 10-10
— 10-24
с, после чего распадаются. Элементарные частицы со средним временем жизни
10-23
— 10-22
с называют резонансами. Вследствие краткого времени жизни они распадаются еще до того, как успеют покинуть атом или атомное ядро. Резонансные состояния вычислены теоретически, зафиксировать их в реальных экспериментах не удается.
Помимо заряда, массы и времени жизни, элементарные частицы описываются также понятиями, не имеющими аналогов в классической физике: понятием “спина”, или собственного момента количества движения микрочастицы, и понятием “квантовых чисел”, выражающих состояние элементарных частиц.
В характеристике элементарных частиц существует еще одно важное представление — взаимодействия. Различают четыре вида фундаментальных взаимодействий в природе: сильное, электромагнитное, слабое и гравитационное. Свойства элементных частиц определяются в основном первыми тремя видами взаимодействия.
Сильное взаимодействие происходит на уровне атомных ядер и представляет собой взаимное притяжение и отталкивание их составных частей.
Электромагнитное взаимодействие примерно в тысячу раз слабее сильного, но значительно более дальнодействующее. В процессе электромагнитного взаимодействия электроны и атомные ядра соединяются в атомы, атомы — в молекулы.
Слабое взаимодействие возможно между различными частицами. Оно простирается на расстояние порядка 10-
l
5
— 10-22 см и связано главным образом с распадом частиц, например, с происходящими в атомном ядре.
Гравитационное взаимодействие — самое слабое, не учитываемое в теории элементарных частиц. В космических масштабах гравитационное взаимодействие (тяготение) имеет решающее значение.
Согласно современным представлениям, структура элементарных частиц описывается посредством непрерывно возникающих и снова распадающихся “виртуальных” частиц. Например, мезон строится из виртуального нуклона и антинуклона, которые в процессе аннигиляции (лат. annihilatio, буквально уничтожение) непрерывно исчезают, а затем образуются снова.
Удовлетворительной теории происхождения и структуры элементарных частиц пока нет. Многие ученые считают, что такую теорию можно создать только при учете космологических обстоятельств.
5.3 Мегамир. Современные астрофизические и космологические концепции
Мегамир, или космос, современная наука рассматривает как взаимодействующую и развивающуюся систему всех небесных тел. Мегамир имеет системную организацию в форме планет и планетных систем, возникающих вокруг звезд; звезд и звездных систем — галактик; системы галактик — Метагалактики.
Материя во Вселенной представлена сконденсировавшимися космическими телами и диффузной материей. Диффузная материя существует в виде разобщенных атомов и молекул, а также более плотных образований — гигантских облаков пыли и газа — газово-пылевых туманностей. Значительную долю материи во Вселенной, наряду с диффузными образованиями, занимает материя в виде излучения. Следовательно, космическое межзвездное пространство никоим образом не пусто.
На современном этапе эволюции Вселенной вещество в ней находится преимущественно в звездном состоянии. 97% вещества в нашей Галактике сосредоточено в звездах, представляющих собой гигантские плазменные образования различной величины, температуры, с разной характеристикой движения. У многих, если не у большинства других галактик, “звездная субстанция” составляет более чем 99,9% их массы. В недрах звезд при температуре порядка 10 млн. град. и при очень высокой плотности атомы находятся в ионизированном стоянии: электроны почти полностью или абсолютно все отделены от своих атомов. Оставшиеся ядра вступают во взаимодействие друг с другом, благодаря чему водород, имеющийся в изобилии в большинстве звезд, превращается при участии углерода в гелий. Эти и подобные ядерные превращения являются источником колоссального количества энергии, уносимой излучением звезд.
Звезды не существуют изолированно, а образуют системы. Простейшие звездные системы — так называемые кратные системы, состоящие из двух, трех, четырех, пяти и больше звезд, вращающихся вокруг общего центра тяжести. Компоненты некоторых кратных систем окружены общей оболочкой диффузной материи, источником которой, по-видимому, являются сами звезды, выбрасывающие ее в пространство и виде мощного потока газа.
Звезды объединены также в еще большие группы — звездные скопления, которые могут иметь “рассеянную” или “шаровую” структуру. Рассеянные звездные скопления насчитают несколько сотен отдельных звезд, шаровые скопления — многие сотни тысяч.
Звездные системы являются частями более общей системы — Галактики, включающей в себя помимо звезд и диффузную материю.
Большинство галактик имеет эллиптическую или спиралевидную форму. Галактика, внутри которой расположена Солнечная система, является спиральной системой, состоящей приблизительно из 120 млрд. звезд. Она имеет форму утолщенного диска. Наибольший диаметр равен 100 тыс. световых лет.
Для объяснения структуры мегамира наиболее важным является гравитационное взаимодействие. Всякое тело притягивает другое тело, но сила гравитации, согласно закону всемирного тяготения, быстро уменьшается с увеличением расстояния между ними. В газово-пылевых туманностях под действием сил гравитации происходит формирование неустойчивых неоднородностей, благодаря чему диффузная материя распадается на ряд сгущений. Если такие сгущения сохраняются достаточно долго, то с течением времени они превращаются в звезды.
О механизме образования планет, в частности, в Солнечной системе, также нет общепризнанных заключений. Солнечная система образовалась примерно 5 млрд. лет назад, причем Солнце - звезда второго (или еще более позднего) поколения. Так что Солнечная система возникла на продуктах жизнедеятельности звезд предыдущего поколения, скапливавшихся в газо-пылевых облаках.
Существует довольно много гипотез образования Солнечной системы. В качестве примера изложим гипотезу шведских астрономов X. Альвена и Г. Аррениуса. Они считают, что сначала из газо-пылевого облака возникает первичное тело, затем к нему извне поступает материал для образования вторичных тел. Мощное гравитационное воздействие центрального тела притягивает поток газовых и пылевых частиц, пронизывающих пространство, которому предстоит стать областью образования вторичных тел.
Для такого утверждения есть основания. Были подведены итоги многолетнего изучения изотопного состава вещества метеоритов, Солнца, Земли. Обнаружены отклонения в изотопном составе ряда элементов, содержащихся в метеоритах и земных породах, от изотопного состава тех же элементов на Солнце. Это говорит о различном происхождении этих элементов. Отсюда следует, что основная масса вещества Солнечной системы поступила из одного газопылевого облака и из него образовалось Солнце. Значительно меньшая часть вещества с другим изотопным составом поступила из другого газопылевого облака, и она послужила материалом для формирования метеоритов и частично планет. Смешение двух газопылевых облаков произошло примерно 4,5 млрд. лет назад, что и положило начало образованию Солнечной системы.
Молодое Солнце, предположительно обладавшее значительным магнитным моментом, имело размеры, превышавшие нынешние, но не доходившие до орбиты Меркурия. Его окружала гигантская сверхкорона, представлявшая собой разреженную намагниченную плазму. Как и в наши дни, с поверхности Солнца вырывались протуберанцы, но выбросы тех лет имели протяженность в сотни миллионов километров и достигали орбиты современного Плутона. Токи в них оценивались в сотни миллионов ампер и больше. Это способствовало стягиванию плазмы в узкие каналы. В них возникали разрывы, пробои, откуда разбегались мощные ударные волны, уплотнявшие плазму на пути их следования. Плазма сверхкороны быстро становилась неоднородной и неравномерной. Поступавшие из внешнего резервуара нейтральные частицы вещества под действием гравитации падали к центральному телу. Но в короне они ионизировались, и в зависимости от химического состава тормозились на разных расстояниях от центрального тела, то есть с самого начала имела место дифференциация допланетного облака по химическому и весовому составу. В конечном счете выделилось три-четыре концентрических области, плотности частиц в которых примерно на 7 порядков превышали их плотности в промежутках. Это объясняет тот факт, что вблизи Солнца располагаются планеты, которые при относительно малых размерах имеют высокую плотность (от 3 до 5,5 г/см 3
), а планеты-гиганты имеют намного меньшие плотности (1-2 г/см3
).
Сверхкорона, по мере накопления в ней выпадающего вещества, начинает отставать в своем вращении от вращения центрального тела. Стремление выровнять угловые скорости тела и короны заставляет плазму вращаться быстрее, а центральное тело замедлять свое вращение. Ускорение плазмы увеличивает центробежные силы, оттесняя ее от звезды. Между центральным телом и плазмой образуется область очень низкой плотности вещества. Создается благоприятная обстановка для конденсации нелетучих веществ путем их выпадения из плазмы в виде отдельных зерен. Достигнув определенной массы, зерна получают от плазмы импульс и далее движутся по кеплеровской орбите, унося с собой часть момента количества движения в Солнечной системе.
Выпавшие зерна, захватив часть момента количества движения, следуют по пересекающимся эллиптическим орбитам. Множественные соударения между ними собирают эти зерна в большие группы и превращают их орбиты в почти круговые, лежащие в плоскости эклиптики. В конце концов они собираются в струйный поток, имеющий форму тороида (кольца). Этот струйный поток захватывает все частицы, которые с ним сталкиваются, и уравнивает их скорости со своей. Затем эти зерна слипаются в зародышевые ядра, к которым продолжают прилипать частицы, и они постепенно разрастаются до крупных тел. Их объединение образует планеты. А как только планетные тела оформляются настолько, что возле них появляется достаточно сильное собственное магнитное поле, начинается процесс образования спутников, в миниатюре повторяющий то, что произошло при образовании самих планет около Солнца.
Сегодня есть уникальные сведения, полученные “Вояджерами” о планетных системах Юпитера, Сатурна, Урана. Можно уверенно говорить о наличии общих характерных особенностей у них и у Солнечной системы как целого.
Современные космологические модели Вселенной основываются на общей теории относительности А. Эйнштейна, согласно которой метрика пространства и времени определяется распределением гравитационных масс во Вселенной. В 1922 г. российский математик и геофизик А.А. Фридман отбросил постулат классической космологии о стационарности Вселенной и дал принятое в настоящее время решение космологической проблемы.
Решение уравнений А. А. Фридмана допускает три возможности. Если средняя плотность вещества и излучения во Вселенной равна некоторой критической величине, мировое пространство оказывается евклидовым и Вселенная неограниченно расширяется от первоначального точечного состояния. Если плотность меньше критической, пространство обладает геометрией Лобачевского и так же неограниченно расширяется. И, наконец, если плотность больше критической, расширение на некотором этапе сменяется сжатием, которое продолжается вплоть до первоначального точечного состояния. По современным данным, средняя плотность материи во Вселенной меньше критической, так что более вероятной считается модель Лобачевского, т.е. пространственно бесконечная расширяющаяся Вселенная. Не исключено, что некоторые виды материи, которые имеют большое значение для величины средней плотности, пока остаются неучтенными. В связи с этим делать окончательные выводы о конечности или бесконечности Вселенной пока преждевременно.
В 30-е годы 20 века американский астроном Эдвин Хаблл исследовал спектры света, приходящего из галактик
. Спектры туманностей принадлежавшие водороду, гелию и другим «земным элементам», смещены к линиям красного света. Это явление получило название красное смещение
. При этом для разных галактик величина смещения различна и пропорциональна расстоянию от Земли от до соответствующей галактики: чем дальше от нас туманность, тем больше смещение, и наооборот. Следовательно все галактики удаляются от нас, причем чем дальше находится галактика, тем скорость этого удаления больше. Это триумфальное открытие подтвердило расширение Вселенной.
Примерно 15 млрд. лет отделяет нашу эпоху от начала процесса расширения Вселенной, когда вся наблюдаемая нами Вселенная была сжата в комочек, в миллиарды раз меньший булавочной головки. Если верить математическим расчетам, то в начале расширения радиус Вселенной был и вовсе равен нулю, а ее плотность равна бесконечности. Это начальное состояние называется сингулярностью - точечный объем с бесконечной плотностью. Известные законы физики в сингулярности не работают.
Более того, нет уверенности, что наука когда-либо познает и объяснит такие состояния. Так что если сингулярность и является начальным простейшим состоянием нашей расширяющейся Вселенной, то наука не располагает о нем информацией. Причины возникновения такого начального состояния (или сингулярности - эту гипотезу и сегодня поддерживают многие ученые), а также характер пребывания материи в этом состоянии считаются неясными и выходящими за рамки компетенции любой современной физической теории. Такое состояние можно назвать хаосом, из которого в последующем развитии системы шаг за шагом формировался порядок. Хаос оказался неустойчивым, это послужило исходным толчком для последующего развития Вселенной
Роль базовой формы материи очевидно играет вакуум. На самой ранней фазе эволюции Вселенной именно ему отводится ведущая роль. Экстремальные условия “начала”, когда даже пространство-время было деформировано, предполагают, что и вакуум находился в особом состоянии, которое называют “ложным” вакуумом. Оно характеризуется энергией предельно высокой плотности, которой соответствует предельно высокая плотность вещества. В этом состоянии вещества в нем могут возникать сильнейшие напряжения, отрицательное давление, которое равносильно гравитационному отталкиванию такой величины, которое и вызвало безудержное и стремительное расширение Вселенной - Большой взрыв. Это и было первотолчком, “началом”.
С началом стремительного расширения Вселенной возникает время и пространство. По разным оценкам период “раздувания” занимает невообразимо малый промежуток времени - до 10-33
с после “начала”. Он называется инфляционным периодом. За это время Вселенная успевает раздуться до гигантского “пузыря”, радиус которого на несколько порядков превышает радиус современной нам Вселенной, но там практически отсутствуют частицы вещества. Это еще не то расширение, о котором мы говорили, а предпосылка к нему. К концу фазы инфляции Вселенная была пустой и холодной. Но когда инфляция иссякла, Вселенная вдруг стала чрезвычайно горячей. Этот всплеск тепла обусловлен огромными запасами энергии, заключенными в “ложном” вакууме. Когда это состояние вакуума распалось, его энергия высвободилась в виде излучения, которое мгновенно нагрело Вселенную до 1027
К. С этого момента Вселенная развивалась согласно стандартной теории горячего Большого взрыва.
Доступная астрономическим наблюдениям современная Вселенная состоит на 99% из водорода и гелия, но в первоначальном плазмоподобном сгустке не было ни водорода, ни гелия. Теория Большого взрыва утверждает, что от появления протовещества до образования ядер водорода и гелия прошло немногим более трех секунд. На этом временном промежутке стремительно преобразовывались вакуум и вещество, а этапы преобразования определялись процессами расширения и остывания сгустка.
Спустя 3 минуты 2 секунды после “начала” температура снизилась до миллиарда градусов. Начался процесс соединения протонов и нейтронов в составные ядра - нуклеосинтез. Плотность вещества в это время уже была в сто раз меньше плотности воды, размеры Вселенной возросли почти до 40 световых лет (для расширения пространства скорость света не является предельной). Через полчаса после “начала” вещество Вселенной состояло из 28% гелия, остальное - ядра водорода (протоны). Но вещество это ничтожная часть Вселенной, ее основными компонентами были фотоны и нейтрино.
Затем почти 500 тысяч лет шло медленное остывание. Вселенная, оставаясь однородной, становилась все более разреженной. Когда она остыла примерно до 3 тысяч градусов, протоны (ядра водорода) и ядра атомов гелия уже могли захватывать свободные электроны и превращаться при этом в нейтральные атомы водорода и гелия. Излучение отделилось от атомарного вещества и образовало то, что в нашу эпоху назвали реликтовым излучением. В своей структуре реликтовое излучение сохранило “память” о структуре барионного вещества в момент разделения. Сегодня его энергия снизилась до температуры всего ЗК. И оно излучает радиоволны в сантиметровом диапазоне. Эти радиоволны были открыты в 1964 г. и стали серьезным подтверждением концепции “горячей” Вселенной. Они равномерно поступают из всех точек небосвода и не связаны с каким-нибудь отдельным радиоисточником.
Предполагается, что в расширяющейся Вселенной возникают и развиваются случайные уплотнения вещества. Силы тяготения внутри уплотнения проявляют себя заметнее, чем вне их. Поэтому, несмотря на общее расширение Вселенной, вещество в уплотнениях притормаживается, и его плотность постепенно нарастает. Появление таких уплотнений и стало началом рождения крупномасштабных структур во Вселенной.
Образование разномасштабных структур во Вселенной открыло возможность для новых усложнений вещества. Важнейшим узловым моментом стало образование всей совокупности элементов таблицы Менделеева. Они появились в звездах в ходе процессов звездного нуклеосинтеза.
Появление во Вселенной всей гаммы химических элементов открыло новый этап в развитии вещества и в формировании его структур. Так, в местах нахождения разнообразных химических элементов протекают процессы их объединения в молекулы, сложность которых может нарастать до очень высоких уровней. Процессы соединения атомов в молекулы широко распространены во Вселенной. В межзвездной среде, где концентрация вещества ничтожно мала, тем не менее обнаруживаются молекулы водорода. Там же встречаются мельчайшие пылинки, в их основе - кристаллики льда или углерода с примесью гидратов разных соединений. Молекулярный водород вместе с гелием образует газовые межзвездные облака. Скопление газов вместе с пылинками формирует газо-пылевые облака. Но самое интересное, с чем столкнулись наблюдатели, - это неожиданно большое присутствие в космосе разнообразных органических молекул, вплоть до таких сложных, как молекулы некоторых аминокислот. В межзвездных облаках насчитали более 50 видов органических молекул. Еще удивительнее, что органические молекулы находят во внешних оболочках некоторых не очень горячих звезд и в образованиях, температура которых незначительно отличается от абсолютного нуля. Так что синтез молекул, в том числе и органических, - распространенное и вполне обыденное явление в космосе.
В связи с этим невольно возникает вопрос, способно ли усложнение вещества достигнуть самых высоких уровней вне планет, в межзвездной среде или в оболочках не очень горячих звезд? Иначе говоря, возможна ли там жизнь? Эта тема неоднократно обыгрывалась в научно-фантастических произведениях, но современная наука не позволяет дать ни положительного, ни отрицательного ответа на этот вопрос. Пока мы знаем только один вариант жизни в Космосе - на Земле.
6. ПРОСТРАНСТВО И ВРЕМЯ В СОВРЕМЕННОЙ
НАУЧНОЙ КАРТИНЕ МИРА
Существование материи связано с такими двумя субстанциями, как пространство и время. Физические, химические и другие величины непосредственно или опосредованно связаны с измерением длин и длительностей, т.е. пространственно-временных характеристик объектов. Поэтому расширение и углубление знаний о мире связано с соответствующими учениями о пространстве и времени.
Уже в античном мире мыслители задумывались над природой и сущностью пространства и времени. Так, одни из философов отрицали возможность существования пустого пространства или, по их выражению, небытия.
В доньютоновский период развитие представлений о пространстве и времени носило преимущественно стихийный и противоречивый характер. И только в “Началах” древнегреческого математика Евклида пространственные характеристики объектов впервые обрели строгую математическую форму.
Геоцентрическая система К. Птолемея господствовала в естествознании до XVI века. Она представляла собой первую универсальную математическую модель мира, в которой время было бесконечным, а пространство конечным.
Коренное изменение пространственной и всей физической картины произошло в гелиоцентрической системе мира, развитой И. Коперником. Принципиальное отличие этой системы мира от прежних теорий состояло в том, что в ней концепция единого однородного пространства и равномерности течения времени обрела реальный эмпирический базис.
Признав подвижность Земли, Коперник в своей теории отверг все ранее существовавшие представления о ее уникальности, “единственности” центра вращения во Вселенной. Космологическая теория Д. Бруно связала воедино бесконечность Вселенной и пространства. Представляя Вселенную как “целое бесконечное”, как “единое, безмерное пространство”, Бруно делает вывод и о безграничности пространства, ибо оно “не имеет края, предела и поверхности”.
Дальнейшее развитие представлений о пространстве и времени связано с рационалистической физикой Р. Декарта. Декарт обосновывал единство физики и геометрии. Он ввел координатную систему (названную впоследствии его именем), в которой время представлялось как одна из пространственных осей.
В 1687 г. вышел основополагающий труд Ньютона “Математические начала натуральной философии”. В нем были сформулированы основные законы движения и дано определение понятий пространства, времени, места и движения. Он предлагает различать два типа понятий пространства и времени: абсолютные (истинные, математические) и относительные (кажущиеся, обыденные) и дает им следующую характеристику:
- абсолютное, истинное, математическое время само по себе и своей сущности, без всякого отношения к чему-либо внешнему, протекает равномерно и иначе называется длительностью;
- относительное, кажущееся, или обыденное, время есть или точная, или изменчивая, постигаемая чувствами, внешняя мера продолжительности, употребляемая в обыденной жизни вместо истинного математического времени, как-то: час, день, месяц, год;
- абсолютное пространство по своей сущности, безотносительно к чему бы то ни было внешнему, остается всегда одинаковым и неподвижным;
- относительное пространство есть мера или какая-либо ограниченная подвижная часть, которая определяется нашими чувствами по положению его относительно некоторых тел и которое в обыденной жизни принимается за пространство неподвижное.
Из определений Ньютона следовало, что разграничение им понятий абсолютного и относительного пространства и времени связано со спецификой теоретического и эмпирического уровней их познания. На теоретическом уровне классической механики представления об абсолютном пространстве и времени играли существенную роль во всей причинной структуре описания мира. Оно выступало в качестве универсальной инерциальной системы отсчета, так как законы движения классической механики справедливы в инерциальных системах отсчета. На уровне эмпирического познания материального мира понятия “пространства” и “времени” ограничены чувствами и свойствами познающей личности, а не объективными признаками реальности как таковой. Поэтому они выступают в качестве относительного времени и пространства.
Ньютоновское понимание пространства и времени вызвало неоднозначную реакцию со стороны его современников — естествоиспытателей и философов. С критикой ньютоновских представлений о пространстве и времени выступил немецкий ученый Г.В. Лейбниц. Он развивал реляционную концепцию пространства и времени, отрицающую существование пространства и времени как абсолютных сущностей. Лейбниц считал, что пространство и время не могут рассматриваться в “отвлечении” от самих вещей. Однако данные представления Лейбница не оказали заметного влияния на развитие физики, так как реляционная концепция пространства и времени была недостаточна для того, чтобы служить основой принципа инерции и законов движения, обоснованных в классической механике Ньютона.
До XIX в. физика была в основном физикой вещества, т. е. она рассматривала поведение материальных объектов с конечным числом степеней свободы и обладающих конечной массой покоя. Изучение электромагнитных явлений в XIX в. выявило ряд существенных отличий их свойств по сравнению с механическими свойствами тел. Открытие существования поля в пространстве между зарядами и частицами было очень существенно для описания физических свойств пространства и времени. Структура электромагнитного поля описывается с помощью четырех уравнений Максвелла, устанавливающих связь величин, характеризующих электрические и магнитные поля с распределением в пространстве зарядов и токов. Как заметил Эйнштейн, теория относительности возникает из проблемы поля.
Специального объяснения в рамках существовавшей в конце ХIХ в. физической картины мира требовал и отрицательный результат по обнаружению мирового эфира, полученный американским физиком А. Майкельсоном. Его опыт доказал независимость скорости света от движения Земли. С точки зрения классической механики, результаты опыта Майкельсона не поддавались объяснению. Некоторые физики пытались истолковать их как указывающие на реальное сокращение размеров всех тел, включая и Землю, в направлении движения под действием возникающих при этом электромагнитных сил.
Таким образом, относительными оказывались и “длина”, и “промежуток времени” между событиями и даже “одновременность” событий. Иначе говоря, не только всякое движение, но и пространство, и время.
В 1905г. А.Эйнштейн создает специальную теорию относительности, которая стала результатом обобщения и синтеза классической механики Галилея—Ньютона и электродинамики Максвелла—Лоренца. Он формулирует обобщенный принцип относительности, который теперь распространяется и на электромагнитные явления, в том числе и на движение света. Этот принцип гласит, что никакими физическими опытами (механическими, электромагнитными и др.), производимыми внутри данной системы отсчета, нельзя установить различие между состояниями покоя и равномерного прямолинейного движения. Классическое сложение скоростей неприменимо для распространения электромагнитных волн, света. Для всех физических процессов скорость света обладает свойством бесконечной скорости. Для того чтобы сообщить телу скорость, равную скорости света, требуется бесконечное количество энергии, и именно поэтому физически невозможно, чтобы какое-нибудь тело достигло этой скорости.
6.1 Свет
Благодаря световому потоку мы воспринимаем красоту окружающей нас природы, видим далекие галактики и мельчайшие бактерии, измеряем высокие температуры и большие расстояния.
Светом
называют электромагнитное излучение, воспринимаемое человеческим глазом. Длины волн этого излучения заключены в интервале от 0,38 мкм у фиолетового до 0,77 мкм у красного света. В более широком смысле под светом понимают оптическое излучение, к которому помимо видимого света относятся инфракрасные и ультрафиолетовые излучения.
Глаз человека хорошо различает цвета, то есть реагирует на изменение длины волны светового излучения. Наши органы зрения приспособлены прежде всего именно к солнечному свету.
Свет рассматривают иногда как волну, переносящую электромагнитные колебания, иногда - как поток фотонов. Это связано с тем, что в одних случаях проявляются главным образом волновые свойства света, в других – корпускулярные.
Если солнечный свет пропускать через призму, то световые волны с большей частотой колебаний отклонятся от своего первоначального направления сильнее, чем волны с меньшей частотой. Именно поэтому на экране, установленном за призмой, образуется разноцветная полоса – спектр.
Скорость света является предельной скоростью распространения материальных воздействий. Она не может складываться ни с какой скоростью и для всех инерциальных систем оказывается постоянной. Все движущиеся тела на Земле по отношению к скорости света имеют скорость, равную нулю.
Из этих двух принципов — постоянства скорости света и расширенного принципа относительности Галилея — математически следуют все положения специальной теории относительности (СТО). Если скорость света постоянна для всех инерциальных систем, а они все равноправны, то физические величины длины тела, промежутка времени, массы для разных систем отсчета будут различными. Так, длина тела в движущейся системе будет наименьшей по отношению к покоящейся. По формуле:

где ľ -
длина тела в движущейся системе со скоростью V по отношению к неподвижной системе;
l
-длина тела в покоящейся системе.
Для промежутка же времени, длительности какого-либо процесса — наоборот. Время будет как бы растягиваться, течь медленнее в движущейся системе по отношению к неподвижной. Еще раз подчеркнем, что эффекты специальной теории относительности будут обнаруживаться при скоростях, близких к световым. При скоростях значительно меньше скорости света формулы СТО переходят в формулы классической механики.
Эйнштейн попытался наглядно показать, как происходит замедление течения времени в движущейся системе по отношению к неподвижной. Представим себе железнодорожную платформу, мимо которой проходит поезд со скоростью, близкой к скорости света (см. рис. 14).В точке А1
на платформе находится наблюдатель N1
(или прибор, фиксирующий эксперимент). На полу вагона в точке А размещен фонарик. Когда происходит совмещение точки А в вагоне с точкой А1
на платформе, фонарик включается, появляется луч света. Так как скорость его конечная, хотя и большая, то для того чтобы достигнуть потолка вагона, где расположено зеркало, и отразиться обратно, необходимо время, за которое поезд уйдет вперед.
Для наблюдателя в вагоне луч света пройдет путь 2АВ, а для наблюдателя на платформе — 2АС. Как видно из рисунка, чем больше скорость поезда, тем длиннее линия АС. Очевидно, что 2AС > 2АВ. Это как раз и говорит о замедлении течения времени внутри движущейся системы по отношению к неподвижной.
Необходимо подчеркнуть, что именно в отношении определенных пространственных координат изменяются отрезки длин и промежутки времени. Наблюдатель, находящийся внутри вагона, по своим часам, скажем, ждет полчаса. А по часам наблюдателя на платформе проходит значительно больше времени. Если, например, длина космического корабля в полете уменьшается в два раза с точки зрения наблюдателя на Земле, то при возвращении на Землю корабль сбавляет скорость и его длина становится такой, как и была при отлете.
Время же необратимо. Отсюда известный парадокс близнецов. После путешествия одного из близнецов на ракете, летевшей близко к скорости света, он с удивлением увидит, что его брат стал старше его. Можно даже рассчитать такой полет.
Представим себе, что с Земли стартовал космический корабль со скоростью 0,99 или 0,98 скорости света и вернулся обратно через 50 лет, прошедших на Земле. Но согласно теории относительности по часам корабля этот полет продолжался бы всего лишь год. Если космонавт, отправившись в полет в возрасте 25 лет, оставил на Земле только что родившегося сына, то при встрече 50-летний сын будет приветствовать 26-летнего отца.
Физиологические процессы здесь совершенно ни при чем. Нельзя спрашивать, почему за один год сын космонавта состарился на 50 лет. Теория относительности доказала, что не существует ни абсолютного времени, ни абсолютного пространства. Сын постарел на 50 лет за годы, прожитые на Земле, в системе отсчета корабля время по отношению к земле другое.
Говоря об относительности пространственных и временных величин в разных системах отсчета, следует помнить, что в теории относительности мы наблюдаем неразрывную связь относительного и абсолютного, как одно из проявлений физической симметрии. Поскольку скорость света является абсолютной величиной, то и связь пространства и времени обнаруживается как некоторая абсолютная величина. Она выражается в так называемом пространственно-временном интервале по формуле.
______
S = vl
2
-С2
t2
В каждой системе отсчета длина тела и временной промежуток будут различны, а эта величина останется неизменной. Увеличение длины будет соответствовать уменьшение промежутка времени в данной системе, и наоборот.
Какие же следствия для пространства и времени вытекают из общей теории относительности? Для этого нужно обратиться вначале к геометрии, которая возникла прежде всего как учение о физическом пространстве, измерении земельных площадей и строительных сооружений. Но уже в древности появилась теоретическая, аксиоматическая геометрия Евклида, которая оставалась единственной до XIX в. Правда, до конца XIX в. не делалось какого-либо различия между теоретической и физической геометрией.
С геометрией Евклида связывался тот взгляд, что пространство везде одно и то же. Она исходила из пяти аксиом или постулатов. Многих математиков не удовлетворял пятый постулат, который гласил, что из одной точки на плоскости можно провести только одну прямую, которая не будет пересекаться сданной, сколько бы ее ни продолжали. Этот постулат не был очевиден, так как никто не мог бы его экспериментально подтвердить даже в воображении — нельзя же линию продолжать в бесконечности.
Н.И. Лобачевский в России, Б. Риман в Германии построили новые геометрии, отбросив пятый постулат и заменив его на другие. Б. Риман заменил его на аксиому, что через точку, лежащую вне данной прямой на плоскости, нельзя провести ни одной параллельной, все они будут пересекаться с данной. Н.И. Лобачевский допустил, что существует множество прямых, которые не пересекутся с данной.
Для пояснения отличия этих геометрий возьмем пространство двух измерений, поверхность. Евклидова геометрия реализуется на плоскости, Римана — на поверхности сферы, на которой прямая линия выглядит как отрезок дуги большого круга, центр которого совпадает с центром сферы. Геометрия Лобачевского осуществляется на так называемой псевдосфере. Так как пространство имеет три измерения, то для каждой геометрии вводится понятие кривизны пространства. В евклидовой геометрии кривизна нулевая, у Римана — положительная, у Лобачевского - отрицательная.
Поскольку постулат параллельности эквивалентен положению о сумме углов треугольника, то различие этих геометрий наглядно изображается на рисунке. В геометрии Евклида сумма углов треугольника равна 180°, у Римана — она больше, у Лобачевского — меньше.
Под кривизной пространства не нужно понимать искривление плоскости наподобие того, как искривлена поверхность евклидовой сферы, где внешняя поверхность отлична от внутренней. Изнутри ее поверхность выглядит вогнутой, извне — выпуклой. Если же брать плоскость в пространстве Лобачевского или Римана, обе ее стороны являются совершенно одинаковыми. Просто внутренняя структура плоскости такова, что мы измеряем ее с помощью некоторого коэффициента “кривизны”. Кривизна пространства понимается в науке как отступление его метрики от евклидовой, что точно описывается в языке математики, но не проявляется каким-то наглядным образом. Риман впоследствии показал единство и непротиворечивость всех неевклидовых геометрий, частным случаем которых является геометрия Евклида.
В общей теории относительности Эйнштейн доказал, что структура пространства—времени определяется распределением ее материи. Суть теории относительности такова: раньше считали, что если каким-нибудь чудом все материальные вещи исчезли бы вдруг, то пространство и время остались бы. Согласно же теории относительности вместе с вещами исчезли бы и пространство, и время.
6.2 Свойства пространства и времени
Прежде всего, пространство и время объективны и реальны, т. е. существуют независимо от сознания людей и познания ими этой объективной реальности. Человек все более и более углубляет свои знания о ней.
Пространство и время являются также универсальными, всеобщими формами бытия материи. Нет явлений, событий, предметов, которые существовали бы вне пространства или вне времени.
Важным свойством пространства является его трехмерность. Положение любого предмета может быть точно определено только с помощью трех независимых величин — координат. В прямоугольной декартовой системе координат это — X, У, Z, называемые длиной, шириной и высотой. В сферической системе координат — радиус-вектор r и углы? В цилиндрической системе — высота r, радиус-вектор и угол?
В науке используется понятие многомерного пространства (n-мерного). Это понятие математической абстракции играет важную роль. К реальному пространству оно не имеет отношения. Каждая координата, например, 6-мерного пространства может указывать на какое-то любое свойство рассматриваемой физической реальности: температуру, плотность, скорость, массу и т. д. В последнее время была выдвинута гипотеза о реальных 11 измерениях в области микромира в первые моменты рождения нашей Вселенной: 10 — пространственных и одно — временное. Затем из них возникает 4-мерный континуум (лат. continuum — непрерывное, сплошное).
В отличие от пространства, в каждую точку которого можно снова и снова возвращаться (и в этом отношении оно является как бы обратимым), время — необратимо и одномерно. Оно течет из прошлого через настоящее к будущему. Нельзя возвратиться назад в какую-либо точку времени, но нельзя и перескочить через какой-либо временной промежуток в будущее. Отсюда следует, что время составляет как бы рамки для причинно-следственных связей. Некоторые утверждают, что необратимость времени и его направленность определяются причинной связью, так как причина всегда предшествует следствию. Однако очевидно, что понятие предшествования уже предполагает время
Пространство обладает свойством однородности и изотропности, а время — однородности. Однородность пространства заключается в равноправии всех его точек, а изотропность — в равноправии всех направлений. Во времени все точки равноправны, не существует преимущественной точки отсчета, любую можно принимать за начальную.
Указанные свойства пространства и времени связаны с главными законами физики — законами сохранения. Если свойства системы не меняются от преобразования переменных, то ей соответствует определенный закон сохранения. Это — одно из существенных выражений симметрии в мире. Симметрии относительно сдвига времени (однородности времени) соответствует закон сохранения энергии; симметрии относительно пространственного сдвига (однородности пространства) — закон сохранения импульса; симметрии по отношению поворота координатных осей (изотропности пространства) — закон хранения момента импульса, или углового момента. Из этих свойств вытекает и независимость пространственно-временного интервала, его инвариантность и абсолютность по отношению ко всем системам отсчета.
Система отсчета длительных промежутков времени, в которой установлен определенный порядок отсчета дней в году и указана эпоха, от которой ведется счет лет, называется календарем. Длительность года, т.е. время обращения Земли вокруг Солнца, составляет 365,2422 суток, а длительность лунного месяца – 29. С древних времен было придумано много различных систем, но все они, включая используемую нами, имеют определенные неудобства.
В I веке до н.э. в Риме был принят юлианский (правил Юлий Цезарь) календарь, который называют старым стилем. В нем за основу взята длительность одного оборота Земли вокруг Солнца. Этот промежуток, равный 365,2422 суткам, называется тропическим годом. В юлианском календаре длительность года принята равной 365,25 суток. При этом три года – по 365 дней, а каждый четвертый – состоял из 366 дней и назывался високосным. Из-за этой поправки (разница в год в среднем составляет 11 мин 14 сек) одни сутки накапливались за 128 лет.
С течением времени неучтенное расхождение между календарным и тропическим годом накапливалось, и действительное начало весны (равенство дня с ночью) все больше расходилось с календарным годом. В ХIV веке это расхождение уже превысило 7 дней, и встал вопрос об исправлении календаря. В 1582 году Папа Григорий ХIII утвердил новый календарь, который используется и поныне. Он известен как григорианский или новый стиль.
При введении григорианского календаря день, следующий после четверга 4 октября 1582 года стал считаться пятницей 15 октября того же года. Это позволило исправить накопленное расхождение в счете дней. Согласно новому календарю, високосными считаются 97 из каждых 400 лет, а не 100, как это было принято в юлианском календаре. Не считаются високосными года, оканчивающиеся на два нуля и которые не делятся на 400 (2000 год был високосным, а 2100 – им не будет). В григорианском календаре расхождение в сутки накапливается уже за 3280 лет.
Сейчас предложено несколько проектов новых календарей. Так, например, в «стабильном» год делится на 12 месяцев по 30 дней в каждом. В месяце выделяется 5 шестидневных недель. Каждый квартал состоит из 90 дней, причем все дни недели приходятся на одни и те же числа месяцев. Для согласования этого календаря с солнечным годом в конце каждого квартала вставляются праздничные дни. В обычном году их 5, в високосном – 6 (День весны, День лета, День лета, День осени, День зимы, День мира и дружбы народов, День високосного года).
7. ХИМИЯ И ЕЕ РОЛЬ В РАЗВИТИИЕСТЕСТВЕННОНАУЧНЫХ ЗНАНИЙ
Как было показано на предыдущих лекциях, наши знания о природе накапливаются и развиваются не хаотично, а в строгом порядке. При этом можно от чисто “физических” представлений об элементарных частицах (электронах, нейтронах, протонах, квантах) вывести представления об объектах химии - атомах, их естественной классификации - Периодической системе химических элементов, а далее и о наборе “строительных блоков” живого организма. Сегодня мы продолжаем знакомство с теми скрытыми связями, которые создают органическое единство всех физических, химических и биологических явлений.
Химия - одна из фундаментальных естественных наук, изучающих материальный мир во всем многообразии его существования и превращений. Она играет исключительно важную роль во всех сферах деятельности человека. До сих пор справедливы пророческие слова М.В.Ломоносова, сказанные им более двух веков назад: “Широко простирает химия руки свои в дела человеческие, и куда ни бросишь взор, видишь плоды ее прилежания”. Человек ежедневно осуществляет химические реакции в процессе намыливания рук, чистке зубов, приготовлении пищи, стирке белья и т.д. Современного человека повсюду окружают приготовленные на химических предприятиях материалы.
7.1 Химия - как система знаний о веществах и их превращениях
Современное определение химии следующее.
Химия - это наука, изучающая свойства и превращения веществ, сопровождающиеся изменением их состава и строения.
В настоящее время насчитывается около 10 млн. веществ. Из них 96 % - органические соединения. Около 300 тыс. составляют неорганические соединения.
Вещества делятся на простые и сложные. Простые вещества можно рассматривать как форму существования элементов в природе. Известно около 400 простых веществ, являющихся различными аллотропными формами 110 элементов. (Аллотропия - способность одного элемента существовать в виде различных простых веществ. Например, кислород и озон, графит и алмаз и др. Сложные вещества - форма существования соединений в природе.
Все известные на настоящий день вещества можно классифицировать в соответствии со следующей схемой.
Основная задача химии - создавать вещества с заранее заданными физическими, химическими, механическими свойствами, разрабатывать новые химические технологии и усовершенствовать старые. Эта задача может быть решена только на основе знаний способов управления свойствами веществ, на реализацию чего направлена научно-исследовательская деятельность. В настоящее время химия представляет собой высокоупорядоченную, постоянно развивающуюся систему знаний. Важнейшими теоретическими направлениями химической науки теснейшим образом связанными между собой являются: учение о строении вещества, учение о направленности химических процессов, учение о скорости и механизме химических процессов, учение о периодическом изменении свойств элементов и их соединений.
Вся история химии, все ее развитие является закономерным процессом способов решения ее основной задачи. В различные исторические эпохи задачи химии решались поразному.
Период алхимии характеризовался накоплением фактического материала о получении и свойствах веществ. Это был исторически закономерный подготовительный этап к возникновению химии как науки. Накопление химических знаний приводило к необходимости их классификации и систематизации. Основоположником системного подхода в химии стал Д.И.Менделеев.
Под Системой химии мы понимаем единую целостность всех химических знаний, которые появляются и существуют не порознь друг от друга, но в тесной взаимосвязи.
В настоящее время всю необозримую картину современной химии в состоянии объяснить четыре концептуальные системы
химических знаний. Их можно показать следующим образом.
Рисунок показывает, что в развитии химии происходило последовательное появление концептуальных систем, причем каждая новая возникала на основе научных достижений предыдущей, опиралась на нее и включала ее в себя в преобразованном виде.
7.2 Проблема элементного и молекулярного состава
Преобразования в области производства, происшедшие в эпоху Возрождения, наряду с прогрессивными изменениями в экономической и политической жизни, вызвали коренные преобразования и в области естествознания.
Первый по настоящему действенный способ решения проблемы химического элемента появился во второй половине XVII века в работах английского ученого Роберта Бойля. В книге “Химик-скептик” Бойль впервые дает правильное толкование понятию химического элемента, как предела химического разложения веществ.
Однако химики в то время еще не знали ни одного химического элемента. Фосфор был открыт в 1669 г. и повторно в 1680 г., кобальт - в 1735 г., никель - в 1751 г., водород - в 1766 г., фтор - в 1771 г., азот — в 1772 г., хлор и марганец — в 1774 г. Кислород был открыт одновременно в Швеции, Англии и Франции в 1772—1776 гг.
В этих условиях широкое распространение в химии получила теория флогистона, которая основана на убеждении, что все горючие вещества богаты особым горючим веществом - флогистоном, и чем больше флогистона содержит данное тело, тем более оно способно к горению. То, что остается после завершения горения, флогистон не содержит и поэтому гореть не может.
Открыв кислород и установив его роль в образовании кислот, оксидов и воды, Лавуазье отверг ложную теорию флогистона и создал принципиально новую кислородную теорию химии.
Благодаря работам Лавуазье, Ломоносова, Дальтона, Авогадро и др. ученых были обнаружены количественные соотношения в химии и открыты основные стехиометрические законы: закон сохранения массы веществ, закон постоянства состава, закон кратных отношений, закон эквивалентов, газовые законы.
В результате на первом Международном съезде химиков в Карслуэ (Германия, 1860 г.) были сформулированы и приняты основные положения атомно-молекулярной теории:
1. Все вещества состоят из молекул, которые находятся в непрерывном, самопроизвольном движении.
2. Все молекулы состоят из атомов. Атомы и молекулы находятся в непрерывном движении. Атомы представляют собой мельчайшие, далее неделимые составные части молекул.
Таким образом, к концу 1860-х гг. утвердившимся и неоспоримым стало представление о существовании атомов и молекул. Была разработана стройная атомно-молекулярная теория, на которой базировалось естествознание того времени. Основной вклад в развитие этой теории внес М.В.Ломоносов.
В дальнейшем благодаря открытию периодического закона Менделеевым и экспериментальному подтверждению внутреннего строения атомов было дано новое современное определение химическому элементу.
Химический элемент
- это определенный вид атомов, характеризуемых одинаковым зарядом ядра.
Во времена Менделеева было известно 62 элемента. В настоящее время их насчитывается 110.
Проблема химического соединения прежде всего заключается в природе химической связи между атомами. Классическое понятие молекулы претерпело изменения в результате раскрытия физической электронной сущности химической связи.
Молекула
- это электронейтральная наименьшая совокупность атомов, образующих определенную структуру посредством химических связей.
В результате того, что физика открыла природу химизма как обменного взаимодействия электронов, химия стала принципиально по-новому решать и проблему химического соединения. Химическое соединение определяется как качественно определенное вещество, состоящее из одного или нескольких элементов, атомы которых за счет обменного взаимодействия (химической связи) объединены в частицы — молекулы, комплексы, монокристаллы или иные агрегаты.
Новые вещества широко вовлекаются в производство материалов используемых в производстве. 98,6% массы физически доступного слоя Земли составляют всего восемь химических элементов. Картина их распределения представлена на рис.12. Широкая распространенность кремния (97% массы земной коры составляют силикаты) дает основание утверждать, что силикаты должны стать основным сырьем для производства практически всех строительных материалов и керамики.
Металлы и керамика — два вида материалов, которые на 90% составляют материальную основу условий жизни человечества. Однако металл в производстве обходится в сотни и тысячи раз дороже, чем керамика.
На основе современных достижений химии появились возможности замены металлов керамикой в различных областях человеческой деятельности.
7.3 Проблемы и решения на уровне структурной химии
Монопольное положение учения о влиянии только состава на свойства веществ продолжалось до 1820-30 годов. Бурное развитие органической химии и синтетических методов исследования, а также открытие стехиометрических законов и создание атомно-молекулярного учения послужило толчком развития структурных представлений - второй ступени концептуальной системы химических знаний.
Самые первые представления, которые легли в основу современной структурной химии, нашли отражение в работах Дальтона, Берцелиуса, Жерара.
Особенно сильное влияние на химиков оказали теория валентности Кекуле и его формульный схематизм. Этот ученый сформулировал основные положения теории валентности, обосновав наличие у углерода валентности равной четырем, у азота - трем, у кислорода - двум и у водорода - единице. Понятие структуры молекул, согласно Кекуле, сводился к построению наглядных формульных схем, которые могут служить конкретным указанием, как, из каких исходных реагентов следует получить целевой продукт. Однако формульный схематизм Кекуле не учитывал реакционную активность веществ.
Фундаментальная задача химии - изучение зависимости между химическим строением вещества и его свойствами была решена А.М.Бутлеровым в теории химического строения. Согласно этой теории свойства соединений определяются их количественным и качественным составом, последовательным порядком соединения между собой атомов, образующих молекулу, а также их взаимным влиянием. Гениальность Бутлерова состояла в том, что не отрицая физической структуры тел, он постоянно проводил мысль, что химическое строение - это не просто геометрическое расположение атомов в молекуле, а их химическое отношение и взаимовлияние.
Теория строения Бутлерова явилась революционным вкладом в обоснование естественнонаучных представлений о строении и свойствах материи. Она связала воедино познание свойств, состава и структуры химических тел. На ее основе в химии как центральная проблема стала выдвигаться теория химической связи.
Различают три основных типа химической связи: ковалентную, ионную и металлическую. Для описания химических свойств в молекулах в настоящее время получили применение две теории: метод валентных связен (ВС)
и метод молекулярных орбиталей (МО). С позиции метода валентных связей, ковалентная связь осуществляется за счет образования электронных пар, в одинаковой мере принадлежащих обоим атомам. Она может осуществляться как между атомами одного и того же элемента, так между атомами разных элементов: H : Cl. Ковалентная связь тем прочнее, чем выше степень перекрывания электронных облаков. Степень перекрывания, в свою очередь, зависит от формы электронных облаков и способов их перекрывания.
Ионная связь образуется между атомами сильно отличающимися по электроотрицательности за счет электростатического притяжения между ионами.
Металлическая связь образуется между положительными ионами в кристаллах металлов за счет притяжения электронов, свободно перемещающихся по кристаллу.
Учение о химическом строении пронизывает не только органическую химию, но и такие современные разделы неорганической химии, как химия координационных соединений, неорганических полимеров, полупроводников и др.
Так было положено начало второму уровню развития химических знаний, который получил название “структурная химии”. На втором уровне своего развития химия превратилась из науки преимущественно аналитической в науку главным образом синтетическую.
7.4 Проблемы и решения на уровне учения о химических процессах
Изумление успехами структурной химии было недолговечным. Интенсивное развитие автомобильной промышленности, авиации, энергетики и приборостроения в первой половине XX века выдвинуло новые требования к производству материалов. Необходимо было получать высокооктановое моторное топливо, специальные синтетические каучуки, пластмассы, высокостойкие изоляторы, жаропрочные органические и неорганические полимеры, полупроводники. Для получения этих материалов способ решения основной проблемы химии, основанный на учении о составе и структурных теориях, был явно недостаточен. Он не учитывал резкие изменения свойств вещества в результате влияния температуры, давления, растворителей и многих других факторов, воздействующих на направление и скорость химических процессов.
Под влиянием новых требований производства возник поэтому следующий—третий способ решения основной проблемы химии, учитывающий всю сложность организации химических процессов в реакторах. Этот способ послужил основанием нового - третьего уровня химических знаний - учения о химических процессах. Химия становится наукой уже не только и не столько о веществах как законченных предметах, но наукой о процессах и механизмах изменения вещества. Благодаря этому она обеспечила многотоннажное производство синтетических материалов, заменяющих дерево и металл, в строительных работах, пищевое сырье в производстве олифы, лаков, моющих средств и смазочных материалов.
Как было сказано выше, важнейшими теоретическими направлениями химической науки являются: учение о строении вещества, учение о направленности химических процессов, учение о скорости и механизме химических процессов, учение о периодическом изменении свойств элементов и их соединений.
Основными энергетическими величинами, характеризующими химические процессы, являются внутренняя энергия (U), энтальпия (H), энтропия (S) и энергия Гиббса (G). Эти термодинамические функции являются функциями состояния системы, то есть их изменение не зависит от пути процесса, а определяется только начальным и конечным состоянием системы.
Внутренняя энергия (U) характеризует общий запас энергии системы кроме потенциальной и кинетической энергии всей системы в целом. Она включает все виды энергии движения и взаимодействия частиц, составляющих систему: молекул, атомов, ядер, электронов. Например, вода в колбе на столе обладает внутренней и потенциальной энергией, при падении со стола имеет еще и кинетическую энергию, но вода в колбе, стоящей на полу, характеризуется только внутренней энергией.
Если в результате протекания химической реакции некоторая система поглотила теплоту Q и совершила работу А, то изменение внутренней энергии системы определяется как:
DU = Q - A
Т.е., сообщенное системе тепло Q расходуется на приращение внутренней энергии DU и на совершение работы А против внешних сил. Это уравнение представляет собой математическое выражение первого начала термодинамики или закона сохранения энергии.
Какая часть внутренней энергии расходуется на совершение работы, а какая превратится в теплоту, зависит только от способа проведения процесса. Большинство химических реакций протекает при постоянном давлении. Для таких процессов 1-е начало термодинамики примет вид:
Qp
=DH,
где Н - энтальпия. Энтальпия, как и внутренняя энергия, характеризует энергетическое состояние системы, но включает энергию, затрачиваемую на преодоление внешнего давления, т.е. работу расширения.
Т.о. тепловой эффект реакции, протекающей при постоянном давлении, определяется изменением энтальпии системы. Внутренняя энергия и энтальпия зависят от природы вещества, его структуры, агрегатного состояния, количества вещества, а также внешних условий - температуры и давления.
Реакции, протекающие с изменением энергии называются термохимическими. Процессы, протекающие с выделением теплоты, называются экзотермическими, а с поглощением теплоты - эндотермическими. В термохимических уравнениях обязательно указывается величина и знак теплового эффекта. Исторически сложились две системы знаков: термодинамическая и термохимическая. В термодинамике принято считать выделенную теплоту отрицательной, а поглощенную - положительной. В термохимии обратная система знаков.
Например, в реакции:
С тв.
+ О2газ.
= СО2 газ.
+ 393,5 кДж
выделяется 393,5 кДж тепла, т.е. эта реакция экзотермическая, а изменение энтальпии этой реакции DH = -393,5 кДж/моль.
Реакция разложения метана - эндотермическая:
СН4 газ.
= С тв.
+ 2Н2 газ.
- 74,9 кДж
а изменение энтальпии DH = +74,9 кДж/моль.
Для расчетов тепловых эффектов химических реакций широко применяется основной закон термохимии, сформулированный в 1836 году Г.И.Гессом: тепловой эффект химического процесса зависит только от начального и конечного состояния системы и не зависит от пути протекания реакций, то есть от промежуточных стадий.
Например, для получения жидкой воды из газообразных водорода и кислорода существуют два пути:
1 путь - непосредственное образование воды из газообразных водорода и кислорода;
2 путь - проведение процесса в две стадии: получение газообразной воды, а затем ее конденсация (рис.14).
Для этих процессов DH р-ции = -285,8 кДж/моль, DH1
= -241,8 кДж/моль, а теплота конденсации воды DH2
= -44,0 кДж/моль. Из закона Гесса следует, что DH р-ции = DH1
+ DH2
.
Практическое значение закона Гесса состоит в том, что с его помощью можно вычислить тепловые эффекты тех реакций, для которых непосредственное определение DH связано с большими экспериментальными трудностями.
Если термодинамика позволяет определить направление протекания химических процессов, то химическая кинетика - это учение о скорости и механизме химических реакций.
К важнейшим факторам, влияющим на скорость химической реакции, относятся природа реагирующих веществ, их концентрация, температура, присутствие в системе катализаторов.
С увеличением концентрации реагирующих веществ и температуры скорость реакции увеличивается.
Сильное влияние на скорость реакции оказывают катализаторы. Катализаторы - вещества ускоряющие реакцию, вступающие в промежуточные реакции с исходными реагентами, но восстанавливающие свой состав в результате процесса. В общем случае любую каталитическую реакцию можно представить проходящей через промежуточный комплекс, в котором происходит перераспределение ослабленных химических связей.
кат.
А С А - - - С А — С
½ + ½ ® ¦ ¦ ®
В D B - - - D B — D
Схема образования промежуточного комплекса в каталитической реакции
Принципиально необходимо, чтобы соединения реагентов с катализатором были непрочными и разрушались, высвобождая катализатор для новых контактов с реагентами. Применение катализаторов послужило основанием коренной ломки всей промышленности. Почти весь неорганический синтез ( производство кислот, оснований, солей) и большинство процессов органического синтеза базируется на катализе. 60-80 % всей химии основаны на каталитических процессах.
Знакомство с основными методами исследования—структурным, термодинамическим, кинетическим, позволяет более детально рассмотреть основные виды химических процессов.
Вещества, взаимодействую друг с другом, подвергаются различным изменениям и превращениям. Явления, при которых одни вещества превращаются в другие, отличающиеся от исходных составом и свойствами, и при этом не происходит изменения состава ядер атомов, называются химическими процессами (реакциями). Например, окисление природного топлива, восстановление металлов из руд, получение серной кислоты и др. При физических процессах изменяется форма или физическое состояние веществ или образуются новые вещества за счет изменения состава ядер атомов. Физические явления как и химические реакции, широко распространены: протекание электрического тока, распространение световых волн, ядерные превращения и т.д. Физические и химические процессы тесно связаны, так например, в гальваническом элементе в результате химической реакции возникает электрический ток, или при сгорании металлического магния выделяются теплота и свет.
Лауреат Нобелевской премии Н.Н.Семенов говорил, что химический процесс становится первой ступенью при восхождении от таких относительно простых физических объектов, как электроны, протоны, атомы, молекулы, к живой системе, потому что любая клетка живого организма по существу представляет собой своеобразный сложный реактор. Это - мост то объектов физики к объектам биологии.
7.5 Эволюционная химия как высший уровень развития
химических знаний
В 1960—1970-х годах появился следующий - четвертый и последний способ решения основной проблемы химии, который назван эволюционной химией. Под эволюционными проблемами в химии понимают процессы самопроизвольного (без участия человека) синтеза новых химических соединений, являющихся более сложными и высокоорганизованными продуктами по сравнению с исходными веществами. В сущности речь идет об использовании химического опыта живой природы. Химический реактор на уровне эволюционной химии предстает как некое подобие живой системы, для которой характерны саморазвитие и определенные черты поведения.
Сегодня химики пришли к выводу, что, используя те же принципы, на которых построена химия организмов, в будущем (не повторяя в точности природу) можно будет построить принципиально новую химию, новое управление химическими процессами, где начнут применять принципы синтеза себе подобных молекул.
Итак, последовательное появление четырех способов решения основной проблемы химии приводит к последовательному появлению и сосуществованию четырех уровней развития химических знаний, или, как теперь их принято называть, четырех концептуальных систем.
Как видно, в развитии химии происходит не смена, а строю закономерное, последовательное появление концептуальных систем. При этом каждая вновь появляющаяся система не отрицает предыдущую, а наоборот опирается на нее и включает ее в себя в преобразованном виде. Так, например, учение о химических процессах предполагает наличие знаний о составе исходного сырья, о строении молекул исходных реагентов и об их реакционной способности, потому что эти знания позволяют химику подобрать исходное сырье для получения целевою продукта.
Развитие химических знаний уже на сегодняшний день позволяет надеяться на разрешение многих проблем, стоящих перед человечеством. Это прежде всего возможность значительного ускорения химических превращений в "мягких" условиях. Химия имеет реальные предпосылки для моделирования и интенсификации фотосинтеза: фотолиз воды с получением водорода как самого высокоэффективного и экологически чистого топлива; промышленный синтез на основе углекислого газа широкого спектра органических продуктов. Сегодня созрели условия для создания малоотходных, безотходных и энергосберегающих промышленных производств, рачительного использования каждого килограмма сырья и киловатта энергии для получения необходимых материалов.
7.6 Учение о периодическом изменении свойств элементов
Учение о периодичности относится к числу наиболее крупных естественнонаучных обобщений, притом чрезвычайно многоплановых. Выделяют три уровня развития учения о периодичности. Первый - химический - соответствует установлению зависимости периодического изменения свойств химических элементов от их атомной массы. Введение понятия об электронной периодичности подняли учение о периодическом изменении свойств на качественно новый второй уровень - электронный. Наконец, разработка ядерных моделей и попытки построения систематик изотопов привели к необходимости обсуждения проблемы периодичности на третьем - ядерном уровне.
Первоначально периодический закон имел следующую формулировку:
Свойства простых веществ, а также формы и свойства соединений элементов находятся в периодической зависимости от величины атомных масс элементов.
Открытие электронной структуры атомов расширило и углубило содержание периодического закона и объяснило причину периодической изменяемости самых различных свойств элементов. Были выявлены ранее неизвестные новые свойства элементов, такие как ионизационный потенциал, сродство к электрону, электроотрицательность и другие. Было установлено, что от характера электронного строения и числа электронов в атомах зависит природа химической связи молекул, их форма и полярность.
С развитием квантовой химии периодический закон получил современную формулировку:
Свойства простых веществ, а также формы и свойства соединений элементов находятся в периодической зависимости от величины зарядов ядер их атомов.
Периодическая система состоит из семи периодов. Период - это последовательный рад элементов, в атомах которых происходит заполнение одинакового числа квантовых уровней. При этом число электронов совпадает со значением главного квантового числа внешнего уровня. Различие в последовательности заполнения квантовых слоев объясняет различие в длине периодов, которые соответственно содержат 2, 8, 8, 18, 18, 32 элемента. Элементы данного периода объединены в семейства: s-, p-, d-, f-. Периоды начинаются щелочными металлами, у которых на внешнем уровне содержится один электрон, и заканчиваются инертными газами, у которых устойчивая оболочка из 8 электронов.
Сочетание орбитального, магнитного и спинового квантовых чисел определяет положение элемента в определенной группе. В соответствие с максимальным количеством валентных электронов все элементы периодической системы подразделяются на 8 групп. Элементы, входящие в одну группу можно назвать электронными аналогами (строение их электронных оболочек аналогично), они обладают близкими физико-химическими свойствами. Группа - это вертикальный ряд элементов, объединенных по валентности. Группы подразделяются на подгруппы. Главные подгруппы включают s- и p-элементы, а побочные - d- и f-элементы. Поскольку элементы сходны по свойствам, но не тождественны, то при переходе от одного элемента к другому наблюдается не простое повторение, а закономерное изменение свойств.
Анализ электронной структуры атомов приводит к следующим выводам.
Электронная структура атома определяется зарядом ядра атома. По мере роста заряда ядра происходит периодическая повторяемость сходных электронных структур. Число электронных слоев в атоме элемента совпадает с номером периода, в котором располагается элемент.
Структурой электронных оболочек атомов объясняется периодичность свойств элементов. Физический смысл периодического закона состоит в следующем: Периодическое изменение свойств элементов по мере увеличения заряда ядра атомов обусловлено периодическим повторением аналогичных структур внешних электронных слоев.
Рассмотрим зависимость некоторых свойств атомов от строения их электронных оболочек. Остановимся, прежде всего, на закономерностях изменения атомных и ионных радиусов. Электронные облака не имеют резко очерченных границ. Поэтому понятие о размере атома не является строгим. Но если представить себе атомы в кристаллах простого вещества в виде соприкасающихся друг с другом шаров, то расстояние между центрами соседних шаров (т. е. между ядрами соседних атомов) можно принять равным удвоенному радиусу атома. Зависимость атомных радиусов от заряда ядра атома Z имеет периодический характер. В пределах одного периода с увеличением Z проявляется тенденция к уменьшению размеров атома, что особенно четко наблюдается в коротких периодах.
Это объясняется увеличивающимся притяжением электронов внешнего слоя к ядру по мере возрастания его заряда. С началом застройки нового электронного слоя, более удаленного от ядра, т. е. при переходе к следующему периоду, атомные радиусы возрастают. В результате в пределах подгруппы с возрастанием заряда ядра размеры атомов увеличиваются.
В пределах каждого периода металлические свойства, наиболее ярко выраженные у первого элемента периода, при переходе к последующим элементам постепенно ослабевают, а неметаллические — возрастают. Каждый период начинается типичным металлом, а кончается типичным неметаллом - одним из галогенов - и инертным газом.
Специфика изменения свойств у элементов, принадлежащих к малым и большим периодам различна. У элементов второго и третьего периода, отличающихся друг от друга числом электронов во внешнем слое химические свойства быстро изменяются при переходе от активных металлов к неметаллам. Активные металлы (Li, Na) разделены от активных неметаллов (F, C1) только пятью элементами соответствующих периодов. Другая картина наблюдается у элементов больших периодов, составляющих побочные подгруппы. Здесь число электронов во внешнем слое не изменяется. Поэтому все данные элементы, называемые переходными, обладают металлическими свойствами. Но и им присущи специфические свойства определяемые числом d-электронов в предпоследнем слое. Значение электронной структуры атомов особенно ярко прослеживается на примере лантаноидов. Все они имеют одинаковое число электронов в последнем и предпоследнем электронном слое. И все они очень близки между собой по химическим свойствам.
Для отрыва электрона от атома, т. е. для превращения атома в положительный ион, нужно затратить энергию. Эта энергия называется энергией ионизации. Чем больше заряд ядра и чем меньше радиус атома, тем сильнее притяжение электрона к ядру, тем больше энергия ионизации. У элементов одного и того же периода заряд ядра постепенно растет, а радиус атома уменьшается, поэтому энергия ионизации растет. В главных подгруппах одной и той же группы периодической системы число электронных слоев возрастает, увеличиваются радиусы атомов, энергия ионизации падает.
Присоединение первого электрона к атому, приводящее к образованию однозарядного отрицательного иона, сопровождается выделением энергии. Эта энергия называется сродством к электрону. Сродство к электрону является мерой способности элемента проявлять неметаллические свойства. Сродство к электрону возрастает с увеличением заряда ядра и уменьшением радиуса атома.
Для более всесторонней оценки свойств элементов введено понятие электроотрицательности, как способности атомов принимать электроны. Чем больше величина электроотрицательности, тем сильнее выражены неметаллические свойства. Самым электроотрицательным элементом является фтор.
Изменение свойств соединений элементов можно проиллюстрировать на примере соединений элементов третьего периода. Первые элементы (натрий и магний) образуют соединения основного характера, соединения алюминия обладают амфотерными свойствами, у соединений последующих элементов (кремний, фосфор, сера и хлор) происходит увеличение кислотных свойств. Т.е. свойства соединений по периоду изменяются периодически от основных через амфотерные к кислотным.
Охарактеризовать кислотно-основные свойства можно с помощью реакций. Характерным свойством оснований является их способность взаимодействовать с кислотами с образованием солей, например,
KOH + HCl = KCl + H2
O
Характерным свойством кислот является их способность взаимодействовать с основаниями с образованием солей, например,
2HNO3
+ Ca(OH)2
= Ca(NO3
)2
+ 2H2
O
Амфотерные гидроксиды могут взаимодействовать и с кислотами и с основаниями образуя соли, например,
Al(OH)3
+ 3HCl = AlCl3
+ 3H2
O
Al(OH)3
+ NaOH = Na[Al(OH)4
]
При сплавлении с основаниями реакция протекает следующим образом:
спл.
Аl(OH)3
+ NaOH = NaAlO2
+ 2H2
O
Окислительная и восстановительная способность элементов также зависит от их положения в периодической системе элементов Д.И.Менделеева. Так как в периодах с возрастанием порядкового номера элемента увеличивается энергия ионизации атомов, то уменьшается их восстановительная способность. Энергия сродства к электрону в периоде возрастает, следовательно, возрастают и окислительные свойства элементов. В главных подгруппах наблюдается обратная зависимость: с увеличением порядкового номера элемента растет их восстановительная способность и уменьшается окислительная.
Развитие науки об атоме, происходившее под знаменем периодического закона, позволило понять сущность превращения одного элемента в другой, практически овладеть расщеплением ядер атомов и извлечением ядерной энергии. Значение периодического закона в современной науке об атоме далеко не исчерпано. Нельзя назвать такой области естествознания, где бы периодический закон не оказал исследователю неоценимой услуги в анализе сложных природных явлений. На основе периодического закона построена естественная система элементов для геохимии. Работами академика А.Е.Ферсмана показано, что распределение элементов и их соединений между различными областями биосферы происходило в процессе длительного исторического развития земли в соответствии с периодическим законом. Все больше выявляется значение периодической системы в вопросах космологии и астрономии. Некоторые явления биохимического характера, связанные с ролью микроэлементов, в том числе и на живой организм, закономерно связаны с расположением элементов в периодической системе. Периодическая система и особенно понятие “места” элемента в системе дали возможность прогнозировать существование неизвестных элементов с их важнейшими свойствами и в дальнейшем открывать эти элементы.
Ныне учение о периодичности представляет один из краеугольных камней знаний о строении и свойствах материи, такое естественнонаучное обобщение, которое не может быть ни опровергнуто, ни даже поставлено под сомнение. Могут быть получены необычные химические соединения ( как это имело место в случае благородных газов), могут быть обнаружены необычные степени окисления у отдельных элементов, но общее представление о характере и содержании учения о периодичности едва ли изменится.
8. ОСОБЕННОСТИ БИОЛОГИЧЕСКОГО УРОВНЯ
ОРГАНИЗАЦИИ МАТЕРИИ
Современное естествознание, как мы уже говорили, представляет собой совокупность многих наук, тесно связанных между собой. Но поскольку природный мир многообразен, то каждая естественная наука имеет свой объект изучения. Одной из таких наук является биология. Определение предмета биологии на первый взгляд кажется довольно простым. Биология - это наука о живом, его строения, формах активности, природных сообществах живых организмов, их распространении и развитии, связях друг с другом и с неживой природой.
Современная биологическая наука — результат длительного процесса развития. Интерес к познанию живого у человека возник очень давно, он был связан с его важнейшими потребностями — в пище, лекарствах, одежде, жилье и т. д. Но только в первых древних цивилизованных обществах люди стали изучать живые организмы более тщательно, составлять перечни животных и растений, населяющих разные регионы, классифицировать их. Одним из первых биологов древности был Аристотель.
В настоящее время биология представляет собой целый комплекс наук о живой природе. Структуру его можно рассматривать с разных точек зрения. По объектам исследования биология подразделяется на вирусологию, бактериологию, ботанику, зоологию, антропологию. По свойствам живого в биологии выделяются: морфология — наука о строении живых организмов; физиология — наука о функционировании организмов; молекулярная биология, изучающая микроструктуру живых тканей и клеток; экология, рассматривающая образ жизни растений и животных и их взаимосвязи с окружающей средой; генетика, исследующая законы наследственности и изменчивости.
Эта многоплановость комплекса биологических наук обусловлена чрезвычайным многообразием живого мира. К настоящему времени биологами обнаружено и описано более 1 млн. видов животных, около полумиллиона растений, несколько сот тысяч видов грибов, более 3 тыс. видов бактерий. Причем мир живой природы исследован далеко не полностью. Число не описанных видов оценивается по меньшей мере в 1 млн.
Так что же такое жизнь, живая природа?
8.1 Сущность живого, его основные признаки
Дать точное определение жизни весьма непросто. И это люди поняли очень давно. Современная биология при описании живого идет по пути перечисления основных свойств живых организмов. При этом подчеркивается, что только совокупность данных свойств может дать представление о специфике жизни.
К числу свойств живого обычно относят следующие:
1.Живые организмы характеризуются сложной, упорядоченной структурой. Уровень их организации значительно выше, чем в неживых системах.
2. Живые организмы получают энергию из окружающей среды, используя ее на поддержание своей высокой упорядоченности. Большая часть организмов прямо или косвенно использует солнечную энергию.
3. Живые организмы активно реагируют на окружающую среду. Если толкнуть камень, то он пассивно сдвигается с места. Если толкнуть животное, оно отреагирует активно: убежит, нападет или изменит форму. Способность реагировать на внешние раздражения — универсальное свойство всех живых существ, как растений, так и животных.
4. Живые организмы не только изменяются, но и усложняются. Так, у растения или животного появляются новые ветви или новые органы, отличающиеся по своему химическому составу от породивших их структур.
5. Все живое размножается. Эта способность к самовоспроизведению, пожалуй, самая поразительная способность живых организмов. Причем потомство похоже, и в то же время чем-то отличается от родителей. В этом проявляется действие механизмов наследственности и изменчивости, определяющих эволюцию всех видов живой природы.
6.Сходство потомства с родителями обусловлено еще одной замечательной особенностью живых организмов - передавать потомкам заложенную в них информацию, необходимую для жизни, развития и размножения. Эта информация содержится в генах - единицах наследственности, мельчайших внутриклеточных структурах. Вот почему потомки похожи на родителей.
7. Живые организмы хорошо приспособлены к среде обитания и соответствуют своему образу жизни. Строение крота, рыбы, лягушки, дождевого червя полностью соответствует условиям, в которых они живут.
Обобщая и несколько упрощая сказанное о специфике живого, можно отметить, что все живые организмы питаются, дышат, растут, размножаются и распространяются в природе, а неживые тела не питаются, не дышат, не растут и не размножаются.
Из совокупности этих признаков вытекает следующее обобщенное определение сущности живого:
жизнь - есть форма существования сложных, открытых систем, способных к самоорганизации и самовоспроизведению.
Фундаментальной основой, так сказать первокирпичиком живого мира, является клетка. Своего рода первокирпичики имеются на каждом из основных уровней организации природы. Так, на уровне, изучаемом физикой, роль таких первокирпичиков играют фундаментальные частицы - кварки, которые не имеют внутренней структуры. В сфере химических наук - уже более крупные частицы - атомы различных химических элементов. Есть подобная фундаментальная частица и в биологии. Это - живая клетка. Именно она является мельчайшей системой, обладающей всем комплексом свойств живого, в том числе и носителем генетической информации - важнейшей основы эволюционного развития живого мира.
Создание клеточной теории, основы которой были заложены немецкими учеными Т. Шванном и М.Я. Шлейденом, стало одним из крупнейших достижений биологии XIX в. Основное положение клеточной теории состоит в утверждении, что все растительные и животные организмы состоят из клеток, сходных по своему строению и свойствам. Так, клетки осуществляют обмен веществ, способны к саморегуляции своего состояния, могут передавать наследственную информацию. Вместе с тем выяснилось, что клетки весьма многообразны. Они могут существовать как одноклеточные организмы (амебы), а также в составе многоклеточных. У клеток разный срок существования. Так, некоторые клетки пищевода отмирают у человека через несколько дней после появления, а срок жизни нервных клеток может совпадать с продолжительностью жизни человека. Жизненный цикл любой клетки завершается или делением и продолжением жизни, но уже в обновленном виде, или гибелью. Размеры клеток колеблются от одной тысячной сантиметра до 10 см, что, правда, встречается очень редко.
Клетки образуют ткани (нервная, мышечная и т.д.), а несколько типов тканей — органы (сердце, легкие и пр.). Группы органов, связанные с решением каких-то общих задач, называют системами организма.
Клетка имеет сложную структуру. Она обособляется от внешней среды оболочкой, которая, будучи неплотной и рыхлой, обеспечивает взаимодействие клетки с внешним миром, обмен с ним веществом, энергией, информацией. Обмен веществ, обеспечиваемый клетками, — важнейшее свойство всего живого. Обмен веществ в биологической литературе называют метаболизмом клеток. Метаболизм в свою очередь служит основой для другого важнейшего свойства клетки — сохранения стабильности, устойчивости условий внутренней среды клетки. Это свойство клеток, присущее всей живой системе, называют гомеостазом, т.е. постоянством состава клетки, которое поддерживается обменом веществ, или метаболизмом.
Обмен веществ — сложный, многоступенчатый процесс, включающий доставку в клетку исходных продуктов, получение из них энергии и белков, выведение из клетки в окружающую среду выработанных полезных продуктов, энергии и "вредных отходов производства".
Но кто же в клетке обеспечивает управление всем этим сложным многоступенчатым процессом? Исчерпывающий ответ на этот вопрос пока не найден. Но общепризнанно, что все нити управления внутриклеточным обменом находятся в особых структурах, как правило, в ядре клетки, в очень длинных цепях молекул нуклеиновых кислот (ДНК, РНК), исходной структурной единицей которых является ген. Это своего рода природное кибернетическое устройство, содержащее инструкцию, информацию, коды, определяющие характер всей деятельности клетки как по обмену веществ, так и по самовоспроизведению.
8.2 Принципы биологической эволюции
В развитии биологии выделяют три основных этапа:
1.систематики (К.Линней);
2. эволюционный (Ч. Дарвин);
3. биологии микромира (Г.Мендель).
Каждый из них связан с изменением представлений о мире живого. На протяжении тысячелетий господствовало объяснение, согласно которому все виды организмов были созданы однажды в их нынешних формах и больше никогда не изменялись. Так сказано в Библии, таких же взглядов придерживался Аристотель. Именно под влиянием этой идеи о неизменности всего живого биологическая парадигма долгое время сводилась лишь к описанию многочисленных видов животных и растений. Причем это описание ограничивалось характеристикой только внешних, бросающихся в глаза признаков. Такова была и наиболее совершенная для своего времени, но оставшаяся в рамках старой парадигмы и потому во многом искусственная, классификация, предложенная знаменитым шведским естествоиспытателем К. Линнеем.
Используя рациональные методы, ряд ученых, например Бюффон во Франции, Э. Дарвин (дед Ч. Дарвина) в Англии, И.В. Гете в Германии, М.В. Ломоносов в России пришли к выводу, что организмы, населяющие Землю, не неизменны, а претерпевают эволюцию. Этот вывод позволили им сделать обнаруженные в разных местах Земли ископаемые остатки странных животных и растений, совершенно не похожие на современных. Парадигма искусственной систематизации сменилась принципами естественной классификации, основанной на теории эволюции и исходившей не только из внешнего сходства форм, но и из общности происхождения, родства. Интенсивное проникновение эволюционной идеи в биологию началось в конце XVIII века, благодаря работам выдающегося французского биолога Ж.Б. Ламарка Он известен не только тем, что предложил впервые термин "биология". Ламарк объяснил изменчивость видов двумя факторами: влиянием внешней среды (питание, климат, упражнение органов) и наследственности.
Проблемы, поставленные Ламарком, были успешно решены Ч. Дарвином. В своей знаменитой работе "Происхождение видов путем естественного отбора", вышедшей в 1859 г., он, обобщив отдельные эволюционные идеи, создал стройную, развернутую теорию эволюции.
Современная физика обосновывает концепцию универсальной эволюции. Согласно этой теории развитие Вселенной предстает как ряд последовательных эволюционных этапов, начиная с так называемого Большого взрыва через период эволюции неживой материи к биологической эволюции, а от нее к этапу исторической эволюции человека и общества.
С точки зрения теории эволюции, все многообразие живой природы является результатом действия трех взаимосвязанных факторов: наследственности, изменчивости и естественного отбора.
Эти выводы теории эволюции, или ее основные принципы, базируются на следующих трех наблюдениях.
1. В любой популяции, виде животных наблюдается изменчивость составляющих ее особей. В этом можно убедиться, сравнивая, например, одного человека с другим.
2 .Некоторые из этих изменений имеют генетическую основу, т.е. унаследованы от родительских особей, получены уже при рождении, а другие являются результатом приспособления к окружающей среде, приобретены в течение жизни.
3. Рождается, как правило, значительно большее число организмов, чем доживает до размножения; многие гибнут на стадии семян, зародышей, птенцов, личинок. Причем выживают те организмы, которые обладают сочетанием генов, повышающих вероятность их выживания и размножения, а также вырабатывают в течение своей жизни некоторые признаки, способствующие выживанию.
Отсюда вытекает главный вывод, что весь ход эволюции видов ведет к тому, что генетические и иные признаки, обеспечивающие выживание, встречаются от поколения к поколению все чаще в данном виде, определяя главное направление его развития. Механизм действия факторов эволюции лучше всего виден на примере развития уровня популяции живых организмов.
Популяция — это длительно существующие группы особей, устойчиво сохраняющиеся на протяжении жизни многих поколений. Популяции могут занимать территории разной протяженности, в зависимости от размеров особей и их численности. Виды, как правило, состоят из нескольких популяций.
Появление элементарных эволюционных изменений в популяции, т.е. ее новых устойчивых признаков, передающихся по наследству через несколько поколений, зависит от следующих эволюционных факторов: перестройки носителей наследственности - генов, популяционных волн (резких колебаниях численности особей из-за различных природных колебаний), изоляции и естественного отбора.
Естественный отбор является основным фактором, направляющим эволюционные изменения. Именно он определяет магистральную линию исторического развития живого, формирует у живых организмов оптимальные способности к выживанию и самовоспроизведению. Причем отбор закрепляет и те особенности, которые полезны данному виду как целому. Эти признаки могут быть вредны для особи, но полезны для популяции: отгоняя врага, ужалившая его пчела гибнет, но спасает пчелиную семью, семейный запас меда.
Таким образом, весь ход эволюция видов ведет к тому, что генетические и иные признаки, обеспечивающие выживание, встречаются от поколения к поколению в данной популяции все чаще, определяя направление развития вида. Т.е. эволюция есть направленный процесс исторического изменения живых организмов.
Ныне эволюционное учение видит свою главную задачу в том, чтобы на основе углубленного познания механизма эволюционных процессов предсказывать конкретные возможности эволюционных преобразований и на этой основе управлять эволюционным процессом. Все возрастающую роль в выполнении данной задачи играет одна из наиболее перспективных отраслей биологической науки — генетика.
8.3 Проблемы генетики
Выделение и быстрое развитие в XX в. генетики как отрасли биологической науки определяется прежде всего открытием в конце XIX в. определенных законов, которым подчиняется механизм наследственности, что сделало возможным целенаправленную селекцию растений и животных.
Генетика изучает два фундаментальных свойства живых систем - наследственность и изменчивость, то есть способность живых организмов передавать свои признаки и свойства из поколения в поколение, а также приобретать новые качества.
Важным этапом в развитии генетики стало открытие роли ДНК (дезоксирибонуклеиновой кислоты) в передаче наследственной информации в 30-х годах XX века. Началось раскрытие генетических закономерностей на молекулярном уровне, зародилась новая дисциплина - молекулярная генетика. Признаки и свойства организма, передающиеся по наследству, фиксируются в генах - участках молекулы ДНК (или хромосомы), определяющих возможность развития одного элементарного признака или синтез одной белковой молекулы. По химическому составу — это нуклеиновые кислоты, в составе которых основную роль играют азот и фосфор. Гены располагаются, как правило, в ядрах клеток. Они имеются в каждой клетке, и поэтому их общее количество в крупных организмах может достигать многих миллиардов. По своему назначению гены — своего рода "мозговой центр" всего организма. Совокупность всех признаков организма называется фенотипом.
Совокупность всех генов одного организма называется генотипом.
Эти открытия, термины и их определения связаны с именем одного из основоположников генетики В. Иогансена.
В основу генетики легли закономерности наследственности, обнаруженные австрийским биологом Грегором Менделем при проведенной им серии опытов по скрещиванию различных сортов гороха. Согласно его гипотезе наследование носит дискретный характер. Наследование признаков идет в режиме расщепления, поэтому возможно появление гибридов с несмешивающимися признаками. Эта гениально простая схема, развившаяся последствии в стройную теорию, объяснила одним разом все эмпирические факты. Открытия Г. Менделя были по достоинству оценены только после его смерти, а в России — значительно позже, чем в других странах. Дальнейшее развитие теория наследственности получила в хромосомной теории Моргана.
Существование различных видов жизни, казалось бы, отрицает саму идею ее единства. Благодаря открытию структуры ДНК стало понятно, каким образом возникло множество жизненных форм. Главными строительными блоками живого организма являются белки, образуемые внутри клеток путем соединения 20 разных аминокислот в разной последовательности. Существуют тысячи возможных вариантов их соединения, дающий тысячи разных белков. К 1950 году уже было установлено, что молекула ДНК - тот материал, который контролирует производство белков и наследственные черты всего живого.
В 1953 году американскими учеными Джеймсом Уотсоном и Фрэнсисом Криком было сделано важнейшее открытие ХХ века, совершившее настоящий переворот в современной биологии. Задача определения структуры молекулы ДНК была невероятно трудной, поскольку молекулы живых организмов большие и сложные. Но она была блестяще решена, и в апреле 1953 года в научном журнале “Природа” была опубликована короткая, из 900 слов, статья, в которой предлагалась структура двойной спирали: две скрученные вместе спирали скрепляются двумя типами пар оснований аденин-тимин и цитозин-гуанин. Открытая Уотсоном и Криком структура ДНК подсказала, каким образом при делении клетки происходит передача наследственной информации и как ДНК определяет структуру белков организма. При размножении две спирали старой молекулы ДНК расходятся, и каждая становится матрицей для воспроизводства новых цепей ДНК. Удвоение молекул ДНК происходит с удивительной точностью, новая молекула абсолютно идентична старой.
Разгадка генетического кода объяснила истоки наследственных болезней. Единственной ошибки в порядке построения оснований в ДНК может быть достаточно, чтобы прервать процесс образования нормального белка. Всего у человека 100 000 генов, в структуре которых может встречаться по меньшей мере 12 ошибок, возникающих как правило случайно. Большая часть этих ошибок не имеет серьезных последствий, однако некоторые вызывают генетические болезни. Современный уровень генетики дает шанс исправить эти ошибки. Однако проводимые эксперименты по генной терапии пока не позволили вылечить не одну из серьезных генетических болезней.
Важнейшими задачами, которые решают сегодня ученые-генетики в тесном контакте с практиками-селекционерами, являются выбор оптимальной системы скрещивания и эффективного метода отбора, управление развитием наследственных признаков. В области медицины генетика способствует, в частности, разработке мероприятий по защите человека от вредного мутагенного воздействия окружающей среды.
Крупнейшее открытие современной генетики связано с установлением способности генов к перестройке, изменению. Эта способность называется мутированием (от лат. mutatio
—
мутация, изменение). Мутации для организма бывают полезными, вредными или же нейтральными. Одним из результатов мутаций может быть появление организма нового вида — мутанта.
Причины мутаций до конца не выяснены. Однако установлены основные факторы, вызывающие мутации. Это так называемые мутагены, рождающие изменения. Известно, например, что мутации могут вызываться некоторыми общими условиями, в которых находится организм: его питанием, температурным режимом и т. д. Вместе с тем они зависят и от некоторых экстремальных факторов, таких, как действие отравляющих веществ, радиоактивных элементов, в результате которых количество мутаций увеличивается в сотни раз, причем возрастает оно пропорционально дозе воздействия. В последнее время в связи с загрязнением окружающей среды, повышением фонда радиации возрастает число стихийных вредных мутаций, в том числе и у человека. Ежегодно в мире рождается около 75 млн. детей. Из них 1,5 млн., т.е. около 2%, — с наследственными болезнями, вызванными мутациями. С наследственностью связана предрасположенность к раку, туберкулезу, полиомиелиту. Известны вызываемые теми же факторами дефекты нервной системы и психики, такие, как слабоумие, эпилепсия, шизофрения и т.п.
Одним из наиболее опасных видов мутагенов являются вирусы (от лат. virus
—
яд). Вирусы — мельчайшие из живых существ. Их можно рассмотреть только в электронный микроскоп. Они не имеют клеточного строения, не способны сами синтезировать белок, поэтому получают необходимые для их жизнедеятельности вещества, проникая в живую клетку и используя чужие органические вещества и энергию. У человека вирусы вызывают множество заболеваний, включая грипп и СПИД.
СПИД — синдром приобретенного иммунодефицита вызывается особым вирусом. Попадая в клетки крови и мозга, он встраивается в генный аппарат и парализует их защитные свойства. Зараженный вирусом СПИДа человек становится беззащитным перед любой инфекцией. До сих пор не разработаны даже теоретические подходы к решению такой задачи, как очистка генетического аппарата клеток человека от чужеродной вирусной информации.
Опираясь на достижения современной генетики, крупный вклад в развитие селекции, создание новых сортов растений, пород животных, борьбу с их болезнями внесли выдающиеся отечественные биологи Н.И. Вавилов, И.В. Мичурин, Н.П. Дубинин, Н.В. Тимофеев-Ресовский.
В процессе развития биологии и ее практического использования встает ряд острых проблем, требующих специального этического осмысления. Первоочередной среди них стала угроза уничтожения всех форм жизни на Земле, ответственность за которую несут не только политики, но и ученые, особенно физики, химики, биологи. Исследования в области генной инженерии также вызывает тревогу. Например, целесообразность поддержания жизни смертельно больного человека, допустимость использования человеком его "права на смерть", проведения научных экспериментов над животными и людьми, наконец, целесообразность применения генетики для клонирования (копирования) животных и людей.
Так, весной 1997 г. общественное мнение Великобритании было буквально потрясено известием о том, что доктор И. Вилмут с группой ученых биологического института в Эдинбурге получил искусственным путем ягненка по имени Долли. Причем, как было заявлено, эта технология потенциально применима и к людям. Примечательно, что под давлением общественного мнения британское правительство было вынуждено незамедлительно прекратить финансирование программы, выполняемой учеными Эдинбурга.
9. ЧЕЛОВЕК, БИОСФЕРА И КОСМИЧЕСКИЕ ЦИКЛЫ
9.1 Биосфера
Жизнь как особое, очень сложное явление природы оказывает на окружающий мир самое разнообразное воздействие.
Вопросы возникновения жизни на земле волновали человека с давних времен. Ученые полагают, что при дегазации вулканических лав на поверхность Земли поступали прежде всего пары воды и газообразные соединения углерода, серы, азота. Вначале атмосфера была такой тонкой, что парниковый эффект был ничтожен. В таком случае средняя температура поверхности Земли была около 15°С. А при такой температуре все пары воды должны были конденсироваться, за счет этого и образовались океаны.
Первичная атмосфера не содержала свободного кислорода, поскольку его не содержали те газы, которые выбрасывались при извержении вулканов. Таким образом, свободный кислород, а значит, и химический состав современной атмосферы являются результатом жизнедеятельности первичного живого вещества.
Началом жизни на Земле принято считать появление нуклеиновых кислот, способных к воспроизводству белков. Переход от сложных органических веществ к простым живым организмам наукой пока не установлен. Сегодня уже не вызывает сомнений, что В.И. Вернадский, предположивший, что жизнь сразу возникла в виде примитивной биосферы, был прав - потому, что только разнообразие видов живых организмов могло обеспечить выполнение всех функций живого вещества в биосфере.
Совокупность всех живых организмов вместе со средой их обитания, в которую входят вода (гидросфера), верхняя часть земной коры (литосфера) и нижняя часть атмосферы составляет биосферу.
Два главных компонента биосферы — живые организмы и среда их обитания — непрерывно взаимодействуют между собой и находятся в тесном, органическом единстве, образуя целостную динамическую систему. Биосфера как глобальная суперсистема в свою очередь состоит из рада подсистем.
Отдельные живые организмы не существуют изолированно. В процессе своей жизнедеятельности они соединяются в разные системы (сообщества), например, в популяции.
В ходе эволюции образуется другой, качественно новый уровень живых систем так называемые биоценозы —
совокупность растений, животных и микроорганизмов в локальной среде обитания.
Эволюция жизни постепенно приводит к росту и углублению дифференциации внутри биосферы. В совокупности с окружающей средой обитания, обмениваясь с ней веществом и анергией, биоценозы образуют новые систем — биогеоценозы,
или, как их еще называют, экосистемы.
Они могут быть разного масштаба: море, озеро, лес, роща и т. д. Экосистема представляет собой естественную модель биосферы в миниатюре.
Таким образом, в совокупности все живые организмы и экосистемы образуют суперсистему — биосферу.
Одним из первых в науке комплексное учение о биосфере стал разрабатывать выдающийся русский ученый В.И. Вернадский. В отличие от предшествующих исследователей природы В.И. Вернадский не ограничивал понятие биосферы только совокупностью всех живых организмов планеты. В биосферу он включал и все продукты жизнедеятельности, выработанные за время существования жизни.
Организмы берут из окружающей среды химические элементы, строящие их тела, и возвращают их после смерти и в процессе жизни в ту же самую среду.
В живом организме преобладают 6 элементов: С, Н, О, N, P, S - на которые приходится 97,4 % массы организма. Эти элементы называются органогенами.
По своему содержанию в живом организме химические элементы разделяют на макро- и микроэлементы. К макроэлементам относятся С, Н, О, N, P, S, K, Na, Ca, Mg, Cl, на долю которых приходится более 99 % массы живого вещества. К микроэлементам относят I, Fe, Mo, Cu, Co, Zn и др. (менее 1 % массы).
Макроэлементы сконцентрированы, как правило, в одном типе живого организма (соединительные ткани, мышцы, кровь), они составляют пластический материал основных несущих тканей, обеспечивают свойства внутренней среды организма в целом: поддерживают определенное значение рН, осмотическое давление, сохраняют в нужных пределах кислотно-основное равновесие. Их содержание в организме достаточно постоянно, но даже сравнительно большие отклонения от нормы совместимы с жизнедеятельностью организма.
Микроэлементы неравномерно распределены между тканями и часто обладают сродством к определенному типу тканей и органов. Так цинк содержится в поджелудочной железе, молибден - в почках, йод - в щитовидной железе. Незначительные отклонения содержания микроэлементов от нормы вызывают тяжелые заболевания. Например, снижение содержания цинка в плазме крови - обязательное следствие инфаркта миокарда.
Тем самым и жизнь, и косное вещество находятся в непрерывном тесном взаимодействии, в круговороте химических элементов.
Окружающая среда включает в себя, помимо поверхности Земли и ее недр, часть Солнечной системы, которая попадает или может попасть в сферу деятельности человека. В структуре окружающей среды выделяют две важнейшие составляющие: естественную и искусственную среды обитания.
Естественная среда обитания
включает в себя неживую и живую части природы — геосферу и биосферу. Она существует и развивается без вмешательства человека, естественным образом.
Человек перестал бы быть разумным существом, если бы не смог создать нечто свое, искусственное, чего не было до сих пор в природе. В результате им была создана искусственная среда обитания —
все то, что специально сделано человеком: разнообразие предметов материальной и духовной культуры, преобразованные ландшафты, а также выведенные в результате селекции и одомашнивания растения и животные.
Огромное влияние человека на природу и масштабные последствия его деятельности послужили основой для создания учения о ноосфере (сфере разума). Под ноосферой понимается сфера взаимодействия человека и природы, в пределах которой разумная человеческая деятельность становится определяющим фактором.
В учении о ноосфере В.И. Вернадского живое вещество преобразует верхнюю оболочку Земли. Постепенно вмешательство человека все увеличивается, поэтому человек несет прямую ответственность за эволюцию планеты. Понимание человеком данного тезиса необходимо и для его собственного выживания. Стихийность же развития сделает биосферу непригодной для обитания людей. В связи с этим человеку следует соизмерять свои потребности с возможностями биосферы. Постепенно биосфера преобразуется в ноосферу, где ее развитие приобретает направляемый характер.
9.2 Взаимосвязь космоса и живой природы
Благодаря взаимосвязи всего существующего космос оказывает активное влияние на самые различные процессы жизни на Земле. В.И. Вернадский, говоря о факторах, влияющих на развитие биосферы, указывал среди прочих и космическое влияние. Так, он подчеркивал, что без космических светил, в частности без Солнца, жизнь на Земле не могла бы существовать.
Ученые давно обратили внимание на проявления активности Солнца (пятна, факелы на его поверхности и др.). Эта активность в свою очередь оказалась связанной с электромагнитными и другими колебаниями мирового пространства. В 1915 году A.JI.Чижевский, проведя многочисленные научные исследования по астрономии, биологии и истории, пришел к выводу об очень значительном влиянии Солнца и его активности на биологические и социальные процессы на Земле. Смысл его концепции, основанной на богатом фактическом материале, состоял в доказательстве существования космических ритмов и зависимости биологической и общественной жизни на Земле от пульса космоса. Лишь через много лет высказанные A.JI.Чижевским мысли и выводы о влиянии Солнца на земные процессы были подтверждены на практике. Многочисленные наблюдения показали неоспоримую зависимость массовых всплесков нервно-психических и сердечно-сосудистых заболеваний у людей при периодических циклах активности Солнца. Прогнозы так называемых "неблагоприятных дней" для здоровья — обычное дело в наши дни.
Особое место занимает утверждение Чижевского о том, что Солнце существенно влияет не только на биологические, но и социальные процессы на Земле. Социальные конфликты (войны, бунты, революции), по убеждению AJI. Чижевского, во многом предопределяются поведением и активностью нашего светила. По его подсчетам, во время минимальной солнечной активности происходит минимум массовых активных социальных проявлений в обществе (примерно 5%). Во время же пика активности Солнца их число достигает 60%.
Весьма оригинальными были космические идеи первого представителя русского космизма Н.Ф. Федорова. По мнению Н.Ф. Федорова, наука поможет человеку продлить его жизнь, а в перспективе сделать бессмертным. Расселение людей на другие планеты из-за большого скопления станет необходимой реальностью. В середине XIX в. он предлагал свой вариант перемещения людей в космическом пространстве.
Идеи Н.Ф. Федорова о расселении людей на другие планеты развивал гениальный ученый в области ракетостроения К.Э. Циолковский. Ему принадлежит также ряд оригинальных философских идей. Жизнь, по Циолковскому, вечна. "Мы всегда жили и всегда будем жить, но каждый раз в новой форме и, разумеется, без памяти о прошлом...". В этом мыслитель весьма близок к индусским учениям о переселении душ, а также к Демокриту. Ученый полагал, что жизнь и разум на Земле не являются единственными во Вселенной. Не имеющее границ космическое пространство населено разумными существами различного уровня развития. Есть планеты, которые по развитию разума и могущества достигли высшей степени и опередили другие. Эти "совершенные" планеты, пройдя все муки эволюции и зная свое печальное прошедшее и былое несовершенство, обладают моральным правом регулировать жизнь на других, примитивных пока планетах. Циолковский полагал, что Земле во Вселенной принадлежит особая роль. Земля относится к более поздним планетам, “подающим надежду”. Лишь небольшому числу таких планет будет дано право на самостоятельное развитие, в том числе и Земле. В ходе эволюции со временем будет образован союз всех разумных высших существ космоса.
9.3 Экологические проблемы и их решения
История совместного существования человека и природы представляет собой единство двух тенденций. Во-первых, с развитием общества расширяется господство человека над природой; во-вторых, постоянно углубляются противоречия между ними.
Природа, несмотря на все бесчисленное многообразие своих составных частей, есть единое целое. Именно поэтому воздействие человека на отдельные части нарушает равновесие в природе.
Человек распахивает землю, помогая росту полезных ему растений, но из-за ошибок в земледелии смывается плодородный слой. Вырубка лесов под сельхозугодья лишает почву достаточного количества влаги, и в результате поля вскоре делаются бесплодными. Уничтожение хищников снижает сопротивляемость травоядных и ухудшает их генофонд.
Игнорирование человеком целостного диалектического характера природы приводит к отрицательным последствиям как для нее, так и для общества, порождая глобальные экологические проблемы.
Термин "экология", впервые употребленный немецким биологом Э.Геккелем в 1866 г., обозначает науку о взаимоотношениях живых организмов с окружающий средой. Сегодня экологическую ситуацию в мире можно охарактеризовать как близкую к критической. Первая Конференция ООН по окружающей среде в 1972 г. официально констатировала наличие на Земле глобального экологического кризиса всей биосферы. Уничтожены и продолжают уничтожаться тысячи видов растений и животных; в значительной мере истреблен лесной покров; стремительно сокращается имеющийся запас полезных ископаемых; мировой океан не только истощается в результате уничтожения живых организмов, но и перестает быть регулятором природных процессов; атмосфера во многих местах загрязнена до предельно допустимых норм, чистый воздух становится дефицитом; на Земле практически нет ни одного квадратного метра поверхности, гае бы не находилось искусственно созданных человеком элементов.
С началом космических полетов проблемы экологии переместились и в открытое космическое пространство. Неутилизированные отходы от космической деятельности человека накапливаются в космосе, что также становится все более острой проблемой.
Загрязнение атмосферы, гидросферы и почвы привели к росту и изменению структуры человеческих заболеваний. Появляются новые болезни, принесенные цивилизацией: аллергические, лучевые, токсические. Происходят генетические изменения в организме. Сверхвысокий ритм жизни и информационные перегрузки привели к тому, что кривая сердечно-сосудистых, нервно-психических, онкологических заболеваний сделала резкий скачок вверх.
Каковы же пути решения экологических проблем? Прежде всего следует перейти от потребительского, технократического подхода к природе к поиску гармонии с нею. Для этого, в частности, необходим рад целенаправленных мер, таких как применение природосберегающих технологий и производств, обязательная экологическая экспертиза новых проектов, а в идеале — создание безотходных технологий замкнутого цикла, безвредных как для природы, так и для здоровья человека. Человек должен не только брать у природы, но и отдавать ей (посадки лесов, рыборазведение, организация национальных парков, заповедников и т.п.). В этом направлении активна деятельность "зеленых" (общественных организаций по защите окружающей среды - "Гринпис").
Другой мерой, направленной на улучшение взаимоотношений человека и природы, является разумное самоограничение в расходовании природных ресурсов, особенно энергетических источников, имеющих для жизни человечества важнейшее значение. Подсчеты международных экспертов показывают, что если исходить из современного уровня потребления, то запасов угля хватит на 430 лет, нефти — на 35 лет, природного газа — на 50.
Вершиной творения природы на Земле является Человек. Природа наградила его разумом и таким образом заставила отвечать за свою дальнейшую судьбу, за все происходящее в природе. Настало время, когда каждый живущий на Земле обязан осознать свою личную причастность и ответственность за сохранение биосферы как среды обитания.
10. ТЕМЫ СЕМИНАРОВ
Тема 1
. Критерии естественнонаучного познания. Исторические аспекты развития естествознания
Наука и ее роль в жизни общества. Методы научного познания. Классификация научных теорий. Эмпирический и теоретический уровни познавательной деятельности. Критерии истинности в науке.
Создание первой естественнонаучной картины мира в древнегреческой культуре. Натуральная философия.
Формирование основ естествознания в эпоху Средневековья и Возрождения. Становление классической науки.
Панорама и тенденции развития современного естествознания. Значение научных революций в развитии естествознания.
Тема 2
. Эволюция Вселенной
Теория Большого взрыва и первичные процессы синтеза нуклонов и атомов. Самоорганизация и свойства Вселенной. Космология – наука о космосе. Понятия «порядок», «гармония», «хаос». Структурные уровни организации материи. Рождение и эволюция звезд. Солнечная система – часть Вселенной.
Геологическое развитие Земли. Современные концепции развития геосферных оболочек
Тема 3.
Физические принципы описания природы
Основные виды фундаментальных взаимодействий. Порядок и беспорядок в природе. Гравитационное, электромагнитное, сильное и слабое взаимодействия. Концепции атомизма, микро- и макромира. Поле и вещество – основные формы существования материи.
Развитие представлений, свойства пространства и времени. Принципы относительности и симметрии. Законы сохранения. Современные достижения физики.
Тема 4
. Биологический уровень организации материи
Концепции возникновения жизни на Земле. Земля в период возникновения жизни. Принципы эволюции, воспроизводства и развития живых систем. Многообразие живых организмов – основа организации и устойчивости биосферы.
Генетика и эволюция. Современные достижения в области биологии. Закономерности развития экосистем. Человек и биосфера. Взаимосвязь космоса и живой природы. Гармония хозяйственной деятельности людей и природы. Проблемы современной энергетики. Экологические кризисы, их предупреждение и предотвращение.
11. ВОПРОСЫ К ЭКЗАМЕНУ (ЗАЧЕТУ)
1. Предмет и цели естествознания.
2. Наука как процесс познания.
3. Этапы развития естествознания.
4. Революции в естествознании и их значение.
5. Научные картины мира.
6. Понятия культуры и науки.
7. Структура естественнонаучного познания.
8. Понятия метода и методологии.
9. Уровни и формы научного познания.
10. Высший уровень первобытного сознания – мифология.
11. Значение появления магии для первобытного человека.
12. Историческое развитие письменности и ее значение для
развития человечества.
13. Создание первой естественнонаучной картины мира в
древнегреческой культуре.
14. Развитие естествознания в эпоху Средневековья.
15. Мегамир: современные астрофизические и космологические
концепции.
16. Модель расширяющейся Вселенной.
17. Рождение и этапы развития Вселенной.
18. Образование Солнечной системы.
19. Рождение и эволюция звезд.
20. Химия и ее роль в развитии естественнонаучных знаний.
Основные задачи химии.
21. Микромир, макромир, мегамир.
22. Макромир. Физическая картина мира.
23. Электромагнитная картина мира. Поле и вещество.
24. Микромир. Становление современной физической картины
мира.
25. Современные представления о физическом строении атома.
26. Квантовые числа, их физический смысл. Строение много-
электронных атомов.
27. Развитие представлений о пространстве и времени.
Пространство и время в современной научной картине мира.
28. Особенности биологического уровня организации материи.
29. Сущность живого, его основные признаки.
30. Принципы биологической эволюции. Принципы воспроизвод-
ства и развития живых систем. Наследственность,
изменчивость, естественный отбор.
31. Современные проблемы генетики.
32. Молекулярные основы генетики. Роль ДНК в передаче
наследственной информации. Открытие Д. Уотсона и Ф. Крика.
33. Синергетика – теория самоорганизации.
34. Человек и биосфера.
35. Взаимовлияние человека и природы. Экологические проблемы
и их решение.
12. ТЕМЫ КОНТРОЛЬНЫХ РАБОТ (РЕФЕРАТОВ)
1. Периоды и этапы развития естествознания.
2. Революции в естествознании и их значение.
3. Научная теория как форма научного познания.
4. Важнейшие открытия Средневековья в области науки и
техники.
5. Естественнонаучные и гуманитарные культуры.
6. Современная научно-техническая революция.
7. Порядок и беспорядок в природе.
8. Принципы относительности и их связь с законами сохранения.
9. Становление современной физической картины мира.
10. Современные представления о строении атома.
11. Квантовые числа, их физический смысл. Строение много-
электронных атомов.
12. Основные принципы современной физики.
13. Модель расширяющейся Вселенной.
14. Рождение и этапы развития Вселенной.
15. Образование Солнечной системы.
16. Рождение и эволюция звезд.
17. Специальная и общая теории относительности.
18. Пространство и время. Общие и специфические свойства.
19. Концептуальные системы в химии.
20. Роль химии в развитии естественнонаучных знаний.
21. Химическая форма движения материи.
22. Решение проблемы химического элемента.
23. Атомно-молекулярное учение.
24. Проблемы структурной химии.
25. Периодичность в природе.
26. Проблемы катализа.
27. Направленность химических процессов.
28. Эволюционная химия как высший уровень развития
химический знаний.
29. Особенности биологического уровня организации материи.
30. Принципы воспроизводства и развития живых систем.
31. Генетика и эволюция.
13. ПЕРЕЧЕНЬ
ВОПРОСОВ ДЛЯ ТЕСТИРОВАНИЯ
1.Когда возникло естествознание?
2. Кто открыл закон всемирного тяготения?
3. Как называется взаимодействие тел в физике, которое может осуществляться мгновенно непосредственно через пустое пространство;
4. В 19 веке электродинамика и оптика опирались на представление о среде, которая выполняла роль переносчика света и вообще электромагнитных взаимодействий. Как называлась эта среда?
5. Как называются явления, описываемые теорией относительности?
6. Существует ли предельная скорость передачи любых взаимодействий и сигналов из одной точки пространства в другую?
7. Как называется физическая теория, устанавливающая способ описания и законы движения микрочастиц (элементарных частиц, атомов)?
8. Что является главной целью науки?
9. Всегда ли научное знание является истинным?
10. Язык науки является важнейшим средством научного познания. На каком языке, по утверждению Галилея, написана книга Природы?
11. Признает ли наука паранаучные концепции – астрологию, парапсихологию, уфологию и т.п.?
12. «Всякое тело продолжает удерживаться в своем состоянии покоя или равномерного и прямолинейного движения, пока и поскольку оно не понуждается приложенными силами изменить это состояние». Как называется этот закон?
13. Кто впервые ввел в физику квантовые представления?
14. В эпоху античности и Средневековья сложилась система мировоззрения о неизменности созданного творцом мира. Как называется это учение?
15. Как называются исторические изменения наследственных признаков организмов, необратимое историческое развитие живой природы?
16. В основе теории Дарвина – свойство организмов повторять в ряду поколений сходные типы обмена веществ и индивидуального развития в целом. Как называется это свойство?
17. Как называется единица наследственного материала, ответственная за формирование какого-то элементарного признака?
18. Как называются структурные элементы ядра клетки, которые состоят из молекулы ДНК и белков, содержат набор генов с заключенной в них наследственной информацией?
19. На чем основываются выводы космологии?
20. В 1929 году американский астроном Э.Хаббл пришел к выводу: «Далекие галактики уходят от нас со скоростью, пропорциональной удаленности от нас. Чем дальше галактика, тем больше ее скорость. Этот вывод Хаббл получил на основе определенного физического эффекта. Как называется этот эффект?
21. Открытое Хабблом красное смещение – это:
22. В моделях однородной изотропной Вселенной выделяется ее особое начальное состояние. Как оно называется?
23. Какой химический элемент преобладает в межзвездном газе?
24. Как называется плотный фрагмент молекулярного облака, в котором еще не достигнуты температуры, необходимые для начала термоядерных реакций, т.е. превращения облака в звезду?
25. Доступен ли прямому наблюдению процесс рождения звезды?
26. Могут ли астрономы наблюдать жизнь одной звезды от начала до конца?
27. Чем определяется конец эволюции звезды?
28. Грандиозное, но редкое небесное явление (раз в несколько десятилетий), запечатленное в исторических летописях – это вспышка сверхновой звезды. Как называется небесное тело образующееся после этого явления?
29. Мир объектов, размерность которых соизмерима с масштабами жизни на Земле – это:
30. Какой процесс является источником энергии звезд?
31. Световой год – это:
32. Какие газы составляют основу воздушной атмосферы?
33. Где содержится основная часть атмосферного воздуха?
34. Атомы имеют размеры порядка:
35. Какая теория возникновения жизни лежит в основе современного естествознания?
36. Какое из логических умозаключений имеет наибольшее значение для развития естествознания?
37. Какой период в истории естествознания относят к механистическому естествознания?
38. К какому типу логических утверждений относится рассуждение: «Вор не желает приобрести ничего дурного. Приобретение хорошего – есть дело хорошее. Следовательно вор желает хорошего».
39. Кто создал эволюционную теорию в биологии?
40. Кем была создана клеточная теория ?
41. Через какой период времени на Земле получают информацию о событиях, происходящих на поверхности Солнца?
42. Любая частица материи обладает свойствами …
43.
Установите соответствие- «ОТКРЫТИЕ- АВТОР»
| 1) радиоактивность
|
в) Беккерель
|
| 2) электрон
|
г) П.Н. Лебедев
|
| 3) световое давление
|
д) Дж. Томсон
|
| 4) квант
|
е) Н. Бор
|
| 5) планетарная модель атома
|
з) М. Планк
|
44. Как называется биологическая наука о разнообразии всех существующих и вымерших организмов, о взаимоотношениях и родственных связях между их различными группами?
45. Неизбежным результатом борьбы за существование и наследственной изменчивости организмов, по Дарвину, является процесс выживания и воспроизведения организмов, наиболее приспособленных к условиям среды, и гибели в ходе эволюции неприспособленных. Как Дарвин назвал этот процесс? 46. Является ли стремление к обоснованности, доказательности знания критерием научности?
47. Кто стал впервые широко применять мысленные эксперименты в ходе построения теории? 48. Зависит ли прогресс научного познания от используемых наукой средств?
49.Входит ли в структуру современного физического знания классическая механика?
50. Могут ли научные революции по своей значимости выходить за пределы той области науки, в которой они произошли?
14. ГЛОССАРИЙ
Автотрофы
- организмы, синтезирующие все необходимые для жизни органические вещества из неорганических за счет энергии фотосинтеза или хемосинтеза.
Адроны
- элементарные частицы (барионы, мезоны), участвующие в сильном взаимодействии.
Акклиматизация
- приспособление живых организмов к новым условиям существования, к новым биоценозам.
Аминокислоты
- класс органических соединений, содержащих карбоксильные и аминогруппы; обладают свойствами кислот и оснований.
Анализ
- метод научного исследования, состоящий в мысленном или фактическом разложении целого на составные части.
Антициклон
- область высокого атмосферного давления, которая характеризуется устойчивой погодой (летом - жаркой, зимой - холодной) со слабыми ветрами и малой облачностью (ср. циклон
).
Античастица
- элементарная частица, равная по величине противопоставляемой частице и противоположная ей по знаку электри-ческого заряда, магнитного момента и т.п. (например, античастицей нейтрона является антинейтрон).
Апогей
- точка лунной орбиты или орбиты космического летательного аппарата, наиболее удаленная от центра Земли (противоположное - перигей).
Астероиды
- малые планеты, обращающиеся вокруг Солнца, в основном между орбитами Марса и Юпитера.
Атмосфера
- газообразная оболочка Земли или других небесных тел.
Атом
- мельчайшая частица химического элемента, сохраняющая его свойства; в центре атома находится положительно заряженное ядро, вокруг которого движутся электроны.
Афелий
- точка орбиты космического тела (планеты, кометы) или космического летательного аппарата, обращающегося вокруг Солнца, наиболее удаленная от него (противоположное - перигелий).
Бактерии
- группа микроскопических, преимущественно однокле-точных организмов, обладающих клеточной стенкой, но не имеющих оформленного ядра.
Белки
- высокомолекулярные органические вещества, построенные из остатков аминокислот и составляющие основу процессов жизнедеятельности всех организмов.
Био...
- первая составная часть сложных слов, обозначающая жизнь, связанный с жизнью (например, биохимия).
Биология
- совокупность наук о живой природе, изучающих сущность, происхождение, развитие и многообразие жизни и занимающихся поиском рациональных методов охраны и преобразования живой природы в соответствии с потребностями человека.
Бионика
- направление кибернетики, изучающее структуру и жизнедеятельность организмов с целью использования открытых закономерностей и обнаруженных свойств для решения инженерных задач и построения технических систем, приближающихся по своим характеристикам к живым организмам.
Биополимеры
- белки, нуклеиновые кислоты, полисахариды, а также их производные.
Биоритмы
- биологические ритмы - циклические (суточные, сезонные и др.) колебания интенсивности и характера тех или иных биологических процессов и явлений, дающие организмам возможность приспосабливаться к циклическим изменениям окружающей среды.
Биосфера
- область распространения жизни на Земле, включающая верхнюю часть твердой оболочки Земли, гидросферу и нижнюю часть атмосферы.
Биотехнология
- совокупность промышленных методов, исполь-зующих живые организмы и биологические процессы для производства ценных продуктов.
Биофизика
- наука, изучающая физические и физико-химические процессы в живых организмах, а также структуру биологических систем на всех уровнях их организации.
Биохимия
- наука, изучающая химический состав организмов, их структуру, свойства, локализацию, а также присущие живой материи химические процессы.
Биогеоценоз
- однородный участок земной поверхности с опреде-ленным составом живых (биоценоз) и косных (приземной слой атмосферы, солнечная энергия, почва и др.) компонентов и динами-ческим взаимодействием между ними (обменом веществ и энергии).
Биоценоз
- совокупность растений, животных и микроорганизмов, населяющих некоторый участок суши или водоема и характеризующихся определенными отношениями между собой и приспособленностью к условиям окружающей среды.
Ботаника
- наука о растениях, изучающая закономерности их внешнего и внутреннего строения, систематику, особенности распространения, взаимоотношения со средой, структуру растительного покрова.
Валентность
- способность атома химического элемента к образованию определенного числа химических связей с другими атомами.
Вещество живое
- совокупность живых организмов биосферы, численно выраженная в элементарном химическом составе, массе и энергии.
Вещество косное
- материя, образующая биосферу и не входящая в состав живого вещества.
Вирус
- возбудитель инфекционных заболеваний растений, животных и человека, размножающийся только внутри живых клеток.
Волны
- возмущения, распространяющиеся с конечной скоростью в пространстве и несущие с собой энергию без переноса вещества.
Галактика
- гигантская звездная система; наша Галактика (Млечный Путь) - звездная система, в которую входит Солнце.
Гармония
- согласованность, стройность в сочетании чего-либо.
Гелио...
- первая составная часть сложных слов, обозначающая относящийся к Солнцу или к солнечной радиации (например, гелио-терапия).
Ген
- материальный носитель наследственности, единица наслед-ственной (генетической) информации, способная к воспроизведению и расположенная в определенном участке хромосомы; обеспечивает преемственность в поколениях того или иного признака или свойства организма.
Генетика
- наука о законах наследственности и изменчивости организмов.
Генный
- от слова ген; генная инженерия - создание с помощью генетических и биохимических методов новых, не существующих в природе сочетаний генов.
Гео...
- первая составная часть сложных слов, обозначающая относящийся к Земле и ее изучению (например, геология, география).
Геология
- наука о составе, строении, истории развития земной коры и более глубоких недр Земли, а также о размещении в земной коре полезных ископаемых.
Геосферы
- концентрические оболочки, из которых состоит Земля и ее ближайшее окружение.
Геронтология
- наука, изучающая старение живых организмов, в том числе и человека.
Гетеротрофы
- организмы, которые используют для своего питания готовые органические вещества; к ним относятся человек, все животные, некоторые растения, большинство бактерий, грибы и др.
Гидро...
- первая составная часть сложных слов, обозначающая относящийся к воде, водным пространствам (например, гидробиология).
Гидросфера
- прерывистая водная оболочка Земли, расположенная между атмосферой и земной корой; совокупность океанов, морей, озер, водохранилищ, рек, болот.
Гормоны
- биологически активные вещества, вырабатываемые железами внутренней секреции, выделяемые непосредственно в кровь и участвующие в регуляции функций организма.
Гравитация
- всемирное тяготение.
Деформация
- изменение размеров и формы тела под действием других тел, полей и сред или изменений температуры, намагниченности и т. д. без изменения его массы (растяжение, сжатие, изгиб, кручение).
Динамика
- 1) раздел механики, изучающий движение тел в связи с причинами, вызывающими эти движения или влияющими на них; 2) состояние движения, ход развития, изменение какого-либо явления под влиянием действующих на него факторов.
Дифракция
- отклонения волн, возникающие при их распростра-нении в средах с резкими неоднородностями (например, с препятст-виями).
Диффузия
- проникновение молекул одного вещества (газа, жидкости, твердого тела) в другие при их непосредственном соприкосновении.
Доминанта
- главенствующая идея, основной признак, важнейшая составная часть чего-либо.
Естествознание
- совокупность наук о природе.
Зигота
- клетка, образующаяся в результате слияния двух половых клеток в процессе оплодотворения у животных и растений; из зиготы развивается новая особь.
Зоо...
- первая составная часть сложных слов, обозначающая относящийся к животным, к животному миру (например, зоология).
Зоология
- наука, изучающая животный мир, строение и жизне-деятельность животных, их распространение, связь со средой обитания, закономерности индивидуального и исторического развития.
Изотопы
- атомы одного и того же химического элемента, имеющие разные атомные массы, обладающие одними и теми же химическими свойствами, но различающиеся по своим физическим свойствам.
Иммунитет
- невосприимчивость организма по отношению к возбудителям болезней или определенным ядам.
Иммунодефицит
- снижение или отсутствие иммунитета вследствие дефекта иммунной системы организма; синдром приобретенного иммунодефицита (спид) - вирусное заболевание, приводящее к ослаблению защитных сил организма в результате поражения иммунной системы, передающееся половым путем или через кровь.
Индукция
- возбуждение электрического поля в каком-либо проводнике при его движении в магнитном поле или изменении магнитного поля вокруг него.
Инертность
- свойство тела сопротивляться механическому действию на него.
Инстинкт
- врожденная форма поведения, свойственная данному виду животных, представляющая собой сложную цепь безусловных рефлексов, вызываемых определенными внешними и внутренними раздражителями.
Интеллект
- ум, рассудок, разум; мыслительная способность человека; искусственный интеллект – название кибернетических систем, моделирующих некоторые стороны интеллектуальной деятельности человека.
Интерференция
- явление, наблюдаемое при сложении когерент-ных волн и состоящее в усилении или ослаблении результирующей волны в каких-то точках пространства в зависимости от разности фаз накладывающихся друг на друга волн.
Ион
- электрически заряженная частица, образующаяся при потере или приобретении избыточных электронов атомами или группами атомов.
Ионосфера
- верхние слои атмосферы, в которых газы находятся частично в ионизированном состоянии; расположена на высотах более 50-80 км.
Календарь
- система счисления времени, основанная на перио-дических явлениях природы: смене времен года (солнечный календарь), смене фаз Луны (лунный календарь).
Квант
- 1) минимальное количество энергии, движения и т. п., на которое может измениться соответствующая дискретная физическая величина; 2) частица-носитель какого либо физического поля; в частности квант электромагнитного поля - фотон, квант поля звуковых колебаний - фонон.
Кибернетика
- наука об общих закономерностях процессов управления и передачи информации в технических, биологических и социальных системах.
Кислоты нуклеиновые
- высокомолекулярные органические соеди-нения, образованные остатками нуклеотидов; присутствуют в клетках всех живых организмов и выполняют важнейшие функции по хранению и передаче генетической информации.
Клетка
- элементарная живая система, основа строения и жизне-деятельности всех животных и растений; клетки существуют в составе многоклеточных организмов, а также как самостоятельные организмы (например, простейшие бактерии).
Клетчатка
- полисахарид, образованный остатками глюкозы; главная составная часть клеточных стенок растений, обусловливающая механическую прочность и эластичность растительных тканей; другое название – целлюлоза.
Код генетический
- передающаяся из поколения в поколение наследственная информация, состоящая в последовательном располо-жении ее материальных носителей (генов).
Кометы
- небесные тела, входящие в состав Солнечной системы; имеют сильно вытянутые орбиты; их ядра состоят из замерзших газов и частиц пыли; с приближением к Солнцу у комет появляется хвост – поток улетучивающихся из ядра молекул (ионов) газов и частиц пыли.
Консументы
- организмы, являющиеся в пищевой цепи потре-бителями органического вещества, т.е. все гетеротрофные организмы; к консументам первого порядка относятся все растительноядные живот-ные, к консументам второго порядка - хищники.
Концепция
- определенный способ понимания, трактовки каких-либо явлений, основная точка зрения, руководящая идея для их освещения; ведущий замысел, конструктивный принцип различных видов деятельности.
Корпускула
- частица в классической (неквантовой) физике.
Космология
- физическое учение о Вселенной как целом, основанное на результатах исследования наиболее общих свойств (однородности, изотропности и расширения) той части Вселенной, которая доступна для астрономических наблюдений.
Космос
- синоним астрономического определения Вселенной; часто выделяют так называемый ближний космос, исследуемый при помощи космических летательных аппаратов, и дальний космос - мир звезд и галактик.
Лазер
- прибор для получения чрезвычайно интенсивных и узко-направленных пучков светового излучения.
Ландшафт
- природный географический комплекс, в котором все основные компоненты: рельеф, климат, воды, почвы, растительный и животный мир - находятся в сложном взаимодействии и взаимо-обусловленности, образуя единую неразрывную систему.
Лейкоциты
- (белые кровяные клетки) – бесцветные клетки крови животных и человека (в отличие от красных кровяных клеток - эрит-роцитов), способные перерабатывать микроорганизмы и вырабатывать антитела.
Литосфера
- верхняя твердая оболочка Земли, включающая зем-ную кору и часть верхней мантии.
Магнитосфера
- область околопланетного пространства, у которой физические свойства определяются магнитным полем планеты (напри-мер, Земли) и его взаимодействием с потоками заряженных частиц космического происхождения.
Мантия
- оболочка Земли, располагающаяся между земной корой и ядром Земли.
Меридиан
- линия сечения поверхности земного шара плоскостью, проведенной через какую-либо точку земной поверхности и ось враще-ния Земли.
Микроорганизмы
- общее название мельчайших организмов растительного и животного происхождения, видимых лишь в микроскоп.
Митохондрии
- органоиды животных и растительных клеток, в которых протекают окислительно-восстановительные реакции, обеспечи-вающие клетки энергией.
Мозг
- центральный отдел нервной системы животных и человека; состоит из нервной ткани: серого вещества (скопление, главным образом, нервных клеток) и белого вещества (скопление, главным образом, нервных волокон).
Мономеры
- вещества, состоящие из молекул, способных реагировать между собой или с молекулами других веществ с образо-ванием полимеров.
Муссоны
- устойчивые сезонные ветры, направление которых резко меняется на противоположное два раза в год.
Мутация
- внезапно возникающее естественное или искусственно вызываемое стойкое изменение наследственных структур.
Нейрон
- нервная клетка, состоящая из тела и отходящих от него отростков - относительно коротких дендритов и длинного аксона; основная структурная и функциональная единица нервной системы.
Нейтрон
- электрически нейтральная элементарная частица, входя-щая в состав атомного ядра.
Номер атома
- (порядковый номер) номер химического элемента в Периодической системе элементов; равен числу протонов в атомном ядре; определяет химические и большинство физических свойств атома.
Ноосфера
- состояние биосферы в современную эпоху; характери-зуется существенным влиянием на геологическую историю Земли человеческого разума.
Нуклеотиды
- составная часть нуклеиновых кислот и других био-логически активных соединений.
Озон
- газ, у которого молекулы представляют собой соединение из трех атомов кислорода; является модификацией последнего; имеет синий цвет и характерный запах.
Озоносфера
- слой атмосферы, в котором сосредоточена основная масса озона; расположена на высотах от 10 до 50 км с максимумом концентрации озона на высотах от 20 до 25 км.
Организация
- 1) внутренняя упорядоченность, согласованность, взаимодействие более или менее дифференцированных и автономных частей целого, обусловленные его строением; 2) совокупность процессов или действий, ведущих к образованию и совершенствованию взаимо-связей между частями целого.
Параллель
- линия сечения поверхности земного шара плоскостью, параллельной плоскости экватора.
Перигей
- ближайшая к Земле точка орбиты Луны или космического летательного аппарата, обращающегося вокруг Земли (противоположное - апогей).
Перигелий
- ближайшая к Солнцу точка орбиты небесного тела, обращающегося вокруг него (противоположное - афелий).
Пигмент
- окрашенные химические соединения; подразделяются на органические и неорганические; на практике применяются в виде тонких порошков для крашения пластмасс, резины, химических волокон, изготовления красок.
Планктон
- совокупность организмов, обитающих в толще воды и переносящихся водными течениями.
Популяция
- совокупность особей одного вида, длительно зани-мающая определенное пространство и воспроизводящая себя в течение большого числа поколений.
Прогноз
- основанное на специальном исследовании заключение о предстоящем развитии и исходе чего-либо; например, прогноз погоды.
Полисомы
- соединение нескольких рибосом; другое название - полирибосомы.
Продуценты
- организмы, способные к фото- и хемосинтезу и являющиеся в пищевой цепи первым звеном, созидателем органических веществ из неорганических, то есть все автотрофы.
Прокариоты
- организмы, не обладающие оформленными клеточ-ными ядрами и типичным хромосомным аппаратом.
Протон
- устойчивая элементарная частица с положительным зарядом, равным по величине заряду электрона; протоны входят в состав ядер атомов.
Протоплазма
- содержимое живой клетки; состоит из клеточной мембраны, цитоплазмы и ядра, но не включает внешнюю клеточную оболочку.
Профаза
- первая стадия деления клетки; характеризуется конден-сацией и спирализацией хромосом, разрушением ядерной оболочки и формированием аппарата клеточного деления.
Психика
- свойство мозга отражать действительность в виде ощущений, восприятий, представлений, мыслей, чувств, воли и т.п.
Психология
- наука, изучающая формы и закономерности психи-ческой деятельности.
Равноденствие
- моменты прохождения центра Солнца в его видимом движении через точки пересечения эклиптики с экватором; происходят 21 марта (весеннее) и 23 сентября (осеннее).
Радиоактивность
- самопроизвольное превращение неустойчивых атомных ядер в ядра других элементов, сопровождающееся испусканием ядерных излучений (альфа-лучей, бета-лучей, протонов), а также делением ядер.
Редуценты
- организмы, разлагающие мертвое органическое веще-ство и превращающие его в неорганические вещества, которые в состоянии усваивать другие организмы - продуценты; в пищевой цепи относятся к консументам.
Резонанс
- явление сильного возрастания амплитуды вынужденных колебаний (электрических, механических, звуковых и т. п.) под влиянием внешних воздействий.
Рибосомы
- внутриклеточные частицы, состоящие из рибонуклеи-новых кислот (РНК) и белков; участвуют в биосинтезе белка.
Сапрофиты
- растения и микроорганизмы, питающиеся органи-ческим веществом отмерших организмов; главным образом бактерии и грибы.
Селекция
- выведение новых и улучшение существующих сортов растений или пород животных.
Синергетика
- наука о самоорганизации физических, биологичес-ких и социальных систем.
Синоптика
- учение об атмосферных процессах, определяющих состояние погоды; занимается прогнозом погоды.
Синтез
- 1) метод научного исследования предметов или явлений, состоящий в познании их в единстве и взаимосвязи его частей; 2) получение сложных химических соединений из более простых.
Система
- 1) множество закономерно связанных друг с другом элементов (предметов, явлений, взглядов, идей, принципов и т.д.), представляющее собой определенное целостное образование, единство; 2) совокупность сооружений, машин, механизмов, служащих единой цели; 3) совокупность тканей, органов, их частей, представляющих собой определенное единство и связанных общей функцией (например, нервная система); 4) сложное техническое устройство, конструкция.
Спектр
- совокупность всех значений какой-либо величины, характеризующей систему или процесс; может быть непрерывным и дискретным.
Стратосфера
- слой атмосферы, расположенный над тропосфе-рой; характеризуется ростом температуры с высотой.
Тропосфера
- нижний слой атмосферы до высот 8-10 км в полярных, 10-12 км в умеренных и 16-18 км в тропических широтах; в тропосфере сосредоточено более 4 /5 всей массы атмосферного воздуха.
Фаза
- 1) момент, отдельная стадия в развитии какого-либо явления или процесса в природе или обществе; 2) определенный момент в каком-либо периодическом астрономическом явлении (например, фазы Луны); 3) физическая величина, характеризующая состояние колеба-тельного процесса в определенный момент времени.
Ферменты
- биологические катализаторы, присутствующие во всех живых клетках; осуществляют превращения веществ в организме, направляя и регулируя обмен веществ.
Физиология
- наука о жизнедеятельности организмов, процессах, протекающих в их системах, органах, тканях, клетках и их функциях.
Флуктуация
- случайные отклонения от средних значений наблю-даемых физических величин, характеризующих систему из большого числа частиц; вызываются тепловым движением частиц системы.
Фото...
- первая составная часть сложных слов, обозначающая происходящий под действием света, световых лучей (например, фото-терапия).
Фотон
- квант электромагнитного поля, нейтральная элементарная частица с нулевой массой и спином 1; переносчик электромагнитного взаимодействия между заряженными частицами.
Фотосинтез
- превращение зелеными растениями и микро-организмами лучевой энергии Солнца в энергию химических связей органических веществ.
Фреоны
- техническое название группы углеродов, применяемых в качестве хладагентов.
Хаос
- полный беспорядок, неразбериха.
Хемосинтез
- процесс образования некоторыми бактериями органических веществ из двуокиси углерода за счет энергии, полученной при окислении неорганических соединений.
Химия
- наука о веществах, их составе, строении, свойствах и взаимных превращениях.
Хлоропласты
- внутриклеточные органоиды растительных клеток, в которых осуществляется фотосинтез.
Хромосомы
- структурные элементы клеточного ядра, содержащие гены.
Цитология
- наука о строении, развитии и функциях животных и растительных клеток.
Цитоплазма
- внеядерная часть протоплазмы животных и растительных клеток.
Цунами
- гигантские разрушительной силы волны, возникающие на поверхности океана в результате сильных извержений подводных и островных вулканов.
Эволюция
- 1) процесс изменения, развития; 2) одна из форм движения, развития в природе и обществе - непрерывное, постепенное количественное изменение, в отличие от революции - коренного, качественного изменения.
Экватор
- линия сечения земной поверхности плоскостью, проходящей через центр Земли перпендикулярно оси ее вращения.
Экология
- 1) наука, изучающая взаимоотношения животных, растений, микроорганизмов между собой и с окружающей средой; 2) состояние окружающей среды и населяющих ее организмов (экология человека, социальная экология).
Экосистема
- единый природный комплекс, образованный живы-ми организмами и средой их обитания (атмосфера, почва, водоем и т.п.), в котором живые и косные компоненты связаны между собой обменом веществ и энергии.
Электричество
- совокупность явлений, обусловленных существо-ванием, взаимодействием и движением электрических зарядов.
Электродинамика
- теория электромагнитных процессов в различ-ных средах и в вакууме; охватывает совокупность явлений, в которых основную роль играют взаимодействия между заряженными частицами посредством электромагнитного поля.
Электрон
- стабильная отрицательно заряженная элементарная частица.
Эмбриология
- наука, изучающая зародышевое развитие организ-мов.
Энтропия
- однозначная функция состояния термодинамической системы; статистическая физика рассматривает энтропию как меру вероятности пребывания системы в данном состоянии; понятием энтропии широко пользуются в физике, химии, биологии и теории информации.
Эрозия
- частичное разрушение поверхности чего-либо.
Ядро атома
- положительно заряженная центральная часть атома, в которой сосредоточена практически вся его масса.
Ядро Земли
- центральная, наиболее глубокая геосфера; его средний радиус составляет 3,5 тыс. км.
Ядро клетки
- жизненно необходимая часть растительных и животных клеток; управляет синтезом белков и через них всеми физиологическими процессами в клетке.
15. СПИСОК РЕКОМЕНДУЕМОЙ ЛИТЕРАТУРЫ
Основная учебная литература
- Горелов А.А.Концепции современного естествознания. Учебное пособие для вузов. - М.: Владос, 1998.- 512 с.*
- Дубнищева Т.Я.Концепции современного естествознания. 8-е изд., стер.- М.: Изд.центр «Академия", 2008. – 608 с.*
- Найдыш В.М.Концепции современного естествознания. Учебное пособие. - М.: Гардарики, 2002. – 476 с.*
- Лавриненко В.Н.Концепции современного естествознания. Учебник для вузов. - М.: ЮНИТИ-ДАНА, 2006.- 317 с.*
- Карпенков С.Х.Концепции современного естествознания. Учебник для вузов. - М.: Академический Проект, 2005. – 640 с.*
- Новиков Ю.В.Экология, окружающая среда и человек. Учебное пособие для вузов, школ и колледжей. - М.: ФАИР-ПРЕСС, 2002. – 560 с.*
- Рузавин Г.И.Концепции современного естествознания. Учебник. 2-е изд., перераб.и доп.- М.: ЮНИТИ –ДАНА, 2008. – 304 с.*
Дополнительная литература
1. Горелов А.А.Концепции современного естествознания. Учебное пособие для вузов. - М.: ООО Изд-во АСТ, 2003. – 380 с.*
- Солопов Е.Ф.Концепции современного естествознания. Учебное пособие для вузов. - М.: Владос, 1998. – 232 с.*
- Горелов А.А.Концепции современного естествознания. Курс лекций.- М.: Центр, 2002. - 208 с.*
- Челноков А.А.Основы промышленной экологии. Учебное пособие. - М.: Высшая Школа, 2001. – 343 с.*
- Гумун Л.В. Звезды и судьбы / Л.В. Гумун. – М.: Исида, 1993. – 349 с.
- Дубнищева Т.Я.,. Современное естествознание. Учебное пособие / Т.Я. Дубнищева, А.Ю.Пигарев. – М. ЮКЭА, 2000. – 160 с.
- Карпенко М. Вселенная разума / М. Карпенко. – М.: Мир географии, 1992. – 400 с.
- Лосев А.Ф. Платон. Аристотель / А.Ф. Лосев, А.А.Тахо-Годи. – 2-е изд., испр. и доп. – М.: Молодая гвардия, 2000. – 392 с.
- Пригожин И. Время, хаос, квант. – М.: Прогресс, 1994
- Рузавин Г.И Современное естествознание / Г.И. Рузавин. – М.: ЮНИТИ,1999. – 288 с.
- Сашин Д.К. 100 великих научных открытий / Д.К. Сашин. – М.: Вече, 2002. – 474 с.
- Хакен Г. Информация и самоорганизация. – М.: Мир, 1991.
- Шустер Г. Детерминированный хаос. – М.: Мир, 1988.
Примечание:
литература отмеченная * имеется в библиотеке ЯФ МФЮА.
|