| МИНИСТЕРСТВО ОБРАЗОВАНИЯ И НАУКИ
РОССИЙСКОЙ ФЕДЕРАЦИИ
Государственное образовательное учреждение
высшего профессионального образования
ВСЕРОССИЙСКИЙ ЗАОЧНЫЙ
ФИНАНСОВО-ЭКОНОМИЧЕСКИЙ ИНСТИТУТ
Методические указания по выполнению контрольной работы
по дисциплине
ЦЕНООБРАЗОВАНИЕ
для студентов, обучающихся по специальности 080105
«Финансы и кредит», 080109 «Бухучет, анализ и аудит», 080507 «Менеджмент организации», 080111.65 «Маркетинг»
МОСКВА 2011
МИНИСТЕРСТВО ОБРАЗОВАНИЯ И НАУКИ
РОССИЙСКОЙ ФЕДЕРАЦИИ
Государственное образовательное учреждение
высшего профессионального образования
ВСЕРОССИЙСКИЙ ЗАОЧНЫЙ
ФИНАНСОВО-ЭКОНОМИЧЕСКИЙ ИНСТИТУТ
Методические указания по выполнению контрольной работы
по дисциплине
ЦЕНООБРАЗОВАНИЕ
для студентов, обучающихся по специальности 080105
«Финансы и кредит», 080109 «Бухучет, анализ и аудит», 080507 «Менеджмент организации», 080111.65 «Маркетинг»
Финансово-кредитный факультет
Кафедра финансового менеджмента
МОСКВА 2011
ББК________
Методические указания разработали:
кандидат экономических наук, профессор О.В. Португалова
,
старший преподаватель О.Ф. Зенгер
Методические указания одобрены на заседании кафедры финансового менеджмента
Зав. кафедрой доктор экономических наук, профессор И.Я. Лукасевич
Методические указания утверждены на заседании
Научно-методического совета ВЗФЭИ
Проректор, председатель НМС, профессор Д.М. Дайитбегов
Ценообразование. Методические указания по выполнению контрольной работы. Для студентов, обучающихся по специальности 080105 «Финансы и кредит», 080109 «Бухучет, анализ и аудит», 080507 «Менеджмент организации», 080111.65 «Маркетинг» – М.: ВЗФЭИ, 2011.
ББК__________
Всероссийский заочный
финансово-экономический
институт (ВЗФЭИ), 2011
I
. Методические указания
Контрольная работа по курсу «Ценообразование» предназначена для проверки степени усвоения студентами пройденного материала по данной дисциплине.
Контрольная работа выполняется после прослушивания студентами лекционного курса по дисциплине и их самостоятельной работы с рекомендованной преподавателем учебной литературой. Контрольная работа должна показать, что ее автор основательно изучил и усвоил теоретический материал.
Практическая часть контрольной работы - решение задач - поможет студентам освоить теоретический материал, особенно методические вопросы практики ценообразования.
Забиваем Сайты В ТОП КУВАЛДОЙ - Уникальные возможности от SeoHammer
Каждая ссылка анализируется по трем пакетам оценки: SEO, Трафик и SMM.
SeoHammer делает продвижение сайта прозрачным и простым занятием.
Ссылки, вечные ссылки, статьи, упоминания, пресс-релизы - используйте по максимуму потенциал SeoHammer для продвижения вашего сайта.
Что умеет делать SeoHammer
— Продвижение в один клик, интеллектуальный подбор запросов, покупка самых лучших ссылок с высокой степенью качества у лучших бирж ссылок.
— Регулярная проверка качества ссылок по более чем 100 показателям и ежедневный пересчет показателей качества проекта.
— Все известные форматы ссылок: арендные ссылки, вечные ссылки, публикации (упоминания, мнения, отзывы, статьи, пресс-релизы).
— SeoHammer покажет, где рост или падение, а также запросы, на которые нужно обратить внимание.
SeoHammer еще предоставляет технологию Буст, она ускоряет продвижение в десятки раз,
а первые результаты появляются уже в течение первых 7 дней.
Зарегистрироваться и Начать продвижение
При выполнении контрольных работ студентам предлагается решить две задачи, разработанные на основе фактических материалов из реальной экономической ситуации конкретных хозяйствующих субъектов.
При оформлении практических задач студент должен показать развернутые решения с подробными пояснениями каждого действия.
В заключительной части контрольной работы необходимо привести список использованной литературы, содержащий не менее 10-15 учебников, монографий и статей периодической печати.
Объем контрольной работы не должен превышать 24 страниц формата А4 (шрифт 14, полуторный интервал). Формулы должны быть написаны с помощью редактора формул . Образец оформления титульного листа приведен в приложении 1.
Номер варианта контрольной работы устанавливается в соответствии с последней цифрой номера зачетной книжки.
Варианты контрольной работы размещены на сайте ВЗФЭИ по адресу: http://www.vzfei.ru/rus/platforms/fm/d_price.html
В методических указаниях по курсу «Ценообразование» представлены 10 вариантов контрольной работы, каждый из которых включает по 10 тестов и две практические задачи. Основные теоретические положения, необходимые для успешного выполнения студентами контрольной работы, представлены на стр. 5 – 26 данных методических указаний.
Выполненная и оформленная в соответствии с требованиями кафедры контрольная работа сдается преподавателю для проверки. После проверки контрольной работы преподаватель выставляет на титульном листе работы оценку «допускается к собеседованию» или «не допускается к собеседованию».
При положительной оценке студент проходит собеседование по результатам выполненных им в работе тестов и практических задач. Студент в первую очередь, должен ответить на замечания преподавателя по данной работе и на вопросы по решению задач и ответов на тесты.
После проведения собеседования со студентом преподаватель при положительной оценке ставит «зачет».
В случае неверного решения контрольной работы студент должен подготовить и представить на кафедру повторную контрольную работу того варианта, который ему укажет преподаватель.
Пример выполнения и оформления контрольной работы по данной дисциплине представлен в Методическом кабинете института (ул. Олеко Дундича, 23, библиотека).
II
. Теоретические основы ценообразования
1. Спрос и предложение. Равновесная цена.
Сервис онлайн-записи на собственном Telegram-боте
Попробуйте сервис онлайн-записи VisitTime на основе вашего собственного Telegram-бота:
— Разгрузит мастера, специалиста или компанию;
— Позволит гибко управлять расписанием и загрузкой;
— Разошлет оповещения о новых услугах или акциях;
— Позволит принять оплату на карту/кошелек/счет;
— Позволит записываться на групповые и персональные посещения;
— Поможет получить от клиента отзывы о визите к вам;
— Включает в себя сервис чаевых.
Для новых пользователей первый месяц бесплатно.
Зарегистрироваться в сервисе
Цена, вызывающая совпадение величин спроса и предложения, называется равновесной ценой
, а величины спроса и предложения при этой цене называются равновесными величинами спроса и предложения
.

Рис. 1. Цена равновесия.
На рисунке 1 равновесная цена представлена в точке Рравн.
на оси ординат,
равновесие спроса и предложения достигается в точке Е, которой соответствует определенное количество товаров, показанных на оси абсцисс точкой Q равн.
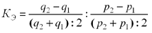
Численная характеристика спроса, описывающая степень зависимости его величин от цены и показывающая, на сколько процентов изменится спрос при изменении цены на 1%, называется эластичностью.
Коэффициент эластичности спроса - числовой показатель, отражающий степень изменения количества спрашиваемых товаров и услуг в ответ на изменения в их цене. В зависимости от значения коэффициента KЭ
различают: 1) товары эластичного спроса
при Кэ > 1.
В этом случае спрос и цена меняются разнонаправленно, причем на каждый процент изменения цены приходится более одного процента изменения спроса. В результате снижение цены приводит к росту выручки, а повышение цены к снижению выручки. Эластичный спрос характерен для конкурентного рынка и в несколько меньшей степени для рынка монополистической конкуренции. К товарам с эластичным спросом обычно относят предметы роскоши (меха, драгоценности, деликатесы); товары, стоимость которых ощутима для семейного бюджета (мебель, бытовая техника, автомобиль); легко заменяемые товары (отдельные виды мяса, фруктов);
2)
товары неэластичного спроса
при Кэ < 1 .
Спрос и цена меняются разнонаправленно, причем на каждый процент изменения цены приходится менее одного процента изменения спроса. В результате снижение цены приводит к снижению выручки, а повышение цены к повышению выручки. Неэластичный спрос характерен для олигополии и монополии. На рынке монополистической конкуренции для поддержания низкой эластичности спроса требуются значительные усилия по защите собственного сегмента рынка (реклама, каналы сбыта и т.п.). К товарам неэластичного спроса относят: товары первой необходимости (энергоносители, медицинские услуги, услуги ЖКХ и т.д.); товары, совсем или почти не имеющие замены (молоко, хлеб, лекарства); относительно недорогие товары (соль, спички);
3)
товары с единичной эластичностью спроса при Кэ = 1.
Спрос и цена меняются разнонаправленно, причем на каждый процент изменения цены приходится один процент изменения спроса. В результате снижение цены и повышение цены не изменяет выручку. Единичная эластичность довольно редко встречается на практике.
Для количественной оценки степени эластичности различных товаров могут быть использованы общие, дуговые и точечные коэффициенты эластичности.
Общий коэффициент эластичности является средним для товара на всей кривой спроса. Он позволяет сравнить различные товары между собой.
где
KЭ
– коэффициент эластичности спроса по цене;
Δq
– процентное изменение спроса;
Δp
– процентное изменение цены.
Уравнение показывает, что эластичность спроса от цены равна изменению количества, вызванному единичным изменением цены, умноженному на отношение цены к количеству. Но по мере движения вниз по кривой спроса обе составляющих меняются, следовательно, эластичность спроса одного и того же товара будет различна при разных начальных уровнях цены. Поэтому более точную оценку дают дуговые и точечные коэффициенты эластичности.
Дуговой коэффициент эластичности (средний на интервале) позволяет оценить, как изменяется спрос при изменении цены товара на определенном участке кривой спроса. По технике расчетов он называется дуговым коэффициентом эластичности, рассчитанным по приращениям.
где
p
1
– начальный уровень цены;
p
2
– конечный уровень цены;
q
1
– начальный уровень объема спроса;
q
2
– конечный уровень объема спроса.
2. Состав и структура розничной цены товара
Любая цена состоит из определенных элементов.
При этом в зависимости от вида цен и характера обслуживаемого оборота состав цены может меняться, так как в цену входят различные элементы. Набор элементов, выраженных в стоимостных единицах измерения, будет представлять собой состав цены
.
Соотношение отдельных элементов цены, выраженное в процентах или в долях единицы, представляет собой структуру цены
.
Схема формирования розничной цены представлена на рис. 2.

Рис. 2. Схема формирования розничной цены
При решении практической задачи структуру розничной цены необходимо представить либо в виде диаграммы, выполненной в Excel, либо в виде таблицы в Word. Это может выглядеть следующим образом.
Таблица 1.
Структура розничной цены
| Элемент цены
|
Доля в денежном выражении, руб.
|
Доля в процентном выражении, %
|
| Себестоимость
|
400
|
40
|
| Прибыль
|
200
|
20
|
| Акциз
|
50
|
5
|
| НДС
|
180
|
18
|
| Оптовая надбавка
|
70
|
7
|
| Торговая надбавка
|
100
|
10
|
| Итого
|
1000
|
100
|
При анализе состава цены прежде всего необходимо отметить отпускную (оптовую) цену предприятия - цену изготовителя продукции, по которой он реализует произведенную продукцию потребителям. По своему экономическому содержанию она является конечной ценой для многих видов продукции производственно-технического назначения. Реализуя свою продукцию, предприятия должны возместить издержки производства и реализации и получить такую прибыль, которая позволяла бы им функционировать в условиях рынка. При этом оптовая цена предприятия всегда включает себестоимость и прибыль. Отпускная же цена может быть с акцизом (если рассматривается подакцизный товар), с НДС и без НДС.
Важное место в составе цены товара занимают косвенные налоги: акциз и налог на добавленную стоимость (НДС).
Акцизами
облагается ограниченный перечень товаров, поэтому для налога характерна установленная законом избирательность охвата. В большинстве стран налогом облагаются нефтепродукты, автомобили и запчасти к ним, ювелирные изделия из драгоценных металлов, табачные изделия, меха, алкогольная продукция, кондитерские изделия из шоколада. Акцизы вводятся в состав системы налогов исключительно с фискальной целью, поэтому их взимание требует выполнения ряда условий. Прежде всего, это наличие значительных объемов реализации товара, небольшая численность его производителей, поскольку они являются плательщиками налога, неэластичность спроса и невозможность замены подакцизного товара на необлагаемый акцизами товар.
Розничные продавцы акцизы не платят.
Налог на добавленную стоимость — косвенный налог, которым облагаются все товары и услуги. Для импортных товаров база для расчета НДС состоит из следующих элементов:
- таможенной стоимости этих товаров;
- причитающихся к уплате таможенных пошлин;
- причитающихся к уплате акцизов (если фирма ввозит подакцизные товары).
Если товар не облагается акцизом, то оптовая цена предприятия совпадет с отпускной, и структура цены упростится. При наличии нескольких оптовых посредников будет существовать соответствующее количество однотипных элементов: покупная цена оптового посредника и продажная цена оптового посредника. Сельскохозяйственная продукция не облагается ни акцизами, ни НДС. Поэтому структура закупочной цены будет еще проще: она состоит только из себестоимости и прибыли.
Себестоимость
представляет собой наибольшую величину в структуре цены, изменение которой в ту или иную сторону ведет к росту либо снижению абсолютной величины прибыли.
Себестоимость продукции в классическом определении — это денежное выражение затрат, необходимых для осуществления производственной и коммерческой деятельности, связанной с выпуском и реализацией продукции, выполнением работ и оказанием услуг.
Состав расходов, относимых на издержки производства и обращения, законодательно регулируется практически во всех странах. Это связано с особенностями налоговой системы и необходимостью различать затраты компаний и организаций по источникам их возмещения (включаемые в себестоимость продукции либо возмещаемые из прибыли, остающейся в распоряжении предприятия после уплаты налогов и других обязательных платежей). В Российской Федерации данный процесс регламентирован гл. 25 Налогового кодекса РФ. Методы калькуляции себестоимости предприятия устанавливают сами предприятия.
В современной теории и практике выработаны и применяются различные подходы к классификации затрат. Себестоимость может быть классифицирована по различным признакам.
По объему учитываемых затрат различают:
- производственную себестоимость (себестоимость готовой продукции);
- полную себестоимость реализованной (отгруженной) продукции.
Полная себестоимость объединяет элементы производственной себестоимости продукции и расходы, связанные с ее реализацией.
По периодам возникновения затрат различают:
- плановую себестоимость;
- фактическую себестоимость.
Плановая себестоимость определяется в начале планируемого года исходя из плановых норм расходов и иных плановых показателей на этот период.
Фактическая себестоимость определяется в конце отчетного периода на основании данных бухгалтерского учета о фактических затратах на производство и реализацию. В целях сопоставимости и анализа полученных результатов плановая и фактическая себестоимость должны определяться по одной и той же методике и по одним и тем же калькуляционным статьям.
Поэлементная классификация расходов, согласно ст. 25 Налогового кодекса Российской Федерации, может включать следующие элементы распределения затрат.
1. Материальные затраты.
2. Затраты на оплату труда.
3. Амортизация.
4. Прочие затраты.
Группировка затрат по элементам не позволяет формировать цену на отдельные товары (работы, услуги), кроме того, она не дает возможности классифицировать затраты на условно-постоянные и условно-переменные. В целях такой классификации затраты на отдельные виды продукции определяются на основе калькуляции себестоимости продукции.
По степени зависимости от изменения объема производства затраты подразделяются на условно-переменные и условно-постоянные.
Условно-переменные затраты
изменяются прямо пропорционально изменению объема производства (сырье, основные материалы, расход топлива, энергии на технологические цели).
Условно-постоянные затраты
при изменении объема производства существенно не изменяются (заработная плата управленческого персонала, расходы на освещение, отопление, амортизация зданий и сооружений и др.).
Затраты по способу отнесения их на единицу продукции могут быть прямыми и косвенными.
Прямые затраты
— это расходы строго целевого назначения, они находятся в прямой зависимости от объема выпуска продукции или от времени, затраченного на его изготовление. Такие затраты включают в себестоимость единицы продукции с помощью метода прямой оценки.
Косвенные затраты
не могут быть отнесены на выпуск конкретного изделия, так как они связаны с работой цеха или предприятия в целом. Однако они необходимы для осуществления процесса производства.
Статьи, объединяющие косвенные расходы, называют комплексными. К их числу относят расходы на содержание и эксплуатацию оборудования, цеховые, общезаводские и внепроизводственные расходы.
Косвенные затраты не могут быть прямо отнесены на себестоимость отдельных видов продукции. Они распределяются косвенно между различными изделиями пропорционально тому или иному измерителю, чаще всего пропорционально заработной плате основных производственных рабочих.
Прибыль является одним из важнейших элементов цены. Это один из наиболее важных показателей финансового результата хозяйственной деятельности субъектов предпринимательства (организаций и предпринимателей). Прибыль исчисляется как разность между выручкой от реализации продукта хозяйственной деятельности и суммой затрат всех факторов производства на эту деятельность в денежном выражении.
Рентабельность
(нем. rentabel
- доходный, прибыльный) - относительный показатель экономической эффективности. Рентабельность комплексно отражает степень эффективности использования материальных, трудовых и денежных ресурсов, а также природных богатств. Коэффициент рентабельности рассчитывается как отношение прибыли к активам или потокам, её формирующим. Может выражаться как в прибыли на единицу вложенных средств:
Рентабельность производства = Чистая прибыль / Себестоимость
,
так и в прибыли, которую несёт в себе каждая полученная денежная единица:
Рентабельность продаж = Чистая прибыль / Выручка от продаж
Размеры прибыли должны удовлетворять интересы собственников предприятия и его менеджеров. Чистая прибыль остается в распоряжении предприятия после вычитания из полученной выручки всех расходов, понесенных в связи с выпуском и реализацией продукции, включая принудительные затраты в виде налогов, сборов и иных аналогичных платежей, обеспечивающих необходимые государственные потребности. Следовательно, правильное определение размера прибыли в цене единицы каждого вида продукции скажется в целом на общей сумме получаемой предприятием прибыли.
Ограничителями размера прибыли, устанавливаемого в расчете на каждую единицу продукции, являются:
• размер рыночной цены (в том случае, если аналогичная продукция уже имеется на рынке);
• размер затрат, приходящихся на единицу продукции, в том числе условно-постоянных и условно-переменных.
3. Виды цен в зависимости от обслуживаемой сферы товарного обращения
Многообразие цен и оснований для их классификации позволяет на практике объединять их в различные группы. Например, важнейшим признаком классификации цен является их дифференциация в зависимости от обслуживаемой ими сферы товарного обращения. По этому признаку цены подразделяются на следующие виды:
- оптовые цены на промышленную продукцию;
- цены на продукцию строительства;
- закупочные цены;
- тарифы грузового и пассажирского транспорта;
- розничные цены;
- тарифы на платные услуги населению;
Оптовые цены продукции
– это цены, по которым предприятия реализуют крупные партии продукции другим предприятиям или сбытовым организациям.
Различают следующие виды цен на строительную продукцию
:
- сметная стоимость – предельный размер затрат на строительство каждого конкретного объекта;
- прейскурантная цена – усредненная цена, сметная стоимость единицы конечной продукции типового строительного объекта (за 1 кв. м. жилой площади, малярных, отделочных работ и т.п.);
- договорная цена, которая устанавливается по соглашению сторон между заказчиками и подрядчиками.
Закупочные цены
– это цены, по которым производители сельскохозяйственной продукции реализуют ее государству или предприятиям для последующей переработки. Это разновидность оптовых цен (однако в них не включается налог на добавленную стоимость и акцизы).
Тарифы транспорта
(грузового и пассажирского) – это плата за перемещение грузов и пассажиров, взимаемая транспортными организациями с отправителей грузов или самих пассажиров.
Розничные цены
– это цены, по которым товары реализуются в розничной торговле населению. Для многих товаров это конечная цена реализации.
Отпускная цена предприятий общественного питания
– форма розничной цены на приготовляемые блюда.
Цены и тарифы на услуги населению
– также разновидность розничных цен (связь, здравоохранение, ЖКХ, гостиничные и туристические услуги).
4. Виды цен в зависимости от способа фиксации в договоре
В зависимости от условий договора (способа фиксации) различают следующие виды контрактных цен: твердая, подвижная, скользящая, с последующей фиксацией.
Твердая цена
устанавливается в момент подписания договора и не подлежит изменению в течение срока его действия.
Подвижная цена
фиксируется при заключении договора, но может быть пересмотрена в дальнейшем, если рыночная цена данного товара к моменту его поставки заказчику изменится.
Скользящая цена
- цена, устанавливаемая в торговых сделках на продукцию с длительным сроком изготовления, в течение которого могут существенно измениться издержки производства продукции.
Цена с последующей фиксацией устанавливается в ходе исполнения договора. В договоре определяются правила фиксации цены, право выбора времени фиксации и т.п.
Скользящая цена состоит из двух частей: базовой и переменной
. Контрактом устанавливается базовая цена
на момент его подписания и правила формирования переменной части цены. Скользящие цены применяются в договорах:
1) с длительным сроком поставки, в течение которого изменяется ситуация на рынке;
2) на поставку товара с длительным сроком изготовления, в течение которого могут измениться издержки производства. Базовая цена представляется в договоре конкретным размером и структурой по элементам. Возможна оговорка об элементах цены, изменение которых допускается.
Если контрактом предусматриваются частичные поставки, то скользящая цена рассчитывается на каждую поставку.
Корректировка происходит по формуле "скольжения":

где
P
1
– цена товара на момент исполнения договора;
P
0
– базисная цена товара на момент заключения договора;
A
– доля в базисной цене материальных затрат;
B
– доля в базисной цене расходов на заработную плату;
А
и В
представляют собой скользящую часть цены;
P
– неизменная часть цены;
С
= 1 - (А + В
)
a
1
– цена материалов на период скольжения;
a
0
– базисная цена материалов;
b
1
– ставки заработной платы на период скольжения;
b
0
– базисные ставки заработной платы.
5. Методы определения цены
5.1. Затратные методы
Мировая практика использует два основных метода калькуляции себестоимости:
- метод полных издержек;
- метод предельных издержек.
Метод полных издержек
наиболее характерен для российских производителей, так как обладает рядом существенных преимуществ:
- обеспечивает полное возмещение всех затрат независимо от характера их происхождения;
- предоставляет возможность получения максимально возможной в данной ситуации прибыли.
Значительно повышает точность калькуляции издержек метод нормативных затрат,
получивший большое распространение в западной практике ценообразования под названием «стандарт-кост».
В нем учтены многие недостатки, присущие методу учета полных затрат.
Метод нормативных затрат предполагает определение по всем элементам издержек нормативов затрат в расчете на единицу производимой продукции.
Нормативными затратами считаются заранее определенные затраты на производство единицы продукции в течение определенного периода времени при использовании оптимальных методов производства и с учетом вполне определенных условий работы и окружающей среды. С этими нормативами сравниваются фактические затраты, а полученные отклонения анализируются для выявления недостатков и нарушений в производстве и принятия мер по их устранению.
Преимущества метода нормативных затрат состоят в следующем:
- нормативные затраты показывают эффективные определенные затраты при производстве данной продукции и всегда являются мерилом, с которым могут сравниться фактические затраты;
- руководство фирмы сосредоточивает свое внимание на отклонениях от нормативных затрат;
- сокращается объем счетной работы, появляется возможность получения большого объема полезной информации;
- облегчается контроль за затратами.
Ценообразование, основанное на прогрессивных стандартах затрат, способствует приближению индивидуальных издержек предприятия к «идеальным», ориентируя их на снижение себестоимости, что стратегически важно для российских предпринимателей в условиях жесткой конкуренции с зарубежными производителями. Этот метод имеет большой потенциал.
Однако определение стандартов затрат - чрезвычайно сложное дело. Для установления экономически обоснованных стандартов необходимо проанализировать технические характеристики и цены аналогичной продукции конкурентов, детально изучить требования, предъявляемые к данным товарам на мировом рынке. Выявленные таким образом стандарты должны быть соотнесены с производственным планом предприятия, масштабом его производства.
Метод учета затрат и определения цены на основе «сокращенных затрат»
получил широкое распространение в странах Запада. Впервые этот метод был применен в американских фирмах и получил название «директ-костинг»,
или калькуляция по прямым затратам. Косвенные затраты, согласно этому методу, списывались на финансовые результаты и уменьшали валовую прибыль фирмы.
В Европе калькуляция по сокращенным затратам названа методом «маржинал-костинг»,
что означает «приростные» затраты (дополнительные затраты на каждую следующую единицу продукции при увеличении производства или снижение затрат при уменьшении производства на одно изделие). Другими словами, маржинал-костинг рассматривает влияние изменения объема производства на изменение затрат, то есть предполагает калькуляцию по переменным затратам. Поэтому при калькуляции по сокращенным затратам независимо от метода учитывают все переменные и постоянные прямые издержки.
Под маржинальной прибылью понимается разница между полученной выручкой от реализации товара и переменными затратами.
Особое значение маржинальный анализ приобретает в случае многономенклатурного производства.
Маржинальная прибыль единицы продукта = Цена - Прямые затраты;
Маржинальная прибыль продукта = Маржинальная прибыль единицы продукта Объем выпуска данного продукта.
Маржинальная прибыль - это предельная прибыль, которую может получить предприятие от производства и продажи каждого вида продукта.
При многономенклатурном выпуске анализ ассортимента по показателю маржинальной прибыли (так называемый маржинальный анализ) дает возможность определить наиболее выгодные с точки зрения потенциальной прибыльности виды продукции, а также выявить продукцию, которую предприятию невыгодно (или убыточно) производить. Таким образом, маржинальный анализ позволяет ранжировать ассортиментный ряд в порядке возрастания "предельной (потенциальной) прибыльности" различных видов продукции и выработать соответствующие управленческие решения относительно изменения ассортимента выпуска.
Дополняющим к маржинальной прибыли является показатель маржинальной рентабельности
, рассчитываемый как:
Маржинальная рентабельность = (Маржинальная прибыль / Прямые затраты) 100%;
Показатель маржинальной рентабельности отражает величину дохода, получаемого предприятием на вложенный рубль прямых затрат, и является весьма показательным для сравнительного анализа различных видов продукции.
Общая сумма маржинальных прибылей по всем видам производимых продуктов представляет собой маржинальную прибыль предприятия
.
Маржинальная прибыль является источником покрытия накладных расходов предприятия и прибыли. Тогда прибыль, на которую может рассчитывать предприятие, определяется как:
Прибыль = Маржинальная прибыль - Накладные расходы
Таким образом, увеличение прибыли достигается за счет максимизации маржинальной прибыли (или оптимизации ассортимента) и уменьшения накладных расходов.
Наличие и рост маржинальной прибыли является положительной характеристикой деятельности организации. Положительная маржинальная прибыль свидетельствует о потенциальной возможности прибыльной продажи продукции.
Для общей характеристики ценовой политики организации рассчитывается ценовой коэффициент, называемый также нормой маржинальной прибыли.
Ценовой коэффициент определяется как отношение маржинальной прибыли к выручке от реализации и характеризует соотношение цен на произведенную продукцию и цен на потребляемые в процессе производства сырье и материалы.
Динамика ценового коэффициента отражает, насколько темп роста цен на реализуемую продукцию отличается от темпа роста цен на потребляемые в процессе производства переменные затраты.
Ценовой коэффициент = Маржинальная прибыль / Выручка от реализации, %
Значение ценового коэффициента не зависит от объема производства и реализации и определяется уровнем цен на реализуемую продукцию и переменную составляющую затрат.
Эффект операционного (производственного) рычага
заключается в том, что любое изменение выручки от реализации всегда порождает более сильное изменение прибыли.
Для расчета эффекта или силы воздействия рычага используется целый ряд показателей. В эти показатели входят:
1.
Валовая маржа = прибыль от реализации + постоянные затраты;
2.
Вклад (сумма покрытия) = выручка от реализации — переменные затраты;
3.
Эффект операционного рычага = (выручка от реализации — переменные затраты) / прибыль от реализации.
Если трактовать эффект воздействия операционного рычага как изменение валовой маржи, то ее расчет позволит ответить на вопрос, насколько изменяется прибыль от увеличения объема (производства, сбыта) продукции.
Изменяется выручка, изменяется сила рычага. Например, если сила рычага равна 8,5, а рост выручки планируется на 3%, то прибыль вырастет на: 8,5 3% = 25,5%. Если выручка падает на 10%, то прибыль уменьшается на: 8,5 10% = 85%.
Предприятию, функционирующему на рынке, необходимо знать не только то, что оно получит прибыль, но и когда оно ее получит. Для этого надо провести специальный анализ соотношений между объемом производства, затратами и доходом, получивший название анализ безубыточности.
Анализ безубыточности показывает
, что произойдет с прибылью при изменении объема производства, цены и основных параметров затрат. Английское название анализа безубыточности — CVP-анализ (cost — volume — profit, то есть «затраты — выпуск — прибыль») или Break — even — point (точка прерывания, точка безубыточности в данном случае).
Обязательное условие расчетов - разделение затрат на переменные и постоянные. Напомним, что переменные затраты изменяются пропорционально объемам выпуска продукции (сырье, материалы, комплектующие, сдельная зарплата, технологическая энергия). Постоянные - не зависят от объемов производства (это затраты на ремонт и содержание оборудования и зданий, арендные и лизинговые платежи, затраты на отопление и освещение, повременная зарплата).
Искомая точка безубыточности в денежном выражении определяется следующей формулой:
,
где
SAL – выручка от реализации продукции;
FC – постоянные затраты;
VC – переменные затраты.
Выручка и затраты должны относиться к одному и тому же периоду времени (месяц, квартал, полгода, год). Точка безубыточности будет характеризовать минимально допустимый объем продаж за тот же период.
Согласно теории при анализе точки безубыточности необходимо задаться предположениями о том, что:
- вся произведенная продукция за рассчитываемый период (месяц) будет продана;
- постоянные издержки остаются неизменными при определенном объеме продаж;
- переменные издержки на единицу продукции не изменяются при изменении объема продаж.
Одним из способов нахождения точки безубыточности является графический метод, принципиальная схема которого приведена на рис. 2. Идея метода относительно проста. В координатной плоскости, ось абсцисс которой представлена некоторым физическим (натуральным) показателем, характеризующим работу предприятия, а ось ординат предназначена для отображения стоимостных показателей, по анализируемому предприятию строятся линейные тренды. Их аргументом является месячный физический объем продаж (ось абсцисс), а в качестве функций физического объема продаж выступают соответственно месячная выручка SAL и месячная себестоимость как сумма переменных и постоянных затрат VC + FC (ось ординат). Точка пересечения этих графиков определяет точку безубыточности, обозначенную на рис. 3 как .

Рис. 3. Модель нахождения точки безубыточности графическим методом
Общие затраты на выпуск продукта определяются соотношением: ,
где P – цена единицы продукции;
Q - объем выпуска (реализации).
5.2. Рыночные методы определения цены
Метод ориентации на спрос (
потребительской оценки) тесно связан с дифференциацией товара и рынка и позволяет производителю осуществлять стратегию высоких цен.
Метод следования за лидером или ориентация на конкуренцию.
Производитель при установлении цены на изделие руководствуется ценами ведущих или ближайших конкурентов, а собственные издержки и спрос играют подчиненную роль. В этом методе производитель устанавливает цену чуть выше или чуть ниже цены ближайшего конкурента. Однако использование этого метода ограничено рамками рынка однородной продукции.
Метод «запечатанного конверта» или тендерного ценообразования.
Используется в том случае, когда несколько предприятий ведут конкурентную борьбу за получение определенного контракта. При этом выигрывает тот производитель, чья цена предложения обеспечивает заказчику (держателю тендера) максимальную прибыль. Эти цены никогда не становятся предметом гласности и наиболее широко используются в государственных заказах, в строительстве уникальных объектов или сооружений.
Эконометрические методы ценообразования (нормативно-параметрические)
Балловый метод
- один из наиболее распространенных эконометрических методов. Он состоит в том, что на основе экспертных оценок значимости параметров изделий для потребителей каждому параметру присваивается определенное количество баллов, суммирование которых дает своего рода оценку технико-экономического уровня изделия. Этот метод необходим в тех случаях, когда цена зависит от многих параметров качества, и в том числе от таких, которые не поддаются количественному измерению (удобство изделия, техническая новизна, эстетичность, дизайн, экологичность, противопожарность, соответствие моде, органолептические свойства: запах, вкус, цвет).
Практическое использование баллового метода при определении конкретных цен осуществляется в четыре этапа.
На первом этапе тщательно отбираются основные технико-экономические параметры. Они могут быть разными в зависимости от сферы использования данного изделия. Если, например, бытовой электроприбор используется в производственном процессе, то цена на него будет определяться в первую очередь мощностью и надежностью его в эксплуатации. Однако при продаже этого изделия в розничной торговой сети населению особое значение приобретает дизайнерское исполнение.
Второй этап — начисление баллов по каждому выбранному параметру. Это делается экспертным путем по определенной процедуре. В качестве экспертов должны выступать не только представители производителя, но и эксперты основных потребителей.
Третий этап — определение интегральной оценки технико-экономического уровня изделия. В случаях, когда все параметры продукции, подвергающиеся балловой оценке, считаются равнозначными по удельному весу, комплексный уровень качества каждого изделия параметрического ряда определяется путем простого сложения баллов. Если отобранные для оценки параметры не равнозначны для потребителя, устанавливаются коэффициенты весомости (значимости) отдельных параметров. Оценки, выставляемые по каждому показателю качества, корректируются на соответствующий коэффициент весомости. Полученные баллы суммируются по каждому изделию.
На заключительном, четвертом этапе, рассчитываются сами цены. Сначала определяется средняя оценка (цена) одного балла:
,
где
— цена одного балла;
Pb
— цена базового изделия-эталона;
— балловая оценка i
-го параметра базового изделия;
Vi
— весомость параметра.
Далее определяется цена нового изделия:
,
где
Mni
- балловая оценка i
-го параметра нового изделия;
- весомость i
-го параметра нового изделия.
При определении коэффициента весомости каждого параметра исходят из предположения, что чем чаще изобретатели в различных странах обращаются к совершенствованию какого-либо параметра объекта, тем более значимым является данный параметр объекта с точки зрения улучшения потребительских свойств объекта в целом. Коэффициент весомости параметра объекта определяется по формуле:
= ,
где
– количество баллов, относящихся к данному параметру;
–
общее количество баллов, относящихся к объекту в целом (ко всем параметрам объекта, входящим в его структуру).
При этом методе для обеспечения сопоставимости отдельных свойств используют относительные показатели качества продукции и соответствующие коэффициенты весомости Vi
, так как отдельные свойства неравнозначны по своей важности. Коэффициент весомости находится как некоторая функция от вероятности достижения каждым i-м единичным показателем качества продукции его базового значения. Коэффициенты весомости всех свойств, находящихся на одном уровне, связаны друг с другом так, что сумма коэффициентов весомостей всегда остается равной единице. Поэтому увеличение весомости одного свойства происходит лишь за счет уменьшения весомости других свойств этого же уровня рассмотрения. Например, предприятию необходимо рассчитать отпускную цену на впервые разработанный и производимый им трехфазный стабилизатор напряжения. Расчет стоимостной оценки каждого параметра потребительских свойств данного прибора возможен только с помощью баллового метода. Приведем пример определения цены на стабилизатор напряжения балловым методом.
Таблица 2.
Условный пример расчета цены прибора балловым методом
| Стабилизаторы
напряжения
|
Параметры
|
| Точность стабилизации
|
Электромагнитная совместимость
|
Масса-габаритные характеристики
|
| Баллы
|
Коэффициент весомости
|
Баллы
|
Коэффициент весомости
|
Баллы
|
Коэффициент весомости
|
| Базовый
|
45
|
0,2
|
70
|
0,4
|
80
|
0,4
|
| Новый
|
50
|
0,2
|
83
|
0,4
|
80
|
0,4
|
Цена базовой модели — 135 000 руб.
Тогда, подставив известные значения в формулу, получим цену нового стабилизатора напряжения:
P
= 
III
. Варианты контрольной работы
Вариант 1
Тесты:
1. Цена товара в рыночной экономике определяется:
1) суммой денежных средств, затраченных на его покупку
2) стоимостью товара
3) полезностью товара
4) спросом и предложением товара на рынке
2. При выпуске на рынок новых товаров предприятие может использовать ценовую стратегию:
1) «проникновения на рынок»
2) «снятия сливок»
3) «следования за лидером»
3. Цена спроса – это…
1) минимальная цена, которую покупатели согласны заплатить за данный товар
2) максимальная цена, которую покупатели готовы заплатить за данный товар
3) цена, по которой совершается сделка
4) правильного ответа нет
4. Под монополистической конкуренцией понимают такую структуру рынка, при которой:
1) группа взаимодополняющих товаров производится большим числом независимых друг от друга производителей
2) все товары производятся в условиях конкуренции
3) группа взаимозаменяемых товаров производится большим числом независимых друг от друга производителей
5. Сущность метода определения цены на основе сокращенных затрат заключается в:
1) калькулировании только по прямым затратам, косвенные затраты списываются на финансовые результаты
2) калькулировании на основе взаимосвязи издержек, объемов производства и прибыли
3) определении нормативных затрат по всем элементам издержек
6. Максимально низкая цена характерна для этапа жизненного цикла товара:
1) выведения на рынок
2) роста
3) зрелости
4) упадка
7. Административное вмешательство государства в установление определенных правил ценообразования является:
1) косвенным регулированием
2) прямым регулированием цен
3) рыночным саморегулированием
4) правильного ответа нет
8. Цена товара на состояние платежеспособного спроса и объемы сбережений населения… 1) влияет
2) не влияет
9. С инфляционным процессом не связаны следующие черты роста цен:
1) цены повышаются практически на все товары
2) цены растут длительное время
3) цены растут в связи с повышением качества товаров
4) увеличение цен происходит постоянно
10. В рыночной экономике решение трех фундаментальных задач общества: что? как? для кого? - определяет:
1) совокупность издержек производства
2) система цен
3) спрос и предложение товаров на рынке
Задачи:
Задача 1
Исходя из приведенных данных рассчитайте и внесите в таблицу следующее:
1. Критический объем производства (реализации) графическим и аналитическим способами (в натуральном и стоимостном выражении).
2. Общие переменные расходы.
3. Постоянные расходы на единицу продукции.
4. Изменения за второе полугодие.
| Период
|
Выпуск
(реализация продукции)
|
Цена
за единицу продукции, руб./шт.
|
Переменные расходы
|
Постоянные расходы
|
| штук
|
тыс. руб.
|
удельные, руб./шт.
|
общие, тыс. руб.
|
реальные, тыс. руб.
|
общие, тыс. руб.
|
| I квартал
|
|
|
600
|
560
|
|
|
840
|
| II квартал
|
|
|
600
|
560
|
|
|
840
(+ 7%)
|
| Изменения за полугодие
|
|
|
|
|
|
|
|
Следует рассчитать величину в скобках, показывающую темп прироста (снижения) во II квартале.
Задача 2
При производстве единицы товара расходы на сырье и материалы равны 40 тыс. руб.; расходы на электроэнергию для технологических целей - 20 тыс. руб.; оплата труда производственных рабочих – 28 400 руб.; начисления на оплату труда - 26%; сумма общепроизводственных и общехозяйственных расходов составляет 25% к расходам по оплате труда; коммерческие расходы равны 20% производственной себестоимости; приемлемая рентабельность - 20%; НДС - 18%.
Оптовая надбавка - 10%, торговая надбавка - 15%.
По какой цене будет реализовываться данный вид продукции?
Составьте структуру розничной цены.
Вариант 2
Тесты:
1. Утверждение, в наибольшей степени соответствующее рыночной экономике:
1) цены определяются государством
2) цены определяются соотношением спроса и предложения
3) цены контролируются государством
2. По характеру обслуживаемого оборота выделяют:
1) прейскурантные цены
2) закупочные цены
3) биржевые котировки
3. Рост цен на бензин, скорее всего, вызовет:
1) увеличение спроса на бензин
2) рост спроса на услуги общественного транспорта
3) повышение спроса на моторное масло
4) снижение спроса на автомобили
4. При равновесии на рынке наиболее эффективное распределение ресурсов обеспечивает:
1) олигополия
2) совершенная конкуренция
3) монополистическая конкуренция
4) чистая монополия
5. Практическая значимость деления затрат на постоянные и переменные состоит в следующем:
1) позволяет рассчитать маржинальную прибыль
2) дает возможность быстрее окупать затраты
3) позволяет управлять затратами и максимизировать величину прибыли
4) упрощает учет
6. Основные теории цены:
1) затратная теория; теория полезности; теория равновесной цены
2) маржинальная теория; предельной полезности; бюджетных ограничений
3) теория общественно-необходимых затрат труда; теория стоимости; теория полезности
7. Цены, жестко регулируемые государством в течение длительного времени, могут привести:
1) к перепроизводству продукции
2) к дефициту
3) к инфляции
4) правильного ответа нет
8. Количественную оценку степени реакции потребителей на изменение цены товара показывает: 1) коэффициент взаимозаменяемости товаров 2) коэффициент эластичности 3) коэффициент замещения
9. Показатель, отражающий динамику цен на потребительские товары и услуги: 1) индекс инфляции
2) индекс потребительских цен
3) индекс покупательной способности денежной единицы
4) индекс средних цен.
10. Объем спроса определяют:
1) цены на товары, денежные доходы, вкусы и предпочтения, сезон
2) издержки производства, налоги, инфляция
3) рентабельность производства, новизна товара, количество товара в продаже
Задачи:
Задача 1
Исходя из приведенных данных, рассчитайте и внесите в таблицу следующе:
1. Маржинальную прибыль.
2. Эффект производственного рычага.
Данные расчеты осуществляются по двум предприятиям (А и Б) для базисного периода, для условий роста и снижения выручки от реализации.
Сопоставьте результаты по предприятиям А и Б и сделайте выводы.
| Показатель
|
Предприятие А
|
Предприятие Б
|
| Выручка от продаж, в % к базисному периоду
|
100
|
110
|
95
|
100
|
110
|
95
|
| Выручка от продаж, тыс. руб.
|
2000
|
|
|
2000
|
|
|
| Постоянные расходы, тыс. руб.
|
350
|
|
|
700
|
|
|
| Переменные расходы, тыс. руб.
|
800
|
|
|
800
|
|
|
| Маржинальная прибыль, тыс. руб.
|
|
|
|
|
|
|
| Прибыль, тыс. руб.
|
|
|
|
|
|
|
| Эффект производственного рычага
|
|
|
|
|
|
|
| Темп роста (снижения) прибыли
|
|
|
|
|
|
|
Задача 2
Себестоимость бутылки отечественного пива емкостью 0,5 л составляет 13 руб., а прибыль предприятия-изготовителя составляет 30% к себестоимости. Акциз специфический, 3 руб. с 1 литра.
Пиво поступает в магазин через оптовую базу, надбавка которой составляет 3%.
Торговая надбавка - 25%.
Определите розничную цену одной бутылки пива и составьте структуру розничной цены.
Вариант 3
Тесты:
1. В рыночной экономике формирование цены происходит:
1) в сфере производства
2) до начала производства
3) в сфере обращения
4) в сфере потребления
2. Биржевая цена товара является разновидностью:
1) оптовой цены предприятия
2) оптовой цены промышленности
3) закупочной цены
3. Цена предложения – это…
1) минимальная цена, по которой продавцы согласны предложить на рынке определенное количество товаров
2) максимальная цена, по которой производители согласны предложить на рынке данное количество товара
3) минимальная цена, по которой товаропроизводитель продает на рынке свою продукцию
4. Для чистой монополии характерен выпуск:
1) уникального продукта
2) однородной продукции
3) разнородных видов продукции
4) все ответы правильные
5. Неверное определение себестоимости товара – это…
1) текущие расходы, связанные с приобретением товаров и их продажей
2) совокупность закупочных расходов на товар и издержек обращения
3) затраты на производство, объем которых меняется пропорционально объему выпуска продукции
6. Аукционная цена представляет собой:
1) максимально возможную цену, предложенную покупателем
2) усредненную цену годовых продаж
3) цену, предложенную продавцом
7. Денежный сбор, взимаемый государством при перемещении товаров через границу страны, называется:
1) таможенной стоимостью
2) таможенной пошлиной 3) таможенным тарифом
4) мировой ценой
8. Действие механизма индексирования доходов приводит к: 1) снижению цен 2) росту цен 3) равенству цен и доходов
9. Инфляция, проявляющаяся в виде скачкообразного роста цен, называется:
1) гиперинфляцией
2) ползучей инфляцией
3) галопирующей инфляцией
4) инфляцией издержек
10. На объем предложения товара влияют факторы:
1) тип рынка, полезность товара, степень его новизны
2) цена товара, издержки его производства, цены на природные ресурсы, налоги
3) издержки производства, рентабельность производства, техническая оснащенность предприятия
Задачи:
Задача 1
Предприятие выпускает 5 видов продукции. Объем выпуска, цены и переменные затраты по видам продукции приведены ниже.
| Показатель
|
Вид продукции
|
Всего
|
| 1
|
2
|
3
|
4
|
5
|
| Объем выпуска, шт.
|
330
|
230
|
440
|
280
|
580
|
|
| Цена реализации, руб.
|
150
|
160
|
115
|
195
|
160
|
|
| Переменные расходы на весь выпуск, руб.
|
30 000
|
24 000
|
36 000
|
40 000
|
77 000
|
|
| Выручка, руб.
|
|
|
|
|
|
|
| Маржинальная прибыль, руб.
|
|
|
|
|
|
|
| Постоянные расходы, руб.
|
|
|
|
|
|
41 400
|
| Полная себестоимость, руб.
|
|
|
|
|
|
|
| Валовая прибыль, руб.
|
|
|
|
|
|
|
| Чистая прибыль, руб.
|
|
|
|
|
|
|
| Рентабельность продаж, %
|
|
|
|
|
|
|
| Маржинальная прибыль / переменные расходы
|
|
|
|
|
|
|
Налог на прибыль - 20%.
Сделайте вывод о целесообразности (прибыльности) выпускаемого ассортимента продукции, дайте, если это необходимо, рекомендации по его изменению.
Анализ должен быть проведен по методу полных издержек (с распределением постоянных затрат пропорционально переменным) и по методу прямых издержек.
Задача 2
Для сахарного завода стоимость закупаемого сырья для производства сахара 5 руб./кг. Себестоимость 1 кг - 15 руб., приемлемая норма прибыли - 30% себестоимости. Сахар реализуется с оптовой базы в мешках по 50 кг., оптовая надбавка 10%. Составьте структуру оптовой цены одного мешка сахара.
Вариант 4
Тесты:
1. Определяющее условие для функционирования свободных цен:
1) реальная хозяйственная самостоятельность предприятий и отсутствие дефицита товаров
2) обеспечение единого экономического пpocтранства в рамках государства
3) экономическая и политическая стабильность в обществе
2. Обслуживает экспортируемые товары:
1) цена в месте производства продукции
2) цена франко-станция назначения
3) цена основных фирм-производителей
3. Равновесная цена – это…
1) цена, установленная государством
2) цена, при которой нет ни дефицита, ни избытка
3) цена со всеми надбавками к базисной цене, установленная производителем продукции
4. Из указанных методов ценообразования к параметрическому относится:
1) метод структурной аналогии
2) метод сокращенных затрат
3) балловый метод
4) метод валовых издержек
5. Точка безубыточности – это…
1) цена, при которой предприятие начинает получать прибыль
2) объем производства, при котором производитель работает без убытков
3) уровень затрат, необходимый для производства продукции
4) все ответы верны
6. Товар является новым, если…
1) его так оценивает рынок
2) производитель по-новому рекламирует товар
3) производитель использует современную технологию его изготовления
7. Начисление и взимание таможенной пошлины на товар производится на основе его:
1) таможенной стоимости
2) полной стоимости
3) цены
4) все ответы правильные
8. Цена спроса определяется: 1) объемом предложения 2) величиной доходов населения 3) мировой ценой на данный товар
9. Ожидаемая инфляция – это… 1) инфляция, проявляющаяся в длительном постепенном росте цен
2) инфляция, возникающая вследствие товарного дефицита
3) предполагаемый уровень инфляции в будущем периоде вследствие действия факторов текущего периода
4) инфляция, проявляющаяся в росте цен на ресурсы
10. Изменение объема спроса графически отображается:
1) движением кривой спроса
2) движением по кривой спроса
Задачи:
Задача 1
Используя метод «сокращенных затрат», проанализируйте показатели производства 5 следующих видов продукции и укажите наиболее рентабельную продукцию для данного предприятия (см. таблицу).
Таблица
| Анализируемые экономические показатели
|
Вид продукции
|
Суммарные данные (тыс. руб.)
|
| № 1
|
№ 2
|
№ 3
|
№ 4
|
№ 5
|
| Аренда (тыс. руб.)
|
5000
|
2000
|
1500
|
1000
|
500
|
|
| Зарплата (тыс. руб.)
|
3000
|
1500
|
1000
|
3000
|
1500
|
|
| Хозяйственные расходы (тыс. руб.)
|
350
|
250
|
150
|
150
|
100
|
|
| Электроэнергия (тыс. руб.)
|
800
|
500
|
300
|
900
|
500
|
|
| Торгово-транспортные расходы (тыс. руб.)
|
1000
|
700
|
500
|
500
|
300
|
|
| Сырье (тыс. руб.)
|
8000
|
4000
|
3000
|
9000
|
4000
|
|
| Постоянные затраты
(тыс. руб.)
|
|
|
|
|
|
|
| Переменные зарплаты
(тыс. руб.)
|
|
|
|
|
|
|
| Общие затраты или полная себестоимость
(тыс. руб.)
|
|
|
|
|
|
|
| Объем реализации, шт.
|
200 000
|
92 000
|
43 000
|
15 625
|
17 500
|
|
| Цены за единицу (тыс. руб.)
|
0,05
|
0,1
|
0,2
|
0,8
|
0,4
|
|
| Выручка
(тыс. руб.)
|
|
|
|
|
|
|
| Валовая прибыль
(тыс. руб.)
|
|
|
|
|
|
|
| Маржинальная прибыль
(тыс. руб.)
|
|
|
|
|
|
|
| Чистая прибыль
(тыс. руб.)
|
|
|
|
|
|
|
| Рентабельность продаж
( %)
|
|
|
|
|
|
|
Налог на прибыль 20%.
Задача 2
Организация производит автомобильный бензин класса 5, акциз на который 3500 руб. на 1 т бензина.
Розничная цена за 1 литр бензина 21 руб., в которой:
- налог на добычу полезных ископаемых (НДПИ) составляет 8,11% розничной цены бензина;
- налог на прибыль - 10% розничной цены бензина;
- НДС - 15,25% розничной цены бензина;
- акциз - 17,64% розничной цены бензина.
- прибыль производителей топлива - 20% розничной цены бензина;
- прибыль продавцов топлива - 10% розничной цены бензина;
- производственные затраты в розничной цене бензина составляют 18%;
- транспортные затраты в розничной цене бензина составляют 2%;
- доля цены сырой нефти в розничной цене бензина - 3,68%.
Оптовая цена тонны бензина – 17 000 руб.
Ставка налога на прибыль - 20%.
Плотность бензина - 0,7 г/см3
.
Составьте структуру розничной цены 1 литра бензина.
Вариант 5
Тесты:
1. Осуществляя контроль за ценами, общество потребителей руководствуется законом…
1) спроса и предложения
2) стоимости
3) количества денег в обращении
4) о защите прав потребителей
2. Косвенные налоги (НДС, акцизы) в конечном счете оплачиваются…
1) товаропроизводителями
2) потребителями продукции
3) реализующим товар звеном
4) все ответы правильные
3. В случае, когда ценовой «потолок» устанавливаются ниже равновесной цены, возникает:
1) дефицит
2) избыток предложения
3) изменение предложения
4. Ценовая дискриминация заключается:
1) в необходимости соответствовать ценам конкурентов
2) в предоставлении товаров одинакового характера по различным ценам
3) в контроле большой доли рынка
4) в государственном ценообразовании
5. Чему будет равна точка безубыточности, если в отчетном периоде производство и реализации продукции не осуществлялось?
1) точке безубыточности предыдущего периода
2) точке безубыточности периода производства и реализации продукции
3) постоянным издержкам со знаком минус
4) все ответы неверны
6. Предприятие, как правило, повышает свои цены, если…
1) имеет свободные производственные мощности
2) не может выполнить все заказы
3) стремиться увеличить объем заказов
4) считает спрос эластичным
7. К косвенному методу регулирования цены можно отнести:
1) установление предельного норматива рентабельности
2) установление паритетных цен
3) изменение акцизной ставки
4) «замораживание» цен
8. Способ увеличения выручки и прибыли на товар эластичного спроса:
1) увеличение цены товара 2) снижение цены товара 3) оставить цену неизменной
9. Товары, спрос на которые является неэластичным:
1) предметы роскоши
2) товары первой необходимости
3) энергоносители, ЖКХ, медикаменты, товары повседневного спроса
10. Равновесная цена – это цена, …
1) при которой объем спроса равен объему предложения
2) при которой продается максимальное количество произведенных товаров
3) при которой объем спроса равен доходам населения
Задачи:
Задача 1
Как отразится на объеме продаж в точке безубыточности 10%-ное повышение цены при следующих условиях:
-
переменные расходы на единицу продукции - 10 руб.
-
постоянные расходы - 150 000 руб.
-
объём реализации - 20 000 ед.
-
цена реализации единицы продукции - 20 руб.
Решите задачу аналитическим и графическим методами.
Задача 2
Розничная цена единицы товара равна 10 тыс. руб.; себестоимость – 5 тыс. руб., в том числе стоимость закупаемых сырья и материалов – 3 тыс. руб.; торговая надбавка составляет 20%, ставка акциза - 30%, ставка НДС - 18%.
Определите сумму НДС, подлежащую уплате в бюджет производителем от реализации единицы товара, и его долю в розничной цене.
Вариант 6
Тесты:
1. В условиях рыночных отношений реальный процесс формирования цен осуществляется:
1) на предприятии
2) в сфере производства продукции
3) в сфере реализации продукции
2. Структура цены – это:
1) перечень элементов цены, выраженных в абсолютных величинах (например, в рублях)
2) удельный вес отдельных элементов цены, выраженный в процентах или в долях единицы
3. Снижение цены на товар с единичной эластичностью вызывает следующую реакцию покупателей:
1) спрос будет расти быстрее, чем снижается цена
2) увеличение спроса примерно пропорционально снижению цены
3) спрос растет медленнее, чем снижается цена
4. Что выигрывает от конкуренции потребитель?
1) покупатели и продавцы могут свободно выходить на рынок и покидать его
2) конкуренция ведет к понижению розничных цен
3) в результате раздела рынка устанавливаются фиксированные цены
4) все ответы верные
5. Производственная себестоимость продукции включает затраты:
1) на производство и реализацию продукции
2) на технологическую себестоимость за минусом постоянных затрат
3) подразделения предприятия на производство данного вида продукции
4) подразделения предприятия на производство данного вида продукции и общезаводские расходы
6. К затратным методам ценообразования можно отнести:
1) метод следования за лидером
2) агрегатный метод
3) ценообразование на основе анализа безубыточности
7. К прямому регулированию цен не относится:
1) «замораживание» цен
2) регламентация уровня рентабельности
3) регулирование денежной массы в обращении
4) установление нормативов для определения цен
8I. Согласно теории неоклассической школы, при сокращении предложения денег и повышении совокупного спроса: 1) уровень цен стабилизируется 2) цены повышаются 3) происходит снижение цен
9. В условиях ползучей инфляции предприятие… 1) понижает цены 2) повышает цены 3) использует систему скидок
10. К классификации по способу установления не относятся:
1) твердые цены
2) сезонные цены
3) скользящие цены
Задачи:
Задача 1
Рассчитайте уровень операционного рычага и изменения данного показателя при снижении маржинальной прибыли на 10%. Имеются следующие данные:
Объем производства, ед. - 15 000
Цена единицы продукции, руб. - 200
Переменные затраты на ед. продукции, руб. - 100
Постоянные затраты, руб. - 800 000
Задача 2
Определите прибыль и рентабельность реализации импортного товара.
Исходные данные:
1. Свободная розничная цена, сложившаяся на рынке с учетом спроса и предложения – 6500 руб.
2. Таможенная стоимость, включая расходы по доставке до границы России – 20 долл.
3. Курс рубля к доллару принимается на момент решения задачи.
4. Ставка акциза – 35 %.
5. Таможенная пошлина – 15 % таможенной стоимости.
6. Сборы на таможенное оформление – 0,15 % таможенной стоимости.
7. Ставка НДС – 18 %.
8. Снабженческо-сбытовые расходы – 111 руб.
9. Торговые издержки – 300 руб.
Вариант 7
Тесты:
1. Назовите функцию, которую не выполняет цена в рыночной экономике:
1) бюджетная
2) учетная
3) сбалансирования спроса и предложения
4) стимулирующая
2. Не относятся к рыночным методам определения цен:
1) метод «запечатанного конверта»
2) метод следования за лидером
3) метод ориентации на спрос
4) на основе полных издержек производства
3. Как отразится на общей выручке повышение цены при неэластичном спросе?
1) общая выручка уменьшится
2) общая выручка останется неизменной
3) общая выручка увеличится
4. Рынок, на котором господствует только один продавец, является…
1) олигополией
2) монополией
3) монополистической конкуренцией
4) совершенной конкуренцией
5. К переменным расходам не относятся:
1) заработная плата производственного персонала
2) амортизационные отчисления
3) стоимость сырья и материалов
4) расходы по реализации продукции
6. Пороговая цена – это…
1) цена товара для поставок на внешний рынок
2) цена, по которой фактически совершается сделка
3) наименьшая цена в предложении или наибольшая цена в заказе клиента
4) цена, по которой товары реализуются через комиссионную торговлю
7. Контроль за ценами с применением экономических санкций распространяется на:
1) государственные предприятия
2) предприятия – монополисты
3) всех хозяйствующих субъектов
8. Цена кредита – это: 1) процентная кредитная ставка 2) цена сделки, удовлетворяющая и покупателя и продавца 3) цена, определяемая на основе котировок
9. Покупательная способность денег в период инфляции: 1) понижается 2) повышается 3) не изменяется
10 Прямое регулирование цен государством заключается в следующем:
1) общее замораживание цен
2) установление фиксированных цен
3) установление предельного норматива рентабельности
4) все ответы верны
Задачи:
Задача 1
Рассчитайте уровень операционного рычага и изменения данного показателя при увеличении маржинальной прибыли на 20%.
Имеются следующие данные:
Объем производства, ед. - 15 000
Цена единицы продукции, руб. - 200
Переменные затраты на ед. продукции, руб. - 100
Постоянные затраты, руб. - 800 000
Задача 2
Определите эластичность спроса и предложения по цене, а также рассчитайте общую выручку и расходы покупателя, используя следующие данные (см. таблицу).
Таблица
| № п/п
|
Объем предложения
|
Объем спроса
|
Цена за единицу, руб.
|
| 1
|
25
|
10
|
1000
|
| 2
|
20
|
15
|
900
|
| 3
|
15
|
20
|
800
|
| 4
|
10
|
25
|
700
|
| 5
|
5
|
30
|
600
|
Используя приведенные данные, постройте графики спроса и предложения, определите равновесную цену.
Вариант 8
Тесты:
1. Параметрические методы ценообразования включают:
1) метод удельных показателей
2) балловый метод
3) метод определения цен, ориентированный на нахождение равновесия между издержками производства и состоянием рынка
4) агрегатный метод
2. Местными органами власти регулируются цены
1) на коммунальные услуги
2) на железнодорожный транспорт
3) на электроэнергию
3. Равновесная цена – цена, при которой равны
1) объем спроса на товар и объем его предложения
2) прибыль и затраты на производство товара
3) объемы реального производства и потенциальные возможности производства
4. Установление минимальной цены товара для производителя определяют
1) валовые издержки
2) цены конкурентов
3) спрос на товар
4) прибыль
5. К классификации по степени государственного воздействия не относятся:
1) свободные (рыночные) цены
2) фиксированные цены
3) регулируемые цены
4) паритетные цены
5) прейскурантные цены
6. Логически правильно расположите этапы жизненного цикла продукта:
1) стадия роста,
2) стадия «падения» и исчезновения с рынка
3) стадия разработки и вступления товара на рынок
4) стадия « зрелости»
7. Зависимость объема предложения от определяющих его факторов называется:
1) функцией спроса
2) функцией предложения
3) законом Энгеля
8. Графически отражается изменение объема предложения 1) движением по кривой предложения 2) сдвигом самой кривой предложения
9. От повышения цен выигрывают:
1) люди с фиксированными доходами 2) держатели ценных бумаг 3) заемщики 4) кредиторы
10. На объем предложения не влияет:
1) цена данного товара
2) издержки производства
3) доходы населения
4) налоги и дотации
Задачи:
Задача 1
Определите, какая цена будет наиболее приемлемой с точки зрения получения наибольшей прибыли (без учета инфляции) и рентабельности производства.
Исходные данные:
Рассматривается три проекта по выпуску товаров бытовой техники. Предполагаемая цена единицы продукции может колебаться в зависимости от конъюнктуры рынка в следующих пределах (см. таблицу).
Таблица
| Исходные данные
|
Вариант
|
| 1
|
2
|
3
|
| Цена, руб.
|
1800
|
1650
|
1500
|
| Ожидаемый объем продаж в год, шт.
|
3000
|
4000
|
4500
|
| Прямые переменные затраты на единицу продукции, руб.
|
1200
|
1000
|
950
|
| Годовые постоянные затраты, тыс. руб.
|
360
|
360
|
360
|
| Капитальные вложения, тыс. руб.
|
2400
|
3200
|
3000
|
Срок окупаемости капитальных затрат – 8 лет.
Налоги из ожидаемой прибыли – 20 %.
Задача 2
Определите свободную розничную цену автомагнитол «Урал-171SА» и «Урал-131SА», используя метод балловых оценок.
Исходные данные:
1. Для расчета себестоимости одного балла принята автомагнитола «Урал-171SА», себестоимость которой составляет 1000 руб.
2. Коэффициент классности автомагнитолы «Урал-131SА» установлен в размере 1,25.
3. Балловая оценка различных параметров указанных марок фотоаппаратов приведена в таблице.
Таблица
| Марка
|
Удобство использования
|
Мощность
|
Надежность
|
Дизайн
|
Сумма баллов
|
| «Урал-171SА»
|
24
|
35
|
18
|
13
|
90
|
| «Урал-131SА»
|
26
|
40
|
15
|
14
|
95
|
4. Уровень рентабельности, рассчитанный предприятием на автомагнитолу «Урал-171SА», составляет 30% себестоимости.
5. «Урал-131SА» - 40% себестоимости.
6. Налог на добавленную стоимость – 18%.
7. Торговая надбавка – 15%.
Вариант 9
Тесты:
1. Выберите наиболее корректное определение цены товара с точки зрения стоимостной теории:
1) сумма денег, полученных или уплаченных за единицу товара
2) денежное выражение полезности товара
3) цена блага или ресурса, от которых необходимо отказаться, чтобы приобрести другое благо или ресурс
4) денежное выражение стоимости товара
2. Цена «потолка» эффективна:
1) при низких издержках производства
2) при государственной поддержке производителя
3) при высоких ценах на продукцию
3. Цена, при которой объем спроса равен объему предложения, называется
1) ценой спроса
2) ценой предложения
3) равновесной ценой
4) маржинальной ценой
4. Изучения степени чувствительности спроса к ценам требует следующий этап процесса ценообразования:
1) анализ издержек
2) выбор метода ценообразования
3) выбор цели
4) определение спроса
5. Рентабельность продукции рассчитывается как отношение:
1) балансовой прибыли к полной себестоимости реализованной продукции
2) прибыли от производства и реализации продукции к общим затратам на производство
3) прибыли от производства и реализации продукции к полной себестоимости реализованной продукции
4) балансовой прибыли к объему реализованной продукции
6. Не относится к функциям цены:
1) учетная
2) распределительная
3) стимулирующая
4) контрольная
7. На федеральном уровне регулируется:
1) доставка пенсий, пособий
2) установка телефона
3) абонентная плата за пользование телефоном
4) все ответы правильные
8. Цены в единую систему объединяют факторы:
1) единая методология ценообразования
2) финансово-кредитное обслуживание предприятий
3) единая информационная база
4) все ответы правильные
9. «Цена предложения» - это… 1) средняя цена, по которой производитель готов предложить данное количество товара 2) максимальная цена, по которой покупатель готов приобрести данный товар 3) минимальная цена, по которой производитель готов предложить данное количество товара
10. Изменение функции предложения графически отражается:
1) движением по кривой предложения
2) сдвигом самой кривой предложения
3) никак не отражается
Задачи:
Задача 1
Рассчитайте выручку от реализации продукции, маржинальную прибыль и операционную прибыль организации при следующих условиях.
Переменные расходы на единицу продукции - 10 руб.
Постоянные расходы - 150 000 руб.
Объем реализации - 20 000 ед.
Цена реализации единицы продукции - 20 руб.
Задача 2
Определите повышение цены (в %) за время, прошедшее с момента подписания договора до фактической поставки станка.
Исходные данные:
1. За этот период заработная плата рабочих, обслуживающих станок, повысилась с 22 до 25 тыс. руб., а стоимость стали, из которой изготавливается станок – с 50 до 60 тыс. руб.
2. Цена 14 тыс. руб. за 1 т стали установлена при 1%-ном содержании в ней углерода.
3. Продавец поставляет сталь, содержащую 1,2% углерода.
4. Базисная продажная цена станка на день подписания договора составляла 6 млн. руб.
5. При определении цены наиболее существенными факторами, влияющими на величину затрат, являются заработная плата (40% цены) и определенный сорт стали (25% цены).
Вариант 10
Тесты:
1. Встречающиеся на рынке продавцы и покупатели:
1) имеют единый интерес
2) не имеют единого интереса
2. Оптовая цена предприятия (отпускная цена) включает:
1) издержки производства и прибыль
2) издержки производства и реализации, прибыль, НДС, акцизы (на подакцизные товары
3) издержки производства, прибыль, НДС и оптовую наценку
3. Зависимость объема спроса от определяющих его факторов называется:
1) функцией спроса
2) функцией предложения
3) эффектом Веблена
4) эффектом замены
4. Практическая ценность расчета коэффициента эластичности заключается в следующем:
1) определение степени зависимости объема спроса или предложения на изменение цены
2) определение стратегии ценообразования
3) определение путей увеличения выручки и прибыли на данный товар
4) все ответы правильные
5. Для выявления производства наиболее рентабельных видов продукции используется метод:
1) маржинальных издержек
2) полных издержек
3) нормативных затрат
4) все ответы верны
6. Стратегия низких цен применима на следующей фазе жизненного цикла товара:
1) внедрения на рынок
2) зрелости
3) на любой стадии
4) спада
7. Контроль за соблюдением государственной дисциплины цен во всех отраслях экономики России осуществляется:
1) Инспекцией по ценам Департамента цен Минэкономики РФ
2) Министерством финансов РФ
3) Правительством РФ
4) правильного ответа нет
8. Доступность кредитных ресурсов для хозяйствующих субъектов определяется: 1) величиной ставки рефинансирования 2) доходностью в сфере кредита 3) величиной маржи
9. Подавленная инфляция проявляется в: 1) товарном дефиците 2) сокращении сбережений 3) повышении уровня цен 4) все ответы верны
10. Устойчивое равновесие определяет:
1) возвращение в равновесное состояние
2) нахождение нового состояния равновесия
Задачи:
Задача 1
Исходя из приведенных данных, рассчитайте и внесите в таблицу следующее.
1. Величину маржинальной прибыли.
2. Эффект производственного рычага.
Данные расчеты осуществляются по двум предприятиям (А и Б) для базисного периода, для условий роста и снижения выручки от реализации.
Проанализируйте и сопоставьте результаты деятельности по предприятиям А и Б и сделайте выводы.
Таблица
| Показатель
|
Предприятие А
|
Предприятие Б
|
| Выручка от продаж, % к базисному периоду
|
100
|
110
|
95
|
100
|
110
|
95
|
| Выручка от продаж, тыс. руб.
|
2500
|
|
|
2500
|
|
|
| Постоянные расходы, тыс. руб.
|
500
|
|
|
1000
|
|
|
| Переменные расходы, тыс. руб.
|
750
|
|
|
750
|
|
|
| Маржинальная прибыль, тыс. руб.
|
|
|
|
|
|
|
| Прибыль, тыс. руб.
|
|
|
|
|
|
|
| Эффект производственного рычага
|
|
|
|
|
|
|
| Темп роста (снижения) прибыли
|
|
|
|
|
|
|
Задача 2
Швейная фабрика выпускает детскую одежду. Отпускная цена одного изделия составляет 1000 руб., в том числе себестоимость одного изделия - 500 руб.
По какой цене будет приобретать эту продукцию население, если: - предел торговой надбавки равен 10%;
- предел торговой надбавки равен 10%, но вводится дополнительное ограничение - предел норматива рентабельности - 20%; - швейное объединение реализует продукцию с указанным нормативом рентабельности, но непосредственно с фабрики-производителя без услуг торговой организации?
Литература
Основная
1. Герасименко В.В. Ценовая политика фирмы. - М.: ЭКСМО, 2007.
2. Цены и ценообразование: учебник / под. ред. В.Е. Есипова. - Спб.: Питер, 2007.
3. Липсиц И.В. Коммерческое ценообразование: учебник для вузов. - М., Изд-во БЕК, 2006.
4. Слепов В.А., Николаева Т.Е. Ценообразование: учебное пособие. - М.: ФБК-Пресс, 2005.
5. Цены и ценообразование / под. ред. И.К. Салимжанова. - М.: Проспект, 2008.
6. Ценообразование и налогообложение: учебник / под ред. И.К. Салимжанова. - М.: КноРус, 2003 .
7. Чубаков Г.Н. Стратегия ценообразования в маркетинговой политике предприятия. М.: ИНФРА-М, 2003.
8. Финансовый менеджмент. - 3–е изд., перераб. и доп. / под ред. Г.Б. Поляка. - М.: Финансы, ЮНИТИ-ДАНА, 2009.
Дополнительная
1. Герасименко В.В. Ценовая политика: учебник для МВА. - М.: ЭКСМО, 2008.
2. Нэгл Т., Холден Р. Стратегия и тактика ценообразования. - СПб.: Питер, 2001.
3. Тарасевич В.М. Ценовая политика предприятия: учебник для вузов. - 2-е изд. - СПб: Питер, 2001.
4. Брю С., Макконелл К. Экономикс: принципы, проблема и политика: учебник. - В 2-х томах. - М.: Инфра-М, 2007.
5. Долан Роберт Дж., Саймон Герман. Эффективное ценообразование. – М.:Экзамен, 2005.
Содержание
I. Методические указания……………………………………………………………3
II. Теоретические основы ценообразования...……………………………………...5
1. Спрос и предложение. Равновесная цена………………………………………...5
2. Состав и структура розничной цены товара……………………………………..8
3. Виды цен в зависимости от обслуживаемой сферы товарного обращения…..14
4. Виды цен в зависимости от способа фиксации в договоре……………………15
5. Методы определения цены………………………………………………………17
5.1. Затратные методы……………………………………………………………...17
5.2. Рыночные методы определения цены………………………………………...24
III. Варианты контрольной работы………………………………………………...28
Приложение.
Образец оформления титульного листа контрольной работы
Федеральное агентство по образованию
ГОУ ВПО
ВСЕРОССИЙСКИЙ ЗАОЧНЫЙ ФИНАНСОВО-ЭКОНОМИЧЕСКИЙ ИНСТИТУТ
Кафедра финансового менеджмента
Факультет__________________ Специальность___________________
(направление)
КОНТРОЛЬНАЯ РАБОТА
по дисциплине ______________________________________
____________________________________________________
Тема ____________
_________________________________
_____________________________________________________
Студент__________________________
(Ф.И.О.)
Курс________ № группы _________
Личное дело № ___________________
Преподаватель ___________________
(Ф.И.О.)
Москва – 200__
Ценообразование.
Методические указания по выполнению контрольной работы для самостоятельной работы студентов III курса (первое высшее образование) специальности 080105 «Финансы и кредит» и III курса(первое и второе высшее образование) специальности 080111 «Маркетинг». – М.: ВЗФЭИ, 2009.
|