| Учреждение образования
«Гомельский государственный политехнический колледж»
Заочное отделение
Методические указания и задания
для домашней контрольной работы №1,№2
по дисциплине:
«Оборудование деревообрабатывающего производства »
Специальность: 2-460102 «Технология деревообрабатывающих производств»
Группа: ЗМП-31п, ЗМП-41п
Составлены преподавателем УО ГГПК
В.А.Романова
Общие методические указания
Настоящие методические указания разработаны с целью оказания помощи учащемуся по изучению предмета «Оборудование деревообрабатывающего производства» при заочной системе обучения.
Основным методом работы учащегося по изучению предмета является самостоятельная проработка рекомендуемой литературы с использованием данных конкретного производства. В методических указаниях приведено достаточно примеров и расчетов, позволяющих учащемуся выполнить самостоятельно контрольные задания согласно варианту.
Первая часть методических указаний состоит из краткого изложения предъявляемых требований по изучению тем. После каждой темы приведена литература с указанием номеров страниц и перечень вопросов для самопроверки.
Вторая часть состоит из задания для контрольной работы, в которые включены ряд вопросов и заданий по каждому варианту.
В процессе самостоятельного изучения предмета учащимся рекомендуется составлять конспект по материалу, изученному по учебникам.
При составлении конспекта необходимо кратко излагать изученный материал, приводить необходимые формулы, решения примеров, схемы и рисунки.
После изучения каждой темы учащемуся необходимо ответить на вопросы для самопроверки, после чего следует переходить к изучению следующей темы.
Выполнение контрольной работы должно производиться по вариантам, номер варианта должен соответствовать номеру по списку в журнале.
Ответы на вопросы контрольной работы должны излагаться грамотно, четко и полно. В ответах должны приводиться технологические и функциональные схемы оборудования, а так же кинематические схемы; рисунки, технологические режимы и расчеты, соответствующие качественной обработки древесины при различных способах обработки. Технические характеристики. Контрольная работа должна показать степень и глубину усвоения учащимся отдельных разделов предмета и содержать продуманные и исчерпывающие ответы на поставленные вопросы.
Забиваем Сайты В ТОП КУВАЛДОЙ - Уникальные возможности от SeoHammer
Каждая ссылка анализируется по трем пакетам оценки: SEO, Трафик и SMM.
SeoHammer делает продвижение сайта прозрачным и простым занятием.
Ссылки, вечные ссылки, статьи, упоминания, пресс-релизы - используйте по максимуму потенциал SeoHammer для продвижения вашего сайта.
Что умеет делать SeoHammer
— Продвижение в один клик, интеллектуальный подбор запросов, покупка самых лучших ссылок с высокой степенью качества у лучших бирж ссылок.
— Регулярная проверка качества ссылок по более чем 100 показателям и ежедневный пересчет показателей качества проекта.
— Все известные форматы ссылок: арендные ссылки, вечные ссылки, публикации (упоминания, мнения, отзывы, статьи, пресс-релизы).
— SeoHammer покажет, где рост или падение, а также запросы, на которые нужно обратить внимание.
SeoHammer еще предоставляет технологию Буст, она ускоряет продвижение в десятки раз,
а первые результаты появляются уже в течение первых 7 дней.
Зарегистрироваться и Начать продвижение
Работа должна быть написана разборчиво, шариковой ручкой черного цвета. С левой стороны следует оставлять поля шириной не менее 3 см для замечаний преподавателя. Вопросы контрольной работы должны записываться впереди каждого ответа с проставлением порядкового номера.
Контрольная работа, получившая незачет, должна вторично выполняться учащимся или дополняться в соответствии с рекомендаций преподавателя, ведущего этот предмет.
В конце каждой контрольной работы должна быть указана учебная и справочная литература, которая использовалась учащимся при изучении предмета и выполнения контрольной работы, поставлена дата и роспись учащегося.
При изучении предмета и выполнении контрольной работы учащиеся могут обращаться по всем вопросам, которые вызывают затруднения, за консультацией к преподавателю, ведущему этот предмет.
Контрольные работы должны выполняться согласно графику, выданному учащемуся заочным отделением колледжа, и высылаться на проверку до вызова на экзаменационную сессию.
Изучение предмета заканчивается сдачей экзамена.
К сдаче экзамена допускаются лишь те учащиеся, которые выполнили контрольную работу и получили по ней зачет.
При явке на экзамен учащиеся должны представить преподавателю зачтенные контрольные работы.
РАСПРЕДЕЛЕНИЕ ЧАСОВ ПО РАЗДЕЛАМ И ТЕМАМ
по дисциплине «Технология отделки мебельных и столярных изделий»
Специальность
2-46 01 02 Технология деревообрабатывающих производств
| Наименование разделов и тем
|
Количество часов
|
| Всего
|
Изучается на сессии
|
Изучается самостоя- тельно
|
| 1
|
2
|
3
|
4
|
| Введение
|
2
|
2
|
| 1. Назначение и виды отделки древесины и древесных материалов
|
4
|
1
|
3
|
| 2. Физические основы образования защитно-декоративных покрытий
|
4
|
1
|
3
|
| 3. Подготовка поверхности древесины и древесных материалов к созданию защитно-декоративных покрытий
|
6
|
2
|
4
|
| 4. Методы нанесения лакокрасочных материалов
|
12
|
2
|
8
|
| Практическая работа №1
Изучение методов нанесение лакокрасочных материалов на предприятии и разработка рекомендаций по их применению
|
2
|
2
|
| 5.
Сушка лакокрасочных покрытий
|
4
|
2
|
2
|
| 6. Облагораживание лакокрасочных покрытий
|
4
|
1
|
3
|
| 7. Имитационные способы отделки древесины и древесных материалов
|
4
|
1
|
3
|
| 8. Технологические процессы отделки древесины и древесных материалов
|
14
|
2
|
10
|
| Практическая работа №2
Разработка карт технологического процесса прозрачной отделки деталей, сборочных единиц, изделий
Сервис онлайн-записи на собственном Telegram-боте
Попробуйте сервис онлайн-записи VisitTime на основе вашего собственного Telegram-бота:
— Разгрузит мастера, специалиста или компанию;
— Позволит гибко управлять расписанием и загрузкой;
— Разошлет оповещения о новых услугах или акциях;
— Позволит принять оплату на карту/кошелек/счет;
— Позволит записываться на групповые и персональные посещения;
— Поможет получить от клиента отзывы о визите к вам;
— Включает в себя сервис чаевых.
Для новых пользователей первый месяц бесплатно.
Зарегистрироваться в сервисе
|
2
|
1
|
| Практическая работа №3
Разработка карт технологического процесса непрозрачной отделки деталей, сборочных единиц, изделий
|
2
|
1
|
| Практическая работа №4
Разработка карт технологического процесса отделки оконных и дверных блоков
|
4
|
| 9.
Методы испытания лакокрасочных покрытий
|
6
|
4
|
| Практическая работа №5
Определение твердости лакокрасочных покрытий
|
2
|
1
|
| Практическая работа №6
Определение блеска лакокрасочных покрытий
|
2
|
1
|
| Практическая работа №7
Определение прочности лакокрасочного покрытия на изгиб
|
2
|
| 10.Организация производственного процесса в отделочных цехах
|
15
|
13
|
| Практическая работа №8
Изучение и анализ организации производственного процесса на различных участках отделочных цехов на предприятии
|
2
|
0,5
|
| Практическая работа №9
Разработка схем технологического процесса отделки деталей, сборочных единиц, изделий с расчетом количества оборудования
|
2
|
0,5
|
| Практическая работа №10
Разработка технологической планировки оборудования на различных участках отделочных цехов
|
2
|
0,5
|
| Практическая работа №11
Расчет норм расчета лакокрасочных и вспомогательных материалов для отделки деталей, сборочных единиц, изделий
|
2
|
0,5
|
| 11.Перспективные технологии отделки мебели
|
1
|
1
|
| Итого:
|
76
|
12
|
64
|
СОДЕРЖАНИЕ ПРЕДМЕТА.
Введение
Содержание предмета, цель и задачи его изучения, связь со смежными дисциплинами.
Классификация лесопильно-деревообрабатывающих производств по виду выпускаемой продукции. Современное состояние и перспективы развития технологии деревообработки, станков и инструментов, инновационные технологии.
Методические указания
Данный предмет является профилирующей дисциплиной, предшествующей изучению специальных технологических дисциплин.
При изучении дисциплины "Оборудование деревообрабатывающего производства" учащийся должен знать:
Основы теории резания древесины.
1. Типовые конструкции станков и применяемый в них режущий инструмент.
2. Основные правила технической эксплуатации станков.
3. Условия рациональной эксплуатации дереворежущего инструмента, правила подготовки его к работе.
4. Сущность планово-предупредительного ремонта.
5. Правила техники безопасности.
Уметь:
1. Правильно определять режимы обработки.
2. Производить размерно-статическую настройку станков.
3. Проводить проверку станков на геометрическую точность.
4. По виду брака детали определять неисправность станка.
5. Самостоятельно принимать технические решения.
6. Свободно ориентироваться в справочной и производственной технической литературе.
Одним из основных направлений современного станкостроения является автоматизация, включающая комплекс мероприятий организационного и технического порядка. Повышение степени автоматизации всего производственного процесса достигается автоматизацией управления, контроля, загрузки и разгрузки, переналадки, смазки, удаления отходов и сигнализации. Важным направлением в современном станкостроении является бесступенчатое изменение скорости подачи на деревообрабатывающих станках с дистанционным управлением механизма подачи.
Основными средствами механизации станков и особенно их механизмов подачи являются гидравлические, пневматические, электрические системы.
Для повышения производительности оборудования и качества обработки при внедрении допусков и посадок в деревообработке необходима рационализация инструментального хозяйства.
Раздел
I. Основы теории резания древесины.
1.1. Общие сведения о процессе резания
Древесина и древесные материалы как объекты обработки резания.
Резцы: поверхности, углы заточки и установки; понятие о затуплении резцов.
Рабочие движения в процессе резания, сложение одновременно совершаемых движений. Понятие о траекториях и законах движения, изменение углов резания в движении.
Стружка: определение, размеры. Понятие о стружке-продукте и стружке-отходе. Бесстружечное резание. Обработанная поверхность: геометрия, характеристики качества.
Усилия, работа и мощность резания.
Методические указания
Приступая к изучению основных положений теории резания, необходимо прежде всего уяснить особенности предметов обработки - древесины как сложного физического тела органического происхождения и древесных материалов с их характерными физико-механическими показателями, особое внимание следует обратить на свойства древесины, имеющие непосредственное отношение к резанию.
Учет особенностей структуры и показателей механических свойств древесных материалов имеет важное значение для организации их рациональной обработки резанием.
Необходимо знать орудие труда - инструмент, используемой при обработке, и более конкретно - резец, являющийся активной частью режущего инструмента, непосредственно участвующий в процессе резания; знать параметры и свойства резца; иметь представление о резце как о реальном физическом теле.
Прежде чем приступить к изучению поверхностей и углов резца, необходимо разобраться в таких понятиях как поверхность резания и плоскость резания.
Поверхность резания I - это поверхность, образуемая на обрабатываемой заготовке 2 режущей кромкой резца 3.
Плоскость резания 4 - это плоскость, касательная к поверхности резания I и проходящая через режущую кромку резца 3.
При поступательном движении поверхность резания I и плоскость резания 4 совпадают с обработанной поверхностью (рис.1). При вращательном движении резца каждому положению режущей кромки резца 3 на поверхности резания I соответствует своя плоскость резания 4 (рис.2).
Ряс. 2
Далее следует разобраться с такими поверхностями резца, как передняя грань - это поверхность, по которой сходит стружка; задняя грань - это поверхность, обращенная к плоскости резания и боковые грани резца.
Следует также изучить угловые параметры резца, которые обозначаются буквами:
γ (гамма) - передний угол;
ά
(альфа) - задний угол;
β
(бета) ,. - угол заострения или угол заточки;
δ
(дельта) - угол резания.
У абсолютно острого (идеального) резца лезвие или режущая кромка представляет собой линию пересечения передней и задней граней резца (в плоскости рисунка - точка n
).

n
Рис. 3. Лезвие реального резца
У реального резца, проработавшего очень непродолжительное время или даже у только что заточенного, переход от передней грани к задней происходит по некоторой кривой поверхности a’
abb’.
В целях упрощения расчетов истинная поверхность лезвия заменяется вписанной в нее цилиндрической поверхностью.
Тогда в нормальном сечении резца контур лезвия будет представлять собой дугу окружности радиуса ρ
; грани резца касаются этой окружности в точках a
и b.
Радиус ρ
служит показателем степени затупления резца, благодаря чему его называют радиусом затупления. У острых резцов величина ρ
составляет 5…20 мкм, у тупых – 40…60 мкм и более.
Практическая работа №1.
Изучение элементов и геометрии резца.
Литература: Л1 с. 9 - 17
Контрольные вопросы:
1. Какие свойства древесины следует учитывать при ее механической обработке?
2. Назовите элементы резца.
3. Дайте определение углов резца.
4. В чем отличие между идеальным и реальным резцами?
5. Каким параметром характеризуется степень затупления резца?
1.2.Динамика процесса резания
Процесс резания осуществим только при осуществлении двух движений - главного
(движение резани
я - перемещение резца, необходимое для срезания одной стружки) и движения подачи
, т.е. движение резца относительно обрабатываемой заготовки или же заготовки относительно резца, необходимого для срезания повторных стружек. Сложение этих двух движений дает результирующее движение резца в материале.
Каждое из этих двух движений характеризуется скоростью и траекторией. Необходимо знать определение указанных понятии.
По рекомендованной литературе следует уяснить целью каких процессов станочной обработки является получение стружки-продукта и в каких процессах получение требуемых размеров деталей сопровождается получением стружки-отхода.
Следует также знать, что стружка - это часть материала, заключенная между предыдущей и последующей поверхностями резания. Форма и размеры стружки при прочих одинаковых условиях оказывают решающее значение на энергетику (силу и мощность) и качество резания.
По рекомендованной литературе следует уяснить целью каких процессов станочной обработки является получение стружки-продукта и в каких процессах получение требуемых размеров деталей сопровождается получением стружки-отхода.
Следует также знать, что стружка - это часть материала, заключенная между предыдущей и последующей поверхностями резания. Форма и размеры стружки при прочих одинаковых условиях оказывают решающее значение на энергетику (силу и мощность) и качество резания.
Методические указания
Скорость резания и подачи сказывают большое влияние на производительность оборудования и качество обработки древесины. Скорость подачи обозначается буквой U и измеряется в м/мин. Она обычно бывает указана в технической характеристике станка.
Скорость резания обозначаемся буквой V
, измеряется в единицах м/с.
Для инструментов, имеющих вращательное движение, скорость резания определяется по формуле
V=П*D*n / 1000 * 60, м/с (1)
где V
- скорость резания, м/с; D - диаметр инструмента, мм; n - частота вращения инструмента, мин-1
.
В лесопильных рамах скорость резания определяется как средняя величина за
ход пильной рамки, т.е.
V=2Sn / 1000*60, м/с (2)
где S - ход пильной ражи, мм;
n - частота вращения коленчатого вала, мин-1
.
Следует уяснить, что с увеличением скорости резания повышается качество обработанной поверхности за счет возникновения так называемого "скоростного подпора", который получают перерезанные волокна древесины в дополнение к естественному сцеплению между ними. В результате уменьшатся неровности разрушения на обработанной поверхности.
С увеличением скорости подачи, наоборот, шероховатость обработанной поверхности возрастает за счет увеличения длины и глубины волн, оставляемых на ней резцом и называемых кинематическими неровностями.
Повышать скорость резания целесообразно путем повышения частоты вращения инструмента; увеличение диаметра инструмента в некоторых случаях приводит к излишней затрате мощности на резание и к увеличению отхода древесины. Так, например, при пилении круглыми пилами увеличение диаметра пилы приводит одновременно к ее утолщению и, следовательно, к увеличению ширины пропила.
Процессы резания древесины по способу получения заданной поверхности подразделяются на:
бесстружечное резание, к которому можно отнести разрезание - процесс деления, основанный на использовании ножниц, штампование (просечка, пробивка, вырубка);
стружечное резание, которое имеет место в большинстве процессов обработки на деревообрабатывающих станках.
Основной размер стружки толщина h - это расстояние между предыдущей и последующей поверхностями резания, измеренное по нормали к последующей поверхности в данной точке (см. рис.I и рис. 2).
Стружка также характеризуется длиной L и шириной b.
Необходимо различать номинальные размеры
, относящиеся к недеформированной стружке, и фактические размеры
стружки, претерпевшей значительные деформации под действием резца. В расчетах по резанию пользуются номинальными размерами.
Если рассматривать обработанную поверхность детали как продукцию процесса резания, то характеристиками качества могут быть шероховатость поверхности, глубина слоя с остаточными деформациями и скрытыми дефектами в виде трещин в массиве материала, отклонение размеров формы и пр. Основным показателем качества резания все же является шероховатость поверхности, определяемая высотой неровностей. В свою очередь неровности обработанной поверхности определяются: а/ кинематикой процесса резания (волнистость, риски и т.д.); б/ особенностями стружкообразования (продольное, поперечное, торцовое и промежуточные виды резания); в/ состоянием материала (например, древесина сухая, влажная, мерзлая и т.д.).
При резании древесина оказывает сопротивление, для преодоления которого к резцу необходимо приложить внешнюю силу. Между резцом и древесиной возникают определенные взаимодействия. Резец испытывает нагрузку от давления, которое распределено по передней и задней граням, и от сил трения.
Прежде чем изучить действие этих сил при резании древесина реальным резцом, необходимо ознакомиться с действием сил при резании элементарным резцом по схеме, впервые предложенной в 1870 году основателем теории резания древесины русским ученым, профессором И.А.Тиме (см. рекомендованную литературу).
При сложении всех сил, действующих в процессе резания, получаем суммарную силу
S, которая может быть направлена под углом к направлению скорости резания. Сила S раскладывается на два взаимно-перпендикулярных направления, тогда горизонтальная составляющая суммарной силы S
называется касательной силой резания
, обозначается буквой F. Сила резания всегда имеет одно направление - от резца в сторону вектора скорости резания. Вертикальная составляющая суммарной силы называется нормальной силой
, обозначается буквой Q ; в зависимости от направления ее по отношению к объекту обработки нормальная сила может быть отжимающей
(сила отжима), с которой древесина стремится вытолкнуть резец выше обрабатываемой поверхности, и затягивающей (с
ила затягивания
), с которой древесина стремится затянуть резец ниже обработанной поверхности.
Необходимы такие условия резания, которые обеспечили бы минимальное значение нормальной силы Q
, так как она полезной работы не выполняет. На практике эта сила имеет место, когда нарушается принятая геометрия резца, например угол резания у ленточных столярных пил должен быть в пределах 80-85°, если же угол увеличивается до 90°, то возникает сила отжима, отталкивающая резец от древесины, если наоборот уменьшается угол резания, то возникают силы затягивания, затягивающие резец в древесину.

рис.4
Силы, действующие со стороны резца на древесину
Далее следует разобраться в определении силы резания, удельной работы резания и удельной силы резания.
При резании затрачивается работа на отделение стружки, деформирование стружки и уплотнение зоны древесины вблизи лезвия а также на трение резца о древесину и стружки о резец. В этом случае учитывается суммарная сила сопротивления передвижении резца, которая называется сопротивлением резанию.
Касательная сила резания, приходящаяся на единицу площади поперечного сечения стружки, называется удельной силой резания
, обозначается буквой К
и имеет размерность н/мм2
.
Работа, затрачиваемая на превращение I см3
древесины а стружку, называется удельной работой резания
К
выражается в Дж/см3
. Следует иметь в виду, что удельная сила резания (в н/
мм2
)
и удельная работа резания (в Дж/см3
) численно равны между собой, но имеют разный физический смысл
Kраб
= Дж/см3
= Н*1000 мм/(10мм)3
= H/мм2
= Ксила
Необходимо помнить, что удельная сила и удельная работа резания не являются постоянными величинами.
Основное влияние на них оказывают порода древесины, влажность и температура древесины, угол перерезания волокон, степень затупления резца, угол резания, толщина стружки, скорость резания.
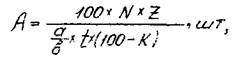
Удельную силу резания можно определять различными способами: по таблицам, разработанным отдельными исследователями, по номограммам Е.Г.Ивановского и по общей формуле, единой для всех случаев разания древесины:
К=Кт
*аn
*aw
*aδ
*av
*ah
*a ρ
, н/мм2
(3)
где Кт
- табличное значение удельной силы резания, подученное в результате
экспериментов для сухой сосны при δ=450
, h = 1мм, V = 10 м/с (см. приложение 3, таблицы 1…4);
аn
– поправочный коэффициент на породу древесина (приложение 3, таблица 5);
aw
– поправочный коэффициент на влажность древесины (приложение 3, таблица 6)
aδ
– поправочный коэффициент на угол резания;
av
-
поправочный коэффициент на скорость резания (приложение 3, таблица 8);
ah
- поправочный коэффициент на толщину стружки (приложение 3, таблица 9);
a ρ
-
поправочный коэффициент на степень затупления резца (приложение 3, таблица 7 ).
Для упрощения расчетов в формулу I вводят только поправочные коэффициенты на те величины, которые наибольшим образом сказываются на величину удельной силы резания, т.е. порода, влажность древесины, степень затупления резца, скорость резания, тогда формула I принимает вид:
К=Кт
*аn
*aw
*av
*a ρ
, н/мм2
(4)
Для определения величины Кт
следует знать величину подачи на один резец Uz
которая определяется по формуле:
Uz
= U*1000/n*Z, мм (5)
где U - скорость подачи, м/мин;
n - частота вращения инструмента, мин-1
Z - число резцов инструмента.
Для лесопильных рам подача на один резец определяется по формуле
Uz
= ∆*t/S, мм
где ∆ -
посылка, т.е. подача на один оборот коленчатого вала, мм;
t - шаг зубьев пилы, мм;
S - ход пильной рамки, мм.
Далее необходимо разобраться в определении усилия резания, затрачиваемого на удаление с обрабатываемого объекте объема материала в одну секунду (см3
/с)
F = K/V*(S*u/60), Н (6)
где К
- удельная сила рез8ния, Н/мм ;
V - скорость резания, м/с;
S -
площадь поперечного сечения стружки, мм;
u -
скорость подачи, м/мин.
Выражение в формуле, взятое в скобки, есть объем материала, удаляемого с обрабатываемого объекта за одну секунду.
Заменив величину S произведением b * h
где b - ширина стружки, мм
h - толщина стружки, мм,
получим
F = K*b*h*u/60*V, Н (7)
Работа, затрачиваемая не измельчение I см3
древесины за одну секунду, называется мощностью резания, обозначается буквой Р и определяется по формуле:
P = F * V, Вт или P= F*V/1000, кВт
где F - сила резания, Н;
V -
скорость резания, м/с.
Подставив в формулу (8) значение силы F (формула 7), получим:
P = K*B*h*u/1000*60, кВт.
Практическая работа №2
Изучение процессов стружкообразования для различных случаев резания.
Литература: Л1 с. 17- 40
Контрольные вопросы:
- Дайте определение движения резания. Как определяется скорость движения резания для вращающихся инструментов? Ее размерность.
- Дайте определение движения подачи.
- Дайте определение понятия "стружка-отход".
- Дайте определение понятия "стружка-продукт".
- К какому виду "стружка-отход" или "стружка-продукт" относится стружка при: а/ пилении, б/ фрезеровании, в/ цикловании, г/ лущении шпона, д/ изготовлении кровельной щепы.
- Назовите характеристики качества обрабатываемой поверхности.
- Что такое касательная сила и как она изображается на схеме процесса резания?
- Что такое нормальная сила и как она изображается не схеме процессе резания?
- Когда нормальней сила является силой отжима и когда силой затягивания?
- Дайте определение удельной силы резания и укажите ее размерность.
- Дайте определение удельной работы резания и укажите ее размерность.
- Какие факторы влияют на удельную силу резания?
- Как определяются сила в мощность резания?
1.3. Процессы станочного резания.
Расчеты режимов резания деревообрабатывающих станков.
Классификация процессов по технологическому назначению. Пиление рамными, ленточными и круглыми пилами, фрезерование, точение, сверление, долбление, шлифование, строгание, лущение, измельчение на щепу и стружку, бесстружечное резание.
Сущность процессов, кинематика, геометрия стружки и обработанной поверхности, особенности стружкообразования, сила и мощность резания, требования к конструкции режущего инструмента, пути увеличения производительности процессов и повышения качества обработки.
Методические указания
В этой теме учащийся должен разобраться в технологической сущности основных процессов обработки древесины: пилении, фрезеровании, строгании, сверлении, шлифовании, долблении, точении.
Изучать отдельные процессы резания лучше в такой последовательности:
определение процесса;
технологическое назначение процесса;
применяемый режущий инструмент и его особенности;
кинематика процесса (траектория резания, толщина стружки и т.д.);
динамика процесса (сила„ и мощность резания);
качество получаемой в процессе резания поверхности;
характерные особенности, присущие процессу резания.
Пиление
. В зависимости от направления плоскости пропила по отношению к волокнам древесины различают пиление четырех видов:
торцовое
- плоскость пропила перпендикулярна направлению волокон (разделка долготья на сортименты, торцовка досок);
продольное
- плоскость пропила параллельна волокнам (выпиловка брусьев, досок, обрезка кромок у досок и др.);
смешенное
- плоскость пропила расположена под некоторым углом, отличным от 90° по отношению к волокнам, криволинейное
пиление.
По виду инструмента пиление классифицируется на: I/ пиление рамными пилами;
2/
пиление ленточными пилами;
3/ пиление круглыми пилами.
Процесс пиления происходит в закрытом пространстве, называемым пропилом. Геометрия поверхности пропила складывается под влиянием многих факторов процесса пиления: способа подготовки зубьев, качества выполнения этой операции, устойчивости пилы во время работы, выбора скорости подачи и др. Следует помнить, что расчетным путем установить высоту неровностей на поверхности обработки с учетом всех исходных факторов для процессов станочной обработки вообще и для пиления в частности практически невозможно. Поэтому в расчетах используют результаты экспериментальных данных - зависимость шероховатости от величины подачи на зуб Uz
(см. приложение 4).
При рассмотрении процессов пиления также следует уяснить назначение и способы предотвращения трения боковых поверхностей пилы о стенки пропила.
Следует рассмотреть особенности, э также преимуществе и недостатки способов срезания стружек пилами с различными видами подготовки их зубьев.
Фрезерование
. Фрезерование является одним из наиболее широко распространенных процессов механической обработки древесины и древесных материалов.
Особенностью процесса фрезерования является серповидная форма стружки, толщина которой переменна и равна 0 в зоне входа резца и достигает максимального значения в зоне выхода резца из заготовки. Не следует смешивать процесс фрезерования с процессом строгания, при котором траектория движения резца прямолинейна, а толщина стружки постоянна.
Основные методы фрезерования применяются при обработке по плоскости деталей вращающимся ножевым валом (фуговальные, рейсмусовые станки), при одновременной обработке с четырех сторон прямолинейных деталей (четырехсторонние строгальные станки), при профильной и плоскостной обработке прямолинейных и криволинейных деталей (на фрезерных станках), при нарезке шипов и проушин для соединения рамочных и ящичных конструкций (на шипорезных станках).
При изучении денного процессе необходимо обратить особое внимание на условия получения обработанной поверхности высокого качества.
Геометрия фрезерованной поверхности будет определяться кинематическими неровностями, т.е. волнистостью, зависящей в основном от величины подачи на зуб Uz
(см. приложение 4). В действительности на качестве поверхности сказываются, также вибрационные неровности, неровности разрушения - заколы, отщепы, вырывы и пр. Здесь следует учитывать, что длина кинематических волн существенно зависит от точности установки резцов, которая должна быть достаточно высокой.
Сверление
. При изучении процесса сверления должны учитываться особенности использования основных типов сверл:
I/ спиральные с конической заточкой, осуществляющих сверление в кромках деталей по принципу торцово-поперечного резания;
2/ спиральные с центром и подрезателями, осуществляющих сверление в пласть детали по принципу поперечно-продольного резания.
Следует обратить внимание на траекторию движения каждой точки режущих кромок сверла, которая имеет вид винтовой линии.
Шлифование
. Шлифование - особый процесс резания. Специфика его заключается в том, что абразивные зерна - элементарные резцы - имеют различную геометрическую форму и неопределенные по величине углы резания (в большинстве превышающие 90°). Вследствие этого происходит не резание, как таковое, а скобление поверхности материала. Поэтому сила резания при шлифовании определяется аналогично силе трения.
Методы резания древесины строганием, долблением, точением разберите самостоятельно по рекомендованной литературе в соответствии с описанной ранее последовательностью изучения.
Силовые и мощностные расчеты процессов резания
Силовые и мощностные расчеты процессов резания (за исключением шлифования) ведутся по объемному методу.
Пиление рамными пилами
где К
- удельная сила резания, К/мм2
(приложение 3, таблица I);
B -
ширина пропила, мм;
∑
l -
сумма высот пропилов, измеряемая посередине бревна, мм;
∆ -
посылка, подача на один оборот коленчатого вала, мм;
S - ход пильной рамки, мм.
где b - ширина пилы, мм;
С -
величина развода" или плющения на сторону, мм.
64
где α-
коэффициент, характеризующий среднюю высоту пропила для распиловки бревен вразвал, принимается в пределах 0,7 – 0,8, для развала бруса -0,9-0,95;
средний диаметр бревна при распиловке бруса равен высоте бруса;
Z - число пил в поставе.
где dв
- диаметр бревна в вершине, мм;
L - длина бревна, м.
Пиление круглыми и ленточными пилами

где K - удельная сила резания, н/мм2
(приложение 3, таблицы 2,3); B -
ширина пропила, мм; h -
высота пропила, мм; u -
скорость подачи, м/мин; Z - число пил; V-
скорость резания, м/с.
Фрезерование
где K -
удельная сила резания, н/мм2
( приложение 3, таблица 4); В -
ширина фрезерования, мм; h - глубина снимаемого слоя, мм.
Сверление
где D- диаметр сверла, мм.
Строгание
где B - ширина строгания, мм;
h- толщина срезанной стружки, мм.
Шлифование
где Q -
сила прижима шлифовального инструмента к материалу, Н;
где q - давление шлифования, H/мм2
;
Sk
-
площадь контакта шлифовального инструмента с материалом, мм2
;
fшл
- коэффициент шлифования.
Практическая работа №3
Определение скорости подачи по заданному классу шероховатости и мощности резания.
Практическая работа №4
Определение усилия и мощности резания и подачи.
Литература Л1 с. 74 – 150
Л7 с. 20 – 35
Л8 с. 40 - 74
Контрольные вопросы:
1. Дайте определение процесса пиления.
2. Напишите формулы для определения силы и мощности резания при пилении, объясните входящие в них величины.
3. Объясните, от чего зависит качество пропила.
4. Дайте определение процесса фрезерования.
5. Напишите и объясните формулы для определения силы и мощности резания при фрезеровании.
6. Как влияет неточность установки ножей в ножевой головке на шероховатость поверхности при фрезеровании?
7. От какого фактора в основном зависит длина кинематических волн на обрабатываемой поверхности?
8. Дайте определение процессе строгания.
9. Дайте определение процесса сверления.
10. Напишите и объясните формулы для определения силы и мощности резания при сверлении.
11. Дайте определение процесса шлифования.
Раздел 2.
Дереворежущий инструмент
2.1. Общие сведения о дереворежущих инструментах
Роль режущих инструментов в совершенствовании методов обработки и конструкции машин. Современные требования к инструментам. Классификация, индексация и технические характеристики инструментов.
При изучении конструкции, подготовки и эксплуатации дереворежущих инструментов, а также при составлении конспекта по этому разделу рекомендуется пользоваться следующим планом:
1.Назначение инструмента.
2.Классификация.
3.Действующие стандарты.
4.Параметры инструмента.
5. Операции по подготовке к работе.
6. Правила установки инструмента в станок.
Методические указания
Производительность станка, качество выпускаемой продукции и экономичность выполнения технологической операции во многом зависят от конструкции и состояния режущего инструмента, от геометрии резца и качества его подготовки к работе.
Ускоренный технический прогресс в деревообрабатывающей промышленности, автоматизация и интенсификация технологических процессов, а также повышение требований к точности и качеству обработки древесины предъявляет к режущему инструменту все более высокие требования.
Инструмент оптимальной конструкции должен обеспечивать:
е/ высокую производительность;
б/ качество обработки (точность деталей и шероховатость их поверхности);
в/ износостойкость инструмента;
г/ безопасность в работе;
д/ легкость и точность заточки на существующих станках;
е/ легкость и точность установки инструмента в станок.
Удовлетворение указанных требований в основном зависит от правильного выбора материала инструмента, правильной термической обработки, от угловых и линейных параметров режущих элементов и конструктивных форм инструмента.
Инструмент, применяющийся в деревообрабатывающих производствах, можно разделить на следующие группы по его назначению:
I/ станочный инструмент для механической обработки;
2/ручной инструмент, применяющийся для ручной обработки древесины;
3/ вспомогательный инструмент для закрепления режущего инструмента в станке;
4/ рабочий инструмент для подготовки режущего инструмента к работе;
5/ контрольно-измерительный инструмент для контроля операций по подготовке режущего инструмента к работе.
Станочный дереворежущий инструмент разделяется на две подгруппы:
инструмент общего назначения (широко применяющейся во всех деревообрабатывающих производствах);
специальный инструмент. •
Для упорядочения производства, правильной организации и планирования каждому инструменту присваивается условное обозначение (индекс), т.е. проводится индексация инструмента.
Дереворежущий инструмент общего назначения разделен на подгруппы, имеющие определенный номер:
Подгруппа 31. Ножи и инструмент резцовый.
Подгруппа 32. Инструмент фрезерный. Фрезы насадные к концевые.
Подгруппа 33. инструмент сверлильный. Сверла, зенкеры, долбяки, фрезерные цепочки, Подгруппа 54. Пилы рамные, ленточные, круглые.
Каждому типоразмеру (разновидности инструмента, отличающиеся хотя бы одним параметром) запускаемого инструмента присвоен индекс, первые две цифры которого указывают подгруппу инструмента, дальнейшие его виды и разновидности, профили и размерные данные в соответствии с номерами технической документации на этот инструмент. Например, индексом 3420-0151 обозначена пила круглая плоская для распиловки древесины типа I для продольной распиловки с параметром 200x3,32x1,4x24 (диаметр х диаметр центрального отверстия х толщину диска х число зубьев).
При изучении этого раздела по рекомендованной литературе необходимо уяснить, что к основным техническим характеристикам дереворежущих инструментов относятся: размеры, определяющие технологические параметры обработки; геометрия режущих элементов, определяющая качество обработкой энергетические характеристики резания; материал и термообработка, определяющие износостойкость инструментов; нормативы по точности и качеству изготовления.
Литература
Л1 с. 22.
Л7 с. 106 ... 108.
Л8 с. 80 ... 82.
Контрольные вопросы:
- Укажите, в чем заключается решающая роль режущего инструмента в совершенствовании методов обработки.
- Каковы основные требования, предъявляемые к оптимальной конструкции дереворежущего инструмента?
- Дайте общую классификацию дереворежущего инструмента
2.2. Материалы для изготовления дереворежущего инструмента.
Современные инструментальные материалы: инструментальные стали, твердые сплавы, литые твердые сплавы, пластифицированные твердые сплавы, минералокерамические твердые сплавы: состав, основные физико-механические характеристики. Выбор материала дереворежущих инструментов для различных условий обработки.
Методические указания
Основным требованием к материалу режущего инструмента является сохранение остроты лезвия или его режущих свойств наиболее продолжительное время. В результате износа инструмента (затупление резца, выкашивание режущей кромки, ее смятие,
излом, отгиб) ухудшается качество обработанной поверхности, возрастает мощность на резание.
Материалы, применяемые для изготовления дереворежущих инструментов, должны отвечать следующим требованиям:
а/ высокой прочности, предотвращающей поломки инструмента в процессе подготовки и эксплуатации;
б/ достаточной твердости, обеспечивающей сопротивляемость износу;
в/ пластичности, необходимой для предотвращения неблагоприятного воздействия ударных нагрузок;
г/ хорошей обрабатываемости - способности затачиваться до высокой степени остроты режущих кромок;
д/ определенной теплоустойчивости, обеспечивающей высокую износостойкость инструменте при обработке твердых пород древесины и древесных материалов,
При выборе материала дереворежущих инструментов для различных условий обработки необходимо знать его свойства, зависящие не только от химического состава но и от термической обработки.
Термическая обработка позволяет придать инструментам из одного материала различные свойства. Поэтому следует представлять основные положения термической обработки режущих инструментов. Изучение вопросов химического состава материалов для изготовления дереворежущих инструментов и их термической обработки отличается тем, что оно базируется на знаниях, полученных при изучении курса технологии металлов.
В настоящее время для изготовления дереворежущих инструментов используют:
углеродистые инструментальные стали
У8А, У9А, У10А (ГОСТ 380-71) - для инструментов, обрабатывающих мягкие породы древесины или работающих на малых скоростях резания, например ручных;
легированные инструментальные стали
9ХФ, 9Х5ВФ, Х6ВФ, ХВГ (ГОСТ 5950-73) -для изготовления большинства станочных инструментов, обрабатывающих натуральную древесину, например пилы, строгальные ножи;
быстрорежу
щие ст
али РбМЗ, Р6М5, Р9, Р18 (ГОСТ 9374-60) - для инструментов, в силу особенностей конструкции или режима работы, интенсивно нагревающихся, например пазовые фрезы или инструменты, обрабатывающие клееные детали;
твердые металлокерамические спл
авы ВК15,ВК10,ВК8,ВК6,ВК6М (ГОСТ 2882-67) - для инструментов, обрабатывающих древесные материалы, в состав которых входят клеи, работающие в процессе резания, как абразивы (древесностружечных плит, древеснослоистых пластиков). Металлокерамические твердые сплавы выпускаются в виде пластинок различной формы, припаиваемых к телу режущего инструмента.
Исследования и производственные испытания показали, что износостойкость дереворежущих инструментов, оснащенных пластинками твердых сплавов, по сравнению с инструментами из легированных сталей возрастает в 7-10 раз при обработке натуральной древесины и в 20-30 раз при обработке древесных материалов, в состав которых входят клеи.
Литые твердые спла
вы - стеллиты (ВК2, ВКЗ) и сормайты (сормайт № I и сормайт № 2) применяются для наплавки на зубья тех режущих инструментов, на которых,в силу их конструкции или условий работы, невозможно производить напайку пластинок металлокерамических твердых сплавов, например узкие ленточные пилы.
Литература
Л1 с. 161 - 164
Л7 с. 55 - 60
Л8 с. 38 -47
Контрольные вопросы:
1. Перечислите материалы, применяемые для изготовления дереворежущих инструментов.
2. Чем отличается качественная углеродистая сталь от высококачественной?
3. Какие стали называются легированными? Укажите их марки.
4. В чем особенность состава и применения быстрорежущих сталей? Назовите их марки.
5. Каков химический состав металлокерамических твердых сплавов? Назовите их марки.
2.3. Методы повышения износостойкости дереворежущего инструмента.
Понятие об износостойкости как важнейшем показателе качества дереворежущего инструмента.
Способы повышения стойкости инструмента.
Сравнительный анализ по стойкости инструмента при разводе зубьев либо при операции напайки пластинок твердого сплава..
Изготовление твердосплавного режущего инструмента.
Методические указания
Сверхтвердые материалы
(искусственные алмазы) - композиционные материалы на основе кубического нитрида борз - эльбор, гексонит, композит. В настоящее время проводится разработка оптимальных конструкций дереворежущих инструментов, оснащенных сверхтвердыми материалами. Применение инструментов, оснащенных сверхтвердыми материалами, повышает их износостойкость в сравнении с твердосплавным инструментом в 40-70 раз.
Наряду с оснащением дереворежущего инструмента износостойкими материалами для повышения его стойкости применяют различные методы упрочения его режущих элементов (электроэрозионные, химико-термические, электролитические и местные термические), а также добиваются повышения гладкости режущих граней инструмента за счет правки их оселками, доводки режущих граней пастами, графитизированньми кругами, электролитическим полированием, а также заточкой и доводкой алмазными шлифовальными кругами. ,
Эти методы повышения износостойкости инструмента необходимо изучить самостоятельно по рекомендуемой литературе.
Литература: Л1 с. 161 - 164
Контрольные вопросы:
- Укажите сравнительную стойкость дереворежущих инструментов из легированных сталей и инструментов, оснащенных пластинками твердого сплава.
- Какие факторы процесса резания определяют выбор материала дереворежущего
инструмента?
- Какова цель термической обработки инструмента?
2.4. Пилы рамные.
Конструкции пил для лесопильных рам, выбор размеров пил.
Условия надежной работы рамной пилы.
Подготовка пил к работе: операции подготовки, их сущность, нормативы, приемы выполнения, контроль качества выполнения. Особенности подготовки пил с зубьями, оснащенными наплавками или напайками твердого сплава.
Методические указания
Рамные пилы - режущий инструмент лесопильных одно- и двухэтажных, а также тарных вертикальных лесопильных рам. Они предназначены для продольной распиловки бревен на брусья, бруски, доски и тарную дощечку.
Приступая к изучению пил, учащийся должен с ними ознакомиться в цехе, посмотреть их работу, а также их подготовку в заточной мастерской.
Изучая указанные стандарты, обратите особое внимание на основные типоразмеры пил, линейные и угловые величины зубьев пил, а также на основные технические требования к изготовлению пил.
Необходимо знать как производится выбор того или иного типоразмера рамной пилы в зависимости от конкретных условий распиловки.
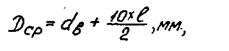
Длина пилы выбирается в зависимости от характеристики лесопильной рамы
где 300 - часть длины пилы, занимаемая крепежной оснасткой (верхними и нижними захватами, прокладками), мм;
Нмакс
- наибольшая высота пропила (равная диаметру бревна в комле), мм;
S - ход пильной ражи, мм.
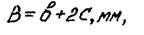
Ширина пилы выбирается с учетом расстояния между передними и задними вальцами лесопильной рамы. Для долговечности инструмента следует выбирать широкие пилы ( B =
200мм).
При выборе толщины приходится разрешать следующее противоречие: чтобы добиться минимальных потерь древесины и снизить энергозатраты на резание, надо стремиться к применению тонких пил; но чтобы достичь высокой точности распиливания, надо обеспечить достаточную жесткость (устойчивость) пилы, а это сделать легче всего, увеличивая толщину пилы, которую выбирают, пользуясь эмпирической зависимостью:

где Нмакс
- максимальная высота пропила (диаметр бревна в комле), мм.
Меньшее значение b
относится к распиловке хвойных пород древесины, большее- к распиловке твердолиственных пород.
От подготовки пил в основном зависят качество распиловки и производительность лесопильных рам, поэтому очень важно разобрать все операции подготовки пил, как: приклепку планок, штамповку, правку, вальцовку, заточку, развод иди плющение и формование зубьев пил.
При подготовке инструмента часто встречаются дефекты, которые ухудшающих качество распиловки древесины, поэтому необходимо подробно разобрать от чего они получаются и методы их устранения.
Далее изучите методы натяжения пил. Натяжение рамных пил в основном осуществляется при помощи механических натяжных устройств с верхними и нижними захватами, в которых крепят пилы. Для непосредственного натяжения пил служат верхние захваты с различными натяжными механизмами: клиновыми, эксцентриковыми и винтовыми и с применением гидравлических аппаратов.
Все перечисленные механизмы необходимо разобрать по конструкции. Проанализируйте методы натяжения и рассмотрите преимущества и недостатки каждого. Подробно рассмотрите операции установки рамных пил в пильную рамку и методы их проверки.
Литература
[4]
, с. 60 ... 145.
[5] , с. 110 ... 135.
[7]
, с. 97 ... 133.
Практическая работа №5.
Изучение конструкции и методов подготовки рамных пил к работе.
Контрольные вопросы:
1. Назовите стандарт на изготовление рамных пил и укажите назначение их.
2. Какие дефекты может иметь полотно рамной пилы, как их выявить и устранить?
3. Каково назначение вальцевания пил?
4. Как практически осуществляется вальцевание и контроль степени вальцевания?
5. Какие устройства применяются для установки и натяжения пил в пильной рамке лесопильной рамы?
2.5. Пилы круглые.
Классификация круглых пил по назначению.
Стандарты на изготовление.
Линейные и угловые параметры.
Подготовка пил к работе: операции подготовки, их сущность, нормативы, приемы выполнения, контроль качества выполнения. Особенности подготовки пил с зубьями, оснащенными наплавками или напайками твердого сплава.
Методические указания
Круглые пилы
- инструмент круглопильных станков, предназначенный для продольной, поперечной и смешанной распиловки древесины л древесных материалов.
По конструкции диска круглые пилы классифицируются на плоские, строгальные и конические. Выпускаются круглые пилы Горьковским металлургическим заводом (ГМЗ) по ГОСТ 980-80 "Пилы круглые плоские для распиловки древесины", ГОСТ 9769-79 "Пилы дисковые дереворежущие с пластинками твердого сплава", ГОСТ 18479-73 "Пилы круглые строгальные для распиловки древесины", ЧМТУ 1-976-7 "Пилы конические для продольной распиловки древесины".
Разберитесь в стандартах на изготовление круглых пил и обратите внимание на технические требования, предъявляемые к их изготовлению.
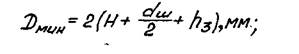
Нормальная устойчивая работа круглой пилы возможна только в случае правильного выбора диаметра и толщины диска, а также диаметра шайбы, закрепляющей пилу на шпинделе станка.
Наименьший диаметр пильного диска Dмин
вычисляется по формулам:
для пил с расположением шпинделя над распиливаемым материалом
для пил с расположением шпинделя под распиливаемым материалом
где H -
высота пропила (толщина заготовки в мм);
dш
-
диаметр зажимной шайбы (фланца), мм;
а - наименьшее расстояние от оси пилы до поверхности стола станке,мм;
hз
- наименьший выход пилы из пропила, примерно равный высоте зубе, мм.
Начальный диаметр диска
где ∆ - запас по радиусу на износ (∆ = 25мм).
Толщина пильного диска выбирается в зависимости от диаметра

Детально разберитесь в конструкции круглых пил и их размерах, назначении конических и строгальных пил. Необходимо ознакомиться с новыми видами круглых пил. Рассмотрите профили зубьев круглых пил для продольной и поперечной распиловки, сущность проковки и правки круглых пил. Посмотрите, как практически осуществляют установку круглых пил в станок.
Весьма важная часть этой темы - уход за зубьями пил. В этой теме необходимо рассмотреть такие вопросы, как заточка, штамповка, развод и плющение зубьев пил. Указанные приемы подготовки пил оказывают решающее значение на их производительную работу. Рассмотрите характер затупления зубьев, способ штамповки зубьев и конструкцию штампа, сущность развода зубьев пил, нормы развода, приемы развода, устройство разводки и контрольного шаблона; назначение и способ плющения зубьев пил.
Применение пил, оснащенных твердыми сплавами, позволяет повысить износостойкость режущего инструмента и сократить простои оборудования, связанные со сменой затупившихся пил. Следует разобраться в конструкции этих пил, форме пластинок твердого сплава, ознакомиться с операциями по подготовке пил к работе - припайка твердосплавных пластинок, заточка и доводка зубьев.
Литература:
Практическая работа №6.
Изучение конструкции и методов подготовки круглых пил к работе.
Литература: Л1 с. 164 – 183
Л8 с. 56 - 80
Контрольные вопросы:
- В каких случаях целесообразно применять строгальные пилы и пилы с пластинками твердого сплава?
- Какие профили зубьев круглых пил предусмотрены действующим стандартом?
- Как определить необходимые размеры круглых пил для: а/ круглопильного станка с нижним расположением пилы; б/ круглопильного станка с верхним расположением пилы?
- Как практически осуществляется вальцевание (проковка) круглых пил?
- Каковы конструктивные особенности исполнения круглых пил с пластинками из твердого сплава?
- Перечислить и пояснить основные требования к установке круглых пил в станок.
2.6. Пилы ленточные.
Виды и конструкции ленточных пил, выбор типоразмера пилы по исходным условиям распиловки, условия надежной работы пильной ленты.
Подготовка пил к работе: операции подготовки, их сущность, нормативы, приемы выполнения, контроль качества выполнения. Особенности подготовки пил с зубьями, оснащенными наплавками или напайками твердого сплава.
Методические указания
Ленточные пилы
- режущий инструмент ленточнопильных станков: столярных, делительных и бревнопильных.
Пилы, используемые в этих станках, отличаются только размерами, профилем зубьев и подразделяются на три вида: столярные (узкие), делительные (средние) и бревнопильные (широкие). Первые два вида выпускаются по ГОСТ 6532-77, а бревнопильные по ГОСТ 10670-77 "Пилы ленточные для распиловки бревен и брусьев".
При изучении стандартов следует обратить внимание на назначение, основные типоразмеры и технические требования к изготовлению ленточных пил.
Размеры полотна ленточных пил в основном зависят от конструкции ленточнопильных станков:
где D - диаметр шкива ленточнопильного станка, мм;
L - расстояние между шкивами, мм;
a - припуск на соединение концов пилы, мм.
Толщина пилы зависит от диаметра пильного шкива
Ширина полотна пилы зависит от ширины пильных шкивов и может превышать ее только на высоту зуба.
Выбирая ширину столярных ленточных пил при выпиливании криволинейных деталей, дополнительно необходимо учитывать радиус кривизны R пропила и уширение зубьев на сторону С,
мм.
Более широкие пилы будут изгибаться в поперечном сечении, что приведет к их зарезанию и даже сползанию со шкивов.
Обратите внимание на операции подготовки ленточных пил к работе: разрезку рулона, зачистку концов пилы, пайку и подготовку шва, вальцовку и заточку и развод или плющение зубьев пил. Самой сложной операцией в подготовке считается пайка полотна пилы и вальцовка.
Разберите приспособления, применяемые для пайки, и режим пайки пил. Необходимо разобрать дефекты, получающиеся при подготовке пил, и методы их устранения.
Литература
[4]
, с. 60 ... 145.
[5] , с. 110 ... 135.
[7]
, с. 97 ... 133.
Практическая работа №7.
Изучение конструкций и методов подготовки ленточных пил к работе.
Контрольные вопросы:
1. Как определить основные размеры ленточной пилы для данного ленточнопильного станка?
2. Охарактеризуйте известные способы вальцевания ленточных пил, укажите их преимущества и недостатки.
3. Какие требования предъявляются к установке ленточной пилы в станок?
4. Опишите процесс пайки ленточных пил.
5. Какие существуют величины плющения или развода на сторону при распиловке хвойных пород?
2.7. Ножи и прижимные линейки.
Классификация ножей. Конструкция ножей для строгания и фрезерования. Особенности конструкции ножей с пластинками из твердого сплава. Ножевые валы и головки.
Подготовку ножей к работе: операции, правила их выполнения. Приборы и приспособления для контроля качестве подготовки ножей. Установка ножей в станок.
Методические указания
Изучение данной темы необходимо начать с классификации ножей по их технологическому назначению:
- ножи для фрезерования древесины применяются для получения плоских и профильных
- поверхностей фрезерованием;
- лущильные ножи - для получения лущеного шпона;
- строгальные ножи - для получения строганного шпона;
- рубильные ножи - получение щепы;
- ножи гильотинных ножниц - для рубки шпона;
- стружечные ножи - для получения стружки в производстве ДСП.
Все ножи имеют вид пластин.
Режущая кромка ножа образована фаской, расположенной под углом заострения к плоскости ножа.
Ножи лущильные и строгальные изготовляются ГМЗ по ЧМТУ1-969-70 из двухслойной стали: режущий слой - из стали марки 9Х5ВФ, а корпус ножа - из стали 15. Режущий слой ножа подвергается термической обработке.
Твердость передней грани режущего слоя него должна быть в пределах 54-59 HRC.
Лущильные ножи изготовляются одного типа следующих размеров: по длине -750, 850, 900, 1000, 2000, 2400, 2800; по ширине - 160, 180 и толщине 15 и 9 мм.
Угол заострения ножа зависит от породы древесины, толщины шпона и обычно находится в пределах 18-23°. Больший угол заострения ножа должен быть при лущении твердых пород.
Ножи гильотинных ножниц
изготовляются по ГОСТ 19743-74 длиной от 1300 до 3100 мм, шириной 115 мм, толщиной 15 мм.
Ножи стружечны
е применяется на станках типа ДС в производстве древесностружечных плит при изготовлении древесной стружки. Ножи изготовляются по ГОСТ 17315-71.
Ножи изготовляются как однослойными, так и двухслойными: режущий слой - из быстрорежущей стали марки 85Х6НФТ, корпус ножа - из стали 10. Ножи подвергаются термической обработке.
Ножи для фрезерования древесины
являются сменными режущими элементами ножевых валов фуговальных, рейсмусовых и четырехсторонних станков.
По ГОСТ 6567-75 ножи плоские с прямолинейной режущей кромкой для фрезерования древесины изготовляются двух типов. Ножи типа I изготовляются целиком из стали марок 8Х4В4Ф1, 8Х6НФТ или ХбВФ. Ножи типа II изготовляются двухслойными - корпус ножа – из стали СТ15, а наплавка - Х6ВФ.
Далее учащийся должен подробно рассмотреть конструкцию ножевых залов и сборных фрез. Обратите внимание на устройства для быстрой смены ножей. Разберитесь в основных операциях подготовки ножей к работе: заточке, доводке и балансировке.
Способы закрепления ножей на ножевых валах зависят в основном от конструкции валов.
В отечественной и зарубежной практике для ускорения смены ножей применяются ножевые валы с механическим или гидравлическим креплением ножей.
Далее необходимо разобраться в операциях подготовки ножей к работе: заточке, доводке и балансировке, правилах их выполнения, ознакомиться с приборами и приспособлениями для контроля качества подготовки ножей.
По рекомендуемой литературе изучить правила установки ножей в ножевые валы и ножевых валов в станки.
Литература
[4] , с. 170 ... 187.
[5] , с. 138 ... 145.
[7] , с. 137 ... 143.
Практическая работа №8.
Изучение конструкции и методов подготовки ножей к работе.
Контрольные вопросы:
1. Как классифицируются ножи?
2. Назначение и применение лущильных ножей.
3. Назначение и применение стружечных ножей.
4. Назначение и применение ножей для фрезерования древесины.
5. Конструкция ножей для фрезерования древесины.
6. Как осуществляется балансировка ножей продольно-фрезерных станков?
7. Указать способы выверки ножей в ножевых валах, отметить их достоинства и недостатки.
8. Перечислить требования, предъявляемые к установке и закреплению ножей в ножевых валах.
9 Какие дефекты возникают при заточке ножей? Меры их устранения.
2.8. Фрезерный инструмент.
Классификация фрез. Типовые конструкции фрез по подразделениям классификации. Проектирование нестандартной фрезы по заданному профилю обработки (изделия).
Подготовка фрез к работе. Технология операций подготовки, нормативы, применяемое оборудование и инструменты. Особенности подготовки фрез, оснащенных пластинками из твердого сплава. Контроль качества подготовки фрез.
Методические указания
Фрезы многообразны. Это объясняется применением их для многих видов работ (плоское к профильное фрезерование, шипорезные операции, выборка пазов и гнезд, копирование, измельчание на щепу) на различных станках; продольно-фрезерных, фрезерных, шипорезных, пазовальных, копировальных, фрезерно-брусующих агрегатах.
Прежде чем при ступить к изучению конструкций тех или иных фрез, следует разобраться в их классификации, которая проводится по следующим признкам:
1/ по способу крепления в станке;
2/ по цельности инструмента, т.е. по тому, как связаны резцы с телом (корпусом) инструмента;
3/ по выполняемой технологической операции;
4/ по форме задней грани;
5/ по способу заточки.
Кроме того, весь фрезерный инструмент подразделяется по размерам.
По способу крепления
на станке фрезы подразделяются на насадные, имеющие центральное отверстие, которым насаживаются на шпиндель станка, и концевые
, имеющие хвостовик для крепления в соответствующем отверстии шпинделя.
Но цельности инструмент
а фрезы подразделяются на: цельные
, изготовляемые из одной заготовки металла. Они характеризуются высокой точностью, позволяющей эксплуатировать их при высокой частоте вращения шпинделей; сборные, имеющие корпус из одного металла, а режущую часть - из другого, как правило, более износостойкого. Режущие элементы могут крепиться к корпусу как при помощи разъемных (механическое крепление), так и при помощи неразъемных (припайка) соединений; прорезные, состоящие из двух или более цельных или сборных фрез, скрепляемых штифтами.
Применяются сборные фрезы для обработки сложных (двусторонних) профилей, которые имеют участки, лежащие в плоскости вращения фрезы.
По выполняемой технологической операции
фрезы подразделяются на цилиндрические
- для обработки плоскостей; пазовые
- для выборки пазов или четверти; про
резные (фрезы-крючья - для формирования ящичных шипов; фасонные - для профильного фрезерования).
По форме задней г
рани фрезы подразделяются на затылованны
е - с кривой задней поверхностью зубьев и незатылованные
- с прямой задней гранью. Преимуществом затылованных фрез является неизменность профиля обработки и углов резания с уменьшением диаметра фрезы в результате заточек.
По способу заточки фрезы подразделяются на фрезы с заточкой по передней грани, к которым относятся все затылованные фрезы, и фрезы
с заточкой по задней грани
, к которым откосятся все незатылованные фрезы.
Для наиболее полного усвоения материала, связанного с конструктивным разнообразием фрез, необходимо ознакомиться с работой фрезерного инструмента непосредственно на предприятии.
На некоторые типы фрезерного инструмента имеются стандарты. Так, например:
I. Фрезы дисковые пазовые дереворежущие изготовляются по ГОСТ 11290-30 с наружными диаметрами 125, 160, 180 мм, внутренними диаметрами 30, 32, 40 мм. Ширина резца предусмотрена от 4-20 мм с градацией через 2 мм.
Фрезы по этому стандарту изготовляются из стали марки Х6ВФ или Р4 твердостью HRC 56-59.
2. Фрезы дисковые пазовые дереворежущие, оснащенные пластинками из твердого сплаве, изготовляются по ГОСТ 11291-31. Основные размеры фрез те же самые, что и по ГОСТ 11290-30 на фрезы дисковые пазовые. Режущие пластинки зубьев фрез изготовляются из твердого сплава марки ВК15 пли ВК6 по ГОСТ 3832-75. Корпуса фрез изготовляются из сталей марки 40Х или марки 45. Передний угол зубьев фрез находится в пределах 25-30°.
3. Фрезы насадные цилиндрические дереворежущие сборные изготовляются по ГОСТ 14956-79 диаметрами 80, 100, 125, 140, 160 им. Корпус фрезы изготовляется :
из стали 45 или 40Х твердостью HRC 38 ... 42,
4. Фрезы дереворежущие для обработки прямых ящичных шипов изготовляются по ГОСТ 21923-76 и применяются на шипорезных станках ШПА4Ои Ш2ПА. По этому стандарту предусматривается изготовление трех типов фрез:
I/ цельные - изготовляются из стали Х6ВФ или 9Х5ВФ;
2/ оснащенные закаленными пластинками из быстрорежущей стали РбМЗ твердостью HRC 59 ... 63;
3/ оснащенные твердосплавными пластинками ВК15, ВК8.
Корпуса фрез изготовляются из стали 45 или 40Х.
Все фрезы изготовляются одного диаметра 200 мм с посадочный отверстие»' 60 мм.
5. Фрезы концевые цилиндрические дереворежущие изготовляются по ГОСТ 8934- 80 из стали Х63Ф или стали марки Р4, твердостью HRC 50 ... 54.
В том случае, когда выбранный профиль детали не может быть получен стандартизованным инструментом, прибегают к конструированию нестандартных фрез.
При разработке конструкции любой фасонной фрезы - цельной или составной -потребуется ряд исходных данных. К этим обязательным данным относятся:
I/ профиль обрабатываемой детали;
2/ тип станка, на котором будет устанавливаться проектируемая фреза, режимы резания;
3/ материал обрабатываемой детали.
При изучении насадных цельных и сборных фрез обратите внимание на достоинстве и недостатки их, на способы конструирования затылка зуба затылованной фрезы. Необходимо ознакомиться в инструментальном цехе с подготовкой фрез к работе, с работой заточного оборудования, с его конструкцией и наладкой.
По рекомендованной литературе разберитесь с особенностями конструкции концевых фрез, различающихся числом резцов, формой канавки для отвода стружки, формой задней грани зубьев (затылованные и незатылованные фрезы). Уясните различия в установке затылованных концевых фрез и незатылованных в патроны.
изучите операции по подготовке фрез к работе (заточка, балансировке и установка в станок). Ознакомьтесь на предприятии с проведением этих операций в применяемым оборудованием. Особое внимание обратите нэ подготовку фрез с пластинками твердого сплава.
Литература
[4] , с. 145 ... 168. [5] ,
с. 145 ... 153. [7] , С 143 ... 164.
Практическая работа №9.
Изучение конструкций и методов подготовки фрезерного инструмента к работе.
Практическая работа №10.
Конструирование затылка зуба фасонных фрез.
Практическая работа №11.
Графическое построение профиля ножа.
Практическая работа №12.
Изучение конструкции и элементов концевых фрез.
Контрольные вопросы:
1. Дайте общую классификацию фрез.
2. Как подразделяются фрезы по способу заточки?
3. Для каких операций применяются цилиндрические фрезы?
4. Для каких операций применяются прорезные фрезы?
5. Для чего применяются концевые фрезы?
6. В чем отличие эксплуатации концевых затылованных и концевых незатылованных .фрез?
7. С какой целью проводится балансировка фрез?
8. На каком оборудовании ведется заточка фрезерного инструмента?
9. Каковы основные требования к установке фрез в станок?
2.9. Сверлильный и долбежный инструмент.
Назначение и типовые конструкции режущих инструментов для глубинной обработки: сверл и зенкеров, фрезерных цепей, долот (гнездовых фрез). Особенности технологического применения перечисленных инструментов.
Подготовка сверлильных и долбежных инструментов к работе.
Методические указания
Сверла применяется для образования в деревянных деталях цилиндрических сквозных отверстий или несквозных гнезд для соединения деталей посредством болтов, деревянных шкантов или винтов. Сверла применяются также для удаления сучков при заделке их специальными пробками.
Конструкция сверла определяется его технологическим назначением, например видом обрабатываемого материала и направлением сверления относительно волокон древесины или плоскости плиты (в пласть или кромку).
Изучите типы сверл, элементы сверла и условия их работы. Станочные сверла -центровые станочные, с круглыми подрезателями, с зубчатыми подрезателями, полые, ложечные, спиральные, винтовые, знаковые, штопорные. Нужно знать их размерные величины и условия применения. Учащийся должен ознакомиться с основными требованиями, предъявляемыми к форме и точности размеров сверл.
Зенкеры по принципу работы являются сверлильным инструментом, применяемым для частичного рассверливания отверстий (например, для выбора углубления под головку винта или .формирования фасонных выемок в деталях). По рекомендованной литературе следует изучить различные конструктивные варианты зенкеров и особенности подготовки их к работе.
Далее рассмотрите долбежный инструмент, который применяется для выборки гнезд в древесных деталях под шиповые соединения. Подробно ознакомьтесь с распространенными инструментами - фрезерными головками цепнодолбежных станков, которые изготовляется по ГОСТ 10509-77.
Фрезерные долбежные цепи изготовляются трехрядными, пятирядными и семирядными. Фрезерные головки цепнодолбежных станков по дереву работают вместе с направляющей линейкой и звездочкой. Необходимо ознакомиться с подготовкой цепочек к работе и с их установкой в станок.
Кроме фрезерных головок для выбора паза в кромках рамок применяются гнездовые долбежные фрезы.
Гнездовые долбежные фрезы представляют собой многолезвийную плоскую мерную (по ширине гнезда) пластинку, несущую зубья с двух сторон - торцовой и боковой. Гнездовые долбежные фрезы применяются на агрегатных силовых головках в агрегатных многопозиционных станках.
Самостоятельно следует разобраться не только в конструкции долбежного инструмента, но и в операциях по подготовке его к работе, ознакомиться с приемами проведения подготовительных операций на производстве. Установить взаимосвязь параметров фрезерной цепочки с размерами выбираемого гнезда.
Литература [4]
, с. 187 ... 200. [7]
, с. 164 ... 170.
Практическая работа №13.
Изучение конструкции и элементов сверлильного инструмента.
Контрольные вопросы:
1. Приведите классификацию сверл.
2. Укажите основные элементы сверла.
3. Какие дереворежущие инструменты называют зенкерами?
4. Для выполнения каких операций предназначается спиральное сверло с центром и подрезателями?
5. Как классифицируются долбежные инструменты?
6. Что собой представляют фрезерные цепочки, для чего они применяются и на каких станках устанавливаются?
7. Опишите операции по подготовке сверл и фрезерных цепочек к работе.
2.10. Абразивные инструменты.
Шлифовальные шкурки: абразивные материалы, основы, связки, рекомендации по выбору шкурок.
Подготовка шлифовальных шкурок к работе на различных шлифовальных станках.
Методические указания
Шлифовальные шкурки
предназначены для подготовки поверхности под отделку, шлифования лаковых покрытий и калибрования.
Шлифовальные шкурки изготовляются на бумажной основе по ГОСТ 6456-82 и на тканевой основе по ГОСТ 5009-82.
В зависимости от нанесения абразивного материала на основу шлифовальные шкурке изготовляются:
Э - электростатическим способом:
М - механическим способом.
Шлифовальные шкурки изготовляются в рулонах я листах. Разберем особенности ГОСТ 6456-75.
По ГОСТ 6456-75 абразивный материал имеет следующую маркировку:
| Вид абразивного материала
|
Марка эбразивного материала
|
| Электрокорунд нормальный
|
15А, 14А, 13А
|
| Электрокорунд белый
|
24А, 23А
|
| Легированный электрокорунд
|
34А, ЗЗА, 32А
|
| Монокорунд
|
45А, 44А, 43А
|
| Карбид кремния зеленый
|
64С, 63С
|
| Карбид кремния черный
|
55С, 54С, 53С
|
| Кремень
|
81 Кр
|
| Стекло
|
Условные обозначения бумаги для шлифовальной шкурки
| Наименование марки бумаги
|
Разрушающие усилия.
в продольном направлении, кГс
|
УСЛОЕ
|
ныв обозначения
|
| 0-140
|
20
|
П1
|
| 0-200
|
25
|
П2
|
| 0-210
|
30
|
П3
|
| 0-235
|
30
|
П4
|
| 0-240
|
40
|
П5
|
| БШ-140
|
18
|
П6
|
| БШ-200
|
23
|
П7
|
| БШ-240
|
28
|
П8
|
В зависимости от неравномерности толщины шлифуемой шкурки она подразделяется на классы (таблица приведена сокращенно).
| Номер зерна абразивного материала
|
Неравномерность толщина шлифуемой шкурки в мм не более
|
| класс А,Б
|
класс В
|
| 50
|
0,30
|
0,35
|
| 40-20
|
0,20
|
0,25
|
| 16-10
|
0,12
|
0,15
|
| 8-3
|
0,08
|
0,10
|
| М63-М40
|
0,06
|
0,08
|
Абразивные материалы в зависимости от размера зерен разделяются на следующие группы и номера зернистости:
шлифзерно 200-16
шлифпорошки 12-3
микропорошки М63-М14
Каждый номер зернистости характеризуется следующими фракциями:
предельной, которая обозначается буквой П;
нормальной - Н.
Шлифовальная шкурка на бумажной основе имеет условное обозначение, например:
1М 720x50 П8 15А 25Н А ГОСТ 6456-82,
где 1М - тип I, изготовлена механическим способом;
720x50 - размер шлифшкурки;
П8 - на бумажной основе марки БШ-240;
15А - вид абразивного материала - электрокорунд нормальный;
25Н - номер зерна 25, нормальной фракции;
А - класс зерна.
Шлифовальная шкурка на тканевой основе имеет условное обозначение, например: 1М 820x50 12 15А 5Н А,
где 1М - тип I, изготовлена механическим способом;
820x50 - размеры шлифовальной шкурки;
Л2 - тканевая основа - саржа особо легкая, артикул 7142;
15А - вид абразивного материала - электрокорунд нормальный;
5Н - номер зерна 5, нормальной фракции;
А - класс зерна.
Операции по подготовке шкурок к работе разберите самостоятельно.
Литература
[ 4 ] , с. 53 ... 60.
[5] , с. 156.
[7] , с. 171 ... 176.
Контрольные вопросы:
1. Какие абразивные материалы применяются для шлифования древесины и древесных материалов?
2. Что следует понимать под зернистостью абразивного материала?
3. Для каких видов шлифования применяется шкурка на тканевой основе?
4. Каковы особенности подготовки шкурок к работе?
5. Как устанавливается шлифовальная шкурка на различных шлифовальных станках?
2.11.Ручные и механизированные дереворежущие инструменты.
Конструкции ручных и механизированных (с электрическим или пневматическим приводом) инструментов различного технологического назначения. Подготовка к работе, правила безопасной эксплуатации, уход за инструментами.
Методические указания
К ручному столярному инструменту относятся: лучковая пила, ножовка, шерхебель, рубанок. фуганок, калевка, горбач, зензубель и др., в такие инструменты для ручного сверления (бурав, коловорот, дрель, трещотка) и долбления (долото и стамеска).
К ручному механизированному инструменту следует отнести ручной электрифицированный Инструмент, как-то: электросверлилка, эдектролобзики, электродолбежники, цепные электропилы, шлифовальные и полировальные машины, электрошуруповерты, электрогайкаверты, электромолотки, и т. д.; ручной пневматическпий инструмент, как то: сверлилки, шлифовальные машины, отвертки, гайковерты, ножницы, обойные молотки и т. д. С техническими характеристиками, размерами и назначением как ручного, так и электрифицированного инструмента можно ознакомиться в справочном пособии В М Тарасова «Ручной электрифициованный и пневматический инструмент, применяемый в деревообрабатывающем и сопутствующих производствах»
Литература
[7
]
с. 170 ... 171.
Оборудование в инструменты для подготовки дереворежущих инструментов к работе
Классификация оборудования по назначению. Технические данные о прогрессивных моделях, эксплуатируемых на лесопильно-деревообрабатывающих предприятиях.
Станки для заточки пил, ножей, фрез. Универсальные заточные станки. Оборудование для подготовки полотен и зубьев пил, припайки пластинок из твердого сплава и др.
Контрольно-измерительные инструменты и приспособления.
Методические указания
Рациональная эксплуатация режущего инструмента предполагает:
I/ подготовку режущей частя инструмента (заточку или доводку зубьев или резцов инструмента, подготовку зубьев пил - развод, плющение я т.д.);
2/ подготовку полотна пилы (устранение местных дефектов, создание определенного напряженного состояния вальцеванием или проковкой);
3/ балансировку (преимущественно статическую) резцов, ножей, элементов крепления, режущего инструмента в целом;
4/ установку в крепление резцов, ножей в рабочем органе (ножевой головке, ножевом валу, фрезе);
5/ ремонт режущего инструмента;
б/ контроль подготовки режущего инструмента;
7/ установку режущего инструмента в станок;
8/ контроль установки инструмента в ставке.
В соответствии с выполняемыми подготовительными операциям классифицируется, и оборудование для подготовки дереворежущих инструментов к работе; на заточное, для развода или плющения зубьев, для вальцевания и т.д.
Отечественной станкостроительной промышленностью выпускаются заточные станки:
I/ полуавтоматы для заточки рамных пил ТчПР-2, ТчПР-3 с наибольшей шириной затачиваемых пил 200 мм, ТчПР-2Г с автоматическим возвратом каретки;
2/ полуавтоматы для заточки ленточных пил ТчДЗ5 с наибольшей шириной затачиваемых пил 350 мм, полуавтомат для заточки и развода столярных ленточных пил ТчЛ6-2;
3/ полуавтоматы для заточки круглых пил ТчПН4-2, ТчЛК8-2, ТчПК1б-2, ТчПК22~2 для заточки пил с наибольшим диаметром соответственно 400, 800, 1600 и 2600 мм;
4/ полуавтоматы для заточки твердосплавных пил ТчПТ4, ТЧП16-2;
5/ полуавтоматы для заточки ножей ТчНб-5 (наибольшей длина затачиваемых ножей 670 мм);
ТчН13-5 (наибольшая длина затачиваемых ножей 1320 мм); ТчН21-5 (наибольшая длина затачиваемых ножей 2120 мм );
6/ полуавтомат для заточки фрез ТчФА-2;
7/ универсальные заточные станки ТчПА-6 для заточки пил - круглых, рамных и ленточных;
ТчПН-6 для заточки рапных, круглых пил и ножей.
Для выполнения других подготовительных операций выпускаются станки ПШП2 для обрезки и насечки зубьев рамных и круглых пил;
ПВ-20 - для вальцевания рамных и ленточных пил;
ПВ-35 - для вальцевания рамных, круглых в ленточных пил;
ПХФ-2 - для холодного плющения и формирования зубьев рамных пил;
ПХФК-8- для холодного плющения и формирования зубьев круглых пах;
РПК16, РПК8 - для развода зубьев круглых пил диаметром соответственно до 1600 ми и до 800 мм.
При изучении этого раздела учащийся должен разобраться по рекомендованной литературе с конструкцией типового оборудования, устанавливаемого в заточных мастерских деревообрабатывающих предприятий, ознакомиться на практике с операциями настройки этих станков, с правилами их эксплуатации. Кроме того, необходимо обратить серьезное внимание на вспомогательные приспособления, рабочий и вспомогательный инструмент и контрольно-измерительный инструменты, используемые при подготовке дереворежущих инструментов.
Литература
[4] , с, 66 ... 74; 87 ... 100; ПО ... 121; 123 ... 145; 153 ... 165; 175 ... 133; 200 ... 223.
[5] , с. 135 ... 138; 143 ... 145; 152 ... 153; 154 ... 156.
Контрольные вопросы:
1. Станки каких марок применяются для заточки пил, фрез, ножей?
2. Станки каких марок применяются для подготовки полотен пил?
3. Станки каких марок применяются для плющения и развода зубьев пил?
4. Какие контрольно-измерительные инструменты применяются для контроля в подготовки зубьев пил?
5. Какие операции входят в настройку заточных станков?
2.12. Организация инструментального хозяйства.
Задачи, функции, структура инструментального хозяйства. Организация подготовки режущих инструментов. Эксплуатация режущих инструментов: обеспечение инструментами рабочих мест в цехах основного производства, технический надзор. Основные вопросы действующего отраслевого положения по организации инструментального хозяйства предприятия. Расчеты годового расходного фонда дереворежущих инструментов, количества единиц потребного оборудования, числа работающих в инструментальном хозяйстве и площадей инструментального цеха.
Методические указания
Инструментальное хозяйство деревообрабатывающего предприятия является вспомогательной службой, призванной обеспечивать основное производство необходимым дереворежущим инструментом.
Основными задачами инструментального хозяйства предприятия являются: подготовка инструмента с необходимыми рабочими параметрами, обеспечение им рабочих мест; технический надзор за правильной эксплуатацией инструмента.
Функции инструментального хозяйства учащийся должен изучить самостоятельно
Одной из основных функций инструментального хозяйства является определение потребности предприятия в дереворежущем инструменте.
Необходимое годовое количество дереворежущего инструмента данного типа А в штуках на один станок может быть определено по формуле
где N - годовое количество часов работы инструмента, ч;
Z -
число одинаковых инструментов з комплекте станка, ит.;
a - величина допускаемого стачивании инструмента, мм (см.приложение 5,
табл. I);
b - величина уменьшения рабочей части инструмента за одну переточку (см.приложение 5, табл. I);
t - продолжительность работы инструмента без переточки (см.приложение
5, табл. I);
К - процент на поломку и непредвиденные расходы (см.приложение 5,
табл. I).
где L - число рабочих дней в году;
Tсм
-
сменное рабочее время, ч;
m - числе смен;
η - коэффициент загрузки деревообрабатывающего станка.
Расчет основного оборудования заточной мастерской ведется по формуле
где t3
- продолжительность заточки, мин (см. приложение 5, табл. 2);
S - количество инструмента в смену, подлежащего заточке, шт.;
m - число смен работы деревообрабатывающего ставка;
Tсм
- продолжительность смены, мин;
K3
- коэффициент использования заточного станке (см.приложение 5, тебя. 3);
n - число смен работы заточного станка;
Количество инструмента, подлежащего заточке в смену, определяется по формуле
где Z - число одинаковых инструментов в комплекте станка, шт.;
t- продолжительность работы инструмента без переточки, ч;
C - количество одинаковых деревообрабатывающих станков, установленных в цехе, шт.;
Tсм
- продолжительность смены, ч.
Типовая структуре инструментального хозяйства лесопильно-деревообрабатывающего предприятия включает следующие подразделения:
- мастерскую для подготовки инструмента, эксплуатируемого а лесопильном цехе:
- мастерскую для полготовки инструмента, эксплуатируемого в остальных дерево-
обрабатывающих цехах, в состав которой входит инструментально-раздаточная клановая (ИРК);
- инструментальную кладовую при центральном материальном складе (ЦМС).
В настоящее время на большинстве предприятий при каждом производственном
цехе есть свой инструментальный участок, однако опыт передовых предприятий показал рациональность перехода к централизованной системе подготовки дереворежущего инструмента. В этих условиях создают один инструментальный цех ее своим складом и инструментально-раздаточной кладовой. Централизация подготовки инструмента улучшает загрузку оборудования, повышает коэффициент использования рабочего времени и качество подготовки инструмента.
Учащемуся следит обратить серьезное внимание на вопросы планировки инструментальных мастерских.
Общую площадь инструментальной мастерской или инструментального участка определяют по составу и количеству выбранных станков и специальных устройств, приспособлений. Удельная площадь на один станок составляет 8-12 м2
на одно приспособление от 4 до 6 м2
. Площадь под слесарный участок приникают из расчета 5 м2
на одного слесаря. Промежутки между станками, стеллажами и другими устройствами, а также расстояние от стен до колонн должно быть не менее I м.
Учащийся должен у себя на предприятии подробно и внимательно изучить инструментальное хозяйство, его структуру, организацию подготовки дереворежущего инструмента к работе.
Литература [4]
, с. 223 ... 235. [5] ,
с. 161 ... 165.
Практическая работа №14.
Расчет годовой потребности в дереворежущих инструментах и заточных станках.
Контрольные вопросы:
I Что дает создание централизованных цехов подготовки режущего инструмента?
2. Каковы функции инструментального хозяйства деревообрабатывающего предприятия?
3. Как определяется потребность в режущем инструменте?
4 Как определяется потребность в оборудовании для подготовки дереворежущих инструментов?
5. Как рассчитывают площадь инструментального цеха или участка?
6. Как хранят поступивший на подготовку и подготовленный инструмент?
Раздел 3.Основы гидравлики. Гидропривод и пневмопривод деревообрабатывающего производства.
3.1. Основы гидростатики и гидродинамики.
Характеристики потока жидкости.
Ламинарное и турбулентное движение.
Важные свойства рабочих жидкостей.
Вязкость, сжимаемость.
Схема распределения скоростей движения рабочей жидкости (при ламинарном и турбулентном режиме).
Методические указания
Рабочие жидкости характеризуются плотностью, удельным весом, удельной теплоемкостью и другими показателями.
Остановимся на двух свойствах рабочих жидкостей, особенно важных для работы гидроприводов – вязкости и сжимаемости.
Под вязкостью понимают способность жидкости сопротивляться относительному сдвигу её слоев. Чем большей вязкостью обладает жидкость, тем медленнее вытекает она из отверстия в сосуде. Вязкость минеральных масел значительно меняется в зависимости от температуры, причем при нагреве масла его вязкость уменьшается. Вязкость масла зависит также и от его давления, но в меньшей степени, чем от температуры.
Сжимаемость рабочей жидкости характеризует уменьшение её объёма при увеличении оказываемого на неё давления. Рабочей жидкости в гидроприводах станков используют для передачи энергии к исполнительным органам. В процессе передачи часть энергии выделяется в виде теплоты, что приводит к нагреву рабочей жидкости. Жидкости должны иметь достаточно высокую температуру кипения, мало испаряться при работе, а их пары не должны быть вредными для здоровья людей, взрыво – и пожароопасными при работе станка.
Гидродинамика изучает закономерности поведения движущейся жидкости. Применительно к гидроприводам представляет интерес особенности движения жидкости под давлением в условиях ограниченного со всех сторон пространства: по трубопроводам и др.
Если отдельные слои жидкости (или струйке) движутся вдоль оси трубы параллельно, не смешиваясь, то движение называется ламинарным (т.е. слоистым).
Разность скоростей вызвана действием сил сопротивления сдвигу, связанных с вязкостью жидкости. Ламинарный режим движения устанавливается в зазорах между подвижными деталями гидроустройств, в длинных каналах и трубах с малым поперечным сечениям, при медленном течении жидкостей, имеющих большую вязкость.
В большинстве случаев в элементах гидроприводов имеет место турбулентный или вихревой режим движения, при котором слои жидкости, перемещающиеся с большой скоростью, интенсивно перемешиваются с образованием завихрений.
Характеристики потока.
Количество жидкости, проходящие через поперечное сечение трубопровода в ед. времени, моет быть выражено в ед. объема и называется объемным расходом. Скорость жидкости в различных точках поперечного сечения потока неодинакова, поэтому для удобства расчетов введено понятие средней скорости потока, которое определяется из предположения, что все скорости в сечении имеют среднюю величину.
Литература: Л4 с. 43 – 86
Л5 с. 97 – 108
Контрольные вопросы:
1. Дать характеристики потока жидкости.
2. Чем отличается ламинарное от турбулентного движения жидкости?
3.Укажите важные свойства рабочей жидкости.
4.Дать понятия вязкости рабочей жидкости.
5. Дать понятия сжимаемости рабочей жидкости.
3.2. Гидропривод
Методические указания
Приводы главного движения. Перемещают поступательно или вращают рабочие органы и узлы станков, которые несут на себе режущий инструмент.
Приводы подач. Также перемещают рабочие органы или узлы станков, несущие инструмент или заготовку. Их движение также влияет на форму обрабатываемой поверхности детали, но скорость этих движений определяет только скорость подачи инструмента относительно обрабатываемой поверхности.
Приводы вспомогательных перемещений широко используют для привода рабочих органов и узлов станка, движение которых не участвует формообразовании детали.
К преимуществам гидропривода относятся:
1. Малые масса и габарит гидроагрегатов
2. Способность передавать большие усилия и моменты
3. Обеспечивает высокое быстродействие, плавное движение
4. Бесступенчатость и широкий диапозон регулирования скоростей
5. Мало подвержен коррозии
6. Легко предохраняет от перегрузок
Недостатки:
1. Загустевание масла при низких температурах окружающей среды, что затрудняет работу механизмов.
2. Сравнительно низкий КПД из-за трения рабочей жидкости и потери её через предохранительные устройства
3. Огнеопасность
Основой гидропривода является гидропередача, в состав которой входят:
1-входная гидравлическая машина-насос;
2-выходная гидравлическая машина-гидродвигатель;
3-гидролиния.
Между приводом, двигателем и насосом может быть размещена входная механическая передача (редуктор) для изменения частоты вращения, полученной от выходного вала эл. двигателя.
Гидропривод осуществляет передачу энергии с двойной её трансформацией: вначале механическая энергия, полученная от э/двигателя, превращается в насосе в энергию потока рабочей жидкости; потом в гидродвигателе происходит обратная трансформация: энергия рабочей жидкости преобразуется в механическую энергию на выходном звене гидродвигателя.
Гидрооборудование можно разделить на три группы: гидромашины, гидроаппаратуру управления и вспомогательные гидравлические устройства.
Литература: Л4 с. 43 – 86
Л5 с. 97 – 108
Практическая работа№15
Изучение условий графических обозначений ив гидравлических схемах.
Практическая работа№16
Изучение гидравлической схемы деревообрабатывающего станка.
Контрольные вопросы:
1.Описать назначение гидропривода, его классификация.
2. Преимущества и недостатки гидропривода.
3. Конструкция и классификация гидродвигателей.
3.3Пневмопривод
Методические указания
Пневматические двигатели действуют от сжатого воздуха. Они просты по конструкции, надёжны в работе. Пневмаприводы пожаробезопасны и отличаются быстрым действием. В д/о производствах используют диафрагменные, цилиндровые и роторные пневмоприводы относительной мощности. Простейший пневмопривод состоит из двигателя и распределительного устройства.
Диафрагменный пневматический двигатель состоит из корпуса, диафрагмы, крышки, штока и пружины. Если полость под диафрагмой соединяют с магистралью сжатого воздуха, то воздух через диафрагму давит на шток, перемещая его и соединенный со штоком элемент станка. При соединении полости под диафрагмой с атмосферой шток пружиной возвращается в исходное положение.
Цилиндровые пневматические двигатели могут быть одностороннего и двустороннего действия. Двигатель состоит из цилиндра, штока, поршня. В двигателях одностороннего действия шток перемещается сжатым воздухом в одном направлении, а в исходное положение он возвращается пружиной.
В двигателях двустороннего действия оба движения поршня под давлением сжатого воздуха; при работе двигателя одна полость цилиндра соединяется с магистралью сжатого воздуха и одновременно другая с атмосферой.
Литература: Л4 с. 106 - 130
Л5 с. 110 - 125
Практическая работа№17
Изучение пневматической схемы деревообрабатывающего станка.
Контрольные вопросы:
1.Описать назначение пневмопривода.
2. Преимущества и недостатки пневмопривода.
3.Классификация и конструкция пневмодвигателей.
Раздел 4. Основные сведения о деревообрабатывающем оборудовании
4.1 Классификация деревообрабатывающего оборудования
Понятие о рабочей машине. Движения в машинах. Структура и схемы машин, Многооперационные машины. Линии машин: принципы построения линий, режим линий и его расчет. Оптимальные структуры линий.
Методические указания
При изучении этого раздела следует уяснить основные понятия и определения. Прежде всего следует знать, что станок, как рабочая машина, представляет собой сочетание механизмов, осуществляющих движение для выполнения определенной работы. Все оборудование в деревообработке является рабочими машинами, однако, в практике рабочие машины для обработки резанием называются станками,
для обработки давлением - прессами, для сборки, транспортирования и сушки – оборудованием, для сортировки и пакетировки - машинами, для физико-механического воздействия - аппаратурой.
Учащийся должен самостоятельно по рекомендованной литературе и на практике разобраться в движениях, совершаемых в станках, выделать глазное движение, движение подачи, вспомогательные движения.
для осуществления движений в рабочих машинах существуют три вида механизмов двигательные, передаточные, исполнительные.
Для изображения машин по ГОСТ 2.701—68 применяется следующие схемы:
I/ структурная схема
(определяет основные функцяональные части машины, их назначение к взаимосвязи. Элементы машин изображаются прямоугольниками, а связи между ними - линиями со стрелками).
2/ функциональная
(технологическая) схема (показывает взаимодействие обрабатываемой заготовки с инструментом, базирующими подающими и некоторыми другими элементами машин);
2/ кинематическ
ая схема (изображает способ передачи движений от двигательного механизма к исполнительному. По ней прослеживаются все кинематические связи и рассчитываются скорости, частота вращения и т. д.). Элементы кинематической цепи вычерчиваются в соответствий с ЕСКД (ГОСТ 2.703-68, ГОСТ 2.721-74, гост 2.770-68);
4/ электрическая схема
(изображает сослав и соединение электрических элементов машины, которые обозначаются в соответствия о ЕСКД (ГОСТ 2.702-63);
5/ пневма
тическая и гидравлическая схемы
(изображают состав и соединение элементов, входящих в пневматический или гидравлический механизм машины). Схемы вычерчиваются в соответствии с ЕСКД (ГОСТ 2.704-68, ГОСТ 2.780-68).
Учащийся должен четко знать состав перечисленных схем, правила гас выполнения я чтения.
Далее следует разобраться в общих вопросах автоматизации, уяснить как подразделяются линии по степени автоматизации; какова оптимальная структура линий, что такое режим линий.
Литература : Л1 с. 224 - 257
Контрольные вопросы
1. Что следует понимать под рабочей машиной и из каких механизмов она состоит?
2. Перечислить и охарактеризовать функциональные механизмы и элементы станков.
3. Что следует понимать под функциональной (технологической) схемой станка.? 4. Что представляет собой кинематическая схема станка или механизма?
5. Какие требования предъявляются к составлению к ишиатических схем?
6. Что понимается под гидравлической схемой станка (механизма)?
7. Что дает использование нормированных узлов и механизмов, например агрегатных силовых головок при проектировании линий?
4.2. Основные технико-экономические показатели оборудования
Технико-экономические показатели машин: технологическая и геометрическая точность, качество получаемых поверхностей обработки, жесткость, виброустойчивость, надежность а др.
Производительность машин. Себестоимость обработки (операции).
Методические указания
При изучении этой темы прежде всего необходимо разобраться с основными техническими
показателями машины, такими как: технологическая точность и шероховатость обрабатываемой поверхности, геометрическая точность машины, жесткость, виброустойчивость, надежность. Следует знать, что характеризуют и от чего зависят данные показатели, как они определяются.
Далее необходимо разобраться в том, как определяется производительность машин. Различают технологическую, цикловую и фактическую производительность. Зная формулы для определения производительности, разобраться с изменением каких величин и вследствие каких факторов может быть повышена производительность.
Обратите внимание на основные экономические
показатели а которым относятся: себестоимость выпускаемой продукции, рентабельность производства..
Литература
[5] ,с
171 ... 189.
[6], с. 220 ... 224.
Контрольные вопросы
1. Что понимается под надежностью станка и какова ее значимость?
2. Что называется точностью обработки?
3. Что такое шероховатость обработки?
4. Что понимается под производительностью станка? Каковы ее виды и единицы измерения?
4.3.Функциональные сборочные единицы и механизмы деревообрабатывающего оборудования
Базирующие устройства. Механизмы главного движения и подачи. Загрузочно-разгрузочные устройства. Вспомогательные наладочно-эксплуатационные устройства. Кинематические и технологические расчеты машин.
Методические указания
При изучении конструкции станка по литературе или на практике, а также при составлении домашнего конспекта или ответа на вопрос домашней контрольной работы рекомендуется пользоваться планом, по которому я определенной последовательности рассматривается конструкция основных узлов и механизмов станка.
План изучения конструкции станка
I/ станина;
2/ механизм резания (механизм глазного движения);
3/ механизм подачи;
4/ базирующие устройства;
5/ прижимные устройства;
5/ вспомогательные и наладочно-эсплуатационные устройства.
В подавляющем большинстве конструкции станков в состав механизма глазного движения входит инструмент, осуществляющий резание древесины, тогда он называется механизм резания. Значительно реже глазное движение придается заготовке, например в лущильных и
токарных станках.
Механизмы главного движения разделяются на три группы; вращательные, поступательные и возвратно-поступательные. Учащемуся следует разобраться в конструкциях типовых механизмов резания, научиться читать кинематические схемы этих механизмов.
Далее рассмотрите механизмы подачи. Они классифицирующая на механизмы с жесткой и фрикционной связью. перемещение заготовки или инструмента осуществляется различными методами: цепной, зубчато-реечной, винтовой и другими передачами,
вальцами, конвейерами, гусеницами и т.д., а так же гидравлическим и пневматическими способами. Большинство механизмов подачи деревообрабатывающего оборудования имеют независимый привод. В некоторых случаях они имеют общий привод с механизмом резания.
С конструктивными формами различных механизмов резания следует ознакомиться по литературе и на практике и рассмотреть на кинематических схемах.
Базирующими элементами машины называют ее устройства, предназначенные для базирования заготовок. Ими могут быть столы, каретки, направляющие линейки, угольники, упоры и другие устройства. Все перечисленные узлы в той или иной мере определяют точность взаимного положения заготовок и инструмента в процессе обработки. При изучении этого материала учащийся должен разобраться в таких понятиях как: базирование, технологическая база, установочная поверхность, базирующая поверхность должен знать виды базирования заготовок.
В качестве приданных устройств используются пружинные, роликовые, колодочные, конвейерные прижимы - при проходной обработке деталей и пружинные, винтовые, кулачковые, пневматические гидравлические зажимы - при позиционной обработке неподвижных заготовок.
К вспомогательным наладочно-эксплуатационным устройствам относятся устройства, не участвующие в рабочих движениях, но
необходимые для правильной работы. К этим устройствам относятся: устройства для размерной и кинематической настройки станка, смазывающие устройства и, устройства для ухода за режущим инструментом, устройства, обеспечивающие безопасность работы на станке.
При изучении функциональных сборочных единиц и механизмов ставка учащийся должен самостоятельно разобраться в вопросах, касающихся применения и устройства различных приводов станка (электропривод, гидропривод, пневмопривод). Необходимо рассмотреть принципиальную гидравлическую схему станка, знать условные обозначения ее элементов.
При проектировании или модернизации станков или анализе их работы проводятся кинематические и технологические расчеты. Задачей кинематического расчета является определение скорости резания и подачи, величины настроечных перемещений и т.д. Расчетам предшествуют вычерчивание кинематическом схемы машины (а соответствии с ГОСТ 2.703-68, 2.721-74, 2.770-68). Такие расчеты достаточно полно описаны в справочнике по деталям машин.
К
технологическим расчетам в основном относятся расчет усилия и мощности подачи, расчет давления подающих и прижимных элементов. При необходимости методику данных расчетов можно взять из учебников и справочников по '"Станкам и инструментам.
Литература
[5] c. 189-230
[7] с. 211-216
Практическая работа№18
Составление схемы механизмов резания деревообрабатывающих станков
Практическая работа№19
Составление схемы механизмов подачи деревообрабатывающих станков
Контрольные вопросы
1. Перечислить основные виды механизмов резания дереворежущих станков в соответствии с характером движения их рабочих органов.
2. Что таксе суппорт, рабочий зал, шпиндель?
3. Привести примеры основных типов рабочих органов механизмов подачи. 4. Какую связь называют жесткой, какую - фрикционной?
5. Охарактеризовать виды базирования заготовок в станках.
6. Охарактеризовать основные конструкции базирующих элементов станка.
7. Перечислить вспомогательные наладочно-эксплуатационные устройства.
8. В каких случаях для привода рабочего органа станка применяется гидропривод? Его преимущества.
9.
В каких случаях применяется пневмопривод в деревообрабатывающем оборудовании?
Раздел 5. Оборудование лесопильного производства
5.1. Окорочные станки
Окорочные станки. Оборудование для поперечного раскроя бревен. Лесопильные рамы. Ленточнопильные станки для бревен. Фрезерно-пильные агрегаты. Оборудование для обрезки кромок, продольного и поперечного раскроя пиломатериалов.
Назначение станков, классификация (типы), модели, технические характеристики. Конструкции станков базовых моделей.- Правила наладки, эксплуатации и безопасного обслуживания.
Методические указания
Оборудование лесопильного производство предназначено для первичной механической обработки бревен с целью получения пиломатериалов (досок, брусьев, заготовок и т п ).
Окорочные станки
предназначены для снятия коры с бревен. Наибольшее распространение получали роторные окорочные станки с тупыми короснимателями и вальцовой подачей. Станки подразделяются по диаметру просвета ротора, характеризующего максимальный диаметр окариваемых бревен. Выпускаются следующие окорочные станки:
ОК40-1 - станок окорочный роторный, мощностью 37 кВт, диаметр просвета ротора 400 мм;
ОК63-1 - станок окорочный роторный, мощностью 37 кВт, D 630 мм;
ОК80-1 - станок окорочный роторной, мощностью 71 кВт, D 800 мм;
ОК100-1 - станок окорочный роторный, мощностью 92 кВт, D 1000 мм.
Базовой моделью гаммы окорочных станков является станок ОК80-1. При изучении окорочных станков следует иметь в виду, что предварительная окорка шпального сырья и пиловочника перед их распиливанием позволяет использовать получаемые отходы (горбыли и рейку) а качестве сырья в производстве бумага, целлюлозы и качественных древесноволокнистых плит. В то же время распиловка на лесорамах окоренного пиловочника дает возможность значительно повысить производительность в связи с меньшим затуплением зубьев рамных пил и уменьшением скольжения бревен на вальцах.
Рабочим органов окорочных станков является вращающийся ротор с закрепленными короснимателями. Рабочие инструменты - коросниматели шарнирно закреплены на вращающимся роторе и, совершая поперечно-винтовое движение вокруг бревна, снимают полоски. Сила прижатия короснимателей регулируется натяжением пружин в зависимости от диаметра, породы и температурно-влажностного состояния бревна. Привод подающих вальцов механизма подачи осуществляется от электродвигателя АО51-4 шкивами через универсальный регулятор скорости и клиноременную передачу.
Рассмотрите кинематическую схему окорочных станков. Разберитесь в правилах подготовки окорочных станков к работе и правилах их безопасного обслуживания.
Литература: Л1 с. 346 - 369
Контрольные вопросы:
4. Назначение окорочных станков?
5. Классификация окорочных станков?
6. Что является рабочим органом окорочного станка?
7. Правила подготовки окорочных станков к работе?
8. Правила безопасного обслуживания окорочных станков.
5.2. Оборудование для раскроя круглого лесоматериала
Оборудование для поперечного раскрои бревен
Поперечное распиливание хлыстов и бревен производится на балансирных однопильных торцовочных станках с полуавтоматическим циклом работы, а также на автоматических торцовочных установках,.
Для поперечной распиловки круглых лесоматериалов применяются станки:
ЦБ6 - станок балансирный, мощностью 8,7 кВт, наибольшая высота пропила 360 мм;
АЦ-2 - станок балансирный автоматизированный, мощностью 18,4 кВт, наибольшая высота пропила 360 мм.
При изучения станков данной группы следует разобраться в их устройстве на основе кинематических и гидравлических схем станков. Рассмотреть конструкцию основных Функциональных узлов, правила настройки и эксплуатации. Обратите внимание на базирование бревен при распиловке на седлообразных роликах, используемых также для перемещения бревна. Привод роликов транспортера электромеханический, а привод всех цикловых движений (опускание пилы, прижимов бревна) гидравлический.
Лесопильные рамы
Лесопильными рамами называются машины, распиливающие древесину при помощи рамных пил, натянутых в пильной рамке, совершающей возвратно-поступательные движения. Они предназначены для продольной распиловки бревен и брусьев на доски. Изучение лесопильных рам следует начать с их классификации по конструктивным и технологический признакам.
I. По технологическому назначению
:
а/ вертикальные двухэтажные лесопильные рамы для распиливания бревен крупных я средних диаметров
2Р50-1 - лесопильная рама первого ряда, мощностью 138 кВт, ширина просвета пильной рамки Н 500 мм;
2Р50-2 - лесопильная рама второго ряда, мощностью 132 кВт, Н 500 мм;
2Р63-1 - лесопильная рама первого ряда, мощностью 138 кВт, Н 630 мм;
2Р63-2 - лесопильная рама второго ряда, мощностью 133 кВт, Н 630 мм;
2Р80-1 - лесопильная рама первого ряда, мощностью 125 кВт, Н 800 мм;
2Р80-2 - лесопильная рама второго ряда, мощностью 125 кВт, Н 300 мм;
2Р100-1- лесопильная рама первого ряда, мощностью 160 кВт, Н 1000 мм;
2Р100-2- лесопильная рама второго ряда, мощностью 160 кВт, Н 1000 мм;
б/ вертикальные одноэтажные лесопильные рамы
для распиливания бревен средних и тонких диаметров:
Р63-4А - рама лесопильная одноэтажная, мощностью 45,8 кВт, ширине просвета пильной рамки Н 630 мм;
Р80 - лесопильная рама мощностью 58,5 кВт, Н 800 мм;
в/ горизонтальные лесопильные рамы
, применяемые для распиливания кряжей твердых и ценных пород на брусья (ванчесы), используемые для получения строганого шпона
РГ130-1 - рама лесопильная горизонтальная, мощностью 26 кВт, ширина просвета пильном ранки Н 1600 мм;
г/ коротышевые одноэтажные вертикальные рамы
для распиливания бревен длиной 1-2 м (коротья)
РК63-1 - рама для распиловки коротких бревен, мощностью 48,5 кВт, Н 630 мм;
д/ тарные одноэтажные вертикальные рамы
для распиливания брусьев или тонкомера на тарную дощечку
РТ36 - рама лесопильная для распиловки брусьев на тарную дощечку, мощностью 23,5 кВт, Н 360 мм.
2. По ширине просвета - на узкопросветные, среднепросветные и широкопросветные.
К узкопросветным
относятся лесопильные рамы следующих марок: 2Р50-1, 2Р50-2, 2Р63-1, 2Р63-2, Р63-4А, РК6З-1, РТ36.
К среднепро
светным - 2Р80-1, 2Р30-2, Р80.
К широкопроеветным
- 2Р100-1, 2Р100-2.
3. По конструкции механизма подачи - на рамы с непрерывкой и толчковой
подачей.
4. По количеству шатунов вертикальные рамы подразделяются на одношатунные
и двухшатунные
. Все двухэтажные лесопильные рамы - одношатунные, а одноэтажные -двухшатунные.
Учащийся должен детально разобраться в конструкции основных Функциональных узлов лесопильных рам базовых моделей (2Р63-1 и Р63-4А.). К основным узлам лесопильных рам относятся станина с фундаментной плитой, механизм резания, состоящий из пильной рамки с поставом пил, кривошипно-шатунного механизма, маховиков и электродвигателя, механизм подачи, базирующие элементы.
Необходимо знать отличия в конструкциях лесопильных рам прочих моделей от базовых.
В СССР имеется свыше 90 тыс. одноэтажных рам (с учетом установленных в колхозах), что составляет более 90% от общего количество рам. Однако на этих рамах выпиливается до 20% пиломатериалов от всего объема вырабатываемой в стране пилопродукции.
Одноэтажные лесопильные рамы имеютт в 5-10 раз меньшую производительность, чем двухэтажные и применяются в небольших лесопильных цехах, на строительных площадках, в совхозах к колхозных мастерских для распиловки небольшого количества круглого леса на пиломатериалы.
Одноэтажные лесопильные рамы отличаются невысокой стоимостью, небольшим весом, несложной конструкцией, компактностью установки и простым уходом за рамой. Учащийся должен разобрать конструкцию рам марок РТ36, Р80, РКбЗ-2, знать конструктивные отличия их.
Особое внимание должно быть уделено также изучению характера подачи (однотолчковой, двухтолчковой и непрерывнодействующей). Необходимо разобраться в механизме подачи того или иного типа лесорамы, э также учесть достоинства и недостатки того или иного вида подачи бревна в лесопильную раму.
Надо обратить внимание на вопросы натяжения пил в пильной рамке, уяснить правила монтажа и выверки лесорамы.
Кроме того, в этой теме должны быть изучены околорамные механизмы, предназначенные для подачи бревен и брусьев в лесопильные рамы и уборки с них пиломатериалов.
Эти механизмы обычно делятся из впередирамные и позадирамные. К впередирамным механизмам относятся: рамные тележки, конвейеры для подачи бревен и быстроходные рамы, брусоперекладчики и аппараты для заправки бруса в раму 1-го ряда.
Позадирамные механизмы расположены за рамами. К таким механизмам относятся: направляющие аппараты-рольганги для удаления досок, зажимные тележки, брусоперекладчики.
Одновременно необходимо изучить величины уклона и связь их с посылкой, уклоны при непрерывной и толчковой подаче. Рассмотреть способы уклонов пильных рамок.
Далее необходимо изучить правила подготовка лесопильных рам к работе и правила техники безопасности при работе на лесопильных рамах.
Литература: Л1 с. 346 - 369
Контрольные вопросы:
1. Назначение оборудование для раскроя круглого лесоматериала?
2. Классификация оборудование для раскроя круглого лесоматериала?
3. Назовите оборудование для поперечного раскроя бревен.
4. На какие виды делятся лесопильные рамы?
5.3.Оборудование для производства пиломатериалов и обработки отходов лесопиления
Фрезерно-пильные агрегаты
производят весь комплекс операций по получению из бревен пиломатериалов и технологической щепы, при этом увеличивается полезный выход пилопродукции и уменьшаются отходы в опилки.
Линия агрегатной переработки бревен состоит из впередирамного агрегата для приема бревен с бревнотаски и поштучной выдачи их в агрегат, фрезерно-пильного агрегата и позадиагрегатного рольганга для транспортировка получаемых пиломатериалов.
Основным технологическим участком является фрезерно-пильный агрегат, в котором бревно обрабатывается фрезами до формы ступенчатого бруса и затем распиливаются наборами круглых пил на доски.
Самостоятельно разберитесь в конструкции фрезерно-пильного агрегата, механизма подачи бревен.
Выпускаются следующие модели линий:
ЛАПБ-2 - линия агрегатной переработки бревен общей мощностью 400 кВт, наибольший диаметр бревен 18 см;
ЛФП-2П - фрезернопильная линия для продольной распиловки бревен на базе круглопильных станков с программным управлением, мощностью 400 кВт, наибольший диаметр бревен 24 см.
Литература: Л1 с. 346 - 369
Практическая работа№20
Изучение конструкции оборудования для производства пиломатериалов
Контрольные вопросы:
1. Назначение и классификация оборудования для производства п/м и обработки отходов.
2. Конструкция фрезерно-пильного агрегата?
3. Назовите модели линий данного типа?
Раздел 6. Оборудование для производства шпона и фанеры
6.1.Станки для производства лущеного шпона
Методические указания
Лущильные станки предназначаются для получения лущеного шпона из фанерного чурака, представляющего собой отрезок кряжа, который подготовлен к лущению.
При лущении чурак вращается вокруг своей оси, а лущильный нож надвигается на него и срезает ленту шпона, ширина которой равна длине чурака. Длина ленты шпона зависит от диаметра чурака.
Чурак на современных станках зажимается двойными телескопическими шпинделями с кулочками. Вращение на шпиндели передается от электродвигателя главного привода через клиноременную передачу, вал и зубчатые передачи. Рабочая подача суппорта с ножом и прижимной линейкой осуществляется от правого шпинделя через цепную передачу, коробку передач, вал, коническую и винтовую передачи. Ускоренное перемещение суппорта осуществляется от электродвигателя. Жесткая кинематическая связь механизма подачи с механизмом вращения чураков позволяет получать лущеный шпон равномерной толщины.
Лущильные станки изготовляют с различными кинематическими схемами и параметрами. В зависимости от параметров лущильные станки подразделяются на станки:
- Тяжелого типа, которые служат для лущения чураков длиной более 2,2м и диаметром до 1300мм.
- Среднего типа – для лущения чураков длиной от 1,3 до 2,0м и диаметром до 800мм.
- Легкого типа – для лущения чураков длиной до 1м и диаметром до 450мм.
На фанерных предприятиях применяют лущильные станки среднего и тяжелого типа.
Станки легкого типа используют в спичечном производстве для получения шпона, предназначенного для изготовления соломки и упаковочных коробок, и на фанерных предприятиях для долущивания коротких карандашей.
Основные параметры лущильных станков:
- Расстояние между зажимами кулачками шпинделей определяет длину чурака, а следовательно, и получаемую при лущении чурака ширину ленты шпона, которая равна длине чурака. Различают максимальное и минимальное расстояние между центрами. Длина чурака должна быть не больше максимального и не меньше минимального расстояния.
- Высота центра шпинделей над станиной (ВЦ) определяет максимально возможный диаметр исходного чурака, который равен диаметр=2ВЦ-100мм.
- Длина лущильных ножей обычно на 30-50мм больше максимального расстояния между кулочками шпинделей.
- Частота вращения шпинделей зависит от кинематической схемы привода станка и принимается из условия обеспечения оптимального режима лущения. Она может быть постоянной и переменной.
- Скорость рабочей подачи – путь перемещения суппорта (ножа с прижимной линейкой) за время одного оборота шпинделей (чурака) или в минуту. Скорость подачи определяет толщину получаемого при лущении шпона.
- Скорость ускоренного хода суппорта – скорость перемещения суппорта в период подвода его к чураку в начале лущения и отвода от чурака (карандаша) в конце лущения.
- Скорость обдирочной подачи – скорость перемещения суппорта в начале лущения до момента оцилиндровке чурака и получения кусков шпона, пригодных для производства фанеры или других целей.
- Скорость осевой подачи зажимных шпинделей принимается такой, чтобы время отвода суппорта и раскрепления карандаша было одинаковым.
- Диаметр зажимных кулачков определяется минимально возможной диаметрам получающихся при лущении карандашей.
- Мощность главного привода и всех установленных на станке электродвигателей выражается в киловаттах и определяет как возможную толщину шпона при лущении чурака, так и расход электроэнергии на производство шпона.
- Габаритные размеры станка измеряют по наиболее выступающим частям. Длина и ширина определяют потребную производственную площадь для установки станка.
Литература: Л8 с. 79 - 94
Контрольные вопросы:
1. Назначение и классификация лущильного оборудования?.
2. Основные параметры?.
3. Назовите типы и марки лущильных станков?
6.2.Станки для производства строганного шпона
Методические указания
Строгалными называются станки, сострагивающие ножевым суппортом с обрабатываемого бруса поперек волокон слой древесины постоянной толщины. Строганный шпон получают в виде полос длиной до 5500 мм, шириной, равной ширине бруса, и толщиной 0,8-1,6 мм.
В зависимости от направления и характера рабочего перемещния суппорта строгальные станки разделяются на горизонтальные, вертикальные и с вращательным движением. Наибольшее распространение получили горизонтантальные строгальные станки. При одинаковых производственных параметров они занимают большую площадь по сравнению с вертикальными, но обеспечивают более высокую жесткость и виброустойчивость. Крепление заготовки более удобно у горизонтальных, а съем готовых листов шпона – у вертикальных станков. В горизонтальном строгальном станке суппорт с ножем и прижимом совершает возвратно-поступательное движение по двум направлениям, приводимый кривошипно-ползунным механизмом с числом двойных ходов в минуту от 10 до 45. махавики вращаются от электродвигателя через ряд зубчатых передач. Их вращение регулируется муфтой скольжения. На столе с помощью гидрозажимов закрепляется брус, фиксируемый на столе с помощью вакуума. Вакуум – стол имеет гладкую резновую поверхность с присосками, которые развивают усилие прижима в несколько тонн. Основными преимуществами такого прижима являются возможность строгания бруса до толщины 3мм предохранение брусьев от деформации и растрескивания, которые происходят в случае применения зажимов, быстрота и удобство работы. Стол имеет рабочие и настроечные перемещения. Рабочее движение заключается в подъеме стола на толщину срезаемого шпона; оно выполняется при холостом ходе суппорта путем воздействия копира суппорта на ролик рычага, который приводит в действие храповый механизм. Вращение храпового колеса передается подъемным винтом через цилиндрические и конические шестерни коробки передач. Для быстрого отвода стола в исходное положение и его настроечных перемещений имеется отдельный привод. Он состоит из электродвигателя, червячной передачи и муфты включения. Возможно также ручное настроечное перемещение от маховика. Существуют станки с гидравлическим приводом перемещения стола. Срезаемый шпон удаляется из ножевого суппорта либо в ручную, либо с помощью специальных устройств. При большм числе двойных ходов суппорта ручное удаление шпона становится весьма затруднительным и опасным, поэтому современные строгальные станки оснащены разгрузочными устройствами.
Литература: Л8 с. 79 - 94
Контрольные вопросы:
1. Назначение и классификация строгальных станков?
2. Назовите марки станков.
3. Основные элементы строгальных станков.
6.3. Клеильно-прессовое оборудования
Методические указания
Существует различное оборудование для нанесения клея: клеенамазывающие вальцы, клееналивные и клеераспылительные машины, экструзионное оборудование и т.д.
Наибольшее распространение для двустороннего намазывания получили клеенамазывающие вальцы. Клей наносится двумя горизонтальными, расположенными один над другими вращающимися в противоположные стороны чугунными барабанами. Рядом с ними расположены дозирующие валики. Клеевой раствор насосом подается по трубопроводам в пространства между дозирующими валиками и барабанами. Вращаясь, барабаны забирают клей и переносят его на движущиеся между ними листы шпона.
Клеенаносящие станки различаются по способу питания станка клеи:
- с подачей клея снизу
- с подачей сверху
- с подачей одновременно снизу и сверху
Поверхность клеенаносящих барабанов может быть гладкой или рифленой, металлической или обрезиненной.
Выпускаются клеенаносящие станки как для одностороннего, так и для двустороннего нанесения клея. Наиболее распространены станки для двустороннего нанесения.
Для облегчения промывки система подачи клея сообщается с водопроводной сетью, а поддон – с канализацией.
КВ9. в данном случае оба наносящих барана обрезинены. В пространство между наносящими барабанами и дозирующими валиками клей подается шестеренчатым насосом. Количество клея между наносящими барабанами и дозирующими валиками регулируются стоком клея в поддон, откуда он снова насосом подается к наносящим барабанам. Поджатием дозирующих валиков к барабанам можно регулировать количество подаваемого клея и толщину клеевого слоя. Поджатие осуществляется микрометрическими винтами или эксцентриковым устройством с точностью до 0,03мм. Все конструкции клеенаносящих станков снабжены винтовыми устройствами для регулировки расстояния между барабанами в соответствии с толщиной пропускаемого шпона. Изменение толщины пропускаемого шпона компенсируются пружинами, укрепленными по обе стороны верхнего барабана у ряда клеенаносящих станков ванны, или поддоны, снабжены водяной рубашкой для охлаждения или, наоборот, нагрева клея. Для поддержания листов шпона перед и за клеенаносящими барабанами установлены специальные опоры, выполненные в виде ряда расставленных на ребро узких пластин-ножей.
Применяются два основных способа склеивания шпона: сухой горячий, при котором шпон высушивают и склеивают под давлением от 1,5 до 5 МПа, нагревая пакет шпона до определенной температуры; сухой холодный, при котором высушенный шпон склеивают под давлением до 1,5 МПа, не нагревая пакета.
Для каждого из способов применяют гидравлические прессы.
Колонный пресс П714-Б для горячего склеивания.
В массивном основании установлены колоны, связывающие основание с верхней неподвижной траверсой – архитравом. Также на основании помещаются вертикально расположенные плунжерные рабочий цилиндр и вспомогательные цилиндры. На плунжеры опирается подвижная траверса, или стол, который служит для передачи давления от плунжера к плитам. К подвижной траверсе и архитраву через теплоизолирующие прокладки прикреплено по одной нагревательной плите, между которыми установлены остальные. Из основных способов нагрева плит – паром с давлением 0,4-1,3 МПа. Пар подают по трубопроводу к парораспределительному коллектору, а оттуда через шарнирные паропроводы в плиты. Пар, отдавая свою теплоту, нагревает плиты пресса и затем, конденсируясь, удаляется через пароотводящий коллектор и конденсационный горшок. Для охлаждения плит пресса к распределительному коллектору подводят холодную воду через вентиль. Плиты охлаждаются водой, проходящей через паропроводящие и пароотводящие трубки при закрытых паровых вентилях. Некоторые прессы имеют подъемный стол для загрузки и выгрузки фанеры. Стол поднимают и опускают с помощью вспомогательного цилиндра. При индивидуальном насосном приводе после загрузки пакетов в пресс с пульта управления включают электродвигатель гидравлических насосов высокого давления. Рабочая жидкость из бака через вентиль по трубопроводу достигает распределителя и по трубопроводу поступает во вспомогательные цилиндры. Под действием жидкости плунтеры вспомогательных цилиндров поднимает стол пресса. Происходит быстрое смыкание плит. В это же время жидкость через трубопровод и клапан наполнения поступает в рабочий цилиндр. После смыкания плит пресса и создания в гидравлической системе давления 17-18 МПа реле давления включает электромагнит распределителя и вся жидкость начинает поступать в рабочий цилиндр. При достижении давления 20 МПа электроконтактный манометр отключает электродвигатели насосов. С этого момента фанеру выдерживают в прессе. Время выдержки контролируется реле времени, которое затем подает сигнал на включение электромагнита клапана сброса давления, находящегося на распределителе. При этом определенное количество жидкости сливается в бак через трубопровод. Спустя некоторое время включается электромагнит клапана размыкание плит и происходят размыкание плит пресса и слива жидкости в бак через трубопровод, клапан наполнения вентиль. После этого все подвижные части пресса приходят в исходное положение. На трубопроводе рабочих цилиндров установлен клапан, на трубопроводе вспомогательных цилиндров – клапан. Для подъема стола загрузки и выгрузки с пульта управления включается электродвигатель шестеренного насоса, который подает жидкость по трубопроводу через клапан золотника в цилиндр подъемного стола. Для опускания стола клапан золотника пульта управления прессом переключается и жидкость через клапан поступает в сливную магистраль. Для предохранения системы подъема стола от перегрузки служит предохранительный клапан. Пар в плиты пресса поступает через редукционный клапан, позволяющий регулировать давление пара манометром. Слив конденсата происходит через конденсионный горшок. Вода для охлаждения плит подается через вентиль при закрытом паровом вентиле. Давление жидкости в гидросистеме контролируют электроконтактным манометром; температуру – дистанционным термометром.
Литература: Л1 с. 369 - 385
Контрольные вопросы:
- Классификация и назначение клеильно-прессового оборудования?
- Виды оборудования для нанесения клея?
- Как классифицируются клеенаносящие вальцы по способу питания?
- Классификация оборудования для склеивания.
- Принцип действия пресса П714-Б.
- Как осуществляется контроль давления в системе?
- От чего зависит время склеивания в прессе?
- Способы и схемы подогрева плит в прессе.
Раздел7. Деревообрабатывающее оборудование общего назначения
7.1.Ленточнопильные станки
Ленточнопильные станки
В лесопильном производстве ленточнопильные станки предназначаются для продольной распиловки бревен крупных диаметров, а также для раскроя древесины ценных пород. В настоящее время на базе ленточнопильных станков созданы линии для продольной распиловки бревен ЛБЛ125-1, ЛБЛ150-1 и ЛБЛ150-1П (с программным управлением) и др.
По рекомендованной литературе разобраться в конструкции функциональных узлов и кинематической схеме ленточнопильного станка, знать конструкцию устройств для натяжения пильной ленты направляющих устройств, правила наладки и техники безопасности.
Литература: Л1 с. 346 – 369
Л8 с. 97 - 106
Практическая работа№23
Изучение конструкции, технической характеристики и кинематической схемы базовой модели ленточнопильного станка
Контрольные вопросы:
1. Назначение и классификация ленточнопильных станков.
2. Механизмы резания и механизмы подачи данной группы станков.
3. Опишите настройку, наладку и эксплуатацию оборудования.
4. Перечислите достоинства и недостатки ленточнопильных станков.
5. Особенности подготовки режущего инструмента к работе.
6. Выполните сравнительный анализ по качеству распиливания на ленточнопильном станке и круглопильном.
7.2.Круглопильные станки
Круглопильные станк
и - это самая многочисленная группа станков, имеющих очень широкое распространение, главным образом для обрезки и раскроя пиломатериалов и других древесных материалов.
Все круглопильные станки по назначению подразделяются на три основные группы:
- станки для продольного пиления;
- станки для поперечного пиления;
- станки для форматного раскроя.
Необходимо хорошо знать классификацию этих групп станков, их применение в лесопильно-деревообрабатывающем производстве и модели выпускаемых в настоящее время станков.
В соответствии с типажем деревообрабатывающего оборудования на 1981-1985 гг. выпускаются следующие круглопильные станки общего назначения:
I/ для продольного раскр
оя досок на заготовки
ЦА-2А - станок круглопильный с механической подачей, мощностью 11,4 кВт, наибольшая скорость подачи 80 м/мин;
ЦДК4-3 - станок прирезкой однопильный, мощностью 15,6 кВт, наибольшая скорость подачи 60 м/мин;
ЦДК5-2 - станок прирезной пятипильный, мощностью 24 кВт, наибольшая скорость подачи 60 м/мин;
ЦМР-2 - станок прирезкой десятипильный, мощностью 44,7 кВт, наибольшая скорость подачи 60 м/мин.
Базовой моделью гаммы круглопильных станков для продольной распиловки является станок ЦДК4-3;
2/ для поперечного раскроя п
иломатериалов
ТС-3 - стопок торцовочный с нижним расположением пилы, мощностью 4,5 кВт;
ЦМЭ-ЗА - станок торцовочный шарнирно-маятниковый, мощностью 4 кВт;
Ц2К12-1 - станок концеравнительный двухсторонний, мощностью 12,3 кВт, наибольшая скорость подачи 18 м/мин, наибольшая длина обрабатываемого материала 1250 мм;
Ц2К20-1 - станок концеравнительный двухсторонний, мощностью 12,3 кВт, наибольшая скорость подачи 18 м/мин, наибольшая длина обрабатываемого материале 2300 мм.
Базовой моделью гаммы круглопильных станков для поперечной распиловки является станок ТС-3, для гаммы концеравнителей - Ц2К12-1;
3/ для форматного раскроя
. •
ЦТЗФ-2 - станок форматно-обрезной трехпильный, мощностью 14,2 кВт, наибольшая скорость подачи 25 м/мин, наибольшие размеры обрабатываемого материала 1850x3700 мм;
ЦТМФ - станок для раскроя плит с программным управлением, мощностью 97,8кВт, наибольшая скорость подачи продольного суппорта 27 м/мин, наибольшие размеры обрабатываемого материала 1800x3700 мм;
ЦФ2 - станок для форматной обработки щитов, мощностью 23,8 кВт, наибольшая скорость подачи 10,4 м/мин.
Литература: Л1 с. 260 – 281
Л8 с. 55 - 68
Практическая работа№24
Изучение конструкции, технической характеристики и кинематической схемы базовой модели круглопильного станка для продольного пиления.
Практическая работа№25
Изучение конструкции, технической характеристики и кинематической схемы базовой модели круглопильного станка для поперечного пиления.
Контрольные вопросы:
- Какие операции выполняют на круглопильных станках?
- Чем отличаются зубья пил, предназначенных для продольной распиловки, от зубьев поперечной распиловки?
- Назначение и классификация круглопильных станков?
- Опишите наладку, настройку и эксплуатацию станков данного типа.
- Для чего правят пилы? Для чего разводят зубья у пил?
7.3.Продольно-фрезерные станки
Продольно-фрезерные станки (фуговальные, рейсмусовые, четырехстороннее). Фрезерные стенки с нижним и верхним расположением шпинделей. Копировальные станки. Токарные станки. Шлифовальные станки (узколенточные, широколенточные, цилиндровые и дисковые и др.) '
Назначение, типы, модели, технические характеристики. Конструкции базовых моделей. Конструктивные особенности станков прочих моделей. Правила наладки и безопасного обслуживания.
Методические указания
К группе продольно-фрезерных
станков относятся станки фуговальные, рейсмусовые и четырехсторонние.
Учащийся должен рассмотреть все виды продольно-фрезерных станков, разобраться в их классификации, изучить принципы устройства и работы различных станков, ножевых валов и головок, подающих, базирующих, прижимных и направляющих устройств. Ознакомиться с правилами наладки станков и правилами техники безопасности при работе на станках.
Исходя из конструкции, проанализируйте пути повышения производительности продольно-фрезерных станков.
Фуговальными
называются станки, на которых методом плоского фрезерования производится обработка одной или двух смежных сторон доски или бруска с целью создания базовых поверхностей.
Фуговальные станки характеризуются по способу подачи на станки с ручной и механической (вальцами, фрикционным конвейером, толкающим конвейером) подачей. Кроме того, станки различаются по ширине обработки и количеству сторон обработки.
Выпускаются стенки следующих марок:
СФЗ-3 - односторонний фуговальный станок с ручной подачей, наибольшая ширина обрабатываемого материала Bмакс
250 мм, мощностью 1,7 кВт;
СФ4-1 - односторонний фуговальный станок с ручной подачей, мощностью 30 кВт,
Bмакс
400 мм.
СФ6-1 - односторонний фуговальный станок с ручкой подачей, мощностью 5,5кВт, Bмакс
630 мм.
СФАЗ-3- односторонний фуговальный станок с механической подачей, мощностью
2.5 кВт;
СФА4-1- односторонний фуговальный станок с механической подачей, полностью 4,3 кВт;
СФКб-1- односторонний фуговальный станок со встроенным конвейером, мощностью 10,0 кВт;
С2ФЗ-3- двусторонний фуговальный, станок с механической подачей, мощности 3,7 кВт;
С2Ф4-1- двусторонний фуговальный станок с механической подачей, мощностью
5,6 кВт.
Базовая модель гаммы односторонних фуговальных станков - СФА4-1, двусторонних - С2Ф4-1.
Изучая фуговальные ставки, обратите внимание на установку ножей в ножевые залы, проверку правильности их установки, настройку переднего и заднего столов станка, а также на возможность при помощи автоподатчиков механизировать подачу заготовок на фуговальных станках с ручной подачей.
Далее можно приступить к изучению рейсмусовых станков
, предназначенных для обработки деталей в размер по толщине методом плоского фрезерования. Рейсмусовые станки классифицируются в зависимости от ширины обработки и числа сторон обработки (на односторонние к двусторонние).
Выпускаются станки следующих марок:
СРЗ-7 - станок рейсмусовый односторонний мощностью 6,3 кВт, наибольшая ширина обработки Bмакс
315 мм;
СР6-9 - станок рейсмусовый односторонний, мощностью 9,0 кВт, Bмакс
630 мм.
СР8-1 - станок рейсмусовый односторонний, мощностью 12,5 кВт, Bмакс
800 мм
СР12-3 - станок рейсмусовый односторонний, мощностью 24,6 к Вт, Bмакс
1250 мм
С2Р8-3 - станок рейсмусовый двухсторонний, мощностью 24,6 кВт, Bмакс
800 мм;
С2Р12-3- станок рейсмусовый двухсторонний мощностью 44,5 кВт, Bмакс
1250 мм,
Базовой моделью гаммы рейсмусовых станков является станок СР6-9.
Необходимо хорошо разобраться в конструкции станка базовой модели, знать устройство его основных функциональных узлов. Обратите внимание на конструкцию стола и направляющих, по которым происходит его перемещение при настройке. Разберитесь в конструкции подающих элементов стажа. Чем вызвана необходимость секционной конструкции переднего подающего вальца.
Уясните конструкцию и роль переднего и заднего прижимов. Рассмотрите кинематические схемы других станков и подчеркните их отличия от станка базовой модели.
Далее необходимо изучить конструкцию современных четырехсторонних станков, предназначенных для плоскостной и профильной обработки прямолинейных заготовок с четырех сторон за один проход. Станки этой группы подразделяются в зависимости от ширины фрезерования на:
легкие (калевочные) для обработки профильных мебельных и столярных деталей шириной до 100 мм;
средние - для обработки столярных плоских и профильных деталей шириной до 280 мм;
тяжелые (погонажные) для обработки погонажных изделий и пиломатериалов массового выпуска шириной до 250 мм.
Выпускаются станки следующих марок:
С10-3 - станок строгальный четырехсторонний калевочный, мощностью 18,5 кВт, Bмакс
100мм
С16-1А - четырехсторонний калевочный погонажный станок, мощностью 18,5 кВт, Bмакс
160 мм
С16-2А - четырехсторонний станок с дополнительной калевочной головкой, мощностью 36 кВт, Bмакс
160 мм.
С25-1А - четырехсторонний погонажный станок, мощностью 40 кВт, Bмакс
250 мм
С25-2А - четырехсторонний погонажный станок с дополнительной калевочной головкой.
Базовыми моделями геммы четырехсторонних станков являются стенки С16-1А и С25-1А.
Рассмотрите кинематические схемы станков базовых моделей, обратите внимание на различные конструкции механизмов резания и подачи калевочных и погонажных станков.
Для обработки в размер паркетной дощечки, выборки пазов и. обработки гребня не продольных боковых кромках паркетной фризы применяется станок ПАРК-9.
Литература: Л1 с. 281 – 295
Л8 с. 89 - 107
Практическая работа№26
Изучение конструкции, технической характеристики и кинематической схемы базовой модели фуговального станка.
Практическая работа№27
Изучение конструкции, технической характеристики и кинематической схемы базовой модели рейсмусового станка.
Контрольные вопросы:
1. Назначение и классификация продльно-фрезерных станков.
2. Перечислите операции, выполняемые на продольно-фрезерных станках.
3. Почему ножи, установленные в ножевые валы и ножевые головки, должны иметь одну и ту же массу?
4. Как выверить положение режущих кромок ножей в ножевых валах и ножевых головках?
5. Опишите наладку, настройку и эксплуатацию оборудования.
7.4.Фрезерные станки
Фрезерные станка
Фрезерными называются станки для плоскостной и профильной обработки прямолинейных и криволинейных деталей. Они классифицируются по конструктивному признаку как станки с нижним и верхним расположением шпинделя к копировальные.
В настоящее время выпускаются следующие фрезерные станки:
с нижним расположением шпинделя
ФЛ-1 - станок фрезерный одношпиндельный легкий, мощностью 2,3 кВт;
ФС-1 - станок фрезерный одношпиндельный средний, мощностью 5,5 кВт;
ФТ-1 - станок фрезерный одношпиндельный тяжелый, мощностью 5,5 кВт;
ФЛА-1 - станок фрезерный одношпиндельный легкий с механической подачей для прямолинейной обработки, мощностью 2,9 кВт;
ФСА-1 - станок фрезерный одношпиндельный средний с механической подачей для прямолинейной обработки, мощностью 6,5 кВт;
ФТА-1 - станок фрезерный одношпиндельный тяжелый с механической подачей для обработки прямолинейных деталей, мощностью 6,5 кВт;
ФСШ-12 - станок фрезерный одношпиндельный средний с механической подачей и шипорезной кареткой, мощностью 5,5 кВт;
ФТШ-12 - станок фрезерный одношпиндельный тяжелый с механической подачей и шипорезной кареткой, мощностью 5,5 кВт;
с верхним расположением шпинделя
Ф1К-2 - станок фрезерный карусельный одношпиндельный, мощностью 9,0 кВт; Ф2К-3 - станок фрезерный карусельный двухшпиндельный, мощностью 13,6 кВт;
копировальные
ЗФК-2 - станок фрезерный копировальный с верхним расположением шпинделя, мощностью 1,5 кВт;
ВФК-3 - станок фрезерный копировальный с верхним расположением шпинделя и с приводными съемными роликами для перемещения шаблона, мощностью 1,5 кВт.
Базовыми моделями гаммы фрезерных станков являются станки: ФЛ-1, ФС-1, ФТ-1, Ф1К-2,
При изучении конструкции станков фрезерной группы следует рассмотреть кинематические схемы станков базовых моделей, разобраться в конструкции их основных
узлов, обратить внимание на различные виды фрезерных работ, выполняемых на этих
станках, и применяемые при них инструменты и приспособления, изучить провала
наладки станков и правила техники безопасности при выполнении фрезерных работ.
Литература: Л1 с. 295 – 301
Л8 с. 108 - 116
Практическая работа№28
Изучение конструкции, технической характеристики и кинематической схемы базовой модели фрезерного станка.
Контрольные вопросы:
1. Назначение и классификация фрезерных станков.
2. Принцип действия фрезерных станков.
3. Какой режущий инструмент применяется на фрезерных станках?
4. Опишите наладку, настройку и эксплуатацию фрезерных станков.
7.5.Шипорезные станки
Шипорезные станки для выборки рамных, ящичных и зубчатых шипов. Сверлильные и сверлильно – фрезерные станки. Долбежные станки.
Назначение, типы, модели, технические характеристики. Конструкции станков базовых (типовых) моделей. Конструктивные особенности станков прочих моделей. Правила наладки, эксплуатации, безопасного обслуживания.
Методические указания
Шипорезные станки
Различают три вида шипорезных станков:
I/ рамные шипорезные станки - для зарезки рамного шипа, применяемого для соединения брусковых деталей в рамочные конструкции;
2/ ящичные шипорезные станки - для зарезки ящичного шипа, применяемого для соединения щитовых деталей в ящике;
3/ зубчатые шипорезные станки - для зарезки зубчатого шипа, применяемого для соединения брусковых деталей по длине и в рамочные конструкции.
Выпускаются шипорезные станки следующих марок:
Рамные шипорезные станки
ШО10-4 - односторонний рамный шипорезный станок, мощностью 10,8 кВт, наибольшая длина шипа с 100 мм;
ШО16-4 - односторонний рамный шипорезный станок, мощностью 12,5 кВт, длина шипа 160 мм;
ЩД10-8 - двухсторонний рамный шипорезный станок, мощностью 21,4 кВт, длина шипа 100 мм, наибольшая длина детали 2200 мм;
ШД10-1 - двухсторонний рамный шипорезный станок с дополнительной пильной головкой, мощностью 25,1 кВт, длина шипа 100 мм, длина детали 2200 мм;
ЩД16-8 - двухсторонний рамный шипорезный станок, мощностью 24,8 кВт, длина шипа 160 мм, длина детали 3000 мм;
ЩД10П - двухсторонний рамный шипорезный станок с программным управлением, мощностью 23 кВт, длина шипа 100 мм, длина детали 2200 мм.
Базовой моделью гаммы рамных шипорезных станков является станок ШО16-4,
Ящичные шипорезные станки
ШПК - 40 - шипорезный ящичный станок для прямого и клинового типа односторонний, мощностью 2 кВт, наибольшая ширина деталей Bмакс
400 мм.
ШЛХ - 4 - станок шипорезный для ящичного типа "ласточкин хвост", мощностью 7,5 кВт Bмакс
б50 мм.
Станки для зарезки зубчатого шипа входят в состав линий для сращивания брусков по длине ОК502 и ДВ202.
При изучении конструкции шипорезных станков необходимо обратить внимание на схему расположения режущего инструмента и последовательность операций при
нарезания рамного шипа, конструктивные особенности станков, изучить устройство и способы крепления инструмента, регулировку шпинделей по горизонтали, вертикали и под углом. Отметьте различия в конструкциях: механизмов подачи односторонних и двухсторонних станков. Детально разберитесь в правилах подготовка станков к работе, в правилах безопасной работы на них.
Литература: Л1 с. 301 – 310
Л7 с. 74 - 95
Контрольные вопросы:
1. Назначение и классификация шипорезных станков.
2. Принцип действия шипорезных станков.
3. Настройка, наладка и эксплуатация шипорезных станков.
4. Как выбирают режимы работы рамных шипорезных станков?
5. Какой режущий инструмент применяется на шипорезных станках?
6. На каких станках выбирают прямой ящичный шип?
7.6.Сверлильные и долбежные станки
Назначение и типовые конструкции режущих инструментов для глубинной обработки: сверл и зенкеров, фрезерных цепей, пилочных долот (гнездовых фрез). Особенности технологического применения перечисленных инструментов.
Подготовка сверлильных и долбежных инструментов к работе.
Методические указания
Сверлильные и сверлильно-фрезерные станки
Сверлильные станки предназначаются для высверливания отверстии в брусковых и щитовых деталях по позиционной схеме.
Сверлильно-фрезерными называются станки, на которых с помощью концевых фрез в деревянных деталях выбираются скругленные на концах гнезда.
Станки подразделяются на одношпиндельные и многошпиндельные, горизонтальные и вертикальные.
Многошпиндельные станка, предназначенные для сверления отверстий одного диаметра, расположенных по одной прямой, называются присадочными.
Выпускаются следующие сверлильные и сверлильно-фрезерные станки:
Горизонтальные
СВПГ-2 - сверлильно-пазовальный двусторонний, мощностью 1,5 кВт, наибольшая ширина паза 10 мм;
СВПГ-3 - сверлильно-пазовальный станок с наклонным столом, мощностью 2,2 кВт, наибольшая ширина паза 16 мм.
Вертикальные
СМ-21 - сверлильно-пазовальный вертикальный, мощностью 2,4 кВт, наибольший диаметр сверления 40 мм,
Многошпиндельные присадо
чные
СГВП-3 - сверлильный многошпиндельный горизонтально-вертикальный, мощность 14 кВт, диаметр сверления 30 мм;
СГВП-1А - сверлильный многошпиндельный горизонтально-вертикальный с загрузочно-разгрузочным устройством, мощность 18 кВт, диаметр сверления 6…30 мм.
Для заделки сучков
СВСА-3 - станок для высверливания и заделки сучков, мощностью 2,8 кВт,
диаметр сверления 35 мм.
Базовыми моделями для гаммы сверлильных станков являются стайки СВА-2М и СГВП-3, вертикально-фрезерных - СВПГ-2.
На основе базовых моделей изучите конструкцию основных узлов сверлильных и сверлильно-фрезерных станков, обратите внимание на конструкцию агрегатных сверлильных головок, их установку и наладку, изучите механизмы подачи станков, обратите внимание на правила подготовки станков к работе и правила техника безопасности.
Долбежные станки
Долбежными называются станки, на которых с помощью различных инструментов вырабатываются гнезда прямоугольных сечений. Станки работают по позиционной схеме. В качестве рабочих органов удобно использовать унифицированные долбежные агрегатные головки АГД, которые могут быть установлены также и на оборудовании автоматической линии. Выпускается в настоящее время станок ДЦА-4 - цепнодолбежный станок с автоподачей, мощностью 4,3 кВт, наибольшая ширина паза 20 мм.
Изучите конструкцию станка типа ДЦА, а также правила его эксплуатации. Разберитесь в гидравлической схеме механизма подачи этого станка.
Литература: Л1 с. 310 – 318
Л5 с. 66 - 84
Контрольные вопросы:
1. Назначение и классификация оборудования данного типа.
2. Наладка, настройка и эксплуатация сверлильных и долбежных станков.
3. Как различают сверла, предназначенные для сверления древесины поперек и вдоль волокон?
4. Расскажите о конструкции шпинделя сверлильного станка?
5. Как закрепляют сверло на шпинделе?
6. Какие операции выполняют на сверлильно–пазовальных станках?
7.7.Токарные и круглопалочные станки
Токарные станки
Токарными называются станки, в которых с помощью вращательного и поступательного движения заготовки или резцов обрабатываемым деталям придают форму тел вращения.
В зависимости от способа закрепления детали станки классифицируются на три типа:
центровые (ТС40), ТС-63);
лобовые (ТЛЗО-1);
бесцентровые или круглопалочные (КПА20-1, КПА50-1, КПА50-1А).
Рассмотрите устройство, работу и основные параметры станков базовых моделей ТС-40 и КПА50-1, обратив внимание на укрепление режущего инструмента, устройство механизма подачи этих станков.
Литература: Л1 с. 322 – 326
Л7 с. 98 – 105
Контрольные вопросы:
1. Назначение и классификация токарных и круглопалочных станков.
2. Принцип действия оборудования такого типа.
3. Настройка, наладка, эксплуатация оборудования данного вида.
4. Какие операции выполняются на токарных станках?
5. какой рабочий инструмент используется на токарных станках?
7.8.Шлифовальные станки
Шлифовальные станки
Шлифовальные станки применяются для окончательной механической обработки резанием поверхностей деталей перед нанесением прозрачных и непрозрачных лаковых покрытий и для промежуточного шлифования лаковых покрытии.
Шлифовальные станки классифицируются на:
I. Узколенточные
:
а/ со свободной лентой (для обработки криволинейных поверхностей) ШлСЛ-3;
б/ для обработки плоских поверхностей ШлНС-З, ШлПС-5П, ШлПС-10 ШлПС-9, ШлПС-7. Станок ШлПС-7 выпускается с механизированным перемещением стола и ручным перемещением утюжка; станки ШлПС-9 и ШлПС-10 – двухленточные с протяжным утюжком и конвейерной подачей;
в/ для обработки боковых кромок – ШлНСВ-2
3. Широколенточные
ШлК6 – станок широколенточный (ширина обрабатываемых деталей Bмакс
60 мм) с конвейерной подачей, мощностью 9,0 кВт
ШлК8 – станок широколенточный с конвейерной подачей Bмакс
800 мм, мощностью 11,5 кВт
2ШлКА – станок широколенточный с верхним расположением шлифовальных агрегатов, мощностью 37,3 кВт Bмакс
1100 мм.
2ШлКН - станок широколенточный с нижним расположением шлифовальных агрегатов.
3. Цилиндровые
, применяемые для обработки поверхностей щитовых деталей:
Шл3Ц12-2 - станок трехцилиндровый с верхним расположением цилиндров, мощностью 33,9 кВт, Bмакс
1250 мм;
ШлЗЦ19-1 - станок трехцилиндровый с верхним расположением цилиндров, мощностью 37,8 кВт, Bмакс
1900 мм;
Шл3Ц19В-1 - станок трехцилиндровый с нижним расположением цилиндров, мощностью 40 кВт, Bмакс
1900 мм.
4. Комбинированные
ШлДБ-5 - станок шлифовальный комбинированный (два диска и бобина), мощностью 7 кВт, диаметр дисков 750 мм, диаметр бобины 90 мм.
Этот станок применяется для шлифования торцов брусковых деталей (диск) и шлифования, вогнутых поверхностей (бобика).
64
Следует детально изучить конструкцию основных узлов и базовых моделей станков шлифовальной гаммы, которыми являются станки ШлПС-5П, ШлК8, 2ШлКА. Рассмотреть кинематические схемы, разобраться с правилами установки инструмента в станке, с правилами наладки, эксплуатации и правилами техники безопасности.
Литература: Л1 с. 326 -340
Практическая работа№29
Изучение конструкции, технической характеристики и кинематической схемы базовой модели фрезерного станка.
Контрольные вопросы:
1. Назначение и классификация шлифовальных станков.
2. Принцип действия шлифовальных станков.
3. Опишите наладку, настройку и эксплуатацию шлифовальных станков.
4. Какой режущий инструмент используется н6а шлифовальных станках?
5. Назовите основные узлы шлифовальных станков.
Раздел 8. Оборудование для производства мебели
8.1.Оборудование для обработки брусковых деталей и подготовки к облицовыванию плит
Оборудование для обработки брусковых деталей. Оборудование для соединения брусков по длине, толщине, ширине. Виды соединения, преимущества и недостатки их. Оборудование для подготовки плит к облицовыванию.
Методические указания
Автоматическая линия МОБ2 с программным управлением предназначена для комплексной обработки брусковых деталей. На ней производится фугование пласти, четырехсторонняя обработка, торцовка в размер, фрезерование шипов и проушин. Линия оснащена системой программного управления размерной настройки рабочих органов, участвующих в формировании сечения и длины обрабатываемых деталей.
Основные
· Питатель;
· Цепной конвейер;
· Фуговальный продольно-фрезерный агрегат;
· Торцеобразующий агрегат;
· Укладчик;
· Роликовый конвейер.
Литература: Л1 с. 369 – 398
Л5 с. 48 - 57
Контрольные вопросы:
1. Назначение и классификация данного типа оборудования.
2. Принцип действия такого оборудования.
3. Основные узлы оборудования данного типа.
4. Характеристика автоматической линии МОБ2.
8.2. Оборудование для облицовывания и повторной механической обработки.
Методические указания
На стадии повторной механической обработки щитовых заготовок выполняют следующие операции: форматную обработку заготовок в размер; облицовывание кромок и снятие свесов по ширине и длине; сверление отверстий; шлифование.
Работы по форматной обработки щитовых деталей выполняют на автоматических линиях МФК-2,МФК-3 и на аналогичных импортных, которые широко применяются.
Для облицовывания пластей используют многопролетные прессы типа П713-Б, П713-А, который имеет по 10 пролетов с плитами размером 2000*1300мм. Эти прессы являются устаревшими, однако еще используются на ряде предприятий, особенно малых и средних.
Литература: Л2 с. 156 - 161
Контрольные вопросы:
1.Назначение данной группы оборудования.
2. Отличительные характеристики принципа работы МФК2 от МФК3
3.Сходные характеристики принципа работы МФК2 от МФК3
4. Укажите режущий инструмент, его количество, параметры на данных линиях
5.Техническая характеристика МФК2 и МФК3
8.3. Оборудование для отделки
Методические указания
Отделочное оборудование предназначено для подготовки поверхности изделия, нанесения лакокрасочных материалов на подготовленную поверхность, сушки и облагораживания покрытий.
Отделочное специализированное оборудование для выполнения отделочных видов работ в большинстве своем входит в состав линий для отделки щитовых деталей.
Линия МЛП1 предназначена для лакирования пластей мебельных щитовых деталей полиэфирными лаками холодного отверждения. Щиты в линию подаются автоматически. Затем следуют операции: удаление пыли, предварительный прогрев поверхности, первое нанесение лака, желатинизация покрытия второе нанесение лака, укладка щитов на этажерки, сушка покрытия.
Линия МЛН1 предназначена для лакирования пластей мебельных щитовых деталей нитроцеллюлозными лаками. На линии выполняются операции: автоматическая подача щита, удаление пыли с поверхности щита, предварительный нагрев поверхности, грунтование, промежуточное шлифование загрунтованной поверхности, повторный подогрев поверхности, нанесение лака наливом, сушка лакового покрытия, охлаждение, шлифование покрытия и укладка щитов.
Линия МЛК1 предназначена для лакирования кромок мебельных щитовых деталей полиэфирными лаками. На линии выполняются операции: первый налив лака, выдержка до желатинизации, сушка покрытия в поле ультрафиолетовых лучей.
Литература: Л1 с. 385 – 398
Л2 с. 177 - 193
Практическая работа №30
Изучение конструкции оборудования для облицовывания
Практическая работа №31
Изучение конструкции оборудования для отделки
Контрольные вопросы:
1. Назначение и классификация оборудования для отделки.
2. Принцип действия данного оборудования.
3. Опишите настройку, наладку и эксплуатацию данного оборудования.
4. Опишите характеристику линии МЛК1.
8.4. Оборудование для сборки
Методические указания
Сборка рамочных и корпусных изделий механизирована за счет использования сборочных станков (вайм). В качестве примера гидравлического станка служит универсальная переналаживаемая пневмотическая вайма – стопель для сборки корпусных изделий. Внутри сварной рамы расположены базовые упоры, переставные траверсы с фиксатором и парой горизонтальных пневмоцилиндров обжима и несколько вертикальных пневмоцилиндров, регулируемых по высоте. С помощью фиксатора и отверстий в балках рамы траверса устанавливается в положение, необходимое для данного изделия. Сбоку на станине расположена насосная станция. Имеются аналогические ваймы с пневмоприводом.
Как правило, после сборки изделия подвергается последующей обработке: установке фурнитуры, петель, сверлению отверстий и гнезд и т.д. Эти операции выполняются на специальных стеллажах , ваймах.
Литература: Л1с. 346 – 369
Л5 с. 22 - 38
Контрольные вопросы:
1. Назначение и классификация оборудования для сборки.
2. Опишите наладку, настройку, эксплуатацию оборудования данного типа.
3. Основные параметры выбора такого оборудования.
4. Основные узлы оборудования для сборки.
Раздел 9. Оборудование столярно-строительного производства
9.1. Оборудование для производства паркета
Методические указания
Существует следующие основные типы паркетных покрытий: штучный паркет и сборные пакетные покрытия( паркетные щиты и доски).
Штучный паркет представляет собой отдельные планки шириной 30- 60 мм., длиной 150- 450 мм., с пазом и гребнем на кромках и торцах для прочного соединения. Планки изготовляют из твёрдых лиственных толщиной 16мм., и хвойных (сосна и лиственница) толщиной 19мм.
Производство штучного паркета в основном сводится к обработке паркетной фризы, которая сводится из двух операций: четырёхстороннего фрезерования на заданную толщину и ширину с формирование паза и гребня на продольных кромках и торцовки на требуемый размер с образованием паза на одном торце и гребня на другом.
Продольное строгание фризы осуществляется на четырёхсторонних продольно- фрезерных станках ПАРК-8.
Пазы и гребни на торцах паркетной фризы формируются на концеравнительном станке ПАРК-8. Обработка дощечек производится пятью пильными головками, каждая из которых может перемещаться при наладке в вертикальном и горизонтальном направлениях. Три пильные головки обрабатывают торец гребнем, две образуют второй торец и выбирают паз. Особенностью станка является подача заготовок непрерывным ковром для предупреждения сколов на торцах дощечек. Пачка заготовок загружается в магазин, откуда заготовки по одной с повышенной скоростью выдаются на падающие цепи так, что каждая последующая заготовка догоняет предыдущую и подпирает её, образует сплошной ковер.
Перемещение ковра обрабатываемых заготовок осуществляется двумя нижними и верхними приводными цепями. При этом верхние цепи, выполняющие также функцию прижимов, приводится в движение от нижних цепей через шестеренчатую пару, благодаря чему обеспечивается синхронность перемещения верхних и нижних цепей.
Литература: Л1 с. 340 – 346
Л8 с. 84 - 98
Контрольные вопросы:
1. Назначение и классификация оборудования для производства паркета.
2. Опишите наладку, настройку и эксплуатацию данного оборудования.
3. Принцип действия оборудования для производства паркета.
4. Охарактеризуйте станок ПАРК-8.
9.2. Оборудование для производства оконных блоков
Методические указания
· Линия ОК207 предназначена для продольного и поперечного раскроя пиломатериалов на заготовки.
· Линия ОК502 предназначена для соединения на зубчатый шип отрезков по длине с последующим поперечным раскроем на заданный размер.
· Линия ОК508 составная часть комплекта оборудования для производства оконных блоков. Она состоит из питателя, фуговального и продольно-фрезерного четырехстороннего станка.
· Линия ОК509 обрабатывают бруски, собирают оконные створки и балконные двери.
· Линия ОК511-2 предназначена для профильной обработки по наружному контуру оконных створок и балконных дверей.
· Линия ОК212Р предназначена для обработки гнезд и установки фурнитуры в оконных блоках с раздельными переплетами.
Литература: Л1 с. 340 – 369
Л7 с. 84 - 110
Контрольные вопросы:
1. Назначение и классификация оборудования данного типа.
2. Характеристика линии ОК207.
3. Знать линии для производства оконных блоков.
4. Основные узлы линии ОК207.
9.2. Оборудование для производства дверных блоков
Методические указания
· Линия ОК207 предназначена для продольного и поперечного раскроя пиломатериалов на заготовки.
· Линия ОК502 предназначена для соединения на зубчатый шип отрезков по длине с последующим поперечным раскроем на заданный размер.
· Линия ОК509 обрабатывают бруски, собирают оконные створки и балконные двери.
· Линия ОК511-2 предназначена для профильной обработки по наружному контуру оконных створок и балконных дверей.
· Линия ДВ219 предназначена для обработки кромок дверных полотен по периметру.
· Линия ДВ505 предназначена для четырехсторонней обработки и зашиповки брусков коробки дверных полотен.
· Линия ДВ220 предназначена для обработки гнезд, пазов и отверстий под приборы на дверных полотнах.
Литература: Л1 с. 340 – 385
Л7 с. 115 - 124
Практическая работа №32
Изучение конструкции оборудования для производства оконных блоков
Практическая работа №33
Изучение конструкции оборудования для производства дверных блоков
Контрольные вопросы:
- Назначение и классификация данного типа оборудования.
- Знать линии по производству дверных блоков.
- Описать наладку, настройку, эксплуатацию данного оборудования.
- Техническая характеристика линии ДВ505.
Раздел 10. Оборудование спичечного производства.
10.1. Оборудование для производства спичечной соломки
Методические указания
Для изготовления лент соломочного шпона шириной 301-395мм и толщиной 1,65-2,5 мм из чураков диаметром до 700 мм и длиной 450-870 мм предназначен лущильный станок СпЛС. Станок снабжен встроечным центровочно-разгрузочным приспособлением для точного центрирования чурака. Применение двойных телескопических шпинделей с гидравлическим приводом осевого перемещения позволяет лущить чурак до наименьшего диаметра карандаша. Подача ножевого суппорта и вращение шпинделей синхронизированы, что позволяет получить равномерный шпон. Настройка на толщину шпона осуществляется переключением муфты коробки передач, а также установкой сменных зубчатых колес. Получение лент соломочного шпона необходимой ширины достигается соответствующей установкой подрезных ножичков. Ускоренный подвод суппорта к чураку и твод суппорта после лущения осуществляется от гидравлического электродвигателя при нейтральном положении муфты коробки передач. Для оптимальных условий обработки в зависимости от породы и диаметра чурака эксцентриковым валом и червячной передачей устанавливается исходный угол резания. Для рубки стопы сырого шпона на соломку определяют сечение и длины предназначен соломкорубительный станок. Рабочим органом станка является ножевая рамка с закрепленными на ней ножедержателем и колодкой с прорезными ножичками. Ножевая рамка совершает возвратно-посткпательное движение в вертикальной плоскости. Пачка шпона в механизм рубки подается двумя парами приводных роликов. Одна пара роликов служит для зажимов пачки. Другие – подающие ролики. Шпон подается в тот момент, когда нож находится над пачкой шпона. Станок снабжен ситом для сортировки соломки. При сортировке соломки освобождается от крупы, что обеспечивает в дальнейшем более полное наполнение планок спичечного автомата. На ножевой рамке кроме ножа имеется резачковая колодка с резачками для надрезания лущеного шпона на величину равную длине спичечной соломки, которые движутся несколько впереди шпона. Глубина надрезов регулируется при выставке резачков и, как правило, на 0,25-0,5 мм больше толщины спичечной сломки. При каждом ходе ножевой рамки с помощью храпового механизма и зубчатой передачи рифленые ролики подают стопу на величину, равную толщине спичечной соломки.
Литература: Л8 с. 128 - 135
Контрольные вопросы:
- Назначение и классификация данного оборудования.
- Принцип действия данного оборудования.
- Что является рабочим органом станка?
- Характеристика станка СпЛС.
10.2. Назначение и конструкция спичечных автоматов
Методические указания
Для изготовления спичек из сухой спичечной соломки и автоматического наполнения комбинированных коробок( наружная часть из шпона, внутренняя из картона) с последующей их выдачей в лотки или на линию намазки и упаковки коробок предназначена линия СпЛНШ.
На линии выполняются следующие операции: укладка частей спичечных коробок, поступающих навалом из системы цехового пневмотранспорта, на конвейер в один слой; ориентирование частей коробок вдоль длинной стороны, внутренних частей коробок(ВЧК) донышком вниз, наружных частей коробок(НЧК) просветом бумаги вверх; сборка коробок, наклеивание этикеток; транспортирование собранных коробок к коробконабивочной машине; изготовление спичек( наполнение наборных планок соломкой, парафинирование соломки, нанесение головки из зажигательной массы, сушка спичек); наполнение коробок, разборка коробок, укладка порций спичек, контроль наличия наполненных ВЧК, предварительная сборка коробок, контроль наполнения; окончательная сборка коробок; укладка коробок в лотки или подача на линию намазки и упаковки.
В состав линии входят коробкоразборная машина, коробкосборная машина, перекладчик, спичечный автомат, коробконабивочная машина, а также конвейер.
Коробразборная машина предназначена я одновременной выдачи двух параллельных потоков. Основные устройства коробкосборной машины предназначены для ориентирования НЧК просветом вверх и доориентирования ВЧК донышком вниз, сборки коробок, наклеивания этикеток, транспортирования коробок.
Спичечный автомат предназначен для ориентирования соломки, зарядки её в наборные планки, парафинирования соломки с предварительным и последующим подогревом, нанесение головки из зажигательной массы, сушки спичек и выдачи готовых спичек на позицию наполнения коробок.
Нанесение парафина на соломку осуществляется при непрерывном движении наборных планок через ёмкость с расплавленным парафином по специальным направляющим с использованием прижимного ролика.
Сушка спичек происходит в два этапа: без принудительного обогрева после операции нанесения головки и с принудительным обогревом на двух верхних закрытых этажах автомата с использованием вентиляторов для подачи нагретого воздуха.
Коробконабивочная машина предназначена для подачи, разборки и перемещения коробок, дозирования спичек, выталкиваемых из наборных планок автомата, укладки их в коробки, контроля наполнения коробок, предварительной и окончательной сборки коробок и выдачи их в лотки или на последующие операции.
Перемещение коробок ведётся в два потока четырьмя транспортными лентами. Движение конвейера- периодическое, с заданным шагом.
Литература: Л8 с. 128 - 135
Контрольные вопросы:
- Назначение и классификация спичечных автоматов.
- Принцип действия их.
- Опишите настройку, наладку и эксплуатацию данного оборудования.
- Охарактеризуйте линию СсЛНШ.
Раздел 11. Вспомогательное и подъемно-транспортное оборудование деревообрабатывающих производств
11.1. Классификация и назначение вспомогательного и подъемно-транспортного оборудования
Методические указания
Подъемно-транспортные устройства
Классификация ПТУ основана на их назначении и характере работы. По назначению ПТУ делят на три группы:
- грузоподъемные;
- транспортирующие;
- грузоподъемно-транспортирующие.
Грузоподъемные устройства предназначены главным образом для вертикального перемещения грузов при относительно небольших горизонтальных перемещениях. К этим машинам относятся грузоподъемные краны, ручные и электрические тали, механические и гидравлические подъемники, штабелеры, лебедки.
Транспортирующие устройства представляют собой обширную группу устройств, предназначенных преимущественно для горизонтального перемещения грузов. Некоторые из этих устройств позволяют осуществлять и вертикальное перемещение грузов на небольшую высоту. Это так называемые элеваторы и подвесные конвейеры.
Грузоподъемно-транспортирующие устройства представляют собой промежуточную группу машин, которые могут выполнять как грузоподъемные, так и транспортирующие операции. Сюда относятся все авто- и электропогрузчики, ручные и самоходные тележки, монорельсовые дороги, оборудованные ручными или электрическими талями и некоторые другие виды оборудования.
По характеру работы ПТУ делят на устройства прерывного (циклического) и непрерывного действия. Устройства прерывного действия характеризуются тем, что для приема или отдачи перемещаемого груза они прерывают сове движение на некоторое время. Устройства непрерывного действия принимают и отдают груз без остановки движения. К устройствам прерывного действия относятся грузоподъемные краны, авто- и электропогрузчики, монорельсовые и канатные однониточные подвесные дороги и др.
Область применения ПТУ. Грузоподъемные машины в основном предназначены для перемещения крупных штучных или насыпных и мелких штучных грузов в таре (в бадьях, контейнерах и т.п.).
Транспортирующие машины предназначены преимущественно для перемещения насыпных грузов без тары или в таре и массовых штучных грузов в таре или упаковке.
Литература: Л5 с. 43 - 62
Контрольные вопросы:
- Какова роль подъемно транспортных машин в производственном процессе в деревообрабатывающих предприятиях?
- Какие грузоподъемные и транспортирующие устройства применяются на предприятиях деревообрабатывающей промышленности?
- На какие две основные группы разделяются подъемно-транспортные устройства?
- Классификация подъемно-транспортных машин.
11.2. Грузоподъемные машины
Методические указания
Канаты являются гибкими звеньями грузоподъемных машин. С помощью канатов осуществляют подъем или подтаскивание грузов. Канаты изготавливают из неметаллических материалов (хлопчатобумажной пряжи, синтетических материалов типа капрона и др.) или свитых стальных проволок (стальные канаты). Канаты из неметаллических материалов из-за их быстрого изнашивания не применяют в механизмах грузоподъемных машин, они служат только для обвязки (страховки) поднимаемых грузов. Основное их достоинство – малая масса одного метра полной длины и гибкость, позволяющая легко завязывать и развязывать канат при строповке и освобождении груза.
Стальной канат представляет собой гибкий элемент, состоящий из тонких проволок, свитых в пряди. Пряди в свою очередь навиты на центральную проволоку – проводник или на мягкий органический сердечник из ткани или асбеста. В современных конструкциях грузоподъемных канатов пряди обычно навивают на органический сердечник, пропитанный специальной канатной смазкой.
Стальные канаты бывают одинарной, двойной и тройной свивки.
При одинарной свивке каната последовательно навивают на центральную проволоку (проводник) отдельные проволоки.
Канат двойной свивки образуется путем свивания проволок в пряди, а прядей – в канат вокруг сердечника. При этом направление свивки проволок в пряди и прядей в канат может быть одинаковым. Такие канаты получили название канатов параллельной (односторонней) свивки. В других случаях проволоки в пряди свивают в одном направлении спирали, а пряди в канат – в противоположном. Такие канаты называются канатами крестовой свивки. Канаты как крестовой, так и одинарной свивки являются более жесткими по сравнению с канатами параллельной свивки. Для жестких канатов требуются блоки и барабаны больших диаметров. Поэтому канаты одинарной свивки применяют в тех случаях, когда они не должны огибать барабанов и блоков. Канаты крестовой свивки используют, когда груз висит на одной ветви каната. Применять канат параллельной свивки в этом случае нельзя, т.к. он будет раскручиваться. Если канат не станет раскручиваться, а это бывает, когда груз висит сразу на двух или более канатах с помощью траверсы, выбирают канаты параллельной (односторонней) свивки как менее жесткие и не требующие, поэтому блоков и барабанов больших диаметров.
Канат тройной свивки (несколько тонких канатов двойной свивки свиты в один канат) обладают большой гибкостью, но из-за сложности изготовления и высокой стоимости их применяют в исключительных случаях. Для безопасной работы необходимо постоянно проверять состояние канатов, следить за появлением на них оборванных проволок. Еще существуют: цепи, блоки, полиспасты.
Полиспаст – это устройство, состоящее из канатных или цепных блоков в обоймах и каната или цепи. Полиспаст позволяет получить выигрыш в силе или скорости. В грузоподъемных машинах полиспасты применяют в механизмах подъема груза и механизмах вылета стрелы каната.
Литература: Л5 с. 43 - 62
Контрольные вопросы:
- Какие операции в работе грузоподъемного механизма являются основными?
- Какие факторы учитываются при выборе режима работы грузоподъемных машин?
- Какие детали относятся к основным элементам грузоподъемных машин?
- Какие типы стальных канатов вы знаете, чем они отличаются?
- Какие грузозахватные приспособления применяются в условиях деревообрабатывающего предприятия?
11.3. Транспортирующие устройства
Конвейеры и их типы.
Методические указания
Транспортирующими машинами непрерывного действия (конвейерами) называются машины, рабочие органы которых позволяют перемещать сыпучие грузы непрерывным потоком или штучные и насыпные грузы в таре с определенными интервалами. Характерной особенностью этих машин по сравнению с грузоподъемными кранами является определенная, фиксированная в пространстве траектория перемещения груза. Обычно конвейеры предназначены для транспортировки грузов на сравнительно небольшое расстояние (в пределах участка, цеха, завода). Однако успехи, достигнутые в создании машин непрерывного транспорта, позволяют создавать конвейеры длиной до 250м; из таких конвейеров можно составлять многокилометровые транспортные участки.
Существуют:
- Ленточные – могут быть передвижные и стационарные, с прорезиненной и со стальной лентой. они служат одновременно грузонесущим и тяговым элементом. промышленность выпускает резино-тросовые ленты шириной 1200мм. Стальные конвейерные ленты изготавливают из углеродистой и нержавеющей стали толщиной от 0,6 до 1мм и шириной 500; 600; 700 и 800мм. Ленты из нержавеющей стали используют в конвейерах сушильных камер. Иногда для транспортирования влажных грузов конвейерные ленты делают в виде сетки или в виде скрученной в тонкие спирали стальной проволоки. Такие ленты служат одновременно решетом, через которое с транспортируемого груза удаляется излишняя жидкость.
- Цепные – в качестве тягового органа вместо ленты применяют цепи, натягиваемые между концевыми звездочками, одна из которых является приводной, а вторая натяжной. В промежутке между этими звездочками цепи поддерживаются направляющими цепной конвейер может иметь несколько параллельно работающих цепей.
- Скребковые представляют собой цепной конвейер с укрепленными на звеньях цепей скребками. В отличие от пластинчатого цепи скребкового конвейера выполняют только функцию тягового органа, а насыпной груз перемещается по желобу скребками.
- Винтовые конвейеры пригодны для транспортирования в горизонтальном, наклонном и вертикальном направлениях порошкообразных, мелкокусковых, мокрых и вязких материалов. Основное преимущество винтовых конвейеров – возможность транспортирования горячих, пылящих и остропахнущих грузов без загрязнения окружающей среды. К недостаткам следует отнести: высокий удельный расход энергии; значительное истирание и измельчение груза; повышенный износ винта и желоба; чувствительность к перегрузкам; заключающаяся в образовании заторов груза у промежуточных опор винта.
- Роликовые служат в основном для транспортирования штучных грузов в горизонтальной или слегка наклонной плоскости.
Литература: Л5 с. 43 - 62
Контрольные вопросы:
- Как устроен и работает поперечный цепной транспортер?
- Где применяется скребковый транспортер?
- Из каких основных узлов состоит скребковый транспортер?
- Как производится загрузка и разгрузка транспортера?
- Где применяются конвейеры и как они классифицируются?
11.4.Установки пневмотранспорта
Методические указания
Достоинства:
- Одновременное выполнение транспортных, санитарно-гигиенических и технологических (Сушки, фракционирования материалов) функции;
- возможность приспособления к любым производственным условиям и рельефы местности (расположение под потолком и полом, на крыше или на стенах цеха, на опорах над территорией предприятия);
- транспортирование в герметичных воздуховодах, что уменьшает загрязнение окружающей среды и её воздействия на транспортируемый материал;
- простота конструкции и эксплуатации при высокой надежности, безопасности и полной автоматизации, если расстояние транспортирования более 100 м при экономичности, превышающей экономичность механического транспорта.
Недостатки:
- Большой удельный расход электроэнергии;
- Необходимость очистки отработанного воздуха;
- Измельчение материала в процессе транспортирования;
- Возможность транспортирования материалов, состоящих из частиц только относительно небольших размеров и массы.
Классификация:
В зависимости от давления, при котором работает пневмотранспорт, системы бывают низкого до 5 кПа, среднего до 11,7 кПа и высокого давления свыше 11,7 кПа. По способу создания воздушного потока различают всасывающие, работающие разряженным воздухом; нагнетательные, работающие напорным воздухом; всасывающие-нагнетательные, состоящие из всасывающей и нагнетательной систем, работающих от одного вентилятора. всасывающие пневмотранспортные системы применяют для транспортирования сыпучих материалов из одного или нескольких пунктов в один, если необходимо, чтобы транспортируемый материал не проходил через вентилятор. Нагнетательные пневмотранспортные системы применяют для транспортирования материала от одного или нескольких пунктов в один или несколько участков на сравнительно большое расстояние в цехах по технологическому потоку или по территории предприятия. Они надежны, обладают высокой подачей, могут работать при любых давлениях. На изготовление таки систем расходуется меньше металла, чем на всасывающие. Всасывающее-нагнетательные пневмотранспортные системы применяют обычно для удаления отходов от режущих головок станков.
По концентрации аэросмеси пневмотранспортные системы делят на системы с низкой , средней и высокой концентрацией аэросмеси. В зависимости от функций выполняемых пневмотранспортными системами. Цеховые пневмотранспортные системы предназначены для улавливания и удаления измельченной древесины от режущих головок станков и транспортирование их за пределы цеха. Пневмотранспортные системы, выполняющие только транспортные функции, также, как механические конвейеры.
Литература:Л6 с. 44 - 63
Практическая работа №34
Изучение конструкции и расчет конвейера
Практическая работа №35
Изучение конструкции и расчет пневмотранспортной установки
Контрольные вопросы:
- Где применяются пневмотранспортные установки?
- В чем заключаются преимущества и недостатки?
- Какова конструкция пневмотранспорта?
- Эксплуатация пневмотранспорта.
- Расчет пневмотранспортных установок.
11.5. Вспомогательные загрузочно-разгрузочные устройства
Методические указания
Роликовый ускоритель – вариант устройства для создания разрыва между деталями, транспортируемыми на конвейере в горизонтальной или близкой к ней плоскости.
Цепной ускоритель для создания просвета между более массивными телами, движущимися на цепном конвейере, может быть использован разборщик пачек.
Кантователи и разворотные устройства. Для переконтовки деталей на 180 градусов вокруг оси, совпадающей с направлением движения этих деталей, может быть использован кантователь. Другое устройство для перекантовки деталей – изделий, но уже с изменением направления движения на перпендикулярное.
Устройство для штабелирования, разборки штабелей и поштучной выдачи изделий из магазинных накопителей. Устройство для штабелирования листовых изделий и плит бывают как механические, так и пневматические.
Литература: Л8 с. 133 - 154
Контрольные вопросы:
- Назначение вспомогательного загрузочно-разгрузочного устройства?
- Классификация вспомогательного загрузочно-разгрузочного устройства?
- Для чего предназначен роликовый ускоритель?
- Назначение контователей.
Список использованных источников
1. Амалицкий, В.В
. Деревообрабатывающие станки и инструменты / В.В.Амалицкий, В.В. Амалицкий. – Москва: ACADEMA, 2002. -399 с.
2. Барташевич, А.А.
Конструирование мебели / А.А. Барташевич, В.Д. Богуш.-Минск: Высшая школа,1998.-342 с.
3. Бухтияров, В.П.
Справочник мебельщика / В.П.Бухтияров.-Москва: Лесная промышленность,1986г.-360 с.
4. Глебов, И.Т.
Проектирование деревообрабатывающего оборудования: учебное пособие / И.Т. Глебов.- Екатеринбург: Урал.гос.лесотехн.ун-т,2004.-234с.
5. Глебов, И.Т.
Оборудование отрасли: конструкция и эксплуатация деревообрабатывающих машин: учебное пособие / И.Т.Глебов.-Екатеринбург: Урал.гос.лесотехн.ун-т,2004.-286с.
6. Глебов, И.Т.
Аспирационные и транспортные пневмосистемы деревообрабатывающих предприятий: учебное пособие / И.Т.Глебов,В.Е.Рысев.-Екатеринбург: Урал.гос.лесотехн.ун-т,2004.-180с.
7. Коротков, В.И.
Деревообрабатывающие станки.- Москва: AKADEMA,2003.-300 с.
8. Любченко, В.И.
Станки и инструменты мебельного производства / В.И. Любченко, Г.Ф. Дружков.- Москва: Лесная промышленность,1990.- 359с.
9. Нехорошева, Л.Н.
Экономика предприятия / Л.Н. Нехорошева.-Мн: 2003.-253 с.
10. Пашков, В.К.
Режимы пиления древесины в круглопильных станках и линиях: Монография / В.К.Пашков.-Екатеринбург: Урал.гос.лесотехн.ун-т,2007.-188с.
11. Рыкунин, С.Н.
Технология деревообработки: учебник для нач. проф.образования / С.Н.Рыкунин, Л.Н.Кандалина.-Москва: Издательский центр «Академия»,2005.-352с.
12. Швырев, Ф.А.
Подготовка и эксплуатация дереворежущего инструмента:Учебник для профтехучилищ.-3-е изд.,перераб. и доп.-Москва: Лесн.пром-сть,1979.-240с.
13. ГОСТ 6449.1-5
Изделия из древесины и древесных материалов. Допуски и посадки.
14. ГОСТ 9330
Детали из древесины. Основные соединения. Типы и размеры.
15. ГОСТ 7307
Детали из древесины и древесных материалов. Припуски на механическую обработку.
16. ГОСТ 12.1.005-88.ССБТ.
Общие санитарно-гигиенические требования к воздуху рабочей зоны. Правила обеспечения индивидуальной защиты, утверждённые постановлением Минтруда РБ от 28.05.99г. №67
17. СТБ 1711-2007
.Лесоматериалы круглые хвойных пород. Технические условия
18. СТБ 1713-2007
. Пиломатериалы хвойных пород. Технические условия.
19. ППБ 207-2000
. Правила пожарной безопасности Республики Беларусь.- Введ. 01.01.2001- Минск: ГИПП «ПРОМПЕЧАТЬ», 2001-128 с.
20. Типовые инструменты по охране труда рабочих лесопильно-деревообрабатывающих предприятий.-Москва: Лесная промышленность,1990.-175 с.
21. Правила пожарной безопасности РБ для объектов лесозаготовительного, деревообрабатывающего, целлюлозно-бумажного и лесохимического производств.ППБ2.07-200.-Минск: ГИПП «Промпечать», 2001.-128 с.
22. Категорирование помещений и зданий по взрывопожарной и пожарной опасности.П1-98 СНБ 2.02.01-98.НПБ5-2000.Мин.архитектуры и строительства РБ
23. Стандарт предприятия. УО «Гомельский государственный политехнический колледж». Требования к дипломным и курсовым проектам.-2009.-40с.
Контрольная работа №1
Вариант 1
1. Что понимают под геометрией резца. Рабочие углы резца в статике.
2. Сущность долбления. Скорость резания. Мощность резания.
3. Требования к дереворежущим инструментам.
4. Назначение и классификация шлифовальных станков.
5. Определить скорость резания V и величину подачи на один зуб U2
при пилении круглыми пилами, если известно, что D=500 мм, Z =40, n=2000 об/мин, U=20 м/мин.
Вариант 2
1. Определение процесса резания. 2 основных способа механической обработки древесины. 3 основных вида элементарного резания.
2. Процесс лущения. Схема процесса. Траектория резания и углы ножа.
3. Классификация, индексация, технические характеристики инструментов.
4. Организация инструментального хозяйства деревообрабатывающего
5. предприятия.
6. Определить скорость резания V и величину подачи на один зуб U2
при пилении круглыми пилами, если известно, что D=450 мм, Z=38, n=1800 об/мин, U=18 м/мин.
Вариант 3
1. Элементы процесса резания древесины.
2. Технологическое назначение сверления. Определение мощности резания при сверлении.
3. Инструментальные материалы для изготовления дереворежущих инструментов.
4. Классификация продольно-фрезерных станков.
5. Определить скорость резания V и величину подачи на один оборот пилы, если известно, что распиливаются сухие дубовые доски на станке ЦДК-4 со скоростью подачи U=25 м/мин, D=350 мм, число оборотов пилы n=3000 об/мин.
Вариант 4
1. Геометрия стружки.
2. Технологическая цель шлифования и классификация.
3. Конструкция рамных пил, их подготовка к работе.
4. Классификация станков для поперечной распиловки.
5. Круглая пила работает на станке с механической подачей 3940 ч. Определить необходимое количество круглых пил для работы за указанный период времени.
Вариант 5
1. Влияние исходных условий на энергетические характеристики процесса резания.
2. Точение. Виды точения.
3. Конструкция ленточных пил. Их подготовка к работе.
4. Классификация круглопильных станков для продольной распиловки.
5. Круглая пила работает на станке с механической подачей 4050 ч. Определить необходимое количество круглых пил для работы за указанный период времени.
Вариант 6
1. Стружкообразование при резании поперек волокон.
2. Фрезерование. Технологическое назначение, виды фрезерования.
3. Конструкция круглых пил. Их подготовка к работе.
4. Классификация дереворежущих станков общего назначения.
5. Рассчитать скорость подачи при продольном пилении на станке ЦДК-4 для получения шероховатости Rm
=200 мкм, если частота вращения пилы 2930 мин-1
, число зубьев пилы =48, зубья пил расплющены.
Вариант 7
1. Влияние исходных условий на энергетические характеристики процесса резания.
2. Точение. Виды точения.
3. Конструкция ленточных пил. Их подготовка к работе.
4. Классификация круглопильных станков для продольной распиловки.
5. Круглая пила работает на станке с механической подачей 4050 ч. Определить необходимое количество круглых пил для работы за указанный период времени.
Вариант 8
1. Стружкообразование при резании в торец.
2. Пиление ленточными пилами.
3. Конструкция фрез. Их подготовка к работе.
4. Классификация оборудования.
5. Определить силу резания и мощность подачи Un
и Uz
для прирезного станка ЦДК-4 при распиловке сухих дубовых заготовок толщиной h=30 мм, со скоростью подачи U=25 об/мин, D=300 мм, ширина режущей кромки зубьев в=3 мм, z=46 через 4 ч. работы после заточки, число оборотов пилы n=3000 об/мин.
Вариант 9
1. Классификация процессов сложного резания.
2. Пиление рамными пилами.
3. Конструкция сверл и зенкеров. Подготовка к работе.
4. Определение рабочих машин. Основные органы движения в машинах.
5. Определить силу резания и мощность подачи Un
и Uz
для прирезного станка ЦДК-4 при распиловке сухих дубовых заготовок толщиной h=30 мм, со скоростью подачи U=20 об/мин, D=350 мм, ширина режущей кромки зубьев в=3 мм, z=48 через 3 ч. работы после заточки, число оборотов пилы n=2800 об/мин.
Вариант 1О
1. Сила, работа и мощность при резании древесины.
2. Классификация пиления по определенным признакам.
3. Абразивные инструменты при шлифовании древесины.
4. Классификация механизмов главного движения.
5. Определить силу резания и мощность подачи Un
и Uz
для прирезного станка ЦДК-4 при распиловке сухих дубовых заготовок толщиной h=30 мм, со скоростью подачи U=22 об/мин, D=400 мм, ширина режущей кромки зубьев в=3 мм, z=48 через 5 ч. работы после заточки, число оборотов пилы n=2500 об/мин.
Вариант 11
1. Технологическое назначение сверления. Определение мощности резания при сверлении.
2. Классификация круглопильных станков для продольной распиловки.
3. Пиление ленточными пилами.
4. Классификация механизмов главного движения.
5. Определить силу резания и мощность подачи Un
и Uz
для прирезного станка ЦДК-4 при распиловке сухих дубовых заготовок толщиной h=30 мм, со скоростью подачи U=22 об/мин, D=400 мм, ширина режущей кромки зубьев в=3 мм, z=48 через 5 ч. работы после заточки, число оборотов пилы n=2500 об/мин.
Вариант 12
1. Элементы процесса резания древесины.
2. Конструкция ленточных пил. Их подготовка к работе.
3. Стружкообразование при резании в торец.
4. Абразивные инструменты при шлифовании древесины.
5. Определить скорость резания V и величину подачи на один оборот пилы, если известно, что распиливаются сухие дубовые доски на станке ЦДК-4 со скоростью подачи U=25 м/мин, D=350 мм, число оборотов пилы n=3000 об/мин.
Вариант 13
1. Организация инструментального хозяйства деревообрабатывающего предприятия.
2. Точение. Виды точения.
3. Классификация круглопильных станков для продольной распиловки.
4. Классификация пиления по определенным признакам.
5. Определить скорость резания V и величину подачи на один оборот пилы, если известно, что распиливаются сухие дубовые доски на станке ЦДК-4 со скоростью подачи U=25 м/мин, D=350 мм, число оборотов пилы n=3000 об/мин.
Вариант 14
Классификация, индексация, технические характеристики инструментов.
1. Влияние исходных условий на энергетические характеристики процесса резания.
2. Конструкция ленточных пил. Их подготовка к работе.
3. Сила, работа, и мощность при резании древесины.
4. Круглая пила работает на станке с механической подачей 3940 ч. Определить необходимое количество круглых пил для работы за указанный период времени.
Вариант 15
1. Процесс лущения. Схема процесса. Траектория резания и углы ножа.
2. Классификация станков для поперечной распиловки.
3. Точение. Виды точения.
4. Определение рабочих машин. Основные органы движения в машинах.
5. Круглая пила работает на станке с механической подачей 3940 ч. Определить необходимое количество круглых пил для работы за указанный период времени.
Вариант 16
1. Определение процесса резания. 2 основных способа механической обработки древесины. 3 основных вида элементарного резания.
2. Конструкция рамных пил, их подготовка к работе.
3. Влияние исходных условий на энергетические характеристики процесса резания.
4. Конструкция сверл и зенкеров. Подготовка к работе.
5. Круглая пила работает на станке с механической подачей 3940 ч. Определить необходимое количество круглых пил для работы за указанный период времени.
Вариант 17
1. Назначение и классификация шлифовальных станков.
2. Технологическая цель шлифования и классификация.
3. Классификация дереворежущих станков общего назначения.
4. Пиление рамными пилами. Его особенности.
5. Круглая пила работает на станке с механической подачей 3940 ч. Определить необходимое количество круглых пил для работы за указанный период времени.
Вариант 18
1. Требования к дереворежущим инструментам.
2. Геометрия стружки.
3. Конструкция круглых пил. Их подготовка к работе.
4. Классификация процессов сложного резания.
5. Определить силу резания и мощность подачи Un
и Uz
для прирезного станка ЦДК-4 при распиловке сухих дубовых заготовок толщиной h=30 мм, со скоростью подачи U=20 об/мин, D=350 мм, ширина режущей кромки зубьев в=3 мм, z=48 через 3 ч. работы после заточки, число оборотов пилы n=2800 об/мин.
Вариант 19
1. Сущность долбления. Скорость резания. Мощность резания.
2. Классификация продольно-фрезерных станков.
3. Фрезерование Технологическое назначение, виды фрезерования.
4. Классификация оборудования.
5. Определить силу резания и мощность подачи Un
и Uz
для прирезного станка ЦДК-4 при распиловке сухих дубовых заготовок толщиной h=30 мм, со скоростью подачи U=25 об/мин, D=300 мм, ширина режущей кромки зубьев в=3 мм, z=46 через 4 ч. работы после заточки, число оборотов пилы n=3000 об/мин.
Вариант 2О
1. Что понимают под геометрией резца. Рабочие углы резца в статике.
2. Инструментальные материалы для изготовления дереворежущих инструментов.
3. Стружкообразование при резании поперек волокон.
4. Конструкция фрез. Их подготовка к работе.
5. Определить скорость резания V и величину подачи на один зуб Uz
при пилении круглыми пилами, если известно, что D=500 мм, Z=40, n=2000 об/мин, U=20 м/мин.
Контрольная работа №2
Вариант 1
1. Гидропривод. Понятие о гидравлических машинах.
2. Функциональные сборочные единицы и механизмы д/о оборудования. Механизмы подачи.
3. Назначение и классификация окорочных станков. Конструкция и характеристики.
4. Назначение и конструкция оборудования для производства оконных блоков.
5. Рассчитать скорость подачи при продольном пилении на станке Ц6-2 для получения R=320 мкм. Если частота вращения пилы n =2950 мин , z =48. Зубья пил разведены.
Вариант 2
1. Пневмопривод. Основные понятия и принцип работы пневмопривода.
2.Функциональные сборочные единицы и механизмы д/о оборудования. Механизмы резания.
3. Оборудование для поперечного распиливания бревен. Конструкция и назначение.
4. Назначение и конструкция базовых моделей шипорезных рамных станков.
5. Определить силу резания и мощность, подачи Un и Uz для прирезного станка ЦДК-4 при распиловке сухих дубовых заготовок толщиной h =20мм, со скоростью подачи U=22м/мин, D=450мм, ширина режущей кромки зубьев в =2,5мм, Z=50. Через 4 ч работы после заточки, число оборотов пилы n =2200об/мин.
Вариант 3
1. Двухэтажные лесопильные рамы. Конструкция и технические характеристики.
2. Основные принципы классификации д/о оборудования. Индексация д/о оборудования.
3. Оборудование для производства щепы переработки отходов лесопиления. Рубительные машины.
4. Конструкция и принцип действия линии сращивания брусков по длинне.
5. Рассчитать скорость подачи при продольном пилении на станке ЦДК-5 для получения шероховатости R=800 мкм. Если частота вращения пилы 3600 мин. Число зубьев пил Z=56. Зубья пил расплющены.
Вариант 4
1. Одноэтажные лесопильные рамы. Конструкция и технические характеристики.
2. Достоинства и недостатки гидропривода.
3. Технические показатели д/о оборудования. Понятие о геометрической и технологической точности.
4. Оборудование для ребросклеивания шпона. Конструкция, принцип действия РС-9.
5. Определить мощность привода резания для станка Ц6-2 при распиловке сухих березовых заготовок, толщиной h =20мм, со скоростью подачи u =18 м/мин, ширина режущей кромки зубьев в =3 мм, число зубьев z =52, через 5 часов работы, n =3200об/мин,
КПД=0,95. Диаметр пилы D=450 мм.
Вариант 5
1. Достоинства и недостатки пневмопривода.
2. Ленточнопильные станки. Классификация, назначение и элементы. Вертикальные бревнопильные станки.
3. Фрезерные станки с верхним расположением шпинделя.
4. Линия нарезания шипов на брусках и сборка створок ОК509.
5. Рассчитать скорость подачи при продольном пилении на станке ЦДК-4 для получения шероховатости R=500 мкм. Если частота вращения пилы 3000 мин. Число зубьев пил Z=52. Зубья пил разведены.
Вариант 6
1. Горизонтальные ленточнопильные станки для распиловки бревен. Конструкция и назначение.
2. Назначение и классификация клеильно-прессового оборудования.
3. Линия раскроя п/м на бруски створок ОК207С.
4. Оборудование для фугования кромок шпона.
5. Определить мощность привода резания для станка ЦДК-5 при распиловке полусухих осиновых заготовок, толщиной h =22 мм, со скоростью подачи u =16 м/мин, ширина режущей кромки зубьев в =3 мм, число зубьев z =50, через 1 час работы инструмента, n=2800 об/мин, КПД=0,95. Диаметр пилы D=400 мм.
Вариант 7
1. Оборудование для нанесения клея. Схема и конструкция, принцип действия КВ-9. Техническая характеристика данного оборудования.
2. Фрезерно-пильные агрегаты и линии. Конструкция, элементы, технологические схемы.
3. Линия раскроя п/м на бруски коробак ОК201С.
4. Назначение и классификация станков для получения строганого шпона.
5. Рассчитать скорость подачи при продольном пилении на станке Ц6-2 для получения шероховатости R=320 мкм. Если частота вращения пилы 2800 мин. Число зубьев пил Z=48. Зубья пил расплющены.
Вариант 8
1. Назначение и классификация базовых моделей ленточнопильных столярных станков.
2. Оборудование для склеивания и прессования. Зарисуйте схему, опишите принцип действия и основные узлы гидравлического пресса.
3. Оборудование для подготовки шпона и рубки. Назначение, конструкция и принцип действия НГ-18.
4. Линия профильной обработки брусков коробок.
5. Определить мощность привода резания для станка ЦДК-4 при распиловке сухих сосновых заготовок, толщиной h =24 мм, со скоростью подачи u =20 м/мин, ширина режущей кромки зубьев в =2,5 мм, число зубьев z =48, через 4 часов работы, n =3000об/мин, КПД=0,95. Диаметр пилы D=350 мм.
Вариант 9
1. Назначение и классификация подьемно-транспортного и вспомогательного оборудования.
2. Назначение и конструкция базовых моделей круглопильных станков для форматного пиления.
3. Оборудование для ребросклеивания.
4. Транспортирующие машины. Их классификация и область применения.
5. Определить мощность привода резания для станка ЦПА-40 при распиловке полусухих дубовых заготовок, толщиной h =26 мм, со скоростью подачи u =22 м/мин, ширина режущей кромки зубьев в =3 мм, число зубьев z =46, через 3 час работы инструмента, n=2600 об/мин, КПД=0,95. Диаметр пилы D=300 мм.
Вариант 10
1. Оборудование для фугования кромок шпона.
2. Линия для обработки черновых заготовок п/м ОК207.
3. Назначение и конструкция фуговального станка.
4. Назначение, конструкция и схема рейсмусового станка СР6-9.
5. . Рассчитать скорость подачи при продольном пилении на станке ЦДК-5 для получения шероховатости R=600 мкм. Если частота вращения пилы 2900 мин. Число зубьев пил Z=56. Зубья пил разведены.
Вариант 11
1. Оборудование для получения лущеного шпона.
2. Схема автоматической линии обработки брусковых деталей. Принцип действия.
3. Основные узлы, принцип действия станка Ц2К12Ф-1.
4. Назначение и основные узлы пневмотранспорта.
5. Рассчитать скорость подачи при продольном пилении на станке Ц6-2 для получения шероховатости R=200 мкм. Если частота вращения пилы 2600 мин. Число зубьев пил Z=46. Зубья пил разведены.
Вариант 12
1. Назначение, принцип действия, техническая характеристика оборудования «Швабедиссен».
2. Схема и принцип действия линии нарезания шипов и установки приборов в брусках коробок ДВ205.
3. Назначение, классификация и характеристики кранов.
4. Определить наибольшую скорость подачи при фрезеровании на рейсмусовом станке СР3-6 по мощности резания и качеству обработанной поверхности. Мощность привода Nприв.рез.=4900 Вт, КПД механизма резания равна 0,94; диаметр ножевого вала D=103 мм; частота вращения n =5240 мин (скорость резания U=40м/с), ножи средней остроты (Т=180мин), число ножей Z=2, угол резания S=65; обрабатываемый материал – сосна; W=15%; ширина обработки В=300 мм, глубина фрезерования Н=5 мм, требуемая шероховатость обработанной поверхности Rz max=100 мкм.
Вариант 13
1. Классификация подьемно-транспортного оборудования по назначению.
2. Основные узлы, принцип действия лаконаливной машины ЛМ80-1.
3. Назначение и классификация клеенаносящих станков.
4. Основные параметры лущильных станков.
5. Рассчитать скорость подачи при продольном пилении на станке ЦДК-4 для получения шероховатости R=600 мкм. Если частота вращения пилы 3200 мин. Число зубьев пил Z=50. Зубья пил разведены.
Вариант 14
1. Назначение и классификация лущильных станков.
2. Схема, принцип работы, техническая характеристика участка подготовки облицовочных материалов ДВ224.
3. Назначение и классификация окорочных станков. Конструкция и характеристики.
4. Схема, преимущества и недостатки.
5. Определить силу резания и мощность подачи Un и Uz для прирезного станка ЦДК-4. При распиловке сухих сосновых заготовок толщиной h=22 мм, со скоростью подачи U=20 об/мин, D=500 мм, ширина режущей кромки зубьев в=3 мм, z=48. Через 3 ч. работы после заточки, число оборотов пилы n=2200 об/мин.
Вариант 15
1. Горизонтальные ленточнопильные станки для распиловки бревен. Конструкция и назначение.
2. Назначение, конструкция и принцип действия ВФК-2.
3. Назначение, схема, техническая характеристика и принцип действия комплекса АКДА4938-1.
4. Назначение, схема, техническая характеристика и принцип действия линии МФК-2.
5. Определить силу резания и мощность подачи Un и Uz для прирезного станка ЦДК-5. При распиловке сухих еловых заготовок толщиной h=18 мм, со скоростью подачи U=20 об/мин, D=450 мм, ширина режущей кромки зубьев в=3,5 мм, z=48. Через 4 часов работы после заточки, число оборотов пилы n=2200 об/мин.
Вариант 16
- Оборудование для подготовки поверхности мебельных щитов для грунтования, крашения.
- Назначение и конструкция линий для отделки щитовых деталей. Т.Б.
- Приём и настройки и эксплуатация различных моделей фрезерных станков. Производительность.
- Назначение и классификация сверлильных станков.
- Настройка и наладка круглопильных станков для продольного распиливания п/м.
Вариант 17
- Назначение и конструкция базовых моделей шипорезных рамных станков.
- Оборудование для производства спичечной соломки.
- Классификация и назначение подьёмно-транспортного и вспомогательного оборудования. Требования Т.Б.
- Назначение и классификация токарных центровых станков.
- Приёмы настройки и эксплуатации различных моделей фрезерных станков.
Производительность.
Вариант 18
- Продольно – фрезерные станки. Назначение, конструкция базовых моделей четырёх сторонних станков.
- Назначение и классификация долбёжных станков.
- Автоматическая линия для калибрования мебельных щитов.
- Охрана труда и Т.Б при работе на круглопильных станках.
- Оборудование для форматной обработки и облицовывания кромок.
Вариант 19
- Назначение и конструкция линий для отделки щитовых деталей. Т.Б.
- Оборудование для производства паркета.
- Назначение, конструкция оборудования для производства дверных блоков.
- Назначение и конструкция спичечных автоматов.
- Назначение и конструкция сборочных конвейеров. Основные расчёты параметров.
Вариант 20
- Оборудование для облицовывания пластей щитовых деталей различными способами.
- Назначение, классификация шлифовальных станков. Конструкция узколенточных станков.
- Назначение, конструкция и принцип действия кромкофуговального станка. Т.Б.
- Вспомогательные загрузочно-разгрузочные устройства : сбрасыватели, брусоперекладчики.
- Рассчитать скорость подачи при продольном пилении на станке ЦДК-5 для получения шероховатости R=600 мкм. Если частота вращения пилы 3800 об/мин. Число зубьев пил Z=56. Зубья пил расплющены.
Перечень экзаменационных вопросов по
дисциплине «Оборудование деревообрабатывающего производства».
1. Определение процесса резания.
2. Геометрия резца.
3. Углы резца.
4. Движение резания. Формула скорости резания.
5. Движение подачи. Формула скорости подачи.
6. Геометрия стружки.
7. Влияние исходных условий на энергетичные характеристики процессов резания.
8. Понятие фрезерования, его технологическое назначение. На каком оборудовании
производится фрезерование.
9. Процесс лущения, определение скорости резания.
10. Процесс пиления круглыми пилами, определение скорости резания.
11. Процесс шлифования, режущий инструмент применяемый при шлифовании.
12. Требования к дереворежущему инструменту.
13. Классификация дереворежущего инструмента.
14. Материалы для изготовления дереворежущих инструментов.
15. Методы повышения износостойкости дереворежущих инструментов.
16. Рамные пилы, их применение, типы, конструкция.
17. Подготовка рамных пил к работе,
18. Пилы круглые. Их конструкция.
19. Способы подготовки круглых пил к работе.
20. Установка круглых пил в станок.
21. Назначение и типы ленточных пил.
22. Конструкция ленточных пил.
23. Подготовка ленточных пил к работе.
24. Назначение конструкций ножей.
25. Подготовка ножей к работе.
26. Установка ножей в станок.
27. Назначение и классификация фрез.
28. Назначение и конструкция сверлильного инструмента.
29. Общие правила техники безопасности при работе на деревообрабатывающих станках.
30. Перечислите виды абразивных инструментов и назовите область их применения в деревообработке.
31. Перечислите природные и искусственные абразивные материалы. Как они
располагаются в порядке возрастания абразивной способности.
32. Перечислите важнейшие параметры абразивных материалов.
33. Абразивные круги, их типы, применение.
34. Какие виды связок применяют при изготовлении абразивных кругов и шлифовальных шкурок.
35. Что такое твердость и структура абразивного круга.
36. Что из себя представляет шлифшкурка. Ее состав.
37. Технологическое назначение шлифшкурки различной зернистости.
38. Подготовка шлифшкурок к работе.
39. Гидропривод. Преимущества и недостатки гидропривода.
40. Разделение гидрооборудования на три группы.
41. Гидравлические машины, конструкция гидродвигателей.
42. Организация инструментального производства.
43. Пневмопривод. Преимущества и недостатки. Составные элементы.
44. Классификация деревообрабатывающего оборудования.
45. Основные технико-экономические показатели д/о оборудования.
46. Механизмы главного движения.
47. Механизмы подачи.
48. Назначение и классификация окорочных станков. Конструкция, технические характеристики.
49. Оборудование для поперечного распиливания бревен. Конструкция и назначение.
50. Классификация и назначение лесорам.
51. Двухэтажные лесопильные рамы. Конструкция и технические характеристики.
52. Основные показатели двухэтажной лесопильной рамы. Техника безопасности на данном оборудовании.
53. Одноэтажные лесопильные рамы. Конструкция и технические характеристики.
54. Классификация ленточнопильных станков для распиливания бревен. Конструкция ринцип действия вертикального бревнопильного станка
55. Назначение фрезерно-пильных агрегатов. Конструкция , технологические схемы.
56. Назначение и классификация станков для получения лущеного шпона. Конструкция ЛУ17-4
57. Назначение и классификация станков для получения строганного шпона. Конструкция, принцип действия шпонострогольного станка.
58. Оборудование для ребросклеивания и фугования кромок. Техника безопасности.
59. Назначение и классификация клеильно-прессового оборудования.
60. Конструкция гидравлического пресса. Техника безопасности на данном оборудовании.
Экзаменационные вопросы
по дисциплине “Оборудование д/о производств
”
1. Конструкция ленточнопильных столярных станков
2. Настройка и эксплуатация ленточнопильных столярных станков
3. Техника безопасности при работе на ленточнопильных столярных станках
4. Назначение и классификация круглопильных деревообрабатывающих станков. Марки станков.
5. Конструкция базовой модели круглопильных станков для продольного пиления.
6. Настройка и эксплуатация круглопильных станков для продольного пиления.
7. Конструкция базовой модели круглопильного станка для поперечного пиления.
8. Настройка и эксплуатация круглопильного станка для поперечного пиления.
9. Круглопильные станки для форматной распиловки. Назначение. Марки. Характеристика станков.
10. Конструкция и принцип действия станка Ц2К12Ф-1
11. Конструкция и принцип действия станка Ц6-2.
12. Конструкция и принцип действия станка ЦТМФ.
13. Техника безопасности при работе на станках для продольного раскроя п/м.
14. Техника безопасности на станках для поперечного раскроя п/м.
15. Назначение продольно-фрезерных станков. Марки. Технические характеристики.
16. Конструкция базовой модели фуговального станка.
17. Настройка и эксплуатация фуговального станка.
18. Техника безопасности при работе на фуговальном станке.
19. Конструкция базовой модели рейсмусового станка.
20. Настройка и эксплуатация рейсмусового станка.
21. Конструкция четырехстороннего продольно-фрезерного станка.
22. Техника безопасности при работе на продольно-фрезерных станках.
23. Конструкция фрезерного станка с нижним расположением шпинделя.
24. Конструкция фрезерного станка с верхним расположением шпинделя.
25. Настройка и эксплуатация фрезерных станков с нижним расположением шпинделя.
26. Настройка, эксплуатация и техническая характеристика фрезерно- копировального станка.
27. Назначение и типы шипорезных станков. Марки. Техническая характеристика.
28. Конструкция двухстороннего шипорезного станка.
29. Конструкция одностороннего шипорезного станка.
30. Конструкция шипорезного станка ШПК-40.
31. Настройка и эксплуатация односторонних шипорезных станков.
32. Техника безопасности при работе на шипорезных станках.
33. Назначение и классификация сверлильных станков. Марки станков.
34. Конструкция одношпиндельных сверлильных станков. Техническая характеристика СВП-2.
35. Конструкция многошпиндельных сверлильных станков. Техническая характеристика СГВП-1А.
36. Настройка и эксплуатация одношпиндельных вертикальных сверлильных станков.
37. Техника безопасности при работе на сверлильных станках.
38. Назначение и классификация токарных станков.
39. Конструкция центрового токарного станка.
40. Конструкция круглопалочного станка.
41. Настройка и эксплуатация токарных станков.
42. Назначение, виды и краткая характеристика шлифовальных станков.
43. Конструкция узколенточных шлифовальных станков с подвижным столом.
44. Конструкция широколенточных шлифовальных станков.
45. Назначение, конструкция и характеристика ШлДБ.
46. Настройка и эксплуатация ленточных шлифовальных станков.
47. Техника безопасности при работе на шлифовальных станках.
48. Назначение, конструкция и характеристика линии МОБ-2.
49. Назначение, конструкция и характеристика линии СТ403А
50. Виды и краткая характеристика оборудования для облицовывания пластей щитовых деталей.
51. Конструкция, принцип действия и характеристика МОП-2.
52. Конструкция, принцип действия и характеристика АКДА4938.
53. Виды и краткая характеристика оборудования для облицовывания кромок щитов.
54. Конструкция и принцип действия линии МФК-2
55. Конструкция и принцип действия станка для грунтования и шпатлевания пластей щитовых деталей.
56. Конструкция и принцип действия линии МКП-1.
57. Методы нанесения лакокрасочных покрытий. Оборудование. Краткая характеристика.
58. Метод нанесения лакокрасочных покрытий наливом. Конструкция и принцип действия лаконаливной машины.
59. Метод пневматического распыления. Конструкция и принцип действия.
60. Техника безопасности при отделки.
61. Производство оконных блоков на позиционных станках. Операции, оборудование.
62. Производство дверных блоков на позиционных станках. Операции, оборудование.
63. Производство оконных блоков на линиях. Состав линии, технологические операции, характеристика.
64. Производство дверных блоков на линиях. Состав линии, технологические операции, характеристика.
65. Оборудование для производства штучного паркета. Конструкция оборудования, характеристика.
66. Оборудование для производства паркетной доски. Состав линии, принцип работы.
67. Оборудование для получения спичечной соломки. Конструкция и принцип работы линии для производства сырой спичечной соломки.
68. Конструкция и принцип работы оборудования для пропитки и сушки спичечной соломки.
69. Конструкция и принцип действия линии шлифования и сортировки соломки.
70. Комплект оборудования для изготовления спичек из сухой соломки. Характеристика.
71. Комплект оборудования для намазки и упаковки коробок. Характеристика.
72. Конструкция козловых кранов, принцип действия, область применения.
73. Конструкция стреловых кранов. Принцип работы, область применения.
74. Техника безопасности при организации погрузочно-разгрузочных работ.
75. Классификация, область применения грузоподъемных машин.
76. Характеристики грузоподъемных машин.
77. Основные детали и узлы грузоподъемных машин. Назначение. Конструкция.
78. Основные виды межцехового транспорта и требования предъявляемые к ним.
79. Конструкция и принцип работы ленточных конвейеров.
80. Конструкция и принцип работы скребковых конвейеров.
81. Конструкция и принцип работы винтовых конвейеров
82. Конструкция и принцип действия продольно-цепных конвейеров.
83. Требования безопасности предъявляемые к конвейерам для транспортировки сыпучих и мелких штучных товаров.
84. Назначение и классификация пневмотранспорта для древесных отходов.
85. Достоинства и недостатки пневмотранспорта.
86. Конструкция и принцип работы всасывающей пневмотранспортной установки.
87. Конструкция и принцип работы нагнетательной пневмотранспортной установки.
88. Вспомогательное загрузочно-разгрузочные устройства. Назначение, классификация и марки загрузочно-разгрузочных устройств лесопильных цехов.
89. Конструкция сбрасывателей бревен и брусоперекладчиков. Марки, характеристика.
90. Конструкция кантователей, поворотных устройств и накопителей. Марки, характеристика.
|