| Национальный технический университет Украины
«Киевский политехнический институт»
МЕТОДИЧЕСКИЕ УКАЗАНИЯ
К КУРСОВОМУ ПРОЕКТИРОВАНИЮ ПО ДИСЦИПЛИНЕ "ПРОЕКТИРОВАНИЕ АВТОМАТИЗИРОВАННЫХ СИСТЕМ УПРАВЛЕНИЯ НЕПРЕРЫВНЫМИ ТЕХНОЛОГИЧЕСКИМИ ПРОЦЕССАМИ"
Часть 2
Составитель Мекинян Ю.Г.
Киев 2002
Оглавление
1. АСУТП барабанных котлов 3
2. АСУТП прямоточных котлов 5
3. АСУТП блоков “котел-турбина” 6
4. АСУТП подготовки рудного сырья 10
5. АСУТП доменного производства 12
6. АСУТП сталеплавильного производства 13
7. АСУТП нагревательных устройств прокатных цехов 15
8. АСУТП приготовления вискозного раствора 16
9. АСУТП подготовки бумажной массы 22
10. АСУТП производства технического углерода 26
11. АСУТП производства винилхлорида 30
12. АСУТП эмульсионной полимеризации винилхлорида 33
13. АСУТП производства листового стекла 34
14. АСУТП первичной перегонки нефти 37
Настоящие указания являются продолжением опубликованных методических указаний по дисциплине "Проектирование автоматизированных систем управления непрерывными технологическими процессами" и содержат описание непрерывных технологических процессов в энергетике, химической и нефтехимической промышленности, а также в черной металлургии, которые могут быть выбраны в качестве объектов управления при выполнении комплексных курсовых проектов по дисциплине "Проектирование АСУНТП".
В методических указаниях представлены структурные схемы технологических агрегатов и установок, приведены значения основных технологических параметров процессов, а также требования к системам автоматического управления. Кроме того, даны ссылки на литературные источники, в которых имеются более подробные описания технологических процессов, данные их экспериментальных исследований и сведения об их автоматизации.
I. АСУТП БАРАБАННЫХ КОТЛОВ
Барабанные паровые котлы бывают двух типов: с естественной и многократно принудительной циркуляцией.
В котлах с естественной циркуляцией питательная вода подается насосом в экономайзер, а из него - в верхний барабан. В процессе естественной циркуляции, возникающей в испарительных поверхностях нагрева, образовавшаяся пароводяная смесь направляется в барабан, в котором разделяются пар и вода. Из барабана пар направляется на перегрев в пароперегреватель, а затем к потребителям.
Забиваем Сайты В ТОП КУВАЛДОЙ - Уникальные возможности от SeoHammer
Каждая ссылка анализируется по трем пакетам оценки: SEO, Трафик и SMM.
SeoHammer делает продвижение сайта прозрачным и простым занятием.
Ссылки, вечные ссылки, статьи, упоминания, пресс-релизы - используйте по максимуму потенциал SeoHammer для продвижения вашего сайта.
Что умеет делать SeoHammer
— Продвижение в один клик, интеллектуальный подбор запросов, покупка самых лучших ссылок с высокой степенью качества у лучших бирж ссылок.
— Регулярная проверка качества ссылок по более чем 100 показателям и ежедневный пересчет показателей качества проекта.
— Все известные форматы ссылок: арендные ссылки, вечные ссылки, публикации (упоминания, мнения, отзывы, статьи, пресс-релизы).
— SeoHammer покажет, где рост или падение, а также запросы, на которые нужно обратить внимание.
SeoHammer еще предоставляет технологию Буст, она ускоряет продвижение в десятки раз,
а первые результаты появляются уже в течение первых 7 дней.
Зарегистрироваться и Начать продвижение
Котлы низкого и среднего давления преимущественно выполняют с естественной циркуляцией, что объясняется в основном менее жесткими требованиями к качеству питательной воды, более простой системой автоматизации процессов горения и питания и отсутствием затрат электроэнергии на движение рабочей среды в испарительной системе.
В котлах c многократной принудительной циркуляцией питательная вода подается насосом в экономайзер и далее - в барабан. В испарительных поверхностях нагрева циркуляция осуществляется принудительно за счет работы насоса, включенного в контур циркуляции. Пар и вода разделяются в барабане, из которого пар направляется в паронагреватель и далее к потребителям.
Котлы с многократной принудительной циркуляцией применяют в основном для использования теплоты газов технологических и энерготехнологических агрегатов для выработки пара низких и средних параметров. При высоком давлении в таких котлах усложняются конструкции и условия работы циркуляционных насосов, работающих на воде с температурой более 300 °С.
Пуски и остановки барабанов котлов сопровождаются значительными изменениями напряжений в этих элементах под действием тепловых деформаций и имеющихся механических усилий. Поэтому пуски и остановки - наиболее ответственные периоды в эксплуатации, а также различные схемы и графики, имеющие отношение к пуску и остановке барабанных котлоагрегатов, подробно описаны в [2, с. 86-51]; сведения о статических и динамических характеристиках -
в [1; 4].
Статические характеристики котла (влияние нагрузки, температуры питательной воды, воздушного режима топки и характеристик топлива на показатели его работы) описаны в [1, с. 490-495]; тепловые характеристики барабанного котла в зависимости от нагрузки и приведенной влажности [l, рис. 29.1, с. 492].
В период перехода от одного режима к другому аккумулированная в металле и рабочих средах теплота и запаздывание регулирования вызывают кратковременное нарушение материального и энергетического балансов котла и соответственно происходит изменение параметров, характеризующих его работу. Нестационарные процессы в котлах [1, с.495-497], а также тепловые характеристики котла в переходных процессах при изменении подачи питательной воды и при изменении тепловыделения в топке приведены в [1, рис.29.2,
с.495] .
Сервис онлайн-записи на собственном Telegram-боте
Попробуйте сервис онлайн-записи VisitTime на основе вашего собственного Telegram-бота:
— Разгрузит мастера, специалиста или компанию;
— Позволит гибко управлять расписанием и загрузкой;
— Разошлет оповещения о новых услугах или акциях;
— Позволит принять оплату на карту/кошелек/счет;
— Позволит записываться на групповые и персональные посещения;
— Поможет получить от клиента отзывы о визите к вам;
— Включает в себя сервис чаевых.
Для новых пользователей первый месяц бесплатно.
Зарегистрироваться в сервисе
Динамической характеристикой котла называют зависимость изменения во времени параметров, характеризующих его работу при нанесении возмущений той или иной входной величине. Динамические характеристики, полученные экспериментальным или аналитическим путем, приведены в [1, с. 497-498] . С динамикой барабанного котла также можно ознакомиться в [4, с. 15-22].
Основная задача автоматических регуляторов горения барабанных котлов наряду с поддержанием постоянного давления пара - обеспечение экономичности процесса горения топлива путем подачи в топку соответствующих количеств топлива и воздуха.
Принципиальные схемы регуляторов горения изменяются в зависимости от вида сжигаемого топлива и типа топочного устройства.
Наиболее просто решается задача автоматизации камерных топок при сжигании горючего газа постоянного состава со стабильной теплотой сгорания. В этом случае можно применять наиболее простую схему регулирования с главным регулятором, действующим по принципу "топливо -воздух" [2, с. 73] . Схема автоматического регулирования процесса горения "теплота - топливо" [2,
рис. 4-4] описана в [2, с. 73-75].
Автоматические регуляторы процесса горения, работающие по схеме "теплота - топливо", применяют для котлов с пылеугольными топками при наличии систем пылеприготовления с промежуточным бункером пыли. Схема регулирования пылеприготовления с шаровой барабанной мельницей и промежуточным бункером пыли [2, рис. 4-5] описана в [2, с. 75, 76] .
Одной из наиболее универсальных схем регулирования процесса горения котлов с шахто-мельничными топками является схема регулирования по соотношению "топливо - воздух" с автоматической корректировкой расхода общего воздуха по расходу пара [2, рис. 4-6, с. 76,4 , риc.4-4. с. 67]. Эта схема рекомендуется двя сжигания углей и сланцев и описана в [2, с. 76-77].
В [3] приведены и описаны принципиальные схемы регулирования процесса горения в барабанных котлах. При построении системы автоматического регулирования котельного агрегата одним из основных является вопрос о выборе принципиальной схемы регулирования. Общая принципиальная схема регулирования процесса горения в барабанных котлах [3, рис. 158. с. 289]. а также рекомендации по регулированию котлов о факельными топками представлены в [3, с. 289-301] . Там же приведены такие схемы;
-раздельного регулирования [3, рис. 159];
-последовательного включения [3, рис. 160];
-параллельно-последовательного включения [3, рис. I6l].
Регулирование питания водой барабанных паровых котлов - одна из основных операций в эксплуатации. Принципы действия регуляторов питания котлов даны в [3, c. 343-356]. Там же приведены:
-график кривой разгона регулируемого участка для случая наброса нагрузки [3, с. 178];
-схема одноимпульсного регулятора питания [3, рис. 179];
-статические характеристики регулятора питания [3, с. 180];
-кривая разгона процесса регулирования для одноимпульсного регулятора при набросе нагрузки [3, рис. 181];
-схема двух импульсного регулятора питания [3, рис. 182]
-график процесса регулирования для трех импульсного регулятора питания [3, рис. 184].
Для выполнения тепловых расчетов котла на ЭВМ в процессе разработки его конструкции, а также определения динамических характеристик его работы необходимо составление математической модели котла. Задача построения такой модели котла в общем случае сводится к определению операторов системы, определяющих изменение выходных величин при произвольном изменении входного воздействия. Рекомендации по построению математической модели приведены в [l, с. 498-501].
Для иллюстрации [l, рис. 29.3. с. 500] показана технологическая схема барабанного котла, а в [l, рис. 29.4, с. 501]- структурная схема его математической модели.
2. АСУTП ПРЯМОТОЧНЫХ КОТЛОВ
Прямоточные паровые котлы большой производительности при высоких, сверхвысоких и сверхкритичных параметрах пара широко применяются на современных тепловых электростанциях. Такие котлы выпускаются промышленностью для работы на различных видах топлива производительностью 210 и 1000 т/ч с начальными параметрами пара 13.7 МПа, 560 °С и промежуточным перегревом до 560 °С, а также производительностью 1000, 1650, 2650, 3650, 3950 т/ч с параметрами пара 25 МПа, 565 0
С и промежуточным перегревом до 567 °С.
В прямоточных котлах экономайзер, испарительная поверхность нагрева и паронагреватель конструктивно объединены. Проходя их последовательно, вода нагревается, испаряется и образовавшийся пар перегревается, после чего направляется к потребителям. Полное испарение воды происходит за время однократного прямоточного прохождения воды в испарительной части поверхности нагрева. Отсутствие барабана в промежуточных котлах высокого давления существенно на (8-10%) снижает затраты металла на изготовление котла по сравнению о барабанным котлом такой же мощности и давления. Котлы с давлением 25 МПа выполняют только прямоточными [l, рис. 14.1, с.306] .
На промышленных предприятиях и на небольших электростанциях прямоточные котлы не используются вследствие:
- нецелесообразности применения пара сверхвысоких параметров в котлах относительно небольшой мощности;
- высоких требований к питательной воде, обеспечение требуемого качества которой затруднено большими потерями конденсата пара;
- дополнительных расходов электроэнергии на осуществление циркуляции среды в поверхностях нагрева и усложнении систем автоматического регулирования.
В эксплуатации современных котельных агрегатов наряду с процессами, определяющими экономичность, приобрели большое значение внутрикотловые процессы, которые влияют на надежность их работы и качество выдаваемого пара.
Нарушение водного режима может вызвать серьезную аварию котельного агрегата, а повышение содержания примесей в паре - привести к снижению экономичности и мощности турбин.
Задача организации водного режима состоит в предотвращении вредных последствий, которые возникают в котельном агрегате в связи с поступлением в него различных примесей с питательной водой. Очевидно, что исходным фактором организации водного рекима котла является качество питательной воды.
Организация водного режима прямоточных котлов описана в [2, с. 91-93].
Гидродинамика прямоточных котлов и расчет гидродинамической характеристики даны в [l, с. 239-245], схемы гидравлических контуров поверхностей нагрева с принудительным движением рабочего тела - в [l, рис. 10-12], гидравлическая характеристика змеевика прямоточного котла - в [1, рис. 10,13, с. 243] .
В [3, с. 375-385] приведены исходные данные для автоматического регулирования прямоточного котла. Там же представлены:
-кривая разгона прямоточного котла для температуры пара перед паронагревателем [3, рис. I94];
-графики компенсированного регулирования [3, рис. 195];
-варианты схем регулирования температуры пара перед паронагреватетем [3, рис. 196];
-схема регулятора температуры острого пара после паронагревателя [3, рис. 197] .
Схема автоматического регулирования прямоточного котла типа 67-CП [2, рис. 4-12] описана в [2, c. 82,83]. Здесь же приведены принципиальная растопочная схема при паралельной установке прямоточных котлов [3, рис. 3-15], а также график растопки котла 67-СП [2, рис. 3.16].
Рекомендации по расхолаживанию и остановке прямоточных котлов даны в [2, c. 65].
Схемы автоматического регулирования прямоточных котлов отличаются от схем для барабанных котлов значительно большей сложностью, потому что у прямоточных котлов изменение расхода топлива и питательной воды влияют на параметры пара более интенсивно,
В [2, рис. 4.11, c. 81] показана принципиальная схема автоматического регулирования прямоточного котла типа 68-СП на сверхвысокие параметры пара со вторичным перегревом. Два таких котла должны обеспечивать паром предвключенную турбину типа СВР-50. Производительность котла 300 т/ч.
Схема автоматики[2, с. 80-82] предусматривает работу в регулирующем режиме любого из двух котлов или обоих котлов вместе.
На прямоточном котле типа 67-СП была успешно проверена работа автоматики согласно новой схеме, построенной по принципу выполнения функции поддержания давления пара. Схема автоматического регулирования прямоточного котла типа 67-СП [2, риc. 4.12] и ее описание приведено в [2, с. 82. 83] .
B [3, с. 369-375] даны рекомендации по построению принципиальных cхем регулирования прямоточных котлов.
Схема регулирования прямоточного котла с предварительной синхронизацией подачи воды и топлива представлена в [3, рис. 192].
Схема регулирования прямоточного котла без предварительной синхронизации воды и топлива дана в [3, рис. 193].
Описание схем автоматического регулирования прямоточных котлов изложено в [3, с. 385-396], где также показаны:
-схема регулирования прямоточного котла [3, рис. 198];
-схема поверхностей батареи "скоростных" термопар [3, риc. 199];
-примерные графики распределения давлений в водопаровом тракте прямоточного котла и в питательной магистрали в зависимости от нагрузки [3, рис. 200].
Тепловой расчет котла на ЭВМ сводится к выполнению в определенной последовательности арифметических и логических операций. Порядок выполнения поверочного теплового расчета на ЭВМ приведен в [1. с. 418-421].
3. АСУТП БЛОКОВ "КОТЕЛ - ТУРБИНА"
В регулируемом объекте "котел - турбина" наиболее полно проявляются характерные особенности каждого из составляющих его агрегатов.
Соединение в динамически замкнутую систему котельного агрегата, обладающего значительной инерционностью, и паровой турбины, являющейся относительно малоинерционным агрегатом, при изолированной работе такого блока ограничивают диапазон и скорость изменения нагрузки. Это объясняется тем, что блочные установки, создаваемые на базе энергооборудования большой мощности на высокие и сверхкритичеокие параметры пара, не обладают достаточной аккумулирующей способностью, чтобы обеспечить необходимое изменение выработки пара при больших скоростях изменения нагрузки. В блочных системах сброс нагрузки с турбины в силу быстрого закрытия паровыпускных клапанов турбины может привести к повышению давления после котла до значений, недопустимых по условиям эксплуатации. При набросе нагрузки на турбину из-за значительной инерционности котлоагрегата падение частоты вращения турбогенератора может достигнуть нежелательных значений.
Такая взаимосвязь между котлоагрегатом и турбиной заставляет рассматривать блочную установку "котел - турбина" как единую динамическую систему со многими регулируемыми параметрами.
Простейшая структурная схема блочной установки [4, рис. 1-1] выявляет технологические особенности взаимосвязи, между отдельными агрегатами, образующими блок "котел – турбина”. Описание схемы приведено в [4, с. 7-10 ].
Изучение динамики блоков позволяет более полно выявлять не только характерные особености процессов, происходящих в блочных установках при неустановившихся режимах, но и влияние технологических и конструктивных факторов оборудования на процесс регулирования.
Динамика процессов, происходящих в блоке, существенно зависит от инерционных свойств основного и вспомогательного оборудовавия. При этом инерционные свойства различных элементов блочной установки не одинаковы как по значению, так и по характеру.
С динамикой блока с барабанным котлом подробнее можно ознакомиться в [4, с. 15-22; 1, с. 497, 498]. Там же изображены следующие графики:
-характеристика относительного влияния подвода питательной воды и топлива на давление пара в котле [4, рис. 2-1];
-относительное влияние подвода теплоты к котлу и пароперегревателю на давление пара в барабане котла [4, рис. 2-3];
-относительное влияние на температуру перегрева подвода питательной воды в котел [4, рис. 2-4];
-относительное влияние подвода теплоты к котлу на температуру перагретого пара [4. рис. 2-5].
Здесь же можно ознакомиться с уравнением динамики барабанного котла. Динамика блока с прямоточным котлом описана в [4, с. 35-44].
Характерной особенностью прямоточного котла как объекта регулирования является одновременное влияние любого возмущения на все параметры котла.
Прямоточный котел по сравнению с барабанным - более сложный объект регулирования со многими взаимосвязанными параметрами. Поэтому выявление условий оптимальной автоматизации блоков с прямоточными котлами требует глубокого изучения динамики рабочих процессов и взаимосвязи их с технологической схемой блочной установки в целом.
В [4, c. 38-41] приведено исследование прямоточного котла на докритические параметры пара и даны:
-разгонные характеристики котла ПК-12-68СП по расходу острого пара, по температуре пара [4, рис. 2-14];
-экспериментальные разгонные характеристики блока "котел - турбина" при возму-щении расходом питательной воды (разгонная характеристика по расходу пара, температуре пара за радиационным пароперегревателем) [4, рис. 2-15];
-экспериментальная разгонная характеристика блока "котел - турбина" по расходу пара при возмущении расходом топлива [4, рис. 2-16] .
В[4, c. 42-44] приводятся результаты исследования прямоточного котла на сверхкритические параметры пара и изображены графики:
-изменения параметров по тракту котла ТПП-110 блока мощностью 300 МВт [4, рис. 2-7];
-разгонных характеристик опытного прямоточного котла на сверхкритические параметры пара [4, рис. 2-18].
Тепловая схема объединяет основное и вспомогательное оборудование блока, которое необходимо для обеспечения работы блочной установки во всех эксплуатационных режимах включая пуски и остановы. Элементы оборудования, используемые для пуска блока, называются пусковыми устройствами. Эти устройства предназначаются для согласования режимов работы котла и турбины при пуске. Пусковая схема определяется конструкцией турбины и котла, а также технологией пуска блока.
В энергоблок входят либо один котлоагрегат в сочетании с одной турбоустановкой (моноблок), либо два котлоагрегата и одна турбоустановка (дубльблок).
Пусковая схема дубльблока 150 МВт приведена в [4, рис. 6-1. с.118]. Схема главных паропроводов блока 150 МВт с барабанным котлом ТТМ-94, иллюстрирующая порядок разворота блока дана в [4, рис. 6-2] , схема главных паропроводов блока 130 МВт с барабанным котлом ТП-90 –в [4, рис. 6-3].
Принципиальные тепловые схемы блоков c котлом представлены в [4, рис. 6-4 - 6-6, с. 115-117] . В [4, рис. 6-7] показана схема главных паропроводов блока 800 МВт. Описание тепловых cхем блоков приведено в [4, c. 112-120 ] .
Рекомендации по автоматизации пуска блока с барабанным котлоагрегатом даны в [4, с. 120-129]. Здесь же изображены принципиальная схема автоматики пуска блока "котел - турбина" [4, рис. 6-8 ] и кривые изменения уровня воды в барабане при изменении параметров пара в котле [4, рис. 6-9 ].
Пуск блоков с прямоточными колоагрегатами в технологическом отношении более сложен, чем пуск блоков о барабанными котлоагрегатами.
Пуск энергетического блока связан с затратой теплоты и расходом топлива. Поэтому целесообразно сократить продолжительность пуска, что можно сделать при условии, если в течение всего пускового периода основные регулируемые параметры, характеризующие состояние оборудования, не будут иметь сколько-нибудь существенных отклонений от заданных значений. Эту задачу можно решить только с помощью автоматических рогуляторов или УВМ.
Применение УВМ для управления пуском энергетического блока является оптимальным решением. Большие возможности УВМ позволяют осуществлять сложные логические и вычислительные операции в большом объеме и тем самым с большим успехом реализовывать наиболее целесообразную программу пуска такого сложного объекта, как энергетический блок с прямоточным котлоагрегатом. Более подробно об автоматизации пуска блока с прямоточным котлоагрегатом можно ознакомиться в [4, с.I29-I46], там же изображены различные принципиальные схемы автоматического регулирования.
Автоматизация блочных установок включает в себя автоматическое регулирование основных параметров, характеризующих качество протекающих в установке процессов при нормальных эксплуатационных режимах, автоматическую защиту и блокировку оборудования, действующих при аварийных ситуациях, и автоматическое управление пусковыми операциями,
Структурная схема [4, рис. 1-2] дает представление об объеме автоматизации современного блока "котел - турбина". Схема описана в [4, с. 10-11] .
Применение УВМ в системах автоматического управления блока описано в [4, с. 13- 14], структурная схема системы автоматического управления блоком "котел - турбина" с использованием УВМ в[4, рис. 1-3],
Блок "котел - чурбина" - сложный объект регулирования, в котором единым рабочим процессом объединено различное технологическое оборудование .
Нормальная эксплуатация комплексной блочной установки зависит от работы взаимосвязанных отдельных агрегатов. В силу этого энергетические блоки "котел - турбина" являются динамическими системами со многими регулируемыми параметрами. Таким образом, блок "котел - турбина" как объект регулирования может рассматриваться в виде цепочки взаимосвязанных динамических звеньев, каждое из которых соответствует определенному технологическому элементу блока.
Принципиальные схемы регулирования блока c барабанным котлом описаны в [l, c. 23-35] здесь же приведены уравнения элементов блока, cxeмы и графики:
-принципиальная схема связанного регулирования блока с барабанным котлом [l, рис. 2-6];
-кривая переходных процессов для числа оборотов турбины [1, рис. 2-7];
-переходные процессы для связанной схемы регулирования блока
при возмущении по частоте [l, рис. 2-8];
-переходные процессы регулирования блока мощностью 150 МВт при внешних возмущениях [l. рис. 29];
-процессоры регулирования для связанной схемы регулирования блока с турбиной, имеющей динамическое переоткрытие клапанов [l, риc.2-10],
-принципиальные схемы несвязанного регулирования нагрузки блоков "котел- турбина" [1, рис. 2.11];
-переходные процессы регулирования блока 150 МВт по cхемe 1 при внешнем возмущении [1, рис. 2.I2].
Принципиальные схемы регулирования блока c прямоточным котлом
описаны в [4, c. 44, 45; 3. c. 369-375]. В [4, рис. 2-I9] показаны принципиальные схемы регулирования прямоточного котла с корректирующими впрысками.
Наиболее эффективными и технически оправданными для котлов с промбункерами пыли оказались схемы автоматического регулирования процесса горения, организуемые по импульсам "тепло - воздух" и "главный корректирующий регулятор давления - воздух".
Схемы автоматического регулирования процесса горения по импульсам ''теплота – воздух” и "главный корректирующий регулятор давления-воздух” с достаточной точностью поддерживают необходимый для экономического сгорания топлива избыток воздуха только при расчетных значаниях величин, характеризующих работу установки как в статике так и при переходных процессах. Поэтому для оптимизации процесса горения при режимах работы котла, отличных от расчетных, в этих схемах преду сматриваются кислородомеры для введения коррекции по величине свободного киснорода в уходящих из котла газах.
Схемы автоматического регулирования процесса горения с корректирующим импульсом по свободному кислороду в уходящих газах обеспечивают необходимую экономичность сгорания топлива в топках котлов при всех режимах работы котельных агрегатов,
В [4, с. 63] принципиальные схемы автоматического регулирования экономичности с коррекцией по свободному кислороду представлены в [4, рис. 4-1, с. 63]; схема регулирования экономичности горения котлоагрегата о двухсветными экранами - в [4, рис. 4-2] схема регулирования экономичности горения с корректирующим регулятором теплового процесса - в [4, рис. 4-3]; схема автоматизации котлов с шахтными мельницами, работающими по схеме прямого вдувавния — в [3, рис. 162; 4, рис. 4-4]; схема регулирования экономичности горения для котлов с шахтными мельницами приведена в [4, рис. 4-5. 3, рис. 163]; схема регулирования экономичности горения для котлов сжигающих жидкое топливо, приведена в [4, рис. 4-6].
Автоматизация питания барабанных котлов блочных установок предусматривает автоматическое управление питанием как при условиях нормального протекания эксплуатационных режимов работы котлоагрегата, так и при режимах работы при пуске и останове. Регулирование питания котла описано в [4, с. 69-72]; здеcь же показана схема автоматики узла питания котла водой [4, рис. 4-7] .
Рекомендации по регулированию температуры нагрева пара можно получить в [4, c. 72-8I]. Там же изображены:
- различные схемы охлаждения первичного пара [4, рис. 4-8];
- расчетная схема пароперегревателя [4, рис. 4-3];
- схема регулирования температуры пара воздействием на впрыск [4, рис. 4-12];
- схема автоматического регулирования температуры пара в промежуточной точке пароперегревателя [4, рис. 4-13];
- схема автоматического регулирования температуры пара в промежуточной точке с использованием связи типа "люфт" [4, рис. 4-I4].
Автоматическое регулирование блоков с прямоточными котлами состоит из регулирований:
- нагрузки [4, с. 83-89];
- процесса горения [4. с. 90-95];
- питания котла [4.с. 95-99];
- температуры пара в контуре высокого давления [4, с. 100-106];
- температуры пара вторичного перегрева [4, с. 106-111).
При выполнении курсового проекта можно воспользоваться также требованиями к организации безопасной эксплуатации котлов, изложенных в “Правилах устройства и безопасной эксплуатации паровых и водогрейных котлов”, Киев, 1999 г.
4. АСУТП ПОДГОТОВКИ РУДНОГО СЫРЬЯ
Металлургический цикл начинается с агломерационной фабрики. Агломерационную шихту, состоящую из рудной части, флюсов, возврата и топлива (коксовой мелочи, тощего угля, антрацитового штыба и др.), загружают на конвейерную агломерационную машину (агломерационную ленту), зажигают сверху и спекают, просасывая через слой спекаемых материалов воздух.
Производственные операции, осуществляемые на агломерационной фабрике, показаны на упрощенной технологической схеме [6, c. 197]. Топливо измельчают в четырехвалковых дробилках, известняк дробят в молотковых дробилках или в тангенциальных шихтных мельницах и в случае необходимости обжигают в кольцевых шахтных печах. Расчетное соотношение отдельных компонентов в шихте поддерживают путем весового дозирования.
Шихту смешивают, увлажняют и окомковывают в барабанных смесителях. Процесс ведут таким образом, чтобы достичь максимальной газопроницаемости шихты. Окомкованную шихту укладывают на спекательную тележку, шихта зажигается при прохождении тележки под зажигательным горном. По мере движения спекательных тележек к хвостовой части машины горение с верхнего слоя распространяется в нижние слои.
При горении топлива образуется зона горения высотой 15... .30 мм, с температурой I400...I600 °С, передвигающаяся вниз к колосникам с вертикальной скоростью спекания
= 0.2...0.6 мм/с. Спекаемая шихта перемещается от головной к хвостовой части машины со скоростью движения агломерационной ленты = 70...120 мм/с. В таких условиях зона горения приобретает форму наклонной плоскости [1, c. I97] . Основные параметры агломерационного процесса при установившемся режиме связаны следующим соотношением (статической характеристикой):
,
где la
-
длина зоны спекания (активная длина); h -
высота слоя шихты; - время спекания.
Температура продуктов сгорания, выходящих из-под колосников, составляет 50...70 0
С, и только при приближении зоны горения к колосникам (в районе последних вакуум-камер зоны спекания) повышается до 200...400 O
C. Максимальная температура отходящих газов cвидетельствует об окончании процесса спекания. На некоторых агломерационных ма-шинах кроме, зоны спекания, предусмотрена также зона охлаждения агломератов. Охлажденный агломерат дробят и подвергают грохочению.
Спекательные тележки передвигают с помощью электропривода - двигателя постоянного тока. Скорость движения агломерационной ленты регулируют таким образом, чтобы процесс спекания заканчивался на заданной активной длине la
.
На агломерационных фабриках осуществляется автоматический контроль и регулирование таких технологических параметров:
- расхода шихты, всех шихтовых компонентов и постели;
- содержания влаги в шихте;
- расхода воды в смесители и окомкователи;
- высоты слоя шихты;
- температуры в секциях горна и интенсивности зажигания;
- скорости движения спекательных тележек;
- температуры отходящих газов в вакуум-камерах, коллекторе и перед эксгаустером;
- разрежения в вакуум-камерах, коллекторе и перед эксгаутером;
- расхода отходящих газов и содержания в них С
O2
, СО,
О2
и пыли перед эксгаустером;
- температуры горячего агломерата и шихты;
- температуры агломерата после охладителя;
- уровня шихты в приемных и загрузочных бункерах;
- высоты слоя спекаемой шихты.
С целью обеспечения максимальной производительности агломерационных машин и выпуска агломерата заданного качества на агломерационных фабриках внедряют АСУТП с применением средств вычислительной техники и экспресс-анализа шихтовых материалов и продуктов спекания.
В [6, с. 198] показана схема автоматизации агломерационной фабрики. Основные технические данные агломашин некоторых типов приведены в [7, с. 235].
Важным в подготовке рудного сырья является вопрос о контроле и автоматическом управлении подготовкой и подачей шихты.
Современные металлургические предприятия оборудованы рудоусреднительными комплексами (РУК), характерная производственная структура которых приведена в [6, с. 199]. В состав комплекса входят участки вагоноопрокидывателей накопительных складов, корпуса известкования железосодержащих материалов и дозировочных бункеров, смесительные отделения с барабанами-смесителями и двухсекционный рудоусреднительный склад.
Автоматизация трактов подачи шихты от вагоноопрокидывателей в корпуса известкования к дозирующим бункерам или на накопительные клады показана в функциональной схеме автоматизации на участке подачи шихты в пределах рудоусреднительного склада [6, c. 200, 201].
Если на заводе отсутствует рудоусреднительный комплекс, то сырье поступает сразу в бункера аглофабрики. Сырье взвешивают в вагонах, для чего используют платформенные механические весы или весы с тензометрическими датчиками [7, с. 236].
При автоматическом регулировании процесса дозирования в качестве регулирующих органов обычно используют барабанные, тарельчатые или вибрационные питатели. Вибрационный и тарельчатый электромагнитные питатели представлены в [6, с. 202; 7, с. 240] .
При малых расходах (0...10 кг/м) удобно использовать ленточные весоизмерители, например для дозирования топлива. Для дозирования известняка часто используют ленточные транспортерные весы. Просты и надежны весоизмерители с магнитоупругим чувствительным элементом [6, с. 203].
В [6,
с. 204] приведены передаточные функции весоизмерителей, а также функциональная схема контроля и автоматического регулирования весового дозирования одного материала из нескольких бункеров. При полной автоматизации процесса дозирования схему несколько усложняют [7, с. 243].
Максимальной производительности агломерационной машины при заданном качестве агломерата можно достигнуть в том случае, если шихта поступает оптимального состава, уложена слоем заданной высоты, правильно дожжена и процесс спекания заканчивается точно в пределах рабочей длины зоны спекания. Для обеспечения таких условий агломашину оснащают системой контроля и регулирования основных и вспомогательных параметров процесса спекания.
В [6, таблица, c. 206-207] указаны связи между основными регулируемыми величинами и управляющими воздействиями, в [6, рисунок, c. 205] изображена двухконтурная схема, которая поддерживает соотношение расходов шихты и воды на увлажнение с коррекцией задания величины соотношения в зависимости от сигнала измерителя влажности.
В [6, рисунок, c. 209] приведена многоконтурная система, включающая в себя несколько взаимосвязанных простых контуров, которая предназначена для автоматического регулирования процесса зажигания шихты горном агломерационной машины.
В приложении даны динамические характеристики агломерационной машины и весоизмерительного устройства [6, с. 345].
Наряду c агломерацией окускование железорудных материалов успешно производится окатыванием. Этот способ переработки тонкоизмельченных концентратов заключается в окатывании концентрата в смеси со связывающими добавками в шарики диаметром 8...18 мм с последующим упрочнением при высокотемпературном обжиге. В качестве связующей добавки используют бентанит. При производстве офлюсованных окатышей в шихту добавляют известняк.
Основные операции технологического процесса: прием и подготовка бентонита; дозирование и смешивание шихты; окомковывание шихты и сортировка окатышей; обжиг окатышей, их сортировка и транспортировка.
В [30] приведены содержательная и математическая постановки задачи оптимального приготовления шихты.
В [6, рисунок, с. 212] показана функциональная схема автоматизации теплового режима обжиговой машины, включающая в себя узлы автоматического контроля и регу- лирования основных параметров: температуры в горне, распределения теплоты по зонам, вакуумно-дутьевого режима и высоты слоя окатышей на раллетах.
5. АСУТП ДОМЕННОГО ПРОИЗВОДСТВА
В доменной печи в качестве шихтовых материалов используют руду, агломерат, окатыши, металлодобавки, кокс и флюсы (обычно известняк). В результате доменного процесса получают продукты плавки: чугун, шлак, колошниковый (доменный) газ и колошниковую пыль. Загруженные материалы продвигаются по шахте печи сверху вниз, а газы, образующиеся в горне, снизу вверх. В процессе плавки происходит восстановление различных элементов, в первую очередь железа, а кислород оксидов переходит в газ в виде СО
и СО2
.
Перед загрузкой в доменную печь пылевидную шихту увлажняют и на грохотах отсеивают коксовую мелочь. Загрузка шихты в печь полностью механизирована. Скиповый подъемник или конвейер поднимает шихту на колошник, затем она поступает в приемную воронку двухконусного засыпного аппарата. Для распределения шихты по сечению колошника предусмотрен вращающийся распределитель шихты (ВРШ).
Дутье подается в печь воздуходувными машинами, установленными на паровоздуходувной станции (ПВС). Перед подачей в печь дутье нагревают в регенеративных воздухонагревателях, увлажняют паром до заданного влагосодержания и обогащают кислородом. Обычно в доменных печах используют комбинированное дутье, содержащее в своем составе природный газ.
Доменный газ в системе газоочистки очищают от пыли в пылеуловителях (грубая очистка) и водой в скрубберах высокого и низкого давлений. После скруббера высокого давления газ пропускают через каплеуловитель для осушки.
Чугун и шлак из соответствующих леток по желобам поступают в ковши и в них транспортируются к месту использования. Для охлаждения печи и очистки газа в больших количествах расходуют воду.
Основная задача при управлении доменным процессом - стабилизировать тепловое состояние печи, что выражается в постоянстве производительности печи, состава и температуры продуктов плавки. Главные причины колебаний теплового состояния - изменения качества шихты, отклонения температуры и состава дутья от заданных значений, нарушения в распределении материалов по сечению печи. Сильное воздействие на тепловое состояние печи оказывают влажность кокса (так как кокс дозируют по массе), содержание и степень окисленности железа в шихте.'Именно эти возмущения должны быть в первую очередь скомпенсированы при ручном или автоматическом управлении ходом доменной печи.
В [6, рисунок, с. 219] изображена структурная схема автоматизации больших доменных печей. Высокая оснащенность их контрольно-измерительными приборами, измеряющими и регулирующими параметры комбинированного дутья, уровень шихты, перепады давления по высоте, расходы дутья и природного газа по формам и др. способствует автоматизации технологического процесса. Автоматически стабилизируются расход, температура и влажность дутья, содержание в нем кислорода, давление газа на колошнике, расход и давление природного газа, распределение его по фурмам и др.
Перечень основных контролируемых и регулируемых параметров доменных печей большого объема (кроме параметров систеж загрузки) приведен в [6, таблицы, с. 220, 221].
Изменяя характер загрузки шихты управляют ходом доменной печи; управление такого вида называют регулированием сверху.
Рациональное распределение газа по сечению доменной печи - одно из основных условий ее экономической работы. Оно во многом определяется системой загрузки материатов.
Механизмы загрузки кокса служат для выполнения операций отсева мелочи, взвешивания кокса и загрузки его в скип. Коксовая весовая воронка установлена на весовом механизме и снабжена электрифицированным затвором. На весовом механизме установлен регулятор веса - весовая головка с указателем и ртутным переключателем. Одна пара контактов переключателя замыкает цепь на закрытие затвора пустого бункера, а вторая останавливает грохот после набора заданного количества кокса.
Более совершенна система дистанционного управления набором кокса. Схема дистанционного весоизмерителя кокса изображена в [6, с. 224].
Засыпной аппарат доменной печи состоит из двух конусов: большого и малого. При опускании материалов с малого конуса в межконусное пространство попадает воздух. Определенное соотношение газа и воздуха ведет к образованию взрывоопасной смеси. Для предотвращения взрыва в межконусное пространство через клапан попадает пар. Перед опусканием большого конуса, используя уравнительные клапаны [6, c. 225 ], работающие по заданной программе, в межконусное пространство подают очищенный от пыли в скруббере высокого давления доменный газ.
На доменной печи и ее воздухонагревателях осуществляют автоматический контроль и регулирование ряда технологических и теплотехнических параметров - давления, температуры, расхода, уровня, состава и др. Большинство этих параметров контролируют и регулируют с помощью серийных контрольно-измерительных приборов, но некоторые системы контроля и регулирования имеют свои особенности.
Технологическая схема контроля и корректировки показаний газоанализаторов, приведена в [6, с. 227]; схема системы автоматического распределения дутья по формам доменной печи - в [6, с. 228]; схема управления температурой горячего дутья при различных режимах работы воздухонагревателей - в [6, с. 229].
В системе управления доменным процессом, в частности тепловым режимом плавки, целесообразно использовать УВМ. На первом этапе внедрения вычислительной техники в доменное производство в ее функции должны входить: централизованный контроль, обработка и представление в удобном для оператора виде всей необходимой для управления процессом информации. На втором этапе внедряются автоматизированные системы управления, функционирующие в режиме "советчика мастера" с использованием математических моделей и алгоритмов управления доменным производством. В дальнейшем предусматривается возможность замкнутого автоматического управления процессом доменной плавки с применением ЭВМ.
В [6, с.230, 231] изображена функциональная схема АСУТП собственно доменной печи. В схеме основное внимание уделено регулированию теплового режима доменной плавки.
Для воздухонагревателей УВМ обеспечивает максимальный КПД, при этом посадка аккумулирует заданное количество теплоты на заданное время с минимальным расходом топлива. Схема АСУТП воздухонагревателей приведена [6, с. 232, 233].
АСУТП воздухонагревателей решает 3 основные задачи:
- определение оптимальной длительности составляющих цикла работы воздухонагревателей (длительности периода нагрева или дутья);
- выбор оптимальных параметров – температуры купола, расхода газа и закона их изменения в период нагрева воздухонагревателей;
- поиск оптимального режима работы блока – последовательного, попарно-паралельного или смешанного.
6. АСУТП СТАЛЕПЛАВИЛЬНОГО ПРОИЗВОДСТВА
Сталеплавильное производство включает в себя миксерное отделение. Автоматизация в миксерном отделении сводится к автоматическому взвешиванию и учету чугуна, поступающего из доменного цеха и подаваемого в мартеновскую печь или в конвертер; определению состава чугуна сливаемого из миксера; измерению температуры чугуна при сливе из миксера.
Функциональная схема автоматизации теплового режима миксера, отапливаемого природным газом, показана [6, с. 89].
При выплавке стали в мартеновских печах происходит выжигание из чугуна кремния, марганца, фосфора, серы и углерода. Крупные современные мартеновские печи работают скрап-рудным процессом, при котором металлическая часть шихты состоит из 50…60% жидкого чугуна и 40…50% железного лома.
Функциональная схема управления тепловым режимом мартеновской печи показана в [6, рис. 90, с.238, 239]. Некоторые динамические характеристики мартеновских печей приведены в [6, приложение, с. 347], перечень основных автоматически контролируемых параметров мартеновской плавки - в [6, табл. 51].
Температура свода рабочего пространства измеряется радиационными пирометрами, установленными в водоохлаждаемой арматуре и свизированными на свод через амбразуры в задней стенке. Более точные значения температуры свода позволяет получить шомпольный термозонд [6. с. 240 ].
Продукты сгорания анализируют с помощью автоматических газоанализаторов или анализатора избыточного кислорода [6, с. 240].
Способы управления тепловой мощностью можно разделить на две группы: статическое программное и динамическое.
При статическом программном управлении на основании предварительных исследований разрабатывают тепловую инструкцию, в которой заданы тепловая мощность и расходы различных видов топлива для каждого периода плавки. На основании инструкции сталевар устанавливает задание отдельным регуляторам расхода топлива, корректируя их на основании собственного опыта. Функцию управления выполняет сталевар, а локальные системы автоматики только поддерживают заданные расходы топлива [6, с. 238, 239].
К динамическим системам управления тепловой мощностью можно отнести системы управления по ограничивающим факторам, в которых тепловая мощность поддерживается на максимальном уровне до тех пор, пока хотя бы один из ограничивающих факторов (температура свода, температура насадок, содержание кислорода в продуктах сгорания и т.д.) не выйдет за допустимые значения.
Из динамических систем управления наибольшее распространение получила система АВТЕР [6, с. 240. рис. 93 ]. В схеме применен принцип раздельного регулирования параметров теплового режима.
Задача регулирования горения в мартеновской печи - полное сжигание топлива всех видов (включая оксид углерода СО
из ванны) в пределах рабочего пространства печи.
Регулирование горения по соотношению всех видов топлива и всех видов кислородоносителей применено в схеме автоматизации мартеновской печи [6, рис. 90, с. 238, 239] .
Двухванная печь состоит из двух рабочих пространств (двух ванн), в одном из которых производится продувка металла кислородом, в другом - завалка и прогрев твердой шихты.
Выделяющийся при продувке металла СО
из первой ванны поступает во вторую, дожигается там и отдает теплоту холодной шихте. Двухванная печь - кислородная печь, и поэтому дожигание СО
и сжигание дополнительного топлива производится в техническом кислороде. Дополнительным топливом служит природный газ, который подается на стационарные горелки, а иногда на подвижные фурмы. Двухванные печи не имеют регенераторов.
Функциональная схема управления тепловым режимом двухванной печи приведена в [6, рис. 94, с. 243]; на ней показаны локальные системы регулирования для правой ванны; аналогичные системы существуют и для левой ванны.
Дуговые сталеплавильные печи (ДСП) предназначены для выплавки легированных сталей, но в ряде случаев крупные печи сверхвысокой мощности могут применяться и для выплавки стали рядовых марок. Теплота, необходимая для протекания процесса, поступает от электрических дуг, возникающих между ванной и тремя графитовыми электродами, опущенными через свод печи.
Основные параметры, автоматически контролируемые при плавке в ДСП приведены в [6, табл. 52, с. 244].
Одна из основных задач управления в ДСП - регулирование электрической мощности. Обычно мощность регулируют в каждой фазе, используя электромашинные усилители [7, рис. 131 ].
В связи с широким применением кислорода для продувки ванны ДCП разработаны и применяются схемы автоматического управления продувкой [6, риc. 96, c . 245] . В схеме может быть использован сумматор, который будет давать команду на прекращение продувки и подъем фурмы после подачи в ванну заданного количества кислорода.
Для управления всей работой ДCП создаются АСУТП, обеспечивающие оптимальное ведение электрического и технологического режимов. В том числе применяется принцип программного управления мощностью.
Кислородно-конвертерный процесс с верхней продувкой заключается в продувке жидкого чугуна кислородом, подводимым к металлу сверху через сопла водоохлаждаемой фурмы.
В [6, табл. 53. с. 246] приведены основные параметры, контролируемые в кислородном процессе, а в [6, рис. 97 ] - локальные системы управления.
Полная автоматизация конвертерного процесса невозможна без применения ЭВМ, т.е. вне пределов АСУТП. В АСУТП конвертерного производства стали можно рассматривать два основных принципа управления: статическое и динамическое.
Машины непрерывного литья заготовок (МНЛЗ) вертикального, радиального или криволинейного типов предназначены для получения заготовок (блюмов, слябов) без обжимных станков при разливке стали, выплавленной в конвертере, мартеновской или электросталаплавильной печи.
Функциональная схема системы управления МНЛЗ представлена в [6, рис. 98, с. 250].
АСУТП создаются во всех сталеплавильных производствах, особенно в электросталеплавильных и ковертерных. АСУТП в кислородно-конвертерном цехе состоит из двух подсистем управления процессом: выплавки стали и непрерывной ее разливки.
Основные функции АСУТП выплавки и непрерывной разливки стали могут быть сформулированы следующим образом.
I. Информационные и информационно-вычислительные функции.
II. Управляющие функции.
В целом АСУТП обеспечивает:
- слежение за технологическими процессами, положением и состоянием оборудования;
- автоматизированный и централизованный контроль и учет;
- выдачу управляющих сигналов в локальные системы автоматического управления;
- выдачу текущей технологической информации оператору;
- печатание паспортов плавки и других документов.
Общая структурная схема вычислительного комплекса АСУ конвертерным цехом показана в [6, рис. 99, с. 252 ].
7. АCУТП НАГРЕВАТЕЛЬНЫХ УСТРОЙСТВ ПРОКАТНЫХ ЦЕХОВ
Для нагрева слитков перед прокаткой на обжимных станах применяют регенеративные и рекуперативные нагревательные колодцы. Топливом обычно служит смешанный (теплота сгорания Q =
5500...8500 кДж/м3
) либо природный газ. Воздух подогревают в керамических рекуператорах до 800...900 O
C, смешанный газ - в металли-ческих рекуператорах до 250...300 °С. На колодцах с одной верхней горелкой отсутствуют дутьевые вентиляторы, а воздух для горения просасывается через рекуператор с помощью инжектирующего сжатого воздуха, который подогревают в металлических рекуператорах до 150…300 °С.
Сортовые заготовки обычно нагревают в методических нагревательных печах, отапливаемых природным газом, мазутом или смесью газов. Воздух для горения нагревают до 500...600 0
С в керамических рекуператорах. Рабочее пространство печей разбито на зоны с автономным отоплением: первой со стороны выдачи расположена томильная зона, затем 2-3 сварочные зоны (верхние и нижние) и, наконец, неотапливаемая методическая зона.
Для нагрева круглых заготовок, а также различных фигурных изделий применяют многозонные кольцевые печи.
Автоматизация нагрева металла облегчается при использовании установленных в одну линию секций, которые объединены в автоматически регулируемые зоны. Трубы или круглые заготовки транспортируют через печь в 1-3 ручья, применяя водоохлаждаемые ролики. В качестве топлива используют мазут или газ; воздух подогревают в металлургических рекуператорах до 200...400 0
С.
Для термообработки изделий металлургического производства применяют башенные, колпаковые, роликовые проходные, протяжные и другие печи. Термическую обработку углеродистых и мало легированных сталей ведут при температуре не выше 900...950 °С, нержавеющих ayстeнитных сталей - при 1150...I200 °С. Отжиг жести и трансформаторной стали в башенных печах проводят при 720...900 °С [6 ].
В [7, рис. 138, с. 326,327] показана принципиальная схема контроля и автоматического регулирования теплового режима регенеративного колодца. Для оценки параметров теплового режима регенеративного колодца приведены данные одного из металлургических заводов [7, с. 328].
Система автоматического контроля и регулирования теплового режима рекуперативного нагревательного колодца с отоплением из центра подины приведена в [7, рис. 139, с. 330, 331], примерные параметры теплового режима - в [7, с. 329].
Отдельные зоны многозонных нагревательных печей (методических, кольцевых, секционных) обычно характеризуются определенной автономностью в отношении подачи топлива и воздуха и (иногда) отбора продуктов сгорания. Поэтому системы контроля и регулирования таких печей содержат узлы регулирования температуры рабочего пространства, соотношения топливо - воздух и давления по числу самостоятельных зон. Если продукты сгорания отводят одним общим потоком, то устанавливают один регулятор давления, сигнал к которому поступает из наиболее ответственной точки рабочего пространства (обычно вблизи окна выдачи).
В [7, рис. 141, с. 336. 337] представлена типовая принпипиальная схема автоматизации методической печи непрерывного действия. Приведены также практические величины отдельных параметров, необходимые для расчета систем контроля и регулирования методической четырехзонной печи, которая работает на природном газе с площадью пода, 158 м2
и производительностью на холодном всаде 110 т/ч.
Описанные печи скоростного нагрева металла обладают сравнительно небольшой инерционностью кладки и малой аккумулирующей способностью, поэтому для таких печей имеется возможность использовать балансовые схемы регулирования теплового режима. В [7, рис. 142] приведена упрощенная принципиальная схема автоматического сведения теплового баланса секционной печи прокатного стана, а в [7, с. 339, 340] дан расчет теплового баланса печи включая зону рекуперации теплоты.
В больших отделениях нагревательных колодцев, прокатных цехах со значительным числом нагревательных и термических печей экономически целесообразно использовать ЭВМ в рамках АСУТП. В [6, рис. 103] рассмотрена структурная схема системы управления нагревом металла в нагревательных колодцах.
8.
асутп
ПРИГОТОВЛЕНИЯ ВИСКОЗНОГО
раствора
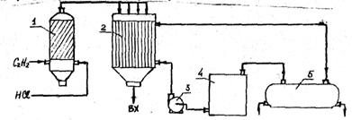
Технологический процесс производства вискозного волокна имеет такие основные стадии [8]:
II. Приготовление вискозного прядильного раствора (вискозы).
III. Отделка, сушка, перемотка волокна.
Стадия приготовления вискозного раствора включает в себя:
- приготовление растворов едкого натра и регенерацию отработанных растворов,
- мерсеризацию целлюлозы,
- предсозревание щелочной целлюлозы,
- ксантогенерирование и растворение ксантогената,
- подготовку вискозы к формированию волокна.
8.1. Приготовление растворов едкого натра, регенерация отработанных растворов
Эта стадия включает в себя следующее:
- прием каустической соды от поставщика и ее хранение;
- приготовление растворов едкого натра (рабочего, укрепительного и рас- творительного);
- прием отработанного раствора после мерсеризации и его фильтрацию;
- регенерацию части отработанного раствора.
Каустическая сода поступает на содовую станцию с концентрацией не менее 42% в жидком виде по специальному обогреваемому трубопроводу или в железнодорожных цистернах. Замерзший в пути каустик перед сливом разогревается острым паром.
Для мерсеризации целлюлозы применяется рабочий раствор едкого натра концентрации 220...242 г/л. Непрерывное укрепление циркулирующего раствора проводится путем подачи в циркуляционный бак укрепительной щелочи концентрации 250...270 г/л.
Для растворения ксантогената применяется раствор с содержанием едкого натра 32...38 г/л и до 120 г/л в случае мокрого сульфидирования. Все эти растворы готовятся в баках, установленных на содовой станции.
В бак подается заданное количество растворов, перемешивается при циркуляции с помощью центробежных насосов в течение 3...4 ч., после чего раствор анализируют на содержание едкого натра и гемицеллюлозы. Приготовленная щелочь отстаивается не менее 50 ч. Рабочий раствор щелочи готовится для замены загруженного взвесями целлюлозы рествора в циркуляционном баке рабочего раствора установки непрерывной мерсеризации (УНМ).
Отработанная щелочь с УНМ возвращается на содовую станцию, фильтруется на барабанном фильтре непрерывного действия и рамном фильтре, очищаясь от волоконец целлюлозы и механических загрязнений, после чего часть щелочи возвращается в циркуляционный бак рабочей щелочи, а другая часть щелочи через кварцевые фильтры подается для приготовления укрепительной рабочей щелочи, остальная часть подвергается диализу.
В процессе регенерации (диализа) отработанная щелочь очищается от гемицелюлозы. Диализ основан на диффузии в воду едкого натра через непроницаемую для коллоидных веществ мембрану. Отработанный раствор щелочи поступает в диализатор самотеком из напорного бака. Внутрь рам подается умягченная вода, при этом частицы едкого натра,
проникая через ткань, уносятся водой. Частицы гемицелюлозы, не прошедшие через ткань, поднимаются в верхнюю часть диализатора и через перелив сбрасываются в канализацию вместе с водой и некоторым количеством едкого натра. Диализ осуществляется при температуре 26...28 °
С.
В результате регенерации получается разбавленный раствор едкого натра, очищенный от гемицеллюлозы. Регенерированная щелочь применяется для растворения ксантогената и частично для приготовленной рабочей щелочи. Канализационная щелочь частично идет
на повторный диализ, частично для промывки деталей в прядильном цехе, остаток сбрасывается в канализацию.
Щелочь для растворения ксантогената готовится из регенерированной щелочи, умягченной воды и крепкого каустика. Отстой перед расходованием составляет не менее 20 ч. Перед подачей в ксантатное отделение растворенная щелочь фильтруется на свечевых фильтрах [8].
8.2. Мерсеризация целлюлозы
Целлюлоза поступает на склад производства в виде листов размером 600х800 мм. Перед мерсеризацией смешивается целлюлоза различных партий (не менее пяти) для выравнивания свойств полученной вискозы. Смешение осуществляется кипами путем раскладки их на транспортную ленту в определенном порядке.
Процесс мерсеризации заключается в обработке целлюлозы рабочим раствором едкого натра. Реакция едкого натра с целлюлозой протекает по схеме
(8.1)
В процессе мерсеризации целлюлоза набухает, из нее вымывается гемицеллюлоза, происходит окислительная деструкция целлюлозы. Мерсеризация целлюлозы осуществляется в массе на УНМ.
Сбрасывающий механизм транопортера-питателя захватывает по одному листу из кипы и сбрасывает в бак-мерсеризатор. Туда же непрерывно подается рабочая щелочь из циркуляционного бака, подогретая до 46...50 °С. Листы целлюлозы набухают в щелочи и измельчаются вращающимися лопастями мешалки, образуя в аппарате однородную пульпу. Масса циркулирует в баке не менее 20 мин., часть ее непрерывно отбирается массонасосами и подается на отжимное устройство.
УНМ имеет следующие основные узлы:
- транспортер-питатель и бачок-дозатор щелочи;
- бак-мерсеризатор;
- массо-насос и бачок-выравниватель давления (буферный);
- отжимной механизм;
- предварительный измельчитель и лоток для передачи щелочной целлюлозы;
- измельчитель.
Транспортер-питатель обеспечивает необходимую подачу целлюлозы путем изменения скорости движения ленты, края регулируются с помощью вариатора в зависимости от нужной производительности.
Бак-мерсеризатор представляет собой вертикальный цилиндрический сосуд, снабженный рубашкой для темперирования и вертикальной пропеллерной мешалкой с зубьями. Внутри бака-мерсеризатора установлен цилиндр, предназначенный для создания определенного направления рециркуляции щелочной массы целлюлозы между стенками мерсеризатора и внутреннего цилиндра. Во внутреннем цилиндре реакционная масса движется сверху вниз и ударяясь о нижнее дно, поднимается вверх между стенками внутреннего цилиндра. Во внутреннем цилиндре реакционная масса движется сверху вниз.
Буферный бачок устанавливается на линии от массо-нассса к отжимному устройству и служит для обеспечения более равномерной подачи щелочной целлюлозы в отжимное устройство. В нижнем днище бака находится штуцер для отвода реакционной массы. Установлено водомерное стекло с целью наблюдения за уровнем массы. Давление воздуха в буферном бачке составляет 0,7...0.8 атм (поддерживается сжатым воздухом).
Отжимной механизм состоит из двух чугунных вращающихся сетчатых барабанов, на поверхности которых имеются бороздки. В торцах барабанов просверлены отверстия, соединяющиеся с бороздками на поверхности барабана, через которые отводится отработанная щелочь во время отжима.
Для очистки бороздок от запрессованной в них целлюлозы устанавливаются специальные съемные стальные ножи. По краям станины агрегата параллельно с отжимным барабаном расположен карман для сброса отработанной щелочи, края отводятся на содовую станцию вместе с промывной щелочью, подаваемой к отверстиям в торцах отжимных барабанов для очистки бороздок от щелочной целлюлозы. Между барабанами имеется зазор для прохода щелочной целлюлозы, который регулируется в зависимости от производительности и желаемой степени отжима [8] .
8.3. Предсозревание щелочной целлюлозы
Предсозревание щелочной целлюлозы осуществляется на двух видах оборудования:
- во вращающейся трубе, установленной на опорных роликах, представляющей собой полый цилиндр с водяной рубашкой;
- на установке ускоренного предсозревания, которая представляет собой герметичный аппарат, состоящий из зон предоозревания и охлаждения с системой перфорированных пластинчатых транспортеров и воздуховодов для продувки теплоносителем движущегося слоя щелочной целлюлозы.
Во вращающихся трубах во время предсозревания происходит окислительная деструкция целлюлозы в щелочной среде под действием кислорода воздуха. Труба установлена с уклоном 1:100 к горизонтали и приводится во вращение трехскоростным электродвигателем.
Для изменения времени предоозревааая целлюлозы частота вращения трубы может меняться от 0,18 до 0,95 об/мин.
Из труб предсозревания щелочная целлюлоза непрерывно высыпается через выгрузное отверстие на ленточный транспортер, затем ковшовым транспортером передается в трубу темперирования, устройство которой аналогично устройству трубы предсозревания, разница лишь в длине трубы, которая равна 20 м. В трубах темперирования щелочная целлюлоза охлаждается до начальной температуры ксантогенирования, для чего в рубашку подается охлажденная вода.
Из труб темперирования щелочная целлюлоза ленточным, ковшовым или двуленточным транспортером передается в бункер-весы, где накапливается до массы партии 2200 кг, идущей на ксантогенирование.
Температура помещения труб предсозревания и темперировавия регулируется подачей темперируемого воздуха.
8.4. Ксантогенирование щелочной целлюлозы и растворение ксантогената
Процесс ксантогенирования заключается в обработке щелочной целлюлозы сероуглеродом, при этом образуется новое химическое соединение - ксантогенат целлюлозы, способный раствориться в разбавленном растворе едкого натра:
(8.2)
Помимо основной реакции, протекают побочные:
(8.3)
(8.4)
Ксантогенирование осуществляется в герметически закрывающихся аппаратах - ксантогенаторах. Ксантогенатор снабжен рубашкой, внутри него имеется горизонтальная мешалка, на корпусе загрузочные и выгрузочные люки, предохранительные клапаны. Подведены коммуникации для сероуглерода, воды, щелочи, азота, отсоса паров сероуглерода и создания вакуума.
В ксантогенатор загружается 2200 кг щелочной целлюлозы с помощью пневмотранспорта из бункер-весов. После загрузки щелочная целлюлоза доводится до начальной температуры ксантогенирования (I8...22) 0
С ± 0.5 °С путем подачи в рубашку ксантогенатора летом переохлажденной, а зимой - речной воды. По достижении начальной температуры ксантогенирования в ксантогенаторе создается вакуум 550...650 мм рт.ст. и подается сероуглерод в количеотве 30...36% массы альфа-целлюлозы.
Начало подачи сероуглерода считается началом процесса ксантогенирования, который продолжается 60...75 мин. Конец процесса ксантогенирования определяется по образованию вторичного вакуума. Когда процесс ксантогенирования закончен, в ксантогенатор через счетчик в количестве, определенном расчетом, подается растворительная щелочь, охлажденная до 5 0
С 1 0
С. Из расчетного количества 1000...I500 л растворительной щелочи оставляется для промывки ксантогенатора после выгрузки.
Подготовка вискозы к формированию волокна производится в вискозном погребе и включает в себя следующие процессы:
- смешивание нескольких партий вискозы для получения более однородной по свойствам вискозы;
- созревание вискозы, выдерживание ее известное время при определенных температурных условиях для достижения требуемого химического состояния;
- фильтрация вискозы для очистки от загрязнений;
- удаление воздуха из вискозы;
- крашение вискозы.
Вискоза смешивается последовательно в двух смесителях, представляющих собой горизонтальный бак с мешалкой. Смеситель снабжен охлаждающей рубашкой для регулирования температуры смешиваемой вискозы. У каждого смесителя устанавливается зубчатый насос с растирателем для дополнительногорастворения вискозы.
Вискоза смешивается в течение не менее 10 ч непрерывно и при постоянном наличии трех-пяти партий в смесителе. После смешивания вискоза поступает на фильтрацию.
Для фильтрации вискозы применяются рамные фильтр-прессы и керамические фильтры непрерывного действия. Рамные фильтр-прессы представляют собой набор полых рам и рифленых плит, чередующихся между собой. Плиты и рамы опираются на направляющие болты и зажимаются с помощью гидронасоса. При фильтрации вискоза поступает в полые рамы снизу через канал, образуемый отверстиями рам, растекаясь по поверхности. Фильтр-материалы фильтруются и, проходя по радиальным рифам плиты, выходят в верхний канал риф-пресса.
После второй фильтрации вискоза поступает в передаточные баки вискозного погреба.
Воздух из вискозы удаляется на установках непрерывного действия и в рабочих баках. На установках непрерывного действия происходит удаление пузырьков воздуха из тонкого слоя вискозы под воздействием вакуума. В рабочих баках вискоза определенное время выдерживается под вакуумом, в результате чего из нее удаляются пузырьки воздуха. На производстве существует две схемы обезвоздушивания:
1) вискоза из передаточных баков забирается зубчатым насосом, передается в эвакуатор установки непрерывного обезвоздушивания, а затем в гомогенизатор, откуда вискоза передается в рабочий бак, где выстаивается под вакуумом не менее 13 ч.;
2) вискоза из передаточных баков подается зубчатым насосом в рабочие баки, где находится под вакуумом не менее 18 ч.
Крашение вискозы производится в масле. Применяются высокопрочные красители в состотоянии высокой дисперсности, стойкие к щелочной среде и к различньм химическим обработкам.
Для кращения вискозы используют установки КВМ-А (производительность 500...200 кг/сут) и КBM-2 (производительность I00...500 кг/сут по готовому волокну).
Установка приготовления суспензии красителя состоит из двух баков-мешалок; вихревых насосов и рамных фильтр-прессов.
Приготовленную суспензию перемешивают не менее 30 мин, после чего фильтруют через фильтр-материал на рамных фильтр-прессах. Затем суспензия под давлением 0,5 атм сжатого воздуха передается в суспензионый бак КВМ, установка которого состоит из аккумуляторного вискозного бака суспензионного бака с мешалкой, двух дозирующих поршневых суспензионных насосов, двух дозирующих насосов для вискозы, роторного смесителя, нагнетающего зубчатого насоса и двух сетчатых фильтров грубой очистки.
Вискоза из вискозного провода подается в роторный смеситель насосом, а суспензия впрыскивается в вискозу перед роторным смесителем. После роторного смесителя окрашенная вискоза поступает в аккумуляторный бак, где поддерживается вакуум для дополнительного удаления воздуха из окрашенной вискозы.
Из аккумуляторного бака установки КВМ окрашенная вискоза нагнетательным насосом через сетчатые фильтры подается на прядильные машины.
9. АСУТП ПОДГОТОВКИ БУМАЖНОЙ МАССЫ
9.1. Описание технологической схемы подготовки бумажной массы [11; 13]
Роспуск целлюлозы ведется в гидроразбивателе на воде от промывки сеток. На спрыски сетки используется свежая деионизированная вода. Из бассейна гидроразбивателя волокно попадает на пульсационную мельницу для дороспуска и затем через дисковую мельницу и сгуститель подается в бассейн сгущенной целлюлозы №1. Процесс роспуска целлюлозы периодический. После заполнения бассейна волокно подвергается размолу в цикле бассейн - дисковая мельница - сгуститель. Подразмол ведется 2,5...5 ч. Для достижения высоких диэлектрических свойств бумажную массу в процессе подразмола промывают деионизированной водой в сгустителе, которая затем сбрасывается в канализацию.
Показатели массы после подразмола: концентрация 3.5...4.5%,
степень помола не менее 20° шр., длина волокна не менее 130 дг.
Волокно после подразмола из бассейна сгущенной целюлозы №1
подается в бассейн активного набухания. Продолжительность активного набухания—не менее 8 ч.
После активного набухания массы она насосом подается в бассейн сгущенной помолотой целлюлозы №1, из которого поступает на мельницы I ступени основного размола. На I ступени работает пять дисковых мельниц МД-14.
Показатель массы после I ступени основного размола; концентрация 2,7...3,5%. степень помола 30...36.20
шр., длина вовокна не менее 35 дг.
Пройдя I ступень размола, масса, поступает в промежуточный мешальный бассейн Ш, из которого подается на три мельницы ЦД-14 II ступени.
Показатели массы после II ступени основного размола: концентрация 2,7...3,5%, степень помола 35...37.5° шр., длина волокна не менее 23 дг.
После мельниц II ступени масса поступает в мешальный бассейн готовой массы IV, а далее - в смесительный ящик V, где разбавляется оборотной (регистровой) водой, прошедшей очистку на вихревых очистителях, которая подается из сборника регистровой воды.
Разбавленная масса самотеком поступает для очистки от тяжелых включений на центробежные очистители, а затем самотеком - в напорный ящик бумагоделательной машины.
Оборотный брак, поступающий из бассейна брака, возвращается в промежуточный мешальный бассейн.
9.2. Описание основного технологического аппарата [
l2]
Основной аппарат для размола целлюлозной массы - мельница ВД-14 с двумя дисками: вращающимся и неподвижным.
Степень и характер обработки массы в мельнице зависит от размалывающей гарнитуры, величины зазора между дисками и времени размола.
Размалывающая гарнитура изготовлена в виде стальных дисков с выфрезированными на поверхности ножами. При изготовлении бумаги тонкого помола используют сегменты с тонким рифлением (толщина ножей 6 мм).
9.3. Постановка задачи построения АСУ процессом размола массы [14]
Конечная цель автоматизации размольно-подготовительным отделом бумагоделательной машины (сохранение требуемой степени помола размолотой массы) достигается по косвенному параметру - перепаду температур на входе и выходе массы из мельницы. Возможность такого управления вытекает из существования регулярной связи между степенью помола массы и упомянутым косвенным параметром процесса.
Однако управление по косвенному параметру обладает существенным недостатком, для устранения которого необходимо применить периодическую коррекцию АСУ, осуществляя ее согласно методу каскадного управления. С этой целью выполняется измерение основной величины, а затем выясняется тенденция в ее применении. Полученные таким образом значения управляемой величины сравниваются с величиной задания по ней. В случае их совпадения нет необходимости в упомянутой коррекции. Наличие их рассогласования указывает на то, что следует применить установку регулятора системы, тем самым переводя режим стабилизации косвенной управляемой величины на уровень нового задания. Тогда в силу связи косвенной и основной управляемых величин вторая из них также изменит свое значение так, чтобы совпадать c заданием.
Таким образом, корректирующая часть АСУ дисковой мельницы должна вступать в действие по сигналу, определяющему рассогласованием измеренного и заданного значений степени помола массы после ее размола.
Для контроля степени помола массы после ее размола необходимо использовать прибор КСП, который выдает сигнал типа решетчатой функции, характеризующей степень помола в градусах шр. c периодичностью 3...6 мин. Для приведения выходного сигнала прибора КСП к виду, соответствующему сигналу коррекции, необходима его математичеокая обработка.
На первом этапе такой обработки нужно выявить тенденцию в значениях степени помола, определяемой решетчатой функцией. На втором этапе предсказанное значение степени помола сравнивается с величиной этого параметра, которая задана в соответствии о действующим технологическим режимом. В результате получают отклонение, которое данная АСУТП должна устранить.
Наличие однозначной статистической связи указывает на то, что такая задача может быть решена изменением задания стабилизирующего регулятора. Последнее поясняется следующим образом (рис. 9.1).

Рис.9.1
Допустим, что рабочей точкой функционирования АСУТП является точка А . В этом случае стабилизирующие регуляторы перемещают роторы мельниц, выбирая степень присадки, при которой поддерживается заданное значение перепада температуры на мельницах.
9.4. Экспериментальные исследования процесса размола на дисковой мельнице
Дисковую мельницу как объект управления можно представить в виде рис. 9.2, где входные величины: G - расход массы через мельницу; Q -
концентрация массы на входе в мельницу; U -
присадка; I -
нагрузка приводного электродвигателя; T1
- температура массы, поступающей на мельницу .

Рис.9.2
.
Выходная величина Z -степень помола массы. Управляющий канал - канал U-> Z
. Однако из работ, проведенных ранее [12; 14], следует, что для структуры дисковой мельницы как объекта управления (ОУ) характерно последовательное соединение двух звеньев. Входные величины первого звена, как и всего объекта в целом: расход массы через мельницу G ,
концентрация массы Q, присадка U
. Выходная переменная этого звена, промежуточная для объекта в целом, прирост температуры размалываемой массы Т. Эта переменная связана c нормированным показателем разработки волокна в масcе, ее степенью помола Z, физически.
Такую связь в ОУ представляет второе из упомянутых звеньев. Следовательно, структурную схему дисковой мельницы как ОУ можно представить в виде рис. 9.3.

Рис.9.3
Поскольку процесс управления степенью помола на мельнице сложен, описать его математически трудно. Поэтому изучать статику и динамику ОУ целесообразно экспериментальным путем. Для этого воспользуемся экспериментальными данными, полученными на производстве [I4].
Экспериментальные исследования процесса размола на мельнице проведены в два этапа. На первом этапе изучается статическая характеристика по каналу управления ;
на втором - динамические характеристики дисковой мельницы по каналу
и каналу U
(рис. 9.4).

Рис.9.4
В процессе проведения эксперимента сняты показания температуры на входе и выходе из мельницы, тока приводного электродвигателя, степени помола массы Z при различных значениях присадки U.
Результаты эксперимента приведены в табл. 9.1.
Статистические данные, полученные при исследовании дисковой мельницы как объект управления
Таблица 9.1
| №
п/п
|
Температура массы на
|
Перепад температур Т
|
Нагрузка на мельницу
J
|
При
садка
U
|
Степень помола
Z
|
| входе выходе.
|
| 1
|
2
|
3
|
4
|
5
|
6
|
7
|
| 1
|
29.6
|
31.8
|
1.7
|
54.0
|
0.9
|
0.1
|
| 2
|
29,5
|
31.43
|
1.53
|
59.0
|
1.25
|
1.2
|
| 3
|
29.6
|
31.7
|
2.1
|
54.0
|
1.6
|
2.0
|
| 4
|
29.6
|
31.98
|
2.38
|
73.0
|
1.9
|
3.5
|
| 5
|
29.6
|
31.6
|
2.0
|
60.5
|
1.2
|
2.0
|
| 6
|
29.7
|
31.65
|
1.95
|
54.5
|
1.2
|
1.9
|
| 7
|
29.9
|
31.7
|
1.8
|
50.0
|
1.3
|
2.0
|
| 8
|
80.4
|
31.5
|
I.I
|
42.0
|
0.45
|
1.5
|
| 9
|
30.6
|
32.7
|
2.1
|
38.0
|
1.65
|
2.5
|
| 10
|
30.9
|
33.2
|
2.3
|
53.5
|
0.8
|
2.0
|
| II
|
31.10
|
33.2
|
2.1
|
65.0
|
1.7
|
2.8
|
| 12
|
31.10
|
33.35
|
2.25
|
71.0
|
1.5
|
2.5
|
| 13
|
31.10
|
33.40
|
2.30
|
67.0
|
0.8
|
2.0
|
| 14
|
31.10
|
32.90
|
1.8
|
57.0
|
1.2
|
2.0
|
| 15
|
32.20
|
32.90
|
1.7
|
52.0
|
1.0
|
1.0
|
| 16
|
30.90
|
82.20
|
1.30
|
59.0
|
I.I
|
1.0
|
| 17
|
31.10
|
33.20
|
2.20
|
62.0
|
1.8
|
3.0
|
| 18
|
31.10
|
33.20
|
2.05
|
56.0
|
2.0
|
3.0
|
| 19
|
31.25
|
33.30
|
1.05
|
58.5
|
0.05
|
3.5
|
| 20
|
31.40
|
33.30
|
1.90
|
57.0
|
I.I
|
2.0
|
| 21
|
31.20
|
32.30
|
1.10
|
61.0
|
1.2
|
2.5
|
| 22
|
31.10
|
33.40
|
2.30
|
67.0
|
0.3
|
3.0
|
| 23
|
30.80
|
32.80
|
2.0
|
59.5
|
0.4
|
2.5
|
| 24
|
28.00
|
29.50
|
1.50
|
59.5
|
1.0
|
0
|
| 25
|
28.00
|
29.60
|
1.60
|
64.0
|
0.9
|
0
|
| 26
|
28.1
|
29.75
|
1.65
|
695
|
1.3
|
1.0
|
| 27
|
28.1
|
29.30
|
1.20
|
52.5
|
0.4
|
1.0
|
| 28
|
28.1
|
29.5
|
1.05
|
46.0
|
1.5
|
1.0
|
| 29
|
28.1
|
29.5
|
1.4
|
56.5
|
0.3
|
2.0
|
| 30
|
28.0
|
29.65
|
1.65
|
63.0
|
1.5
|
1.5
|
| 31
|
28.2
|
30.0
|
1.8
|
59.5
|
1.6
|
2.5
|
| 32
|
28.4
|
29.10
|
0.7
|
39.0
|
1.8
|
1.5
|
| 33
|
28.4
|
29.70
|
1.3
|
45.5
|
I.I
|
1.0
|
| 34
|
28.5
|
30.00
|
1.5
|
50.5
|
1.5
|
1.5
|
| 35
|
28.5
|
30.20
|
1.7
|
56.5
|
0.7
|
2.0
|
| 36
|
28.7
|
30.50
|
1.8
|
61.0
|
0.6
|
2.0
|
| 37
|
28.8
|
30.50
|
1.7
|
66.0
|
0.7
|
2,0
|
| 38
|
28.8
|
30.80
|
2.0
|
69.0
|
I.I
|
2.0
|
| 39
|
28.6
|
30.55
|
1.95
|
63.0
|
1.5
|
2.5
|
| 40
|
28.6
|
30.30
|
1.70
|
58.00
|
1.3
|
1.8
|
| 41
|
28.35
|
30.25
|
1.9
|
62.9
|
2.0
|
2.8
|
| 1
|
2
|
3
|
4
|
5
|
6
|
7
|
| 42
|
28.20
|
29.9
|
1.70
|
53.0
|
1.2
|
1.5
|
| 43
|
28.1
|
23.4
|
1.20
|
47.5
|
0.8
|
0.5
|
| 44
|
28.2
|
29.7
|
1.5
|
51.0
|
0.5
|
1.0
|
10. АCУТП ПРОИЗВОДСТВА ТЕХНИЧЕСКОГО УГЛЕРОДА
10.1. Технология получения технического углерода
В качестве сырья для производства технического углерода применяется смесь термогазойля, антраценовой фракции и зеленого масла в соотношении 40:30:30 соответственно. Сырье прибывает на завод в цистернах и сливается из них как нижним, так и верхним способом. Далее сырье, пройдя фильтр грубой очистки, поступает в резервуар, откуда насосами подается в смеситель, где смешивается в заданном соотношении. Затем смесь поступает во влагоиспаритель и пеноотделитель.
Освобожденное от влаги сырье из влагоиспарителя подается в трубчатый подогреватель сырья. Подогретое до 250...300 °С сырье очищается в фильтре очистки сырья и поступает в реактор циклонного типа. Распыл сырья осуществляется воздухом высокого давления, предварительно подогретым в воздухонагревателе до 350...400 °С. В две тангенциально расположенные горелки реактора подается топливный газ. При температуре в зоне реакции 1540 °С происходит разложение углеродного сырья с образованием технического углерода. Для прекращения реакции газификации газоуглерода смесь охлаждается водой, вспрыскиваемой механическими форсунками. Охлаждение газоуглеродной смеси осуществляется в две стадии: вначале газоуглеродная смесь охлаждается водой до 900...1000°С, затем она от всех реакторов поступает в общий коллектор при температуре 650...700 °С, по которому подается в холодильник-испаритель, где охлаждается водой до 250 °С. Улавливание технического углерода из смеси осуществляется в двух последовательно установленных циклонах СК-ЦН-34 и рукавном фильтре.
Уловленный в циклонах технический углерод, пройдя ловушку и микроизмельчитель, транспортируется в отделение переработки техничеокого углерода. Не уловленный в циклонах технический углерод подается на улавливание в фильтр и из-под фильтра транс- портируется газами на вход во второй циклон.
Очищенный отходящий газ после фильтра улавливания, пройдя секторный гидрозатвор, вентилятором подается в котельную на дожиг. Не уловленный в отделении технический углерод возвращается на вход во второй циклон. Уловленный в отделении улавливания технический углерод подается в циклон СК-ЦН-34, установленный на бункере-уплотнителе, и шлюзовым затвором дозируется в смеситель-гранулятор СГС-40, где гранулирование происходит в присутствии 0,5...1,5% водного раствора мeлассы, приготовленного в смесителе. Меласса поступает на завод в цистернах, из которых сливается в емкость, где предварительно подогревается. Далее меласса винтовым электронасосом подается в резервуары хранения, откуда поступает в реактор с мешалкой, из которого далее дозируется в смеситель. Сюда же подается предварительно подогретая в теплообменнике вода.
Влажный гранулированный технический углерод из смесителя-гранулятора подается в сушильный барабан с наружным обогревом БСК-40, топливом в котором служит природный газ.
Часть дымовых газов просасывается во внутреннюю полость барабана с целью уноса выделяющихся из технического углерода паров, влаги.
Газы из полости сушильного барабана с содержанием влаги и технического углерода подаются на улавливание в отдельно стоящий рукавный фильтр ФР-518. Уловленный в фильтре технический углерод подается в циклон, установленный на бункере-уплотнителе, а затем - в бункер-уплотнитель. Высушенный в сушильном барабане до влажности не более 0,6% технический углерод подается в магнитный сепаратор для очистки от ферромагнитных примесей. Для снижения потерь технического углерода и предотвращения возможности прососа горячих газов из барабана БСК-40, на течке после магнитного сепаратора установлен шлюзный затвор ПШ-400.
Течка после ПШ-400 выполнена из наклонных пластин с отверстиями под ними в виде жалюзей для прососа воздуха и охлаждения технического углерода.
Просос воздуха осуществляется вентилятором У6-30 со сбросом его в рукавный фильтр ФР-250 систем аспирации. Температура технического углерода на входе в бункер готовой продукция составляет не более 90°С.
Далее технический углерод подается в секционный бункер надрельсового склада, из которого выпускается в вагоны-копперы. Кроме того, предусмотрена тарная упаковка технического углерода в мешки, для чего используется упаковочный автомат. Для предотвращения пыления предусмотрена аспирация технологического и транспортного оборудования (осуществляется в рукавном фильтре ФР-250/43).
Предусмотрена пневмоуборка, для чего установлены два циклона, фильтр рукавный ФВС. Уловленный технический углерод поступает в бункер пневмоуборки и далее упаковывается в мешки.
10.2. Способы получения технического углерода и процессы, происходящие в реакторе
Промышленные способы производства технического углерода основаны на разложении углеводородов под действием высокой температуры. Образование технического углерода в одних случаях происходит в пламени горящего сырья при ограничением доступе воздуха, в других - при термическом разложении сырья в отсутствие воздуха. Некоторые виды технического углерода получают, извлекая его из продуктов синтеза различных углеводородов, например при синтезе ацетилена из метана.
Получение технического углерода сжиганием сырья при ограниченном доступе воздуха осуществляется, в основном, двумя способами.
1) Сырье ожигают в печах, снабженных горелками различного устройства. Образовавшаяся в пламени сажа в течение некоторого времени находится вместе с газообразующими продуктами процесса в зоне высокой температуры. После этого смесь технического углерода и газов охлаждают и отделяют сажу от газов в специальных аппаратах.
2) Сырье сжигают с помощью горелок с узкой щелью, установленных в металлических аппаратах. Плоское пламя горящего сырья соприкасается с движущейся металлической поверхностью. Время соприкосновения пламени с этой поверхностью незначительно. Образовавшийся на металлической поверхности технический углерод быстро удаляется из зоны сажеобразования. По обеим сторонам образование его происходит в пламени горящего сырья, т.е. процесс сводится к тому, что часть сырья сгорает, создавая нужную температуру в зоне реакции для образования технического углерода.
Широкое распространение получил способ, при котором создание необходимой температуры для разложения сырья происходит посредством сжигания другого топлива. Наиболее пригодным топливом является природный газ и получаемый при переработке нефти нефтяной пиролизный газ. Реакторы или печи для получения технического углерода имеют в таком случае две зоны. В одной из них сжигается или жидкое топливо, или газ. В потоки горящего топлива вводят нагретое или даже испаренное жидкое сырье. Во второй зоне происходит разложение сырья и образование технического углерода. При этом способе получения сажи выход продукта больше, чем при сжигании сырья, с целью получения как теплоты, так и технического углерода. Кроме того, этот способ легко управляем и позволяет получать технический углерод с самыми разными свойствами.
Термическое разложение сырья без доступа воздуха также производится различными способами. Некоторые виды технического углерода легко получают разложением газообразных или парообразных углеродов в генераторе, нагретом предварительно до высокой температуры. При этом в качестве исходного сырья используется рабочая сырьевая смесь, состоящая из нефтяного и коксохимического сырья. Для получения такой сырьевой смеси используют такие компоненты: коксохимическое сырье - продукты переработки каменноугольной смолы, высокотемпературного коксования каменных углей (антраценного масла), пековый дистиллят и нефтяное сырье - термоуголь, крекинг-газойль, зеленое масло. В качестве технологического топлива применяется природный газ. Реакция термического разложения углеводородов выражается уравнением
(10.1)
Углерод при этом выделяется в виде твердой фазы. Механизм образования частиц технического углерода следующий: под действием высокой температуры молекулы углеводородов распадаются на свободные углеводородные радикалы и атомы водорода. Взаимодействие радикалов друг с другом приводит к образованию новых радикалов и молекул термостойких соединений, которые служат основой будущих техуглеродных частиц. К ним присоединяются образующиеся в зоне реакции новые углеводородные радикалы, происходит формирование атомов углерода в кристаллические образования, а техуглеродных кристаллитов - в частицы технического углерода. При формировании техуглеродных частиц происходит их соударение, при котором они связываются между собой, образуя пространственные структуры технического углерода. На структурирование частиц оказывает влияние температура процесса, время пребывания частиц технического углерода в зоне реакции и аэродинамические условия.
Процесс производства технического углерода осуществляется в реакторах циклонного типа с активным подводом части воздуха низкого давления на обдувку сырьевой форсунки, а также в реакторах циклонного типа с противоточным движением потоков сырья и теплоносителя. Сырье в такой реактор подается через две радиально установленные пневматические форсунки, снабженные насадкой с каналом для выхода сырья, выполненным под углом 15...450
к оси форсунки. Для регулирования качества получаемого продукта реактор снабжен держателем, обеспечивающим поворот форсунки вокруг ее оси. Получение технического углерода основано, как уже указывалось,на термоокислительном разложении углеводородного сырья при недостаче кислорода в высокотемпературном потоке продукта сгорания топливного газа. Топливный газ и воздух низкого давления на горение вводятся в камеру горения через диффузионные горелки в соотношении, обеспечивающем полное сгорание топливного газа. Воздух предварительно подогревается в воздухонагревателе. Сырье в реактор подается через пневматическую форсунку. Распыл сырья производится воздухом высокого давления, который предварительно подогревается. В реакторе с большой скоростью происходят следующие процессы:
- сгорание топливного газа для получения теплоты, необходимой для термического разложения углеводородов;
- испарение капель сырья,
- частичное неполное сгорание сырья вследствие недостатка оксида углерода и паров воды;
- термическое разложение углеводородов сырья сполучением сажи и формированием сажевых частиц;
- взаимодействие между полученными техническим углеродом и газообразными продуктами процесса.
В конце реакционной зоны происходит резкое охлаждение продуктов реакции до t
=700…730 °C путем впрыскивания через механические форсунки технологической воды. Эта вода получается смешением глубокообессоленной воды с технической и конденсатом. Впрыскиванием воды достигается охлаждение реакционной смеси. Из зоны закалки продукты реакции через воздухоподогреватель поступают в коллектор техуглеродной смеси. В воздухонагревателе реакционная смесь охлаждается, нагревая воздух низкого давления, поступающий в реактор. Затем технический углерод поступает в коллектор-ороситель и бункера в отделении улавливания.
10.3. Экспериментальные данные для получения
математической модели оптимальной рецептуры сырья
В качестве сырья в сажевой промышленности используются нефтяные и коксохимические продукты. Химический состав сырья и его физико-химические свойства оказывают прямое влияние на выход и свойства печных саж. В связи с этим возникла необходимость в разработке определенных технических требований к сырью и в создании оптимальных условий применения различных видов сырья в производстве технического углерода. Смесь, используемая на Стахановском заводе технического углерода, состоит из термогазойля, коксохимических продуктов и пиролизной смолы. Необходимость применения смеси продуктов обусловливается как экономическими соображениями, так и характером влияния отдельных видов сырья на свойства и выход технического углерода. Сырье характеризуется групповым составом, индексом корреляции, коксуемостью, по значениям которых можно судить о качестве технического углерода, а также о его свойствах.
Групповой химический состав сырья - это относительное содержание в сырье парафиновых, нефтеновых, моно-, ди- и трициклических ароматических углеводородов и асфальтенов. Групповой химический состав определяют методом хроматографии.
Содержание ароматических углеводородов характеризуется показателем индекса корреляции, который приближенно определяется по эмпирической формуле
, (10.2)
где -
плотность сырья при 20 °С; T
кип
-
средняя (абсолютная) температура кипения сырья, К.
Чем выше Ик
,
тем лучше сырье. Как видно из (10.2), чем выше плотность сырья и ниже его средняя температура кипения, тем больше индекс корреляции. На заводах применяют сырье с индексом корреляции 80...160. Для получения высокодисперсных саж (ПМ-I00) необходимо применять сырье с коэффициентом ароматизированности не менее 200 и индексом корреляции более 120. Коксуемость сырья должна быть в допустимых технологией пределах, так как экспериментально установлено, что при увеличении коксуемости сырья содержание графита в саже увеличивается, усиливающие свойства ее снижаются.
Таким образом, применяя сырьевую смесь определенного количественного состава, можно добиться некоторого оптимального сочетания параметров этой смеси (а именно, минимальную ее себестоимость), которое обеспечит максимальный выход cажи с требуемыми свойствами. В связи с этим возникла проблема, требующая решения: описать математически зависимость качественных показателей сырья, индекса корреляции и коксуемости от количественного состава отдельных компонентов сырья (термогазойля, коксохимических продуктов и пиролизной смолы), а также найти некоторое оптимальное сочетание этих компонентов, которое обеспечит эффективность процесса производства технического углерода.
При математическом подходе к решению подобной задачи сырьевая смесь рассматривается как изучаемый объект, который характеризуется большим числом взаимосвязанных параметров. Задача оптимизации заключается в том, чтобы установить некоторую зависимость между входными параметрами-факторами, которыми являются процентные соотношения отдельных компонентов сырья и выходными параметрами - показателями качества сырьевой смеси, которыми являются индекс корреляции и коксуемость. Для оптимального выбора состава систем с многими компонентами эта задача идентификации решается с помощью экспериментально-статистических методов, в качестве которых используются математическое планирование эксперимента, которое заключается в выборе необходимых условий проведения опытов, их количества, необходимого для того, чтобы решить данную задачу с достаточной степенью значимости, а также способы математической обработки результатов опытов и сопоставление полученных результатов с экспертными. В соответствии с этим планом на Стахановском заводе технического углерода проводилось три серии опытов, количество опытов в каждой серии 14, достаточное для математического описания результатов эксперимента.
Варьируя процентным соотношением компонентов сырья от 0 до 100% можно измерить лабораторным методом показатели качества сырья (индекс корреляции для каждого опыта данной серии).
В табл. 10.1 приведена матрица экспериментов, в которую занесены три серии опытов, проведенные на Стахановском заводе технического углерода. В качестве параметра был принят индекс корреляции.
| Номер опыта
|
Термо-газойяь
|
Коксохимические продукты
|
Пbроли-
зная смола
|
ИК
Ic
|
ИК
IIc
|
ИК
IIIc
|
Средняя оценка
ИК
|
| 1
|
100
|
-
|
-
|
92.31
|
101.73
|
100.43
|
98.15
|
| 2
|
-
|
100
|
-
|
147.23
|
143.89
|
152.85
|
147.99
|
| 3
|
-
|
-
|
100
|
132.3
|
124.27
|
127.75
|
128.10
|
| 4
|
50
|
50
|
-
|
120.11
|
120.55
|
124.34
|
121.66
|
| 5
|
50
|
-
|
50
|
112.63
|
113.99
|
110.63
|
112.41
|
| 6
|
-
|
50
|
50
|
144.16
|
114.67
|
135.64
|
137.32
|
| 7
|
50
|
30
|
20
|
111.77
|
114.67
|
118.50
|
114.98
|
| 8
|
60
|
20
|
20
|
111.77
|
112.60
|
116.38
|
113.58
|
| 9
|
70
|
20
|
10
|
102.07
|
111.41
|
108.81
|
107.43
|
| 10
|
70
|
10
|
20
|
99.45
|
92,89
|
111.61
|
103.66
|
| 11
|
80
|
10
|
10
|
99.01
|
103.20
|
103.13
|
104.11
|
| 12
|
40
|
40
|
20
|
121.08
|
146.12
|
115.37
|
117.52
|
| 13
|
40
|
50
|
10
|
120.78
|
118.27
|
116.23
|
118.42
|
| 14
|
40
|
30
|
30
|
116.57
|
119.91
|
119.73
|
119.82
|
11. АСУТП ПРОИЗВОДСТВА ВИНИЛХЛОРИДА
Технологический процесс получения винилхлорида методом гидрохлорирования ацетилена [18] состоит из следующих стадий:
- осушка ацетилена,
- гидрохлорирование ацетилена,
- промывка реакционного газа,
- осушка реакционного газа,
- конденсация и ректификация винилхлорида.
Ацетилен проходит последовательно четыре осушителя, заполненных твердым едким калием, поступает на гидрохлорирование ацетилена в присуствии катализатора - хлорной ртути, нанесенной на активированный уголь.Содержание сулемы в активированном (свежеприготовленном) угле 10%.
Основной химический процесс [19] протекает согласно реакции
(11.1)
При наличии влаги в газах, вступающих в реакцию, может образовываться ацетальдегид по реакции Кучерова:
(11.2)
Вторая побочная реакция - образование дихлорэтанов:
(11.3)
или
(11.4)
Реакция (11.1) экзотермична, на 1моль ацетилена, вступающего в реакцию, выделяется, по различным источникам, 26...29,6 ккал/г-моль теплоты. Полученный реакционный газ содержит до 90%
винилхлорида, до 3%
ацетилена, десятые доли процента ацетальдегида и дихлорэтана, избыточный хлористый водород, а также азот и водород (так называемые инерты).
Затем реакционный газ проходит кислотную и щелочную промывку и осушители, заполненные твердым едким кали. После этого реакционный газ конденсируется и направляется на ректификацию.
Процесс ректификации заключается в отделении высококипящих компонентов (1-2 дихлорэтана) от винилхлорида в ректификационной колонне, кубовыми остатками в которой являются дихлорэтан, ацетальдегид, частично винилхлорид. Отделение винилхлорида от легкокипящих компонентов осуществляется во второй ректификационной колонне. После отделения ния ацетилена винилхлорид охлаждается до температуры -25 0
С и собирается в емкость.
Абгазы ректификации, содержащие в себе винилхлорид, ацетилен, азот и водород, поступают на очистку в абсорбционную колонну с последующей отпаркой винилхлорида и дихлоретана в отпарной колонне.
В производстве винилхлорида стадия гидрохлорировавия является определяющей, так как от правильности ведения процесса зависят производительность цеха и себестоимость продукта (на отделение гидрохлорирования приходится 97% цеховых расходов на сырье). Отделение ректификации определяет, в основном, чистоту продукта и влияет за производительность уже с точки зрения потерь при очистке. Отделение гидрохлорирования ацетилена получает ацетилен из отделения осушки. Он поступает в огнепреградитель, заполненный стальными кольцами, а оттуда - в смеситель 1 (рис. 11.1), где должен смешиваться в заданном соотношении с хлористым водородом, поступающим из цеха синтеза хлористого водорода. Смеситель представляет собой цилиндрический аппарат с коническим днищем, зеполненный керамическими кольцами и активированным углем. В верхней части аппарата установлена предохранительная мембрана с защитным колпаком. Из смесителя рабочая смесь ацетилена и хлористого водорода поступает через гребенку в верхнюю часть реактора. По нормам технологического режима температура в смесителе не должна превышать 50 °С. Повышение температуры свидетельствует о "проскоке" хлора в хлористом водороде поступающем в реакторы.

Рис.11.1
Реактор гидрохлорированин ацетилена представляет собой стальной кожухотрубный теплообменник 2 (см. рис. 11.1). В трубном пространстве находится катализатор, по межтрубному пространству циркулирует трансформаторное масло марки "М", которое из циркуляционных емкостей центробежным насосом 3 подается в циркуляционную систему реактор-теплообменник 5 и возвращается в циркуляционную емкость. Нижняя часть реактора футерована кислотоупорной плиткой на подслое свинца во избежание коррозии аппарата от соляной кислоты, которая выделяется при пуске аппарата и заполнена тремя слоями керамических колец. Выше колец насыпается активированный уголь без катализатора. Этим же углем засыпают верхние и нижние концы трубок во избежание реакции в неохлаждаемых участках трубок.
Порядок пуска реактора (по регламенту) следующий. Сначала реактор разогревается подогретым маслом до температуры 95-100 0
С. Масло подогревается в циркуляционных емкостях о помощью решаферов до 180 0
С и центробежным насосом подается в межтрубное пространство реактора. Одновременно производится продувка аппарата азотом до объемного содержания кислорода в системе не выше 3%,
а затем подается хлористый водород начиная с расхода 10...20 м3
/ч. Так как в катализаторе имеется остаточная влажность, в режиме пуска образуется соляная кислота, которая стекает в нижнюю часть аппарата и периодически сбрасывается в канализацию. После пропускания 600 м3
хлористого водорода подача хлористого водорода снижается до 15 м3
/
ч и начинается подача ацетилена в заданном соотношении. Одновременно с началом подачи ацетилена прекращается обогрев аппарата и начинается охлаждение масла в теплообменнике 5.
Расход ацетилена вначале составляет 10 м3
/ч, затем подача ацетилена в течение 14...18 суток увеличивается на 5...I0 м3
/сут до достижения скорости подачи ацетилена 110 м3
/ч.
Подача хлористого водорода увеличивается соответственно с 15 до 121 м3
/ч . Обогрев реактора прекращается по достижении температуры в зоне реакции 110...120 0
С, затем начинается его охлаждение. Температура в зоне реакции должна поддерживаться в пределах 150...180 °С. Экспериментальные исследования процесса показали следующее распределение температуры по длине реактора (рис. 11.2), что требует рассматривать реактор как объект о распределенной температурой [20] . .

Рис.11.2
Основные требования к автоматизации реакторов гидрохлорирования ацетилена.
1. Поддержание заданного молярного соотношения хлористый водород - ацетилен.
2. Поддержание заданной температуры холодильника (масляной бани реактора).
3. Поддержание значения температуры горячей точки реактора не выше допустимого предела.
4. Автоматизация пуска реактора (разгонка).
5. Блокировка реактора на случай проскока хлора.
6. Блокировка реактора на случай падения давления в коллекторе хлористого водорода.
7. В связи с особенностями работы цехов электрогаза и синтеза хлористого водорода объемная концентрация в коллекторе хлористого водорода может колебаться от 96 до 82%, что вызывает колебания молярного соотношения при неизменном объемном. Необходимо отметить, что объемная концентрация ацетилена стабилизирована в достаточной степени (99.2 0.1%) благодаря газгольдеру в технологической линии.
При заданной нагрузке реактора по ацетилену для поддержания определенного молярного соотношения при переменной концентрации НСl
необходимо регулировать расход хлористого водорода таким образом, чтобы молярное cоотношение было равно оптимальному.
Поскольку нагрузка реактора определяется расходом ацетилена (хлористый водород на предприятии всегда в избытке) и концентрация поступающего ацетилена практически не изменяется, целесообразно поток ацетилена считать ведущим, а поток хлористого водорода - ведомым. Если принять ведущим поток хлористого водорода, то компенсация изменения концентрации хлористого водорода будет влиять на изменение расхода ацетилена, что недопустимо, так как приведет к изменению нагрузки реактора, мешая выводу аппарата на стабильный режим.
При выборе схемы регулирования температуры масляной бани реактора необходимо учитывать, что во избежание коксования масла расход масла через охлаждающую рубашку реактора целесообразно поддерживать максимально возможным. При этом необходимо уменьшить влияние тепловой емкости холодильника на качество регулирования температуры масла. Этому требованию наилучшим обрезом соответствует каскадная схема регулирования температуры масла.
Активность катализатора резко снижается о повышением температуры тепловой зоны реакции в связи с разрушением каталитического комплекса. Сохранение катализатора от перегревания - самостоятельная задача системы автоматического регулирования процесса.
Пуск реактора, в ходе которого катализатор подготавливается к работе и частично дезактивируется, является сложной и ответственной операцией, определяющей в значительной степени и цикл работы реактора (цикл – время работы ректора между перегрузками катализатора).
При пуске реактора нагрузка должна повышаться постепенно таким образом, чтобы температура в тепловой зоне реакции не превышала 170...180°C.
В процессе пуска тепловая зона реакции расширяется, уходит вниз, обеспечивая нормальный отвод теплоты из зоны реакции.
Для перевода пуска реактора с ручного на автоматический целесообразно регулировать нагрузку реактора по температуре в тепловой зоне реакции до выхода на нормальный технологический режим по нагрузке.
12. АСУТП ЭМУЛЬСИОННОЙ ПОЛИМЕРИЗАЦИИ ВИНИЛХЛОРИДА
Процесс эмульсионной полимеризации винилхлорида происходит в полом вертикальном цилиндрическом реакторе с лопастной мешалкой и трехсекционной рубашкой для съема теплоты реакции [25]. В реактор поступают в заданном соотношении жидкий винилхлорид, эмульсионная вода и растворенный в ней инициатор (персульфат аммония).Теплота отводится охлаждающей водой, температура которой регулируется впрыскиванием охлаженной до 5…7 °С воды в контур циркуляции.
Готовый продукт (латекс поливинилхлорида) отбирается непрерывно с низа реактора. Степень конверсии винилхлорида (степень полноты реакции полимеризации) обычно составляет 90...96% и зависит от температуры реакции и наличия ингибирующих примесей в эмульгаторе и мономере.
Процесс полимеризации винилхлорида в общем виде
(12.1)
где n -
степень полимеризации, характеризующая молекулярный вес поливинилхлорида; qp
- теплота, выделяемая в результате реакции полимеризации.
Уравнение скорости химической реакции ,
т.е. скорость химической реакции не зависит от концентрации винилхлорида (порядок реакции нулевой), так как мономер в избытке находится в зоне реакции. Числовые значения коэффициентов уравнения приведены в [23, с. 56] .
Получаемый в результате реакции полимеризации поливинилхлорид в зависимости от конъюнктурных требований выпускается в нескольких модификациях, соответствующих определенным маркам смол. Поливинилхгоридные смолы различных марок отличаются средним молекулярным весом и некоторыми другими качественными показателями (пастообразуемостью, аэрируемостью, взаимодействием с пластификаторами).
Средний молекулярный вес поливинилхлорида определяется косвенно через константу Фикентшера К
,
характеризующую вязкость поливинилхлорида, растворенного в циклогексаноне.Получение поливинилхлорида различных марок достигается поддержанием различных расходов винилхлорида и инициатора, а также температуры реакции.
Отечественная промышленность выпускает такие марки поливинил-хлорида: Л-4 ( К =
65 - 70); Л-5 ( К = 60 - 65); Л
-25 пасто-образующая ( К
=61-62); Л-6; Л
-7; Л
-8 ( К
= 56 - 60). Они получаются соответственно при температуре реакции tЛ4
=
52...54 0
С,
tЛ5
=54...56 0
C, tЛ6
= 56...58 0
С, tЛ7,8
= 56...60 °С.
Для получения поливинилхлорида заданного качества необходимо контролировать значение константы Фикентшера и управлять процессом полимеризации так, чтобы она не выходила за заданные пределы.
В процессе работы реактора на его внутренних стенках постепенно откладывается слой поливинилхлорида, ухудшающий условия съема реакционного тепла охлаждающей водой. При этом увеличивается инерционность регулирования температуры реактора и уменьшается чувствительность датчика температуры, вследствие чего ухудшается устойчивость существующей системы регулирования температуры реакции. Характер и диапазон изменения динамических свойств реактора в процессе работы приведены в [24, с. 29].
На основании экспериментальных данных [21], полученных в результате статистического обследования реактора эмульсионной полимеризации винилхлорида, рассчитаны уравнения парной регрессии

Уравнение множественной регрессии, связывающее зависимость степени конверсии винилхлорида А
и качества поливинилхлорида К
от основных технологических параметров (расходов винилхлорида и инициатора, температуры и давления в реакторе) определены в виде линейных уравнений множественной регрессии:

где K
- константа Фикентшера; A
- степень конверсии винилхлорида, %;
Gвх
-
расход винилхлорида, л/ч; tp
- температура в реакторе, 0
С; Gин
-
расход инициатора, г/ч; Pp
- давление в реакторе, кгс/см2
.
Задача системы автоматического управления процессом полимеризации винилхлорида - поддержание оптимальной производительности реактора при заданном качестве выпускаемого продукта. Производительность реактора можно повысить либо увеличением нагрузки, либо увеличением степени конверсии винилхлорида. Однако повышение нагрузки реактора ограничено возможностью съема реакционной теплоты охлаждающей водой, а повышение степени конверсии связано с необходимостью увеличения температуры реакции или концентрации инициатора в эмульсионной воде, что может привести к получению поливинилхлорида с более низким молекулярным весом (т.е. другой марки).
Требования к поддержанию стабильной однородности качественного состава поливинилхлорида (среднего молекулярного веса поливинилхлорида) сводится к точности регулирования заданных концентраций инициатора в эмульсионной воде и температуры реакции.
Исходя из этого управление процессом полимеризации осуществляется варьированием нагрузки реактора в зависимости от изменения условий съема реакционного тепла, расчетом оптимального температурного режима процесса при изменяющихся текущих значениях расходов винилхлорида, эмульсионной воды и концентрации инициатора и строгим поддержанием рассчитанной оптимальной температуры реакции [26 ].
13. АСУТП ПРОИЗВОДСТВА ЛИСТОВОГО СТЕКЛА
Современное стекольное производство представляет собой сложный комплекс разнородных структурных единиц, объединенных c целью переработки сырья в стеклянные изделия.
Технологическая схема производства листовых стеков включает в себя следующие операции:
- приготовление шихты,
- варка стекла в ванной печи непрерывного действия,
- формирование листового стекла и его обжиг в машинах вертикального вытягивания стекла.
Подробное описание стадий стекловарения, конструкции печей и машин вертикального вытягивания стекла, физико-химических свойств материалов приведены в [28 ; 29].
В цехе приготовления шихты из сырьевых материалов для производства стекла составляется в заданной пропорции смесь, называемая шихтой. Подготовка сырьевых материалов и тщательное смешивание их в однородную шихту обусловливают качество сваренной стекломассы. На однородность шихты влияют размеры частиц сырьевых материалов, влажность, постоянство химического состава сырьевых материалов, способ и продолжительность перемешивания, транспортирование, хранение и загрузка готовой шихты в печь.
Основным агрегатом для получения стекломасcы является ванная регенеративная печь непрерывного действия [28, рис. 100, c. 204-2I6].
На стекольных заводах применяют два вида непрерывной загрузки шихты в ванные печи: шнековую (за рубжом) и тонкослойную. Тонкослойная загрузка шихты создает над поверхностью стекломассы слой шихты толщиной не более 30 мм. Достигается это тем, что в один пункт питания подается в минуту не более 6 кг шихты.
Для тонкослойной подачи шихты питатели устанавливаются с торцевой стороны и между первой и второй парами горелок.
При питании печей шихтой необходимо соблюдать следующие условия:
- загружать шихту не сплошной пеленой, а отдельными чередующимися полосами, оставляющими часть зеркала варочной части печи открытой;
- слой шихты таких полос должен быть минимальным, исключающим его погружение в расплавленную стекломассу.
Для предотвращения пыления и заноса регенераторов шихтой и ее расслаивания, для ускорения процесса стекловарения и улучшения качества стекла шихта должна быть пылевидной, сбрикетированной в таблетки или в гранулы массой в несколько граммов и подаваться непосредственно в зону максимальных температур.
Варка стекла, в основном, осуществляется в ванных пламенных печах. Отапливаются печи газообразным или жидким топливом с помощью горелок с поперечным пламенем [28, с. 213, 214]. В печах различают зоны варки и осветления (варочная часть и зоны студки) и выработки (выработочная часть). Направление движения газов поперечное, оно определяется условиями сжигания топлива и регулирования нагрева шихты и стекломассы. Разделение между варочной и выработочной частями по газовой среде осуществляется экранами, основаниями которых служат снижение арки. Разделение в области газового пространства имеет целью регулирование теплообмена между частями печи. Разделение между выработочной и варочной частями по стекломассе выполняется разделительной стенкой [28, рис. 100].
В непрерывно действующей ванной печи отдельные стадии процесса стекловарения следуют в определенной последовательности по длине печи. Процесс стекловарения состоит из пяти стадий. В периодических печах стадии протекают последовательно во времени. В непрерывно действующей ванной печи отдельные стадии процесса стекловарения следуют в определенной последовательности по длине печи.
Силикатообразование.
Характеризуется тем, что к концу ее основные химические реакции в твердом состоянии между компонентами шихты закончены, в шихте не остается отдельных составляющих ее компонентов (песка, соды, сульфата, мела и пр.). большинство газообразных веществ из шихты улетучивается. В результате после завершения химических реакций в шихте образуются силикаты натрия, кальция, сложные силикаты; происходит расщепление гидратов, диссоциация карбонатов, сульфатов и нитратов. Количество улетучивающихся газов увеличивается с повышением температуры. Температурный режим стадии 800...900 °С. Описание химических реакций силикатообразования приведены в [28, с. 72-87] .
Cтеклообразование.
Продолжается процесс выделения газообразной среды. Температура повышается до 1150-I200 0
С. В результате повышения температуры увеличивается подвижность атомов и молекул, резко возрастает скорость диффузионных процессов и скорость растворения кремнезема и силикатов.
Благодаря диффузионным процессам, протекавшим в расплаве, выравниваются концентрации растворов силикатов на различных участках, образуется относительно однородная стекломасса. Однако она пронизана не полностью выделенными газовыми включениями и свилями (неоднородностями).
Дегазация
(осветление). Эта стадия характеризуется тем, что к ее концу стекломасса освобождается от видимых газовых включений. Устанавливается равновесное состояние между стекломассой (жидкой фазой) и газами, остающимися в самой стекломассе (газовая фаза). Этот этап завершается при 1400...1500 °С.
Гомогенизация.
Характеризуется тем, что к ее концу стекломасса освобождается от свилей и становится однородной.
Стадии дегазации (осветления) и гомогенизации тесно взаимосвязаны и являются наиболее ответственными и сложными. От степени завершенности этих стадий зависят качество стекломассы и ее пригодность для выработки стеклянных изделий. Процессу гомогенизации содействует процесс дегазации тем, что пузырь при подъеме наталкивается на свилистые слои и растягивает их в нити. Свили становятся все тоньше. Это облегчает процесс гомогенизации.
Указанные стадии происходят в варочной части печи.
Студка, или охлаждение.
Характеризуется тем, что температура стекломассы снижается на 200...300 0
С с целью создания необходимой рабочей вязкости для формирования изделий. Студка - подготовительная операция к выработке стекломассы.
Необходимо, чтобы температура во время студки непрерывно понижалась, так как продолжительное выдерживание стекломассы при температуре выработки может привести к частичной ее кристаллизации, что неминуемо может повысить брак вырабатываемых изделий.
Студка происходит в выработочной части печи.
Каждая из пяти перечисленных стадий процесса стекловарения имеет свои особенности, и для проведения каждой из них существуют свои оптимальные условия.
Непрерывность процесса стекловарения позволяет установить стабильный температурный режим и газовый, который должен постоянно выдерживаться без отклонений.
Также обязательно постоянство режима и условий эксплуатации. Ванная печь чрезвычайно чувствительна ко всякому отклонению от установленного режима.
Режим питания печи шихтой и боем должен находиться в соответствии с расходом стекломассы на выработку изделий. Часовая подача шихты и боя в печь должна точно соответствовать часовому съему стекломассы, чтобы избежать колебаний уровня стекломассы, которые изменяют условия подачи стекломассы к стеклодельным машинам и нарушают установившийся режим работы машин.
Соотношение шихты и боя должно быть постоянным. Принятый для печи температурный режим должен строго соблюдаться. Для сохранения стабильности режима варки стекла важно постоянство газовой среды печного пространства. В горелках ванных печей с поперечным пламенем газ вводят через трубки, расположение по бокам каждой горелки. Для сжигания топлива (газа) к нему примешивают воздух.
Воздух подается в горелки под значительным давлением или засасывается газообразным топливом, что создает возможность хорошего регулирования соотношения “газ – воздух” и полного сжигания газа при малых избытках воздуха.
Принцип формирования ленты стекла при "лодочном" способе заключается в следующем. В охлажденную до температуры выработки (1000 °С) стекломассу погружают шамотное тело, называемое “лодочкой” [28, рис, 73, с. 152]. Лодочка имеет вид открытой сверху прямоугольной, длинной и узкой коробки, в дне которой прорезана продольная щель. Края щели внутри лодочки круто загибаются кверху. В нерабочем состоянии лодочка свободно плавает в стекломассе. Если насильно погрузить лодочку в стекломассу на достаточную глубину, то вследствие образовавшейся разности уровней стекломасса будет выдавливаться вверх через щель. Поступающая через щель стекломасса оттягивается кверху с помощью асбестовых валиков машины вертикального вытягивания в форме ленты, затвердевающей под воздействием водяных холодильников [28, с. 318-325]. За время движения от щели лодочки до транспортирующих валиков поверхность отформованной ленты должна быть охлаждена настолько, чтобы прикосновение к ней валиков не вызывало заметной деформации.
В процессе формирования устанавливается соответствие между количеством стекломассы, оттягиваемой в виде ленты валиками машины, и количеством стекломассы, которая притекает через щель глубинных слоев за счет создающегося при заглублении лодочки гидростатического напора.
Вытягиваниа ленты стекла лодочным способом осуществляется в специальных подмашинных камерах, сообщающихся с ванной печью.
В процессе подъема лента одновременно отжигается в шахтах машин вертикального вытягивания. Вытягивание стекла - непрерывный процесс. От выходящего из верхней части машины конца ленты отрезают листы нужного размера, и процесс продолжается до тех пор, пока не потребуется ремонт установки (чаще всего смена лодочки).
14. АСУТП ПЕРВИЧНОЙ ПЕРЕГОНКИ НЕФТИ
Процесс первичной перегонки нефти (ППН) заключается в выделении потенциально сохраняющихся в ней так называемых светлых нефтепродуктов (бензина, лигроина, дизельного топлива) с получением мазута в остатке. Процесс ППН осуществляется на установках AT (атмосферных трубчатых) или АВТ (атмосферно-вакуумных трубчатых), являющихся типовыми технологическими установками современных нефтеперерабатывающих заводов [31].
Основным аппаратом установок AT и АВТ [31, схемы 3 и 6, с. 10, 13] является ректификационная колонна, в которой частично отбензиненная нефть разделяется на бензин (Б), лигроин (Л), дизельное топливо (ДТ) и мазут (М).
Функционально ректификационная колонна представляет собой систему трех последовательно соединенных простых колонн. Сечением ввода сырьевой смеси каждая простая колонна разделяется на две части: верхнюю (укрепляющую) и нижнюю (исчерпывающую). На первую колонну, в которую поступает частично отбензиненная нефть, наращивают укрепляющие секции остальных колонн, а их исчерпывающие секции (скриптинги) выносят отдельно.
Предварительно подогретая частично отбензиненная нефть при температуре
Tp
= 350...370 °С двумя потоками с расходом F =
1150 м3
/ч
подается в колонну, где смесь разделяется на мазут и сумму светлых нефтепродуктов. Происходит пространственное распределение по высоте колонны фракций углеводородов, содержащихся в исходной нефти.
При этом отборы дизельного топлива 280 м3
/ч и лигроина 150 м3
/ч осуществляются из стриптингов. Отбор мазута производится двумя потоками 240 и 430 м3
/ч из нижней части колонны; отбор бензина - с верха колонны 70 м3
/ч.
С целью расширения возможности управления качеством получаемых продуктов в колонне организуются дополнительные потоки. Для испарения низкокипящих компонентов в нижнюю часть колонны и стриптинги подаются потоки G
0
,
G
1
,
G
2
перегретого водяного пара с tn
= 360 0
С, G
0
10
т/ч, G
1
200 кг/ч, G
2
600 кг/ч.
Для создания встречного парожидкостного потока организуется острое орошение. На выходе из верхней части колонны пары с температурой tв
109 °С поступают в теплообменник и конденсируются в емкости. Часть образовавшейся жидкости отводится в виде бензина, другая часть в виде потока S
0
острого орошения (равного 65......70 м3
/ч) возвращается в верхнюю часть колонны. Потоки S1
верхнего циркуляционного орошения (ВЦО) и нижнего - НЦО S2
создают жидкостные потоки в местах отборе дизельного топлива и лигроина путем откачки части флегмы из колонны. Для ВЦО откачанная флегма с 130 °С охлаждается в теплообтленнике до 70 0
С и возвращается в колонну потоком 690 м3
/ч. Для НЦО предварительно имеющая температуру 0
С флегма охлажлается до 0
С и потоком 450…455м3
/ч возвращается в колонну. Качество получаемых нефтепродуктов нормируется государственными стандартами и нормативными документами. Среди нормируемых показателей основными являются показатели для дизельного топлива и для лигроина [ 32 ] .
Физически величины и представляют собой температуры
кипения смесей, остающихся после испарении 90% и 70% взятых проб
соответствующих нефтепродуктов на стандартных испарительных аппаратах.
Показатели и качества продуктов будем считать
выходными координатами.
В качестве управляющих координат рассмотрим величины W1
и W2
отборов дизельного топлива и лигроина, расходов потоков острого орошения S0
,
верхнего S1
и нижнего S2
циркуляционных орошений и температуру нефти tF
.
К возмущающим относятся паровые потоки G0
,
G1
,
G2
,
количество нефти F,
поступающее в колонну, ее состав.
Экспериментальные данные приведены в табл. 14.1. 
Окончание табл. 14.1

СПИСОК ЛИТЕРАТУРЫ
1. Сидельниковский Л.Н., Юренев В.Н. Котельные установки промышленных предприятий. -М.: Энергоатомиздат, 1988. - 527 с.
2. Елизаров П.П. Эксплуатация котельных установок высокого давления на электростанциях. - М.;Л.: Гос. энер. изд-во. 1961.- 400 с.
3. Герасимов С.Г., Дудников В.Г.. Чистяков О.Ф. Автоматическое регулирование котельных установок. - М.;Л.: Гос. энерг. кзд-во, 1950. - 424 с.
4. Автоматизация энергетических блоков /В.Д.Пивень, В.К.Богданов. Э.И.Ганжерли и др. - М.;Д.: Энергия, 1965 - 351 с.
5. Автоматизированные системы управления технологическими процессами электростанций: Сб. науч.трудов. - М.: 1984, - 169 с.
6. Проектирование систем контроля и автоматического регулирования металлургических процессов /Поп ред. Г.И.Глинкова. - М.: Металлургия, 1986. - 352 с.
7. Глинков Г.М., Маковский В.А., Лотман С.Л. Проектирование систем контроля и автоматического регулирования металлургических процессов. - М.: Металлургия, 1970. - 412 с.
7.1. Глинков Г.М., Клинивицкий М.А., Теоретические основы автоматического управления металлургическими процессами. 1985
7.2. Глинков Г.М., Контроль и автоматизация металлургических процессов 1986.
8. Ряузов А.Н. и др. Технология производства химических волокон: Учебник для техникумов. - М.; Химия. 1980. - 448 с.
9. Роговин З.А. Основы химии и технологии химических вогокон. -T.I. - М.: Химия, 1974. - 518 с.
10. Автоматизация процесса ксантогенирования /А.В.Тарасевко. -Дисс . канд. техн. наук. -К., 1975.
11. Смирнов А.А. Основы автоматизации и контрольно-измерительные приборы целлюлозно-бумажной промышленности. - М.: Лес. пром-сть, 1967. - 256 с.
12. Смирнов А.А. Основы автоматизации целлюлозно-бумажного и лесохимического производств . - М.: Лесн. пром-сть. 1983. - 359 с.
13. Корда И., Либнар З., Прокоп И. Размол бумажной массы. - М.: Лес. пром-сть, 1967. - 470 с.
14. Буйлов Г.П., Доронин В.А. Автоматическое управление технологическими процессами целлюлозно-бумажного производства. - М.: Лес. пром-сть. 1967. - 256 с.
15. Несмеянов А.Н., Несмеянов Н.А. Начало органической химии:
В 2-х кн. - Кн.1. - М.: Химия. 1984.
16. Разработка и внедрение САУ сажевым реактором: Каталог научных отчетов, 1984.
17. Масленников И.М. Практикум по автоматике и системам управления производственными процессами. - М.: Химия, 1986. - 334 с.
18. Касаткин А.Г. Основные процессы и аппараты химической технологии. - М.: Химия. 1973. - 752 с.
19. Исследования в области парофазных каталитических превращений ацетилена, кинетика и катализ /А.И.Гельбштейн и др. - Т.4, №1.2.4.-М., 1963.
20. Горюшко В.Е., Трачук С.В., Iвицька Т.А. Методика дослiдження реактора гiдрохлорування ацетилену як об"екта регулювання //Хiмiчна промисловiсть. - № I. - 1965.
21. Мекинян Ю.Г., Захарченко В.В. Исследование процесса эмульсионной полимеризации винилхлорида методами корреляционного анализа //Химическая промышленность Украины. - №4. - 1966.
22. Исследование процесса перемешивания в реакторе эмульсионной полимеризации винилхлорида /А. 3. Грищенко, Ю.Г.Мекинян, С.Г.Степанян, В.В.Шестопалов /Химическая промышленность Украины. - №3. - 1968.
22.1 Разработка и исследования системы автоматического регулирования процесса эмульсионной полимеризации винилхлорида (Ю.Г. Мекинян-Дисс. канд. техн. наук, К, 1968)
23. Зла тина С.А., Мекинян Ю.Г. Определение макрокинетических характеристик процесса эмульсионной полимеризации винилхлорида //Химическая промышленность Украины. - №2. - 1967.
24. Автоматическое регулирование температуры реактора эмульсионной полимеризации винилхлорида /А.З.Грищенко, Ю.Г.Мекинян. В.Л.Миронов, В.И.Бобошко //Химическая промышленность Украины. -
№ I. -
1968.
25. Система автоматического управления процессом эмульсионной полимеризации винилхлорида. Механизация и автоматизация управления / А.3.Грищенко, Ю.Г.Мекинян, В.Л.Миронов и др. /Химическая промышленность Украины. - № 4. - 1968.
26. Мекинян Ю.Г., Миронов В.Л., Фудим Б.В. Пневматическое вычислительное устройство для определения оптимального температурного режима процесса эмульсионной полимеризации винилхлорида //Механизация и автоматизация управления. - № 5. - 1968.
27. Система автоматического регулирования температурного режима процесса эмульсионной полимеризации винилхлорида при использовании регулятора с переменной структурой/А.3.Грищенко, Ю.Г.Мекинян, Л.И.Талалай, В.И.Бобошко //Механизация и автоматизация управления. - № 2. -1968.
28. Китайгородский И.И. Технология стекла. - М.: Стройиздат, 1967. - 564 с.
29. Справочник по производству стекла /Под ред. И.И.Китайгородского. - T.I. П. - М.: Госстройиздат. 1963.
30. Автоматическое весовое дозирование на аглофабриках цветной металлургии с применением средств вычислительной техники /М.В.Гегешидзе, Е.Б.Карпин и др. - М.: ЦНИИТЭИ, 1970, 21 с.
31. Смидович Е.В. Технология переработки нефти и газа. - Ч.1. - М.: Химия. 1980. - 328 с.
32. Смидович Е.В. Практикум по технологии переработки нефти. Ч.
1. - М.: Химия. 1978. - 285 с.
|