| Задание на курсовой проект «Установка для производства ацетилена окислительным пиролизом метана».
Выбрать и обосновать конструкцию реактора окислительного пиролиза метана в ацетилен, технологию очистки реакционного газа и выделения из него ацетилена. Разработать технологическую схему производства 1200 кг/ч ацетилена. Составить материальный баланс производства при конверсии метана 91,5% и селективности по ацетилену 29,6%. Объемное соотношение метана и кислорода в исходном газе 1:0,6. Степень конверсии кислорода 99,0%.
Рассчитать геометрические размеры реакционной камеры реактора при скорости газа 180 м/с, температуре 1450ºС и давлении 0,11 мПа. Время реакции 0,005 с. Коэффициент увеличения объема реакционного газа в результате пиролиза 1,4.
Рассчитать тепловые нагрузки трубчатых печей для нагрева исходных газов.
Графическая часть: технологическая схема и чертеж реактора окислительного пиролиза метана.
Реферат.
В курсовом проекте рассмотрены методы получения ацетилена. Выбран метод получения ацетилена окислительным пиролизом метана. Разработана технологическая схема производства, описана технрлогия очистки реакционного газа и выделения из него ацетилена
Курсовой проект изложен на 30 страницах, содержит 3 рисунка, 3 таблицы.
Использовано 5 литературных источников.
Графическая часть изображена на 2 листах.
Содержание.
Задание
Реферат
Введение
1. Литературный обзор
1.1 Методы получения
1.2 Выбор конструкции реактора
2. Физико-химические основы процесса и веществ. Химическая схема, механизм реакции.
3. Техническая схема
4. Расчетная часть
4.1 Материальный баланс
4.2 Тепловой баланс
4.3 Расчет аппарата
4.4 Расчет трубчатой печи
5. Графическая часть
6. Выводы
7. Библиографический список
Введение.
Промышленность органического синтеза базируется на переработке таких видов ископаемого сырья, как нефть и природный газ. В процессах их физического разделения, термического или каталитического расщепления (крекинг, пиролиз, конверсия и т.д.) получают пять главных групп исходных веществ для синтеза многих тысяч других соединений. Одним из этих веществ и является ацетилен.
В начале XX века ацетилен использовали как горючий газ для освещения (уличные фонари, автомобильные фары, маяки), для сварки и резки металлов и для получения различных сортов сажи. Вместе с тем появление доступного ацетилена дало начало промышленному органическому синтезу, который развивался в первой половине века главным образом на основе ацетилена как углехимический синтез . Первыми промышленными продуктами были тетрахлорэтан, ацетальдегид, уксусная кислота, ацетон, этиловый спирт. Затем были разработаны методы получения таких важнейших мономеров, как изопрен, винилхлорид, винилацетат, акрилонитрил, хлоропрен и акрилаты. Возникновение промышленной химии ацетилена связано с именами М.Г. Кучерова, А.Е. Фаворского, Ф. Клаттэ, Ю. Ньюленда, У. Карозерса, В. Реппе, А.Л. Клебанского и многих других исследователей. За последние годы ацетилен находит все более широкое применение как исходное сырье при производстве различных химических продуктов: мономеров для хлоропренового каучука, некоторых пластических масс (поливинилхлорида, поливинилацетата), химических волокон, а также растворителей (трихлорэтилена, перхлорэтилена), ацетальдегида и др.
Забиваем Сайты В ТОП КУВАЛДОЙ - Уникальные возможности от SeoHammer
Каждая ссылка анализируется по трем пакетам оценки: SEO, Трафик и SMM.
SeoHammer делает продвижение сайта прозрачным и простым занятием.
Ссылки, вечные ссылки, статьи, упоминания, пресс-релизы - используйте по максимуму потенциал SeoHammer для продвижения вашего сайта.
Что умеет делать SeoHammer
— Продвижение в один клик, интеллектуальный подбор запросов, покупка самых лучших ссылок с высокой степенью качества у лучших бирж ссылок.
— Регулярная проверка качества ссылок по более чем 100 показателям и ежедневный пересчет показателей качества проекта.
— Все известные форматы ссылок: арендные ссылки, вечные ссылки, публикации (упоминания, мнения, отзывы, статьи, пресс-релизы).
— SeoHammer покажет, где рост или падение, а также запросы, на которые нужно обратить внимание.
SeoHammer еще предоставляет технологию Буст, она ускоряет продвижение в десятки раз,
а первые результаты появляются уже в течение первых 7 дней.
Зарегистрироваться и Начать продвижение
Существует два метода производства ацетилена: из карбида кальция и углеводородов. Наиболее старым методом получения ацетилена является карбидный метод, основанный на взаимодействии карбида кальция с водой. Недостатками карбидного метода являются высокий расход электроэнергии (10—11 тыс. кВт -ч на 1 т ацетилена), громоздкость установок и образование обременительных отходов. Тем не менее, этот метод не утратил своего значения и широко используется в России и за рубежом. Это обусловлено высокой чистотой ацетилена, получаемого карбидным методом (99,9 % после очистки его от примесей), и достигнутым за последние годы укрупнением агрегатов.
Окислительный пиролиз является самым распространенным процессом получения ацетилена из углеводородного сырья. Однако применение его наиболее целесообразно в тех случаях, когда можно использовать образующийся синтез-газ (водород и оксид углерода).
Целью курсового проекта является: разработка технологической схемы производства ацетилена, выбор конструкции реактора окислительного пиролиза метана в ацетилен и технологии очистки
1. Литературный обзор.
1.1. Методы получения.
Ацетилен (HC=CH) является простейшим углеводородом, содержащим тройную связь углерод-углерод. Впервые ацетилен был получен Э. Дэви в 1836 году действием воды на ацетиленид (карбид) калия. В 1862 году М. Бертло получил C2H2 в электрической дуге из углерода и водорода. После открытия в 1892 году электротермического метода получения карбида кальция А. Муассаном и Т.Л. Уилсоном появилась возможность промышленного производства ацетилена из CaC2
по реакции.
Сервис онлайн-записи на собственном Telegram-боте
Попробуйте сервис онлайн-записи VisitTime на основе вашего собственного Telegram-бота:
— Разгрузит мастера, специалиста или компанию;
— Позволит гибко управлять расписанием и загрузкой;
— Разошлет оповещения о новых услугах или акциях;
— Позволит принять оплату на карту/кошелек/счет;
— Позволит записываться на групповые и персональные посещения;
— Поможет получить от клиента отзывы о визите к вам;
— Включает в себя сервис чаевых.
Для новых пользователей первый месяц бесплатно.
Зарегистрироваться в сервисе
В связи с высокими затратами электроэнергии на 1 т CaC2
по реакции получили развитие методы производства ацетилена из природного газа и легких углеводородов. Ацетилен образуется в результате пиролиза метана (и легких углеводородов) при температурах ~1500ºС и термоокислительного пиролиза метана по реакции (вместе с этиленом):
Для получения ацетилена используют также электродуговые и плазмохимические методы. Особенно эффективен электрокрекинг жидких углеводородов (метод Н.С. Печуро), позволяющий использовать любые CH-содержащие соединения (отходы химических производств) для получения ацетилена, этилена, водорода и сажи . Хотя затраты энергии на получение 1 т ацетилена из природного газа и нефтяного сырья значительно ниже, чем в карбидном методе, в конце 50-х годов ацетилен не смог конкурировать по стоимости с олефинами (в основном этиленом и пропиленом), получаемыми из относительно дешевой в то время нефти (нефтяных фракций). К тому же в начале 60-х годов уже были разработаны альтернативные методы получения основных мономеров и полупродуктов на основе олефинового сырья. Все это привело к сокращению мирового производства ацетилена и его доли в промышленном синтезе. Однако энергетический кризис в середине 70-х годов привел к росту цен на нефть (в 9-10 раз), природный газ (в 4-5 раз) и уголь (в 2-3 раза), что существенно сказалось на себестоимости олефинов. Эта тенденция показывает, что в перспективе ацетилен может вновь стать важнейшим альтернативным сырьем для органического синтеза наряду с синтез-газом (CO + H2
). Серьезное внимание привлекают и гомологи ацетилена: CH3C≡CH и его изомер CH2=C=CH2 (аллен), винилацетилен, диацетилен, которые образуются в процессах окислительного пиролиза метана, электрокрекинга углеводородов и пиролиза нефтяных фракций в производстве этилена и пропилена. На базе этих гомологов может быть построена интересная промышленная химия.
Методы пиролиза углеводородов в ацетилен. По способу подвода тепла для проведения высокоэндотермичной реакции пиролиза углеводородов в ацетилен различают четыре метода.
1. Регенеративный пиролиз в печах с огнеупорной насадкой; ее сначала разогревают топочными газами, а затем через раскаленную насадку пропускают пиролизуемое сырье. Эти периоды чередуются.
2. Электрокрекинг при помощи вольтовой дуги, когда углеводородное сырье подвергают пиролизу в электродуговых печах при напряжении между электродами 1000 В. Затраты электроэнергии доходят до 13000 кВт-ч на 1 т ацетилена, что составляет главный недостаток метода.
3. Гомогенный пиролиз, когда сырье вводят в поток горячего топочного газа, полученного сжиганием метана в кислороде и имеющего температуру 2000°С. Этот метод можно комбинировать с другими процессами пиролиза, если в горячие газы первой ступени пиролиза вводить пары жидких углеводородов, для расщепления которых в ацетилен требуется более низкая температура. Возможно и совместное получение ацетилена и этилена.
4. Окислительный пиролиз, при котором экзотермическая реакция горения углеводородов и эндотермический процесс пиролиза совмещены в одном аппарате.
Все эти способы пиролиза углеводородов на ацетилен применяют в промышленности, но наиболее экономичным из них является окислительный пиролиз. Рассмотрим его подробнее.
При недостатке кислорода и высокой температуре сгорание метана происходит в основном по реакции:
СН4
+ О2
—»• СО + Н2
+ Н2
О, -∆Н°298
= 272,2 кДж/моль.
Она протекает очень быстро, и образование ацетилена (как более медленный процесс) начинается лишь в зоне, практически лишенной кислорода. Там же происходит конверсия оксида углерода СО + Н2
О → СО2
+ Н2
, причем соотношение водорода, оксидов углерода и водяных паров оказывается близким к этому равновесию водяного газа. В практических условиях около 1/3 кислорода расходуется на образование воды, 10—15 % на СО2
и 50—55 % на СО.
Поскольку процесс протекает в автотермическом режиме, для поддержания температуры ~ 1500°С, необходимой для разложения метана, соотношение начальных объемов СН4
и О2
должно составлять 100: (60-:-65), что находится вне пределов взрываемости этих смесей. Опасные концентрации могут возникнуть лишь во время смешения, наводимого при достаточно-высокой скорости и турбулентности потока газов. Само горение метана характеризуется некоторым периодом индукции, длительность которого зависит от температуры и давления. Для метанокислородных смесей указанного выше состава при атмосферном давлении и 600°С период индукции составляет ~ 2 с, что ограничивает время от смешения предварительно подогретых газов до их попадания в горелки, где происходит самовоспламенение смеси. Скорость течения газа в сопле горелки (~ 100 м/с) должна быть выше скорости распространения пламени, чтобы возникшее пламя не распространялось в обратном направлении. В то же время при стабильном режиме горения скорость газа не должна быть выше скорости гашения пламени, чтобы оно не отрывалось от горелки. При турбулентном потоке устойчивому горению способствуют подвод дополнительного количества кислорода в зону горения (так называемый стабилизирующий кислород), а также многосопловые устройства со множеством факелов горения, стабилизующих друг друга.
Сравнение методов получения ацетилена. Основными недостатками карбидного метода получения ацетилена являются большой расход электроэнергии на получение карбида кальция, многостадийность превращения сырья (CaCO3
→CaO→CaC2
→С2
Н2
) и значительные капиталовложения в производство. Достоинство метода состоит в получении концентрированного ацетилена, очистка которого от небольшого количества примесей не встречает затруднений. Кроме того, получение карбидного ацетилена базируется на менее дефицитном каменном угле.
При получении ацетилена пиролизом углеводородов процесс протекает в одну стадию, требует меньших капиталовложений и затрат энергии (кроме электрокрекинга). Однако ацетилен получается разбавленным, и необходима довольно сложная система его выделения и очистки.
Имеется много противоречивых оценок экономической эффективности этих методов, на которые в перспективе может существенно повлиять проблема дефицита нефти и природного газа. В настоящее время более половины мирового производства ацетилена приходится на карбидный метод.
1.2. Выбор конструкции реактора (достоинства и недостатки).
Реактор (реакционная печь) окислительного пиролиза метана до ацетилена состоит из следующих частей: смесительного устройства, горелки (или горелочного блока), реакционной зоны и зоны «закалки».
Смеситель обеспечивает равномерную концентрацию исходных газов в горизонтальном сечении аппарата перед их поступлением в горелочный блок. Смесители могут быть различной конструкции, но при их разработке соблюдают следующие условия:
1) время пребывания газовой смеси в смесителе меньше индукционного периода воспламенения смеси (при 600° С он составляет 2—3 сек),
2) скорость газового потока в смесителе больше скорости распространения пламени.
Горелки (или горелочные блоки) реакционной печи могут быть двух видов В первых газовый поток перед (ходом в реакционную зону расчленяется на большое число струй малого диаметра Это так называемые многоканальные горелки В них скорости реакционного газового потока сравнительно малы. Для горелок второго типа (кольцевых) характерны высокие скорости газового потока, расчлененного на небольшое число мощных струй. Реакционная зона во всех печах ограничена, сбоку— стенками печи, сверху — горелкой (или горелочным блоком), снизу — зоной «закалки». Геометрические размеры и объем реакционной зоны должны обеспечивать замыкание факела и стабильный процесс пиролиза. Боковые стенки реакционной зоны можно изготовлять из огнеупоров или из металла. В реакторах, изготовленных из огнеупоров, наблюдаются меньшие потери тепла в окружающее пространство, чем в реакторе из металла, но на стенках реакционной зоны отлагается сажа, поэтому необходим сажеочистной механизм. В реактореиз металла стенки реакционной зоны защищены от действия температуры водяным экраном. Вода стекает тонкой пленкой по внутренним стенкам реакционной зоны и одновременно смывает сажу. Поэтому в таких реакторах сажеочистной механизм не нужен.
Зона «закалки» предназначена для быстрого охлаждения газов пиролиза. Это достигается впрыскиванием мелкораспыленной охлаждающей воды в поток газов пиролиза. Зона «закалки» представляет собой систему форсунок, подающих воду от периферии газового потока к центру и расположенных несколькими ярусами. Схема одного из распространенных реакторов окислительного пиролиза метана изображена на рис. 1. Корпус реактора 2 футерован высокоогнеупорным материалом. Метан и кислород входят в камеру смешения 1, проходят диффузор 8, имеющий предохранительную мембрану 3, и попадают в сопла горелочной плиты 7, под которую вводят стабилизирующий кислород. В камере 4 протекают неполное горение метана, образование
ацетилена и сажи. Через форсунки 6 вбрызгивается «закалочная» вода, и продукты пиролиза моментально охлаждаются. Газ пиролиза отводят из нижней камеры 5, где оседает часть образующегося кокса, который потом отводят вместе с водой. При нормальном режиме окислительного пиролиза на горение расходуется 55% метана, на образование ацетилена 23—25%, на образование сажи ~4%; степень конверсии метана достигает 90%, степень конверсии кислорода превышает 99%
2. Физико-химические основы процесса и веществ.
Химическая схема, механизм реакции.
Ацетилен — бесцветный газ, обладающий в чистом виде слабым эфирным запахом; конденсируется при —83,8°С (0,102 МПа); критическая температура +35,5°С; критическое давление 6,04 МПа. Он имеет очень широкие пределы взрываемости в смеси с воздухом [2,0—81 % (об.) С2Н2] и с кислородом [2,8— 78 % (об.) С2
Н2
]. Взрывоопасность ацетилена усугубляется из-за высокой экзотермичности его разложения на простые вещества.
Это разложение идет в отсутствие кислорода при наличии соответствующих инициаторов (искра, перегрев из-за трения). При давлении до 0,2 МПа разложение имеет местный характер и не является опасным. При более высоком давлении разложение приобретает характер взрыва с детонационной волной, распространяющейся со скоростью свыше 1000 м/с. Однако взрыво-опасность ацетилена снижается при его разбавлении инертными газами или парами, которые аккумулируют тепло первичного разложения ацетилена и препятствуют его взрывному распаду. Взрывоопасность ацетилена сильно возрастает в присутствии металлов, способных к образованию ацетиленидов (например, Cu2
C2
), что надо иметь в виду при выборе конструкционных материалов.
Для предохранения от взрывов чаще всего ограничивают давление при производстве ацетилена и различных синтезах безопасными пределами —0,2 МПа. При необходимости работы под давлением разбавляют ацетилен азотом, а иногда парами реагентов. При сжатии ацетилена применяют специальные ацетиленовые компрессоры, имеющие низкую скорость перемещения движущихся частей, малую степень сжатия и температуру газа после каждой ступени компрессора не более 100°С. При расчете аппаратуры и трубопроводов принимают повышенный запас прочности. Кроме того, применяют специальные предохранительные устройства, размещаемые в разных точках технологической схемы. Из них сухие затворы (в виде шарикового клапана) предохраняют только от распространения пламени. Мокрые огнепреградители и гидравлические затворы защищают предшествующую аппаратуру от распространения взрыва. Огнепреградитель представляет собой башню с насадкой, орошаемую водой, а гидравлическим затвором служит аппарат, в котором ацетилен барботирует через слой воды. Во всех случаях при превышении установленного давления сбрасывают газы в атмосферу через гидравлические затворы или предохранительные мембраны.
Другим технически важным —свойством ацетилена является его растворимость, значительно более высокая, чем у других углеводородных газов. Так, в 1 объеме воды при 20°С растворяется около 1 объема ацетилена, а при 60 °С растворяется 0,37 объема. Растворимость снижается в водных растворах солей и Са(ОН)2
. Значительно выше растворимость ацетилена в органических жидкостях; при 20 °С и атмосферном давлении она составляет (в объемах ацетилена на 1 объем растворителя): в метаноле 11,2, в ацетоне 23, в диметилформамиде 32, в N-метилпирролидоне 37. Растворимость ацетилена имеет важное значение при его получении и выделении из смесей с другими газами, а также в ацетиленовых баллонах, где для повышения их емкости по ацетилену и снижения давления используют растворитель (ацетон).
Существует два метода выделения ацетилена: абсорбция или адсорбция. Практическое значение в мировой практике получил абсорбционный метод выделения ацетилена.
Обычно газ пиролиза после закалки и охлаждения поступает на очистку от сажи промывкой маслом, фильтрованием через коксовые или рукавные фильтры. Очищенный от сажи газ пиролиза компримируется до давления 0,6—3 МПа, после чего направляется на выделение ацетилена, обычно методом абсорбции.
Абсорбционный метод выделения ацетилена основан на различной растворимости отдельных компонентов газовой смеси в жидких абсорбентах, к которым предъявляются следующие требования.
1. Высокая растворяющая способность по отношению к ацетилену. Растворяющая способность абсорбента определяет соотношение растворитель — ацетилен, от которого зависят энергетические расходы на циркуляцию, охлаждение и десорбцию, а также размеры аппаратуры.
2. Высокая селективность извлечения ацетилена, определяющая чистоту ацетилена.
3. Низкая летучесть при умеренных температурах кипения. Низкая летучесть обеспечивает минимальные потери абсорбента, а от температуры кипения зависит температура процесса регенерации абсорбента.
4. Инертность по отношению к другим компонентам газа пиролиза и высокая термическая устойчивость.
5. Низкая температура кристаллизации.
6. Доступность и низкая стоимость.
Простейшим абсорбентом является вода. Помимо воды для выделения ацетилена применяется ряд селективных растворителей: ацетон, диметилформамид, N-метилпирролидон, γ-бутиролактон, метанол, аммиак.
Наиболее низкой растворяющей способностью обладает вода. Растворимость ацетилена в других растворителях достаточно высока и увеличивается с понижением температуры. Однако понижение температуры процесса извлечения ацетилена ограничивается температурой плавления растворителя.
Наряду с ацетиленом в абсорбентах растворяются и другие компоненты ацетиленсодержащего газа, но. растворимость их значительно меньше, чем ацетилена. Неабсорбированные компоненты (абгазы) выводятся из абсорбера. При высоком содержании водорода и оксида углерода абгазы могут использоваться как синтез-газ в других процессах. Насыщенный абсорбент направляется на десорбцию с выделением малорастворимых газов, ацетилена и высших углеводородов (высшие гомологи ацетилена и др.). Для получения чистого ацетилена применяется двухступенчатая десорбция.
Первым абсорбентом, применявшимся в промышленности для выделения ацетилена, являлась вода. При этом получается ацетилен 97 %-ной чистоты. Однако ввиду малой растворяющей способности воды по отношению к ацетилену требуется очень большой ее расход. Кроме того, необходима специальная отмывка газа от диоксида углерода и сероводорода, а также промывка маслом или растворителями для удаления тяжелых углеводородов. В связи с этим применение воды в качестве абсорбента не получило широкого распространения.
Абсорбция ацетилена может проводиться при положительных или при низких температурах. Для абсорбции при положительных температурах применяются малолетучие абсорбенты (диметилформамид, N-метилпирролидон, γ-бутиролактон); для абсорбции при низких температурах — летучие абсорбенты с низкой температурой плавления. В качестве растворителей для низкотемпературной .абсорбции ацетилена получили распространение аммиак, метанол, ацетон. Метод основан на увеличении растворимости ацетилена с понижением температуры, причем растворимость достигает максимума при температуре плавления раствора.
Повышение растворимости ацетилена позволяет снизить расход абсорбента, а применение более летучих растворителей — температурный уровень перегонки, вследствие чего уменьшается расход тепла на регенерацию абсорбента. Наряду с этим появляются дополнительные расходы на охлаждение до низких температур, но эти расходы значительно меньше, чем экономия на регенерацию абсорбента. Наиболее распространенным абсорбентом является метанол.
В связи с тем, что около 70 % эксплуатационных расходов и капитальных затрат в производстве ацетилена из углеводородного сырья падает на процесс выделения, экономическая эффективность этой стадии производства имеет большое практическое значение.
3 .Технологическая схема (описание).
Технологическая схема получения ацетилена окислительным пиролизом метана изображена на рис. 2. Кислород и метан подогревают до 600—700 °С в трубчатых печах 1 и 2, имеющих топки для сжигания природного газа. В реакторе 3 протекают вышерассмотренные процессы, причем газы выходят из него после «закалки» водой при 80°С и проходят для улавливания сажи полый водяной скруббер 4 и мокропленочный электрофильтр 5. Газы охлаждают водой в холодильнике 6 непосредственного смешения, после чего их промывают в форабсорбере 7 небольшим количеством диметилформамида или N-метилпирро-лидона и направляют в газгольдер 8. Вода, стекающая из гидравлического затвора реактора и из сажеулавливающих аппаратов, содержит 2—3 % сажи, а также малолетучие ароматические соединения. Она поступает в отстойник 9, с верха которого сажу и смолы собирают скребками и направляют на сжигание. Воду из отстойника возвращают в реактор как «закалочный агент», а ее избыток идет на очистку, чем создается замкнутая система водооборота без сбрасывания токсичных сточных вод. Газ из газгольдера 8 сжимается компрессором 10 до давления ~ 1 МПа, проходя после каждой ступени холодильники и сепараторы, не показанные на схеме. В абсорбере 11 он промывается диметилформамидом или N-метилпирролидоном, а непоглотившийся газ (Н2
, СН4
, СО, СО2
) проходит скруббер 12, где при орошении водным конденсатом улавливается унесенный им растворитель. После этого газ можно использовать в качестве синтез-газа или топлива. Раствор в кубе абсорбера 11 содержит ацетилен и его гомологи, а также значительное количество близкого к ним по растворимости диоксида углерода с примесью других газов. Он проходит дроссельный вентиль 13 и поступает в десорбер 14 первой ступени. За счет снижения давления до ~0,15 МПа и
нагревания куба до 40 °С из раствора десорбируются ацетилен и менее растворимые газы. Ацетилен при своем движении вверх вытесняет из раствора диоксид углерода, который вместе с другими газами и частью ацетилена выходит с верха десорбера, предварительно отмываясь от растворителя водным
конденсатом. Эти газы возвращают на компримирование. Концентрированный ацетилен выводят из средней части десорбера 14, промывают в скруббере 15 водой и через огнепреградитель 16 выводят с установки.
Кубовую жидкость десорбера 14, содержащую некоторое количество ацетилена и его гомологов, направляют в десорбер 18 второй ступени, подогревая предварительно в теплообменнике 17. За счет нагревания куба до 100°С из раствора отгоняются все газы, причем из средней части колонны уходят гомологи ацетилена, направляемые затем на сжигание, а с верха — ацетилен с примесью его гомологов, возвращаемый в десорбер первой ступени. В растворителе постепенно накапливаются вода и полимеры, от которых его освобождают на установке регенерации, не изображенной на схеме.
Полученный на установке концентрированный ацетилен содержит 99,0—99,5 % основного вещества с примесью метилацетилена, пропадиена и диоксида углерода (по 0,1—0,3%).
4. Расчетная часть.
Целевая реакция описывается уравнением
2CH4 → C2H2+ 3Н2
Расход метана рассчитываем исходя из селективности и стехиометрических уравнений реакции.
Общий расход метана (кг/ч)
А=Gа 2Mм*100/(Ма С)= Gа*2*16*100/26С=4990 кг/ч
с учетом конверсии Gм= А*100/К=5454 кг/ч
Количество кислорода, подаваемого в реактор:
число кмоль:
метана Nм=340,88 кмоль/ч;
кислорода NО2
=340,88*0,6=204,53 кмоль/ч
G О2
.= 204,53*32=6545кг/ч
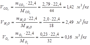
4.1 Материальный баланс.
Основой материального баланса является закон сохранения материи, согласно которому количество материала, поступающего в процесс (приходные статьи материального баланса), равняется количеству продуктов, получаемых в результате процесса (расходные статьи материального баланса). Материальный баланс должен составляться как для всего технологического процесса, так и для отдельных его элементов. Материальный баланс составляют за единицу времени — час, сутки, год — или за цикл работы на единицу исходного сырья или готовой продукции, т. е. за тот отрезок времени, в течение которого перерабатывается определенное количество сырья или получается определенное количество продукта. Материальный баланс может быть рассчитан в весовых, мольных или объемных единицах. Материальный баланс процесса представлен в таблице 1.
Таб.1 Материальный баланс
| Материальный поток
|
Количество
|
| кг/ч
|
кмоль/ч
|
| Приход
|
| Метан
|
5454
|
340,88
|
| Кислород
|
6545
|
204,53
|
| Всего
|
11999
|
545,41
|
| Расход
|
| Ацетилен
|
1200
|
46,15
|
| Метан
|
464
|
29
|
| Кислород
|
66
|
2,0
|
| СО
|
5968
|
206
|
| СО2
|
3459
|
60,43
|
| Н2
|
840
|
420
|
| Всего
|
11999
|
763,58
|
4.2 Тепловой баланс.
Тепловой баланс отражает основное содержание закона сохранения энергии, согласно которому количество тепла, введенной в процесс (приходные статьи баланса), равно количеству тепла, получаемой в результате процесса (расходные статьи баланса).
Так же как и материальный баланс, тепловой баланс можно составлять для всего производственного процесса или для отдельных его стадий. тепловой баланс может быть составлен для единицы времени (час, сутки), для цикла работы, а также на единицу исходного сырья или готовой продукции.
Таб.2. Тепловой баланс
| Наименование
|
G, кг/ч
|
Q, МДж/ч
|
| Приход тепла
|
| Метан
|
5454
|
10338
|
| Кислород
|
6545
|
4225
|
| Всего
|
11999
|
14563
|
| Расход тепла
|
| Ацетилен
|
1200
|
1740
|
| Метан
|
464
|
879
|
| Кислород
|
66
|
43
|
| СО
|
5968
|
3223
|
| СО2
|
3459
|
2158
|
| Н2
|
840
|
6520
|
| Всего
|
11999
|
14563
|
4.3 Расчет аппарата.
Расчет основных размеров реактора
Объем газообразного сырья
Vг
=(Gс/Мс+Gп./Мп.)*22,4*Т*0,101/273*Р=
=(1308,99/2)*22,4*0,101*1723/273*0,11=84958,3 м3
/ч
Примем среднюю фиктивную скорость 14 м/с, тогда
S=84958,3/(14*3600)=1,68 м2
D=√S/0,785=√1,68/0,785=1,46 м
Vр=Vг*τ, где τ — среднее фиктивное время пребывания паров реакционной смеси в реакторе. Принимаем τ= 0,005 с, тогда
Vр=84958,3*0,005/3600=1,17м3
Длина реактора l= Vр/ S=1,24 м
4.4 Расчет трубчатой печи для нагрева сырья.
Исходные данные по 1 нагреваемому компоненту – метан:
- массовый расход метан G
н
= 5454 кг/час
;
- температура входа в печь Т1н
= 20 °
С
;
- температура выхода из печи Т2н
= 700 °
С
;
- давление на выходе из змеевика печи p
вн
= 0,11МПа
.
Исходные данные по 2 компоненту – кислород
- массовый расход кислорода G
н
= 6545 кг/час
;
- температура входа в печь Т1м
= 20 °
С
;
- температура выхода из печи Т2м
= 700 °
С
;
- давление на выходе из змеевика печи p
вн
= 0,11МПа
.
Сжигаемое топливо газ с газоперерабатывающего завода:
- плотность при 20 °
С
= 0,760 кг/м3
;
- компонентный состав газа табл. 20.
Таблица 3.Компонентный состав газа.
| №
п/п
|
Компонент
|
Массовая доля
gi
×
100
, (масс. %)
|
Мольная (объемная) доля
ri
|
Молекулярная
масса,
М
i
|
Mi
×
ri
|
| 1.
|
N2
|
0,46
|
0,0028
|
34
|
0,0952
|
| 2.
|
CO2
|
1,78
|
0,0083
|
44
|
0,3652
|
| 3.
|
CH4
|
64,97
|
0,8352
|
16
|
13,3632
|
| 4.
|
C2
H6
|
7,06
|
0,0484
|
30
|
1,452
|
| 5.
|
C3
H8
|
12,42
|
0,0581
|
44
|
2,5564
|
| 6.
|
и-C4
H10
|
8,83
|
0,0313
|
58
|
1,8154
|
| 7.
|
н-C4
H10
|
4,48
|
0,0159
|
58
|
0,9222
|
| Итого:
|
100
|
1
|
M
Г
»
20,57
|
1. 1.Расчет процесса горения
Определим низшую теплоту сгорания топлива по формуле:

где СН4
, С2
Н4
и т.д. – содержание компонентов в топливе в объемн. %.


Определим элементный состав топлива в массовых процентах. Содержание углерода в любом i
-ом компоненте топлива находим по соотношению:

где ni
– число атомов углерода в данном компоненте топлива.
Содержание углерода:

Содержание водорода:

где m
– число атомов водорода в данном компоненте топлива.
Содержание кислорода:

где Р
– число атомов кислорода.

где К
– число атомов азота.
Проверка:

Определим теоретическое количество воздуха, необходимого для сжигания 1 кг
газа, по формуле:

Найдем действительное количество воздуха, которое требуется для сжигания 1 кг
газа.
Для печей с излучающими стенками коэффициент избытка воздуха a=1,03¸1,07. Принимаем a=1,06. Тогда действительное количество воздуха:

или

где g
в
= 1,293 кг/м3
– плотность воздуха при нормальных условиях (0 °С и 760 мм. рт. ст.
).
Определим количество продуктов сгорания, образующихся при сжигании 1 кг
топлива:

Суммарное количество продуктов сгорания:

Проверка:

Содержанием влаги в воздухе пренебрегаем.
Найдем объемное количество продуктов сгорания в м3
на 1 кг
топлива (при нормальных условиях):


Суммарный объем продуктов сгорания:

Плотность продуктов сгорания при 0 °С и 760 мм. рт. ст.

Определим содержание продуктов сгорания при различных температура по уравнению:

где t
– температура продуктов сгорания (дымовых газов), °С; с
– средние массовые теплоемкости компонентов дымовых газов, определяемые из таблицы [38, стр. 491]
Найдем для примера q
200
:

Результаты расчетов сведены в табл. 4
Таблица 4
| t
, °C
|
0
|
200
|
400
|
800
|
1000
|
1400
|
2000
|
| qt
, ккал/кг
|
0
|
910
|
1820
|
3640
|
4550
|
6370
|
9100
|
По данным этой таблицы строим график q
-
t
(рис. 3).
КПД печи и расход топлива
КПД (коэффициент полезного действия) печи найдем по формуле:

где - потери тепла в окружающую среду, в долях от низшей теплоты сгорания топлива; - потери тепла с уходящими дымовыми газами, в долях от низшей теплоты сгорания топлива.
Примем, что и что температура дымовых газов, покидающих конвекционную камеру печи, на 240 °С выше температуры t
1п
пара поступающего в печь:
°С
При °С найдем по графику q
-
t
(см. рис. 40) потерю тепла с уходящими дымовыми газами:

или в долях от низшей теплоты сгорания топлива:

Подставив числовые значения величин, получим, что КПД печи

Полную тепловую нагрузку печи, или теплопроизводительность газовых горелок при КПД печи равному 0,823 найдем из формулы:
Qт=Qполез/η
где - полезное тепло печи,.
Полезное тепло печи рассчитываем по формуле:
Qпол=L(hk-hn)
Qа=5454*1895=10338
Qк=6545*645=4225
Подставляя в формулу заданные и найденные величины, получим:
Qт=14563/0,788=18480
Часовой расход топлива:
В а=1030 кг/ч
В к=418 кг\ч
5. Графическая часть.
Графическая часть представлена двумя чертежами: технологическая схема и чертеж реактора формата А3
6. Выводы.
6.1. На основании литературного обзора выбран метод получения ацетилена окислительным пиролизом метана.
6.2. Обоснование выбора реакционного устройства. В качестве реактора
выбран наиболее распространенный аппарат
6.3. Составлены материальный и тепловой балансы процесса окислительного пиролиза метана в ацетилен.
7. Библиографический список.
1.Лебедев Н.Н. Химия и технология основного органического и нефтехимического синтеза.-М. «Химия», 1988.
2.Эмирджанов Р.Т., Лемберанский Р.А. Основы технологических расчетов в нефтепереработке и нефтехимии. М. «Химия», 1988.
3. Адельсон С.В. Технология нефтехимического синтеза. М. «Химия», 1985.
4. Справочник нефтехимика. Л. «Химия», 1978.
5.Харламов В.В., Алипов Н.Е., Коновалов Н.И. Окислительный пиролиз метана до ацетилена.- М. «Химия», 1968.
|