| Лекция 6
Понятие о неохраняемых объектах промышленной собственности и формах их передачи.
Цель: дать систематизированные научные знания об неохраняемых объектах промышленной собственности и формах их передачи
Вопросы лекции
1. Определение, сущность и характерные черты ноу-хау.
2. Особенности договора о передаче и формы передачи ноу-хау.
3. Методические рекомендации по расчету стоимости лицензий
4.
Расчет стоимости доли уставного фонда, включающей промышленную собственность в виде изобретений и ноу-хау
Международная практика продажи лицензий свидетельствует, что в последние годы все большее распространение получает продажа непатентуемых научно-технических достижений, производственных секретов, знаний и опыта. Более половины заключаемых сегодня в мире лицензионных соглашений являются беспатентными. Существует мнение, что в ряде случаев сохранение в секрете того или иного изобретения и затем реализация его на строго конфиденциальной основе служит более надежной защитой, чем патентование. Прямую возможность такой реализации как раз и открывает лицензионная торговля.
Поэтому при продаже технических решений, содержащих ноу-хау, следует учитывать, что формы их реализации весьма разнообразны, однако правовая охрана таких технических решений, в отличие от патента, значительно осложнена.
Коротко остановимся на определении сущности и характерных чертах ноу-хау.
1. Определение, сущность и характерные черты ноу-хау
Ноу-хау
представляет собой технические знания, производственный опыт, специальные технические навыки и «секреты производства», необходимые и достаточные для налаживания того или иного производства, технологии, процесса, создания различного оборудования, позволяющие в короткий срок с наименьшими затратами освоить и выпускать конкурентоспособную продукцию на высоком техническом уровне.
Сущность ноу-хау, с одной стороны, состоит в том, что изобретатель предпочитает сохранить в секрете неизвестные элементы своего изобретения, вместо того, чтобы полностью раскрыть их в заявке на патент. Или же он подает заявку и обходит обязательство раскрыть определенные существенные данные, необходимые для реализации его изобретения. Эти данные он раскрывает только тогда, когда по договору с покупателем будут иметься условия об их охране.
Забиваем Сайты В ТОП КУВАЛДОЙ - Уникальные возможности от SeoHammer
Каждая ссылка анализируется по трем пакетам оценки: SEO, Трафик и SMM.
SeoHammer делает продвижение сайта прозрачным и простым занятием.
Ссылки, вечные ссылки, статьи, упоминания, пресс-релизы - используйте по максимуму потенциал SeoHammer для продвижения вашего сайта.
Что умеет делать SeoHammer
— Продвижение в один клик, интеллектуальный подбор запросов, покупка самых лучших ссылок с высокой степенью качества у лучших бирж ссылок.
— Регулярная проверка качества ссылок по более чем 100 показателям и ежедневный пересчет показателей качества проекта.
— Все известные форматы ссылок: арендные ссылки, вечные ссылки, публикации (упоминания, мнения, отзывы, статьи, пресс-релизы).
— SeoHammer покажет, где рост или падение, а также запросы, на которые нужно обратить внимание.
SeoHammer еще предоставляет технологию Буст, она ускоряет продвижение в десятки раз,
а первые результаты появляются уже в течение первых 7 дней.
Зарегистрироваться и Начать продвижение
С другой стороны, понятие ноу-хау не обязательно связано с «секретами производства». Производитель работает над определенным способом или изготавливает определенные изделия и при этом в течение длительного времени накапливает определенный опыт, который желает получить другое лицо в целях экономии времени. При этом следует иметь в виду, что передаваемый накопленный опыт может иметь значительную ценность, например, для развивающейся страны и не представлять никакого интереса для развитой капиталистической страны.
Характерными чертами ноу-хау являются:
1. Применимость, т. е. исключаются чисто научные предположения и непрактические знания.
2. Техническая осуществимость, т. е. возможность с помощью имеющихся знаний и технических средств достичь, желаемую техническую цель.
3. Ценность. Понятие ноу-хау имеет чрезвычайно широкое содержание, оно может охватывать всевозможную техническую и иную информацию, необходимую для производства какого-либо изделия, и представляет собой определенную экономическую ценность. Ценность ноу-хау определяется полезностью нового результата, для использования которой их обладатель должен иметь определенные технические знания и технические навыки.
4. Конфиденциальность, т. е. секретность информации и документации. Это один из наиболее важных признаков, так как технические знания, опубликованные в полном объеме и известные широкому кругу людей, относятся к кругу очевидного знания, а не к ноу-хау.
5. Отсутствие правовой охраны. Ноу-хау не пользуется такой правовой охраной, какой пользуются изобретения, промышленные образцы и товарные знаки. Ноу-хау не является объектом исключительного права, т. е. обладая производственными знаниями и опытом, их владелец не имеет права на исключительное их использование. Определение понятия ноу-хау и его охрана не существует ни в международных соглашениях по охране промышленной собственности, ни во внутреннем законодательстве страны.
Передача ноу-хау может быть осуществлена в виде технической документации, а также в форме обучения специалистов определенным приемам и методам выполнения какого-либо вида работ (консультации, техническая помощь и т. д.).
В отличие от классической лицензии, когда лицензиар (продавец) за определенное вознаграждение передает лицензиату (покупателю) только юридическое право на использование своих патентов, ноу-хау предусматривает передачу как охраноспособных, так и неохраноспособных научно-технических достижений.
Сервис онлайн-записи на собственном Telegram-боте
Попробуйте сервис онлайн-записи VisitTime на основе вашего собственного Telegram-бота:
— Разгрузит мастера, специалиста или компанию;
— Позволит гибко управлять расписанием и загрузкой;
— Разошлет оповещения о новых услугах или акциях;
— Позволит принять оплату на карту/кошелек/счет;
— Позволит записываться на групповые и персональные посещения;
— Поможет получить от клиента отзывы о визите к вам;
— Включает в себя сервис чаевых.
Для новых пользователей первый месяц бесплатно.
Зарегистрироваться в сервисе
В первом случае — это научно-технические достижения, выполненные на уровне изобретений, но по каким-то причинам (например, запреты, ранее распространяемые на данное производство, отсутствие реальной возможности осуществить контроль безвозмездного использования изобретения третьими лицами, конъюнктурные соображения и т. д.) полностью или частично не получившие правовой защиты.
Во втором случае ноу-хау не является патентоспособным техническим решением задачи, а представляет, собой методику инженерных расчетов, рабочие чертежи, программы ЭВМ и т; д.
2. Особенности договора о передаче и формы передачи ноу-хау.
Особенность договора о передаче ноу-хау в международной практике состоит в том, что обе договаривающиеся стороны, заключая соглашение, подвергаются определенному риску. Когда продавец представляет ноу-хау, он раскрывает принадлежащий ему секрет производства. Не исключено, что покупатель в будущем раскроет этот секрет третьим лицам и продавец потеряет преимущества, которые он имел перед конкурентами. То же самое относится и к покупателю. Он не может знать, на какой период времени ноу-хау сохранит свою экономическую и техническую ценность при быстром развитии науки и техники. Если эта ценность будет утрачена, продавец не получит полностью вознаграждения за ноу-хау, которое выплачивается ему по частям, а покупатель не получит ожидаемой прибыли и возможно даже не возместит понесенных расходов.
Продавец лицензии (лицензиар) боится раскрыть ноу-хау до заключения договора и опасается, что покупатель (лицензиат) воспользуется полученной информацией и откажется от подписания лицензионного договора.
С другой стороны, лицензиат опасается, что секретом уже владеет или в ближайшее время будет владеть его конкурент, и он, используя приобретенные ноу-хау, не получит экономических преимуществ, на которые рассчитывает.
Поэтому часто на практике используют заключение платного предварительного (опционного) соглашения, по которому лицензиат обязуется не сообщать, не разглашать и не использовать до момента заключения лицензионного договора сведений, полученных от лицензиара и носящих конфиденциальный характер. Лицензиар, в свою очередь, в течение этого же времени обязуется не вести переговоров с другими возможными покупателями. Кроме того, при заключении опционного соглашения устанавливаются основные условия возможности лицензионного договора.
По договору о передаче ноу-хау лицензиату предоставляется право на использование секретов производства и опыта, не запатентованных их владельцами. В договор включается условие о неразглашении ноу-хау как в период срока действия лицензионного соглашения, так и после его окончания, что должно гарантироваться лицензиатом.
Обязанностями лицензиата в использовании ноу-хау являются
:
1 не передавать приобретенные знания и опыт третьей стороне в течение срока действия соглашения и в среднем до 5 лет после окончания его срока действия;
2 указать в рекламных документах или на выпускаемой продукции, что она изготовлена по лицензии другой фирмы;
3 не представлять сублицензий (третьей стороне) на ноу-хау, так
как это может повлечь его утрату
Формы передачи ноу-хау
При осуществлении лицензионной торговли и экспортных поставок ноу-хау может передаваться:
1 как самостоятельный объект лицензионного соглашения — в виде беспатентной лицензии;
2 в составе лицензионного соглашения, включающего, наряду с передачей патентных прав, передачу ноу-хау;
3 в составе контракта на поставку оборудования, в которой ноу-хау входит как сопутствующая лицензия.
Ноу-хау как самостоятельный объект лицензионного соглашения
Лицензиату (покупателю) передаются законченные технические решения, содержащие ноу-хау, с целью организации производства на базе этих решений. В случае, если ноу-хау включает в себя всю совокупность знаний и опыта, то беспатентная лицензия фактически является лицензией на ноу-хау.
В случае же, если передаваемая техническая документация содержит только часть технических знаний и накопленного опыта, то ноу-хау является частью беспатентной лицензии.
Примером беспатентной лицензии, включившей всю совокупность знаний и опыта, необходимых для налаживания производства, явилось лицензионное соглашение, заключенное через В/О «Лицензинторг» (лицензиар) с чехословацкой фирмой В/О «Политехна» (лицензиат) на производство трубчатых электрических нагревателей и блоков для атомных электростанций. На основе лицензионного соглашения лицензиату было передано право на использование знаний, опыта и секретов производства, необходимых для изготовления, использования и продажи трубчатых электрических нагревателей, тэнов и блоков для атомных электростанций.
В лицензионном соглашении на ноу-хау предусмотрена передача технической документации, включая конструкторскую документацию на тэны и блоки, технические условия на их изготовление, инструкцию по эксплуатации, методику электрических и тепловых расчетов тэнов, технологическую документацию, относящуюся к процессам изготовления тэнов и блоков.
Кроме того, лицензионным соглашением предусмотрено оказание технической помощи лицензиату при разработке проекта, в подготовке и освоении производства тэнов и блоков, а также обучение персонала методам и приемам работы, относящимся к производству тэнов.
Беспатентная лицензия была продана одной из западногерманских фирм — ей было передано ноу-хау на защитное покрытие рабочей поверхности плиты в печах с пульсирующим подом.
Предлагаемый состав, обладающий высокими антифрикционными противоизносными и адгезионными свойствами, позволяет стабилизировать скорость перемещения деталей по плите и продлить срок непрерывной работы оборудования. При этом увеличивается выпуск продукции, снижается расход электроэнергии и технологического газа, повышается качество термообрабатываемых изделий.
Предметом ноу-хау в данном случае явился состав защитного покрытия, способ его приготовления и нанесения на рабочую поверхность плиты в печах с пульсирующим подом.
Следует отметить, что данное техническое решение защищено авторским свидетельством, однако патентование изобретения было признано нецелесообразным, поскольку в описании и в формуле полностью раскрывался состав покрытий, а проконтролировать его использование было практически невозможно. В связи с этим было принято решение о запрещении публикации сведений, относящихся к этому изобретению.
Отсутствие у объекта лицензии на ноу-хау правовой защиты налагает свой отпечаток на подготовку и заключение лицензионного соглашения. Лицензиар, не предприняв соответствующих мер для защиты своих знаний и опыта, несет риск. Если лицензиат после ознакомления с ноу-хау отказался купить лицензию, лицензиар оказывается в невыгодном положении: сведения о ноу-хау разглашены и полностью возвращены быть не могут. Практика выработала такую защиту интересов в беспатентных лицензионных соглашениях, как обязательство лицензиата не разглашать полученные сведения.
Ноу-хау в составе патентной лицензии
В этом случае одновременно с передачей патентных прав (прав на использование запатентованного изобретения) передается ноу-хау. Интерес лицензиата к ноу-хау объясняется следующими обстоятельствами:
1. Воспроизведение объектов техники невозможно на базе патентного описания без получения конструкторских и технологических
секретов.
2. Покупка лицензии на ноу-хау более выгодна, так как при воспроизведении новых объектов техники по патентному описанию требуется значительно больше времени и средств.
В связи с этим при выборе объектов для патентования за границей с целью продажи лицензий следует обязательно предусмотреть ряд признаков либо технических решений, не вошедших в описание к патенту и формулу изобретения, но без которых невозможно реализовать запатентованные изобретения.
Следует иметь в виду, что лицензионное соглашение может быть заключено с инофирмой до момента получения патента в стране, на территории которой расположена фирма. В этот момент указанное соглашение является лицензией на ноу-хау. Во многих случаях договор на ноу-хау остается незыблемым даже тогда, когда патент в этой стране не получен. Получение же патента укрепляет позицию договора — лицензиат получает охраняемые патентом права,
В некоторых случаях неполучение патента при заключении лицензионных соглашений является причиной их расторжения.
Таким образом, в каждом конкретном случае следует учитывать соотношение между продаваемыми охраняемыми патентными правами и ноу-хау: является ли ноу-хау частью передаваемого права на использование изобретения или, наоборот, указанные права имеют лишь подчиненное значение к передаваемому ноу-хау.
Возможность продажи ноу-хау следует учитывать уже при установлении целесообразности патентования изобретений. Так, при рассмотрении целесообразности патентования нового способа плавки металла в индукционной канальной электропечи первоначально было решено не патентовать этот способ ввиду невозможности контроля за использованием изобретения и отсутствия ноу-хау в объекте. При детальном же обсуждении преимуществ нового способа с авторами изобретения был выявлен ноу-хау, касающийся выбора размеров сечения и конфигурации канала (существенный отличительный признак, не вошедший в формулу изобретения). Таким образом, вопрос о целесообразности патентования способа плавки металла в индукционной канальной печи был решен положительно.
На указанный способ получены патенты в США, Англии, Японии, Швейцарии, ФРГ, Швеции и Италии. Заключены лицензионные соглашения с двумя инофирмами.
Ноу-хау в составе контракта на поставку оборудования
Такую форму передачи ноу-хау часто называют сопутствующей лицензией. Под сопутствующей лицензией следует понимать:
— технический опыт и знания, изобретения, имеющие правовую охрану в стране и за рубежом, заложенные в объекты экспортных и комплектных поставок;
— технологические процессы, позволяющие получать заказчику дополнительный экономический эффект;
— проектно-конструкторские и научно-исследовательские работы (часто называемые инжиниринг), выполняемые по просьбе заказчика при экспорте и комплектных поставках оборудования.
Рассмотрим 2 варианта, связанных с реализацией сопутствующих лицензий при поставках оборудования.
1 вариант
. Поставка оборудования является основой контракта или соглашения.
Поставке оборудования сопутствует передача технической документации технологического, проектного, конструкторского и эксплуатационного характера, являющейся предметом ноу-хау. Кроме того, при поставке оборудования могут быть оказаны услуги типа инжиниринг, в общем виде — это работы, выполняемые по требованию заказчика.
Передача сопутствующих лицензий в виде ноу-хау и оказания услуг типа инжиниринг гарантирует работоспособность оборудования, его эффективную эксплуатацию.
2 вариант
. В составе лицензионного соглашения поставляется оборудование в виде опытного образца, на котором может быть получен продукт лицензии с гарантируемыми показателями.
Практика продажи лицензии подтвердила, что передача технических решений, содержащих ноу-хау и инжиниринг, одновременно с поставкой оборудования является одной из выгодных форм коммерческой реализации технических решений, заложенных в оборудование.
Исходя из вышесказанного, можно заключить, что хотя технические решения, содержащие ноу-хау (и инжиниринг), юридически не имеют прямой правовой защиты, однако в 2 случаях из 3 эти решения все же имеют косвенную защиту, когда они входят в состав патентной лицензии (косвенно защищены продаваемым патентом) или являются сопутствующими лицензиями (косвенно защищены запатентованным оборудованием).
В случае же продажи лицензии на «чистое» ноу-хау наиболее узким вопросом является правовая зашита ноу-хау, относящегося к секретам производства (например, в случае передачи составов, рецептов и др.), которая зависит, главным образом, от надежности и соблюдении конфиденциальных отношений.
Объем ноу-хау, передаваемого французской фирмой СОФРЕМ, на производство металлического кремния
Передача ноу-хау фирмой СОФРЕМ выполняется одновременно устно и письменно на различных стадиях:
— в течение отработки технического досье с российскими инженерами;
— в течение обучения российского персонала во Франции;
— в течение присутствия в России технического персонала СОФРЕМ, осуществляющего монтаж и ввод в эксплуатацию завода;
— посредством подробных письменных документов, касающихся технического обучения и технической организации.
Первая стадия: отработка технического досье с российскими инженерами.
СОФРЕМ, отвечающая за поставку завода металлического кремния России, будет приведена к осмотру проекта во всех подробностях с российскими инженерами, которых касается проект.
Для передачи предложения было сделано некоторое количество вариантов, которые будут объяснены и обсуждены в течение совещаний, проводимых с российскими инженерами после подписания контракта и до начала исполнения.
На этой стадии СОФРЕМ обязуется отвечать на все вопросы, поставленные перед ней относительно причин, по которым был сделан выбор принятых решений.
Вторая стадия: обучение российского персонала во Франции. Значительная часть передачи знаний производится на этой стадии в ходе встреч, которые российские техники будут иметь ежедневно с французским персоналом, специализирующимся уже в течение многих лет на наших заводах в производстве металлического кремния.
СОФРЕМ не намерена передавать заказчику методы управления заводом ферросплавов, но готова согласовать методы и критерии рынка печей таким образом, чтобы облегчить сравнение результатов производства французских и российских заводов.
СОФРЕМ должна будет передать Металлургимпорту материалы и инструкции по следующим пунктам:
1. Техническое обучение:
— теория получения кремния и практические выводы;
— технология печей, применяемая для кремния;
— электроды: качество, требуемое при изготовлении кремния, соединение встык;
— контроль качества сырьевых материалов, готовых продуктов;
— методы отбора образцов и анализа;
— обеспыливание.
2. Техническая организация.
Документы, касающиеся организации производства, специально редактируются техническими отделами СОФРЕМ применительно к условиям работы в России.
3. Разные вопросы.
В течение этого периода обучения французский персонал сможет предоставить российским специалистам не только пояснения, но и возможность выполнять все технические операции, относящиеся к изготовлению кремния Металла. Французский персонал объяснит также все необходимые операции по контролю, а на последней стадии российские техники будут в течение некоторого времени заменять французских специалистов.
Третья стадия: присутствие в России технического персонала СОФРЕМ.
К моменту ввода в эксплуатацию завода СОФРЕМ пришлет в Россию группу французских техников для помощи российскому персоналу при запуске завода.
В целом обучение российского персонала во Франции и помощь при вводе в эксплуатацию завода в России, которые будут длиться довольно долго, обеспечат хорошую передачу всего опыта, приобретенного фирмой СОФРЕМ за время изготовления кремния металла.
Четвертая стадия: письменная документация на французском и русском языках.
СОФРЕМ поставит Металлургимпорту в виде заметок и документации все требуемые основные сведения относительно способов изготовления и технической организации цехов.
3. Методические рекомендации по расчету стоимости лицензий.
Известно, что оборудование, должно быть укомплектовано технической и товаросопроводительной документацией, состав и характер которой определен соответствующим Положением Правительства РФ.
Данная документация должна быть достаточна, для того чтобы их покупатель мог эксплуатировать закупленное оборудование в соответствии с паспортными данными, производить необходимый ремонт и замену быстроизнашивающихся частей, приспособлений, отдельных элементов и узлов. Однако после пуска в действие оборудования заказчик не имеет достаточной гарантии, что на этом оборудовании он получит продукцию определенного качества при необходимой производительности. В связи с этим, фирма-заказчик, приобретая оборудование, проявляет заинтересованность в приобретении технологической документации (или иных сведений), относящейся, как правило, к процессам производства на этом оборудовании конкретных изделий, осуществлению конкретных процессов. Кроме того, перед заказчиком возникают вопросы проектного, конструкторского и эксплуатационного характера, выходящие за рамки документации, переданной в соответствии с указанным Положением. Вся перечисленная документация как раз и составляет ноу-хау — технические знания, производственный опыт, специальные технические навыки и «секреты производства», необходимые и достаточные для налаживания того или иного производства, технологии, проектирования и эксплуатации оборудования и т. д., позволяющие в короткий срок и с наименьшими затратами освоить и выпускать конкурентоспособную продукцию на высоком техническом уровне.
Техническую документацию, составляющую ноу-хау и передаваемую с поставляемым оборудованием, часто называют сопутствующей лицензией
.
Практика продажи лицензий подтвердила, что поставка оборудования с одновременной передачей сопутствующей лицензии в виде ноу-хау и инжиниринга является одной из выгодных форм коммерческой реализации технических решений, заложенных в оборудовании.
Наиболее узким вопросом при реализации сопутствующих лицензий является расчет их стоимости.
В общем случае под стоимостью лицензии понимается вознаграждение
, уплачиваемое покупателем лицензии (лицензиатом) продавцу (лицензиару) за использование патентных прав на изобретение и/или за передачу ноу-хау и оказание услуг типа инжиниринг, т. е. за передачу знаний, чертежей, технологии, опыта, формул, пояснительных записок, инструкций, спецификаций материалов и др. сведений, которыми обладает лицензиар.
Стоимость лицензии практически не связана с затратами на НИОКР, а определяется только прибылью или другими ощутимыми выгодами, которые получат партнеры при сделке.
Расчет стоимости лицензии — сложный, но очень важный этап работы при продаже лицензий.
Если раньше расчет стоимости лицензии производился, как правило, внешнеторговыми организациями,
то в настоящее время, в условиях рыночной экономики, когда многие предприятия и организации имеют свои валютные счета, а также прямой выход для заключения внешнеторговых сделок с зарубежными странами, организации -разработчики должны уметь рассчитать экономическую эффективность продажи лицензий, знать методы расчета стоимости лицензии.
Существующая методика расчета стоимости лицензии, разработанная В/О «Лицензинторг», приемлема только в случае продажи сопутствующей лицензии, передаваемой в виде технологической документации (технологический ноу-хау) на проведение технологического процесса на поставляемом оборудовании.
При передаче технической документации, направленной на уменьшение сроков монтажа и пуска оборудования, а также на улучшение его эксплуатационных характеристик, при расчете стоимости лицензии возникает ряд проблем.
Во-первых
, в этом случае часть стоимости сопутствующей лицензии входит в стоимость (цену) поставляемого по экспорту оборудования и выделить ее из общей цены бывает чрезвычайно трудно.
Во-вторых
, отсутствуют какие-либо нормативные документы по расчету стоимости сопутствующих лицензий, имеются лишь рекомендации внешнеторговых организаций, поставляющих на экспорт оборудование, о том, что стоимость сопутствующей лицензии должна составлять 10% от стоимости поставляемого оборудования.
В-третьих
, величина стоимости сопутствующей лицензии (или экономическая эффективность от внедрения предмета лицензии в стране), рассчитанная организацией-разработчиком и переданная во внешнеторговую организацию, не всегда соответствует тому значению стоимости лицензии, которую определяет продавец. Это зависит от согласованной с покупателем контрактной цены, различия в контрактной цене оборудования и внутрироссийской и др.
Расчет стоимости сопутствующей лицензии в случае, когда с поставляемым оборудованием передается ноу-хау на технологический процесс производства на этом оборудовании определенной продукции, производится по методике, включающей два варианта расчета
:
— на базе установленного размера процентных отчислений от стоимости реализуемой продукции (роялти);
— исходя из прибыли лицензиата от использования лицензии.
Расчет стоимости лицензии (ноу-хау) на базе установления размера роялти (процентных отчислений от стоимости реализуемой продукции
)
Стоимость лицензии в рассматриваемом случае определяется по формуле:

где
Сл — стоимость лицензии (ожидаемое вознаграждение);
О — среднегодовой объем ожидаемого выпуска продукции по лицензии (ноу-хау);
Ц — средняя (предпочтительно мировая) цена единицы продукции, изготавливаемой по лицензии (ноу-хау);
Вд — срок действия соглашения — 5—10 лет, для беспатентных лицензий — 5—7 лет;
Во — период освоения продукции по лицензии (ноу-хау) обычно 1—3 года;
Вд—Во — колеблется в пределах 5—7 лет;
Р — размер роялти, в среднем 5%, зависит от многих факторов, главным образом, от объема производства и стоимости продукции и колеблется от 1 до 12%.
Размер роялти в соглашениях на ноу-хау обычно понижается на 20—60% в зависимости от характера соглашения на ноу-хау:
а) передаваемый объект (технология) не защищен патентами — понижается на 20—40%;
б) передаваемый объект (технология) известен, но для освоения необходимо дополнительное исследование и значительные капитальные вложения — понижается на 20—40%;
в) ноу-хау передается на объект (технологию), известный на рынке, но представляющий интерес для лицензиата — понижается на 40— 60%.
Первоначальные платежи — по существу авансовые платежи в счет роялти, они являются своего рода гарантией того, что фирма, купившая лицензию, будет заинтересована в использовании переданных ей прав и ноу-хау. Анализ имеющихся лицензионных соглашений показывает, что по большинству сделок доля первоначальных платежей в общей сумме ожидаемого вознаграждения (стоимости лицензии) находится в пределах от 5 до25%.
Паушальные (единовременные) платежи являются наилучшей гарантией получения лицензионного вознаграждения. Эта форма платежей не обусловливается отчетностью лицензиата перед лицензиаром за объем выпускаемой продукции.
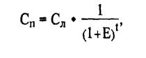
Приведение стоимости лицензии к паушальному платежу производится по формуле:

где
Сп — паушальный платеж;
Сл — стоимость лицензии;
Е — средняя ставка процента за кредит в стране лицензиата, для стран, бывших членов СЭВ — 0,035 (3,5%), в остальных случаях — 0,06—0,08;
t — срок действия соглашения.
Пример расчета стоимости сопутствующей лицензии на базе установления размера роялти:
при поставке печей электрошлакового переплава (ЭШП) передается сопутствующая лицензия в виде ноу-хау на технологию выплавки слитков ЭШП различного типоразмера и марки стали.
Стоимость ноу-хау при выплавке слитков одного усредненного типоразмера составит:
А. Из нержавеющей стали

=3000*1200(6-1)*0,05*0,6 = 480000
где
О - 3000 т/год — производительность установки;
Ц = 1200 руб. — цена 1 т слитков ЭШП из нержавеющей стали (на 35—50% выше стоимости металла обычного производства);
Вд = 6 лет, Во = 1 год;
Р - 5% металлургической промышленности с понижением на
40% (0,05*0,6) для случая в) продажи ноу-хау. Расчет проводится для внутрисоюзных цен. Паушальный платеж Сп (при е= 0,036, t = 6 лет) составит
480000 *0,814 = 390720 руб.
Б. Из конструкционной, легированной стали (цена 1 т указанной стали 320 руб.) остальные значения как в п. А:
Сл = 3000*320*4*.0,05*0,6 = 115200 (руб.)
Сп = 115200*0,9 = 10368 (руб.).
Расчет стоимости лицензии (ноу-хау), исходя из экономического эффекта (прибыли), получаемого потребителем (лицензиатом).
В практике торговли В/О «Лицензинторга» доля лицензиара составляет 20—35% (при наличии патентной защиты) и 10—20% (при отсутствии патентной защиты).
Предполагаемая прибыль П, которую получит потребитель (лицензиат), составит:

где
О — среднегодовой объем выпуска продукции;
Ц — средняя (предположительно мировая) цена единицы продукции по лицензии (ноу-хау);
Вд — срок действия лицензионного соглашения (контракта);
Во — период освоения продукции;
Н — норма прибыли, например, в металлургической промышленности, 0,15.
Пример расчета стоимости ноу-хау, исходя из прибыли лицензиата (исходные данные смотри на предыдущей стр.)
А. Для нержавеющей стали:
П1 = 3000*1200 (6—1) •0,15 = 2*700000 (руб.).
Стоимость ноу-хау с учетом 15%-ной прибыли лицензиата составит
270000 • 0,15 = 405000 (руб.). Б. Для конструкционной, легированной стали
П2=- 3000*320 (6—1)* 0,15= 720000 (руб.).
Стоимость ноу-хау с учетом 15%-ной прибыли лицензиата составит
720000 • 0.16 = 108000 (руб.).
Как видно из приведенного расчета, стоимости сопутствующей лицензии на технологию выплавки слитков ЭШП, определенные по 2-м вариантам, мало отличаются:
390,72 тыс. руб. и 405,0 тыс. руб. — для нержавеющей стали;
103,68 тыс. руб. и 108,0 тыс. руб. — для конструкционной, легированной стали.
Особенности расчета технологического ноу-хау
Особенностью расчета стоимости сопутствующей лицензии (технологического ноу-хау) по сравнению с методикой В/О «Лицензинторг» является тот факт, что расчет проводится на одну единицу оборудования и далее за каждую поставляемую единицу прибавляется определенный процент.
Например, стоимость ноу-хау на одну единицу оборудования составляет 100 тыс.. руб.; за каждую последующую поставляемую единицу оборудования стоимость ноу-хау увеличивается, например, на 20% (процент зависит от производительности оборудования и других факторов):
при поставке 2-х единиц — 120 тыс. руб.;
3-х единиц — 144 тыс. руб.;
4-х единиц — 173 тыс. руб.;
5-и единиц — 207 тыс. руб.;
6-и единиц — 248 тыс. руб.
ki — коэффициент, учитывающий количество поставляемых единиц, например, для 6 единиц составит

При расчете стоимости лицензии по методике В/О «Лицензинторг» она бы составила 100,0 х б ~ 600,0 тыс. руб.
Другой особенностью расчета стоимости сопутствующей лицензии (технологического ноу-хау) является возможность производства на поставляемом оборудовании разной продукции с неизвестным объемом.
Например, на поставляемых на экспорт печах электрошлакового переплава могут производиться различные марки стали. В этом случае определяется стоимость ноу-хау для одной печи и одной (усредненной) марки стали. За каждый последующий типоразмер стоимость ноу-хау увеличивается на определенный процент (процент зависит от сложности перехода на другой типоразмер).
Таким образом, для определения окончательной стоимости технологического ноу-хау рассчитывается ноу-хау с учетом номенклатуры оборудования, а затем уточняется с учетом количества единиц поставляемого оборудования.
Следует отметить, что в случае передачи сопутствующей лицензии в виде технологического ноу-хау его стоимость практически не зависит от стоимости оборудования и может быть значительно выше стоимости оборудования, например, в случае, когда используется «дешевое» оборудование, на котором передается «дорогая» технология (с высокой стоимостью выпускаемой продукции).
Кроме того, отличительной особенностью технологического ноу-хау является то, что он может быть передан как в виде сопутствующей лицензии, вместе с оборудованием в рамках одного контракта, так и самостоятельно, по отдельному, независимому от поставляемого оборудования, лицензионному соглашению.
Расчет технического ноу-хау
При передаче сопутствующей лицензии в виде технического ноу-хау объектом лицензии, главным образом, могут быть:
1. Специальные рекомендации по монтажу, пусконаладочным работам и эксплуатации оборудования, обеспечивающие сокращение сроков монтажа и пуска оборудования (сроков ремонта) во время его эксплуатации и др.
2. Рабочие чертежи отдельных элементов конструкции оборудования, обеспечивающие повышение технологических параметров оборудования (повышение производительности, качества выпускаемой продукции, снижение удельного расхода электроэнергии на единицу выпускаемой продукции, например, на 1 т выплавляемого металла, снижение металлоемкости оборудования и др.). Эти элементы, как правило, не входят в поставку оборудования.
3. Выполнение работ типа инжиниринг применительно к условиям заказчика, обеспечивающих работоспособность и высокие технико-экономические показатели оборудования заказчика с использованием технических решений продавца; поставка отдельных конструктивных элементов, их привязка к существующему у заказчика оборудованию.
В первом случае расчет стоимости сопутствующей лицензии основан на определении суммарного экономического эффекта (Эс), получаемого за счет сокращения сроков монтажа и ввода в эксплуатацию оборудования, сокращения сроков простоя при текущем ремонте и обслуживании.

где
Эм.п. — экономический эффект, получаемый за счет
сокращения сроков монтажа и ввода в эксплуатацию
оборудования;
Эр.о. — экономический эффект, получаемый за счет сокращения
сроков простоев оборудования при текущем ремонте и
обслуживании.
При сокращении сроков монтажа и ввода в эксплуатацию оборудования на М дней экономический эффект получается за счет экономии по зарплате (Ез) и экономии за счет дополнительно выпущенной продукции (Епр).

Экономия по зарплате (Ез) составит

где
Зм — среднемесячная зарплата одного рабочего (в руб.);
К — количество человек, необходимых для проведения монтажа и ввода в эксплуатацию оборудования;
M1 — количество дней, на которое сократится срок монтажа и ввода в эксплуатацию оборудования;
Дм — количество рабочих дней в месяце.
Экономия за счет дополнительно выпущенной продукции (Епр) составит

где
Ц — стоимость (цена) единицы продукции;
Мп — количество дополнительно произведенной продукции.

где
П — производительность оборудования кг-час, шт/час и др.;
n — количество часов работы оборудования в сутки. Экономический эффект, получаемый за счет сокращения простоев оборудования на Мз, процентов в результате увеличения годового фонда работы оборудования составит:

где
Фд — дополнительный фонд работы оборудования, дней.

где
Фг.п. — годовой фонд простоев оборудования.

где
Ч — число дней в году;
Фг — годовой фонд работы оборудования.
Доля стоимости технического ноу-хау от стоимости оборудования составит

где
Цо — стоимость (цена) оборудования.
Практически доля стоимости технического ноу-хау в стоимости оборудования может составлять 5—30%.
Пример расчета стоимости технического ноу-хау (пример условный, взят из области электротермического оборудования)
Объем передаваемого технического ноу-хау включает:
— рекомендации по монтажу и пусконаладочным работам;
— рекомендации по освоению проектной мощности печи;
— рекомендации по выбору оптимальных электрических режимов печи;
— рекомендации по остановке и пуску печи после простоя или ремонта;
— рекомендации по эксплуатации. Передача ноу-хау позволяет:
— сократить сроки монтажа и ввода в эксплуатацию на 30 дней;
— сократить сроки простоя при текущем ремонте на 20%.
Исходные данные для расчета
1. Условная производительность печи, П = 10 тыс. т/год (1200 кг/час).
2. Стоимость (цена) 1 кг продукции, Ц = 0,2 руб/кг.
3. Годовой фонд работы печи. Фр = 345 дн. (8280 час).
4. Стоимость (цена) печи, Цo = 1270 тыс. руб.
5. Количество человек, необходимых для проведения монтажа и ввода в эксплуатацию печи, К = 36.
6. Среднемесячная зарплата одного рабочего для проведения монтажа и пуска в эксплуатацию печи, Зм = 250 руб.
7. Количество часов работы печи в сутки =- 24 (3-сменная работа).
Расчет
1. Экономия по зарплате составит:

2. Экономия за счет дополнительно выпущенной продукции составит:

3. Экономия за счет сокращения простоев печи в результате увеличения годового фонда оборудования:

Расчет стоимости сопутствующей лицензии при передаче заказчику рабочих чертежей отдельных элементов конструкции, обеспечивающих повышение технологических параметров
Расчет основан на получении дополнительной прибыли, главным образом, за счет повышения производительности печи:

где
Пд — дополнительная прибыль, которая получается
при передаче ноу-хау;
Ц — стоимость единицы продукции, выпускаемой оборудованием;
Дд — доля лицензиара в прибыли лицензиата, из практики
торговли 10—20% в случае отсутствия патентной защиты.
Пример расчета
1. При передаче рабочих чертежей кристаллизаторов в виде ноу-хау при поставке печей электрошлакового переплава производительность печей повысилась на 30%.
2. При производительности печи 5000 т/год дополнительная прибыль составила Пд - 5000 • 0,3 - 1500 (т/год).
3. Стоимость (цена) 1 т выпускаемой продукции составляет 1000 руб.
При 20% доли лицензиара в прибыли лицензиата стоимость лицензии (Сд) составит

При выполнении услуг типа инжиниринг применительно к условиям заказчика стоимость этих услуг определяется на базе сметы затрат на разработку техдокументации с учетом объема выполняемых работ, средней зарплаты исполнителей и их занятости.
Например, при поставке некоторых печей на Кубу потребовалось разработать техдокументацию в тропическом исполнении. Стоимость разработки такой документации составила 30 тыс. руб.
Кроме того, учитывая, что в условиях Кубы работа этих печей будет происходить на частоте 60 Гц с напряжением 440В, было необходимо переработать существующую электрическую схему (50 Гц, 220 В) применительно к условиям заказчика. Стоимость этой разработки составила 70 тыс. руб. Итого, стоимость выполнения работ (услуг) типа инжиниринг составила 100 тыс. руб.
Практика передачи услуг типа инжиниринг показала, что их стоимость может составлять 5—15% от стоимости поставляемого оборудования.
Рассчитанная вышеприведенными методами цена сопутствующей
лицензии является лишь ориентиром для заключаемой сделки между продавцом и покупателем.
Окончательная стоимость лицензии подвергается корректировке с учетом конъюнктуры, уровня мировых цен и др. Кроме того, в процессе переговоров с конкретными заказчиками уровень цены лицензии может значительно колебаться в зависимости от многих факторов (стоимости исходного сырья, комплектующих изделий, наличия рынков сбыта и т. д.), связанных с получением прибыли как продавца, так и покупателя при продаже в различные страны (фирмы).
4 РАСЧЕТ СТОИМОСТИ ДОЛИ УСТАВНОГО ФОНДА, ВКЛЮЧАЮЩЕЙ ПРОМЫШЛЕННУЮ СОБСТВЕННОСТЬ В ВИДЕ ИЗОБРЕТЕНИЙ И НОУ-ХАУ.
При организации промышленных предприятий, коммерческих или финансовых организаций (с практически любой формой собственности) — акционерных обществ (АО), совместных предприятий (СП), научно-производственных центров (НПЦ), инженерных центров (ИЦ), фирм, бирж, банков и др. — одним из обязательных и основополагающих факторов является формирование уставного фонда (УФ), являющегося, по существу, «стартовым капиталом», без наличия которого предприятие не только не сможет начать свою практическую деятельность, но более того, оно просто не будет зарегистрировано, ему не будет предоставлено право юридического лица, ему не откроют счет в банке.
Следует также иметь в виду, что от размера (доли в общем объеме) УФ, внесенного учредителем, в дальнейшем в прямой зависимости будет определяться уровень его имущественного права, например, количество голосов в правлении АО, доля акций, доля прибыли и т. д.
Уставной фонд представляет собой определенную сумму средств, выделяемую при образовании предприятия учредителями и являющуюся источником образования основных, частично оборотных средств и интеллектуальной собственности (в том числе промышленной), необходимых для деятельности предприятия.
К основным средствам относятся здания, сооружения, машины, оборудование и т. д. — средства труда стоимостью более 100 руб. за единицу и сроком службы более одного года.
К оборотным средствам относятся материалы, запасные части, готовая продукция, денежные средства и т. д. — средства, однократно участвующие в хозяйственном процессе.
К интеллектуальной (в том числе промышленной) собственности относятся авторские права, лицензии, изобретения, промышленные образцы, товарные знаки, знаки обслуживания, ноу-хау, инжиниринг.
Расчет стоимости средств, вносимых учредителями в уставной фонд из основных и оборотных средств, очевиден и не требует разъяснения. Расчет стоимости, вносимой учредителем в уставной фонд в виде интеллектуальной, в том числе промышленной собственности, поясним на примере, когда стоимость доли уставного фонда определяется от использования в хозяйственном обороте изобретений и ноу-хау.
При создании совместного предприятия — инженерно-технического центра термоупрочнения — вклад в уставной фонд СП АО «ВНИИЭТО» складывается из стоимости использования патентных прав на изобретения и ноу-хау. В данном случае стоимость использования патентных прав и ноу-хау рассчитывается как стоимость лицензий.
Стоимость лицензии может быть определена из экономического эффекта (прибыли), получаемого у покупателя.
Предполагаемая прибыль (П), которую получит покупатель, составит

где
Б — среднегодовой объем ожидаемого выпуска продукции;
В — стоимость (средняя, предпочтительно мировая цена) единицы продукции по лицензии;
С — срок действия лицензионного соглашения (или контракта);
О — период освоения лицензии;
Н — норма прибыли в той или иной области промышленности. Стоимость лицензии (Сд) является долей прибыли потребителя (покупателя), и в практике торговли В/О «Лицензинторг» обычно составляет 10—35% в зависимости от наличия патентной (правовой) защиты, ноу-хау и т. д.

Для одной установки с известной производительностью (Б) стоимость лицензии составит

Пример расчета стоимости доли уставного фонда, включающего стоимость лицензии за использование патентных прав на изобретения и ноу-хау для участка выращивания профильных кристаллов
Участок выращивания профильных кристаллов входит в инженерно-технический центр термоупрочнения.
На участке расположено б установок для выращивания профильных кристаллов сапфира и 6 установок для отжига выращенных кристаллов. Наиболее выгодной в коммерческом отношении продукцией, выпускаемой на установке, является трубка из сапфира диаметром 20—30 мм.1. Определяем прибыль у потребителя:

где
Б — производительность установки по данному профилю,
15 тыс. трубок в год (при двухсменной работе),
В — цена одной трубки, определяемая ее потребительскими
свойствами, 200 руб.
Н — норма прибыли в металлургической промышленности 0,15.

2. Определяем стоимость лицензии за использование патентных прав и ноу-хау.
Принимаем долю продавца от прибыли покупателя 35% (новая технология, защищенная патентами за рубежом, содержит элементы ноу-хау).

3. Определяем стоимость доли уставного фонда

где
6 — количество работающих установок;
120,0 тыс. руб. — стоимость установки для выращивания;
157,5 тыс. руб. — стоимость лицензии.
С учетом 6 печей для отжига кристаллов (стоимость 1-й печи 20,2 тыс. руб.), установленных на участке выращивания профильных кристаллов (печь и процесс отжига на ней не защищена изобретениями и не содержит ноу-хау), стоимость уставного фонда составит:

Вопросы для самопроверки:
- Понятие сопутствующей лицензии;
- Понятие стоимости лицензии;
- Варианты расчета стоимости лицензии;
- Объекты лицензии при передаче технического ноу-хау.
- Понятие ноу-хау;
- Характерные черты ноу-хау;
- Передача ноу-хау;
- Особенности договора о передаче ноу-хау;
- Формы передачи ноу-хау.
Список литературы:
1. Сергеев, А. П. Право интеллектуальной собственности в Российской Федерации: учебник / А. П. Сергеев. М.: Проспект, 2007 – 370 с.
2. Сергеев, А. П. Право интеллектуальной собственности в Российской Федерации: учебник / А. П. Сергеев. М.:ПБОЮЛ, 2004 – 320 с.;
3. Гражданский кодекс Российской Федерации / - М.: Инфра., 2007- 120с.
4. Мужичек С.М. Патентоведение. Конспект лекций. Ставрополь, СГАУ, 2003
5. Электронный ресурс www.fips.ru
|