| Реферат скачен с сайта Средней Школы №76, города Санкт-Петербурга
www.bolotnaya-18.narod.ru
Правильные многогранники

Содержание:
Стр.
1. Введение…………………………………………………………………….3
2. О правильных многогранниках……………………………………………4
2.1. Формула Эйлера……………………………………………………..4
2.2. Доказательство существования пяти правильных многогранников……………………………………………………...5
2.3. Платоновы тела……………………………………………………...6
2.4. Теория Кеплера……………………………………………………...8
2.5. Задача о проверке космической теории Платоновых тел……….10
2.6. Современные гипотезы обустройства мира……………………...11
2.7. Связь многогранников с живой природой………………………..12
3. Заключение………………………………………………………………..15
4. Список литературы……………………………………………………….16
5. ПРИЛОЖЕНИЕ. Содержание слайдов………………………………….17
5.1. Слайд № 7.
5.2. Слайд № 8, 9.
5.3. Слайды № 10, 11.
5.4. Слайд № 12, 13.
5.5. Слайды № 14, 15.
5.6. Слайд № 16, 17.
5.7. Слайд № 19.
ВВЕДЕНИЕ.
Человек проявляет интерес к многогранникам на протяжении всей своей сознательной деятельности – от двухлетнего ребенка, играющего деревянными кубиками, до зрелого математика, наслаждающегося чтением книг о многогранниках. Некоторые из правильных тел встречаются в природе в виде кристаллов, другие – в виде вирусов (которые можно рассмотреть с помощью электронного микроскопа). Пчелы строили шестиугольные соты задолго до появления человека, а в истории цивилизации создание многогранных тел (подобных пирамидам) наряду с другими видами пластических искусств уходит в глубь веков. Пять правильных тел изучали Теэтет, Платон, Евклид, Гипсикл и Папп.
Поэтому эпиграфом к своей работе я выбрал слова Л. Кэрролла:
Правильных многогранников вызывающе мало, но этот весьма скромный по численности отряд сумел пробиться в самые глубины различных наук.
В реферате я доказал существование только 5-ти правильных многогранников, вывел закономерность количества граней, вершин и ребер правильных многогранников (формулу Эйлера), рассмотрел свойства тел Платона, их место в философской картине мира, разработанной мыслителем Платоном. Меня заинтересовала модель Солнечной системы – «Космический кубок» Кеплера и я попытался доказать истинность гипотезы Кеплера с помощью математических выкладок.
2. О правильных многогранниках.
Забиваем Сайты В ТОП КУВАЛДОЙ - Уникальные возможности от SeoHammer
Каждая ссылка анализируется по трем пакетам оценки: SEO, Трафик и SMM.
SeoHammer делает продвижение сайта прозрачным и простым занятием.
Ссылки, вечные ссылки, статьи, упоминания, пресс-релизы - используйте по максимуму потенциал SeoHammer для продвижения вашего сайта.
Что умеет делать SeoHammer
— Продвижение в один клик, интеллектуальный подбор запросов, покупка самых лучших ссылок с высокой степенью качества у лучших бирж ссылок.
— Регулярная проверка качества ссылок по более чем 100 показателям и ежедневный пересчет показателей качества проекта.
— Все известные форматы ссылок: арендные ссылки, вечные ссылки, публикации (упоминания, мнения, отзывы, статьи, пресс-релизы).
— SeoHammer покажет, где рост или падение, а также запросы, на которые нужно обратить внимание.
SeoHammer еще предоставляет технологию Буст, она ускоряет продвижение в десятки раз,
а первые результаты появляются уже в течение первых 7 дней.
Зарегистрироваться и Начать продвижение
2.1. Формула Эйлера (Слайд №18)
Изучая любые многогранники, естественнее всего подсчитать, сколько у него граней, сколько ребер и вершин. Подсчитаем и мы число указанных элементов правильных многогранников и зафиксируем результаты в таблице 1.
Таблица 1
| Правильный многогранник
|
Число
|
| Граней
|
Вершин
|
Ребер
|
| Тетраэдр
Куб
Октаэдр
Додекаэдр
Икосаэдр
|
4
6
8
12
20
|
4
8
6
20
12
|
6
12
12
30
30
|
Рассматривая табл. 1, зададимся вопросом: «нет ли закономерности в возрастании чисел в каждом столбце?» По-видимому, нет. Вот в столбце «грани» все сначала пошло хорошо (4 + 2 = 6, 6 + 2 = 8), а потом намеченная закономерность «провалилась» (8 + 2 ). В столбце «вершины» нет даже стабильного возрастания. Число вершин то возрастает (от 4 до 8, от 6 до 20), а то и убывает (от 8 до 6, от 20 до 12). В столбце «ребра» закономерности тоже не видно.
Мы сравнивали числа внутри одного столбца. Но можно рассмотреть сумму чисел в двух столбцах, хотя бы в столбцах «грани» и «вершины» (Г + В). Сравним новую таблицу своих подсчетов (см. табл. 2).
Таблица № 2
| Правильный
многогранник
|
Число
|
| Граней и вершин (Г + В)
|
Ребер (Р)
|
| Тетраэдр
Куб
Октаэдр
Додекаэдр
Икосаэдр
|
4 + 4 = 8
6 + 8 = 14
8 + 6 = 14
12 + 20 = 32
20 + 12 = 32
|
6
12
12
30
30
|
Вот теперь закономерность видна.
Сформулируем ее так: «Сумма числа граней и вершин равна числу ребер, увеличенному на 2»: Г + В = Р + 2
.
Итак, получена формула, которая была подмечена уже Декартом в 1640 году, а позднее переоткрыта Эйлером (1752), имя которого с тех пор она и носит. Формула Эйлера
верна для любых выпуклых многогранников.
2.2. Доказательство существования пяти правильных многогранников.
Зададимся вопросом о том, сколько правильных многогранников существует?
Предположим, что правильный многогранник имеет
Г
граней, из которых каждая есть правильный
n-угольник,
у каждой вершины сходятся
k
ребер,
всего в многограннике В
вершин и Р
ребер,
причем n 3, поскольку у каждой вершины сходится не менее трех сторон,
и k 3, поскольку у каждой вершины сходится не менее трех ребер.
Считая ребра по граням, получим: n Г = 2Р.
Каждое ребро принадлежит двум граням, значит, в произведении
n Г число Р удвоено.
Считая ребра по вершинам, получим: k В = 2Р, поскольку каждое ребро упирается в 2 вершины. Тогда равенство Эйлера дает:
или . (*)
По условию , тогда , т.е. n и k не могут быть более трех. Например, если бы было n = 4 и k = 4, то тогда и Прикидкой можно проверить, что и другие значения n и k, большие 3, не удовлетворяют равенству (*). Значит, либо k = 3, либо n = 3.
Сервис онлайн-записи на собственном Telegram-боте
Попробуйте сервис онлайн-записи VisitTime на основе вашего собственного Telegram-бота:
— Разгрузит мастера, специалиста или компанию;
— Позволит гибко управлять расписанием и загрузкой;
— Разошлет оповещения о новых услугах или акциях;
— Позволит принять оплату на карту/кошелек/счет;
— Позволит записываться на групповые и персональные посещения;
— Поможет получить от клиента отзывы о визите к вам;
— Включает в себя сервис чаевых.
Для новых пользователей первый месяц бесплатно.
Зарегистрироваться в сервисе
Пусть n
= 3
,
тогда равенство (*) примет вид:
или 
Поскольку может принимать значения , ,
т.е. k = 3, 4, 5.
Если k = 3, n = 3
, то P = 6, Г = В = - это тетраэдр (см. табл. 1).
Если k = 4, n = 3
, то Р = 12, Г = , В = - это октаэдр.
Если k = 5, n = 3
, то Р = 30, Г = В = - это икосаэдр.
Пусть теперь k = 3, тогда равенство (*) примет вид:
, или 
Отсюда следует, что n может принимать значения 3, 4, 5.
Случай n = 3 разобран.
Остаются два случая:
n = 4 при k = 3, тогда , т.е. Р = 12, Г = , В = - это куб.
n = 5 при k = 3, тогда , Р = 30, Г = 12, В = 30 - это додекаэдр.
Мы доказали, что существует пять и только пять правильных выпуклых многогранников. Доказательство того, что больше не может быть, содержится в «Началах» Эвклида, причем автором этого доказательства считается Теэтет. Известно, что в течение нескольких лет Теэтет состоял в Академии и был близок к Платону, и этой близостью можно объяснить то обстоятельство, что Платон оказался знакомым с новейшими в то время открытиями в области стереометрии.
2.3. Платоновы тела. ( Слайд №
4)
Правильные многогранники называются Платоновыми телами, они занимают видное место в философской картине мира, разработанной великим мыслителем Древней Греции Платоном.
Итак, правильных многогранников Платон знал пять, а число стихий (огонь, воздух, вода и земля) было ровно четыре. Следовательно, из пяти многогранников надо выбрать четыре, которые можно было бы сопоставить со стихиями.
Какими соображениями руководствовался при этом Платон? Прежде всего тем, что некоторые элементы, как он считал, могли перейти друг в друга. Преобразование одних многогранников в другие могли быть осуществлены путем перестройки их внутренней структуры. Но для этого в данных телах нужно было найти такие структурные элементы, которые были бы для них общими. Из внешнего вида правильных многогранников явствует, что грани трех многогранников - тетраэдра, октаэдра, икосаэдра – имеют форму равностороннего треугольника. Два оставшихся многогранника – куб и додекаэдр – построены: первый - из квадратов, а второй - из правильных пятиугольников, поэтому они не могут преобразовываться ни друг в друга, ни в рассмотренные три тела. Это значит, что если мы придадим частицам трех стихий формы тетраэдра, октаэдра и икосаэдра, то частицы четвертой стихии будем считать кубами или додекаэдрами, но эта четвертая стихия не сможет переходить в три других, а всегда будет оставаться сама собой. Платон решил, что такой стихией может быть только земля и что мельчайшие частицы, из которых земля состоит, должны быть кубами. Тетраэдру, октаэдру и икосаэдру были сопоставлены соответственно огонь, воздух и вода.

| Тетраэдр (огонь)
|
Куб
(земля)
|
Октаэдр (воздух)
|
Додекаэдр
(модель
Вселенной)
|
Икосаэдр (вода)
|
Что касается пятого многогранника – додекаэдра, то он остается не у дел. По поводу него Платон ограничивается в «Тимее» замечанием, что «его бог определил для Вселенной и прибегнул к нему, когда разрисовывал ее и украшал».
Возникает вопрос «какими соображениями руководствовался Платон, приписывая частицам огня форму тетраэдра, частицам земли – форму куба и т.д.?». Здесь он учитывает чувственно-воспринимаемые свойства соответствующих стихий. Огонь – наиболее подвижная стихия, он обладает разрушительным действием, проникая в другие тела (сжигая или расплавляя, или испаряя их); при соприкосновении с ним мы испытываем чувство боли, как если бы мы укололись или порезались.
Какие частицы могли бы обусловить все эти свойства и действия? Очевидно, наиболее подвижные и легкие частицы, и притом обладающие режущими гранями и колющими углами. Из четырех многогранников, о которых может идти речь, в наибольшей степени удовлетворяет тетраэдр. Поэтому, говорит Платон, образ пирамиды (т.е. тетраэдра) и должен быть в согласии с правильным рассуждением и с правдоподобием, первоначалом и семенем огня, наоборот, земля выступает в нашем опыте как самая неподвижная и устойчивая из всех стихий. Поэтому частицы, из которых она состоит, должны иметь самые устойчивые основания. Из всех четырех тел этим свойством в максимальной мере обладает куб. Поэтому мы не нарушим правдоподобия, если припишем частицам земли кубическую форму. Аналогичным образом с двумя прочими стихиями мы соотнесем частицы, обладающие промежуточными свойствами. Икосаэдр, как самый обтекаемый, представляет частичку воды, октаэдр – частицу воздуха.
Пятый многогранник – додекаэдр – воплощал в себе «все сущее», символизировал весь мир и почитался главнейшим.
Мы видим, каким образом принцип правдоподобия сочетается у Платона с использованием данных повседневного опыта. Любопытно, что Платон почти не касается других, чисто спекулятивных, мотивов (например, связанных с теорией пропорций), которые играли решающую роль в построении его космологической концепции и которые могли оказать влияние и на некоторые аспекты его теории строения вещества.
Правда, сам Тимей, выступающий в данном случае в качестве профессора, читающего лекцию об устройстве мира, является, по всем данным, представителем пифагорейской школы. Однако до сих пор не ясно, существовал ли Тимей как историческая личность или же был фиктивным персонажем, придуманным Платоном для того, чтобы не делать автором космологических и физических теорий его обычного героя – Сократа, ибо это слишком не вязалось бы с образом последнего.
Платон «правдоподобно» систематизировал картину мира. Это была одна из первых попыток ввести в науку саму идею систематизации, которая оказалась очень плодотворной. Она помогла отделить одни области знаний от других, сделав научные исследования более целенаправленными.
2.4. Теория Кеплера (Слайд № 5, 6).
А теперь от Древней Греции перейдем к Европе XYI – XYII вв., где жил и творил замечательный немецкий астроном, математик и великий фантазер Иоганн Кеплер (1571-1630).

Кеплер действительно выступал в науке как астроном, математик и фантазер. Если бы в нем не было хотя бы одного из названных качеств, то он не смог бы достичь таких высот в науке.
На основе обобщения данных, полученных в результате наблюдений, он установил три закона движения планет относительно Солнца.
Первый закон
: каждая планета движется по эллипсу, в одном из фокусов которого находится Солнце.
Второй закон
: каждая планета движется в плоскости, проходящей через центр Солнца, причем площадь сектора орбиты, описанная радиусом-вектором, изменяется пропорционально времени.
Третий закон
: квадраты времени обращения планеты вокруг Солнца относятся, как кубы их средних расстояний от Солнца.
Но это были только гипотезы, пока их не объяснил и уточнил на основе закона всемирного тяготения Исаак Ньютон (1643-1727), создавший теорию движения небесных тел, которая доказала свою жизнеспособность тем, что с ее помощью люди научились предсказывать многие небесные явления.
Но представим себя на месте Кеплера. Перед ним различные таблицы–столбики цифр. Это результаты наблюдений – как его собственных, так и великих предшественников-астрономов. В этом море вычислительной работы человек хочет найти некоторую закономерность. Что поддерживает его в таком грандиозном замысле? Во-первых, вера в гармонию, уверенность в том, что мироздание устроено закономерно, а значит, законы его устройства можно обнаружить. А во-вторых, фантазия в сочетании с терпением и честностью. В самом деле, ну надо же от чего-то оттолкнуться! Искомые законы надо сначала придумать в собственной голове, а потом проверять их наблюдениями.
Сначала Кеплера соблазнила мысль о том, что существует всего пять правильных многогранников и всего шесть (как казалось тогда) планет Солнечной системы: Меркурий, Венера, Земля, Марс, Юпитер, Сатурн. Показалось, что гармония мира и любовь природы к повторениям сделали правильные многогранники связующими звеньями между шестью небесными телами. Кеплер предположил, что сферы планет связаны между собой вписанными в них Платоновыми телами. Так как для каждого правильного многогранника центры вписанной и описанной сфер совпадают, то вся модель будет иметь единый центр, в котором располагается Солнце.

Кеплер выполнил огромную вычислительную работу, чтобы подтвердить свои предположения. В 1596 году он выпустил книгу, в которой они были изложены. Согласно этим предположениям, в сферу орбиты Сатурна можно вписать куб, в который вписывается сфера орбиты Юпитера. В нее, в свою очередь, вписывается тетраэдр, описанный около сферы орбиты Марса. В сферу орбиты Марса вписывается додекаэдр, в который вписывается сфера орбиты Земли. А она описана около икосаэдра, в который вписана сфера орбиты Венеры. Сфера этой планеты описана около октаэдра, в который вписывается сфера Меркурия. Такая модель Солнечной системы получила название «Космического кубка» Кеплера.
2.5. Задача о проверке космической теории Платоновых тел.
Можно проверить самим космическую теорию Платоновых тел. Рассмотрим задачу:
«Средние радиусы орбиты Сатурна и Юпитера равны соответственно Rс= 1, 427·109
км и Rю =
0,788 · 109
км. Найдите отношение радиусов орбит указанных планет и сравните найденное отношение с отношением радиусов описанной около куба и вписанной в него сфер».
Решение.
Согласно гипотезе Кеплера эти отношения должны быть равны. Итак, из наблюдений имеем:
.
Согласно гипотезе в сферу орбиты Сатурна вписан куб, пусть его ребро равно а. Тогда радиус вписанной окружности равен половине диагонали вписанного куба, т.е. но и тогда . В этот куб вписана сфера (орбита Юпитера). Обозначим ее радиус через r. Он равен половине ребра куба, т.е. . Тогда .
Как видим, расхождение между теоретическим отношением R : r и наблюдаемым Rс : Rю не так уж и велико, менее 0,1. А для космических масштабов оно вроде бы и допустимо. Эти «почти совпадения» и заставляли Кеплера долго держаться за теорию платоновых тел, поскольку легко было заподозрить ошибку в наблюдениях.
Год за годом он уточнял свои наблюдения, перепроверял данные коллег, но, наконец, нашел в себе силы отказаться от заманчивой гипотезы. Однако ее следы просматриваются в третьем законе Кеплера, где говорится о кубах средних расстояний от Солнца.
Каким образом они могли появиться в сознании человека, если бы он не рассуждал об объеме пространственных тел? Ведь именно объем, как мы знаем, выражается кубами линейных размеров тел. Но это тоже гипотеза, гипотеза о том, как были найдены законы Кеплера. У нас нет возможности ее проверить, но мы твердо знаем одно: без гипотез, иногда самых неожиданных, казалось бы, бредовых, не может существовать наука.
2.6. Современные гипотезы обустройства мира (Слайд №23).
Итак, Платон, Кеплер, Пифагор связывали правильные многоугольники с гармоничным устройством мира. А известны ли вам современные гипотезы обустройства мира?
Идеи Пифагора, Платона, Кеплера о связи правильных многоугольников с гармоничным устройством мира и в наше время нашли свое продолжение в интересной научной гипотезе, которую высказали в начале 80-х гг. ХХ века московские инженеры В.Макаров и В. Морозов.
Они считают, что ядро Земли имеет форму и свойства растущего кристалла, оказывающего воздействие на развитие всех природных процессов, идущих на планете. Лучи этого кристалла, а точнее его силовое поле, обусловливают икосаэдро-додекаэдровую
структуру Земли. Она проявляется в том, что в земной коре как бы проступают проекции вписанных в земной шар правильных многогранников: икосаэдра и додекаэдра. Многие залежи полезных ископаемых тянутся вдоль икосаэдро-додекаэдровой сетки; 62 вершины и середины ребер многогранников, называемых авторами узлами, обладают рядом специфических свойств, позволяющих объяснить некоторые непонятные явления. Здесь располагаются очаги древнейших культур и цивилизаций: Перу, Северная Монголия, Гаити, Обская культура и другие. В этих точках наблюдаются максимумы и минимумы атмосферного давления, гигантские завихрения мирового океана. В этих узлах находится озеро Лох-Несс, Бермудский треугольник. Дальнейшие исследования Земли, возможно, определят отношение к этой научной гипотезе, в которой, как видно, правильные многогранники занимают важное место.

5.7. Связь многогранников с живой природой (Слайд № 20, 21, 22).
Рассуждая об устройстве мира, нельзя оставить без внимания живую природу. Встречаются ли в живой природе правильные многогранники?
1. Правильные многогранники встречаются и в живой природе. Например, скелет одноклеточного организма феодарии
(Circogonia icosahedra) по форме напоминает икосаэдр. Большинство феодарий живут на морской глубине и служат добычей коралловых рыбок. Но простейшее животное пытается себя защитить: из 12 вершин скелета выходят 12 полых игл. На концах игл находятся зубцы, делающие иглу еще более эффективной при защите.
Чем же вызвана такая природная геометризация феодарий? Тем, по-видимому, что из всех многогранников с тем же числом граней именно икосаэдр имеет наибольший объем при наименьшей площади поверхности. Это свойство помогает морскому организму преодолевать давление водной толщи.

2. Интересно, что икосаэдр оказался в центре внимания биологов в их спорах относительно формы некоторых вирусов.
Вирус не может быть совершенно круглым, как считалось раньше. Для того чтобы определить его форму, брали разные многогранники, направляли на них свет под теми же углами, что и поток атомов на вирус. Оказалось, что только один многогранник дает точно такую же тень – икосаэдр.
3. Правильные многогранники – самые выгодные фигуры. И природа этим широко пользуется. Подтверждением тому служит форма некоторых кристаллов. Взять хотя бы поваренную соль
, без которой мы не можем обойтись. Известно, что она хорошо растворима в воде, служит проводником электрического тока. А кристаллы поваренной соли (NaCl) имеют форму куба.

4. При производстве алюминия
пользуются алюминиево-калиевыми квасцами (K[Al(SO4
)2
]·12H2
O), монокристалл которых имеет форму правильного октаэдра.
5. Получение серной кислоты, железа, особых сортов цемента не обходится без сернистого колчедана
(FeS). Кристаллы этого химического вещества имеют форму додекаэдра.
6. В разных химических реакциях применяется сурьмянистый сернокислый натрий (Na5
(SbO4
(SO4
)) – вещество, синтезированное учеными. Кристалл сурьмянистого сернокислого натрия
имеет форму тетраэдра.
7. Последний правильный многогранник – икосаэдр передает форму кристаллов бора
(B). В свое время бор использовался для создания полупроводников первого поколения.

Итак, благодаря правильным многогранникам, открываются не только удивительные свойства геометрических фигур, но и пути познания природной гармонии.
Заключение.
В ходе работы над рефератом я изучил правильные многогранники, рассмотрел их модели, выделил и систематизировал свойства каждого из многогранников. Кроме этого я узнал, что правильные многогранники с древних времен привлекали внимание ученых, строителей, архитекторов и многих других. Их поражала красота, совершенство, гармония этих многогранников. Пифагорейцы считали эти многогранники божественными и использовали их в своих философских сочинениях о существе мира. Подробно описал свойства правильных многогранников древнегреческий ученый Платон. Правильным многогранникам посвящена последняя XIII книга знаменитых «Начал» Евклида. К многогранникам обращались и в более позднее время. Это видно из научных трудов Иоганна Кеплера.
Я решил выполнить презентацию, используя знания, полученные на уроках математики и информатики. Мне хотелось создать такую презентацию, чтобы ее можно было использовать на уроках геометрии. Весь материал реферата не имеет смысла отражать в слайдах, поэтому я выбрал, на мой взгляд, самое важное. Для большей наглядности использовал рисунки, фотографии, таблицы.
Работа мною выполнена в 2-х вариантах: печатном и электронном, предусмотрена возможность показа презентации «Правильные многогранники» при помощи мультимедийной установки.
Помимо специальной литературы я использовал возможности INTERNET.
Презентация создана с помощью программы Microsoft Power Point, содержит 23 слайда.
Литература.
1. Учебник. Л.С. Атанасян, В.Ф. Бутузов, С.Б. Кадомцев и др. Геометрия, 10-11
классы.
2. Пособие для поступающих в вузы .Кутасов А.Д., Пиголкина Т.С. и др.. М., «Наука», 1985.
3. Информатика: Лабораторный практикум. Создание текстовых документов в текстовом редакторе Microsoft Word 2000/ Авт.-сост. В.Н. Голубцов, А.К.Козырев и др., Саратов: Лицей, 2003.
4. Сборник конкурсных задач по математике для поступающих в вузы под ред. Сканави М.И., Санкт-Петербург, 1994.
5. Интернет – сайты.
6. Гросман С., Тернер Дж. Математика для биологов. М., 1983.
7. Курант Р., Роббинс Г. Что такое математика? М., 1967.
8. Кованцов Н.И. Математика и романтика. Киев, 1976.
9. Кокстер Г.С.М. Введение в геометрию. М., 1966.
10. Смирнова И.М. В мире многогранников. М., 1990.
11. Шарыгин И.Ф., Ерганжиева Л.Н. Наглядная геометрия. М., 1992.
12. Энциклопедический словарь юного математика. М., 1989.
ПРИЛОЖЕНИЕ
5.1. Определение правильного многогранника (Слайд № 7).
Многогранник называется правильным, если:
он выпуклый,
все его грани - равные правильные многоугольники,
в каждой вершине сходится одинаковое число граней,
все его двухгранные углы равны.
5.2. Тетраэдр и его свойства
(Слайд № 8, 9).
- Тетраэдр составлен из четырех равносторонних треугольников.
- Каждая его вершина является вершиной трех треугольников.
- Сумма плоских углов при каждой вершине равна 180 градусов.
Таким образом,
тетраэдр имеет
4 грани,
4 вершины
и 6 ребер
.

- Тетраэдр не имеет центра симметрии, но имеет 3 оси симметрии и 6 плоскостей симметрии.
- Радиус описанной сферы: 
- Радиус вписанной сферы: 
- Площадь поверхности: 
- Объем тетраэдра: 
5.4. Гексаэдр и его свойства
(Слайд № 10, 11).

- Куб составлен из шести квадратов.
- Каждая его вершина является вершиной трех квадратов.
- Сумма плоских углов при каждой вершине равна 270 градусов.
Таким образом, куб имеет
6 граней,
8 вершин
12 ребер.

- Куб имеет центр симметрии - центр куба, 9 осей симметрии и 9 плоскостей симметрии.
- Радиус описанной сферы: 
- Радиус вписанной сферы: 
- Площадь поверхности куба: S = 6a²
- Объем куба: V = a
³
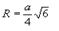
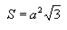
5.5. Октаэдр и его свойства
(Слайд № 12, 13).

- Октаэдр составлен из восьми равносторонних треугольников.
- Каждая его вершина является вершиной четырех треугольников.
- Сумма плоских углов при каждой вершине равна 240 градусов.
Таким образом,
октаэдр имеет
8 граней,
6 вершин
12 ребер.

- Октаэдр имеет центр симметрии - центр октаэдра, 9 осей симметрии и 9 плоскостей симметрии.
- Радиус описанной сферы: 
- Радиус вписанной сферы:
- Площадь поверхности: 
- Объем октаэдра: 
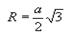
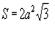
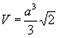
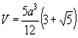
5.6. Икосаэдр и его свойства
(Слайд № 14, 15).

- Икосаэдр составлен из двадцати равносторонних треугольников.
- Каждая его вершина является вершиной пяти треугольников.
- Сумма плоских углов при каждой вершине равна 300 градусов.
Таким образом,
икосаэдр имеет
20 граней,
12 вершин
30 ребер.

- Икосаэдр имеет центр симметрии - центр икосаэдра, 15 осей симметрии и 15 плоскостей симметрии.
- Радиус описанной сферы: 
- Радиус вписанной сферы: 
- Площадь поверхности: 
- Объем икосаэдра: 
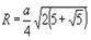
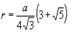
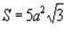
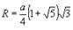
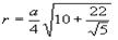
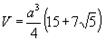
5.7. Додекаэдр и его свойства
(Слайд № 16, 17).

- Додекаэдр составлен из двенадцати равносторонних пятиугольников.
- Каждая его вершина является вершиной трех пятиугольников.
- Сумма плоских углов при каждой вершине равна 324 градусов.
Таким образом,
додекаэдр имеет
12 граней,
20 вершин
30 ребер.

- Радиус описанной сферы: 
- Радиус вписанной сферы: 
- Площадь поверхности: 
- Объем додекаэдра: 
5.8. Таблица свойств правильных
многогранников
(Слайд № 19).
| № п.п.
|
Название
правильного
многогранника
|
Вид грани
|
КОЛИЧЕСТВО
|
Количество ребер, выходящих из одной вершины
|
Сумма плоских углов при вершине
|
Центр
симметрии
|
Ось симметрии
|
Плоскость симметрии
|
Площадь поверхности, (сторона
= а)
|
Объем
|
| граней
|
вершин
|
ребер
|
| 1.
|
Тетраэдр
|
Правильный треугольник
|
4
|
4
|
6
|
3
|
180 
|
нет
|
3
|
6
|
S = 4* = =
|
 
|
| 2.
|
Куб (гексаэдр)
|
Квадрат
|
6
|
8
|
12
|
3
|
270
|
1
(центр куба)
|
9
|
9
|
S = 6a
|

|
| 3.
|
Октаэдр
|
Правильный треугольник
|
8
|
6
|
12
|
4
|
240
|
1
(центр октайдра)
|
9
|
9
|
S = 8S =8* =
=2 а
|

|
| 4.
|
Додекаэдр
|
Правильный пятиугольник
|
12
|
20
|
30
|
3
|
324
|
1
|
|
|
S = 12S =
|

|
| 5.
|
Икосаэдр
|
Правильный треугольник
|
20
|
12
|
30
|
5
|
300
|
1
(центр икосаэдра)
|
15
|
15
|
S = 20S =20* =5 a
|

|
|