| Академия Федеральной Службы Безопасности
Реферат по истории математики
Тема
:
Готфрид Вильгельм
Лейбниц

Москва 2003 г.
ПЛАН:
1) Вступление 3.
2) Биографическая часть 4-9.
3) Лейбниц-математик. Математические работы Лейбница 10-21.
4) Заключение 22.
Вступление.
Среди великих ученых прошлого Готфрид Вильгельм Лейбниц занимает одно из первых мест. Его имя вписано в историю математики, механики и физики, он занимался логикой, юриспруденцией, историей и теологией, выдвинул ценные идеи в геологии, языкознании, и психологии. Лейбниц- один из крупнейших философов нового времени, стоящий в одном ряду с Декартом, Спинозой, Кантом, Гегелем. И, кроме того, Лейбниц причастен к горному, монетному и библиотечному делу, изобретал различные устройства, счётную машину, был публицистом, политиком и дипломатом, организовывал академии наук, ставил химические опыты и интересовался медициной. Не везде он достигает таких вершин, как в философии, где его признают чуть не первым мыслителем эпохи, или в математике, где он выступает соперником Ньютона, но он всегда значителен, и то, что им сделано, сохраняет, по меньшей мере, исторический интерес. Он в центре всех интересов своего времени, начиная с юношеских лет и до кончины, в течение примерно полувека. Он писал много помимо писем, правда, в законченном виде напечатал сравнительно мало и говорил: кто знает меня только по законченному, тот меня не знает. Разносторонняя и исключительная одаренность Лейбница позволила ему охватить почти все стороны интеллектуальной жизни своей страны и своего времени.
Биографическая часть
Лейбниц родился в Германии - в стране, расположенной в центре Европы, в Лейпциге - одном из центральных городов этой страны, 21 июня 1646 года, т. е. примерно в середине столетия, за два года до Вестфальского мира, которым закончилась Тридцатилетняя война.
К середине XVII в. Германия была опустошена. Население за время Тридцатилетней войны уменьшилось, по оценкам некоторых историков, более чем вдвое (с 16 миллионов до 6), притом за счет наиболее работоспособной части. Много лет спустя Лейбниц, будучи уже зрелым политиком, писал, что население Германии тогда почти целиком состояло из зеленого юношества, и если бы война разгорелась снова, то подрастающее поколение было бы уничтожено в зародыше и большая часть несчастной страны превратилась бы в пустыню. Действительно, многим областям Германии понадобилось сто лет и больше, чтобы вернуться к тому уровню заселенности и благосостояния, которого они достигли и начале XVII в.
Забиваем Сайты В ТОП КУВАЛДОЙ - Уникальные возможности от SeoHammer
Каждая ссылка анализируется по трем пакетам оценки: SEO, Трафик и SMM.
SeoHammer делает продвижение сайта прозрачным и простым занятием.
Ссылки, вечные ссылки, статьи, упоминания, пресс-релизы - используйте по максимуму потенциал SeoHammer для продвижения вашего сайта.
Что умеет делать SeoHammer
— Продвижение в один клик, интеллектуальный подбор запросов, покупка самых лучших ссылок с высокой степенью качества у лучших бирж ссылок.
— Регулярная проверка качества ссылок по более чем 100 показателям и ежедневный пересчет показателей качества проекта.
— Все известные форматы ссылок: арендные ссылки, вечные ссылки, публикации (упоминания, мнения, отзывы, статьи, пресс-релизы).
— SeoHammer покажет, где рост или падение, а также запросы, на которые нужно обратить внимание.
SeoHammer еще предоставляет технологию Буст, она ускоряет продвижение в десятки раз,
а первые результаты появляются уже в течение первых 7 дней.
Зарегистрироваться и Начать продвижение
Родители Лейбница были довольно состоятельными и благополучными людьми. По своему социальному статусу они были бюргерами (горожанами), но бюргерами из почтенных. Наиболее давние из известных представителей этой семьи называли себя не Leibniz, a Leubnitz. В одной из своих автобиографических заметок Лейбниц указал, что его фамилия - в форме ли Leubnitz или Lubeniecz - славянская. Весьма вероятно, что происходит она от Lipnice (Липнице) — названия реки и нескольких населенных пунктов в Польше и Чехословакии.
По отцовской линии это - учителя, органист, бургомистр небольшого города, горных дел мастер. И дед Лейбница со стороны отца пошел по горному делу и женат был на дочери горного десятника. Фридрих Лейбниц, отец ученого, пролагал себе дорогу в жизни собственными силами: родителей он потерял, будучи студентом. Специализировался он как юрист, был нотариусом, потом делопроизводителем («актуарием») Лейпцигского университета, принимал деятельное участие в управлении университетом в тяжелые годы Тридцатилетней войны, выказав и практическую сметку и дипломатические способности, наконец, в 640г. стал профессором морали на философском факультете того же университета. От первой жены он имел двух, детей, сына и дочь, после ее смерти женился вторично, но быстро овдовел и только в третьем браке с Катариной Шмук нашел подруг жизни, которая занялась воспитанием детей от первого брака и сделала его отцом еще одного сына, Готфрида Вильгельма.
Сколько-нибудь ближе представить себе, что за люди были родители Лейбница, трудно. Не подлежит сомнению, что он унаследовал ясно выраженную в отцовской линии практическую сметку, деловитость. Рос он не в роскоши, но в достатке, среди образованных людей и среди книг, рано пробудивших в нем любопытство: отец имел порядочную библиотеку, и в ней было немало иллюстрированных изданий. В семейную традицию входила, наряду с деловитостью, религиозность. Лейбниц рос в Кругу юристов и богословов, отец его был человек глубоко верующий.
Кстати, одной привилегией, обеспеченной принадлежностью к академическим кругам зажиточного бюргерства, Лейбниц воспользовался (может быть, того сам не зная) очень рано: в 1653 г., когда ему еще не было семи лет, его записали студентом Лейпцигского университета. Возможно, это было сделано потому, что мальчик незадолго перед этим, в 1652 г., потерял отца - зачисление в студенты закрепляло за ним принадлежность к университету, где отец работал с 1628 г. Фактически же в 1653 г. «студент» Лейбниц начал посещать одну из двух наиболее почетных и солидных лейпцигских городских школ, Nikolai-Schule.
Сервис онлайн-записи на собственном Telegram-боте
Попробуйте сервис онлайн-записи VisitTime на основе вашего собственного Telegram-бота:
— Разгрузит мастера, специалиста или компанию;
— Позволит гибко управлять расписанием и загрузкой;
— Разошлет оповещения о новых услугах или акциях;
— Позволит принять оплату на карту/кошелек/счет;
— Позволит записываться на групповые и персональные посещения;
— Поможет получить от клиента отзывы о визите к вам;
— Включает в себя сервис чаевых.
Для новых пользователей первый месяц бесплатно.
Зарегистрироваться в сервисе
В начальном, шестом классе (в немецких школах нумерация классов идет в порядке, противоположном нашему) маленького Лейбница учили читать и писать, тогда же начиналось обучение латинскому языку, а в следующем (пятом) классе латинский был уже основным предметом. Но ребенок еще раньше заинтересовался иллюстрированной «Римской историей» Тита Ливия и попытался без помощи взрослых разобраться в том, что значили подписи к картинкам, а затем и в основном тексте.
Пропуская многое, что было ему непонятно, мальчик одолел всю книгу и затем начал ее читать заново. У него хватило терпения и настойчивости повторить такое чтение несколько раз, а догадливости оказалось достаточно, чтобы таким образом значительно подвинуться в понимании текста и знании языка. Конечно, он не мог еще разобраться во всех грамматических формах, и школьный учитель был вдвойне обескуражен, обнаружив «латинскую эрудицию» своего восьмилетнего воспитанника: и язык тот усваивал по-своему, не зная иногда основ стандартного курса и уйдя вместе с тем далеко вперед, и материал для чтения нашел, никак не подходивший для такого малыша,- в его возрасте полагалось просвещаться с помощью краткого катехизиса или книги с картинками.
А вот как описывал свои первые шаги: в науках сам Лейбниц, называя себя Пацидием - латинская инторпретация его имени Готфрид, состоящего из двух немецких слов, означающих «бог» и «мир».
Вильгельм Пацидий из Лейпцига, немец по рождению, очень рано лишившийся отца, руководившего его воспитанием, по собственному побуждению увлекся изучением наук и свободу его в этом никак не ограничивали. Ему был открыт доступ в домашнюю библиотеку, где восьмилетний мальчик часто пропадал по целым дням, и хотя он едва понимал латынь, он брал первые попавшиеся под руку книги, снимал их с полок и снова откладывал в сторону, перелистывал без всякого разбора, останавливался, где ему нравилось, или перескакивал на другое, смотря по тому, насколько его привлекали понятность языка и интерес содержания. Казалось, что он избрал судьбу своим учителем и слышал какой-то голос, говоривший ему: бери и читай. Так как судьба его была такова, что ему пришлось обходиться без постороннего совета, и ему ничего не оставалось, как руководствоваться свойственной его возрасту смелостью, которой помогал сам Бог. Случаю было угодно натолкнуть его прежде всего на древних, в которых он сначала не понимал ничего, мало-помалу стал понимать кое-что, а в конце концов понял все, что ему было нужно; и как люди, постоянно находящиеся на солнце, поневоле загорают, так он принял известную окраску не только в своем стиле, но и в образе мыслей. Когда он затем пришел к новейшим авторам, ему показались противными эти сочинения, наполнявшие тогдашние книжные лавки, с их ничего не говорящей высокопарностью или винегретом чужих мыслей,- эти книги, лишенные прелести, силы и содержания, лишенные всякой живой пользы. Казалось, что они написаны совсем для другого мира, который они сами называли то своей республикой, то Парнасом. Тогда он опять начинал: думать о древних, возбуждавших в его душе совсем иные чувства своими мужественными, высокими, сильными, как бы все превосходящими мыслями, выражающими всю человеческую жизнь в одном образе, своими естественными, ясными, гибкими, соответствующими предмету формами! Эта разница была для него столь ощутима, что с этих пор он прочно установил для себя следующие два принципа: всегда искать в словах и образе выражения мыслей ясности, а в вещах пользы. Позже он узнал, что первая составляет основание любого суждения, последняя - всякого изобретения, и что большинство людей заблуждаются, потому что их словам недостает ясности, а их опытам - цели.
И дальше мы узнаем о юном Пацидии - Лейбнице, что для него источником радости было познакомиться с творениями древних авторов, которых он до того знал лишь по именам - с Цицероном, Сенекой, Плинием, Геродотом, Ксенофонтом, Платоном, историками времен Римской империи, многими отцами церкви, писавшими на латинском и греческом языках. Мальчик читал их, руководясь некоей внутренней потребностью, и наслаждался удивительным разнообразием содержания.
Школьное учение шло своим чередом: в четвертом классе обучали арифметическим действиям («счету»), в третьем начиналось изучение греческого языка. Второй классе (secunda) был двухлетним (1657 —1659 гг.). Это был класс риторики, красноречия, и здесь Лейбниц приобрел репутацию поэта. Первый класс (prima) тоже был двухгодичным (1659-1661 гг.), и в нём основным предметом была логика, главным образом Аристотелевская логика силлогизма.
Закончив школу, в 1661 г. пятнадцатилетний Готфрид Вильгельм стал студентом Лейпцигского университета не только de jure, но и de facto. Он поступил: на философский факультет, игравший роль подготовительного для юридического, богословского. Стать в пятнадцать лет студентом не было в те времена чем-то исключительно редким, философский факультет был прямым продолжением хорошей средней школы, которую закончил Лейбниц. Но за те четыре семестра, которые провел Лейбниц на философском факультете, он прошел большой путь.
Студенты изучали в течение двух лет историю, философию, древнееврейский язык, латинских и греческих авторов, математику. Профессору математики Кюну вряд ли можно отвести место в истории интеллектуального развития самого выдающегося из его студентов. Кюн разъяснял слушателям «Начала» Евклида, вероятно, не в полном объеме. Считают, что учебником служили «Начала» в издании Христофора Клавия на латинском языке с обширными пояснениями. Также как и в Nikolai-Schule способности и успехи Лейбница продолжают вызывать удивление наставников. Уже в декабре 1662 г., в шестнадцать лет, Лейбниц получает первое ученое звание -он бакалавр философии, что отвечало примерно гимназическому аттестату зрелости более поздних времен. Вслед за этим он подготавливает «диспутацию». Это должна была быть именно диспутация, а не диссертация - по традиции работу писал профессор, а руководимый им студент должен был на диспуте, проходившем под председательством профессора-автора, «респондировать» - отвечать на возражения оппонента. В данном случае традиция не была полностью соблюдена, и получилась своего рода диссертация, так как Лейбницу доверили самому написать, конечно, по латыни, «Метафизическую диспутацию о принципе индивидуума». Лейбниц с успехом защитил ее в июне 1663 г., показав себя если не оратором (голос и дикция оставляли желать лучшего), то очень находчивым и сообразительным диспутантом. Лейбниц, доказав факультету свою философскую зрелость, хочет основательнее заняться новой наукой, ему нужно углубиться в физико-математические дисциплины. Здесь ему, самоучке, нужен все-таки учитель, а в Лейпциге нет подходящего человека. Поэтому на летний семестр 1663 г. он переходит в Йенский университет. Он пробыл в Йенском университете только один семестр. Свои знания по математике он пополнил там в малой мере, что ему, впрочем, стало ясно только спустя несколько лет, но, несомненно, для его формирования как мыслителя этот семестр дал много такого, чего в Лейпцигском университете Лейбниц заведомо не мог получить.
По возвращении из Йены предстоял окончательный выбор профессии. Фактически для способного бюргера в положении Лейбница этот выбор был невелик: или юриспруденция или богословие, т. е. или юридический или богословский факультет. Лейбниц выбрал юридический - он был сыном юриста и внуком (по материнской линии) юриста, среди его более далеких родственников была юридическая знаменитость своего времени - Иоган Штраух. Но, надо думать, не только семейные традиции и связи предопределили его выбор: в богословии Лейбниц должен был себя чувствовать дальше от того еще не изведанного им мира. Прежние занятия историей и философией пригодились ему на новом поприще - они облегчали понимание законоведения, он без всякого труда постигал смысл законов и так как легко овладевал теорией, стремился приобщиться к практической деятельности юриста. В этом деле ему помог друг, советник лейпцигского суда, который часто брал его с собой в суд, давал читать дела и на примерах показывал, как надо составлять юридические заключения. И Лейбниц добавляет к этому, что должность судьи ему нравилась, а адвокатские увертки возбуждали в нем отвращение, вследствие чего он и позже никогда не брался за ведение процессов.
В соответствии со своей философской подготовкой он, находясь на юридическом факультете, получил сначала в 1664 г. степень магистра философии, выступив с диспутацией философско-юридического характера «Примеры философских вопросов из, юриспруденции». Он заявляет в начале этого сочинения: «Вскормленный философией, я стал учеником юриспруденции, но всякий раз, когда такой случай представлялся, я возвращался к философии и я обращал внимание на те пункты, в которых эти обе науки соприкасаются и родственны». И примеры, которые собрал Лейбниц, должны были доказать профессиональным юристам, что нельзя пренебрегать философией, - без нее, как выражается Лейбниц, многое в правоведении представляло бы крайне запутанный лабиринт.
В двадцать лет для Лейбница начались «годы странствий». Надо отметить что это не было чем-то необычным: странствовали цеховые ремесленники, обучаясь у мастеров, странствовали студенты, переходя из университета в университет, странствовали проповедники. Крепкие корни, которые семья Лейбница пустила в лейпцигскую почву, после смерти родителей ослабели и не могли удержать молодого юриста.
Осенью 1666 г. он в Нюрнберге, где жил его родственник Ю. Я. Лейбниц, занимавший довольно видный пост, добивается разрешения представить и защищать докторскую диссертацию. Университет имперского города Нюрнберга был расположен неподалеку, в Альтдорфе, и там 5 ноября 1666 г. состоялась защита его работы «Пример юридической трудности или диссертация о запутанных случаях».
В конце лета или осенью 1667 г. Лейбниц уехал из Нюрнберга во Франкфурт-на-Майне, предполагая оттуда направиться в Голландию. Голландия была тогда передовой, процветающей страной, в науке и технике соперничала с Францией и Англией. Лейбница туда могла привлекать слава Гюйгенса и Спинозы. Мы не знаем, как из Франкфурта-на-Майне он установил связь с придворным советником майнцского курфюрста Лассером, которому было поручено вместе с группой помощников подготовить проект нового свода законов. Лейбниц побывал в Майнце (1668г.), произвел впечатление на Лассера своими: юридическими воззрениями, и тот решил попытаться заполучить такого помощника, что и Лейбница заинтересовало. С 1668 по 1672 г. длиться так называемый майнценский период жизни Лейбница. В майнцские годы Лейбниц выступает с первыми самостоятельными работами в области естествознания и вступает на тернистый путь изобретателя. В 1670 г. он начинает работать над счетной машиной и пишет об этом в Парижскую академию наук. В том же году Лейбниц печатает во Франкфурте работу по оптике с описанием новой модели очков.
В 1672 г. Лейбниц уже в Париже. 1672-1676 гг. - очень важный парижский период жизни Лейбница. В парижские годы центр тяжести деятельности Лейбница смещается в сторону математики и естествознания, философия и теология остаются постоянным предметом его размышлений, занятия политикой и юриспруденцией занимают гораздо более скромное место.
В декабре 1676 г. Лейбниц по приглашению герцога Иоанна Фридриха приезжает в Ганновер. В Ганновере XVII в. Лейбниц был человеком «нового города», но из тех, чье положение было наименее прочным: не военный, не священник и не полноправный сотрудник администрации, без родственных связей и дворянской приставки к фамилии, он был в глазах влиятельных ганноверцев только выскочкой. Как ученый он был известен в основном своим корреспондентам - Лейбниц еще ничего не напечатал о своих математических открытиях.
С начала марта 1689 г. до конца марта 1690 г. Лейбниц в Италии - год с небольшим. Это был едва ли не лучший год его жизни - не в творческом, а в нравственном отношении. Лейбниц снова надышался кислородом, которого ему не хватало в Ганновере. В Италии Лейбниц нашел не только памятники прошлого, «священные камни», красоту пейзажей и дворцов, умение жить и веселиться, он нашел общество людей, живущих такими же интересами, как и он, именно общество, а не одиночек.
1711-1716 годы стали итоговыми. Не потому, что Лейбницу удалось завершить свои труды и оставить потомкам тома, в которых систематизировано все, что он мог сказать так, как он хотел сказать. Эти годы вобрали в себя всю предшествующую жизнь. Все эти годы Лейбниц продолжал работать только работа двигалась медленнее, чем хотелось, подводило здоровье. В 1715 г. Лейбниц был уже серьёзно болен. Лечение в Бад-Пирмонте мало помогло, мучительные приступы подагры и ревматизма становились чаще и острее. Последнее из сохранившихся писем Лейбница датировано 3 ноября 1716 г., а через три-четыре дня после этого он уже совсем не мог писать. 14 ноября ему стало настолько плохо, что он, избегавший услуг профессиональных медиков, послал за известным ему врачом-иностранцем, который оказался тогда в Ганновере. Врач нашел состояние больного угрожающим и сам поспешил в аптеку, чтобы ускорить приготовление прописанного им лекарства. В это время силы оставили Лейбница, он лег на кровать, закрыл глаза и через несколько минут, около 10 часов вечера 14 ноября 1716 г., скончался. Священника для причастия Лейбниц не вызвал и, может быть, не позволил вызвать.
Рассказы о том, что Лейбница похоронили чуть ли не как вора, хотя их еще повторяют в литературе, надо считать опровергнутыми: минимум приличий был соблюден. Гроб был убран достойным образом, звонили колокола, справили службу, и происходило это в присутствии нескольких друзей и сотрудников и единственного наследника, пастора Леффлера, племянника Лейбница. Но не было высших официальных лиц ганноверского двора, которому Лейбниц служил сорок лет своим умом, своим пером, своими дарованиями.
Лейбниц-математик. Математические работы Лейбница
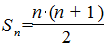
Парижские годы можно назвать первым этапом становления Лейбница как учёного-математика. Примерно за три года он, начав с «высокомерного математического невежества», как позже сам характеризовал свою квалификацию математика в предпарижские времена, дошел до овладения всей современной математической наукой и сделал открытия первостепенные составляющие самый прочный фундамент славы Лейбница. Для Лейбница в этот период жизни исключительное значение имело общение с Христианом Гюйгенсом. Гюйгенс был членом Парижской академии наук и постоянно жил в эти годы в Париже. Осенью 1672 г. Лейбниц поделился с ним своими математическими открытиями. Дело сводилось к суммированию одних числовых рядов с помощью соответствующим: образом построенных других числовых рядов. Гюйгенс не был знатоком такого рода вопросов, но некоторые задачи на суммирование бесконечных числовых рядов ему случалось решать, и он предложил Лейбницу получить один из своих прежних результатов: найти сумму бесконечного ряда

Закон образования слагаемых здесь таков: в знаменателе n-й дроби стоит сумма первых n натуральных чисел:
3 = 1 + 2, 6 = 1 + 2 + 3,. . ., 28 = 1 + 2 +. . . + 7, . . .
Такую сумму (обозначим ее через Sn
) называли тогда n-м треугольным числом и по формуле для суммы членов арифметической прогрессии имеем

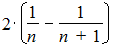
Итак, надо было найти сумму ряда, составленного из обратных треугольных чисел. Лейбниц пошёл следующим путём. Он представил общий член ряда,
т. е. буквенное выражение вида, как разность 
Если это сделать с каждым членом ряда, начиная со второго, получим

Таким образом, искомая сумма равна 1+2∙1/2=2. С помощью таких примерно соображений Лейбниц решил поставленную ему Гюйгенсом задачу и, что характерно для его мышления, обобщил постановку вопроса и нашел сумму ряда составленного из фигурных чисел любого порядка.
В анализе этих достаточно простых соотношений между рядами уже обнаруживается математическая изобретательность Лейбница и его стремление к тому, чтобы за частным увидеть общее, за решением конкретной задачи - метод, на котором решение основано. Несмотря на первые успехи Лейбница Гюйгенсу было не трудно заметить в беседе с молодым ученым, что тот не имеет достаточного представления о многих других областях математики. Он посоветовал Лейбницу познакомиться с изданным в 40-х годах XVII в. «Геометрическим трудом» Григория из Сен-Винцента и с «Арифметикой бесконечных» Валлиса. Это вводило Лейбница в область, которой Гюйгенс занимался с большим успехом и которую можно назвать анализом бесконечно малых того времени. То был математический анализ, который развивался преимущественно в геометрическом виде, без общего алгоритма, как набор методов и приемов разной общности.
С весны 1673 г., в Париже, следуя советам Гюйгенса, Лейбниц с исключительной энергией берется за изучение математики. И в короткий период (весна 1673 - осень 1673) делает ряд открытий. Одно из знаменитых - носящий его имя бесконечный ряд, выражающий знаменитое число π:

Этот ряд получен из другого более общего открытия этого короткого отрезка жизни учёного- «теорема о трансмутации».(Трансмутация это весьма общий для того времени прием преобразования интеграла, основанный на идее перехода от декартовых координат к полярным):
Пусть имеем гладкую, без точек перегиба дугу АВ.
Из начала координат О
проведем радиусы-векторы к ряду точек дуги, АВ,
разбивая ее таким образом на малые дуги Δs
,а площадь сектора ОАВО
- на малые сектора, например OQRO
.
Из точек разбиения дуги АВ
опустим перпендикуляры на ось абсцисс и кроме того для каждой из малых дуг Δs
выполним следующее построение, показанное на рис.1. Для дуги QR
:
в произвольной точке дуги проведем касательную до пересечения с осью ординат (точка G
)
и дальше, опустим на нее перпендикуляр из О (ОН),
а из точки G
проведем прямую параллельно оси абсцисс и построим таким образом прямоугольник Q
'
CDR
'.
| рис 1
|
Как видно из чертежа, треугольники OHG
и QQ
"
R
подобны, откуда следует,

т. е. площадь прямоугольника Q
'
CDR
'
равна удвоенной площади треугольника OQR
(с точностью до величины высшего порядка малости). Итак, если мы сопоставим точке на АВ,
взятой между Q
и R
,
точку между С
и D
на параллели из G
к оси х
и выполним такое построение для всех Δs
, то в пределе получим кривую KLM
,
причем сектор ОАВО
окажется составленным из бесконечно малых треугольников, площади которых - половины малых прямоугольников, составляющих площадь «под кривой KLM
».
Тем самым доказано, что кривая KLM
является, как выражались в XVII в., квадратрисой для кривой АВ.
Термин квадратриса был тогда достаточно распространен: если рассматривалась квадратура
и удавалось подобрать кривую z
=F
(
x
)
так, что

то вторая прямая была квадротисой для первой. Своеобразие результата Лейбница состояло, как было указано, в разбиении площади ОАВО
на элементы прямыми, исходящими из одной и той же точки О.
В общем же виде переход от кривой АВ
к кривой KLM
таков: если уравнение первой кривой в прямоугольных координатах есть y
=
f
(
x
),
где f
(
x
)
непрерывно дифференцируемая функция, то уравнение второй кривой будет
z
(
x
)=
f
(
x
) -
x f
(
x
)
'
.
Лейбниц применил это преобразование к циклоиде и пришел к уже известным результатам. Новое он нашел, применяя свой прием к окружности. В соответствии с расположением осей, указанным на рис.2,
| 
рис 2
|
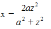
Имеем уравнение окружности в виде y
2
=2
ax
-
x
2
. И далее:

Квадратриса ОКМ
в данном случае кривая, именуемая версиерой. Она показана на чертеже, на котором видны также ее точка перегиба (х
= а/2,
z
= а/√З)
и асимптота х
= 2а.
Площадь кругового сегмента а отсюда получается у Лейбница по следующей схеме (в записи которой использованы современные обозначения):

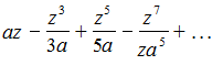
Далее Лейбниц преобразовывает подынтегральное выражение путем деления в степенной ряд и почленному интегрированию. Так для искомой площади получилось выражение:

Отсюда при z
=
a
(квадрант) получается то, что Лейбниц назвал арифметической квадратурой круга и что привело в восхищение Гюйгенса, - очень простого строения (правда, и очень плохой сходимости) ряд для π:
Лейбниц тут же получает с помощью этого выражения различные другие новые тогда соотношения. В частности, ряд для π/4 сразу дает при попарном объединении слагаемых:

В период с 1674 по 1675 год Лейбниц активно занимается алгеброй. Возможно ревность к занятиям алгебраическими вопросами, возникла после того как Лейбниц узнал о предложенном Ньютоном методе решения алгебраических уравнений с помощью логарифмических шкал. И здесь, конечно, он начинает размышлять об основной проблеме – получить формулы для решения алгебраических уравнений любой степени в радикалах, аналогичные тем, которые в XVI в. математикам итальянской школы удалось открыть для решения уравнений 3-й и 4-й степени. Попутно Лейбниц начинает заниматься частным вопросом, тогда тоже злободневным: было выяснено, что формула Тартальи - Кардано для уравнений третьей степени приводит к мнимым выражениям, когда корни уравнения вещественны («неприводимый случай»), но оставался неясным, так сказать, механизм этого странного явления, и общность формулы Тартальи - Кардано ставилась под сомнение. Об итоге алгебраических занятий Лейбница в 1674-1675 гг. можно судить по письму к Гюйгенсу написанному Лейбницем осенью 1675г.
Лейбниц утверждает в письме, что им впервые доказаны следующие результаты:
1) формулы Кардано вполне хороши и общи, извлекаются ли входящие в них корни или не извлекаются, получаются ли правильные значения (т. е. положительные) для корней уравнения или ложные (т. е. отрицательные);
2) радикалы четной степени, дающие решение уравнения, могут давать мнимости, и все-таки то обстоятельство, что они выражают действительные корни, может быть сделано, как выражается Лейбниц, осязательным без извлечения корней, чему пример формула:
3) всякое приводимое кубическое уравнение с рациональными коэффициентами имеет рациональный корень, что, конечно, дает возможность установить приводимость или неприводимость уравнения, не решая его. Эти результаты, продолжает Лейбниц, показывают, что можно безбоязненно применять иррациональные выражения в поисках решения уравнений высших степеней.
Все три основные положения, высказанные Лейбницем, верны, но доказательства подтверждающие их истинность отсутствовали а были только примеры, делающие правдоподобными сформулированные Лейбницем общие утверждения.
Но всё же основной вклад Лейбница в математическую науку был зделан в области математического анализа. И в этом свете хотелось бы рассмотреть статью Лейбница дотированную 25 октября 1675г. «Analysis Tetragonistica ex Centrobaricis» - «Анализ квадратур с помощью центров тяжестей». Эта статья выражала сравнительно давние размышления и Лейбница. В частности, в статье записано, что знание двух (статических) моментов фигуры относительно двух параллельных осей позволяет определить положение прямой, проходящей через центр тяжести фигуры, а по трем моментам относительно трех непараллельных осей можно определить и площадь фигуры и ее центр тяжести. Записывая в разных видах статические моменты, Лейбниц, в частности, приходит к следующему соотношению, которое приводится в его обозначениях:
omn
.
xω
=
ult
.
x
∙
omn
.
ω
–
omn
.
omn
.
ω
.
Здесь omn
. - начальные буквы латинского слова omnia, т. е. все, - обозначает объединение, суммирование «всех» бесконечно малых элементов, стоящих под этим знаком, х
обозначает абсциссу точки на кривой, исходящей из начала координат, ω
в этих выкладках Лейбница обозначает то элемент дуги (
ds
),
то дифференциал ординаты (
dy
),
ult
.— начальные буквы латинского слова ultima (т. е. последняя) - относится к абсциссе. Итак, перед нами преобразование с помощью интегрирования по частям в такой примерно записи:
(преобразование 1)
Первое слагаемое справа записано правильно. Во втором слагаемом справа опущен множитель, который соответствовал бы х,
в этом отношении запись не вполне последовательна. Существенно же здесь то обстоятельство, что для Лейбница в данном случае его omn
.
ω
выступает в роли новой функции, которая сама становится объектом операции, обозначенной omn
.
Как это обстоятельство, так и то, что он рассматривает результат многократного применения преобразования вида (1) и получает выражения, в которых операция omn. наслаивается несколько раз, заставило его искать более удобное обозначение, и в записи от 29 октября мы читаем:
полезно писать ∫
вместо omn
.
, так что ∫
l
будет вместо omn
.
l
.
И для нового исчисления, как в той же записи выражается Лейбниц, имеем


Первое из этих соотношений соответствует преобразованию (1), а,
b
- постоянные. Лейбниц далее записывает: «Это достаточно ново и примечательно, поскольку указывает на новый вид исчисления», и переходит к обратному исчислению (contrario calculo), вводя символ d
,
который «уменьшает измерение так, как увеличивает ∫
», но пишет его в знаменателе (не dy
,
a у/
d
).
Тут же читаем: ∫
обозначает сумму, d
- разность. Несколькими днями позже, в рукописи, помеченной 10 нояобря, Лейбниц записывает: «
dx
- то же самое, что x
/
d
,
то есть разность между двумя ближайшими».
Замечательно то, что Лейбниц сразу, введя новое обозначение, начинает с ним обращаться как с символом операции, отделяя его от объекта операций: он сразу отметил, что его «сумма» от (двух) слагаемых равна сумме «сумм» слагаемых и что постоянный множитель или делитель можно выносить за знак «суммы». В записях последующих дней (от 1, 10, 11 ноября) он отмечает такие же свойства операции, обозначенной через d
.
За эти дни Лейбниц убедился, что d
(
xy
)
не то же самое, что dx
∙
dy
,
и что d
(
x
/
y
) ≠
dx
/
dy
,
но не вывел еще соответствующих формул. Отметил он и что ∫
xy
,
конечно, не то же самое, что ∫
x
∙∫
y
. Он уже систематически использует обратность действий ∫
и d
,
например, после равенства ∫ω
z
=
y
2
/2
он ишет: или wz
=
y
2
/2
d
(тут d
еще в знаменателе). Отмечены им уже формулы для производной степенной функции при целых показателях степени, например, «из квадратуры треугольника ясно, что y
2
/2
d
= у;
∫
у2
/
b
=y
3
/3
ba
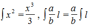
из квадратуры параболы».
А в том, что он открывает здесь нечто весьма существенное, Лейбниц, вероятно, окончательно убедился, когда смог использовать пока как бы нащупываемый им алгоритм при решении задач на обратный метод касательных. Мы располагаем его записью от 11 ноября 1675 г., озаглавленной: «Примеры обратного метода касательных». Вот ее начало: «Еще в прошлом году я поставил перед собой вопрос, который можно отнести к труднейшим во всей геометрии, поскольку распространенные до сих пор методы здесь почти ничего не дают. Сегодня я нашел его решение и я приведу его анализ».
Свою задачу Лейбниц формулирует как определение кривой, у которой поднормали обратно пропорциональны ординатам. Такая задача сводится, в современных обозначениях, к решению дифференциального уравнения ydy
/
dx
=
k
/
y
,
где k
-
постоянная. Решение Лейбница состоит по сути в составлении такого уравнения и последующем его интегрировании с помощью разделения переменных. Он получил, таким образом, уравнение искомой кривой, и она оказалась кубической параболой. Успех в таких задачах был достаточным основанием для высокой оценки нового метода, который Лейбниц быстро совершенствовал.
В 1684 г. в «Лейпцигских ученых записках» появилась одна из самых знаменитых математических работ: «Новый метод максимумов и минимумов, а также касательных, для которого не являются препятствием ни дробные, ни иррациональные величины, и особый для этого род исчисления». В этой небольшой статье даны основы дифференциального исчисления. Правила дифференцирования приводятся без доказательств, хотя есть указание на то, что здесь все можно обосновать, рассматривая дифференциалы как бесконечно малые разности. Определение дифференциала функции дано как произведение производной (но производная задается геометрически как отношение ординаты к подкасательной) на дифференциал аргумента. Последний можно задавать произвольно. Еще не вводится определенное соглашение относительно выбора знака для длин отрезков, которыми оперирует Лейбниц, поэтому он приводит некоторые формулы с двумя знаками. В статье были опечатки, затруднявшие чтение, были и ошибочные утверждения (относительно определения точек перегиба). Но в ней были и эффектные примеры применения нового алгоритма, и автор, приведя их, имел право заявить: «Во всех таких и много более сложных случаях наш метод обладает одной и той же поразительной и прямо беспримерной легкостью. Но это лишь начала некой много более высокой Геометрии, которая распространяется на труднейшие и прекраснейшие задачи прикладной математики и едва ли кому-нибудь удастся заняться с той же легкостью такими вещами, но пользуясь нашим дифференциальным исчислением или ему подобным» .
До конца 80-х годов Лейбниц немного добавил к работе 1684 г. В статье 1686 г. «Новые соображения относительно природы угла касания и соприкосновения» символизм дифференциального исчисления применен при введении круга кривизны (или соприкасающегося круга). Правда, Лейбниц при этом сделал ошибочное заключение, что соприкасающийся круг определяется слиянием не трех, а четырех точек кривой. Поводом для статьи того же года «О скрытой геометрии и анализе неделимых, а также бесконечных» было появление в Лондоне книги Джона Крэга «Метод определения квадратур для фигур, ограниченных прямыми и кривыми линиями», где содержался первый и благожелательный отклик на новое исчисление и применялся метод Лейбница проведения касательных.
В статье Лейбница есть небезынтересные исторические замечания о развитии инфинитезимальных методов в XVII в., начиная с Галилея и Кавальери. В этом кратком обзоре обращает на себя внимание отсутствие имени Кеплера, а заканчивается он указанием на то, что «глубочайшего дарования геометр» Исаак Ньютон не только весьма общим образом развил метод бесконечных рядов при определении квадратур (первый пример которого дал выдающийся математик Меркатор): вот если бы Ньютон не задерживал опубликования своих соображений, он несомненно открыл бы новые пути «для немалого приращения науки».
Тут же Лейбниц, уже вторично в печати, выступил против того, чтобы ограничиваться в геометрии, как того требовал Декарт, алгебраическими кривыми. Лейбниц отстаивал необходимость открыть, как он выражался, источник трансцендентных величин. А основное историческое значение статьи в том, что в ней приведены первые сведения об интегральном исчислении, правда, в самом кратком виде. К указанным двум статьям 1686 г. можно добавить решение поставленной Лейбницем в 1687 г. задачи об отыскании «изохроны» (линии, падая по которой тяжелая точка опускается по вертикали на равные отрезки за равные промежутки времени) и этим будет исчерпано все, что появилось в печати до 1690 г. о новом исчислении и его приложениях.
С 1691 по 1710 г. Лейбниц больше публикует статей и пишет писем математического содержания, чем в 80-е годы. То, что относится к анализу, можно собрать под двумя рубриками: 1) новые результаты, 2) обоснование анализа и полемика с критиками, к чему в последние годы жизни Лейбница добавляется еще спор о приоритете в открытии исчисления бесконечно малых. Новые результаты Лейбница достаточно разнообразны. Некоторые из них относятся к технике дифференцирования. Так, в «Новом методе...» 1684 г. дифференцируются только алгебраические функции, рациональные и иррациональные, и, в неявном виде, логарифм, а в 90-е годы Лейбниц, можно сказать, мимоходом в различных работах указывает дифференциалы синуса и арксинуса, функции вида uv
,
где основание и показатель степени - функции независимого переменного, вводит дифференцирование по параметру. Позже Лейбниц дает носящую его имя формулу для дифференциала любого порядка от произведения функций. Можно сказать, что на этой стадии операция дифференцирования у Лейбница охватила весь запас известных тогда функций.
Другая группа результатов Лейбница относится к дифференциальной геометрии. Один из наиболее существенных - введение огибающей семейства плоских кривых, зависящих от некоторого параметра. Это было сделано Лейбницем в двух статьях (1692 и 1694 гг.). К этой группе можно отнести и замечательную работу 1693 г. «Дополнение измерительной геометрии или выполнение в общем виде всех квадратур с помощью движения, равно как многократное построение линий по данному условию относительно ее касательных». Рассматривая так называемую задачу о трактрисе - о волочении нити по плоскости, Лейбниц совершенно четко формулирует общую идею интеграфа, указывает условия, которым должна удовлетворять конструкция такого прибора, и предлагает свое техническое решение, правда, не вполне удачное.
В третью группу можно объединить результаты по интегральному исчислению. Кроме формул, представляющих собой обращение упомянутых формул дифференцирования, Лейбниц дал две работы об интегрировании рациональных дробей (1701 и 1703 гг.). В первой из них он допустил ошибку, сделав вывод, что при наличии комплексных корней у знаменателя рациональной дроби с действительными коэффициентами интегрирование должно ввести новые трансцендентные функции, кроме обратных круговых и логарифмов. Когда же И. Бернулли указал правильный результат, Лейбниц с ним не согласился и повторил свое ошибочное заключение во второй работе. Эта ошибка Лейбница - не только математический недосмотр, она имеет любопытные корни. Утверждение, что интегралы вида

дают новые трансцендентные функции казалось ему и привлекательным и правдоподобным еще потому, что ото соответствовало лейбницевой метафизике. Если бы все интегралы такого вида сводились, как выражается Лейбниц, только к квадратуре гиперболы (т. е. логарифмам) и к квадратуре круга (к обратным круговым функциям), то все было бы единообразно. «Но природа, мать вечного разнообразия, или, лучше сказать, божественный дух слишком цепко оберегает свою прекрасную многоликость, чтобы допустить слияние всего в одну породу. И таким образом он находит изящный и удивительный выход в этом чуде анализа, этом побочном порождении мира идей, двойственном существе как бы между бытием и небытием, что мы называем мнимым корнем. И посему всякий раз, когда знаменатель рациональной дроби имеет мнимые корни, что может получиться бесконечно многими способами, будет мнимой и гипербола, квадратура которой нам нужна, и ее никоим образом нельзя будет построить» . От Лейбница не ускользнуло и то, что интеграл можно рассматривать как дифференциал с показателем - 1, и это привело его к введению дифференциалов любых отрицательных и дробных порядков с помощью бесконечных рядов. Теорию интегралов и производных дробного порядка развивали в XVIII в. Эйлер, в XIX в.- Лиу-виль, Риман, Летников, в XX в. - Г. Вейль, М. Рис и др., и сейчас она составляет один из разделов анализа. Лейбниц же первый в печати указал на то, что операция интегрирования вводит произвольную постоянную и на связь между определением первообразной функции и квадратурой. Он указал также, как интегрировать некоторые типы обыкновенных дифференциальных уравнений. Существенно то, что Лейбниц отчетливо определил взаимоотношение интегрирования дифференциальных уравнений и интегрирования функций (первое следует считать выполненным, если оно сведено ко второму), и, аналогично, интегрирования функций и алгебраических операций (например, определение корней знаменателя подынтегральной рациональной дроби считается при интегрировании задачей решенной).
Лейбниц много занимался также интегрированием иррациональностей (в конечном виде, как стали позже выражаться) и глубоко проник в суть этой проблемы. Без этого он не мог бы заявить, что «найдутся люди, которые разнесут дальше семена нового учения и соберут более богатую жатву, особенно тогда, когда с большим, чем до сих пор, усердием возьмутся за развитие алгебры Диофанта, которая у учеников Декарта почти в полном небрежении, ибо они недооценивают ее полезности в геометрии. Мне помнится, я уже не раз указывал на то (хотя это может показаться удивительным), что прогресс нашего инфинитезимального анализа в выполнении квадратур в значительной мере зависит от дальнейшего развития той арифметики, которой, насколько нам известно; первым целеустремленно занимался Диофант». Эти замечательные слова оправданы в полной мере результатами Абеля, Чебышева, Золотарева, результатами, полученными лишь в XIX в.
Заслугой Лейбница является и применение к интегрированию и функций и дифференциальных уравнений бесконечных рядов с использованием метода неопределенных коэффициентов (последний метод восходит к Декарту). Немалое значение для успехов нового анализа имело достаточно общее введение такого понятия, как функция, и систематические выступления Лейбница против ограничения (по Декарту) предмета геометрии изучением только алгебраических кривых. Наконец, Лейбниц на деле доказал достоинства своего исчисления, с успехом участвуя в конкурсах на решение таких трудных для того времени задач, как задача Галилея о цепной линии и задача И. Бернулли о брахистрохроне.
Были у Лейбница и попытки, которые можно охарактеризовать как оппортунистические: оправдать применение бесконечно малых алгебраическими аналогиями или сравнениями вроде того, что песчинкой можно пренебречь по сравнению с массой земного шара. К идее предельного перехода Лейбниц подходит, когда рассматривает дифференциалы как потенциально исчезающие величины; такую трактовку он использует, чтобы показать исчезновение ошибки в конечном результате вычислений. Применял Лейбниц и свой принцип непрерывности в такой формулировке: если явления (или данные) непрерывно сближаются так, что в конце концов одно переходит в другое, то это же должно произойти и с соответствующими последующими результатами (или искомыми). В этих трактовках Лейбниц приближается к методам обоснования анализа Л. Карно и Коши. Но надо признать, что с Лейбницем мы еще целиком в мистическом периоде (определение К. Маркса) развития математического анализа. Многие из указанных выше результатов Лейбница были раньше известны Ньютону, медлившему с их опубликованием, некоторые результаты были найдены независимо от Лейбница Якобом и Иоганном Бернулли, которые к тому же значительно расширили область применений анализа бесконечно малых в геометрии и механике, имеют свои заслуги в этом деле Лопиталь и Вариньон.
Но если взять отдельно сделанное только Лейбницем, то и этого достаточно, чтобы новая математическая дисциплина в своих основах и главных применениях предстала перед современниками в почти законченном виде. Словом, то, что принадлежит Лейбницу, могло сделать его единоличным создателем исчисления бесконечно малых.
Как ни велико сделанное Лейбницем для анализа, в анализе и с помощью анализа бесконечно малых, этим не исчерпывается его математическое творчество. Но в других областях математики он не мог достичь столь же значительных результатов уже в силу самого состояния этих областей. Так, в теории чисел Лейбниц тоже искал общий метод и, видимо, иной раз ему казалось, что он подобный метод, какое-то регулярное исчисление нашел, но затем ему приходилось отказываться от таких притязаний. Результатами его поисков в этой области остались опубликованные в 700-е годы работы по бинарной арифметике. Лейбницу принадлежит также доказательство малой теоремы Ферма. Он интересовался и магическими квадратами и кубами, и в последнем письме Вариньона к Лейбницу речь идет о составленном Лейбницем магическом кубе из 27 клеток.
И в геометрии Лейбниц искал соответствующую геометрической сути задач «характеристику», т. е. адекватную систему обозначений и действий. По этим вопросам он ничего не опубликовал и лишь изредка касался их в переписке с Гюйгенсом, с Лопиталем. Последнему он писал (27 декабря 1694 г.): «Я не решаюсь еще опубликовать мои проекты характеристики положения, ибо если я не придам ей убедительность, приведя сколько-нибудь существенные примеры, то ее примут за фантазию. Тем не менее, я предвижу, что дело не может не удасться» . Как указывает А. П. Юшкевич, новых конкретных результатов Лейбниц не имел и дальнейшее развитие его геометрические идеи получили только в XIX в. у Мебиуса, Штаудта, Г. Грассмана и др.
К алгебре после парижских лет Лейбниц редко обращался. Тут ему принадлежит оригинальный способ исключения (одной неизвестной из двух уравнений) и метод индексации и записи результатов при решении линейных уравнений, равносильный введению определителей. Он изложен в письме к Лопиталю 1693 г. и показан там на примере исключения из трех линейных уравнений с тремя неизвестными двух из этих неизвестных. Это действительно «первые ростки теории определителей».
Лейбница считают основоположником математической логики, и для этого есть все основания. Конечно, он имел предшественников в XVII в. и среди них Иоахима Юнга. О нем Лейбниц писал, что среди всех, кто когда-либо брался за разработку истинного искусства доказательства, никто так глубоко не проник в этот предмет. Притом Юнг стремился математически рассматривать проблемы логики и показал, что многие весьма частые в математических доказательствах умозаключения не могут быть включены в аристотелеву силлогистику. Но Лейбниц пошел значительно дальше, стремясь, как не раз отмечалось , не только математизировать логику, но и логизировать математику.
По Лейбницу, универсальная математика (идея Декарта) становится истинной формальной логикой. Ибо такая математика есть общая наука об отношениях, а каждое отношение (например, отношение подобия в геометрии) может служить основой особой теории со своими аксиомами и теоремами и соответственно порождает особое исчисление, особую алгебру. Классическая алгебра математиков основана на отношении равенства, алгебра тождества и включения охватывает силлогическую логику и т. д., и все эти алгебры основаны на формально определяемых правилах действий над теми или иными символами.
И Лейбниц многократно предпринимал попытки построить логические исчисления. Соответствующие наброски и отрывки уже предназначавшихся для печати, но оставшихся незаконченными работ составляют немалую долю ганноверского архива Лейбница и содержат ряд интересных результатов и плодотворных идей. Так, Лейбниц применил арифметическую модель - составление сложного числа из простых множителей - для представления образования сложных понятий из простых - идея, использованная в математической логике XX в., и, следуя по такому пути, дал арифметическую интерпретацию логики силлогизма.
Стремясь к созданию логического исчисления, он затем перешел к алгебраизации логики, вводя операции логического умножения и деления, логического сложения и вычитания. Вполне последовательной алгебры логики Лейбниц все же не построил и не только потому, что он не смог уделить этой проблеме достаточно времени и сил: большим препятствием было то, что он сразу ставил перед собой слишком трудную и обширную задачу, не расчленяя ее на более легкие и частные. Действительно, он одновременно и расширял предмет традиционной логики, включая в него то, что составляет исчисление предложений, теорию классов и даже вероятностную логику, и строил для расширенной таким образом логики исчисление, пытаясь ввести сразу и прямые (сложение и умножение) и обратные операции (вычитание и деление).
В итоге «не все в логической программе Лейбница выдержало испытание временем. Развитие современной науки показало, в частности, принципиальную неосуществимость его «всеобщей характеристики». Несостоятельной оказалась эта типично метафизическая концепция Лейбница о сведении всего содержательного человеческого мышления к определенному конечному чиклу формальных математических исчислений. Провалились, естественно, и вытекающие из этой концепции следствия, в частности, попытка Лейбница вложить вето содержательную математику в узкие рамки формальной логики.
Однако лейбницева идея об алгебраизации задач естествознания получила блестящую реализацию в ходе поступательного развития современной науки и практики». В переписке и неопубликованных фрагментах Лейбница можно найти еще немало интересных замечаний по поводу математики.
Заключение
Не раз, говоря о Лейбнице-математике, прежде всего выделяли в его даровании силу абстрактного и обобщающего мышления. В этом отношении он действительно превосходит всех своих современников и ближе к науке XX в., чем к науке XVII в. И не раз, ссылаясь на некоторые ошибки Лейбница и на его собственные заявления, занижение, на наш взгляд, оценивали Лейбница-геометра, алгебраиста, аналитика. Изложенное выше дает достаточный материал для того, чтобы признать Лейбница и здесь одной из замечательных фигур в историй математики.
Чем больше мы узнаем о Лейбнице, чем основательнее обрабатываются его архив и другие надежные источники, тем больше подтверждается достоверность приведенного описания его дел и дней. В таких условиях мог продолжать творить и давать значительные результаты только математический гений. И именно в математике Лейбниц достиг вершин своего творчества. Историческое значение математического творчества Лейбница огромно. Оно длилось около сороки лет, и за такой сравнительно небольшой срок математика преобразилась. Наука, в которую вступил Лейбниц, и наука, которую он оставил, принадлежат разным эпохам, и это плод главным образом его трудов и трудов его школы. До Лейбница в обширную область неведомого пытались проникнуть то тут, то там, наскоками, пусть порою очень удачными, не имея общего плана. Благодаря Лейбницу разрозненные прежде усилия были подчинены общей программе, прояснились и близкие и далекие цели, средства для их достижения оказались в распоряжении не только сверходаренных одиночек и значительно выиграли в эффективности. Синтез Декарта - объединение алгебры и геометрии, давший аналитическую геометрию, был заменен гораздо более широким синтезом - созданием анализа бесконечно малых, который сделал полноправной дифференциальную геометрию, воистину открыл «источник трансцендентных величин», позволил механике обрести язык, которого ей не хватало.
Математика и математическое естествознание XVIII в. добивались своих успехов, следуя за Лейбницем. Многие его идеи были оценены и развиты еще позже, в XIX л XX вв. И не так давно Норберт Винер писал, что если бы кибернетика нуждалась в святом покровителе, им надо было бы признать Лейбница.
|