| МИНИСТЕРСТВО ОБРАЗОВАНИЯ РОССИЙСКОЙ ФЕДЕРАЦИИ
ВСЕРОССИЙСКИЙ ЗАОЧНЫЙ ФИНАНСОВО – ЭКОНОМИЧЕСКИЙ ИНСТИТУТ
Курсовая работа
по дисциплине «Статистика»
на тему
«С
татистика численности, состава и движения населения
»
выполнила Семенова А.С.
студентка III курса вечер
специальность Бухучет, анализ, аудит
ЛД№ 03УББ4030
Преподаватель Сергеева М.Е.
Брянск
Содержание
Введение ……………………………………………………………………3
Теоретическая часть.
Статистика численности, состава и движения населения: 1. Статистика населения ………………………………………………4
2. Статистика численности населения ……………………………….5
3. Статистика состава населения ……………………………………..9
4. Статистика движения населения:
Статистика миграции …………………………………………15
Статистика естественного движения населения ……………16
Расчетная часть
Задача 33 ……………………………………………………………………17
Задача 34 ……………………………………………………………………20
Аналитическая часть …………………………………………………….21 Заключение ………………………………………………………………..27 Список использованной литературы ………………………………….28
Введение
Социальная статистика исследует вопросы, затрагивающие личные интересы каждого человека, с которыми связаны его благополучие, удовлетворение потребностей, реализация жизненных планов.
К числу наиболее значимых направлений исследования в социальной статистике относятся: социальная и демографическая структура населения и ее динамика, уровень жизни населения, уровень благосостояния, уровень здоровья населения, культура и образование, моральная статистика, общественное мнение, политическая жизнь. Применительно к каждой области исследования разрабатывается система показателей, определяются источники информации и существуют специфические подходы к использованию статистических материалов в целях регулирования социальной обстановки в стране и регионах.
Статистический анализ явлений и процессов, происходящих в социальной жизни общества, осуществляется с помощью специфических для статистики методов – методов обобщающих показателей, дающих числовое измерение количественных и качественных характеристик объекта, связей между ними, тенденций их изменения. Эти показатели отражают социальную жизнь общества, выступающую как предмет исследования социальной статистики.
Теоретическая часть
Статистика численности, состава и движения населения
1.
Статистика населения
Предмет статистики населения
составляют - оценка и изучение закономерностей воссоздания населения, которое обитает на определенной территории, за определенное время, путем качественного анализа количественных характеристик. Как объект исследования населения имеет универсальную статистическую природу, поскольку является массовой совокупностью, в которой реализуется закон больших чисел и формируются процессы случайного характера.
Забиваем Сайты В ТОП КУВАЛДОЙ - Уникальные возможности от SeoHammer
Каждая ссылка анализируется по трем пакетам оценки: SEO, Трафик и SMM.
SeoHammer делает продвижение сайта прозрачным и простым занятием.
Ссылки, вечные ссылки, статьи, упоминания, пресс-релизы - используйте по максимуму потенциал SeoHammer для продвижения вашего сайта.
Что умеет делать SeoHammer
— Продвижение в один клик, интеллектуальный подбор запросов, покупка самых лучших ссылок с высокой степенью качества у лучших бирж ссылок.
— Регулярная проверка качества ссылок по более чем 100 показателям и ежедневный пересчет показателей качества проекта.
— Все известные форматы ссылок: арендные ссылки, вечные ссылки, публикации (упоминания, мнения, отзывы, статьи, пресс-релизы).
— SeoHammer покажет, где рост или падение, а также запросы, на которые нужно обратить внимание.
SeoHammer еще предоставляет технологию Буст, она ускоряет продвижение в десятки раз,
а первые результаты появляются уже в течение первых 7 дней.
Зарегистрироваться и Начать продвижение
Основными категориями статистики населения являются демографическое событие и демографический процесс.
Демографическое событие
-
это событие, которое происходит с отдельным человеком, однако влияет на изменение численности и состава всего населения, воссоздание его поколений. Демографическими событиями являются факты рождения, смерти, заключение брака или его прекращение. Совокупность таких событий формирует соответствующий демографический процесс.
Демографический процесс
-
это множество однородных демографических событий, которые происходят с населением в целом (рождаемость, смертность, бракосочетания, разводы). Демографический процесс, как процесс движения населения, может приобретать одну из трех форм:
· естественного
движения
-
процесс, который меняет численность населения путем его обновления (смертность и рождаемость) или содействует этому изменению (бракосочетания и разводы);
· механического
движения - процесс изменения численности и состава населения за счет его территориального перемещения (урбанизация, эмиграция, иммиграция);
· социального движения
- процесс изменения социального состава населения вследствие его социально-экономического и культурного развития (исчезновение одних слоев населения и появление других).
Цель статистического исследования этих процессов заключается в оценивании их объемов, степени распространения и проявления, определении закономерностей распределения, развития и взаимосвязи
2.
Статистика численности населения
Количественной характеристикой населения любого региона является его численность.
Источником информации о численности населения являются переписи, а в межпереписный период - это результаты оценок,
т.е. расчеты по данным текущего учета процессов естественного и механического движения.
Основными категориями населения, за которыми регистрируется его численность, есть имеющееся в наличии и постоянное население.
Имеющееся в наличии население (НН)
-
это численность лиц, которые на момент регистрации состоят на территории определенного населенного пункта, независимо от местожительства их постоянного.
Сервис онлайн-записи на собственном Telegram-боте
Попробуйте сервис онлайн-записи VisitTime на основе вашего собственного Telegram-бота:
— Разгрузит мастера, специалиста или компанию;
— Позволит гибко управлять расписанием и загрузкой;
— Разошлет оповещения о новых услугах или акциях;
— Позволит принять оплату на карту/кошелек/счет;
— Позволит записываться на групповые и персональные посещения;
— Поможет получить от клиента отзывы о визите к вам;
— Включает в себя сервис чаевых.
Для новых пользователей первый месяц бесплатно.
Зарегистрироваться в сервисе
Постоянное население (ПН)
-
это численность лиц, которые постоянно, в течение длительного времени проживают на территории определенного населенного пункта, независимо от их наличия на момент регистрации. Вместе с ними учитываются еще такие категории населения, как временно проживающие и временно отсутствуют.
Временно проживающие (ВП)
-
лица, которые постоянно проживают в другом населенном пункте, но на момент обследования пребывают в данном пункте (за отсутствия на постоянном местожительстве не более как 6 месяцев).
Временно отсутствуют (ВО)
-
лица, которые постоянно проживают в данном населенном пункте, но на момент обследования пребывают за его границами, если срок их отсутствия не превышает 6 месяцев.
На основании отмеченных категорий населения определяют баланс категорий населения,
которые характеризуют связь между имеющимся в наличии и постоянным населением, а именно:
НН
=ПН-ВО+ВП, или ПН=НН-ВП+ВО.
Балансы категорий населения используются для проверки точности учета и расчета численности постоянного и имеющегося в наличии населения. Отдельно существует категория "юридического населения"
- лица, которые официально прописаны на определенной территории. Эта категория не совпадает с поданными раньше и не регистрируется переписями, поскольку перепись не предусматривает проверки паспортных данных. В ближайшем будущем "юридическое население" не будет определяться через отмену обязательной прописки. Однако категории постоянного и имеющегося в наличии населения широко используются как при определении демографических показателей, так и при расчете народнохозяйственных потребностей. А именно, на основании численности постоянного населения вычисляют потребности в жилищном строительстве, обеспеченности школьными и дошкольными заведениями, потребность в количестве приватизационных документов.
Отмеченные показатели численности (ПН
и НН
) выделяются также по своему статистическому назначению. Численность постоянного населения используется при определении состава населения (по полу, возрасту, местожительству), соотношения его отдельных групп (демографическая нагрузка) и размещения (плотность населения). Численность имеющегося в наличии населения положена в основу расчета всех показателей интенсивности естественного и механического движения.
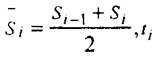
Оба показателя численности населения является моментными
, поскольку регистрируются на определенную дату (на критический момент переписи или на начало каждого года в межпереписный период). В таком виде они характеризуют только состояние населения. Но, для оценки демографического процесса необходимые интервальные показатели
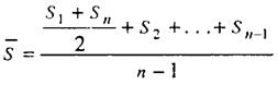
. С этой целью употребляется не моментная численность населения, а средняя. В зависимости от первичных данных и цели расчета используются такие средние:
· арифметическая простая
-
в случае, когда известные данные о численности населения на начало S
0
и конец года S1
:

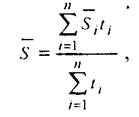
· хронологическая
-
когда известные данные на начало каждого месяца или квартала:

где n
- число моментов, первых чисел месяцев или кварталов.
· арифметическая взвешенная
- когда промежутки времени между моментами не равны:

где - промежуток времени между датами.
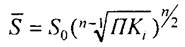
Когда средняя численность рассчитывается за длительный период времени, в течение какого населения меняется неравномерно, применяют величину, скорректированную на среднюю геометрическую:
,
где Ki
, -
цепные годовые коэффициенты роста (сокращение), П
- произведение коэффициентов, n
-
количество лет в периоде, за который вычисляется средняя.
На основании данных о численности население строит структурные и типологические группировка. Примером структурных группировок являются распределения городских поселений за численностью имеющегося в наличии населения, в том числе отдельно для городов (с интервалом по количеству жителей в границах от 3 тыс. до 1 млн лиц и больше) и поселков городского типа (интервалы в пределах от 3 до 49,9 тыс. лиц).
Исчисление перспективной численности населения.
Самым простым является способ с применением КD
и КD
МЕХ
:
, где КD
= const.
Расчет численности населения на основе прогнозируемого динамического ряда численности населения: если существует четкая тенденция, то ее можно продлить на перспективу:

Расчет численности населения на основе таблицы смертности.
Таблица смертности - это система взаимосвязанных показателей, основанная на вероятность дожития до следующего года каждой возрастной группы. Показатели дожития требуют большого объема статистической информации.
Коэффициент дожития 
Для каждого поколения рассчитывается свой коэффициент.
Расчеты численности в этом случае ведутся отдельно для каждого поколения. Общая численность населения в данном году равна сумме численности всех поколений, живущих в этом году.
3. Статистика состава населения
Состав населения исследуется по таким демографическим признакам, как пол, возраст, брачное состояние, а также по социальным: национальность и родной язык, гражданство, общественная группа, источник средств существования, образование.
Половой состав населения
анализируется при помощи абсолютных и относительных показателей (структуры и сбалансированности), статистических группировок.
На основании абсолютных данных определяется удельный вес каждого пола в общей численности населения:
dm(F)
= (Sm(F) / ) * 100,
где d
m
, dF
-
соответственно доля мужчин и женщин,Sm
, S
F
-
численность мужского и женского населения,
- общая численность населения.
Важным показателем является сбалансированность статей, т.е. их соотношение. Он имеет название коэффициента нагрузки одного пола другой Кн
(m, F) используется в расчете на 1000 лиц:
Кн(
M
)
= (Sm / SF) * 1000 или K
н(
F
)
= (SF / Sm) * 1000
Но главной целью структурно-сравнительного анализа полового состава есть анализ пропорций не столько всего населения, сколько отдельных его групп (возрастных, социальных), что является очень важным для нормального процесса воссоздания населения, сбалансированность статей в пределах возрастных контингентов не является стойкой. Такая подвижность подчинена определенной закономерности распределения. А именно, при переходе от группы новорожденных, где преобладает часть мужского пола (51,2 % мальчиков против 48,8 % девочек или такое значение с незначительной вариацией), к молодым возрастным группам соотношение полов уравнивается. При передвижении к старшим возрастным группам части женщин преобладают. Это происходит через более высокую смертность мужчин по биологическим причинам (сниженность инстинкта самосохранения, большая уязвимость заболеваниями) и социальных (преобладание тяжелых и опасных условий деятельности, распространенность вредных привычек и тому подобное), а также вследствие потерь мужского населения во время последних войн и различных репрессий.
Обобщающим показателем половых пропорций является возраст баланса численности
мужчин и женщин. При оптимальных условиях он должен нприближаться к верхней границе детородного возраста (50 лет).
Возрастной состав населения
изучается с целью определения режима воспроизводства населения; перспективных расчетов его численности; воздействия на интенсивность естественного, социального движения, на процесс старения населения. Возрастной состав населения направляется в виде ряда распределения его численности (в абсолютном или относительном выражении) по возрасту, а именно: полным числом лет жизни, которое исполнилось на момент обследования.
Группировка производится с одно-, пяти- и десятилетним интервалом, в зависимости от возрастной группы населения. Так, для младших групп населения возрастом 0-4 года применяется однолетний интервал, поскольку биологические особенности их существования и выживания в отдельных годах разные. Для средних и старших групп населения применяется пятилетний интервал. Иногда для старших групп возрастом от 70 пользуются десятилетним интервалом, если насыщенность этих групп населения незначительная.
Складываются также группировка, в которых разделяются типовые группы населения по их социальному содержанию - контингенты населения,
или по демографическому назначению (участием в процессе воссоздания) - демографические поколения.
Статистика использует такие контингенты населения:
младенцы (до 1 года), ясельный контингент (0-2 годы), детсадовский (3-6 лет), дошкольный (1-6 лет), школьный контингент состоит из двух групп (дети - 7-14 лет и подростки - 15-17 лет), молодежь (16-29 лет), детородный контингент женщин (15-49 лет), трудоспособный контингент (16 - 54 годы для женщин, 16-59 лет для мужчин), дотрудоспособный (0-15 лет), послетрудоспособный (55 и более для женщин, 60 и более для мужчин).
Процесс старения населения
-
повышение частицы старших возрастных групп за счет сокращения младших. Более контрастно выражен он у женщин. В то же время состоялись позитивные сдвиги в детородном контингенте населения, часть которого увеличилась на 1,2 %, и в последнем году составляла почти половину всего населения (49,8 %). Однако главной составляющей детородного контингента есть женщины возрастом 15-49 лет, часть которых увеличивалась не так интенсивно, как среди мужчин. Почти одинаково изменился процент молодежи, хотя мужское население остается более молодым по сравнению с женским.
В группировании по демографическим поколениям
различают такие группы: дети (0 - 14 лет), родители (15 - 49 лет) и прародители (50 и старше). В зависимости от численного соотношения демографических поколений в стране различают три типа возрастной структуры: прогрессивный, стационарный и регрессивный. Модели типов возрастной структуры предложил Г. Зундберг.
Прогрессивный тип
—
отвечает населению с быстрым изменением поколений через высокую рождаемость и смертность, а также с интенсивным ростом численности населения. Ему присущее такое соотношение поколений: дети - 40 %, родители - 50 %, прародители - 10 %. Следовательно, преобладает доля детей.
Стационарный тип
—
отвечает населению, в котором уравновешиваются доли детей и прародителей, через постепенное сокращение смертности и увеличение продолжительности жизни, а именно: дети - 27 %, родители - 50 %, прародители - 23 %.
Регрессивный тип
—
отвечает населению с медленным изменением поколений, в котором часть прародителей несколько большая, чем часть детей, через сокращение рождаемости и удлинение продолжительности жизни. Из-за этого типа создаются условия сокращения и даже частичного вырождения населения, ведь используется такое соотношение: дети - 20 %, родители - 50 %, прародители - 30 %.
На основании структурных и типологических группировок строятся аналитические группировки, которые определяют воздействие возрастной структуры населения и ее изменения на показатели рождаемости, смертности, бракосочетаемости и тому подобное.
Статистические группировка населения по возрасту является основанием для вычисления средних и относительных показателей.
А именно, определяются части отдельных возрастных групп, контингентов, демографических поколений в общей численности населения, в границах отдельного пола и по месту проживания.
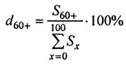
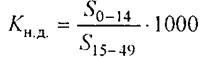
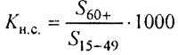
К этой системе показателей принадлежит коэффициент старения населения, который характеризует часть лиц, которые достигли и пересекли первый порог старости (60 лет):

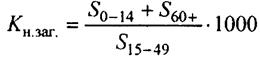
Соотношения отдельных поколений характеризуют коэффициенты демографической нагрузки,
которые направляются в расчете на тысячу населения, т.е. в промилле ‰:
•
общий коэффициент демографической нагрузки

• коэффициент нагрузки детьми

• коэффициент нагрузки лицами старше трудоспособного возраста

На основании возрастного распределения населения определяют его средний, модальный и медианный возраст. Средние показатели рассчитывают за соответствующими формулами для интервального ряда распределения, где вариантами (х')
являются середины возрастных интервалов, а весом - численность каждой возрастной группы или ее часть.
Рядом со средними показателями возраста изучается его вариация на основании абсолютных и относительных показателей вариации (l, σ, V, R). Таким образом определяется степень типичности среднего возраста для населения, которое исследуется.
Семейный состав населения
изучается с целью определения условий для воссоздания населения, брачной ситуации, социальной политики защиты многодетных семей, одиночек, а также как информационная база для обследования бюджетов домохозяйств. Статистика исследует две совокупности: семьи и одиночки. Семьей считается совокупность людей, которые проживают совместно и связаны кровным родством или своячеством, а также общим бюджетом.
Статистическое изучение национального состава
и гражданства
имеет социально-политический смысл, особенно в странах, которые переживают национальное и этнолингвистическое возрождение.
Результаты переписи позволяют определить численность и долю населения каждой национальности в целом и по видам поселений и регионам страны; численность и долю лиц, которые считают родной речь своей национальности или государственную, численность и долю лиц, которые зарегистрировали брак с партнером той же национальности; численность и долю граждан страны и лиц без гражданства и тому подобное.
На основании структурных и типологических группировок осуществляется анализ изменений в национальном и лингвистическом составе населения за межпереписный период - т.е. определяются структурные сдвиги.
Состав населения по общественным группам
является одним из главных среди социальных разрезов. В отличие от демографических признаков социальные являются такими, которые претерпевают изменения в зависимости от формы уклада страны и формы собственности. По переписи 1989 p. выделялись такие общественные группы: рабочие, служащие, колхозники, лица, занятые индивидуальной трудовой деятельностью, служители культа.
По-новому образовывается состав населения по источникам средств существования
по таким группам: работа по найму (на предприятии, в организации, учреждении, крестьянском (фермерском) хозяйстве, у отдельных граждан); работа не по найму (на собственном предприятии, на индивидуальной основе, в собственном крестьянском (фермерском) хозяйстве, в личном подсобном хозяйстве, получают прибыль от собственности, получают: пенсию, стипендию, помощь (кроме помощи по безработице), другой вид государственного обеспечения; на иждивении других лиц, другие источники).
Статистическое изучение социального состава населения основывается на определении численности, доли и соотношения отдельных социальных групп; на построении распределений населения по общественным группам, источникам средств существования в зависимости от пола и по отдельным регионам.
Статистикой изучается также состав населения по сферам деятельности, отраслям народного хозяйства, видам неформальной занятости, состав безработных - все это является предметом специального раздела статистики трудовых ресурсов.
4. Статистика движения населения
Показатели механического движения. Миграция.
Миграция
- это механическое перемещение населения по территории страны или между странами. Маятниковая миграция - систематическое передвижение из города в город (учеба и т.п).
Показатели миграции населения
| Показатель
|
Содержание показателя
|
Способ вычисления
|
| 1.Коэффициент миграции (Кv
)
|
Сальдо миграции на 1000 чел. население i-й группы в среднем за год, V+
- V-
(V+
– число прибывших; V-
– число убывших)
|

|
| 2.Коэффицент прибытия (Кv+
)
|
Число прибывших на 1000 чел. населения в среднем за год
|

|
| 3.Коэффицент выбытия (Кv-
)
|
Число выбывших на 1000 чел. населения в среднем за год
|

|
| 4.Коэффицент приживаемости новоселов (Кn
)
|
Удельный вес новоселов. оставшихся на постоянное место жительство в данной местности ( ), в общем числе прибывших в данную местность за изучаемый период (год, два, три и т.д.) ( ), %
|

|
| 5.Коэффицент подвижности населения (Кn-1
)
|
Удельный вес не прижившихся новоселов ( ) в общем числе прибывших в данную местность, %
|

|
Естественное движение населения.
Это изменение численности населения в связи с процессами рождения и смерти.
Показатели естественного движения населения
Показатель
|
Содержание показателя
|
Способ вычисления (%)
|
| 1. Общий коэффициент рождаемости (n)
|
Число родившихся живыми (N) на 1000 чел. населения в среднем за год (‰)
|

|
| 2. Общий коэффициент смертности (m)
|
Число умерших (М) на 1000 чел. населения в среднем за год (‰)
|

|
| 3. Коэффициент естественного прироста (Кn-m
)
|
Естественный прирост на 1000 чел. населения в среднем за год
|

|
| 4. Коэффициент оборота населения (Kn+m
)
|
Число родившихся и умерших на 1000 чел. населения в среднем за год
|

|
| 5. Коэффициент экономичности воспроизводства (Кэ
)
|
Доля естественного прироста в общем обороте населения
|
Кэ
= (n
- m
) / (n
+ m
)
|
Расчетная часть
Задача 33
Движение населения в 2000 году характеризуется данными, млн. человек:
Численность населения на:
Начало года 145,6
На конец года 144,8
Численность женщин в возрасте 15-49 лет:
На начало года 39,07
На конец года 39,08
В течение года:
Родилось 1,27
Умерло 2,23
Определите:
Коэффициенты естественного движения населения:
А) рождаемости;
Б) смертности;
В) естественного прироста;
Г) плодовитости;
Сделаете выводы.
Решение
1.
Найдем среднегодовую численность населения:
,
Где S1
- численность населения на начало года;
S2
- численность населения на конец года.

Найдем среднегодовую численность женщин в возрасте 15-49 лет:
,
Где S1
- численность женщин в возрасте от 15-49 лет на начало года,
S2
- численность женщин в возрасте 15-49 лет на конец года.

1) Найдем коэффициент рождаемости:
,
Где N - число родившихся живыми в течение года,
_
- среднегодовая численность населения: ‰
2) Определим коэффициент смертности по формуле:
,
Где (М) – число умерших в течение года, - среднегодовая численность населения:
‰
3) Определим коэффициент естественного прироста по формуле:
,
Где (N) - число родившихся живыми в течение года, (М) – число умерших в течение года, - среднегодовая численность населения:
‰, или ‰, что означает убыль на каждый 1 млн. человек.
4) Определим коэффициент плодовитости по формуле:
,
Где (N) - число родившихся живыми в течение года, - среднегодовая численность женщин в возрасте 15-49 лет:
‰
Вывод:
Итак, исходя из найденных в ходе решения задачи параметров, можно сделать вывод:
1) Число родившихся за период с начала до конца года на млн. человек составило ‰
2) Число смертей за период с начала до конца года на млн. человек составил ‰
На лицо, превышение количества смертей над рождаемостью, что в очередной раз подтверждается в ходе расчетов коэффициента естественного прироста-убыли.
3) Коэффициент естественного прироста-убыли населения в стане за период с начала до конца года на млн. человек ‰, то есть наблюдается превышение смертности над рождаемостью на 6,621‰ за период с начала до конца года.
4) Коэффициент плодовитости составил ‰
При решении задачи использованы следующие параметры:
- Среднегодовая численность населения:
- Среднегодовая численность женщин в возрасте 15-49 лет:
- Коэффициент рождаемости - число родившихся живыми (N) на 1000 чел. населения в среднем за год (‰): 
- Коэффициент смертности - число умерших (M) на 1000 чел. населения в среднем за год (‰): 
- Коэффициент естественного прироста-убыли - естественный прирост-убыль на 1000 чел. населения в среднем за год (‰): 
- Коэффициент плодовитости - число родившихся живыми (N) в среднем на одну женщину фертильного возраста по данным переписей населения или текущего учета (‰): 
Ответ:
‰; ‰; ‰; ‰
Задача 34.
Среднегодовая численность населения области в отчетном году составила 800 тыс. чел., в том числе и женщины в возрасте 15-49 лет – 240. тыс. чел., специальный коэффициент рождаемости которых был равен 32%. Определите коэффициент рождаемости населения области.
Решение
1) Определим (N) – число родившихся живыми в течение года,
исходя из формулы , где (N) – число родившихся живыми в течение года, а - численность женщин в возрасте от 15-49 лет.
Пусть Х - число родившихся живыми в течение года, тогда составим и решим уравнение:
 


=7,68,
Значит, число родившихся живыми в течение года N=7,68 тыс.чел.
Отсюда по формуле вычислим коэффициент рождаемости:
‰
Вывод:
Коэффициент рождаемости населения области составил ‰.
При решении задачи были использованы:
- Специальный коэффициент рождаемости - число родившихся на 1000 женщин в возрасте (15-49 лет) в среднем за год: , где где (N) – число родившихся живыми в течение года, а - численность женщин в возрасте от 15-49 лет.
- Коэффициент рождаемости - число родившихся живыми (N) на 1000 чел. населения в среднем за год (‰): , где - среднегодовая численность населения
Ответ:
‰.
Аналитическая часть
Необходимо рассчитать основные демографические показатели по данным Калининградской области за 2001 и 2002гг., которые будут приведены в таблицах, а ниже их расчет.
Численность населения.
| Основные показатели
|
2002
|
2001
|
| Среднегодовая численность населения
|
943 тыс. чел
|
947 тыс. чел
|
| Число родившихся
|
7,8 тыс. чел
|
7,6 тыс. чел
|
| Число умерших
|
15,6 тыс. чел
|
15,3 тыс. чел
|
| Относительный рост населения в 2002 по сравнению с 2001 г.
|
99,6 %
|
| Абсолютный прирост (убыль) населения за 2001 - 2002
|
- 4 тыс. чел
|
| Относительный прирост населения в 2002 по сравнению с 2001 г.
|
- 0,4 %
|
| Естественный прирост (убыль) населения
|
- 7,3 тыс. чел
|
- 7,2 тыс. чел
|
| Коэффициент естественного прироста населения
|
- 7,7 %
|
- 7,6 %
|
| Прибыло
|
48 тыс. чел
|
45 тыс. чел
|
| Выбыло
|
58,6 тыс. чел
|
56,9 тыс. чел
|
| Механический прирост (убыль) населения
|
- 10,6 тыс. чел
|
-11,9 тыс. чел
|
| Коэффициент мех. прироста населения
|
-12,6 %0
|
-11,2 %0
|
| Коэффициент общего прироста населения
|
-20,3 %0
|
18,8 %0
|
| Городское население
|
741,8 тыс. чел
|
742,5 тыс. чел
|
| Сельское население
|
201,2 тыс. чел
|
204,5 тыс. чел
|
| Доля сельского населения
|
23,4 %
|
23,3 %
|
| Доля городского населения
|
76,6 %
|
76,7 %
|
Расчет:
1. Абсолютный прирост населения:
∆t
-
o
=
St
-
So
,
где ∆t
-
o
–
абсолютный прирост;
St
– численность населения в момент времени;
So
- численность населения в момент времени t.
∆2002 -2001 =
943 – 947 = - 4
2. Относительный рост населения:
Кроста
=
S1
/S0
* 100 % = 943/947 * 100 % = 99,6 %
3. Относительный прирост населения:
Кприроста
= S1
-S0
/S1
* 100 % =
943-947/947 * 100 % = - 0,4 %
4. Естественный прирост населения:
Е = Р – У, где Р – рождаемость;
У – смертность.
Р = Крождаемости
* St
/ 1000
P2002 =
8,3 * 943 / 1000 = 7,8 тыс. чел
Р2001 =
8,1 * 947 / 1000 = 7,6 тыс. чел
У2002
= 16,5 * 943 / 1000 = 15,6 тыс. чел
У2001
= 16,2 * 947 / 1000 = 15,3 тыс. чел
Е2002
= 8,3 – 15,6 = -7,3 %
Е2001
= 8,1 – 15,3 = - 7,2 %
5. Коэффициент естественного прироста:
КЕ
=Е/
S
*1000%
o
, где ке
-
коэффициент естественного прироста населения;
Е
-
естественный прирост населения;
S - среднегодовая численность населения.
КЕ 2002 =
7,3/943*1000 = - 7,7 %
КЕ 2001 =
7,2 /947 * 1000 = -7,6 %
6. Механический прирост населения:
М
=П-В,
где М
-
механический прирост населения;
П
–
приехавшие;
В
-
выбывшие.
М2002
= 48 – 58,6 = - 10,6 %о
М2001
= 45 – 56,9 = - 11,9 %о
7. Коэффициент механического прироста населения: Км=
Е/
S
*1000%о,
где Км
-
коэффициент механического прироста населения;
Е
-
естественный прирост населения;
S - среднегодовая численность населения.
Км2002
= -11,9/943*1000= -12,6%о
Км2001
=
-10,6/947*1000 = -11,2%о
8. Коэффициент общего прироста населения:
Кобщ.прир. =
Ке-
Км
Ко.п2002
=- 7,7-12,6 = - 20,3 %
Ко.п2002 =
-7,6 -11,2 = -18,8 %
Половозростная структура.
| Основные показатели
|
2002
|
2001
|
| Возрастные группировки
|
| До трудоспособного возраста
|
368 тыс. чел или 17,5 %
|
323 тыс. чел или 18,2 %
|
| Трудоспособного возраста
|
1017 тыс. чел или 62,9 %
|
1007 или 62,3 %
|
| Старше трудоспособного возраста
|
317 или 19,6 %
|
321 или 19,5 %
|
| Коэффициент демографической нагрузки
|
| Всего
|
626,7 %о
|
637,8 %о
|
| Моложе трудоспособного возраста
|
388,6 %о
|
341,08 %о
|
| Старше трудоспособного возраста
|
336,2 %о
|
338,97 %о
|
| Соотношение муж. и жен. (число жен на 1000 муж)
|
1085 тыс. чел
|
1081 тыс. чел
|
| Средний возраст
|
61,8
|
63
|
| Ср. возраст мужчин
|
55,47
|
57,20
|
| Ср. возраст женщин
|
68,20
|
69,82
|
Расчет:
1. Коэффициент демографической нагрузки:
Кдем.нагр. =
ЛНВ/ S * 1000 %о ЛНВ -
число лиц нетрудоспособного возраста;
S – численность населения.
Кдем.нагр2002 =
591/943*1000 = 626,7 %о
Кдем.нагр2001
= 604/947*1000 = 637,8 %о
Кдем.нагр2002м.т.в.
= 368/943 * 1000 =388,6 %о
Кдем.нагр2001м.т.в.
= 323/947 * 1000 = 341,08 %о
Кдем.нагр2002с.т.в.
= 317/943*1000 =
336,2 %о
Кдем.нагр2001с.т.в =
321/947 * 1000 =338,97 %о
Рождаемость и смертность.
| Основные показатели
|
2002
|
2001
|
| Число родившихся
|
7,8 тыс. чел
|
7,6 тыс. чел
|
| Число умерших в возрасте до 1 года на тыс родивш.
|
16,4
|
16,2
|
| Общий коэффициент рождаемости
|
8,3
|
8,1
|
| Общий коэффициент смертности
|
16,5
|
16,2
|
| Коэффициент младенческой смертности
|
17,8
|
17,1
|
Расчет:
1. Общий коэффициент рождаемости:
Кр = Р/S * 1000 %о
2. Общий коэффициент смертности:
Кс = У/S * 1000 %о
3. Коэффициент младенческой смертности:
Кмл.см.
= Удо1
/Р * 1000%о
Данные коэффициенты рассчитываться не будут, т.к. приведены в готовом виде и взяты из книги «Регионы России».
Брачно-семейное состояние.
| Основные показатели
|
2002
|
2001
|
| Население в бракоспособном возрасте
|
596 тыс. чел
|
597 тыс. чел
|
| Общий коэффициент брачности
|
7,4%о
|
7%о
|
| Число заключенных браков (Б)
|
7 тыс. ед.
|
6,6 тыс. ед.
|
| Соотношение браков и разводов (на 1000 браков разводов)
|
785
|
808
|
| Коэффициент разводимости
|
15,2%о
|
15,7%о
|
| Коэффициент результативности браков
|
2%о
|
2,26%о
|
| Состоящие в браке
|
447 тыс. чел
|
439 тыс. чел
|
| Не состоящие в браке
|
149 тыс. чел
|
156 тыс. чел
|
| Число разводов (P)
|
14,3 тыс. ед.
|
14,9 тыс. ед.
|
Расчет:
1. Общий коэффициент брачности:
Кбрач
= Б/S*1000%о
Б = Кбрач
*S/1000
Б2001
=7*947/1000=6,6 тыс. единиц
Б2002
= 7,4*943/1000=7 тыс. единиц
2. Общий коэффициент разводимости:
Кразв
= Р/S*1000
Р=Кразв
*S/1000
Р2002
= 15,2*943/1000=14,3 тыс. единиц
Р2001
=15,7*947/1000=14,9 тыс. единиц
3.Коэффициент результативности браков:
Крез.бр
.= Р/Б
Крез.бр2002
=14,3/7=2%о
Крез.бр2001
=14,9/6,6=2,26%
Миграция населения
| Основные показатели
|
2002
|
2001
|
| Прибыло (П)
|
374 тыс. чел
|
361 тыс. чел
|
| Выбыло (В)
|
57,2 тыс. чел
|
54 тыс. чел
|
| Миграционный прирост
|
316,8 тыс. чел
|
307тыс. чел
|
| Миграционный оборот
|
431,2
|
415
|
| Коэффициент результативности миграции
|
6,5
|
6,7
|
| Коэффициент интенсивности миграции
|
457,2%о
|
438,2%о
|
| Распределение мигрантов (прибывших)
|
| Из-за пределов регионов
|
4,4
|
4,5
|
| В пределе региона
|
47,8
|
45
|
| Из др. регионов
|
49
|
37,8
|
Расчет:
1. Миграционный прирост населения:
Мп
= П - В
Мп2002
= 374 – 57,2 = 316,8 тыс. чел
Мп2001
=361 – 54 = 307 тыс. чел
2.Миграционный оборот населения:
Мо = П + В
Мо2002
= 431,2 тыс. чел
Мо2001
=415 тыс. чел
3. Коэффициент результативности миграции:
Крез.миг. =
В/П
Крез.миг2002
=374/57,2=6,5
Крез.миг2001
=361/54= 6,7
4. Коэффициент интенсивности миграции:
Кинт.миг =
Км/S*1000%о
Кинт.миг2002
=431,2/943*1000=457,2%о
Кинт.миг2001
=415/947*1000=438,2%о
Заключение
Тенденции изменения состава населения в России на современном этапе складываются и развиваются на фоне общего социально-экономического кризиса. Все или почти все сегодняшние демографические проблемы России, идет ли речь о низкой рождаемости или высокой смертности, о суженном воспроизводстве населения или новых тенденциях процессов формирования и распадения семей, связаны с историческими изменениями в условиях жизни людей, происходящими во всех странах с высоким уровнем индустриализации и урбанизации. Но существует и Российская специфика. Это – высокая смертность от устранимых причин смерти, недостаточная обеспеченность репродуктивных прав женщины и семьи, низкий уровень репродуктивного здоровья, неразвитость методов планирования семьи, высокая материнская смертность и пр. Преодоление этих негативных тенденций требует длительных и разносторонних усилий, которые, по причине обычной ограниченности ресурсов, не могут быть предприняты одновременно и с одинаковой интенсивностью. Необходим правильный выбор приоритетов, который позволил бы сконцентрировать имеющиеся ресурсы на наиболее важных и перспективных направлениях действий, на решении проблем, которые, по тем или иным причинам достигли критической остроты.
Но кроме экономических есть и серьезные политико-идеологические препятствия. Усилия, направленные на развитие полового просвещения или служб планирования семьи в России, не всегда находят понимание общественного мнения.
Велико значение обобщающих статистических показателей в решении важнейших проблем при рассмотрении демографической политики. Они необходимы для определения роста населения, в изучении миграции населения, составляющей основу межрайонного перераспределения рабочей силы и достижения равномерности ее распределения.
Поскольку население в определенном аспекте изучают многие другие науки – здравоохранение, педагогика, социология и пр., необходимо использовать опыт этих наук, развивать их методы применительно к нуждам статистики.
Стоящие перед нашей страной задачи обновления должны затронуть и решение демографических проблем. Разработка комплексных программ экономического и социального развития должна включать в себя разделы по демографическим программам. Их решение должно способствовать развитию населения с наименьшими демографическими потерями.
Список использованной литературы:
1. Бахметова Г.Ш., Исупов А.А. Регистр населения как система демографического учета // Вопросы статистики. – 1999 – № 5. – С. 33–40.
2. Гусаров В.М. Теория статистики. – М.: Аудит, ЮНИТИ, 1998
3. Экономическая статистика: Учебник / Под ред. Иванова Ю.Н. – М.: ИНФРА-М, 1999
4. Социальная статистика / Под ред. Елисеевой И.И., М., 1997
5. Кильдишев и др. Статистика населения с основами демографии, М.: «Финансы и Статистика», 1990.
6. Борисов В.А. Демография, М.,1999
7. Экономическая статистика Под ред. Ю.Н. Иванова. - М.: ИНФРА-М, 1998
8. http://ng.ru/research/2000-10-10/1_krizis.html.
9. http://www.vedi.ru.
|