| Федеральное агентство по образованию
Федеральное государственное образовательное учреждение
среднего профессионального образования
«Новочеркасский геологоразведочный колледж»
Учебно-методическое пособие
для самостоятельной работы студентов
(вербальное средство обучения)
РАСЧЁТНО-ГРАФИЧЕСКИЕ ЗАДАНИЯ ПО ТЕХНИЧЕСКОЙ МЕХАНИКЕ
(раздел 1 «Теоретическая механика»)
для студентов специальностей
150411 Монтаж и техническая эксплуатация промышленного оборудования
(по отраслям)
130504 Бурение нефтяных и газовых скважин
190604 Техническое обслуживание и ремонт автомобильного транспорта
Новочеркасск 2008
Рассмотрено на заседании цикловой
механической и автомобильной
комиссии
Протокол №
от
«___» _________200 г.
Председатель
Н.Н. Травянов
Самостоятельная работа студентов необходима для приобретения знаний и навыков, применения их при изучении «Технической механики»
Автор:
Половкова С.Л. - преподаватель высшей категории Новочеркасского геологоразведочного колледжа
Содержание
| №
n/n
|
Наименование темы или раздела
|
Название работы
|
стр.
|
| 1.
2.
3.
4.
5.
6.
7.
8.
9.
10.
|
Пояснительная записка
СТАТИКА
Плоская система сходящихся сил.
Плоская система произвольно расположенных сил
Центр тяжести
КИНЕМАТИКА
Кинематика точки. Кинематические графики.
Простейшие движения твердого тела. Враща-
тельное движение.
ДИНАМИКА
Движение несвободной
материальной точки.
Сила инерции.
Работа и мощность.
Коэффициент полезного действия.
ЗАКЛЮЧЕНИЕ
ПРИЛОЖЕНИЕ
ЭТАЛОНЫ ОТВЕТОВ К ТЕКСТОВЫМ ЗАДАНИЯМ.
|
«Определение усилий в стержнях системы сходящих сил»
«Определение опорных реакций балок»
«Определение положения центра тяжести плоских фигур»
«Построение графиков пути скорости и ускорения точки»
«Определение кинематических характеристик вращающегося тела»
«Применение принципа Даламбера к решению задач на прямолинейное и криволинейное движение точки»
«Определение работы, мощности, к.п.д тела на наклонной плоскости»
|
4
5
9
13
18
23
27
31
36
37
38
|
Пояснительная записка
В процессе усвоения программного материала по «Технической механике» большая роль отводится самостоятельной работе студентов при решении задач и выполнении расчетов, как на дневном, так и на заочном отделениях. Причем все задачи и расчеты обязательно должны быть доведены до окончательного числового результата. Исходя из этого автор попытается систематизировать и последовательно изложить материал, необходимый для выполнения расчетно-графических заданий.
Забиваем Сайты В ТОП КУВАЛДОЙ - Уникальные возможности от SeoHammer
Каждая ссылка анализируется по трем пакетам оценки: SEO, Трафик и SMM.
SeoHammer делает продвижение сайта прозрачным и простым занятием.
Ссылки, вечные ссылки, статьи, упоминания, пресс-релизы - используйте по максимуму потенциал SeoHammer для продвижения вашего сайта.
Что умеет делать SeoHammer
— Продвижение в один клик, интеллектуальный подбор запросов, покупка самых лучших ссылок с высокой степенью качества у лучших бирж ссылок.
— Регулярная проверка качества ссылок по более чем 100 показателям и ежедневный пересчет показателей качества проекта.
— Все известные форматы ссылок: арендные ссылки, вечные ссылки, публикации (упоминания, мнения, отзывы, статьи, пресс-релизы).
— SeoHammer покажет, где рост или падение, а также запросы, на которые нужно обратить внимание.
SeoHammer еще предоставляет технологию Буст, она ускоряет продвижение в десятки раз,
а первые результаты появляются уже в течение первых 7 дней.
Зарегистрироваться и Начать продвижение
Этот сборник является учебно-методическим пособием для студентов дневного и заочного отделений специальностей 150411, 130504, 190604.
Каждое задание включает в себя необходимые теоретические вопросы для повторения пройденного материала, методические рекомендации к выполнению, пример решения, критерии оценки и необходимую литературу.
Методические указания к выполнению и оформлению.
Вариант расчётно-графического задания определяется по номеру фамилии студента в журнале. Например, студент, имеющий номер фамилии 2, выполняет вариант 02, номер 11 – вариант 11 и т.д.
При выполнении расчётно-графического задания необходимо соблюдать следующие требования:
1. Расчётно-графическое задание выполнять строго в соответствии с вариантом студента. В противном случае оно не зачитывается и возвращается студенту.
2. Работы выполнять или в отдельной тетради в клетку, или на местах писчей белой бумаги формата А4.
3. Задания выполнять чернилами, чётко и аккуратно. Каждое задание начинать с новой страницы.
4. В конце задания оставить несколько чистых листов для рецензии.
5. Тексты условий переписывать обязательно.
6. Решение задач пояснить аккуратно выполненными схемами (эскизами), подзаголовками (с указанием, что определяется, что рассматривается и т.д.).
7. Рекомендуется задачи решать в общем виде, а затем, подставляя числовые значения величин, вычислять результат.
8. Выполненные расчётно-графические работы необходимо сдавать преподавателю своевременно.
9. После получения работы студент должен внимательно изучить рецензию и все замечания преподавателя, обратить внимание на допущенные ошибки, доработать материал. Не зачтенную работу студент или выполняет заново, или переделывает частично по указанию преподавателя.
СТАТИКА
1. Тема: «Плоская система сходящихся сил».
1. Задание №1.
«Определить усилия в стержнях кронштейна от приложенной внешней силы». Трением в блоке пренебречь. Данные для своего варианта взять из таблицы.
  Таблица №1
 
Прежде, чем приступить к выполнению задания №1 необходимо изучить раздел «Плоская система сходящих сил».
2. Цель задания:
2.1 Научиться расставлять активные и реактивные силы.
2.2 Научиться составлять расчетную схему.
2.3 Научиться определять усилие в стержнях системы аналитическим путем.
3. Повторение теоретического материала.
Сервис онлайн-записи на собственном Telegram-боте
Попробуйте сервис онлайн-записи VisitTime на основе вашего собственного Telegram-бота:
— Разгрузит мастера, специалиста или компанию;
— Позволит гибко управлять расписанием и загрузкой;
— Разошлет оповещения о новых услугах или акциях;
— Позволит принять оплату на карту/кошелек/счет;
— Позволит записываться на групповые и персональные посещения;
— Поможет получить от клиента отзывы о визите к вам;
— Включает в себя сервис чаевых.
Для новых пользователей первый месяц бесплатно.
Зарегистрироваться в сервисе
3.1 Какие силы образуют плоскую систему сходящихся сил?
3.2 Что такое силовой многоугольник?
3.3 Как определяется равнодействующая системы?
3.4 Геометрическое условие равновесия плоской системы сходящихся сил.
3.5 Какие уравнения и сколько можно составить для уравновешенной плоской системы сходящихся сил?
4. Методические рекомендации к выполнению.
4.1 Внимательно прочитать условие задачи, записать, что дано, и что требуется определить.
4.2 Составить расчетную схему.
4.3 Составить и решить относительно неизвестных два уравнения равновесия.
4.4 Если в результате вычислений хотя бы одно неизвестное получилось со знаком «-» необходимо объяснить.
4.5 Написать ответ.
4.6 Если при выполнении практической работы появились затруднения – это значит, что материал темы не усвоен.
5. Пример решения задания №1.
Определить усилия в стержнях кронштейна от приложенной внешней силы. Трением в блоке пренебречь. Данные из задачи своего варианта взять из таблицы.
Дано:
F = 50 кн
a = 45°; b = 50°; g = 60°
Определить: R1
и R2
Решение:
1. Составим расчетную схему (рис. 1)
2. Составим уравнения проекций сил системы на оси х
и у
:
(1) ; 
(2) ; 
3. Решим их относительно неизвестных R1
и R2
:
из 1-го уравнения:
 
Подставим найденное значение R1
во второе уравнение:




Следовательно R1
будет равно:


Ответ:
R1
= 43,47 Н; R2
= - 28,78 Н
Знак «-» в реакции R2
получился из-за того, что первоначально направление реакции было выбрано ошибочно.
6.
Критерии оценки работы.
| Оценка
|
Основные критерии оценки
|
| «5»
|
Работа выполнена правильно, без ошибок, оформлена согласно методическим указаниям.
|
| «4»
|
Работа выполнена правильно, но в оформлении допущены небольшие погрешности.
|
| «3»
|
В работе допущены ошибки, оформление небрежное, есть погрешности.
|
7. Тесты на проверку знаний по теме «Плоская система сходящих сил».
| № п/п
|
Вопрос
|
Ответы
|
| 1.
|
Как должны располагаться силы, чтобы получилась плоская система сходящихся сил?
|
А
В
С
|
Линии действия всех сил расположены в одной плоскости и пересекаются в одной точке
Линии действия всех сил расположены в разных плоскостях
Линии действия всех сил параллельны между собой
|
| 2.
|
Сколько управлений равновесия необходимо составить для равновесия плоской системы сил
|
А
В
С
|
2 уравнения
1 уравнение
3 уравнение
|
| 3.
|
Сколько неизвестных величин может быть при решении задач на эту тему?
|
А
В
С
|
Не более 2-х величин
Не более 1-ой величины
Количество неизвестных значений не имеет
|
| 4.
|
Можно ли, построив силовой многоугольник, определить, уравновешена или нет заданная система сходящихся сил?
|
А
В
С
|
Можно
Нельзя
Построением силового многоугольника ответить на вопрос нельзя
|
| 5.
|
Сколько способов решения задач для плоской системы сходящихся сил существует?
|
А
В
С
|
3 способа
2 способа
сколько угодно
|
| Время выполнения 5 – 10 минут.
|
8.
Литература.
А.И. Аркуша «Техническая механика», Москва «Высшая школа», 2003
2. Тема: «Плоская система произвольно расположенных сил»
1. Задание № 2.
Определить опорные реакции балки лежащей на 2-ух опорах. Данные своего варианта взять из таблицы.
| Вариант
|
F, кн
|
q, кн/м
|
М, кн
×м
|
а1
, м
|
а2
, м
|
а3
, м
|
| 1
|
6
|
2
|
4
|
0,6
|
1,5
|
0,4
|
| 2
|
5
|
3
|
5
|
0,2
|
2
|
0,2
|
| 3
|
4
|
4
|
4
|
0,4
|
3
|
0,4
|
| 4
|
2
|
3
|
2
|
1,5
|
2
|
1,5
|
| 5
|
3
|
4
|
4
|
1,2
|
3
|
1,4
|
| 6
|
4
|
4
|
5
|
1,5
|
2
|
1,4
|
| 7
|
4
|
6
|
6
|
1,6
|
2,2
|
1,6
|
| 8
|
2
|
3
|
3
|
1,5
|
1,6
|
1,5
|
| 9
|
4
|
4
|
6
|
1,3
|
1,4
|
1,3
|
| 10
|
3
|
3
|
3
|
1,2
|
1,6
|
1,2
|
| 11
|
6
|
5
|
5
|
1,3
|
1,6
|
1,3
|
| 12
|
8
|
4
|
4
|
1,2
|
2
|
1,2
|
| 13
|
6
|
6
|
5
|
1,2
|
2
|
1,4
|
| 14
|
7
|
3
|
4
|
1,1
|
2
|
1,3
|
| 15
|
4
|
2
|
4
|
1,2
|
2
|
1,5
|
| 16
|
2
|
3
|
3
|
1,1
|
2
|
1,4
|
| 17
|
2
|
4
|
3
|
1,5
|
2
|
1,3
|
| 18
|
2
|
3
|
2
|
1,4
|
2,2
|
1,2
|
| 19
|
3
|
4
|
5
|
1,3
|
2,4
|
1,2
|
| 20
|
4
|
4
|
4
|
1,4
|
2,4
|
1,4
|
| 21
|
6
|
2
|
4
|
0,5
|
2
|
0,2
|
| 22
|
7
|
4
|
5
|
0,7
|
2,2
|
0,4
|
| 23
|
9
|
5
|
8
|
0,8
|
1,4
|
0,3
|
| 24
|
10
|
8
|
7
|
1,0
|
0,8
|
0,2
|
| 25
|
12
|
9
|
6
|
1,2
|
1,2
|
0,5
|
| 26
|
11
|
10
|
4
|
0,4
|
1,6
|
0,7
|
| 27
|
14
|
4
|
2
|
0,7
|
1,8
|
0,6
|
| 28
|
12
|
6
|
4
|
0,8
|
2
|
1,2
|
| 29
|
10
|
7
|
6
|
1,0
|
2,2
|
0,6
|
| 30
|
8
|
8
|
10
|
1,4
|
1,6
|
0,8
|
|
|
Таблица №2
Прежде, чем приступить к выполнению задания №2 необходимо изучить тему «Плоская система произвольно расположенных сил».
2. Цель задания:
«Ознакомиться с устройством опор балок, составить расчетные схемы и определить реакции их опор».
3. Повторение теоретического материала.
3.1 Сколько реакций и какие дают шарнирно-подвижная и шарнирно-неподвижная опоры?
3.2 Сколько реакций и какие дает жесткая заделка (защемление)?
3.3 Какую точку на балке обычно берут за центр моментов?
3.4 Сколько независимых уравнений равновесия можно составить для плоской системы параллельных сил?
3.5 Что собой представляет консольная балка?
4. Методические рекомендации к выполнению задания №2.
4.1 Внимательно прочитать условие задачи, записать, что дано и что требуется определить.
4.2 Расставить все активные и реактивные силы.
4.3 Составить расчетную схему.
4.4 Составить и решить относительно неизвестных три уравнения равновесия (для системы параллельных сил – два уравнения).
4.5 Сделать проверку правильности решения. Если в уравнении проверки не получается «0», то может быть два объяснения:
а) в проверке получается число > 1 – ищите ошибки в составлении и решении уравнений равновесия;
б) в проверке получается число < 1 – это значит, что при вычислении реакций опор округлялись. В таком случае требуется объяснение.
4.6 Написать ответ. Если хотя бы одно неизвестное получилось со знаком «-» - требуется объяснение.
5. Пример решения задания №2.
Определить опорные реакции балки, лежащей на двух опорах. Данные своего варианта взять из таблицы.
Дано:
F = 102 кн
q = 4 кн/м; М = 8 кн·м,
а
1
= 1 м; а
2
= 2 м; а
3
= 1 м
Определить: RАх
; RА
y
; RВу
Решение:
1. Составим расчетную схему (рис. 1)
2. Составим уравнения равновесия для системы параллельных сил:
(1) ; 
(2) ; 
(3) ; 
3. Решим их относительно неизвестных:
из 1-го уравнения:



из 2-го уравнения:

Проверка:
Для проверки правильности решения задачи примем уравнение, которое не использовалось при решении:
; 

0 = 0, следовательно опорные реакции определены правильно
6. Критерии оценки задания.
| Оценка
|
Основные критерии оценки
|
| «5»
|
Уравнение равновесия составлены и решены правильно, оформление работы соответствует методическим рекомендациям
|
| «4»
|
Уравнения равновесия составлены и решены правильно в оформлении работы есть небольшие погрешности
|
| «3»
|
Есть ошибки и в оформлении и в расчете
|
7.
Тесты на проверку знаний по теме «Плоская система произвольно расположенных сил».
| № п/п
|
Вопрос
|
Ответы
|
| 1.
|
К скольким величинам в общем случае приводится плоская система произвольно расположенных сил?
|
А
В
С
|
К двум величинам
К трем величинам
К скольким угодно
|
| 2.
|
Будет ли изменяться момент силы относительно произвольной точки, если, не меняя направления, переносить силу, вдоль линии ее действия
|
А
В
С
|
Момент изменится
Момент не изменится
Изменится знак момента
|
| 3.
|
Сколько видов балочных опор существует?
|
А
В
С
|
Два вида опор
Три вида опор
Сколько угодно
|
| 4.
|
Сколько уравнений равновесия необходимо составить в общем случае для плоской системы произвольно расположенных сил?
|
А
В
С
|
Два уравнения
Три уравнения
Сколько угодно
|
| 5.
|
Какую точку принимают за центр моментов при определении реакций опор?
|
А
В
С
|
Точку, в которой приложены максимальное количество неизвестных величин
Точку, в которой приложены минимальное количество неизвестных величин
Точку, в которой не приложены неизвестные величины
|
| Время выполнения 5 – 10 минут
|
8.
Литература.
А.И. Аркуша «Техническая механика», Москва «Высшая школа», 2003
3.
Тема: «Центр тяжести».
1. Задание №3.
Определить положение центра тяжести плоской фигуры. Данные своего варианта взять из таблицы.
Таблица №3

2. Цель задания.
2.1 Проверить степень усвоения студентами темы «Центр тяжести».
2.2 Научиться определять координаты центра тяжести плоских фигур аналитическим путем.
3. Повторение пройденного материала.
3.1 Можно ли рассматривать силу тяжести как равнодействующую параллельных сил?
3.2 Может ли располагаться центр тяжести вне самого тела?
3.3 Как можно определить положение центра тяжести опытным путем?
3.4 Как необходимо рационально производить разбиение пластины сложной формы на простые фигуры при определении центра тяжести всей пластины?
3.5 В чем заключается метод симметрии при решении задач?
3.6 Что называется статическим моментом сечения?
4. Методические рекомендации к выполнению.
4.1 Внимательно прочитать условие задачи, нарисовать эскиз фигуры с заданными размерами и записать, что требуется определить.
4.2 Проанализировать, каким способом необходимо решать заданную задачу – разбиения (достраивания) или симметрии.
4.3 Если выбран способ разбиения (достраивания), то последовательность действий такова:
- Приложить систему координат;
- Разбить (достроить) фигуру на наименьшее число простейших геометрических фигур;
- Определить положение центра тяжести каждой простейшей геометрической фигуры (графически);
- Определить координаты центра тяжести каждой простейшей геометрической фигуры, считая от начала координат х1
, у1
; х2
, у2
…хn
, yn
;
- Определить площади поперечных сечений каждой простейшей геометрической фигуры А1
, А2
…Аn
;
- Вычислить координаты всей фигуры по формулам:

- По найденным координатам показать центр тяжести на фигуре.
4.4 Если выбран способ симметрии, то последовательность действий такова:
- Разбить симметричную фигуру на наименьшее число простейших геометрических фигур;
- Определить (графически) центры тяжести каждой из них, координаты центров тяжести х1
, х2
….хn
или у1
, у2
… уn
;
- Вычислить площади поперечных сечений каждой фигуры А1
, А2
…Аn
;
вычислить статический момент каждой фигуры Sx1
, Sx2
…Sxn
или Sy1
, Sy2
…Syn
;
- Найти общую площадь поперечного сечения и общий статический момент сечения А = А1
+А2
+…+Аn
, мм2
, Sу = Sy1
+Sy2
+Syn
; или Sx= Sx1
+Sx+
Sxn
, мм2
;
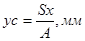
- Определить положение центра тяжести симметричного сечения по одной из формул

- Нанести на ось координат центр тяжести С с найденной координаты.
5. Пример выполнения задания №3.
Определить положение центра тяжести сечения. Данные своего варианта взять из таблицы.
1. Т.к. сечение симметрично относительно вертикальной оси, требуется определить только ординату центра тяжести, от вспомогательной оси х
, которую проводим через основание сечения.
2. Разбиваем сечение на элементарные площади: I – прямоугольник 140×30 с центром тяжести С1
.
II два прямоугольника 60×20 с центрами тяжести С2
и С3
.
III два треугольника 60×18 с центрами тяжести С4
и С5
.
3. Вычислим необходимые данные для определения центра тяжести сечения: площади отдельных геометрических фигур, координаты их центров тяжести и статические моменты площадей относительно оси х
:
мм2
; мм
мм2
; мм
мм2
; мм
мм2
; мм
мм2
; мм
мм3
мм3
мм3
мм3
мм3
4. Определим статический момент и площадь всего сечения:
мм3
мм2
5. Определим положение центра тяжести сечения:
мм
6. Наносим на ось у
центр тяжести всего сечения
Ответ:
центр тяжести С имеет координаты С (0; 28,6)
6. Критерии оценки знаний.
| Оценка
|
Основные критерии оценки
|
| «5»
|
Работа выполнена правильно, без ошибок, оформлена согласно методическим указаниям.
|
| «4»
|
Работа выполнена правильно, но в оформлении допущены небольшие погрешности.
|
| «3»
|
В работе допущены ошибки, оформление небрежное, есть погрешности.
|
7. Тесты на проверку знаний по теме «Центр тяжести»
| № п/п
|
Вопрос
|
Ответы
|
| 1.
|
Можно ли считать силу тяжести тела равнодействующей системы параллельных сил?
|
А
В
С
|
Можно считать
Так считать нельзя
Сила тяжести тела не имеет отношения к системе параллельных сил
|
| 2.
|
Может ли центр тяжести располагаться вне самого тела?
|
А
В
|
Да, может располагаться вне тела
Нет, не может быть вне тела
|
| 3.
|
В каких единицах измеряется статический момент сечения?
|
А
В
С
|
Единица длины в третьей степени
Единица длины во второй степени
Единица длины в первой степени
|
| 4.
|
Где располагается центр тяжести тела, имеющего ось симметрии?
|
А
В
С
|
На оси симметрии
Вне оси симметрии, в любой точке тела
Вне самого тела
|
| 5.
|
В каком отношении делит центр тяжести прямоугольного треугольника противоположные катеты
|
А
В
С
|
В отношении один к трем
В отношении один к двум
Определить нельзя
|
| Время выполнения 5 – 10 минут.
|
8. Литература.
А.И. Аркуша «Техническая механика», Москва «Высшая школа», 2003
КИНЕМАТИКА
4. Тема: «Кинематика точки. Построение графиков пути,
скорости и ускорения точки».
1. Задание №4.
Построить графики пути, скорости и ускорения точки, движущейся прямолинейно согласно закону для первых пяти секунд движения. Данные из своего варианта взять из таблицы.
Таблица №4
| Вариант
|
Уравнение движения точки
|
Вариант
|
Уравнение движения точки
|
| 1.
|
S= 20t-5t2
|
16.
|
S= 16t-5t2
|
| 2.
|
S= 20t-4t2
|
17.
|
S= 16t-4t2
|
| 3.
|
S= 20t-3t2
|
18.
|
S= 16t-3t2
|
| 4.
|
S= 20t-2t2
|
19.
|
S= 16t-2t2
|
| 5.
|
S= 19t-5t2
|
20.
|
S= 15t-5t2
|
| 6.
|
S= 19t-4t2
|
21.
|
S= 15t-4t2
|
| 7.
|
S= 19t-3t2
|
22.
|
S= 15t-3t2
|
| 8.
|
S= 19t-2t2
|
23.
|
S= 15t-2t2
|
| 9.
|
S= 18t-5t2
|
24.
|
S= 14t-5t2
|
| 10.
|
S= 18t-4t2
|
25.
|
S= 14t-4t2
|
| 11.
|
S= 18t-3t2
|
26.
|
S= 14t-3t2
|
| 12.
|
S= 18t-2t2
|
27.
|
S= 14t-2t2
|
| 13.
|
S= 17t-5t2
|
28.
|
S= 13t-5t2
|
| 14.
|
S= 17t-4t2
|
29.
|
S= 13t-4t2
|
| 15.
|
S= 17t-3t2
|
30.
|
S= 13t-3t2
|
2
. Цель задания.
2.1 Проверить степень усвоения студентами темы «Кинематика точки. Построение графиков пути, скорости ускорения».
2.2 Научиться строить кинематические графики.
3. Повторение теоретического материала.
3.1 Что такое «закон движения точки» и какими способами он задается?
3.2 Что характеризует нормальное и касательное ускорение и как их можно определить?
3.3 Как определить числовое значение и направление скорости точки в данный момент?
3.4 Что называется равнопеременным движением и какие виды его существуют?
3.5 Что такое средняя скорость движения точки и как она определяется?
4.
Методические рекомендации к выполнению задания №4.
4.1 Продифференцировать заданное уравнение движения, чтобы получить уравнение скорости

4.2 Продифференцировать уравнение скорости, чтобы получить значение касательного ускорения:

4.3 Составить свободную таблицу числовых значений S
, υ,
at
при значениях времени t от 0 до 4 с.
4.4 Построить графики S
, υ,
at
выбрав масштабы для изображения по осям ординат, а также одинаковой для всех графиков масштаб времени по оси абсцисс.
5.
Пример выполнения задания №4.
Точка движется прямолинейно согласно уравнению S
= 17
t
– 2
t
2
м.
Построить графики расстояний, скорости и ускорения для первых пяти секунд движения.
5.1 Определим закон изменения скорости движения точки.
 

υ = (17
t
-2
t
2
)'
= 17-4
t
, м/с
5.2 Определим ускорение точки

а
t
= (17 – 4
t
)' = -4 м/с2
Поскольку ускорение постоянное, т.е. at
=
const
,
следовательно движение точки является равнопеременным (равнозамедленным).
5.3 Составим свободную таблицу значений S
, υ,
at
,
для первых пяти секунд движения
| t
,
с
|
0
|
1
|
2
|
3
|
4
|
5
|
| S
=17
t
-
2t2
, м
|
0
|
15
|
26
|
33
|
36
|
35
|
| υ=17 - 4
t
, м/с
|
17
|
13
|
9
|
5
|
1
|
-3
|
| а
t
=-4 м/с2
|
от времени не зависит
|
5.4 Построим графики S
, υ,
at
,
выбрав масштаб.
Если условно принять ускорение свободного падения g ≈ 10 м/с2
и пренебречь сопротивлением воздуха, то можно сказать, что графики описывают движение материальной точки (камня, например), брошенного вертикально вверх со скоростью υ0
= 17 м/с.
6.
Критерии оценки знаний.
| Оценка
|
Основные критерии оценки
|
| «5»
|
Работа выполнена правильно, без ошибок, оформлена согласно методическим указаниям.
|
| «4»
|
Работа выполнена правильно, но в оформлении допущены небольшие погрешности.
|
| «3»
|
В работе допущены ошибки, оформление небрежное, есть погрешности.
|
7. Тесты на проверку знаний по теме «Кинематика точки. Построение графиков пути, скорости и ускорения точки».
| №
n/n
|
Вопрос
|
Ответы
|
| 1.
2.
3.
4.
5.
|
Как направлена скорость движения точки в любой момент времени?
Что называется равномерным движением точки?
Что называется равнопеременным движением?
Может ли быть касательное ускорение отрицательным?
Есть ли различие между понятиями «путь» и «расстояние»?
|
А. По касательной к траектории движения
Б. Под углом к траектории движения.
В. Параллельно траектории.
А. Движение точки с постоянной скоростью
Б. Движение точки с непостоянной скоростью.
А. Движение точки, при котором касательное ускорение постоянно.
Б. Движение точки, при котором нормальное ускорение постоянно
А. Может
Б. Не может
А. Есть
Б. Нет
|
| Время выполнения 5 – 10 минут.
|
8. Литература
А.И. Аркуша «Техническая механика», Москва «Высшая школа», 2003
5. Тема: «Простейшие движения твердого тела».
1. Задание №5.
Вал вращается согласно заданному уравнению. Определить угловую скорость, угловое ускорение, линейную скорость и полное ускорение вала в момент времени t = 1с. Сколько оборотов сделает вал за 20 секунд? Данные своего варианта взять из таблицы.
Таблица №5
| Вариант
|
Уравнение
вращения вала
|
d
, м
|
Вариант
|
Уравнение
вращения вала
|
d
, м
|
| 1
|
φ= 1,2t2
+ 2t - 3
|
0,1
|
16
|
φ= 1,1t2
+ 2t - 3
|
0,2
|
| 2
|
φ= 1,2t2
+ t + 2
|
0,2
|
17
|
φ= 1,2t2
+ t - 5
|
0,1
|
| 3
|
φ= 1,1t2
+ 2t + 1
|
0,3
|
18
|
φ= 1,2t2
+ t - 7
|
0,3
|
| 4
|
φ= 1,2t2
+ t - 4
|
0,1
|
19
|
φ= 1,1t2
+ 2t - 6
|
0,2
|
| 5
|
φ= 1,3t2
- t + 5
|
0,2
|
20
|
φ= 1,1t2
+ 2t - 8
|
0,4
|
| 6
|
φ= 1,3t2
- 2t - 4
|
0,3
|
21
|
φ= 1,1t2
+ t + 5
|
0,1
|
| 7
|
φ= 1,3t2
- t + 8
|
0,2
|
22
|
φ= 1,1t2
+ t - 6
|
0,2
|
| 8
|
φ= 1,2t2
+ t + 2
|
0,3
|
23
|
φ= 1,3t2
+ 2t - 7
|
0,3
|
| 9
|
φ= 1,3t2
- 2t + 5
|
0,2
|
24
|
φ= 1,2t2
- t + 8
|
0,4
|
| 10
|
φ= 1,1t2
+ 2t - 3
|
0,4
|
25
|
φ= 1,1t2
+ t + 5
|
0,2
|
| 11
|
φ= 1,1t2
+ t - 4
|
0,1
|
26
|
φ= 1,1t2
+ 2t - 4
|
0,1
|
| 12
|
φ= 1,2t2
+ t - 8
|
0,2
|
27
|
φ= 1,2t2
- t + 5
|
0,4
|
| 13
|
φ= 1,1t2
+ 2t - 4
|
0,3
|
28
|
φ= 1,2t2
- t + 8
|
0,2
|
| 14
|
φ= 1,2t2
+ t - 5
|
0,4
|
29
|
φ= 1,2t2
- 2t - 6
|
0,3
|
| 15
|
φ= 1,1t2
+ 2t - 3
|
0,1
|
30
|
φ= 1,2t2
+ t - 7
|
0,1
|
2. Цель задания.
2.1 Проверить степень усвоения студентами темы «Простейшие движения твердого тела».
2.2 Научиться определять угловые характеристики вращающегося тела.
3. Повторение пройденного материала.
3.1 Что называется вращательным движением твердого тела?
3.2 Какими угловыми кинематическими характеристиками можно описать вращательное движение твердого тела?
3.3 Что называется равномерным и равнопеременным вращательным движением?
3.4 Какая связь существует между линейными и угловыми характеристиками?
3.5 Какая связь существует между угловой скоростью ω, с
-1
и частотой вращения n, мин-1
.
4. Методические рекомендации к выполнению.
4.1 Записать условие задачи, что дано и что требуется определить, исходя из данных для своего варианта.
4.2 Определить уравнение угловой скорости вала и вычислить её значение при t
= 1с, ω = φ1
, с-1
.
4.3 Определить уравнение углового ускорения вала и вычислить его значение при t
= 1с; Σ = ω1
, с-2
.
4.4 Определить линейную скорость: υ = ω ·
r
, м/с
4.5 Определить касательное и нормальное ускорения: а
t
= Σ ·
r
, м/с2
,
а
n
= ω2
·
r
м/с2
.
4.6 Определить полное ускорение
, м/с2
4.7 Определить угол поворота вала φ за 20с.
4.8 Найти число оборотов вала N
N
= , оборотов.
5.
Пример выполнения задания №5.
Вал диаметром 0,2м вращается согласно уравнению: φ = 1,2t2
– t + 9, рад.
Определить угловую скорость, угловое ускорение, линейную скорость, полное ускорение в момент времени t = 1с. Сколько оборотов сделает вал за 15 с?
Дано:
φ = 1,2
t
2
–
t
+ 9, рад
d
= 0,2м;
t
= 1с
Определить
:
ω
,
Σ
,
υ
,
an
, at
, a, N.
5.1 Определим угловую скорость вращения по формуле:
ω = φ1
= (1,2
t
2
–
t
+ 9)' = 2,4
t
– 1, с-1
Подставив t = 1с, получим
ω = 2,4 · 1 – 1 = 1,4 с-1
5.2 Определим угловое ускорение:
Σ = ω' = (2,4
t
- 1)' = 2,4 с-2
Угловое ускорение от времени не зависит и является постоянным.
5.3 Линейная скорость определяется по формуле:
υ = ω ·
r
= 2,4 · 0,1 = 0,24 м/с
5.4 Касательное ускорение определяется по формуле:
at
= Σ ·
r
= 2,4 · 0,1 = 0,24 м/с2
5.5 Нормальное ускорение определяется по формуле:
an
= ω2
·
r
= 1,42
· 0,1 = 0,154 м/с2
5.6 Полное ускорение вала
= = 0,29 м/с2
5.7 Угол поворота вала за 15 секунд вращения будет:
φ = 1,2
t
2
–
t
+ 9 = 1,2 · 152
– 15 + 9 = 264 рад
5.8 Число оборотов вала за 15 секунд будет:
оборота
Ответ:
ω=1,14 с-1
; Σ=2,4 с-2
; υ=0,24 м/с;
at
=0,24 м/с2
;
an
=0,154 м/с2
;
a
=0,29 м/с2
;
N
=42
оборота.
6.
Критерии оценки знаний.
| Оценка
|
Основные критерии оценки
|
| «5»
|
Работа выполнена правильно, без ошибок, оформлена согласно методическим указаниям.
|
| «4»
|
Работа выполнена правильно, но в оформлении допущены небольшие погрешности.
|
| «3»
|
В работе допущены ошибки, оформление небрежное, есть погрешности.
|
7. Тесты на проверку знаний по теме «Простейшие движения
твердого тела».
| №
n/n
|
Вопрос
|
Ответы
|
| 1.
2.
3.
4.
5.
|
Какой должна быть угловая скорость при равномерном вращательном движении?
Как определить угловую скорость в равномерном вращательном движении?
Когда вращательное движение равнопеременным?
Как определяется число оборотов тела за определенное время?
Какая связь существует между угловой скоростью и частотой вращения?
|
А. ω
= const
Б. ω
≠ const
А. , с-1
Б. ω = φ',
с-1
В. ω = ω0
+ Σ
t
, с-1
А. если
Σ
= const
Б. если ω =
const
В. если Σ = ω'
, с-1
А. N
= , об
Б. N
=
, об
А. ω =
, с-1
Б. , с-1
В. ω
= π
n
·30
, с-1
|
| Время выполнения 5 – 10 минут.
|
8. Литература.
А.И. Аркуша «Техническая механика», Москва «Высшая школа», 2003
ДИНАМИКА
6.
Тема: «Движение несвободной материальной точки. Сила инерции».
1.
Задание №6.
С какой скоростью мотоциклист должен проехать по выпуклому мосту, радиус кривизны которого задан, чтобы в самой верхней точке моста сила давления мотоциклиста на мост была в n раз меньше (из таблицы) его общей с мотоциклистом силы тяжести. Данные своего варианта взять из таблицы.
Таблица №6
| Вариант
|
r
, м
|
n
|
Вариант
|
r
, м
|
n
|
| 1
|
25
|
2
|
16
|
20
|
3
|
| 2
|
22
|
3
|
17
|
21
|
2
|
| 3
|
24
|
2
|
18
|
23
|
3
|
| 4
|
23
|
3
|
19
|
24
|
2
|
| 5
|
20
|
2
|
20
|
25
|
3
|
| 6
|
21
|
3
|
21
|
20
|
2
|
| 7
|
24
|
2
|
22
|
21
|
3
|
| 8
|
23
|
3
|
23
|
22
|
2
|
| 9
|
22
|
2
|
24
|
24
|
3
|
| 10
|
20
|
3
|
25
|
23
|
2
|
| 11
|
21
|
2
|
26
|
22
|
3
|
| 12
|
22
|
3
|
27
|
25
|
2
|
| 13
|
21
|
2
|
28
|
23
|
3
|
| 14
|
23
|
3
|
29
|
21
|
2
|
| 15
|
25
|
2
|
30
|
20
|
3
|
2.
Цель задания.
2.1 Проверить степень усвоения студентами темы «Движение несвободной материальной точки. Силы инерции».
2.2 Научиться решать задачи динамики, применяя принцип Даламбера (кинетостатики).
3.
Повторение пройденного материала.
3.1 Что называется силой инерции и в каком виде движения она возникает?
3.2 В чем заключается принцип Даламбера (кинетостатики)?
3.3 Что такое центробежная сила и куда она направлена?
3.4 По какой формуле необходимо определять центробежную силу?
3.5 Когда возникает касательная составляющая силы инерции и куда она
направлена?
4.
Методические указания к выполнению задания №6.
4.1 Нарисовать рисунок согласно условию, записать что дано и что требуется
определить.
4.2 Расставить все активные, реактивные силы и силу инерции F
уб.
4.3 Приложить ось координат.
4.4 Составить уравнение равновесия, спроектировать все силы на ось.
4.5 Вычислить неизвестную величину F
уб
из уравнения и определить
скорость движения.
4.6 Написать ответ.
5.
Пример решения задания №6.
С какой скоростью мотоциклист должен проехать по выпуклому мосту, радиус кривизны которого равен 25 м, чтобы в самой верхней точке моста сила давления мотоцикла на мост была в три раза меньше его общей с мотоциклом силы тяжести?
Решение.
5.1 Составим расчетную схему, на которой покажем активную силу ( ), реактивную силу и силу инерции .
Дано:
r
= 25 м
R
= = , Н
n
= 3
_________________________
Определить:
υ - ?
5.2 Спроектируем все силы на ось Y:
Σ
Fiy
= 0;
F
уб
+
R
–
F
т
= 0.
5.3 Поскольку необходимо определить скорость движения мотоциклиста, а она входит в формулу центральной силы следовательно выразим F
уб
:
F
уб.
=
F
т
-
R
5.4 Выразим все величины через исходные данные для расчета

5.5 Сокращая на величину массы получаем:

5.6 Определим скорость движения:


Ответ:
υ = 12,8 м/с
6. Критерии оценки знаний.
| Оценка
|
Основные критерии оценки
|
| «5»
|
Работа выполнена правильно, без ошибок, оформлена согласно методическим указаниям.
|
| «4»
|
Работа выполнена правильно, но в оформлении допущены небольшие погрешности.
|
| «3»
|
В работе допущены ошибки, оформление небрежное, есть погрешности.
|
7. Тесты на проверку знаний по теме «Движение несвободной материальной точки. Сила инерции».
| №
n/n
|
Вопрос
|
Ответы
|
| 1.
2.
3.
4.
5.
|
Когда возникает сила инерции?
Куда направлена сила инерции в прямолинейном движении?
Возникает ли сила инерции при равномерном криволинейном движении?
В каком движении возникает центробежная сила инерции?
Когда возникает касательная сила инерции?
|
А. Сила инерции возникает при неравномерном движении.
Б. Сила инерции возникает при равномерном движении.
В. Вид движения роли не играет.
А. Сила инерции направлена в сторону противоположную движения.
Б. Сила инерции направлена по направлению движения.
А. Да, возникает.
Б. Нет, не возникает.
А. В прямолинейном движении.
Б. В криволинейном движении.
А. При наличии касательного ускорения.
Б. При наличии нормального ускорения.
|
| Время выполнения 5 – 10 минут.
|
8. Литература.
А.И. Аркуша «Техническая механика», Москва «Высшая школа», 2003
7.
Тема: «Работа и мощность. Трение».
1. Задание №7.
Определить работу при передвижении груза по наклонной плоскости АВ = l
вверх постоянной силой F // наклонной плоскости. Коэффициент трения fэ.
. Движение груза с ускорением a
. Принять угол наклона α = 30°. Данные своего варианта взять из таблицы.
Таблица №7
| Вариант
|
F
Т
Н
|
ℓ, м
|
a
, м/с2
|
f
|
Вариант
|
F
Т
Н
|
ℓ, м
|
a
, м/с2
|
f
|
| 1
|
200
|
4
|
1,5
|
0,01
|
16.
|
200
|
3
|
1,3
|
0,01
|
| 2
|
220
|
5
|
1,8
|
0,02
|
17.
|
400
|
5
|
1,6
|
0,03
|
| 3
|
240
|
3,5
|
1,7
|
0,03
|
18.
|
600
|
4,5
|
1,7
|
0,02
|
| 4
|
300
|
3
|
1,9
|
0,02
|
19.
|
800
|
3
|
1,8
|
0,03
|
| 5
|
400
|
4
|
1,2
|
0,01
|
20.
|
400
|
5
|
1,2
|
0,02
|
| 6
|
500
|
3
|
2,0
|
0,03
|
21.
|
700
|
3,5
|
1,5
|
0,01
|
| 7
|
600
|
5
|
2,1
|
0,01
|
22.
|
600
|
3
|
1,6
|
0,01
|
| 8
|
300
|
3,5
|
1,8
|
0,02
|
23.
|
400
|
4,5
|
1,8
|
0,03
|
| 9
|
400
|
4,5
|
1,9
|
0,03
|
24.
|
300
|
4
|
1,9
|
0,02
|
| 10
|
500
|
5
|
1,4
|
0,01
|
25.
|
800
|
5
|
2,0
|
0,03
|
| 11
|
600
|
4
|
1,3
|
0,03
|
26.
|
500
|
3,5
|
1,2
|
0,01
|
| 12
|
300
|
3,5
|
2,0
|
0,03
|
27.
|
400
|
4,5
|
1,4
|
0,02
|
| 13
|
400
|
3
|
1,5
|
0,01
|
28.
|
200
|
5
|
1,6
|
0,03
|
| 14
|
500
|
4
|
1,6
|
0,03
|
29.
|
400
|
3
|
1,9
|
0,01
|
| 15
|
600
|
5
|
1,9
|
0,02
|
30.
|
600
|
4
|
2,0
|
0,02
|
2. Цель задания.
2.1 Проверить степень усвоения темы: «Работа, мощность, КПД».
2.2 Научиться определять работу и мощность при поступательном и вращательном движениях твердого тела.
2.3 Научиться определять работу и мощность тела на наклонной плоскости.
3. Повторение пройденного материала.
3.1 Что такое работа и когда она производится?
3.2 Как определяется работа при поступательном и вращательном движениях твердого тела?
3.3 Что такое мощность и по какой формуле её можно определить?
3.4 Что такое коэффициент полезного действия и чему он равен?
3.5 Как определить коэффициент полезного действия многоступенчатой передачи?
4. Методические рекомендации к выполнению.
4.1 Нарисовать рисунок и записать исходные данные для своего варианта (взять из таблицы).
4.2 Расставить все силы, действующие в данной задаче: силу тяжести, активную силу , силу инерции  и силу трения , причем и направить в сторону, противоположную движению груза, т.е. вниз.
4.3 Приложить систему координат Х, Y. Ось Х направить в направлении движения, ось Y перпендикулярно к оси Х.
4.4 Спроектировать силу тяжести на оси координат: F
Т
cosα
на ось Y
и
FT
sinα
на ось Х и показать эти проекции на рисунке.
4.5 Составить 2 уравнения суммы проекций всех сил на оси и приравнять их к нулю.
4.6 Из первого уравнения выразить заданную силу . Перемножив её на расстояние АВ найдем работу.
4.7 Написать ответ.
5. Пример выполнения задания №7.
По наклонной плоскости АВ длиной 4 м равноускоренно передвигают груз с ускорением 1,5 м/с2
силой F
//
наклонной плоскости. Сила тяжести груза FТ
= 200Н. Коэффициент трения f
= 0,01. Определить работу, которая выполняется в данном случае.
5.1 Для решения данной задачи необходимо нарисовать наклонную плоскость под углом α = 30°
и расставить все силы, которые действуют в данном случае (см. рис.).
5.2 Приложить систему координат Х,Y.
5.3 Спроектировать все силы на ось Х и Y и составить 2 уравнения суммы проекций:
Σ
Fi
х
= 0;
F
-
F
Т
sinα
–
F
тр
–
F
и
= 0
Σ
Fiy
= 0;
R
-
F
Т
cosα
= 0
5.4 Решая эти уравнения необходимо вычислить силу F
. Из 1го
уравнения

5.5 Сила трения определяется по формуле:
F
тр
=
f
·
R
, где R
– нормальная реакция
5.6 Нормальную реакцию R
определить из 2го
уравнения:
R
=
F
Т
cosα
R
= 200 · 0,87 = 174 Н
Тогда сила трения: F
тр
=
f
·
R
= 0,01 · 174 = 1,74 Н
5.7 Сила инерции определяется:
F
и
=
ma
=

5.8 Движущую силу F
определим по формуле:
F
=
F
Т
sinα
+
F
тр
+
F
и
= 200 · 0,5 + 1,74 + 30,6 = 132,34 Н
5.9 Работа при передвижении груза по наклонной плоскости будет
W
=
F
·
S
= 132,34 · 4 = 529,36 Дж
Ответ:
W
= 529,36 Дж
6.
Критерии оценки знаний.
| Оценка
|
Основные критерии оценки
|
| «5»
|
Работа выполнена правильно, без ошибок, оформлена согласно методическим указаниям.
|
| «4»
|
Работа выполнена правильно, но в оформлении допущены небольшие погрешности.
|
| «3»
|
В работе допущены ошибки, оформление небрежное, есть погрешности.
|
7. Тесты на проверку знаний по теме «Работа, мощность, кпд»
| №
n/n
|
Вопрос
|
Ответы
|
| 1.
2.
3.
4.
5.
|
По какой формуле определяется работа постоянной силы на прямолинейном перемещении?
Какая зависимость существует между мощностью и скоростью движения?
Чему равен механический кпд?
Как определяется кпд многоступенчатой передачи?
Может ли работа быть отрицательной?
|
А. W = F · S · cosα
; Дж
Б. W
=
;
Дж
В. W
=
;
Дж
А. Прямо пропорциональная
Б. Обратно пропорциональная
А. η
= 
Б. η
= 
А. η общ
= η 1
· η 2
· …· η
n
Б. η общ
= η 1
+ η 2
+ …+ η
n
А. Да, может
Б. Нет, не может
|
| Время выполнения 5 – 10 минут.
|
8. Литература.
А.И. Аркуша «Техническая механика», Москва «Высшая школа», 2003
8. Заключение.
Методическое пособие написано в соответствии с требованиями Государственных образовательных стандартов и рабочей программы по «Технической механике» для студентов средних специальных учебных заведений специальностей 150411, 130504, и 190604 (дневная и заочная форма обучения).
Данное пособие может быть использовано для студентов заочного отделения в качестве контрольной работы по разделу «Теоретическая механика».
В нем кратко и доступно изложены основные требования и методические рекомендации к выполнению расчетно-графических заданий, даны критерии оценки, составлены тестовые задания и представлены эталоны ответов к тестам.
Это обеспечивает индивидуальный подход к обучению студентов, дает хороший эффект при изучении такой достаточно сложной дисциплины как «Техническая механика».
Приложение
Эталон ответов к тестовому заданию по теме: «Плоская система сходящихся сил».
1. А
2. А
3. А
4. А
5. А
Эталон ответов к тестовому заданию по теме: «Плоская система произвольно расположенных сил».
1. А
2. Б
3. Б
4. Б
5. А
Эталон ответов к тестовому заданию по теме: «Центр тяжести».
1. А
2. А
3. А
4. А
5. А
Эталон ответов к тестовому заданию по теме: «Кинематика. Точки. Кинематические графики».
1. А
2. А
3. А
4. А
5. А
Эталон ответов к тестовому заданию по теме: «Простейшие движения твердого тела. Вращательное движение».
1. А
2. А
3. А
4. А
5. А
Эталон ответов к тестовому заданию по теме: «Движение несвободной материальной точки. Сила инерции».
1. А
2. А
3. А
4. Б
5. А
Эталон ответов к тестовому заданию по теме: «Работа и мощность. Коэффициент полезного действия».
1. А
2. А
3. А
4. А
5. А
|