| Государственное образовательное учреждение высшего профессионального образования Московской области
МЕЖДУНАРОДНЫЙ УНИВЕРСИТЕТ ПРИРОДЫ, ОБЩЕСТВА И ЧЕЛОВЕКА “ДУБНА”
Кафедра химии, геохимии и космохимии
С.В. Моржухина, Е.А. Денисова, М.П. Осмачко
Учебно-методическое пособие
Основы ФИЗИКО-ХИМИЧЕСКИХ МЕТОДОВ анализа.
Часть 1. ФОТОМЕТРИЯ.
Дубна, 2007 аннотация
Методические указания по изучению аналитической химии (Фотометрия.) предназначены для студентов направления подготовки бакалавров 510500 «Химия» второго курса очной формы обучения Международного университета природы, общества и человека "Дубна".
Методические указания кроме экспериментальной части содержат теоретические вопросы и расчетные задачи для выполнения домашних и контрольных работ по фотометрии, а также для самостоятельной работы студентов. Письменные ответы на контрольные задания являются допуском к выполнению лабораторного практикума по фотометрическим методам анализа.
Издание этого пособия было бы невозможно без огромного труда сотрудников кафедры химии В.В. Успенской, И.В. Чернышовой, Е.А. Филатовой, И.М. Тихоновой по созданию лабораторного практикума по аналитической химии и разработке первых методических пособий.
СОДЕРЖАНИЕ
Календарный план работ стр. 5
Глава 1. Техника безопасности при выполнении лабораторной работы стр. 8
1.1.Общие правила работы в химической лаборатории стр. 8
1.2.Требования безопасности стр. 9
1.3. Меры пожарной безопасности стр. 10
1.4.меры безопасности при работе со стеклянной посудой стр. 10
1.5.Электробезопасность стр. 11
1.6. Первая помощь при несчастных случаях стр. 11
Глава 2. Требования к подготовке и выполнению лабораторных работ стр. 13
Глава 3. Основы метрологии аналитического контроля стр. 14
3.1. Аналитический сигнал стр. 14
3.2. Погрешности химического анализа стр. 15
3.3. Измерение концентрации вещества в растворе методом градуировочного графика стр. 25
3.4. Измерение концентрации вещества в растворе методом стандартов стр. 26
3.5. Измерение концентрации вещества в растворе методом добавок стр. 27
3.6. Оперативный контроль точности стр. 32
Глава 4. Фотоколориметрия стр. 34
4.1. Общие положения стр. 34 4.2. Классификация фотометрических методов анализа стр. 38
4.3. Измерение концентрации вещества в растворе стр. 39
4.4. Вопросы стр. 40
4.5. Задачи стр. 41
Забиваем Сайты В ТОП КУВАЛДОЙ - Уникальные возможности от SeoHammer
Каждая ссылка анализируется по трем пакетам оценки: SEO, Трафик и SMM.
SeoHammer делает продвижение сайта прозрачным и простым занятием.
Ссылки, вечные ссылки, статьи, упоминания, пресс-релизы - используйте по максимуму потенциал SeoHammer для продвижения вашего сайта.
Что умеет делать SeoHammer
— Продвижение в один клик, интеллектуальный подбор запросов, покупка самых лучших ссылок с высокой степенью качества у лучших бирж ссылок.
— Регулярная проверка качества ссылок по более чем 100 показателям и ежедневный пересчет показателей качества проекта.
— Все известные форматы ссылок: арендные ссылки, вечные ссылки, публикации (упоминания, мнения, отзывы, статьи, пресс-релизы).
— SeoHammer покажет, где рост или падение, а также запросы, на которые нужно обратить внимание.
SeoHammer еще предоставляет технологию Буст, она ускоряет продвижение в десятки раз,
а первые результаты появляются уже в течение первых 7 дней.
Зарегистрироваться и Начать продвижение
4.6. Практическая часть стр. 43
4.6.1. Устройство фотометра КФК-3 стр. 43
4.6.2. Устройство спектрофотометра СФ-46 стр. 47
4.6.3. Устройство колориметра КФО стр. 49
4.7. Экспериментальная часть стр. 51
4.7.1. Спектр поглощения окрашенных растворов стр. 51
4.7.2. Приготовление растворов стр. 51
4.7. 3. Определение концентрации фосфат-ионов стр. 52
4.7. 4. Определение сождержания железа
общего в воде с сульфосалициловой кислотой стр. 55
4.7. 5. Определение концентрации нитритов в воде
с применением реактива Грисса
(сульфаниловой кислоты и 1-нафтиламина) стр. 57
4.7. 6. Определение концентрации ионов аммония
в воде с реактивом Несслера стр. 60
4.7. 7. Экстракционно-фотометрический метод
определения меди при помощи
диэтилдитиокарбамината натрия стр. 62
4.7. 8. Экстракционно-фотометрический метод определения синтетических поверхностно-активных веществ стр. 64
4.7. 9. Фотометрическое определение дихромат- и
перманганат-ионов при их совместном присутствии в растворе стр. 65
6.7. 10. Определение меди в разбавленных растворах после предварительного концентрирования стр. 69
Глава 5. Нефелометрический и турбидиметрический методы анализа стр. 71
5.1. Нефелометрический метод анализа стр. 71
5.2. Турбидиметрический метод анализа стр. 72
5.3. Основные количественные соотношения в нефелометрии и турбидиметрии стр. 74
5.4. Вопросы стр. 75
5.5. Экспериментальная часть стр. 76
5.5.1. Турбидиметрическое (нефелометрическое)
определение сульфат-ионов стр. 76
5.5. 2. Турбидиметрическое определение кальция стр. 79
Календарный план работ
| Тема работы
|
Содержание допуска
|
Домашнее задание
|
| 1.
|
Поиск длины волны, при которой происходит максимальное светопоглащение окрашенных растворов
|
Закон Ламберта-Бугера-Бера
Выбор оптимальных условий фотометрирования
|
1. Стр. 188 №№ 1, 3а), 4 (вариант 1)
Стр. 179 №№ 1, 2, 9, 10, 27б) (по В.П. Васильев и др. «Аналитическая химия. Сборник вопросов, упражнений и задач»)
2. Методика определения содержания нитрит-ионов
Методика определения содержания ионов аммония, метод градуировочного графика (по методичке)
|
| 2.
|
Определение концентрации нитрит-ионов и ионов аммония методом градуировочного графика
|
Методика определения содержания нитрит-ионов и ионов аммония, метод градуировочного графика
|
1. Стр. 181 №№ 13, 19, 20, 27 г)
Стр. 188 №№ 5, 8
(по В.П. Васильев и др. «Аналитическая химия. Сборник вопросов, упражнений и задач»)
2. Методика определения содержания железа общего
Методика определения содержания фосфат-ионов
Контроль точности в КХА: сходимость, воспроизводимость, точность, метод стандартов, метод добавок (по методичке)
3. Стр. 273-276 (Ю. А. Золотов
Основы аналитической химии)
Сервис онлайн-записи на собственном Telegram-боте
Попробуйте сервис онлайн-записи VisitTime на основе вашего собственного Telegram-бота:
— Разгрузит мастера, специалиста или компанию;
— Позволит гибко управлять расписанием и загрузкой;
— Разошлет оповещения о новых услугах или акциях;
— Позволит принять оплату на карту/кошелек/счет;
— Позволит записываться на групповые и персональные посещения;
— Поможет получить от клиента отзывы о визите к вам;
— Включает в себя сервис чаевых.
Для новых пользователей первый месяц бесплатно.
Зарегистрироваться в сервисе
|
| 3.
|
Определение содержания железа общего и фосфат-ионов
|
Методика определения содержания железа общего
Методика определения содержания фосфат-ионов
Контроль точности в КХА: сходимость, воспроизводимость, точность, метод стандартов, метод добавок
|
1. Стр. 180 №№ 4 (а, б, в), 7, 9 (В.П. Васильев и др. «Аналитическая химия. Сборник вопросов, упражнений и задач»)
2. Стр. 200 (В.П. Васильев и др «Аналитическая химия. Лабораторный практикум»)
3. Определение содержания Cr и Mn при их совместном присутствии (по методичке)
|
| 4.
|
Определение содержания Cr и Mn при их совместном присутствии
|
Определение содержания Cr и Mn при их совместном присутствии
|
1. Стр. 181 №№ 25, 29, 31, 35, 41
Стр. 209 №№ 1,2, 3, 6, 12 (по В.П. Васильев и др. «Аналитическая химия. Сборник вопросов, упражнений и задач»)
2. Экстракционно-фотометрический метод определения меди
Экстракционно-фотометрический метод определения синтетических поверхностно-активных веществ (по методичке)
|
| 5.
|
Экстракционно-фотометрический метод определения меди
Экстракционно-фотометрический метод определения синтетических поверхностно-активных веществ
|
Экстракционно-фотометрический метод определения меди
Экстракционно-фотометрический метод определения синтетических поверхностно-активных веществ
|
Подготовка к коллоквиуму по курсу «Фотометрия»
|
Глава 1. Техника безопасности при выполнении лабораторной работы
1.1
.Общие правила работы в химической лаборатории
1. До начала занятия необходимо внимательно изучить тему предстоящей работы, используя методические пособия, учебник и конспект лекций.
2. Работайте тщательно, аккуратно, без лишней торопливости; соблюдайте в лаборатории тишину.
3. Работайте всегда на одном и том же месте, в халате и обязательно с чистым полотенцем.
4. Не загромождайте рабочее место портфелями, свертками, сумками и т.п. Для них отведены специальные отделения в рабочем лабораторном столе (нижний ящик).
5. Прежде чем приступить к работе по заданной теме, тщательно изучите ее по описанию, подготовьте необходимые приборы и реактивы.
6. Внимательно наблюдайте за ходом опыта, отмечая и записывая каждую его особенность в лабораторном журнале (выпадение и растворение осадков, изменение окраски, температуры и т.д.)
7. Расходуйте реактивы экономно. Если случайно количество раствора окажется большим, чем необходимо, то излишки не выливайте обратно во избежание загрязнения реактива.
8. Не уносите приборы, аппараты, реактивы общего пользования на свое рабочее место. Не путайте пробки от капельных пипеток и реактивных склянок.
9. Работы с вредными веществами проводите только под тягой. Концентрированные кислоты и щелочи наливайте осторожно под вытяжным шкафом, не уносите их на свое рабочее место.
10.Горячие приборы и посуду ставьте только на специальные подставки, а не на открытый стол.
11.Без указания и разрешения преподавателя не проводите никаких дополнительных опытов.
12.В ходе экперимента аккуратно ведите записи в рабочем журнале (а не на листочках или черновиках!)
13.После окончания работы вымойте использованную посуду
, выключите воду, газ, электричество и приведенное в порядок рабочее место “сдайте” дежурному лаборанту.
1.2.Требования безопасности
1. Включить вентиляцию. Вентиляция включается за 20-30 минут до начала проведения работ. Работы в лаборатории должны проводиться только при исправной вентиляции. В случае обнаружения каких-либо неисправностей вентиляции необходимо сообщить об этом дежурному электрику, преподавателю и заведующему лабораторией.
2. Проверить исправность электроприборов, их заземление и наличие средств пожаротушения.
3. Посуду из-под ядовитых и остропахнущих веществ следует мыть в вытяжном шкафу.
4. Концентрированные кислоты должны храниться в лаборатории в толстостенной стеклянной посуде емкостью не более 2-х литров в металлическом шкафу на поддонах, склянки с дымящей азотной кислотой следует хранить в специальных ящиках из нержавеющей стали.
5. Кислоты, щелочи и другие едкие жидкости следует разливать при помощи специальных сифонов или специальных пипеток с резиновой грушей при включенной тяге в вытяжном шкафу.
6. Если кислота случайно пролита, ее сначала засыпают песком, чтобы он впитал кислоту. Затем песок убирают, место, где была пролита кислота, засыпают содой или известью, после этого смывают водой и протирают насухо.
7. Разлитые концентрированные растворы щелочей нужно засыпать песком или древесными опилками. После удаления песка или опилок место обмывают слабым раствором уксусной кислоты.
8. Любые жидкие вещества и растворы нельзя набирать в пипетку ртом. Для этой цели следует применять резиновую грушу.
9. Отработанные кислоты и щелочи следует собирать раздельно в специальную посуду и после нейтрализации в конце рабочего дня сливать в канализацию.
10.При выполнении операций нагревания и прокаливания во избежание ожогов не следует брать голыми руками нагретые колбы, чашки, стаканы. При работе с горячими чашками, тиглями пользоваться приспособлениями: щипцами, прихватами из толстой проволоки.
13.При нагревании химической посуды следует пользоваться асбестированной сеткой или куском асбеста.
14.Остатки использованных растворов солей серебра нельзя выбрасывать, их необходимо собирать в специальную банку. Серебро затем восстанавливают, осаждая ионы серебра соляной кислотой. Серебро восстанавливают из осадка хлорида серебра формальдегидом или металлическим железом в присутствии соляной кислоты.
1.3. Меры пожарной безопасности
Каждый студент, заметивший загорание, задымление или другие признаки пожара, обязан:
· Немедленно вызвать пожарную часть по телефону 9 –01.
· Поставить в известность преподавателя.
· Немедленно выключить нагревательные приборы и вентиляцию.
· Применить наиболее эффективные для данного случая средства пожаротушения.
· Горящие электропровода и электроприборы, находящиеся под напряжением необходимо обесточить и тушить углекислотными огнетушителями.
1.4.меры безопасности при работе со стеклянной посудой
1. Работы со стеклянными приборами и посудой при которых возможна поломка сосудов и разбрызгивание горячих или едких продуктов необходимо выполнять в вытяжных шкафах на противнях за прозрачным предохранительным щитком. Исполнитель должен надеть очки, перчатки, прорезиненный фартук.
2. При смешивании или разбавлении веществ, сопровождающихся выделением тепла, следует пользоваться термостойкой стеклянной или фарфоровой посудой.
3. При переносе сосудов с горячей жидкостью следует использовать полотенце или другой теплоизолирующий материал. Сосуд необходимо держать двумя руками: стаканы с боков, чтобы пальцы опирались на отогнутые края колбы — одной рукой за горловину, другой за дно.
4. Нагревая жидкость в пробирке, следует держать последнюю так, чтобы отверстие было направлено в сторону от себя и соседей по работе.
5.
Протертые части эксикаторов необходимо слегка смазывать вазелином или другой смазкой. При переносе эксикатора крышку придерживать рукой, при открывании ее следует сдвигать в сторону, а не открывать.
6.
Битое стекло собирать в специальную тару, а не в общую урну.
7.
При несчастном случае необходимо прекратить работу, оказать пострадавшему первую помощь и сообщить о несчастном случае заведующему лабораторией или преподавателю. В случае необходимости обратиться в медпункт.
1.5.Электробезопасность
В целях предотвращения электротравматизма запрещается:
· работать на неисправных электрических приборах и установках;
· переносить включенные приборы и оставлять их без надзора;
· работать вблизи открытых токоведущих частей электроустановок и прикасаться к ним;
· загромождать подходы к электрическим устройствам.
В случае перерыва в подаче электрической энергии все электроприборы должны быть немедленно выключены.
1.6.Первая помощь при несчастных случаях
При несчастных случаях немедленно заявляйте дежурному лаборанту и преподавателю.
В практикуме имеется аптечка со всем необходимым для экстренной помощи.
При серьезном несчастном случае надо немедленно обратиться в медпункт или вызвать скорую помощь по телефону 9-03.
При порезе стеклом
убедитесь, что в ранке нет осколков, и ватой, смоченной этиловым спиртом или перманганатом калия, удалите кровь, смажьте йодом и забинтуйте.
Запомните: самым сильным средством от ожога является холодная вода
. Под холодной водой обожженное место должно находиться не менее 15 минут. Затем наложите повязку (марля, бинт), смоченную 2-3 %-м раствором KMnO4
, 2%- раствором стрептоцида или раствором пищевой соды. Обратитесь к врачу.
При поражении электрическим током
следует немедленно выключить ток и, используя резиновые перчатки, куски резины или пластмассы, сухую палку, книгу, тетрадь или другой предмет, не проводящий ток, оторвать проводник от пострадавшего или оттянуть человека от электрического контакта.
При ожогах химическими веществами
необходимо также сразу промыть обожженное место большим количеством воды. Затем поступайте следующим образом.
При ожоге кислотой
(серной, азотной, соляной, фосфорной) обработайте место ожога 2 — 3 %-м раствором пищевой соды или слабым раствором аммиака.
При ожоге щелочью
обработайте пораженное место 1 %-м раствором уксусной, лимонной или борной кислоты.
При отравлении кислотами
следует принять внутрь суспензию карбоната кальция (мел) или оксид магния или выпить разбавленного раствора соды.
При отравлении щелочами
следует выпить 1 %-ый раствор уксусной или лимонной кислоты.
При других случаях отравления следует вызвать рвоту, выпить молока или сырых яиц и немедленно обратиться к врачу.
Глава 2. Требования к подготовке и выполнению лабораторных работ
Приступить к выполнению лабораторных работ разрешается только после положительной сдачи допуска преподавателю.
1. Для получения допуска необходимо самостоятельно изучить материал по теме лабораторной работы по лекциям и учебникам и ответить на вопросы и решить задачи, приведенные в данных методических указаниях (письменно, кратко, в отдельной тетради).
2. Проработать методические указания по данной теме и для каждого эксперимента в тетради для лабораторных работ описать смысл эксперимента, и, если возможно — уравнения химических реакций, привести необходимые расчетные формулы.
3. К выполнению лабораторной работы допускаются студенты, выполнившие контрольные задания по физико-химическим методам анализа
4. Выполненную лабораторную работу оформить, описав ход выполнения эксперимента, химические реакции, привести все необходимые промежуточные расчеты, выводы. Категорически запрещается пользоваться черновиками или вести записи на отдельных листах бумаги.
5. Окончив работу, студент обязан показать преподавателю полученные результаты и оформленный лабораторный журнал, после чего вымыть использованную химическую посуду и убрать рабочее место.
Пропуск занятий без уважительной причины не допускается. Задолженности (пропущенные лабораторные работы, непроверенные домашние задания) должны быть ликвидированы до зачета.
Студенты, имеющие задолженности, не допускаются к сдаче зачета.
Глава 3.
Основы метрологии аналитического контроля
Аналитическая методика — это сложная, многостадийная измерительная процедура.
Изучением общих вопросов, связанных с измерением, обработкой и интерпретацией результатов химического анализа занимается специальный раздел аналитической химии — химическая метрология.
Для методов количественного анализа особенно важна их точность. Точность метода
— это собирательное название или характеристика, включающая его правильность
и воспроизводимость.
Когда говорят о высокой точности
, то предполагают, что результаты правильные и разброс данных минимальный. Точность
часто характеризуют относительной погрешностью (ошибкой)
определения в процентах. Из современных методов наиболее точен кулонометрический метод, позволяющий проводить определение компонентов с погрешностью 10-3
— 10-2
%.
Требования к точности анализа обычно определяется целью и задачами анализа объекта. Неоправданное требование высокой точности определения обычно удлиняет и удорожает химический анализ, приводит к необходимости использовать сложную и дорогостоящую аппаратуру.
3.1. Аналитический сигнал
Для обнаружения компонента или определения его количества измеряют аналитический сигнал. В большинстве методов аналитическим сигналом служат физико-химические величины, функционально связанные с содержанием определяемого компонента, им может быть сила тока, ЭДС системы, оптическая плотность, интенсивность излучения, появление осадка, окраски, спектральной линии. В качественном анализе фиксируют появление аналитического сигнала, в количественном — измеряют его величину. Затем, используя функциональную зависимость аналитический сигнал - содержание — y
= f
(C
), рассчитывают содержание компонента. Функция y
= f
(C
) может быть представлена в виде формулы, таблицы или графика и устанавливается опытным или расчетным путем.
Аналитический сигнал
является суммарной
величиной полезного аналитического
сигнала и аналитического сигнала фона
. Аналитический сигнал фона обусловлен многими причинами, например, составом анализируемого образца, шумами измерительных приборов, чистотой реактивов и многими другими причинами. Избежать аналитического сигнала фона ни в каких случаях не удается. Необходимо максимально снизить его. Аналитический сигнал фона учитывают при проведении контрольного (холостого) опыта, в котором через все стадии химического анализа проводится проба, не содержащая определяемого компонента. Тогда, полезный сигнал будет равен разности аналитического сигнала и аналитического сигнала фона.
3.2. Погрешности химического анализа
Погрешности фотометрических определений возникают вследствие неправильно проведенной химической реакции, использования грязных кювет, невоспроизводимости установки кювет в фотометрическом приборе и неточной настройкой его на оптический ноль, нестабильности работы источника сплошного излучения и оптической схемы, а также за счет погрешностей при построении градуировочного графика.
По способу вычисления погрешности можно подразделить на абсолютные и относительные. Абсолютной погрешностью называется разность между результатом анализа ( ) и истинным значением (m)
этой величины:

В зависимости от величины ,
абсолютные погрешности могут быть и положительными и отрицательными. Относительные погрешности, выраженные в процентах или в долях, знака не имеют:
´ 100%
Погрешности классифицируют по характеру причин, их вызывающих, на систематические, случайные и промахи.
1. Систематические погрешности вызваны постоянно действующей причиной, постоянны во всех измерениях и могут быть выявлены и устранены.
2. Случайные погрешности, причины, появления которых неизвестны, но они могут быть оценены методами математической статистики.
3. Промах — это погрешность, резко искажающая результаты анализа.
Промах обычно легко обнаруживается и вызвана либо сбоем в работе прибора, либо ошибкой аналитика.
Все виды погрешностей хорошо иллюстрируются на рис.2

Рис.2. Систематические и случайные погрешности химического анализа
Прямая 1 — систематическая и случайные погрешности отсутствуют, идеализированные результаты анализа равны истинному содержанию вещества в пробе m
.
Прямая 2 — все измерения не содержат случайных ошибок, но имеют постоянную отрицательную систематическую погрешность D
х
.
Линия 3 ¾ полностью отсутствует систематическая погрешность.
Линия 4 отражает реальную ситуацию, возникающую при измерениях: налицо и систематическая и случайная погрешности. А выпавшая точка символизирует промах.
С систематическими и случайными погрешностями связаны понятия воспроизводимости и правильности. Воспроизводимость характеризует степень близости друг к другу единичных определений, рассеяния единичных определений относительно среднего. Правильность характеризует отклонение полученного результата анализа от истинного значения измеряемой величины (рис.3).

Рис.3 . Воспроизводимость и правильность химического анализа.
Часто источники систематических и случайных погрешностей одни и те же.
Таблица 2
Типы ошибок и частота их возникновения
| Технические ошибки
|
Частота (%)
|
Систематические ошибки
|
Частота (%)
|
| Калибровка
|
16
|
Реактивы
|
9
|
| Расчеты
|
2
|
Аппаратура
|
24
|
| Приготовление образца
|
11
|
Интерпретация процедуры
|
2
|
| Техника исследования
|
6
|
| Интерпретация
|
4
|
Основной вклад в общую погрешность вносят методические погрешности, в которые входят
- погрешности отбора пробы (60 %), - переведение пробы в удобную для анализа форму (например, сплавление и растворение),
- погрешности операции концентрирования и разделения компонентов (30 %);
- погрешности, обусловленные природой химической реакции, взятой в основу методики определения компонента;
- инструментальные погрешности или погрешности метода измерения составляют 10 %.
Случайная ошибка
— одиночное значение, не выходящее за пределы установленной для данного исследуемого компонента области, но стремящееся к выходу за эти пределы. Случайные ошибки происходят при всяком измерении, и в том числе при любом аналитическом определении, как бы тщательно оно не проводилось. Наличие их сказывается в том, что при повторном определении того или иного элемента в данном образце, выполненном одним и тем же методом, дают, как правило, не одинаковые, а несколько различающиеся между собой результаты.
Они обусловлены:
1. свойствами самой пробы
2. некачественным инструментарием (неточностью пипеток, мерных колб, термоизмерительной аппаратуры, нестабильностью фотометрических приборов)
3. неточностью работы персонала лаборатории (неточное считываение результатов исследования, использование слишком которких шкал и.т.д.)
Случайные ошибки практически невозможно исключить совсем, но их можно значительно ограничить после оценки размера ошибки. Чем меньше величина случайных ошибок и меньше разброс индивидуальных показателей, тем лучше воспроизводимость лабораторных исследований. Случайные ошибки могут быть выявлены при постановке анализа в двух или больше параллельных пробах.
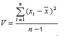
Для обработки случайных ошибок применяются методы математической статистики. Обычно при проведении химического анализа одного и того же объекта стараются получить от 3 до 7 результатов. Полученный числовой ряд называется выборочной совокупностью.
Дисперсия V
характеризует рассеяние данных в выборочной совокупности относительно среднего:

Для характеристики рассеяния результатов в выборочной совокупности используют также стандартное отклонение S
и относительное стандартное отклонение Sr
:
,

Все три величины — дисперсия, стандартное отклонение и относительное стандартное отклонение характеризуют воспроизводимость результатов химического анализа. Тест, предназначенный для сравнения среднего значения и константы, называется простым тестом
Стъюдента.
Но прежде чем обрабатывать данные с помощью методов математической статистики нужно исключить из совокупной выборки промахи при помощи Q
-критерия (Табл.3).
Таблица 3
| n
|
Q
крит
|
n
|
Q
крит
|
| 3
|
0.94
|
7
|
0.51
|
| 4
|
0.76
|
8
|
0.47
|
| 5
|
0.64
|
9
|
0.44
|
| 6
|
0.56
|
10
|
0.41
|
Делается это следующим образом: рассчитывают Q
эксп
, равное отношению разности выпадающего результата и величины наиболее близкой к нему, к разности максимальной и минимальной величины результатов определений ( размах):

Значения Q
-критерия (доверительная вероятность 0,90)
Если при заданном числе определений n
, Q
эксп
> Q
критерия
, известной из табличных данных, то следует этот результат исключить из выборочной совокупности, а если Q
эксп
< Q
критерия
, то исключать результат нельзя. Поясним эту операцию примером: при проведении химического анализа были получены следующие результаты: (мкг) 2,4; 3,2; 2,5; 2,7; 2,6; 2,5. Можно ли исключать величину 3,2мкг? Оценим Q
эксп
:

Находим по таблице Q
критерия
при 6 параллельных определениях, он в данном случае равен 0,56. Значит, Q
эксп
> Q
критерия
, и результат 3,2 мкг следует исключить. Далее из 5 результатов, образующих выборочную совокупность, находим результат анализа — средний результат:

Далее рассчитываем стандартное отклонение S
,
оно равняется 0,36. Делается это с той целью, чтобы при помощи критерия Стьюдента — t
критерия найти доверительный интервал (вероятность) того, что истинная величина будет лежать в пределах, определяемых по следующей формуле:

где t
— критерий Стьюдента для заданной вероятности Р
.
Обычно доверительный интервал рассчитывают для вероятностей, равных 0,90 или 0,95. При n
равной 5 величина t
для Р
= 0,90 и Р
= 0,95 t
0,90
=
2,02 и t
0,95
=
2,57. Следовательно, с вероятностью Р
= 0,90 истинное значение будет лежать в интервале 2,54 ± 0,32 и с вероятностью 0,95 — 2,54 ± 0,41 мкг.
Для оценки достоверности результатов аналитических определений следует учитывать реальные возможности используемого метода или методики. Принято экспериментальные результаты и данные расчеты выражать только достоверно известными цифрами. Например, при гравиметрических методиках взвешивание на обычных аналитических весах позволяет получать результаты с точностью ± 0,2 мг. Если средний результат анализа содержит сотые доли миллиграмма, то это недостоверные цифры. Если эти цифры >> 5, то следует округлять их в сторону ближайшего большего числа, а если меньше 5 — просто не принимать во внимание. Таким образом, результаты гравиметрического анализа 23,67 мг следует округлить до 23,7 мг, а 35,43 до 35,4 мг.
Систематическими ошибками
называют погрешности, одинаковые по признаку, происходящие от определенных причин, влияющих на результаты либо в сторону увеличения, либо в сторону уменьшения его. Систематические ошибки можно предусмотреть и устранить или же ввести соответствующие поправки. Наиболее характерными систематическими ошибками являются:
- Методические ошибки:
Они зависят от особенностей применяемого метода анализа, например, от не вполне количественного протекания реакции, на которой основано определение, от частичной растворимости осадка, от осаждения вместе с ним посторонних примесей, от течения наряду с основной реакцией каких-либо побочных реакций, искажающих результаты титриметрического определения, от свойств примененного при титровании индикатора и т.д. Методические ошибки составляют наиболее серьезную причину искажения результатов количественных определений, устранить их трудно.
- Ошибки, зависящие от применяемых приборов и реактивов
. Это ошибки, связанные с неравноплечностью или недостаточной точностью весов, с употреблением неповеренных разновесов или сосудов для определения объемов, ошибки, происходящие в результате загрязнения раствора продуктами разрушения стекла, из которого сделана применяемая при анализе посуда.
- Ошибки оперативные
. Они происходят от неправильного или недостаточно тщательного выполнения аналитических операций: недостаточное промывание осадков, приводящее к постоянному завышению результатов.
- Ошибки индивидуальные
, зависящие от индивидуальных особенностей аналитиков, например, от его неспособности точно улавливать момент окраски при титровании и т.д.
Последние три вида систематических ошибок могут быть учтены и сведены до минимальных величин.
Систематические ошибки повторяются при каждом измерении, так как они вызываются постоянными причинами. Поэтому они влияют на всю серию определений. Величина систематической ошибки характеризует правильность результатов анализа.
Когда результаты отклоняются от истинного значения на постоянную величину, такая систематическая ошибка называется постоянной ошибкой. Она может вызываться неправильной холостой пробой, а также химической или спектральной интерференцией.
Когда ошибки между измеренной и истинной концентрацией пропорциональны концентрации вещества, систематическая ошибка называется пропорциональной ошибкой. Частая причина возникновения пропорциональной ошибки — это ошибочная калибровка.
Обнаружение и предупреждение систематических ошибок представляет собой сложную задачу.
Систематическую погрешность проще всего выявить с помощью стандартных образцов. Такая проверка одновременно дает возможность испытать и методику, и инструмент измерения аналитического сигнала. Непременное условие применения стандартного образца в химическом анализе — это максимальная близость состава и свойств стандартного образца, и анализируемой пробы.
Оценка правильности результатов анализа — проблема значительно более трудная, чем оценка воспроизводимости. Для оценки воспроизводимости нам не надо иметь ничего, кроме серии параллельных результатов измерения. Для оценки же правильности необходимо сравнение результата измерения с истинным значением. Такое значение никогда не может быть известно точно.
Важнейшие способы получения информации о действительном значении содержания определяемого компонента в анализируемом образце состоят в следующем.
1. Данные независимого анализа. Образец анализируют повторно, используя другую аналитическую методику, о которой известно (из опыта рактического применения), что она не содержит систематической огрешности. При этом важно, чтобы такая методика была действительно независима от проверяемой, т.е. чтобы она по возможности принадлежала другому методу и не содержала общих операций пробоподготовки. Еще лучше, если такой сравнительный анализ проводят в другой лаборатории, особенно официально аккредитованной.
2. Способ "введено — найдено" (метод добавок). В этом случае аналитик сам готовит для анализа образец с известным содержанием определяемого компонента. Полученный результат ("найдено") сравнивают с заданным содержанием ("введено").
3. Использование стандартных образцов. В качестве объекта анализа выбирают подходящий СО, а данные о содержании определяемого компонента берут из паспорта СО.
Существует ряд специальных приемов, которые позволяют выявить, а во многих случаях и существенно снизить систематическую погрешность.
Одним из таких приемов служит способ варьирования размера пробы.
В этом случае для анализа используют серию проб различного размера (например, несколько аликвот разного объема) и исследуют зависимость найденного содержания от размера пробы. Предположим, что методика анализа содержит систематическую погрешность А,
которая постоянна и не зависит от размера пробы. Погрешность такого типа называется аддитивной.
Ее влияние состоит в том, что она увеличивает или уменьшает измеряемое значение аналитического сигнала на одну и ту же постоянную величину. Таким образом, при наличии аддитивной систематической погрешности с увеличением объема аликвоты наблюдается закономерное изменение результата анализа — убывание либо возрастание в зависимости от знака А.
Однако не всякая систематическая погрешность является аддитивной. Существуют погрешности другого типа, величина которых прямо пропорциональна размеру пробы (или содержанию определяемого компонента). Такие погрешности называются мультипликативными.
Они увеличивают или (чаще) уменьшают значение аналитического сигнала в одно и то же число раз, т.е. изменяют наклон градуировочной зависимости. Очевидно, что такие систематические погрешности описанный способ выявить не может. В то же время мультипликативные систематические погрешности можно значительно уменьшить с помощью специального способа градуировки, называемого способом добавок.

Рис. 4. Градуировка по способу добавок. 1 - систематическая погрешность отсутствует, 2 - наблюдается мультипликативная систематическая погрешность, 3- аддитивная систематическая погрешность
Основная цель способа добавок — беспечение максимально точного соответствия условий градуировки и собственно определения. При использовании способа добавок эти две операции совмещаются воедино: известные содержания определяемого компонента вводят как добавки непосредственно в анализируемый раствор и представляют градуировочную функцию в виде графика зависимости аналитического сигнала от концентрации добавки Ас
(рис. 4). Содержание компонента в анализируемом растворе находят путем экстраполяции полученной зависимости на нулевое (или фоновое, если оно известно) значение аналитического сигнала. Легко видеть, что в этом случае даже при наличии мультипликативной погрешности (т.е. изменении тангенса угла наклона градуировочного графика) получается правильный результат (ср. кривые 1 и 2 рис.4). В то же время аддитивную систематическую погрешность способ добавок устранить не может (кривая 3 рис.4).
3.3. Измерение концентрации вещества в растворе методом градуировочного графика
Для измерения концентрации вещества в растворе необходимо предварительно выполнить ряд подготовительных операций в следующей последовательности:
выбор длины волны;
выбор кюветы;
построение градуировочного графика для данного вещества;
измерение концентрация вещества.
Выбор длины волны
Для достижения наименьшей погрешности в определении концентрации следует правильно выбрать длину волны, на которой будет выполняться измерение. Для этого по спектральной кривой раствора, выбрать такой участок, на котором выполняются следующие условия:
- оптическая плотность имеет максимальную величину;
- ход кривой примерно параллелен горизонтальной оси
т. е. оптическая плотность мало зависит от длины волны.
Длина волны, соответствующая этому участку, выбирается для измерения. Если для некоторых растворов второе условие не выполняется, то рабочая длина волны выбирается по первому условию.
Выбор кюветы
При определении концентрации вещества в растворе необходимо сделать правильный выбор кюветы. Абсолютная погрешность измерения коэффициента пропускания не превышает 0,5%. Относительная погрешность измерения оптической плотности раствора будет различной и достигает минимума при значении оптической плотности 0,4.
Поэтому при работе на фотометре рекомендуется путем соответствующего выбора длины кювет работать вблизи указанного значения оптической плотности, например, в пределах от 0,2 до 0,8. При работе на приборе работайте вблизи указанного значения оптической плотности.
Если раствор интенсивно окрашен (темный), пользуйтесь кюветами с малой рабочей длиной (10 мм).
В случае слабо окрашенных растворов работайте с кюветами с большей рабочей длиной (50 мм).
В предварительно подобранную кювету налейте раствор и измерьте его оптическую плотность, введя в ход лучей соответствующий для данного раствора светофильтр. При измерении ряда растворов кювету заполните раствором средней концентрации.
Если полученное значение оптической плотности составляет примерно 0,2—0,8, то данную кювету выбирайте для работы с этим раствором. В том случае, когда это не выполняется, испробуйте кювету другой рабочей длины.
Построение градуировочного графика
Построение градуировочного графика проводить следующим образом. Приготовить ряд растворов данного вещества с известными концентрациями, охватывающими область возможных изменений концентраций этого вещества в исследуемом растворе.
Измерить оптические плотности всех растворов и построить градуировочный график, откладывая по горизонтальной оси известные концентрации, а по вертикальной — соответствующие им значения оптической плотности, рассчитанные по методу наименьших квадратов.
Следует убедиться в том, что зависимость концентрации от оптической плотности — линейная (по критерию Фишера), т. е. выражается на графике прямой линией.
По градуировочной кривой (точнее по уравнению линейной регрессии) в дальнейшем определяют неизвестную концентрацию вещества в исследуемых растворах. Для этого раствор наливают в ту же кювету, для которой построена градуировочная кривая, и, включив тот же светофильтр, определяют оптическую плотность раствора. Затем находят концентрацию, соответствующую измеренному значению оптической плотности.
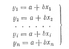
Вычисление метрологических характеристик линейного графика
Наиболее объективным и правильным является установление математической зависимости А
= f
(С
), которую находят методом регрессионного анализа. В фотометрических методах она выражается обычно линейной и, значительно реже, параболической зависимостью.
Вычисление параметров а и
b
.
В общем случае линейная зависимость выражается уравнением:
у
= а + b
х
Значения параметров а
и b
вычисляют методом регрессионного анализа. Величина a
,
представляющая собой значение аналитического сигнала при нулевой концентрации определяемого компонента, называется фоновым значением
сигнала. Она играет важную роль при оценке чувствительности методик
Если имеется п
взаимосвязанных пар значений (у
i
х
i
), то можно записать:

Здесь n
— число измерений;
х
i
, — известное содержание (концентрация) определяемого компонента в i
-м стандартном растворе;
у
i
— результат измерении аналитического сигнала (оптической плотности) i
-
го стандартного раствора.
В левой части системы уравнении находятся измеренные значения у
i
, а в правой — вычисленные значения Yi
= а
+ b
х
i
.
Разность между обеими величинами дает погрешность. Аналитически задача метода наименьших квадратов может быть выражена в следующей форме:
SQ
= (yi
– Yi
)2
= ( yi
– (a + bxi
)2
мин
Если yi
– (a
+ bxi
) = δi
,
тогда
SQ
= δi
2
, i
= 1, …, n
Следовательно, задача линейного регрессионного анализа (метода наименьших квадратов) состоит в том, чтобы сумма квадратов отклонений SQ
экспериментальных точек (у
i
х
i
) вдоль ординаты от проведенной прямой была минимальной.
Для того, чтобы найти параметры а
и b
,
удовлетворяющие минимуму SQ
, берут частные производные относительно а, затем относительно b
,
полученные выражения приравнивают нулю и, решая уравнения, находят;

Вычисление метрологических характеристик результатов анализа
После того как определена функциональная зависимость
у
= а
+ b
х
и рассчитаны значения а,
b
,
Δ
а,
Δb
, по данным измерений аналитического сигнала у
(оптическая плотность A
) анализируемых проб рассчитывают метрологические характеристики результата анализа.
Доверительный интервал результата анализа
3.4. Измерение концентрации вещества в растворе методом стандартов
В методе стандартов сравниваются полезные аналитические сигналы эталонного образца (у
эт
) с известным содержанием компонента (С
эт
) и анализируемой пробы (у
х
); у
эт
= S
´ С
эт
; у
х
= S
´ С
х
, где S
— коэффициент пропорциональности. Если S
— известно, то С
х
= у
х
: S
. Обычно применяют соотношение: у
эт
: у
х
= С
эт
: С
х
, откуда
 
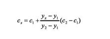
Наиболее надежные результаты получают, когда в качестве образцов сравнения используют стандартные образцы
— специально приготовленные материалы, состав и свойства которых достоверно установлены и официально аттестованы специальными государственными метрологическими учреждениями.
В способе ограничивающих растворов линейный (в выбранном концентрационном диапазоне) характер градуировочной функции постулируют заранее (и, при возможности, экспериментально проверяют), а стандартный раствор выбирают так, чтобы С1
<С
x
<
C
2
.
(рис.5)

Рис. 5. Метод стандартов
Легко видеть, что в этом случае

Если c
1
и с2
достаточно близки к сх
то способ ограничивающих растворов иногда дает более точные результаты, чем "полный" вариант способа внешних стандартов.
3.5. Измерение концентрации вещества в растворе методом добавок
Если нужно учесть влияние матрицы образца, часто используют метод добавок — расчетный и графический.
При определении содержания расчетным методом берут две аликвоты раствора анализируемой пробы. В одну из них вводят добавку определяемого компонента известного содержания. В обеих пробах измеряют аналитический сигнал — ух
и ух
+доб
. Неизвестную концентрацию определяемого компонента рассчитывают по формуле:

где V
доб
и С
доб
— объем и концентрация добавленного раствора определяемого компонента; V
— аликвота анализируемой пробы.
При определении содержания компонента графическим методом берут n аликвот анализируемой пробы: 1, 2, 3, ¼, n
. В аликвоты 2, 3,¼, n
вводят известные, возрастающие количества определяемого компонента. Во всех аликвотах измеряют аналитический сигнал и строят график в координатах аналитический сигнал — содержание определяемого компонента, приняв за условный ноль содержание определяемого компонента в аликвоте без добавки (аликвота 1). Экстраполяция полученной прямой до пересечения с осью абсцисс дает отрезок, расположенный слева от условного нуля координат, величина которого в выбранном масштабе и единицах измерения соответствует искомому содержанию (Cх
) определяемого компонента (рис.6).

Рис.6. Метод добавок
Метод стандартов и метод добавок применимы для линейной градуировочной функции. Метод градуировочного графика допускает использование как линейной, так и нелинейной функций аналитический сигнал — содержание. В последнем случае требуется большее число экспериментальных данных и результат определения содержания компонента бывает, как правило, менее точным.
При проведении химического анализа обычно не ограничиваются единичным определением, а проводят, как правило, 3–5 параллельных определений для одной и той же пробы или стандартного образца в одинаковых условиях.
Средний результат параллельных определений называется результатом анализа (С
или ). Отклонение результата анализа от истинного содержания определяемого вещества (m) в образце называют погрешностью определения.
Поэтому, наряду с определением содержания вещества важна оценка достоверности результатов измерений.
3.6. Оперативный контроль точности
В качестве характеристики случайной составляющей погрешности
результата анализа принимают наибольшее возможное значение среднего квадратического отклонения случайной составляющей погрешности (показатель) —
σ
(∆).
В качестве характеристики систематической составляющей принимают границы интервала (∆сн
, ∆св
, Р),
в которых неисключенная систематическая составляющая погрешности находится с принятой вероятностью Р.
Контроль сходимости
результатов параллельных определений при анализе одной пробы следует проводить по двум параллельным результатам анализа Х1
и Х2
, полученным в одинаковых условиях. Считается, что методика находится в контрольном состоянии, если расхождение между параллельными определениями не превышает допускаемого, то есть выполняется условие:
│ X
1
– X
2
│≤ d
,
где d
— норматив контроля сходимости — значение допускаемого расхождения между параллельными определениями, приведенное в методике КХА
.
При выполнении данного условия среднее арифметическое значение (Х = (Х1
+ Х2
)/
2)
принимается за результат анализа. В противном случае анализ следует повторить, используя резервную пробу. Контроль сходимости следует проводить при каждом анализе.
Контроль воспроизводимости
.
Образцами для контроля являются реальные пробы анализируемых объектов. Контроль воспроизводимости следует проводить по двум результатам анализа одной и той же пробы, полученным в разных условиях (Х1
и Х2
), допускаемых методикой, например, в разные дни, разными руками, на разных приборах данного типа, с использованием разной посуды и реактивов и т.д.
Методика находится в контрольном состоянии, если выполняется условие:
│ X
1
– X
2
│≤ D
,
где D
— норматив контроля воспроизводимости допускаемого расхождения в результате анализа пробы в различных условиях, который также должен приводится в методике КХА
.
В противном случае один результат или оба неверны, анализ необходимо повторить.
Контроль воспроизводимости обязательно следует проводить при смене партии реактивов, посуды, после ремонта прибора и т.д.
Контроль точности
результатов анализа можно проводить по вариантам:
1. В первом варианте образцами для контроля точности являются пробы стандартных образцов (ГСО), по составу адекватные пробам анализируемых объектов.
Если предварительно установлено, что в анализируемой пробе отсутствует определяемый компонент, то образцами для контроля точности может служить реальная проба с добавками ГСО определяемого компонента в диапазоне определяемых концентраций. Добавка делается на самой ранней стадии (до пробоподготовки). Тогда контроль точности
результатов анализа можно проводить путем сравнения результатов анализа стандартного образца (образца для контроля) и аттестованным значением концентрации элемента в стандартном образце (образце для контроля). В этом случае расхождения результатов анализа (Х)
стандартного образца и его аттестованного значения (Сат
) не должны превышать значений К
, приведенных в прописи методики анализа:
│ X
– Сат
│≤ К
где К
— норматив оперативного контроля точности — значение допускаемого расхождения между результатом анализа стандартного (контрольного) образца и аттестованного значения содержания компонента в нем.
ГЛАВА 4. ФОТОКОЛОРИМЕТРИЯ
4.1. Общие положения
Фотоколориметрический анализ (молекулярная абсорбционная спектроскопия) относится к оптическим методам анализа. Метод основан на способности вещества поглощать электромагнитное излучение оптического диапазона, который включает ультрафиолетовую, видимую и ИК-области. Наибольшее распространение получили фотометрические методы анализа, основанные на поглощении окрашенными соединениями в видимой области спектра, т.е. в интервале длин волн 400 — 780 нм.
Фотометрический метод анализа широко применяется в практике аналитического контроля. Метод имеет низкий предел обнаружения (10-5
— 10-6 М), относительная ошибка большинства определений 1
— 2 %.
Поглощение квантов hn электромагнитного излучения оптического диапазона молекулой или ионом обусловлено переходом электронов на орбитали с более высокой энергией. Каждая молекула обладает определенным набором возбужденных квантовых состояний, отличающихся значением энергии, поэтому интенсивно поглощаются те кванты света, энергия которых равна энергии возбуждения молекулы. Характер поглощения зависит от природы вещества, на этом основан качественный анализ.
За формирование аналитического сигнала ответственными являются в основном d ® d*- и p ® p*- переходы.
d ® d*- переходы характерны для аква-ионов и некоторых комплексных соединений d-элементов с неполностью заполненными d-орбиталями. p ® p*- переходы свойственны молекулам органических соединений и обеспечивают их окраску. Для количественного анализа используют зависимость светопоглощения от концентрации определяемого вещества.
Поглощение света подчиняется закону Ламберта – Бугера – Бера А =
e
lc
где А
— оптическая плотность,
I
0
и I
— интенсивности падающего и прошедшего через образец света,
T
— пропускание,
e
— молярный коэффициент поглощения (экстинкиции),
l
— длина оптического пути (толщина поглощающего слоя) в см,
c
— молярная концентрация.
Закон этот строго справедлив только для разбавленных растворо
в и в определенных условиях
:
· постоянство состава и неизменность поглощающих частиц в растворе;
· монохроматичность и параллельность проходящего через раствор потока небольшой интенсивности;
· постоянство температуры
Молярный коэффициент светопоглощения
характеризует чувствительность реакции и является постоянной величиной для данного окрашенного соединения. Для повышения чувствительности определения выбирают реакцию с максимальным значением e (см. справочник по аналитической химии).
Молярный коэффициент поглощения раствора можно рассчитать, если приготовить серию растворов с известными концентрациями веществ и измерить оптическую плотность раствора. Коэффициент линейной регрессии зависимости А = f(С) представляет собой молярный коэффициент поглощения.
Спектры поглощения одного и того же вещества в координатах А - l имеют одинаковый вид независимо от толщины слоя раствора или концентрации вещества в растворе и характеризуются максимумом при одной и той же длине волны, при которой и проводят все определения.
Селективно подбирая длину волны, отвечающую максимуму поглощения вещества, можно исключить влияние матрицы (растворителя).
Если исследуется смесь нескольких поглощающих веществ, то концентрацию каждого из них определяют, проводя измерения при длинах волн, отвечающих максимумам поглощения этих веществ
Возможности современных измерительных приборов таковы, что позволяют измерять величину А
от 0,02 до 3,0. Однако для получения удовлетворительных по точности результатов значения измеряемой оптической плотности должны находиться в пределах 0,2 < А
< 0,8.
Для проведения фотометрических исследований необходимо соблюдать ряд условий:
· цветная реакция должна проходить быстро, избирательно, полностью и воспроизводимо, а окраска образующейся аналитической формы должна быть устойчивой во времени и к действию света;
· аналитический реагент вводят в количестве, достаточном для перевода всего определяемого вещества в аналитическую форму;
· при проведении реакции выбирают такую область рН, в которой небольшие изменения рН не влияют на светопоглощение, а оно при этом максимально;
· фотометрические измерения проводят в определенном интервале длин волн, при этом ориентируются на большее различие в поглощении аналитической формы и исходных реагентов. Чем больше контрастность, тем удобнее реакция для фотометрирования;
· поглощение всегда измеряют относительно раствора сравнения, поглощение которого принимается за оптический ноль;
Все фотометрические определения проводят по единой схеме:
· переведение пробы анализируемого вещества в раствор;
· получение окрашенной аналитической формы в результате проведения цветной реакции;
· измерение светопоглощения раствора аналитической формы;
· обработка полученных данных.
Измерение поглощения проводят с помощью фотоэлектроколориметров. Фотоэлектроколориметрия — анализ на основе измерения поглощения нестрого монохроматичного излучения. Цвет раствора всегда является дополнительным к цвету поглощенного излучения (табл. 1). Цвет светофильтра является дополнительным к цвету раствора и соответствует участку спектра, который этим светофильтром пропускается.
Таблица 1
Наблюдаемые цвета и соответствующие им поглощенные участки спектра
| Интервал длин волн поглощенного излучения, нм
|
Цвет поглощеного излучения
|
Наблюдаемый цвет (дополнительный цвет)
|
| 400 – 435
|
Фиолетовый
|
Желто-зеленый
|
| 435 – 480
|
Синий
|
Желтый
|
| 480 – 490
|
Голубой
|
Оранжевый
|
| 490 – 500
|
Голубовато-зеленый
|
Красный
|
| 500 – 560
|
Зеленый
|
Пурпурный
|
| 560 – 580
|
Желто-зеленый
|
Фиолетовый
|
| 580 – 595
|
Желтый
|
Синий
|
| 595 – 605
|
Оранжевый
|
Голубой
|
| 605 – 730
|
Красный
|
Голубовато-зеленый
|
| 730 – 760
|
Пурпурный
|
Зеленый
|
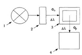
Прохождение потока электромагнитной энергии через какую-либо жидкую среду сопровождается такими явлениями, как поглощение
(уменьшение энергии потока), рассеяние
и некоторые другие.
Поток световой энергии, переносимый через единицу площади, называют интенсивностью потока световой энергии.
На рис. показано изменение интенсивности потока световой энергии при прохождении света через раствор (а) и дисперсную среду (б) с толщиной поглощающего слоя L.
где:
10
— интенсивность падающего потока световой энергии;
1от
— интенсивность потока световой энергии, отраженной от стенки кюветы;
1п
— интенсивность потока световой энергии, поглощенной окрашенным раствором;
1р
— интенсивность потока световой энергии, рассеянного дисперсной средой;
I
— интенсивность потока световой энергии, прошедшего через слой исследуемого вещества.
Если не учитывать поглощение потока световой энергии стенками кюветы, то интенсивность падающего светового потока 10
при прохождении кюветы с раствором и дисперсной средой разлагается на составляющие следующим образом:
I
0
= Iот
+ Iп
+ I
— для раствора,
I0
= Iот
+ Iп
+ Iр
+ I
— для дисперсной среды.
В фотометрии 1
от
, как правило, компенсируется или учитывается.
4.2.Классификация фотометрических методов анализа
Фотометрические методы исследования базируются на способности жидких сред (растворов) поглощать и/или рассеивать, отражать электромагнитное излучение и даже излучать в результате химической реакции.

Рис.7 Классификация фотометрических методов лабораторных исследований
4.3. Измерение концентрации вещества в растворе
Проводят
- методом градуировочного графика
- методом добавок
- методом дифференциальной фотометрии
- эктракционно-фотометрическим методом
см.
1. Е.А. Мухина стр. 12-32, стр.43-67
вопросы для самоконтроля – стр.56, 66
2. Васильев В.П. Лабораторный практикум стр. 149-157
4.4. Вопросы
1. Фотоэлектроколориметрия. Спектрофотометрия. Выбор длины волны светового потока для измерения светопоглощения. Характеристика и назначение светофильтров.
2. Принципиальная схема прибора КФК — 3
3. Принципиальная схема прибора CФ — 46.
4. Основные приемы фотометрических измерений. Meтод градуировочного графика. Принцип его построения при фотометрических определениях.
5. Основные приемы фотометрических измерений. Метод дифференциальной фотометрии. В каких случаях применяют дифференциальный спектрофотометрический метод анализа и каковы его преимущества.
6. Основные приемы фотометрических измерений. Метод молярного коэффициента поглощения и метод добавок.
7. Молярный коэффициент светопоглощения. Физический смысл. Факторы, влияющие на его величину. Как можно экспериментально определить молярный коэффициент светопоглощения?
8. Закон аддитивности и его практическое применение для количественного определения компонентов при их совместном присутствии.
9. Ограничения и условия применения закона Бугера-Ламберта-Бера.
10. Количественный анализ. Оптимальные условия фотометрического определения. Выбор оптимальных значений температуры и рН при исследовании фотометрической реакции.
11. Фотометрическая реакция. Как выбрать эффективную длину волны и оптимальную толщину кюветы для фотометрических определений?
12. Концентрационные условия проведения фотометрической реакции. Как правильно выбрать количество добавляемого реагента, чтобы была достигнута необходимая полнота фотометрической реакции.
13. Стандартные растворы. Растворы сравнения.
14. Оптическая плотность. Факторы, влияющие на величину оптической плотности раствора.
4.5. Задачи
1. Сколько г рибофлавина (витамина В2
) следует взять для приготовления 250 мл стандартного раствора, содержащего 0,08 мг в 1 мл.
2. Вычислить молярную и нормальную концентрацию серной кислоты плотностью 1,43 г/см3
. Сколько следует взять этой кислоты для приготовления 2 л 0,1 М и 0,1 н растворов?
3. Как из стандартного раствора перманганата калия, содержащего 0,1 мг марганца в 1 мл, приготовить растворы с концентрацией марганца 0,025 мг/мл и 0,05 мг/мл в мерных колбах емкостью 50 мл.
4. Как приготовить из стандартного раствора дихромата калия, содержащего 0,2 мг хрома в 1 мл, растворы с концентрацией хрома 0,04 мг/мл и 0,08 мг/мл хрома в мерных колбах емкостью 50 мл?
5. Как приготовить 100 мл стандартного раствора перманганата калия, содержащего 0,1 мг марганца в 1 мл из 0,1 н раствора перманганата калия?
6. Имеется раствор дихромата калия с концентрацией хрома в нем 0,4 мг/мл. Как из него приготовить 250 мл раствора с концентрацией хрома 0,05 мг/мл?
7. Молярная концентрация эквивалента дихромата калия равна 0,1 моль/л. Сколько мл этого раствора следует взять для приготовления 200 мл раствора с концентрацией 0,2 мг хрома в 1 мл.
8. Молярная концентрация эквивалента перманганата калия равна 0,11 моль/л. Сколько мл этого раствора следует взять для приготовления 200 мл с концентрацией 0,05 н?
9. Как приготовить стандартный раствор соли Мора 0,01 н? Выразить концентрацию этого раствора через титр и молярную концентрацию.
10. Вычислить, сколько следует взять хлористого натрия для приготовления стандартного раствора, содержащего 50 мкг натрия в 1 мл раствора.
11. Как приготовить стандартный раствор хлористого калия, содежащего 2 мг калия в 1 мл раствора? Выразить концентрацию полученного раствора через титр и молярную концентрацию.
12. Рассчитать концентрацию Fe+3
в мг/л в воде, если для определения было взято 100 мл воды, после упаривания ее и обработки орто-фенантралином было получено 25 мл окрашенного раствора. Оптическая плотность этого раствора 0,460; толщина слоя 1 см, молярный коэффициент светопоглощения 1100.
13. При определении железа в виде моносульфосалицилата оптическая плотность раствора, содержащего 0,5 мг железа в 100 мл, равна 0,42 (1
-2 см). Вычислите молярный коэффициент поглощения раствора моносульфосалицилата железа.
14. Вычислите оптическую плотность раствора хлорида меди с концентрацией 0,01 моль/л с толщиной поглощающего слоя 2 см (e
=100).
15. Оптическая плотность раствора, содержащего 0,07 мг марганца (в виде перманганата) в 50 мл равна 0,54. Толщина поглощающего слоя кюветы 2 см. Вычислите молярный коэффициент поглощения,
16. Вычислите молярную концентрацию раствора комплексного соединения титана с хромотроповой кислотой (e
= 105
), оптическая плотность которого при измерении в кювете с толщиной поглощающего слоя 3 см составляет 0,46.
17. Рассчитайте молярную концентрацию раствора комплексного соединения титана с пероксидом водорода (e
=103
), оптическая плотность которого равна 0,23 (1
= 1 см).
18. Вычислите оптическую плотность 0,1 М раствора меди (в виде сульфата меди) в кювете с толщиной поглощающего слоя 1 см;
e
=104
.
19. Вычислите молярный коэффициент светопоглощения раствора окрашенного соединения железа с концентрацией 0,08 мг в 50 мл раствора, если оптическая плотность раствора составила 0,350 при толщине поглощающего слоя 3 см.
20. Рассчитайте наименьшую молярную концентрацию раствора, которую можно установить фотоэлекгроколориметрическим методом в кювете с толщиной поглощающего слоя 2 см, если значение оптической плотности составляет 0,01, молярный коэффициент светопоглощения e
= 103
.
21. Рассчитайте оптимальную толщину поглощающего слоя кюветы (мм), необходимую для измерения оптической плотности раствора сульфата меди, содержащего 4 мг соли в 50 мг раствора. Величина оптической плотности составляет 0,520; молярный коэффициент све-гопоглощсния e
= 103
.
22. Молярный коэффициент поглощения воднорастворимого комплекса никеля с диметилглиоксимом при 470 нм равен 1,30•104
. Рассчитайте: а) оптическую плотность раствора комплекса, в 1 мл которого содержится 1 мкг никеля, при толщине поглощающего слоя l
= 1,00 см; б) его пропускание; в) концентрацию никеля в растворе (мкг/мл), если оптическая плотность раствора, содержащего диметилглиоксимат никеля и помещенного в кювету с l
= 3,00 см, равна 0,190 при 470 нм.
23. При определении железа в виде моносульфосалицилатного комплекса пропускание раствора, содержащего 0,115 мг металла в 25,0 мл раствора, равно 54,5% при толщине поглощающего слоя l
= 2,00 см. Рассчитайте молярный коэффициент поглощения комплекса.
24. Образец стали содержит 0,5% кремния. Какую навеску стали (г) следует растворить в 100,0 мл, чтобы, отобрав 25,0 мл этого раствора в колбу на 50,0 мл, получить раствор
-кремнемолибденовой гетерополикислоты H4
(SiMo12
O40
)•nH2
O ( = 2,2•103
л•моль-1
•см-1
при = 400 нм), поглощение которого в кювете с l
= 1,00 см отвечало бы минимальной погрешности фотометрических измерений (Аопт
= 0,434)?
4.6. Практическая часть
4.6.1. Устройство фотометра КФК-3
Фотометр выполнен в виде одного блока. На металлическом основании 3 закреплены узлы фотометра, которые закрываются кожухом 1. Кюветное отделение закрывается съемной крышкой 5.
В фотометр входят фотометрический блок 2, блок питания 3, микропроцессорная система 4.
На боковой стенке фотометра расположена ось резистора 1 (УСТ. 0) и тумблер 2 (СЕТЬ).
На задней стенке основания фотометра расположена розетка 5 для подключения к фотометру термопечатающего устройства типа УТП-2.
Блок фотометрический
В фотометрический блок входят: осветитель, монохроматор, кюветное отделение, кюветодержатель, фотометрическое устройство. Конструкция механизма осветителя обеспечивает перемещение лампы в трех взаимно перпендикулярных направлениях.
Монохроматор 1 служит для получения излучения заданного спектрального состава и состоит из корпуса, узла входной щели, сферического зеркала, дифракционной решетки, узла выходной щели и синусного механизма.
В фотометрическое устройство входят фотодиод и усилитель постоянного тока. Усилитель постоянного тока устанавливается в фотометр через разъем.
В кюветодержатель устанавливают кюветы с растворителем (контрольным раствором) и исследуемым раствором и помещают их в кюветное отделение 6.
Кюветодержатель устанавливают в кюветное отделение на столик так, чтобы две маленькие пружины находились с передней стороны.
Ввод в световой пучок одной или другой кюветы осуществляется поворотом рукоятки 4 до упора влево или вправо.
При установке рукоятки до упора влево в световой пучок вводится кювета с растворителем, при установке рукоятки до упора вправо в световой пучок вводится кювета с исследуемым раствором.
При открытой крышке кюветного отделения шторка перекрывает световой пучок.
Порядок работы
Установить в кюветное отделение кюветы с растворителем или контрольным раствором, по отношению к которому производится измерение, и исследуемым раствором. Кювету с растворителем или контрольным раствором установить в дальнее гнездо кюветодержателя, а кювету с исследуемым раствором — в ближнее гнездо кюветодержателя.
В световой пучок установить кювету с растворителем (рукоятка 4 — влево до упора).
Установить ручкой 2 длину волны, на которой проводятся измерения раствора. Длина волны высветится на верхнем цифровом табло.
При закрытой крышке кюветного отделения•нажать клавишу «Г». На нижнем цифровом табло слева от мигающей запятой высветится символ «Г». Нажать клавишу «П» или «Е». Слева от мигающей запятой высветится соответственно символ «П» или «Е», а справа от мигающей запятой — соответственно значения «100,0 ±0,2» или «0,000 ±0,002», означающие, что начальный отсчет прoпускания (100,0%) или оптической плотности (0,000) установился на фотометре правильно.
Открыть крышку кюветного отделения и нажать клавишу НУЛЬ, закрыть крышку, нажать клавишу П или Е.
Затем рукоятку 4 установить вправо до упора, при этом в световой пучок вводится кювета с исследуемым раствором. Отсчет на световом табло справа от мигающей запятой соответствует коэффициенту пропускания или оптической плотности исследуемого раствора.
Повторить операции по три раза, вычислить среднее арифметическое значение измеряемой величины.

4.6.2. Устройство спектрофотометра СФ-46
Включение спектрофотометра
Закройте фотоэлемент, поставив рукоятку 49 шторки в положение ЗАКР, и рукояткой 21 установите ширину щели 0,15 нм.
Нажмите кнопку СЕТЬ, после чего должна загореться сигнальная лампа СЕТЬ, и нажмите клавишу ПУСК на клавиатуре МПС, после чего должна высветиться запятая на табло МПС.
При установке рычага 34 в положение «Н» лампа накаливания загорается сразу после нажатия кнопки СЕТЬ, при установке рычага 34 в положение «D» дейтериевая лампа загорается автоматически после минутного прогрева.
Стабильная работа спектрофотометра обеспечивается через полчаса после его включения.
Выключение спектрофотометра производите нажатием кнопки СЕТЬ.

Порядок работы
Установите в держатель кювет от одного до трех исследуемых образцов, в четвертую позицию держателя может быть установлен контрольный образец.
Установите держатель на каретку в кюветное отделение.
Установите требуемую длину волны, вращая рукоятку длин волн в сторону увеличения длин волн. Если при этом шкала повернется на большую величину, то возвратите ее назад на 5 — 10 нм и снова подведите к требуемому делению.
Установите рукояткой 41 и рычагом 34 в рабочее положение фотоэлемент и источник излучения, соответствующие выбранному спектральному диапазону измерения.
Перед каждым новым измерением, когда неизвестна величина выходного напряжения, устанавливайте ширину щели 0,15 нм во избежание засвечивания фотоэлементов.
Снимите показания при плотно закрытой крышке кюветного отделения.
Открывайте крышку кюветного отделения только при установленной рукоятке переключения шторки в положение ЗАКР.
Измерение коэффициента пропускания
1. Установите рукоятку 49 в положение ЗАКР.
2. Нажмите клавишу «Ш(0)», при этом на фотометрическом табло высветится значение сигнала в вольтах, пропорциональное значению темнового тока фотоэлемента.
3. Установите рукояткой 50 НУЛЬ на фотометрическом табло числовое значение в диапазоне от 0,05 до 0,1. Показание с табло снимайте, нажимая клавишу «Ш(0)» до появления показания, отличающегося от предыдущего не более чем на 0,001. Последнее показание заносится в память МПС и остается там до следующего нажатия клавиши «Ш(0)».
4. Установите на пути потока излучения контрольный образец, перемещая каретку рукояткой 40.
При отсутствии контрольного образца измерение будет проводиться относительно воздуха.
5. Установите рукоятку 49 переключения шторки в положение ОТКР.
6. Нажмите клавишу «К(1)» и снимите показание с фотометрического табло. Слева на табло высвечивается индекс «1». Оно должно быть в пределах 0,5 — 5,0. При показании меньше 0,5 следует увеличить ширину щели.
При показании больше 5,0 на табло высвечивается индекс «∏». В этом случае следует уменьшить ширину щели и нажимать клавишу «К(1)» несколько раз до появления показания, отличающегося от предыдущего не более чем на 0,001.
7. Нажмите клавишу «τ
(2)», при этом на фотометрическом табло должно появиться показание 100,0±0,1, а слева индекс «2». Если показание имеет другое значение, необходимо еще раз ввести значение сигнала сравнения, нажав клавишу «К(1)».
8. Нажмите клавишу «Ц/Р», при этом должно наблюдаться свечение индикатора режима «Ц». Нажмите клавишу «τ(2)». Спектрофотометр переходит в цикличный режим измерения, производит измерение образца каждые 5 секунд и высвечивает результат измерения.
9. Установите поочередно на пути потока излучения измеряемые образцы, перемещая каретку рукояткой 40,
и при появлении показания, отличающегося от предыдущего не более чем на 0,1, снимите показание с фотометрического табло.
10. При проведении непродолжительных измерений, в течение которых величина темнового тока не меняется, можно не вводить эту величину в память МПС при каждом измерении. В этом случае все последующие измерения, начиная со, второго, следует проводить, начиная с операций п. 4.
Определение оптической плотности
Выполните операции, указанные в пп.1 — 6.
Нажмите клавишу «0(5)», при этом на фотометрическом табло должно появиться показание 0,000±0,001, а слева индекс «5». В режиме определения оптической плотности образца МПС вычисляет оптическую плотность по формуле
А
= - lg
τ
.
Выполните операции, указанные в пп.8,9 и снимите показания с фотометрического табло.
4.6.3. Устройство колориметра КФО
Выделение отдельных участков спектра обеспечивается пятью светофильтрами из цветного стекла с параметрами, приведенными в табл. 1.
Таблица 1
| Маркировка
светофильтра
|
Длина волны, соответствующая максимуму пропускания, нм
|
| 1
|
415± 10
500± 10
530± 10
600± 10
630± 10
|
| 2
|
| 3
|
| 4
|
| 5
|
| 6
|
неизбирательный
|
Для светофильтра 630 нм в табл. 1 указана λ предельная.
Принцип работы
Принцип работы прибора заключается в измерении отношения двух световых потоков, полного и прошедшего через измеряемую среду, методом пропорциональных отклонений.
Коэффициент пропускания τ измеряемой среды, представляющий собой отношение этих потоков, определяется в виде отношения соответствующих фототоков непосредственно по шкале микроамперметра, т. е.:
τ =
•100%,
где Io
— фототок, соответствующий полному световому потоку Фо;
I
— фототок, соответствующий световому потоку Ф, прошедшему через измеряемую среду.
Измерение коэффициента пропускания
Установите нуль при закрытой шторке (открытой крышке кюветного отделения) рукояткой УСТАНОВКА НУЛЯ по шкале микроамперметра.
Закройте крышку кюветного отделения и с помощью ручки УСТАНОВКА 100 выставьте отсчет 100 по шкале измерительного прибора.
Примечание. В случае измерения растворов отсчет 100 выставьте кюветой с растворителем
.
Установите в кюветное отделение измеряемый образец.
Закройте крышку прибора и снимите отсчет N
по шкале измерительного прибора. Отсчет N
соответствует коэффициенту пропускания измеряемого образца, в процентах. Для повышения точности измерений произведите по 3 измерения и вычислите среднее арифметическое результатов трех измерений,
4.7. Экспериментальная часть
4.7.1. Спектр поглощения окрашенных растворов
1. Растворы перманганата калия, сульфата меди, хлорида никеля, хлорида кобальта, бихромата калия.
Прибор — СФ-46, КФК-3
4.7.2. приготовление растворов:
1. Сегнетова соль
2. аскорбиновая кислота
3. антимонилтартрат калия
4. молибдат аммония
5. серная кислота для фосфатов
6. соляная кислота 0,1 н 2 л
7. соляная кислота 1:1
8. тиосульфат натрия 0,1 н 1 л
9. гидроксид калия 0,1 н 1 л
10. фторид натрия 0, 1М 0,5 л
11. карбогнат натрия 0,1 н. 0, 25 л
12. хлорид калия насыщенный 0, 5 л
13. сульфосалициловая кислота 20% 250 мл
14. хлорид аммония
15. азотная кислота
16. реактив Грисса 10 % (расторяют в 12% уксусной кислоте)
17. уксусная кислота 12 % 200 мл
18. диэтилдитиокарбаминат натрия
19. лимоннокислый аммоний
20. тимоловый синий
21. фосфатный буферный раствор
22. метиленовый синий
23. перекись водорода 3 %
24. серная кислота 0,3 %
25. безаммиачная вода
26. хлорид бария 5 %
4.7. 3. Определение концентрации фосфат-ионов
Метод основан на взаимодействии фосфатов с молибдатом в кислой среде с образованием фосфорно-молибденовой гетерополикислоты H7
[P(Mo2
O7
)6
].
28H2
O восстановлением ее аскорбиновой кислотой в присутствии сурьмянововиннокислого калия до фосфорно-молибденового комплекса, окрашенного в голубой цвет.
Гетерополикислоты — соединения, состоящие из малого центрального атома, чаще всего фосфора, кремния, мышьяка и др., и координированных ионов, способных к полимеризации. Для фотометрического анализа наиболее часто применяются гетерополикислоты, содержащие в качестве координированных групп полиионы молибдена.
Гетерополикислоты образуются только в кислой среде. При нейтрализации раствора или в щелочной среде они разлагаются с образованием солей двух отдельных кислот, например Na3
PO4
и Na2
MoO4
. Многие вещества, образующие комплексы с молибденом, также разрушают гетерополикислоты. Так, в присутствии ионов щавелевой кислоты, фтора и некоторых других веществ, связывающих молибден, фосфорномолибденовая гетерополикислота частично или полностью разрушается. При действии избытка фосфорной кислоты образуются бесцветные комплексы другого состава. Ионы хлора при большой их концентрации также разрушают гетерополикислоты, поэтому для подкисления раствора обычно пользуются азотной или серной кислотой.
Фосфорномолибденовая и кремнемолибденовая кислоты окрашены в желтый цвет. Колориметрическое определение кремния и фосфора основано на образовании этих соединений. При измерении оптической плотности раствора в видимом участке спектра желтый комплекс недостаточно поглощает свет, поэтому часто применяют методы, основанные на измерении оптической плотности раствора молибденовой сини, полученной после восстановления фосфорномолибденовой кислоты.

Рис.8. Спектр поглощения раствора синего фосфорномолибденового комплекса
На рис.8 приведен спектр поглощения раствора фосфорномолибденовой сини. Оптическую плотность лучше всего измерять при 650 — 750 нм.
Чувствительность метода 0,005 мг
фосфора в 25 мл
конечного объема при толщине фотометрируемого слоя 5 см
.
После окончания анализов в конце рабочего дня следует промывать фотометрические кюветы спиртом, так как восстановленная фосфоромолибденовая кислота очень хорошо пристает к стеклу.
Реактивы:
-Антимонилтартрат калия (сурьмянововиноокислый калий)
0,34 г антимонилтартрата калия помещают в стакан, растворяют в небольшом количестве дистиллированной воды, переносят в мерную колбу на 500 мл и доводят до метки дистиллированной водой.
-серная кислота
: В мерную колбу на 500 мл наливают 400 мл дистиллированной воды и осторожно приливают 70 мл концентрированной серной кислоты. После охлаждения раствор доводят до метки дистиллированной водой.
-аскорбиновая кислота
. 2,16 г аскорбиновой кислоты помещают в стакан, растворяют в небольшом количестве дистиллированной воды, переносят в мерную колбу на 100 мл, доводят до метки дистиллированной водой. Хранят в холодильнике.
-молибдат аммония
. 3 г молибдата аммония помещают в стакан, растворяют в небольшом количестве дистиллированной воды, переносят в мерную колбу на 100 мл и доводят до метки дистиллированной водой.
-смешанный реактив
. Смешивают 125 мл раствора серной кислоты, 50 мл раствора молибдата аммония, 50 мл раствора аскорбиновой кислоты и 25 мл антимонилтартрата Смешанный реактив готовят непосредственно перед использованием.
Построение градуировочного графика
В мерные колбы на 50 мл внести 0,5, 1, 2, 3, 4 мл стандартного раствора фосфатов с концентрацией 0,01 мг/мл. Рассчитайте концентрации полученных растворов. К 50 мл пробы добавляют 5 мл смешанного реактива, перемешивают, добавляют 0,5 мл аскорбиновой кислоты. Смесь перемешивают. Через 15 мин измеряют оптическую плотность полученного раствора при длине волны 690 нм по отношению к холостому опыту с толщиной оптического слоя 5 см. Рассчитайте коэффициенты регрессии методом наименьших квадратов.
Ход определения
:
Получите у преподавателя шифрованную пробу с фосфат-ионами. Проведите определение фосфатов методом добавки, методом стандартов, методом градуировочного графика.
К 50 мл пробы добавляют 5 мл смешанного реактива, перемешивают, добавляют 0,5 мл аскорбиновой кислоты. Смесь перемешивают. Через 15 мин измеряют оптическую плотность полученного раствора при длине волны 690 нм по отношению к холостому опыту. Опыт проведите в двукратной повторности.
Напишите уравнение реакции.
Проведите контроль сходимости между двумя параллельными определениями, воспроизводимости между полученными концентрациями двумя разными операторами, контроль точности методом добавки и стандартов.
Норматив точности 15%
Норматив сходимости 17%
Норматив воспроизводимости 12%
4.7. 4. Определение сождержания железа общего в воде с сульфосалициловой кислотой
В щелочной среде сульфосалициловая кислота с железом (Fe2+
и Fe3+
) образует комплексное соединение желтого цвета. Окраска устойчива и позволяет определять железо фотометрически. Предел обнаружения методики составляет 0,1 мг/л. Определению мешают медь (>0,25 мг/л) и алюминий (>2 мг/л).
Сульфосалицилатный метод можно применять для определения железа в присутствии многих анионов, даже таких, как фосфаты, фториды и другие, которые мешают определению железа роданидным методом. Так как более прочные комплексы образуются при более высоком значении рН раствора, то и мешающее действие анионов сказывается значительно меньше. Сульфосалициловая кислота образует бесцветные комплексы с алюминием, оловом и некоторыми другими катионами. Эти катионы затрудняют определение железа, так как связывают часть реактивов. Поэтому в присутствии алюминия вводят избыток сульфосалициловой кислоты.
Трисульфосалицилатный комплекс железа образуется в щелочной среде (рН 8 — 11), которую создают при помощи аммиака. В виде желтого трисульфосалицилатного комплекса можно определять железо в присутствии фторидов и фосфатов. Медь связывают в комплекс тиосульфатом. Присутствие в растворе окислителей и особенно восстановителей нежелательно.

Рис 9. Спектры поглощения растворов сульфосалицилатных комплексов железа в зависимости от рН раствора
Реактивы
20 % раствор сульфосалициловой кислоты
хлорид аммония
2 М
— 10,7 г растворяют в дистиллированной воде и доводят в мерной колбе на 100 мл до метки. Срок хранения — 1 неделя.
Построение градуировочного графика
В мерные колбы на 50 мл внести 0.5, 1.3, 2.5, 3.5, 5.0 мл стандартного раствора ионов железа с концентрацией 10 мг/л. Рассчитайте концентрации полученных растворов.
В колбе на 50 мл к 25 мл пробы добавить 1 мл NH4
Cl (2М), 1 мл сульфосалициловой кислоты (20%), 1мл аммиака (конц). Довести до метки (до 50 мл) дистиллированной водой. Через 15 минут фотометрировать с фиолетовым светофильтром (l=400 — 430 нм) с толщиной оптического слоя 5 см. Рассчитайте коэффициенты регрессии методом наименьших квадратов.
Ход определения
В колбе на 50 мл к 25 мл пробы добавить 1 мл NH4
Cl (2М), 1 мл сульфосалициловой кислоты (20%), 1мл аммиака (конц). Довести до метки (до 50 мл) дистиллированной водой. Через 15 минут фотометрировать с фиолетовым светофильтром (l=400 — 430 нм).
Измерьте оптическую плотность раствора относительно холостой пробы. Концентрацию раствора найдите по градуировочному графику. Опыт повторите в двукратной повторности.
Напишите уравнение реакции.
Проведите контроль сходимости между двумя параллельными определениями, воспроизводимости между полученными концентрациями двумя разными операторами, контроль точности методом добавки и стандартов.
Норматив точности 20%
Норматив сходимости 18%
Норматив воспроизводимости 15%
4.7. 5. Определение концентрации нитритов в воде с применением реактива Грисса
(сульфаниловой кислоты и 1-нафтиламина
)
Метод основан на способности первичных ароматических аминов в присутствии азотистой кислоты образовывать интенсивно окрашенные диазосоединения. Оптическую плотность образованного диазосоединения определяют при l
=520 нм. Линейная зависимость между оптической плотностью растворов и концентрацией нитритов сохраняется в пределах от 0,007 до 0,350 мгN/л. Определению мешают окислители, восстановители и вещества, имеющие собственную окраску. Молярный коэффициент поглощения составляет 3,3 • 104
.
Реакция взаимодействия диазонитрованной в присутствии нитритов сульфаниловой кислоты с ароматическими аминами является одной из самых чувствительных реакций, с помощью которых могут быть обнаружены очень малые (единицы мкг/л) количества нитритных ионов.
Диазотирование необходимо вести в присутствии достаточного количества хлористоводородной или уксусной кислоты при комнатной температуре или при охлаждении. Кроме того, азосочетание необходимо проводить при возможно более слабой кислотности раствора.

45О 500 520,
нм
Калибровочный график прямолинеен даже при значительных количествах нитрата — до 150 — 300 мкг/л; чувствительность методов составляет несколько микрограммов нитритного азота в 1 л.
В основе лежит реакция диазотирования сульфаниловой кислоты в пристутсвии 1-нафтиламина.
Схема реакции диазотирования:

Нужно отметить, что не только реактив Грисса (смесь сульфаниловой кислоты и 1-нафтиламина) необходимо хранить в холодильнике, но и саму реакцию следует проводить при температуре 5 0
С. При низкой температуре не происходит разложения соли диазония.
Реактивы:
12%-ная уксусная кислота
. 25 мл ледяной уксусной кислоты довести дистиллированной водой до 200 мл.
Реактив Грисса
. 10 г реактива Грисса растворяют в 100 мл 12%-ной кислоты.
Рабочий раствор нитритов
: 0,001 мг/мл.
Построение градуировочного графика
В мерные колбы на 50 мл вносят 0, 1, 2, 5, 10,15 мл рабочего раствора нитритов, доводят каждый раствор до метки дистиллированной водой.
Найдите, каким концентрациям нитритов в мг/мл это соответствует. Затем в каждую колбу добавляют 2 мл реактива Грисса, раствор перемешивают и фотометрируют через 40 мин при 520 нм в кювете на 2 см относительно холостой пробы. Каждый раствор готовят в трехкратной повторности. Коэффициенты градуировочной прямой рассчитывают методом наименьших квадратов.
Ход определения
В мерную колбу на 50 мл помещают исследуемую пробу. Прибавляют 2 мл реактива Грисса, раствор перемешивают и фотометрируют через 40 мин при 520 им, в кювете на 2 см относительно нулевой пробы. Каждый раствор готовят в двукратной повторности. Напишите уравнение реакции.
Проведите контроль сходимости между двумя параллельными определениями, воспроизводимости между полученными концентрациями двумя разными операторами, контроль точности методом добавки и стандартов.
Норматив точности 8%
Норматив сходимости 6%
Норматив воспроизводимости 9%
4.7. 6. Определение концентрации ионов аммония в воде с реактивом Несслера
Аммиак реагирует с иодидом ртути и комплексными иодидами ртути, образуя различные соединения. Стехиометрические соотношения более точно установлены для реакции в условиях фотометрического определения:
2K2
HgI4
+ 2NH3
→ NH2
Hg2
I3
+ 4KI + NH4
Содержание азота, ртути и иодида в осадке выражается отношением 1:2:3. Однако в состав образующегося продукта могут входить и другие соединения ((NH2
Hg2
I2
, NH2
HgOI и т. д.). Строение образующегося вещества не установлено. При большом избытке иодида осадок заметно, растворяется, поэтому всегда при приготовлении реактива Несслера обращают внимание на то, чтобы не было значительного избытка иодида калия. При очень большом избытке едкой щелочи осадок разлагается с образованием окиси ртути, она также окрашена, но менее интенсивно. Поэтому концентрация щелочи должна быть одинаковой при работе как со стандартным, так и с исследуемым растворами.

Рис.10 Спектр поглощения коллоидного раствора иодида меркурата аммония
Соединение, образующееся по указанной выше реакции, склонно к образованию коллоидных частиц с отрицательным зарядом. Для получения равномерной и устойчивой взвеси рекомендуется вводить защитный коллоид — желатин, оптическую плотность измерять через 10 мин после добавления реактива.
Растворы.
Рабочий раствор ионов аммония
0,005 мг/мл
Сегнетова соль (К-
Na
виннокислый).
50 г Сегнетовой соли растворяют в дистиллированной воде в небольшом количестве, доводят объем раствора до 100мл, добавляют 2-3 мл реактива Несслера.
Построение градуировочного графика
:
В мерные колбы на 50 мл вносят 0, 0,1, 0,5, 1,0, 2,0, 4,0 мл рабочего раствора ионов аммония, доводят до метки дистиллированной водой. Найдите, каким концентрациям ионов аммония в мг/мл это соответствует. Затем в каждую колбу добавляют 1мл Сегнетовой соли, раствор перемешивают, добавляют 1 мл реактива Несслера, раствор перемешивают и фотометрируют через 15 мин при 425 нм в кювете на 5 см относительно холостой пробы. Каждый раствор готовят в трехкратной повторности. Коэффициенты градуировочной прямой рассчитывают методом наименьших квадратов.
Ход опреления.
В мерную колбу на 50 мл помещают исследуемую пробу. Затем в каждую колбу добавляют 1 мл Сегнетовой соли, раствор перемешивают, добавляют 1 мл реактива Несслера, раствор перемешивают и фотометрируют через 15 мин при 425 нм, в кювете 5 см относительно холостой пробы. Опыт проведите в двукратной повторности. Напишите уравнение реакции.
Проведите контроль сходимости между двумя параллельными определениями, воспроизводимости между полученными концентрациями двумя разными операторами, контроль точности методом добавки и стандартов.
Норматив точности 39%
Норматив сходимости 34%
Норматив воспроизводимости 39%
4.7. 7. Экстракционно-фотометрический метод определения
меди при помощи диэтилдитиокарбамината натрия
Диэтилдитиокарбаминат натрия взаимодействует с медью и другими тяжелыми металлами с образованием труднорастворимых в воде соединений. Состав этих соединений соответствует общей формуле:

Окрашенные диэтилдитиокарбаминатные комплексы в органических растворителях применяются для определения этих металлов. Бурый осадок диэтилдитиокарбамината меди при растворении в органическом растворителе образует раствор желтого цвета.
Если повысить рН раствора до 9, то в присутствии трилона Б реакция на медь становится более специфичной. В этом случае определению меди мешают только сурьма, олово, теллур и большие количества висмута.
Метод основан на том, что к нейтральному раствору, содержащему медь, прибавляют раствор диэтилдитиокарбамината натрия и образующийся диэтилдитиокарбаминат меди экстрагируют четыреххлористым углеродом. Измеряют оптическую плотность при 435 нм
и находят содержание меди. Этот метод является одним из лучших фотометрических методов определения меди. Чувствительность метода 0,1 мкг
в 1 мл
экстракта при толщине фотометрируемого слоя 5 см
.
Реактивы.
Диэтилдитиокарбаминат натрия
,
0,1% -ный водный раствор; при хранении в темной закрытой склянке устойчив в течение двух-трех недель.
Стандартный раствор соли меди
.
В 1 мл
этого раствора содержится 0,1 мг
меди.
Лимоннокислый аммоний (цитрат аммония)
,
20%-ный раствор.
Четыреххлористый углерод
;
Построение гардуировочного графика
.
В делительные воронки вводят последовательно 0,20; 0,30; 0,45; 0,60; 0,90; 1,30; 1,90; 3,2 мл
стандартного раствора, содержащего 10 мкг
Си2+
в 1 мл,
разбавляют до 20 мл
водой, добавляют 5 мл
цитрата аммония, 2 — 3 капли тимолового синего и аммиаком доводят рН до 9. Для сравнения готовят буферный раствор с рН 9 и к нему прибавляют 2 — 3 капли тимолового синего. Затем прибавляют в каждую делительную воронку по 5 мл
четыреххлористого углерода и производят экстракцию диэтилдитиокарбамината меди. Экстракцию повторяют еще 4 мл
СС14
и, наконец, 1 мл
СС14
, и собирают оставшиеся капли неводного раствора в делительной воронке. Все порции СС14
собирают, перемешивают, дают отстояться и измеряют оптическую плотность неводного раствора при 435 нм. По полученным величинам оптической плотности строят калибровочный график оптическая плотность — содержание меди.
Ход определения
.
Испытуемый раствор, переносят в делительную воронку и обрабатывают как при приготовлении стандартных растворов. По калибровочному графику находят содержание меди.
Опыт проведите в двукратной повторности. Напишите уравнение реакции.
Проведите контроль сходимости между двумя параллельными определениями, воспроизводимости между полученными концентрациями двумя разными операторами, контроль точности методом добавки и стандартов.
Норматив точности 25%
Норматив сходимости 19%
Норматив воспроизводимости 21%
4.7. 8. Экстракционно-фотометрический метод определения синтетических поверхностно-активных веществ
Фотометрический метод основан на соединении катионо-активного вещества – метиленового синевого с определяемым анионноактивным веществом в щелочной среде, в результате чего образуются комплексные ассоциаты, растворимые в хлороформе с образованием синих растворов.
Методом двойного экстрагирования устраняется мешающее действие хлоридов, нитратов, роданидов, белков. Влияние сульфидов, восстанавливающих метиленовую синь, устраняют, добавляя к пробе перекись водорода.
Реактивы:
Серная кислота 0,3 %-
Разбавляют 3 мл концентрированной серной кислоты в 1 л дистиллированной воды.
Нейтральный раствор метиленовой сини
Растворяют 0,175 г метиленового синего в дистиллированной воде и разбавляют водой до 1000 мл.
Фосфатный буферный раствор
Растворяют 10 г двузамещенного фосфата натрия в дистиллированной воде, добавляют раствор едкого натра до рН = 10, разбавляют раствор до 1 л и перемешивают. Величину рН контролируют потенциометрически.
3 % раствор перекиси водорода
Готовят из 30 % раствора перекиси водорода.
Построение градуировочного графика
в ряд конических колб на 100 мл вносят пипеткой 0, 0.2, 0.3, 0.4, 0.5, 1.0 мл рабочего стандартного раствора АПАВ, разбавляют до 10 мл дистиллированной водой. Добавляют все реактивы и проводят все опреации, как при исследовании пробы. По полученным величинам оптической плотности строят калибровочный график оптическая плотность — содержание АПАВ.
Ход определения
.
коническую колбу 100мл вносят 10 мл пробы, полседовательно добавляют 1 мл 3 % перекиси водорода, 1 мл фосфатного буферного раствора, 1 мл нейтрального метиленового синего. После добавления каждого реактива раствор перемешивают. Затем из бюретки приливают 3 мл хлороформа, закрывают колбу пробкой и перемешивают в течение 1 мин. Приливают 1 мл 0,3 % серной кислоты и 3 мл хлороформа и снова перемешивают 1 мин. Содержимое 1 мин. Содержимое колбы переливают в делительную воронку, дают отстояться хлороформу. Нижний хлороформенный слой фильтруется через предварительно обработанный хлороформом кусочек ваты в стакан.
Оптическая плотность определяется с длиной волны 670 нм с толщиной оптического слоя 10 мм.
Опыт проведите в двукратной повторности. Напишите уравнение реакции.
Проведите контроль сходимости между двумя параллельными определениями, воспроизводимости между полученными концентрациями двумя разными операторами, контроль точности методом добавки и стандартов.
Норматив точности 25%
Норматив сходимости 19%
Норматив воспроизводимости 21%
4.7. 9. Фотометрическое определение
дихромат- и перманганат-ионов
при их совместном присутствии
в растворе
Цель работы
: ознакомление с фотометрическим определением элементов при их совместном присутствии методом калибровочного графика.
Сущность работы
: одновременное определение концентрации двух веществ (хрома и марганца) при их совместном присутствии основано на различии спектров поглощения окрашенных растворов перманганат- и дихромат-ионов. Спектры поглощения определяемых ионов частично накладываются друг на друга (рис.11).
В этом случае при фотометрировании с разными светофильтрами можно пренебречь светопоглощением лишь одного из компонентов окрашенной смеси.
| рис.11 Спектры поглощения КМпО4
(
I
)
и К2
Сг2
07
(2),
частично накладывающиеся друг на друга
|
При 550 ± 20 нм поглощает преимущественно перманганат-ион и оптическая плотность А55О
обусловлена только перманганат-ионом (незначительным светопоглощением дихромат-иона пренебрегаем). При 430 ± 20 нм поглощают оба аниона и оптическая плотность раствора Ат
аддитивно складывается из оптической плотности, обусловленной перманганат-ионом, и оптической плотности, обусловленной дихромат-ионом.
Измеряют оптическую плотность стандартных растворов КМпО4
при 550 и 430 нм и оптическую плотность стандартных растворов К2
Сг2
07
при 430 нм. Строятся три калибровочных графика (рис. 12).
По величине оптической плотности анализируемого раствора, измеренного в области 550 нм, и калибровочной кривой 2
сразу определяют неизвестную концентрацию марганца. Одновременно при помощи калибровочной кривой 3
определяют оптическую плотность раствора перманганат-иона при 430 нм. Затем по разности оптических плотностей исследуемого раствора и раствора КМnО4
, измеренных при 430 нм определяют концентрацию хрома.

Рис. 12 Калибровочный график для определения марганца и хрома при их совместном присутствии:
/ — кривая для определения хрома при 430 им;
2—
кривая для определения марганца при 550 нм;
3 —
кривая для определения оптической плотности раствора перманганата калия при 430 нм
реактивы:
50 %-ная серная кислота
;
0,1 н. стандарт
ный раствор КМnО4
.
Перед применением 9,1 мл стандартного раствора КМnО4
помещают в мерную колбу вместимостью 100 мл и доводят раствор дистиллированной водой до метки. Раствор содержит 0,1 мг марганца в 1 мл.
Стандартный раствор
K
2
Cr
2
O
7
: навеску 0,2818 г K2
Cr2
O7
помещают в мерную колбу вместимостью 1 л и доводят раствор дистиллированной водой до метки. Раствор содержит 0,1 мг хрома в 1 мл;
исследуемый раствор
, содержащий КМnО4
и K2
Cr2
O7
(по указанию преподавателя).
Для построения калибровочного графика в мерные колбы вместимбстью 50 мл помещают с помощью микробюретки 1,0; 2,5; 5,0; 7,5 и 10 мл подготовленного стандартного раствора перманганата калия. Затем добавляют в каждую колбу по 5 мл раствора серной кислоты. Содержимое колб доводят до метки дистиллированной водой и тщательно перемешивают. Измеряют оптическую плотность полученной серии в кювете толщиной 1 см при длинах волн 550 и 430 нм. Полученные данные помещают в таблицу 4. По полученным данным строят калибровочный график (см. рис.12, кривые 2,3):
найденные величины оптической плотности откладывают по оси ординат, а соответствующие им концентрации (мг/50 мл) — по оси абсцисс.
Затем в колбы той же вместимости помещают такие же количества стандартного раствора дихромата калия. Добавляют в каждую колбу по 5 мл раствора серной кислоты, доводят объем до метки дистиллированной водой и тщательно перемешивают. Измеряют оптическую плотность в тех же кюветах при длине волны 430 нм. Полученные данные помещают в таблицу 4. По полученным данным строят калибровочный график для дихромата калия (см. рис.12 , кривая1).
Таблица 4
| Стандарт-
|
Номер
|
Объем
|
с,
мг/50 мл
|
А
|
| ный раствор
|
эталона
|
эталона в растворе, мл
|
Мn
|
Сг
|
при 550 нм
|
при 430 нм
|
| л, А2
Ai
|
Л, Аг
л.
|
| КМnО4
|
1
|
1,0
|
| 2
|
2,5
|
| 3
|
5,0
|
| 4 .
|
7,5
|
| 5
|
10
|
| К,Сг2
О7
|
1
2
|
1,0
2,5
|
| 3
|
5,0
|
| 4
|
7,5
|
| 5
|
10
|
Аликвотную порцию анализируемого раствора (5 мл) помещают в мерную колбу вместимостью 50 мл, добавляют 5 мл серной кислоты. Содержимое колбы доводят до метки дистиллированной водой и тщательно перемешивают. Оптическую плотность полученного раствора измеряют при 430 и 550 нм в кювете толщиной 1 см. В качестве нулевого раствора используют дистиллированную воду.
Содержание марганца в растворе определяют по кривой 2 (см. рис.12). По найденной концентрации марганца при помощи кривой 3 (см. рис. 12) определяют его оптическую плотность при длине волны 430 нм — А
l
430
(Мn). Затем находят разность оптической плотности смеси и перманганат-иона при 430 нм по формуле
A
l
430
(Cr) = А
l
430
(X) - А
l
430
(Мn)
где Acr
(430)
— оптическая плотность смеси, найденная при длине волны 430 нм. По найденной величине при помощи кривой 1 вычисляют содержание хрома в исследуемом растворе.
6.7. 10. Определение меди в разбавленных растворах после предварительного к
онцентрирования
Ионообменная хроматография позволяет осуществить процессы выделения и концентрирования ионов из разбавленных растворов, не прибегая к трудоемким операциям упаривания, осаждения и пр. На катионите КУ-2 в Н-форме проводят ионный обмен. После поглощения меди ее элюируют раствором кислоты. Медь в растворе определяют фотометрическим методом.
Реактивы.
Стандартный раствор меди
, содержащий 2,0 мг/мл Сu2+
.
Аммиак
NH
3
, раствор с массовой долей 25% .
Кислота хлороводородная
HCI
, 2М раствор.
Переведение катионита в H+
-форму
.
Катионит помещают в делительную воронку, в которой его 5 раз промывают 5%-м раствором НСl для удаления ионов железа. При этом объем промывного раствора должен быть примерно в 30 раз больше объема катионита. Каждый раз катионит взбалтывают с раствором НСl и оставляют в контакте с ним на 2 ч при периодическом перемешивании. После удаления железа промывают катионит дистиллированной водой до нейтральной реакции по метиловому оранжевому. При такой обработке катионит переходит в Н+
-форму.
Подготовленный таким образом катионит (обычно около 5 г) вносят в хроматографическую колонку. В верхнюю и нижнюю части колонки помещают слой (3—5 мм) стекловаты. Важно, чтобы упаковка ионита в колонке была плотной и равномерной, чтобы не образовывались воздушные пузыри и ионит не всплывал. Необходимо также следить за тем, чтобы катионит всегда находился под слоем воды.
Хроматографическую колонку можно использовать многократно, каждый раз перед работой переводя катионит в Н+
-форму. Для этого через колонку пропускают 200 мл раствора НСl порциями по 10—15 мл со скоростью 2—3 капли в секунду (скорость истечения регулируют краном). Затем колонку промывают дистиллированной водой до отрицательной реакции на ионы водорода (по метиловому оранжевому или метиловому красному).
При повторном (и многократном) использовании колонки ка-тионит не требует регенерации, так как при элюировании меди(П) хлороводородной кислотой катионит переходит в Н+
-форму.
2.
Проведение ионного обмена.
Анализируемый раствор пропускают через хроматографическую колонку с катионитом КУ-2 в Н+
-форме со скоростью 1 — 2 капли в 1 с.
Раствор, вытекающий из колонки, собирают в стакан и отбрасывают. После этого в колонку вносят 40 мл 2М НСl (порциями по 10 мл) и промывают колонку водой (50—60 мл порциями по 10—15 мл). Вытекающий из колонки раствор собирают в мереную колбу вместимостью 100 мл и доводят до метки водой.
3.
Фотометрическое определение меди.
Отбирают пипеткой 20 мл раствора, полученного по п. 2, в мерную колбу вместимостью 50 мл, добавляют 15 мл 25%-го раствора NH3
, доводят раствор до метки водой.
Измеряют оптическую плотность полученного раствора (Аиссл
) на фотоколориметре при 600 — 620 нм, подобрав толщину поглощающего слоя I
так, чтобы оптическая плотность была равна 0,3—0,5.
Для определения молярного коэффициента светопоглощения в мерную колбу вместимостью 50 мл помещают 6 мл стандартного раствора меди (2 мг/мл Сu), 15 мл 25%-го раствора NH3
и доводят до метки водой. Измеряют оптическую плотность полученного раствора (Аст
) в условиях, выбранных для исследуемого раствора. Рассчитывают молярный коэффициент светопоглощения.
Определяют концентрацию меди в исследуемом растворе. Рассчитывают массу меди в анализируемом растворе с учетом произведенных разбавлений.
Глава 5. Нефелометрический и турбидиметрический методы анализа
5.1. Нефелометрический метод анализа
Этот вид исследования проводится с целью определения концентрации, размера и формы диспергированных частиц в дисперсных средах.
Аппаратура для нефелометрических исследований представляет собой специализированные спектрофотометры для измерения интенсивности рассеянного света под углом к направлению падающего на раствор светового потока. Приборы, предназначенные для нефелометрических исследований, называются нефелометрами.
Длины волн, используемые в большинстве нефелометров, находятся в диапазоне 340 — 650 нм.
Первым способность частиц рассеивать свет описал Дж. Рэлей (J. Rayleigh) более 100 лет тому назад. Важная в прикладном плане суть этого явления заключается в том, что интенсивность и направление светового потока, рассеянного гомогенной взвесью частиц, зависят от размера частиц.
На рис.13 показаны два наиболее значимых случая рассеяния света.
Рэлеевское, или симметричное, рассеяние имеет место, когда размер частиц не превышает 0,1 от длины волны — вариант «А».
Частицы больших размеров рассеивают свет неравномерно. Когда размер (d
) приблизительно равен длине волны светового потока (X),
вперед — по направлению потока рассеивается больше света, чем в обратном направлении — случай «Б» на рисунке 13.
Хотя для измерения рассеивания света датчики могут быть установлены под углом от 5° до 90°, наилучшие характеристики по чувствительности при нефелометрических измерениях будут достигнуты, если измерять интенсивность света, рассеянного под углом 90° .

Рис.13 Рассеяние света при различных соотношениях размера частиц d и длины волны электромагнитного излучения X
Рис.14. Направление световых потоков при нефелометрии.

1 — источник световой энергии; 2 — полосовой фильтр; 3 — кювета; 4 — фотоприемник; Фо
— падающий поток световой энергии; Фр
— поток световой энергии, рассеянный жидкой дисперсной системой.
5.2. Турбидиметрический метод анализа
Данный вид исследования мутных сред основан на измерении изменения интенсивности потока световой энергии, прошедшего через дисперсную систему. Изменение потока световой энергии вызвано как поглощением, так и его рассеянием дисперсной системой. Метод аналогичен колориметрическому методу, но в ряде случаев измерение может происходить в потоке «белого света» без применения фильтров.
С точки зрения чувствительности метода, сравнение нефелометрии и турбидиметрии оказывается в пользу нефелометрии, т. к. этот метод более чувствителен, когда небольшое количество взвешенных частиц приводит к заметному возрастанию сигнала при незначительном фоне.
Влияние фонового рассеяния уменьшено в ряде приборов отказом от измерения рассеяния под углом 90° и электронным вычитанием фоновых сигналов (скоростная нефелометрия).
С другой стороны, принято считать, что если уровень регистрируемого рассеяния не превышает 20% от световой энергии, поступающей в дисперсную среду, то результаты турбидиметрических измерений могут оказаться недостоверными.
Преимущество турбидиметрического анализа заключается в том, что измерения могут быть выполнены практически на любом колориметре или фотометре. Повышение чувствительности турбидиметрических исследований может быть достигнуто за счет использования спектрофотометров с высококачественными детекторами.
Направления прохождения потоков световой энергии, поясняющие принципы проведения турбидиметрических исследований, показаны на рисунке
Основные компоненты, которые используются при построении нефелометрических и турбидиметрических приборов, похожи и включают источник света, фильтр и фокусирующую световой поток систему линз, кювету с образцом и детектор с устройствами отображения и регистрации результата. В качестве источника света обычно используются ртутные дуговые лампы, вольфрамо-йодистые лампы и гелий-неоновые лазеры. Лазеры излучают монохроматический свет, сконцентрированный в узкий и интенсивный луч. Однако лазеры очень дороги и могут излучать ограниченный набор фиксированых по частоте волн
Рис.15. Схема, иллюстрирующая направления светового потока при турбидиметрии.

1 — источник световой энергии (лампа накаливания, импульсная лампа); 2 — полосовой фильтр, в некоторых случаях фильтр отсутствует, и измерение проводится в «белом» свете; 3 — кювета; 4 — фотоприемник; Ф„ — падающий поток световой энергии; Фр
— поток световой энергии, рассеянный жидкой дисперсной системой; Ф — поток световой энергии, прошедший раствор
5.3. Основные количественные соотношения в нефелометрии и турбидиметрии
В нефелометрическом анализе используется явление рассеяния света твердыми частицами, находящимися в растворе во взвешенном состоянии. Обычно рассеяние света наблюдается в направлении, перпендикулярном к направлению падающего света. Интенсивность светорассеяния подчиняется уравнению
I
Г
= Io
kc
или Ir
/
I
0
= к
e
,
где I
Г
и I
0
— интенсивности рассеянного и падающего света соответственно;
к
— коэффициент, зависящий от свойств суспензии и типа прибора;
с — концентрация.
Введем обозначение Ir
/
I
0
= Tкаж
— кажущийся коэффициент пропускания.
Получаем
T
каж
=
kc
.
Прологарифмируем и введем обозначение
-lg Ir
/
I
0
= Акаж
= -lg k - lg с; Акаж
= В -
lg с,
гдеАкаж
— кажущаяся оптическая плотность.
Линейный градуировочный график может быть построен как в координатах Акаж
— lg с
, так и в координатах Ткаж
— с
Турбидиметрический анализ основан на измерении светового потока, прошедшего через мутную среду. Ослабление интенсивности света при этом описывается формулой, аналогичной уравнению Бугера—Ламберта— Бера:
-
lg
(1/
IQ
) =
klc
,
где k
— эмпирическая постоянная;
l
— толщина слоя раствора;
с
— концентрация.
Измерения проводят с помощью фотоэлектроколориметров, причем техника измерений аналогична технике фотометрирования. Для нахождения концентрации применяют метод градуировочного графика.
Достоинством нефелометрических и турбидиметрических методов является их высокая чувствительность, что особенно ценно в случае определения элементов, у которых не наблюдается цветных реакций. Однако погрешность определения в нефело- и турбидиметрических методах несколько больше, чем в фотометрических, что связано с трудностями получения суспензий, обладающих одинаковыми размерами частиц, стабильностью во времени и т. п.
5.4. Вопросы
1. На чем основаны методы нефелометрии и турбидиметрии?
2. Привести основной закон светорассеяния (уравнение Релея) охарактеризовать величины, входящие в это уравнение.
3. Какой свет — красный, желтый, синий или зеленый — рассеивается взвешенными частицами в наименьшей степени?
4. Исходя из уравнения Релея, вывести зависимость кажущейся оптической плотности от концентрации вещества в анализируемой суспензии.
5. Построить график зависимости Акаж
от с; Ткаж
от с и Акаж
от lg
с.
6. Какие условия нужно соблюдать для обеспечения необходимой точности нефелометрических определений?
7. С какой целью при нефелометрическом определении сульфат-- и хлорид-ионов прибавляют желатин?
8. Почему основным приемом анализа в нефелометрии является метод градуировочного графика?
9. Назвать примеры нефелометрических определений и указать условия проведения анализа.
10. Как связана интенсивность света, прошедшего через суспензию, с концентрацией анализируемого вещества в методе турбидиметрии?
11. Какие условия нужно соблюдать для обеспечения необходимой точности турбидиметрических определений?
Решение типовых задач
См. Васильев В.П. Сборник вопросв, упражнений и задач. стр. 209-213
5.5. Экспериментальная часть
5.5.1. Турбидиметрическое (нефелометрическое)
определение сульфат-ионов
Определение основано на измерении интенсивности помутнения растворов, содержащих сульфаты, при добавлении хлорида бария. Оптическую плотность растворов измеряют при 315 нм. Линейная зависимость оптической плотности от концентрации сульфатов наблюдается в диапазоне 0 — 50 мг/дм3
Сульфат-ионы осаждают в виде сульфата бария в хлороводородной среде. Для стабилизации суспензии BaSO4
в реакционную смесь вводят глицерин или этиленгликоль, а для понижения растворимости сульфата бария — этиловый спирт.
Определению мешают взвешенные, окрашенные, опалесцирующие вещества, а также кремниевая кислота при концентрации более 200 мг/дм Si, маловероятная для вод с низким содержанием сульфатов.
Мешающее влияние взвешенных и коллоидных веществ устраняют предварительным фильтрованием пробы через мембранный фильтр с диаметром пор 0,45 мкм. Влияние опалесцирующих веществ и невысокой цветности учитывают измерением собственной оптической плотности пробы, подкисленной соляной кислотой.
Влияние высокой цветности, обусловленной присутствием гумусовых веществ, устраняют обработкой пробы активным углем.
Возможность осаждения хлоридом бария других анионов (карбонатов, фосфатов, сульфитов) устраняется в процессе анализа при подкислении пробы.
Измеряют интенсивность либо рассеянного света (нефело-метрический вариант), либо света, прошедшего через мутную среду (турбидиметрический вариант). Содержание сульфат-ионов определяют методом градуировочного графика.
Реактивы.
Раствор соляной кислоты (1:1).
50 см3
концентрированной соляной кислоты смешивают с 50 см3
бидистиллированной воды. Раствор устойчив.
Раствор хлорида бария, 5 %.
6,2 г хлорида бария BaCI2
.2H 2
О растворяют в 100 см3
бидистиллированной воды.
Раствор осадителя
. 50 см3
5 % раствора хлорида бария смешивают с 150 см3
глицерина или этиленгликоля и 150 см3
этилового спирта в конической колбе вместимостью 500 см3
. Доводят величину рН раствора приблизительно до 3 р
аствором соляной кислоты 1:1 и оставляют на 1-2 сут в темном месте, накрыв колбу часовым стеклом. После отстаивания раствор осадителя переливают в темную склянку с притертой пробкой. Если при отстаивании на дне колбы образовался осадок, перенос реактива в склянку следует проводить осторожно, так чтобы осадок остался в колбе. Раствор осадителя пригоден не более 3 мес.
Построение градуировочного графика
.
В мерные колбы вместимостью 50 см3
с помощью градуированных пипеток вместимостью 1, 5 и 10 см3
вносят 0; 0.6,; 1,0; 2 0; 3,0; 4^0; 6,0; 8,0; 10,0 см3
раствора сульфата калия с массовой концентрацией сульфат-ионов 0,250 мг/см3
. Объемы растворов доводят до меток на колбах бидистиллированной водой, перемешивают. Рассчитать полученные концентрации. 5 см каждого из приготовленных растворов вносят в конические колбы вместимостью 50 см3
и добавляют по 1 капле раствора соляной кислоты 1:1. При непрерывном перемешивании приливают в каждую колбу 5 см3
раствора осадителя и продолжают перемешивание содержимого еще 10-15 с. Через 40 ± 5 мин измеряют оптическую плотность растворов в кювете длиной 2 см. Оптическую плотность холостого опыта вычитают из оптической плотности растворов, содержащих сульфаты.
Градуировочную зависимость строят в координатах: оптическая плотность — концентрация сульфат-ионов в мг/дм3
и рассчитывают методом наименьших квадратов.
Ход опредления
Отбирают 5,0 см анализируемой воды в сухую коническую колбу вместимостью 50 мл3
или пробирку с притертой пробкой вместимостью 10-15 см, добавляют 1 каплю соляной кислоты 1:1 и перемешивают. Через 1-2 мин при непрерывном перемешивании приливают в колбу 5 см3
раствора осадителя и продолжают перемешивание содержимого еще 10-15 с. Через 40 г 5 мин измеряют оптическую плотность пробы при 315 нм в кювете длиной 2 см относительно дистиллированной воды. Одновременно выполняют анализ холостой пробы, используя 5 см бидистиллированной воды.
3.Вычисление результатов определений
Вычисляют значение оптической плотности Ах
, соответствующее концентрации сульфатов в исходной пробе по формуле:
А = А -
Ai
-А2
,
где
А
— значение оптической плотности пробы, полученное в ходе определения;
Ai
— значение собственной оптической плотности пробы;
А2
— значение оптической плотности холостой пробы.
По градуировочной зависимости находят массовую концентрацию сульфатов в анализируемой пробе воды, соответствующее полученному значению оптической плотности А
.
5.5. 2. Турбидиметрическое
определение кальция
Определение основано на осаждении кальция в виде оксалата и измерении интенсивности света, прошедшего через раствор, содержащий суспензию СаС2
О4
. Присутствие этанола повышает чувствительность метода. Определение выполняют методом градуировочного графика.
Реактивы.
Карбонат кальция
СаСО3
(к), высушенный при 110 С
С.
Оксалат аммония
(NH4
)2
C2
O4
• Н2
О, 0,25М раствор.
Соляная
кислота
НС1, 2М раствор.
Приготовление стандартного рас
твора кальция
.
Рассчитывают навеску СаСО3
, необходимую для приготовления 100 мл исходного стандартного раствора с титром по кальцию ТСа
= 1 • 10~3
г/мл (раствор 1). Навеску СаСО3
, близкую к рассчитанной, взвешивают на аналитических весах в стакане вместимостью 50 мл и осторожно растворяют ее в 10 мл раствора НС1, добавляя кислоту постепенно, малыми порциями. Количественно переносят полученный раствор в мерную колбу вместимостью 100 мл и доводят до метки водой.
Разбавленный стандартный раствор кальция с титром по кальцию ТСа
= 1•10~4
г/мл (раствор 2) готовят разбавлением исходного раствора водой в 10 раз.
Градуировочный график
В четыре-пять мерных колб вместимостью 50 мл приливают из бюретки по 10 мл раствора оксалата аммония, пипеткой добавляют различные (от 1 до 10 мл) объемы разбавленного стандартного раствора соли кальция (раствора 2) и доводят содержимое колб до метки водой. (Растворы рекомендуется готовить с интервалом в 5 мин. Для повышения чувствительности определения можно добавить в каждую колбу 5—10 мл этилового спирта.) Растворы перемешивают, поочередно наливают в кювету оптического прибора (
I
= 3 см при работе на фотоэлектроколориметре) и через 5 мин после приготовления измеряют оптическую плотность относительно воды при зеленом светофильтре. По полученным данным строят градуировочный график в координатах оптическая плотность—концентрация кальция.
Ход определения
Исследуемый раствор помещают в мерную колбу вместимостью 100 мл, доводят до метки водой и тщательно перемешивают. В мерную колбу вместимостью 50 мл пипеткой переносят 10 мл полученного раствора, добавляют из бюретки 10 мл раствора оксалата аммония, этиловый спирт (если его добавляли при построении градуировочного графика) и доводят раствор до метки водой. Через 5 мин после приготовления измеряют оптическую плотность и по графику находят концентрацию кальция в исследуемом растворе.
Рассчитывают массу кальция в пробе.
Литература
1. А.К. Бабко, А.Т. Пилипенко. Фотометрический анализ. Общие сведения и аппаратура. М.: Химия, 1968. – 386 с.
2. А.К. Бабко, А.Т. Пилипенко. Фотометрический анализ. Методы определения неметаллов. М.: Химия, 1974. – 360 с.
3. В.П. Васильев. Аналитическая химия. Лабораторный практикум: Пособие для вузов – М.: Дрофа, 2004ю – 416 с.
4. В.П. Васильев, Л.А. Кочергина, Т.Д. Орлова. Аналитическая химия. Сборник вопросов, упражнений и задач: пособие для вузов. – М.: Дрофа, 2004. – 318 с.
5. И.В. Тикунова, Н.А. Шаповалов, А.И. Артеменко. Практикум по аналитической химии и физико-химическим методам анализа: Учебное пособие – М.: Высшая школа, 2006. – 208 с.
6. Дерффель К. Статистика в аналитической химии. М.: Мир - 1994. 268 с.
7. Е.Н. Гаранина. Качество лабораторного анализа. Факторы, критерии и методы оценки. – М.: ТОО»Лабинформ» - 1997. – 192 с.
|