Банк рефератов содержит более 364 тысяч рефератов, курсовых и дипломных работ, шпаргалок и докладов по различным дисциплинам: истории, психологии, экономике, менеджменту, философии, праву, экологии. А также изложения, сочинения по литературе, отчеты по практике, топики по английскому.
Реклама
Полнотекстовый поиск
Всего работ:
364139
Теги названий
Реклама
VisitTime.ru — сервис, который превращает запись в понятный и быстрый процесс.
📅 Вы создаёте расписание и правила приёма, а клиенты выбирают удобный слот онлайн, без ожидания и звонков.
🕒 В результате меньше путаницы, больше точных визитов и ровная загрузка на неделю вперёд.
💡 Подходит тем, кто оказывает услуги по времени: мастерам, студиям, кабинетам и небольшим командам.
Начать пользоваться сервисом



Разделы
Авиация и космонавтика (304)
Административное право (123)
Арбитражный процесс (23)
Архитектура (113)
Астрология (4)
Астрономия (4814)
Банковское дело (5227)
Безопасность жизнедеятельности (2616)
Биографии (3423)
Биология (4214)
Биология и химия (1518)
Биржевое дело (68)
Ботаника и сельское хоз-во (2836)
Бухгалтерский учет и аудит (8269)
Валютные отношения (50)
Ветеринария (50)
Военная кафедра (762)
ГДЗ (2)
География (5275)
Геодезия (30)
Геология (1222)
Геополитика (43)
Государство и право (20403)
Гражданское право и процесс (465)
Делопроизводство (19)
Деньги и кредит (108)
ЕГЭ (173)
Естествознание (96)
Журналистика (899)
ЗНО (54)
Зоология (34)
Издательское дело и полиграфия (476)
Инвестиции (106)
Иностранный язык (62791)
Информатика (3562)
Информатика, программирование (6444)
Исторические личности (2165)
История (21319)
История техники (766)
Кибернетика (64)
Коммуникации и связь (3145)
Компьютерные науки (60)
Косметология (17)
Краеведение и этнография (588)
Краткое содержание произведений (1000)
Криминалистика (106)
Криминология (48)
Криптология (3)
Кулинария (1167)
Культура и искусство (8485)
Культурология (537)
Литература : зарубежная (2044)
Литература и русский язык (11657)
Логика (532)
Логистика (21)
Маркетинг (7985)
Математика (3721)
Медицина, здоровье (10549)
Медицинские науки (88)
Международное публичное право (58)
Международное частное право (36)
Международные отношения (2257)
Менеджмент (12491)
Металлургия (91)
Москвоведение (797)
Музыка (1338)
Муниципальное право (24)
Налоги, налогообложение (214)
Наука и техника (1141)
Начертательная геометрия (3)
Оккультизм и уфология (8)
Остальные рефераты (21692)
Педагогика (7850)
Политология (3801)
Право (682)
Право, юриспруденция (2881)
Предпринимательство (475)
Прикладные науки (1)
Промышленность, производство (7100)
Психология (8692)
психология, педагогика (4121)
Радиоэлектроника (443)
Реклама (952)
Религия и мифология (2967)
Риторика (23)
Сексология (748)
Социология (4876)
Статистика (95)
Страхование (107)
Строительные науки (7)
Строительство (2004)
Схемотехника (15)
Таможенная система (663)
Теория государства и права (240)
Теория организации (39)
Теплотехника (25)
Технология (624)
Товароведение (16)
Транспорт (2652)
Трудовое право (136)
Туризм (90)
Уголовное право и процесс (406)
Управление (95)
Управленческие науки (24)
Физика (3462)
Физкультура и спорт (4482)
Философия (7216)
Финансовые науки (4592)
Финансы (5386)
Фотография (3)
Химия (2244)
Хозяйственное право (23)
Цифровые устройства (29)
Экологическое право (35)
Экология (4517)
Экономика (20644)
Экономико-математическое моделирование (666)
Экономическая география (119)
Экономическая теория (2573)
Этика (889)
Юриспруденция (288)
Языковедение (148)
Языкознание, филология (1140)

Реферат: Методические рекомендации для выполнения курсовой работы по дисциплине «Инвестиционный анализ и инвестиционные риски» для студентов IV курса дневного отделения

Название: Методические рекомендации для выполнения курсовой работы по дисциплине «Инвестиционный анализ и инвестиционные риски» для студентов IV курса дневного отделения
Раздел: Остальные рефераты
Тип: реферат Добавлен 17:42:58 12 сентября 2011 Похожие работы
Просмотров: 141 Комментариев: 12 Оценило: 0 человек Средний балл: 0 Оценка: неизвестно     Скачать

ФЕДЕРАЛЬНОЕ АГЕНТСТВО ПО ОБРАЗОВАНИЮ

Государственное образовательное учреждение высшего профессионального образования

МОСКОВСКИЙ ГОСУДАРСТВЕННЫЙ ОТКРЫТЫЙ УНИВЕРСИТЕТ

( филиал в г. Воскресенске)

Кафедра «Экономики»

«Утверждаю»

Зав. кафедрой экономики

филиала МГОУ в г. Воскресенске

к.э.н., доцент

_____________ К.А.Артамонова

« ______» ________ 2008 г.

Методические рекомендации для выполнения курсовой работы по дисциплине

«Инвестиционный анализ и инвестиционные риски»

для студентов IV курса дневного отделения

(по специальности 080116 «Математические методы в экономике»)

Составил:

к.э.н., доцент кафедры экономики ________________ Н.Ф. Алиева

г. Воскресенск, 2008 – 2009 учебный год

Содержание

Введение…………………..........................................................................................3

1. ОБЩИЕ ПОЛОЖЕНИЯ………………………………………………….………4

1.1. Цель и задачи выполнения курсовой работы…………………….…………...4

1.2. Выбор темы и разработка плана курсовой работы….………………………..5

1.3. Основные методические требования к оформлению курсовой работы…….6

2. СОДЕРЖАНИЕ БИЗНЕС-ПЛАНА.…………………………………………..…7

2.1. Резюме…………………………………………………………………………...9

2.2. Текущее состояние предприятия……………………………………….…….10

2.3. Описание проекта……………………………………………………………...10

2.4. Анализ положения дел в отрасли и план маркетинга……………………….11

2.5. Финансовый план……………………………………………………………...14

2.6. Оценка рисков и их страхование…………………………………………….26

Заключение...………………………………………………………………………..27

3. ТЕМЫ КУРСОВЫХ РАБОТ……………………………………………………29

Список рекомендуемой литературы………………………………………………31

ПРИЛОЖЕНИЕ 1

Образец титульного листа…………………………………………………………33

ПРИЛОЖЕНИЕ 2

Примерное содержание курсовой работы………………………………………..34

ПРИЛОЖЕНИЯ 3

Примерное резюме проекта………………………………………………………..35

ПРИЛОЖЕНИЕ 4

Баланс (форма 1)……………………………………………………………………36

ПРИЛОЖЕНИЕ 5

Отчет о прибылях и убытках (форма 2 Баланса)……………………………..…..37

Введение

Оценка инвестиционного проекта и рисков, связанных с его реализацией производится в развернутом бизнес-плане инвестиционного проекта. В самом общем смысле под бизнес-планом понимается документ, содержащий в структурированном виде всю информацию о проекте, необходимую для его осуществления.

Реклама

Сегодня потребность в планировании бизнеса прослеживается при решении многих актуальных задач, таких, как: подготовка заявок существующих и вновь создаваемых фирм на получение кредитов в коммерческих банках; обоснование предложений по приватизации государственных предприятий; разработка проектов создания частных фирм; выбор видов, направлений и способов осуществления коммерческих операций действующими предприятиями; составление проспектов эмиссии ценных бумаг и т.п. Значение бизнес-плана особенно велико в условиях, сложившихся в настоящее время в России. В отличие от экономически развитых стран в нашей стране существует множество неблагоприятных факторов, требующих тщательного анализа на этапе планирования и экспертизы инвестиционных проектов.

Особая сфера применения бизнес-планов – привлечение потенциальных инвесторов как отечественных, так и иностранных. Начинать переговоры о получении инвестиций без бизнес-плана (а он является привычным для зарубежных партнеров) невозможно, не рискуя сразу же породить сомнения в компетентности и серьезности своих намерений.

Бизнес-план представляет собой документ, в котором описаны основные аспекты будущего коммерческого мероприятия (предприятия), анализирующий проблемы, с которыми может столкнуться фирма, а также определяющий способы решения этих проблем.

Бизнес-план помогает предпринимателям и финансистам лучше изучить емкость и перспективы развития будущего рынка сбыта, оценить затраты по изготовлению продукции и соизмерить их с возможными ценами реализации, чтобы определить потенциальную прибыльность задуманного дела. Правильно составленный бизнес-план в конечном счете отвечает на вопросы, стоит ли вообще вкладывать деньги в данное дело и окупятся ли все затраты сил и средств. Он помогает предугадать будущие трудности и понять, как их преодолеть. Адресуется бизнес-план банкирам и инвесторам, средства которых предприниматель собирается привлечь в рамках реализации проекта, а также сотрудникам предприятия, нуждающимся в четком определении своих задач и перспектив, наконец, самому предпринимателю и менеджерам, желающим тщательно проанализировать собственные идеи, проверить их реалистичность. В международной практике считается, что без бизнес-плана вообще нельзя браться за производственную и коммерческую деятельность.

1. ОБЩИЕ ПОЛОЖЕНИЯ

1.1. Цель и задачи выполнения курсовой работы

Курсовая работа – это самостоятельное исследование студента, имеющее научно-практический характер и являющееся основным источником информации для оценки приобретенных знаний и умении применять их на практике.

Реклама

Курсовая работа по дисциплине «Инвестиционный анализ и инвестиционные риски» пишется в восьмом семестре (четвертый курс) специальности 080116 – «Математические методы в экономике». Выполнение курсовой работы требует от студента знаний общей и специальной литературы по теме, умения проводить экономико-математические, экспертные и другие исследования, соединять вопросы теории и практики хозяйствования, анализировать, делать выводы и предложения по улучшению производственной деятельности предприятия.

Целью курсовой работы является закрепление теоретических знаний по инвестиционному анализу, бизнес-планированию, оценке инвестиционных рисков, а также приобретению навыков по практическому их применению.

Основные задачи выполнения курсовой работы заключаются в углублении полученных знаний в процессе освоения данной дисциплины, выработке умений исследовать внешнюю и внутреннюю среду предприятия, анализировать состояние рынка; анализировать и устанавливать степень необходимости в создании функциональных подразделений предприятия; разрабатывать производственную структуру; анализировать экономические показатели предприятия и оценивать эффективность его деятельности; определять потребность предприятия в ресурсах и инвестициях; рассчитывать срок окупаемости инвестиционного проекта; определять экономическую целесообразность освоения производства новых видов продукции; определять наиболее удобное месторасположение для размещения предприятия.

В результате изучения дисциплины специалист должен приобрести навыки самостоятельного пополнения знаний и умений, а также их творческого использования в процессе последующего обучения и практической деятельности.

Методологической основой курсовой работы являются внутрифирменное планирование, нормативно-правовые и законодательные акты РФ по социально-экономическим вопросам, программные документы и решения Правительства РФ по финансово-хозяйственной деятельности рыночных субъектов, различные статистические данные, учебная и специальная литература, монографии, брошюры, журнальные и газетные статьи.

1.2. Выбор темы и разработка плана курсовой работы

Тема курсовой работы выбирается студентом самостоятельно из предложенного преподавателем списка тем, утвержденного кафедрой. Студент может предложить свою тему с обоснованием целесообразности ее исследования.

В соответствии с выбранной темой студент разрабатывает предварительный план, которым он руководствуется в процессе своей исследовательской работы на предварительном этапе подготовки, а также на этапе исполнения.

Требования, предъявляемые к плану курсовой работы:

· план должен содержать вопросы, необходимые для полного и глубокого

раскрытия темы и отражать содержание будущей работы;

· план должен предусматривать последовательное, взаимосвязанное,

логически выстроенное раскрытие результатов исследования;

· если какой-то пункт плана имеет подпункты, то их должно быть не менее

двух;

· план не должен содержать вопросительных предложений и должен быть

написан в форме назывных предложений;

· план работы, разработанный студентом, обязательно должен быть согласован с преподавателем - руководителем курсовой работы.

1.3. Основные методические требования к оформлению курсовой работы

Титульный лист оформляется по образцу, представленному в Приложении 1 и является первым листом курсовой работы.

На исполнительском этапе при оформлении курсовой слово «план» заменяется на слово «СОДЕРЖАНИЕ», корректируется и размещается сразу после титульного листа.

Во введении должны быть раскрыты следующие пункты:

· актуальность темы;

· формулировка цели исследования;

· определение задач курсовой работы и круга вопросов, подлежащих рассмотрению.

Объем курсовой работы составляет от 25 до 30 страниц машинописного текста, выполненных 14-м шрифтом, «Times New Roman», через 1,5 интервала, поля: слева - 3 см, справа - 1,5 см, сверху и снизу - 2 см на бумаге формата А4 на одной стороне листа, которые сшиваются в папке-скоросшивателе или переплетаются. Допускается рукописное оформление работы, в этом случае объем работы составляет 30-40 страниц.

Заголовки разделов, выполненные также 14-м шрифтом, «Times New Roman», через 1,5 интервала, располагаются по центру и выделяются жирным шрифтом, их нумерация производится в порядке возрастания: разделы - 1, 2, 3, ... и т.д., подразделы, соответственно -1.1., 1.2., 1.З., ... и т.д.

Таблицы оформляются 12 шрифтом, «Times New Roman», через 1 интервал. Таблицы следует нумеровать арабскими цифрами (Таблица 1, Таблица 2 и т.д.) сквозной нумерацией. Слово «Таблица …» указывают один раз над первой частью таблицы, над другими частями пишут слова «Продолжение таблицы…» с указания номера таблицы. Таблица должна иметь название, которое помещается над таблицей.

Рисунки нумеруются в пределах каждого раздела. Например, для раздела 2 нумерация рисунков будет 2.1; 2.2 и т.д. Наименование рисунка указывается под рисунком. Рисунки следует располагать непосредственно после текста, в котором они упоминаются впервые.

Приложения начинаются с нового листа и имеют заголовки. Приложения нумеруются («Приложение 1», «Приложение 2» и т.д.) в правом верхнем углу листа.

Курсовая работа должна быть защищена до сдачи экзамена. На защите курсовой работы студент должен кратко изложить цель, задачи и содержание работы, дать исчерпывающие ответы на дополнительные вопросы и замечания. Окончательная оценка курсовой работы выставляется по итогам защиты и качеству выполненной работы. Защита курсовой работы проводится в виде презентации бизнес-плана в программе Power Point (5-7 слайдов).

Курсовая работа должна быть подписана руководителем работы на титульном листе.

2. СОДЕРЖАНИЕ БИЗНЕС-ПЛАНА

Бизнес-планы внешне могут значительно отличаться друг от друга в зависимости от цели, которую преследует автор при его написании и направлении деятельности предприятия, но вместе с тем состав их разделов практически не изменяется, то есть он содержит краткое описание – резюме, характеристику отрасли, описание самой компании и продукции (услуг, работ), которую собирается производить или предоставлять населению, исследование и анализ состояния внешней среды, конкуренции, маркетинговый, производственный и финансовый планы, а также оценку возможных рисков и их страхование.

Согласно Методическим рекомендациям Министерства экономического развития и торговли РФ бизнес-план инвестиционного проекта, реализуемого в рамках инвестиционной политики предприятия, включают следующие разделы:

1. Вводная часть (резюме.)

2. Обзор состояние отрасли (производства), к которой относится предприятие.

3. Описание проекта (в оптимальном объеме представляется информация о продукции (услугах), показывается новизна решения технологических, технических, рецептурных, потребительских и прочих проблем).

4. Производственный план реализации проекта (экономический потенциал, технологический потенциал, материально-техническое обеспечение, трудовой потенциал и правовая защита производства).

5. План маркетинга и сбыта продукции предприятия (оценка внешней среды, потенциальных покупателей и потребителей услуг, оценка конкурентов и конкурентной борьбы, комплексное исследование рынка, стратегия маркетинга).

6. Организационный план реализации проекта (управление проектом, финансовые ресурсы, юридические аспекты).

7. Финансовый план реализации проекта (план прибыли, движение денежных потоков, анализ безубыточности, финансовый анализ отдельных видов продукции).

8. Оценка экономической эффективности затрат, осуществляемых в ходе реализации проекта.

Необходимо отметить, что автор может самостоятельно формировать структуру бизнес-плана по степени важности и необходимости разделов в зависимости от вида бизнеса. В Приложении 2 приводится примерное содержание бизнес-плана. Не существует единственно правильного и твердого порядка, в котором должно быть изложено содержание бизнес-плана. Это во многом зависит от типа бизнеса.

2.1. Резюме

Резюме для руководства представляет собой бизнес-план в миниатюре, объем этого раздела занимает одну страницу. Резюме задает тон всему бизнес-плану. Руководство при ознакомлении с бизнес-планом в первую очередь ознакомится с резюме, поэтому очень важно не слишком навязчиво разрекламировать компанию и ее цели. При этом необходимо открыто показать читателю основные риски проекта, отмечая существующие возможности страхования данных рисков.

Текст резюме должен быть предельно прост и лаконичен, минимум специальных терминов, он должен быть каждому, так как может быть представлен для ознакомления специалистам других сфер экономики. Работа над написанием этого раздела играет важную роль вследствие того, что потенциальный инвестор или кредитор, ознакомившись с резюме, сделает свои первые выводы о компании. Если резюме сразу не произведет благоприятного впечатления, то кредитор может не заинтересоваться бизнес-планом в целом. Примерное содержание резюме представлено в Приложении 3.

Процесс написания резюме начинается с формулирования миссии фирмы или ее основной стратегической ориентации. Миссия – это генеральная цель фирмы, отражающая основные аспекты ее деятельности и декларирующая то, чему фирма хочет себя посвятить. Таким образом, миссия является лицом или визитной карточкой фирмы, показывая ее место и роль в экономике региона, страны.

Написание резюме вначале работы поможет облечь идеи в более определенную форму. Завершив работу над финансовым разделом бизнес-плана, можно вернуться к резюме и переписать его с учетом всех выявленных в ходе работы финансовых показателей.

2.2. Текущее состояние предприятия

В этом разделе необходимо подробно описать предприятие, чтобы убедить инвестора либо потенциального партнера, что ваше предприятие эффективно, имеет налаженное производство и способно в дальнейшем приносить прибыль. Здесь приводятся:

а) общее описание предприятия и ее коммерческой деятельности:

указываются дата создания и ее юридическая форма; организационная структура управления; что производит предприятие и (или) какие услуги предоставляет; краткая история предприятия; владельцы и акционеры, количество работников; сбыт прибыль и объем производства за прошедшие два-три года;

б) управленческий аппарат и персонал: необходимо предоставить краткую характеристику менеджеров, указать период их работы в компании, образование, квалификацию и опыт работы в данной отрасли;

г) основные группы производимых продуктов и услуг: следует описать основные группы продуктов или услуг, которые компания изготовляет и реализует, место компании на рынке; охарактеризовать главных клиентов компании; описать динамику сбыта товаров и услуг на протяжении последних двух-трех лет деятельности.

2.3. Описание проекта

В данном разделе излагается:

· суть проекта, его ориентация на внутренний рынок или на экспорт;

· план график реализации проекта с характеристикой длительности этапов проекта и ожидаемых результатов каждого проекта.

· расчетный период производства;

· данные о сметной стоимости проекта;

· характеристику потребности в финансировании по годам реализации проекта и предполагаемым источникам (собственные и заемные средства)

· сведения о предполагаемых потенциальных инвесторах, подрядчиках и поставщиках;

· сведения о возможности получения государственной поддержки реализации проекта.

2.4. Анализ положения дел в отрасли и план маркетинга

В этом разделе проводится обзорный анализ состояния отрасли, в которой предприятие намерено работать.

Типичный процесс исследования рынка включает четыре этапа:

а) определение необходимой информации для анализа;

б) поиск и сбор данных;

в) анализ данных;

г) план мероприятий, позволяющих использовать эти данные.
Важно правильно сформулировать идею проекта с учетом действительного состояния дел в отрасли, чтобы инвестор положительно оценивал шансы нового предприятия по сравнению с другими. Для этого в бизнес-плане рекомендуется провести краткий исторический экскурс, дать анализ текущего положения дел в сфере деятельности и определить тенденции ее развития.

Этот раздел требует комплексного рассмотрения потенциальной емкости рынка и информацию о таких определяющих факторах, как:

- определение круга потребителей, прогноз их платежеспособного спроса;

- прогноз цен;

- прогноз объемов реализации;

- изучение динамики продажи в отрасли;

- изучение возможностей, преимуществ, недостатков потенциальных конкурентов, резервов их опережения;

- динамику роста численности предприятий, действующих в данном секторе рынка;

- количество новых продуктов, вышедших на рынок;

- анализ слабых и сильных сторон предприятия (SWOT-анализ), а также возможностей и угроз макросреды (ETOM – анализ).

Описание рынка.

Разрабатывая прогноз потребления, необходимо определить, который из

клиентурных рынков будет заинтересован в вашем товаре. Таких рынков может быть пять:

1) потребительский рынок – отдельные лица и хозяйства, которые могут приобретать товары и услуги для личного пользования;

2) рынок изготовителей – предприятия, покупающие товары и услуги для использования в процессе производства;

3) рынок посредников – предприятия, покупающие товары и услуги с целью их перепродажи;

4) рынок государственных учреждений – организаций, покупающих товары и услуги с целью их использования в сфере коммунальных услуг;

5) международный рынок – зарубежные покупатели, включая зарубежных потребителей, изготовителей, посредников и государственные учреждения.

Необходимо провести сегментирование рынка, т.е. определить ту группу потребителей, на которую ориентирован товар. Основание для сегментирования являются определенные признаки: потребности, уровень доходов, географическое расположение, потребительские признаки и т.д.

Желательно описать недавнюю историю рынка, на котором работает компания, а также дать приблизительную текущую и прогнозированную (на два-три года) емкость рынка в товарном и денежном выражении.

Тенденции рынка. Необходимо описать сегодняшнее состояние рынка в таких сферах, как рыночный спрос, включая платежеспособность и поведение основных групп клиентов; рыночные поставки необходимых товаров, включая самые типичные каналы распространения; основные типы товаров, политику цен и платежей.

Следует определить любые политические, экономические, технологические и социальные тенденции (PEST-анализ), которые могут существенно повлиять на состояние рынка в ближайшие два-три года, а также спрогнозировать результат влияния этих тенденций. При планировании выхода на несколько рынков анализ проводится по каждому из них и дается сравнительная оценка эффективности работы на каждом рынке.

В этом разделе следует произвести анализ конкурентов компании: определить основные типы конкурентов (прямые конкуренты, потенциальные конкуренты, товары-субституты), для каждого типа назвать конкретных конкурентов, дать их краткую характеристику, выявить основные сильные и слабые стороны.

Необходимо выделить основные конкурентные преимущества компании перед остальными фирмами, работающими в данной сфере деятельности.

Для определения «очередности» вкладывания средств в развитие той или иной продукции и (или) услуги можно воспользоваться матрицей БКГ (Бостонской консалтинговой группы) (рис.1).

«Звезда»

- лидер растущего рынка;

- высокий темп роста продаж;

- значительная прибыль;

- для финансирования роста необходимы значительные инвестиции;

- «звезда» обычно переходит в категорию «Дойная корова»

« Трудный ребенок»

- фаза внедрения товаров на рынок;

- высокий темп роста продаж;

- потребность в финансировании исследований и разработок;

- низкий показатель прибыльности

«Дойная корова»

- лидер рынка с низкими темпами роста;

- прибыльный продукт;

- приносит больше дохода, чем необходимо для поддержания доли и позиции на рынке.

«Собака»

- невыгодная себестоимость;

- низкий коэффициент прибыльности или убыточен;

- ограниченные возможности роста рынка;

- товар, перешедший из дойной коровы;

- неудачный новый товар;

- часто социально значимый товар

Рис.1. Характеристики продуктов в матрице БКГ

2.5. Финансовый план

Данный раздел бизнес-плана включает в себя: назначение средств и источники финансирования проекта, условия финансирования и залог, прибыльность проекта, анализ точки безубыточности, прогноз сбыта, капитальные затраты, текущие расходы, отчет о прибылях и убытках, финансовый баланс, отчет о движении наличности и условия финансирования.

Назначение средств и источники финансирования проекта несет в себе информацию о получении средств для создания или расширения предприятия, т.е. здесь необходимо указать, сколько необходимо средств для реализации данного проекта; источники получения средств; ожидаемый срок возврата вложенных средств и получения инвесторами прибыли.

Необходимо дать краткое описание стоимости проекта по таким категориям:

1) новые закупки (земля, помещения и сооружения, включая транспортирование, страхование, установку и строительство);

2) улучшение инфраструктуры;

3) увеличение оборотных средств (начальные расходы, дополнительные запасы сырья и готовых изделий, новые административные расходы и расходы на маркетинг и сбыт);

4) непредвиденные расходы проекта (приблизительно 15-20% суммы первых трех категорий расходов).

Если предприятие планирует покупку оборудования, необходимо дополнительно указать его количество, тип, изготовителя оборудования, а также у кого и на каких условиях оно будет приобретено.

Особое внимание следует уделить источникам, за счет которых будет осуществляться финансирование проекта. Источники необходимо распределить на несколько категорий: собственные денежные средства компании, привлеченные и заемные средства негосударственного и/или государственного сектора.

Условия финансирования и залог – здесь необходимо точно указать объем необходимого кредита, подробно разработать графики его получения и погашения, рыночную стоимость залогового обеспечения, которое предлагается для гарантирования займа, по результатам экспертной оценки имущества.

Раздел «Прибыльность проекта» разрабатывается с целью обобщения картины составных частей плана. Расчеты финансового плана позволяют прийти к выводу о реальности проекта с экономической точки зрения.

Раздел включает в себя: прогноз объема реализации; прогнозированный отчет о доходах предприятия; прогнозированный баланс; отчет о движении денежных средств; динамику изменения основных финансовых коэффициентов. Прогноз объема реализации дает представление о той части рынка, на которую рассчитывает предприятие. Этот документ составляется на основании изучения ситуации на рынке

Таблица 1

Оперативный план (отчет).

Показатели

Месяц (квартал, год)

…….

Всего за период

план

факт

план

Факт

1. Рыночный потенциал фирмы по данному товару, в ед. товара

2. Доля фирмы в отраслевом рынке по данному товару, %

3. Цена товара, в ден. Ед.

4. Объем продаж, в ед. Товара

5. Охват рынка, %

6. Количество произведенных товаров, в единицах товара

7. Запасы товара на складах фирмы на конец отчетного периода, в ед. товара

План (отчет) о доходах и расходах по производству товаров показывает получит ли предприятие прибыль от продажи товаров и предоставления услуг. Этот документ разрабатывается экономической службой.

Таблица 2

Структура плана (отчета) о доходах и расходах

Показатели

Месяц

(квартал,год)

Всего за период

план

Факт

план

Факт

1. Выручка от продажи данного товара

2. Производственные издержки, связанные с производством и реализацией товаров, по статьям

3. Общепроизводственные издержки по
статьям

4. Налоги и отчисления

5. Чистая прибыль

6. Прибыль, остающаяся в распоряжении фирмы

В структуру план-отчета рекомендуется включать перечень следующих

показателей:

Таблица 3

Показатели

Месяц

(квартал, год)

Всего за период

план

факт

план

факт

1. Выручка от продажи товаров

2. Денежные издержки на производство и реализацию товаров

3. Налоги

4. Отчисления

5. Дивиденды

6. Инвестиции

7. Закупки

8. Процентные издержки

9. Погашение кредитов

Продолжение таблицы 3

10. Суммарные затраты денежных средств

11. Добавление к активной части баланса

Прогнозированный отчет о доходах предприятия содержит:

поступления от продажи товаров (реализации услуг); расходы на производство товаров; общепроизводственные расходы (по видам); отчисления в бюджет; чистую прибыль.

Анализ безубыточности проекта – это определение точки безубыточности (Vбезуб), то есть минимум объема выпускаемой продукции, при котором доход от продажи равен издержкам производства. Желательно произвести расчет точки безубыточности проекта в товарном и денежном выражении.

(1) Vбезуб = Cпост / (ц – Cvar),

где Cпост – постоянные издержки;

ц – цена продажи единицы продукции;

Cvar – удельные переменные расходы.

(2) Кз = Vож / Vбезуб,

где Vбезуб – объем продаж, соответствующий точке безубыточности;

Vож – объем продаж, соответствующий бизнес-плану.

Для того чтобы получить сумму первоначальных инвестиций, составляется специальная форма:

Таблица 4

Категория инвестиций

Величина, тыс. руб.

1. Земля

2. Подготовка и освоение площадки

3. Сооружения и объекты гражданского строительства:

а) здания и объекты гражданского строительства;

б) вспомогательные объекты и объекты обслуживания

4. Основной акционерный капитал

5. Машины и оборудование

Всего первоначальных инвестиций

Расходы на пусконаладку и сдачу в эксплуатацию, включающие вознаграждения за руководства пусковыми операциями, зарплату, отчисления на социальное страхование и дополнительные выплаты по персоналу, занятому на пусконаладке, стоимость потребленных производственных и вспомогательных материалов, затраты на вспомогательные и прочие средства, необходимые для пусконаладки приведены в таблице 5.

Таблица 5

Категория

Величина, тыс. руб.

1. Предынвестиционные исследования

2. Подготовительные изыскания

3. Руководство осуществлением проекта

4. Составление подробных планов, участие в торгах

5. Надзор, координация, пусконаладка и сдача гражданских
сооружений, оборудования и предприятия

6. Создание административного аппарата по найму и подготовке рабочих ИТР и служащих

7. Соглашение о поставках

8. Установление контактов

9. Предварительные расходы и расходы на выпуск ценных бумаг

Итого

Оборотный капитал – это финансовые средства, необходимые для эксплуатации объекта в соответствии с его производственной программой.

Таблица 6

Расчет потребности в оборотном капитале:

Статья

Потребность

Год пуска

При работе на полную мощность, тыс. руб.

1. Текущие активы

Суммы по счетам, подлежащим оплате Стоимость товарно-материальных ценностей

а) сырье и материалы

б) запчасти

в) незавершенная продукция

г) готовая продукция

Продолжение таблицы 6

Наличность

Текущие пассивы

2. Подлежащие оплате счета (кредиторов)

3. Оборотный капитал.

Всего

Исходя из сумм расходов на подготовку производства, фиксированных инвестиций и расчетов чистого оборотного капитала, можно исчислить общую потребность в финансовых ресурсах.

Таблица 6

Общая потребность в финансовых ресурсах

Категория инвестиций

Величина

1. Первоначальные инвестиции

2. Капитальные расходы в период подготовки производства

3. Оборотный капитал (при работе на полную мощность)

Отчет о движении денежных средств – это документ, с помощью которого можно оценить движение средств при реализации проекта с разбивкой по времени (а именно: сколько средств необходимо к началу реализации и при выполнении работы). Главная цель этого отчета убедиться в возможности обеспечения синхронности поступления и расходования денег, а также проверить возможность ликвидности дела в случае необходимости:

Таблица 7

Показатели

Сумма по годам (кварталам), руб.

0

1

2

n

квартал

квартал

12 3 4

12 3 4

12 3 4 12 3 4

1.Выручка от реализации

2. Затраты, всего

в том числе:

2.1.Амортизационные отчисления;

2.2. Выплата процентов.

3. Прибыль от реализации.

4.Налог на прибыль.

5. Чистый доход от реализации

6. Чистый денежный поток, всего:

Чистый доход от реализации.

Амортизационные отчисления.

Рост (погашение задолженности)

Средства от продажи (покупки) основных средств

Капиталовложения

Прирост оборотного капитала

7. Остаток денежных средств на начало периода

8. Накопленная денежная наличность

9. Коэффициент текущей стоимости при выбранной ставке дисконтирования (ставке дохода на собственный капитал r)

10. Текущая стоимость денежных потоков (дисконтированная)

11. Сумма текущих стоимостей денежных потоков.

Динамика изменения основных финансовых коэффициентов показывает, как изменяются в процессе реализации проекта основные финансовые коэффициенты:

· валовой прибыли;

· операционной прибыли;

· чистой прибыли;

· быстрой ликвидности;

· соотношения собственных и привлеченных средств;

· погашения кредиторской задолженности и др.

Платежеспособность предприятия характеризуется его возможностью и способностью своевременно и полностью выполнять свои финансовые обязательства перед внешними и внутренними партнерами, а также перед государством. Предприятие считается платежеспособным, если соблюдается следующее условие:

ОА ³ КО

где ОА – оборотные активы (раздел II баланса); КО – краткосрочные обязательства (раздел V баланса) (см. Приложение 4).

Коэффициенты рентабельности показывают, насколько прибыльна деятельность предприятия. Эти коэффициенты рассчитываются как отношение полученной прибыли к затраченным средствам, либо как отношение полученной прибыли к объему реализованной продукции

Коэффициент абсолютной ликвидности показывает какую долю краткосрочных обязательств предприятие может погасить сразу. Определяется отношением наиболее ликвидных активов к сумме краткосрочных обязательств. Организация считается платежеспособной, если этот коэффициент ³ 0,2 ¼ 0,7 (зависит от отраслевой принадлежности организации).

Коэффициент текущей ликвидности рассчитывается как отношение оборотных активов и текущих обязательств. Необходимое значение 2,0; оптимальное L = 2,5 ¸ 3,5;

Коэффициент маневренности функционирующего капитала рассчитывается как отношение медленно реализуемых активов к разности оборотных активов и текущих обязательств. Уменьшение показателя в динамике – положительный факт;

Коэффициент капитализации рассчитывается как отношение заемного

капитала и собственного капитала. Нормальное ограничение не выше 1,5;

Коэффициент обеспеченности собственными источниками финансирования рассчитывается как, отношение разности собственного капитала и внеоборотных активов к оборотным активам. Нижняя граница 0,1; оптимум ³ 0,5.

Коэффициент финансовой независимости (автономии) рассчитывается как, отношение собственного капитала к валюте баланса. Оптимальное значение ³ 0,4 - 0,6.

Коэффициент финансирования рассчитывается как, отношение собственного капитала к заемному капиталу. Оптимальное значение ³ 0,7 до 1,5.

Коэффициент финансовой устойчивости рассчитывается как, отношение суммы собственного капитала и долгосрочных обязательств к валюте баланса. Оптимальное значение ³ 0,6.

Последние пять коэффициентов полностью оценивают финансовую устойчивость предприятия.

Для оценки вероятности банкротства предприятия чаще всего использу­ются предложенные известным западным экономистом Э. Альтманом Z-моде­ли : двухфакторная, многофакторные.

Рассмотрим пятифакторную модель прогнозирования Э. Альтмана

Z = 1,2 Коб + 1,4 Кнп + 3,3Кр + 0,6 Кп + 1,0 Ком,

где Коб – доля оборотных средств в активах, т.е. отношение текущих активов к общей сумме активов. Общую сумму активов следует рассматривать как общую сумму имущества, т.е. сумму внеоборотных и оборотных активов;

Кнп – рентабельность активов, исчисленная исходя из нераспределенной прибыли, т.е. отношение нераспределенной прибыли к общей сумме активов. Нераспределенную прибыль прошлых лет следует учитывать вместе с нераспределенной прибылью отчетного года;

Кр – рентабельность активов, исчисленная по балансовой прибыли, т.е. отношение прибыли к сумме всех активов;

Кп – коэффициент покрытия по рыночной стоимости собственного капитала, т.е. отношение рыночной стоимости акционерного капитала (суммарной рыночной стоимости акций предприятия) к краткосрочным обязательствам. [1]

Ком – отдача всех активов, т.е. отношение выручки от реализации к общей сумме активов;

В зависимости от Z прогнозируется вероятность банкротства. До 1,8 – очень высокая, от 1,81 до 2,7 – высокая, от 2,8 до 2,9 – возможная, более 3,0 – очень низкая. Точность прогноза в этой модели на горизонте одного года составляет 95 %, на два года – до 83 %, что говорит о достоинстве данной модели.

Анализ показателей эффективности инвестиций

Существует множество показателей оценки эффективности инвестиционных проектов, находящихся в тесной взаимосвязи, которые позволяют оценить эффективность имеющихся проектов с различных сторон:

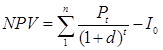
1) NPV (Net Present Value) – чистая текущая стоимость проекта, которая представляет собой значение чистого потока денежных средств за время жизни проекта, приведенное в сопоставимый вид в соответствии с фактором времени. Формула для ее расчета имеет вид:


где: Pt - объем генерируемых проектом денежных средств в периоде t;

d - норма дисконта;

n - продолжительность периода действия проекта;

I0 - первоначальные инвестиции.

Причем, если NPV>0, то принятие проекта целесообразно,

NPV<0, то проект следует отвергнуть,

NPV=0 - проект не является убыточным, но и не приносит прибыли.

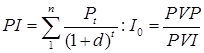
2) PI (profitability index) – показатель рентабельности инвестиций, рассчитываемый по формуле:


где PVP (present value of payments) – дисконтированный положительный поток денежных средств;

PVI (present value of investment) – дисконтированная стоимость инвестиционных затрат.

3) IRR (internal rate of return) – внутренняя норма (рентабельности) прибыли проекта, которая определяет максимальную ставку платы за привлеченные источники финансирования, при котором проект остается убыточным. С другой стороны данный показатель можно рассматривать как минимальный гарантированный уровень прибыльности инвестиционных затрат. Она рассчитывается по следующей формуле:


где d1 - норма дисконта, при которой показатель NPV>0;

NPV1 - величина положительного NPV;

d2 - норма дисконта, при которой показатель NPV<0;

NPV2 - величина отрицательного NPV.

Чтобы определить когда инвестиционный проект начнет приносить прибыль (доход), необходимо рассчитать

4) срок окупаемости денежных вложений:

T = Ип / Дг ,

где Т – срок окупаемости;

Ип – первоначальные инвестиции; Дг – ежегодные доходы.

При проведении расчетов срока окупаемости по вышеприведенной формуле не учитываются такой фактор, как временная стоимость денежных средств, зависящий от инфляции, ставки дисконта.

Временная стоимость денежных средств определяется путем умножения будущих доходов и расходов на коэффициенты дисконтирования ®, который рассчитывается по следующей формуле:

R = 1 / (1 + г)n ,

где r – процент изменения ценности денег, обычно принимается на уровне среднего процента по банковским кредитам, записывается в виде коэффициента;

n – номер года с момента начала инвестиций. Таким образом, расчет окупаемости инвестиций можно провести с помощью заполнения таблицы следующего типа:

Период времени, лет

Инвестиционные затраты (-) и чистые денежные потоки (+,-), тыс. руб.

Коэффициент дисконтирования при ставке r, (например

r = 10% или 0,1)

Текущая стоимость проектных денежных потоков, тыс. руб.

Текущая стоимость нарастающим итогом, тыс.

0

-500

1

-500

-500

1

100

0,909090909

90,90909091

-409,0909091

2

150

0,826446281

123,9669421

-285,1239669

3

168

0,751314801

126,2208866

-158,9030804

4

210

0,683013455

143,4328256

-15,47025476

5

320

0,620921323

198,6948234

183,2245686

Дисконтированный срок окупаемости можно разложить на две составляющие: целую (j) и дробную (d) части. Из таблицы видно, что целая часть составляет 5 лет, а дробная часть срока окупаемости определяется по формуле:

d = (I0 – [CF1 + CF2 + … + CFi ) / CFi +1

d = 7 / 198,69 = 0,0779

Срок окупаемости данного проекта составит 4,0779 года, т.е. 4 года и 29 дней: 0,0779/[1/365] = 29 (365 дней в году).

2.6. Оценка рисков и их страхование

Необходимость оценки риска в бизнес-плане обусловлена тем, что потенциальные инвесторы должны видеть реалистичность оценки существующей ситуации, которая заключается в анализе, как положительных сторон бизнеса, так и существующих рисков, а также возможность снижения уровня их влияния. Необходимо рассмотреть основные факторы, которые могут быть основой успеха проекта, а также основные угрозы, связанные с рыночной средой, и указать, как можно предостеречь деятельность предприятие от них.

Основными являются риски, связанные с поведением контрагентов и конкурентов, с изменениями во внешней среде: рыночной конъюнктуры, появлением новых товаров на рынке. Также существуют такие специфические риски как несоблюдение запланированного проектного бюджета, отсутствие гарантированных источников финансирования программы. Этот раздел содержит: факторы, ограничивающие развитие данного типа бизнеса, важные факторы успеха, альтернативные сценарии, а также страхование рисков.

Величину риска измеряют двумя показателями:

1) среднее ожидаемое значение – средневзвешенная величина всех возможных результатов, когда вероятность каждого результата считается частотой или весом соответствующего значения.

Например, если при вложении средств в проект прибыль 100 тыс. руб. получена в 50 случаях из 100 (вероятность 0,5), прибыль 50 тыс. руб. – в 30 случаях и прибыль 40 тыс. руб. – в 40 случаях, то среднее ожидаемое значение составит 100 х 0,5 + 50 х 0,3 + 40 х 0,4 = 81 тыс. руб.;

2) колеблемость ожидаемого значения – степень отклонения ожидаемой величины от среднего значения, которая определяется путем расчета дисперсии и среднего квадратического отклонения.

Для уменьшения риска и повышения надежности проекта проводят анализ чувствительности, т.е. определяют степень влияния на эффективность основных критических факторов. В процессе анализа чувствительности изменяют значение одного из критических факторов и, при прочих неизменных значениях, определяют степень влияния его на эффективность проекта (рентабельность, срок окупаемости, чистую текущую стоимость и др.).

Основные факторы, имеющие большое значение при расчетах анализа чувствительности: цена единицы продукции (услуги, работы), объем продаж, себестоимость единицы продукции (услуги, работы), уровень инфляции в плановый период, время задержки платежей за поставленную продукции.

По результатам анализа чувствительности в процессе планирования предусматривают также мероприятия, которые уменьшат степень риска при реализации проекта.

Заключение

В заключении необходимо подчеркнуть, что бизнес-план подвергнут тщательному и детальному анализу, который показал, что представленный бизнес будет жизнеспособным при любых реалистичных сценариях.

Также необходимо продемонстрировать, что составитель бизнес-плана твердо убежден в следующем:

Найдена надежная, новая область бизнеса, основанная на новой,
но проверенной технологии с уникальными и существующими
возможностями.

В результате проведения тщательного и детального анализа рынка заключено, что конкурентные товары настолько отличны от существующих аналогов, что составят им мощную конкуренцию в этом секторе экономики.

Основываясь на проведенном анализе, в бизнес-плане разработана надежная стратегия для быстрого проникновения на основные рынки и для последующего закрепления своих позиций.

Проверены потенциальные риски и многие из них превращены в процессе анализа и исследования в потенциал, исключены другие негативные риски и сделаны легко контролируемыми.

Организован бизнес в соответствии с текущими требованиями, который в дальнейшем позволит быстро достичь запланированного роста.

Сформирована высококвалифицированная управленческая команда, обладающая необходимым опытом и знаниями.

Определены дополнительные кандидаты с необходимым высоким уровнем квалификации для дальнейшего пополнения управленческого и рабочего персонала предприятия.

Следует отметить, что финансовые анализы и прогнозы довольно сдержаны, но все же демонстрируют, что данный вид бизнеса является эффективным и весьма прибыльным. Следовательно, коллектив предприятия убежден в выполнении и даже перевыполнении представленных прогнозов.

3. ТЕМЫ КУРСОВЫХ РАБОТ

1. Разработка бизнес-плана бани-сауны

2. Разработка бизнес-плана организации автосервиса

3. Разработка бизнес-плана АЗС

4. Разработка бизнес-плана архитектурного бюро

5. Разработка бизнес-плана бильярдного клуба

6. Разработка бизнес-плана боулинга

7. Разработка бизнес-плана аптеки

8. Разработка бизнес-плана зоомагазина

9. Разработка бизнес-плана рекламного агентства

10. Разработка бизнес-плана организации строительной компании

11. Разработка бизнес-плана ресторанного бизнеса

12. Разработка бизнес-плана кафе быстрого питания

13. Разработка бизнес-плана компании по печати фотографий на футболках

14. Организация компьютерного клуба

15. Разработка бизнес-плана консалтинговой компании

16. Бизнес-план интернет-кафе

17. Бизнес-план интернет-магазина

18. Бизнес-план кофейни

19. Бизнес-план на получение в лизинг оборудования производства стеклопакетов

20. Бизнес-план расширения торговой организации

21. Разработка бизнес-плана по открытию парикмахерской

22. Бизнес-план организации паркетного цеха

23. Бизнес-план проката роликовых коньков

24. Бизнес-план расширения производства мебели

25. Бизнес-план производства одноразовой посуды

26. Разработка бизнес-плана продовольственного магазина

27. Бизнес-план предприятия по разработке программного обеспечения

28. Бизнес-план предприятия по ремонту бытовой, видео, аудио и оргтехники

29. Бизнес-план предприятия по организации корпоративного питания

30. Бизнес-план предприятия по производству фиточая

31. Бизнес-план предприятия по производству упаковки

32. Бизнес-план предприятия по сборке и продаже компьютеров

33. Бизнес-план предприятия по доставке воды

34. Бизнес-план мини-типографии

35. Бизнес-план пиццерии

36. Бизнес-план салона красоты

37. Бизнес-план салона сотовой связи

38. Бизнес-план свинофермы

39. Бизнес-план солярия

40. Бизнес-план спортивного комплекса

41. Бизнес-план стоматологического кабинета, клиники

42. Бизнес-план сельскохозяйственной лизинговой компании

43. Бизнес-план тату салона

44. Бизнес-план тира

45. Бизнес-план фитнес клуба

46. Бизнес-план хлебопекарни

47. Бизнес-план торговли цветами

48. Бизнес-план туристической фирмы

49. Бизнес-план теннисного корта

50. Бизнес-план эвакуации автомобилей

51. Бизнес-план диспетчерской службы такси

52. Разработка бизнес-плана по созданию страхового негосударственного фонда

53. Разработка бизнес-плана по внедрению инновационных технологий в производство

54. Разработка бизнес-плана организации детского дошкольного учреждения

55. Разработка бизнес-плана организации образовательного учреждения

Список рекомендуемой литературы

Законодательные акты

1. Гражданский кодекс РФ. Часть I, II, III.

2. Налоговый кодекс РФ. Часть I, II.

3. Федеральный закон № 39-ФЗ от 25 февраля 1999г. «Об инвестиционной деятельности в Российской Федерации, осуществляемой в форме капитальных вложений».

4. Федеральный закон № 160-ФЗ от 9 июля 1999г. «Об иностранных инвестициях в Российской Федерации»

Учебная и научная литература

1. Бланк И.А. Основы инвестиционного менеджмента. В 2-х т. Киев: Ника-Центр, 2004г.

2. Вахрин П.И. Финансовый практикум. – 4-е изд., перераб. И доп. – М.: Издательско-торговая корпорация «Дашков и К», 2003.

3. Горемыкин В.А. Бизнес-план: Методика разработки. 25 реальных образцов бизнес-плана. – 4-е изд., перераб. И доп. – М.: «Ось-89», 2005г.

4. Гусева И.А. Рынок ценных бумаг. Практические задания по курсу: учебное пособие для вузов – 3-е изд., стереотип. – М.: Издательство «Экзамен», 2007г.

5. Гуслистый А. Управлениями инвестициями. М.: Интернет-трейдинг, 2005г.

6. Косов В.В. Бизнес-план: обоснование решений: Учебное пособие. М.: ГУ-ВШЭ, 2000г.

7. Марголин А.М. Инвестиции. Учебник. М.: РАГС, 2006г.

8. Методические рекомендации по оценке эффективности инвестиционных проектов (вторая редакция). М.: Экономика, 2000.

9. Методические рекомендации по подготовке инвестиционных предложений для представления потенциальным инвесторам. М.: Финансовый издательский дом «Деловой экспресс», 2000г.

10. Практикум по финансам предприятий: Учебное пособие / Под ред. Проф. П.И. Вахрина. – 3-е изд., перераб. И доп. – М.: Издательско-торговая корпорация «Дашков и К», 2004г.

11. Практикум по финансовому менеджменту. Конспект лекций с задачами. – М.: Финансы и статистика, 2003.

12. Тютюкина Е.Б. Финансы организаций (предприятий). Сборник тестов и задач. – М.: Издательско-торговая корпорация «Дашков и К», 2003.

13. Финансовый лизинг: Учеб. пособие. М.: ГУ-ВШЭ, 2003г.

14. Экономическая оценка инвестиционных проектов: Учебник для вузов / А.М. Марголин. – М.: ЗАО «Издательство «Экономика», 2007г.

15. Янукян М.Г. Практикум по рынку ценных бумаг. 2-е издание, дополненное и переработанное. – СПб.: Питер, 2009.

ПРИЛОЖЕНИЕ 1

ФЕДЕРАЛЬНОЕ АГЕНТСТВО ПО ОБРАЗОВАНИЮ

Государственное образовательное учреждение высшего профессионального образования

МОСКОВСКИЙ ГОСУДАРСТВЕННЫЙ ОТКРЫТЫЙ УНИВЕРСИТЕТ

( филиал в г. Воскресенске)

Кафедра «Экономики»

КУРСОВАЯ РАБОТА

Дисциплина: «Инвестиционный анализ и инвестиционные риски»

Тема: «Разработка бизнес-плана организации малого предприятия»

Выполнил: студент IV курса (дневного отделения) Петров И.В. (шифр 9031559)

Специальность: 080116 – «Математические методы в экономике»

Руководитель: к.э.н., доцент кафедры экономики Н.Ф. Алиева

Воскресенск, 2009

ПРИЛОЖЕНИЕ 2

Содержание (примерное) Стр.

Резюме проекта

Раздел 1. Текущее состояние компании

1.1. Краткая историческая справка, современное состояние

1.2. Анализ действующей системы управления

1.3. Продукция и услуги

1.4. Организация бизнеса

Раздел 2. Анализ рынка

2.1. Анализ потребительского спроса

2.2. Анализ емкости и структуры рынка продукции

2.3. Анализ конкуренции, SWOT – анализ.

Раздел 3. Стратегический план

3.1.Стратегия бизнеса

3.2. Стратегия ценообразования

3.3. Стратегия сбыта

Раздел 4. Производственный план

4.1. Анализ объема производства продукции

4.2. Анализ издержек производства продукции

Раздел 5. Финансовый план

5.1. Анализ источников финансирования проекта

5.2. Анализ финансовых документов

5.3. Анализ точки безубыточности

5.4. Анализ показателей финансового состояния предприятия

5.5. Анализ показателей эффективности инвестиций

Раздел 6. Анализ рисков

Заключение

Список использованной литературы

Приложение

ПРИЛОЖЕНИЕ 3

Примерное резюме проекта

Компания «Петров и К0 » располагает 40% от уставного акционерного капитала в размере 15 млн. руб. Именно этой дополнительной суммы финансирования нам недостает для реализации инвестиционного проекта, направленного на расширение бизнеса, связанного с нашей уникальной системой проведения рекламных кампаний и для получения чистой прибыли в размере 70 млн. руб. к 2010 году. Компания намеревается осуществить первоначальный публичный выпуск новых акций, и предполагается, что ее общая рыночная капитализация составит около 700 млн. руб. Данный бизнес-план определяет стратегические, производственные и финансовые… (в данном введении кратко описывается цель данного бизнес-плана, предложение и потенциальное вознаграждение )

Затем в резюме поясняется: Компания – Акционерная компания «…» была образована в феврале 2000 года, ее уставный акционерный капитал составлял 1 млн. рублей. Учредитель компании Николай Петров хорошо известен благодаря эффективным методам работы в стратегическом управлении. Его поддерживает Александр Дмитриев, руководитель технологического отдела. Дмитриев известен своей способностью давать логическое обоснование различным идеям, кроме того, он обладает ценным опытом, полученным на должности руководителя аналитического отдела. Товар. Продукт представляет собой комплекс средств программного обеспечения, снижающий вероятность сбоев в опасных условиях работы и сокращающий затраты на согласование с требованиями по технике безопасности и охране труда. Первыми потребителями нашего продукта были крупные горнодобывающие и строительные компании. Они полностью окупали свои инвестиции в данную систему в течение десяти месяцев. Корпоративная стратегия . Пробные продажи подтвердили успешность и эффективность нашей стратегии. Вот пять основных составляющих нашей стратегии:…

Финансовый анализ . Планируется, что чистая прибыль составит… Потоки денежной наличности начнут принимать положительные значения к 15-му месяцу работы, а превышение поступлений над расходами предположительно достигнет… Требования к финансированию будут максимальными в … По реалистичным оценкам… потенциальная рентабельность капитала составит…

ПРИЛОЖЕНИЕ 4

БАЛАНС (форма 1)

АКТИВЫ

ПАССИВЫ

1. ВНЕОБОРОТНЫЕ АКТИВЫ

3. КАПИТАЛ И РЕЗЕРВЫ

1. Нематериальные активы

1. Уставной капитал

2. Основные средства

2. Резервный капитал

3. Незавершенное строительство

3. Целевые финансирование и поступление

4. Долгосрочные вложения

4. Нераспределенная прибыль прошлых лет

5. Прочие внеоборотные активы

5. Непокрытый убыток прошлых лет

6. Итого

6. Нераспределенная прибыль отчетного года

(чистая прибыль)

2. ОБОРОТНЫЕ АКТИВЫ

7. Непокрытый убыток отчетного года

1. Запасы

8. Итого

2. НДС по приобретенным ценностям

4. ДОЛГОСРОЧНЫЕ ОБЯЗАТЕЛЬСТВА

3. Дебиторская задолженность (> 12 месяцев)

1. Займы и кредиты

4. Дебиторская задолженность (< 12 месяцев)

2. Прочие долгосрочные обязательства

5. Краткосрочные финансовые вложения

3. Итого

6. Денежные средства

5. КРАТКОСРОЧНЫЕ

ОБЯЗАТЕЛЬСТВА

7. Прочные оборотные активы

1. Займы и кредиты

8. Итого

2. Кредиторская задолженность

3. Задолженность участникам по выплате доходов.

4. Доходы будущих периодов

5. Резервы предстоящих расходов

6. Прочие краткосрочные обязательства

7. Итого

ВСЕГО АКТИВОВ

ВСЕГО ПАССИВОВ

ПРИЛОЖЕНИЕ 5

«Отчет о прибылях и убытках» (форма 2 Баланса)

Отчет о прибылях и убытках

За отчетный год

За прошлый год

1. Доходы и расходы по обычным видам деятельности

1. Выручка от реализации товаров, продукции, работ, услуг

2. Себестоимость проданных товаров, продукции, работ, услуг

3. Валовая прибыль

4. Коммерческие расходы

5. Управленческие расходы

6. Прибыль (убыток) от продаж

2. Операционные доходы и расходы

1. Проценты к получению

2. Проценты к уплате

3. Доходы от участия в других организациях

4. Прочие операционные доходы

5. Прочие операционные расходы

3. Внереализационные доходы и расходы

1. Прочие внереализационные доходы

2. Прочие внереализационные расходы

3. Прибыль (убыток) от налогообложения

4. Налог на прибыль

5. Прибыль (убыток) от обычной деятельности

4. Чрезвычайные доходы и расходы

1. Чрезвычайные доходы

2. Чрезвычайные расходы

3. Чистая прибыль (нераспределенная прибыль отчетного

года)


[1] В настоящее время в России отсутствует информация о рыночной стоимости акций всех эмитентов, и данный показатель не может быть рассчитан в своем истинном варианте для большинства предприятий, поэтому более правильным является вариант, предложенный Ю. В. Адаевым. Он заменяет рыночную стоимость акций на сумму уставного и добавочного капитала, так как увеличение стоимости активов приводит либо к увеличению его уставного капитала (увеличение номинала или дополнительный выпуск акций), либо к росту добавочного капитала (повышение курсовой стоимости акций в силу роста их надежности);

Оценить/Добавить комментарий
Имя
Оценка
Комментарии:
Хватит париться. На сайте FAST-REFERAT.RU вам сделают любой реферат, курсовую или дипломную. Сам пользуюсь, и вам советую!
Никита01:23:13 06 ноября 2021
.
.01:23:10 06 ноября 2021
.
.01:23:08 06 ноября 2021
.
.01:23:06 06 ноября 2021
.
.01:23:02 06 ноября 2021

Смотреть все комментарии (12)
Работы, похожие на Реферат: Методические рекомендации для выполнения курсовой работы по дисциплине «Инвестиционный анализ и инвестиционные риски» для студентов IV курса дневного отделения

Назад
Меню
Главная
Рефераты
Благодарности
Опрос
Станете ли вы заказывать работу за деньги, если не найдете ее в Интернете?

Да, в любом случае.
Да, но только в случае крайней необходимости.
Возможно, в зависимости от цены.
Нет, напишу его сам.
Нет, забью.



Результаты(294402)
Комментарии (4230)
Copyright © 2005 - 2024 BestReferat.ru / реклама на сайте