| МИНИСТЕРСТВО ОБРАЗОВАНИЯ РОССИЙСКОЙ ФЕДЕРАЦИИ
Всероссийский заочный финансово-экономический институт
КАФЕДРА «ФИНАНСОВЫЙ МЕНЕДЖМЕНТ»
КУРСОВАЯ РАБОТА
Дисциплина: «Теория инвестиций»
Тема: «Модели оценки опционов, их роль в инвестиционном анализе»
Выполнила:
студентка 5-ого курса
Факультет: «Финансы и кредит»
Специализация: «Финансовый менеджмент»
Группа № 551
№ л.д. 04ффб00162
Кононова Ю.В.
Проверил:
Докучаев В.В.
Москва 2008
Содержание
Введение
………………………………………………………………………...……...3
I. Теоретическая часть
ГЛАВА 1. Роль опционов в современной системе вторичного рынка
1.1. Сущность опциона, его структура и виды……………………………...………4
1.2. Опционные стратегии……………………………………………………………7
1.3. Основные факторы развития рынка опционов в России……………………..20
ГЛАВА 2. Методы и модели оценки опционов в инвестиционном анализе
2.1. Оценка выбора: применение методов оценки опционов…………………….....24
2.2. Биноминальная модель оценки опциона (BOPM)………………………………27
2.3. Модель Блэка – Шоулза для оценки опциона……………………………….….30
II Расчетная часть……………………………………………………………………...32
Заключение
……………………………………………………………………………36
Список литературы
……………………………………………………………..……37
Приложение 1
…………………………………………………………………………38
Введение
Применение методов и моделей оценки опционов занимает важное место в системном анализе инвестиционной деятельности организации.
Актуальность темы определяется наличием ликвидного и динамично растущего срочного рынка в России Фондовой биржи РТС (FORTS), на котором торгуются производные инструменты, среди которых и опционы – инструменты, до этого практически отсутствовавшие на российском финансовом рынке.
Опционы являются одновременно простыми и сложными финансовыми инструментами. С данной стороны, вполне успешные спекулятивные операции с ними можно проводить на основе тех же умений и навыков, которые применяются на рынках базисных активов (акций, валюты и т.п.). С другой стороны, диапазон применений данных инструментов гораздо шире.
Сущность применения методов и применения моделей для оценки доходности проекта пока недостаточно понята российскими бизнесменами. Чаще всего имеет место стремление рассматривать опционы как спекулятивный инструмент, со всеми вытекающими требованиями к его доходности. Принимая во внимание всё вышесказанное, нельзя не добавить, что положительные сдвиги всё же намечены и обязательно произойдут в ближайшем будущем. Экономический рост в современном его понимании вряд ли возможен без эффективной системы вторичных рынков, а развитие такого рынка, повышение его ликвидности и снижение транзакционных издержек создаст благоприятные условия для проведения операций с опционами самого разного масштаба и направленности. Исследование сущности метода опционов является актуальным, перспективным и интересным направлением.
Забиваем Сайты В ТОП КУВАЛДОЙ - Уникальные возможности от SeoHammer
Каждая ссылка анализируется по трем пакетам оценки: SEO, Трафик и SMM.
SeoHammer делает продвижение сайта прозрачным и простым занятием.
Ссылки, вечные ссылки, статьи, упоминания, пресс-релизы - используйте по максимуму потенциал SeoHammer для продвижения вашего сайта.
Что умеет делать SeoHammer
— Продвижение в один клик, интеллектуальный подбор запросов, покупка самых лучших ссылок с высокой степенью качества у лучших бирж ссылок.
— Регулярная проверка качества ссылок по более чем 100 показателям и ежедневный пересчет показателей качества проекта.
— Все известные форматы ссылок: арендные ссылки, вечные ссылки, публикации (упоминания, мнения, отзывы, статьи, пресс-релизы).
— SeoHammer покажет, где рост или падение, а также запросы, на которые нужно обратить внимание.
SeoHammer еще предоставляет технологию Буст, она ускоряет продвижение в десятки раз,
а первые результаты появляются уже в течение первых 7 дней.
Зарегистрироваться и Начать продвижение
Объектом курсовой работы является опцион как инструмент финансового рынка.
Целью работы является роль моделей опционов для исследовании доходности инвестиционного проекта
Цель позволила сформулировать задачи, которые решались в работе:
1. Исследование видов и структуры опционов;
2. Оценка опциона как инструмента спекуляции и хеджирования;
3. Исследование метода реальных опционов и метода потоков платежей;
4. Значение биноминальной модели в оценке, условия ее применения;
5. Значение модели Блэка - Шоулза при оценке опционов;
6. Состояние рынка опционов в России, пути развития.
Структура работы построена следующим образом: первая глава посвящена анализу и исследованию опциона как производного инструмента, его назначению и необходимости. Также в ней описаны опционные стратегии и их применение в оценке и хеджировании ценовых, валютных и процентных рисков. Рассмотрены возможности по использованию опционов на российском рынке, в увязке с существующими проблемами и перспективами. При написании работы использовался материал из актуальной периодики, отечественных и зарубежных книг и интернет-ресурсов.
ГЛАВА 1. Роль опционов в современной системе вторичного рынка
1.1. Сущность опциона, его структура и виды
Производные ценные бумаги (derivatives)
– ценные бумаги, стоимость которых производна от стоимости лежащих в их основе базисных активов (акций, облигаций и т.п.). Используются для страхования рисков (хеджирования) и извлечения дополнительной, спекулятивной прибыли. К производным ценным бумагам относят опционы (1, стр. 72).
Опцион
- это контракт, дающий его владельцу право, но не обязательство, продать (опцион "пут") или купить (опцион "колл") определенное количество ценных бумаг по фиксированной цене до истечения срока действия контракта.
Различают следующие опционы:
· Опцион на покупку (
call
option
)
- право покупателя опциона (а не его обязанность) получить от продавца опциона определенную имущественную ценность (акция, займ и т.п.) по установленной цене, либо осуществить расчет, в согласованный срок..
Сервис онлайн-записи на собственном Telegram-боте
Попробуйте сервис онлайн-записи VisitTime на основе вашего собственного Telegram-бота:
— Разгрузит мастера, специалиста или компанию;
— Позволит гибко управлять расписанием и загрузкой;
— Разошлет оповещения о новых услугах или акциях;
— Позволит принять оплату на карту/кошелек/счет;
— Позволит записываться на групповые и персональные посещения;
— Поможет получить от клиента отзывы о визите к вам;
— Включает в себя сервис чаевых.
Для новых пользователей первый месяц бесплатно.
Зарегистрироваться в сервисе
· Опцион на продажу (
put
option
)
– право продать имущественную ценность по установленной цене, либо осуществить расчет в определенный на будущее момент времени.
Более подробно позиции участников и их обязательства по опциону представлены на рисунках 1.1 и 1.2:
| Покупатель опциона
(держатель)
(право купить базисный актив)
|
|
| Продавец опциона
(надписатель)
(обязанность продать базисный актив)
|
|
Премия (цена) опциона (сейчас)
поставка базового актива на определенный
момент в будущем по цене исполнения (страйка)
Рис. 1.1 Колл - опцион на покупку
| Продавец опциона
(надписатель)
(обязанность купить базисный актив)
|
|
| Покупатель опциона
(держатель)
(право продать базисный актив)
|
|
поставка базового актива на определенный
момент в будущем по цене исполнения (страйка)
Рис. 1.2 Пут - опцион на продажу
В настоящее время термины «колл»
и «пут»
применяются как стандартные обозначения для опционов независимо от их базиса. Биржи вводят подчас и двойные опционы (
option
-
to
Double
)
– они содержат либо право продавца реализовать удвоенное количество ценности (товара, ценных бумаг), являющейся базисом в опционе – Put
-
to
-
more
Option
, либо право покупателя приобрести удвоенное количество этих ценностей – Call
–
of
-
more
Option
(8, стр. 116).
Владелец (покупатель) опциона выплачивает продавцу премию (рис. 1.1) - в расчете на единицу базисного актива, который называется ценой, или полной стоимостью опциона.
На величину премии влияет целая совокупность факторов:
- соотношение между текущей рыночной и контрактной ценами;
- срок опциона;
- устойчивость курса базисного актива.
Риск покупателя в сделке с опционами находится в пределах выплачиваемой им премии; риск продавца не ограничен, а доход последнего основывается на премии. Оплата премии покупателем обязательна и совершается на бирже через расчетную плату.
Также в опционе выделяют следующие элементы:
Цена базисного актива
(его единица), согласованная в опционном договоре, называется ценой исполнения (реализация) опциона, или контрактной ценой (9 стр. 114).
Здесь необходимо подчеркнуть, что внутри опционов на покупку «колл» и продажу «пут» акций существуют три вида различных опционов, каждый из которых имеет присущие ему особенности:
· Внутренние опционы
имеют цену исполнения ниже действующей рыночной цены для опциона «пут». Это означает, что покупатель такого опциона может немедленно воспользоваться своим правом и получить чистый доход. Однако, если учесть, что каждый участник торговли опционами заинтересован в выгодных сделках, то, как правило, премия по внутренним опционам всегда перекрывает указанную разницу цен. В отношении таких опционов существует понятие внутренняя цена. Она всегда равна разнице между рыночной ценой и ценой исполнения.
· Рыночные опционы
имеют цену исполнения, равную или очень близкую к курсу базовых акций на момент продажи опциона.
· Внешние опционы
характеризуются тем, что их цены исполнения значительно выше курса базовых акций при опционе «колл» и значительно ниже для опционов «пут» (10, стр. 190).
Таким образом, из приведенных видов опционов можно увидеть зависимость между ценой контракта и риском. Поэтому и премия увеличивается от первого вида к последнему.
Класс
– опционные контракты, в основе которых лежит один и тот же базисный актив.
Серия
– опционы одного класса, выписанные на одинаковый срок по одинаковой цене исполнения.
Существуют также:
· Европейский опцион
– исполнение допускается только на согласованную будущую дату;
· Американский опцион
– исполнение допускается и на согласованную будущую дату, и на любой момент до нее.
Участвующие в торговом обороте опционы структурно подразделяются на обыкновенные и обращающиеся.
Обыкновенные опционы
– могут быть только куплены, но не могут быть проданы своим покупателем. Для каждой из сторон в обыкновенном опционе биржевыми правилами закрыта возможность наделить другое лицо (в том числе участника опциона) правами обязательствами, противоположными принятым на себя при заключении исходного договора. Покупатель не может превратиться в продавца данного опциона.
Привычная схема «выхода» из опциона выглядит следующим образом (рис. 1.3) (8, стр. 118):
1). покупателю опциона, желающему отказаться от него, нужно на этот опцион найти через расчетную палату биржи другого покупателя для того же продавца;
2). продавцу опциона, желающему отказаться от него, следует найти на этот опцион через расчетную палату другого продавца для того же покупателя. В противном случае появляются либо два продавца без покупателя, либо два покупателя без продавца на данный опцион (нарушается равновесие на барже).
На графике можно увидеть, что премия не нарисована, так как на них фиксируется только соотношение текущих цен базиса и цены исполнения для
момента осуществления опциона.
Рисунок 1.3. Стратегия «выхода» по опциону «колл» и «пут»
Обращающиеся опционы
– могут быть проданы своим покупателем тогда и таким образом, как это предусмотрено биржевыми правилами или соглашением сторон на внебиржевом рынке. (Внебиржевой рынок - рынок, на котором осуществляется внебиржевой оборот биржевого товара).
На данный момент на рынке различают большое количество опционов, различающихся по базису: акции, валюта, проценты, товары. Самостоятельно развивающуюся часть рынка составляют опционы на фьючерсы, опционы на свопы, опционы на опционы.
В связи с этим выделяют:
Классические опционы
основаны на том, что в опционах, ставших предметом сделки с самого начала твердо зафиксирована будущая цена базиса (либо величина расчетного показателя). В обыкновенных обращающихся классических опционах действует принцип постоянной цены во время всего срока контракта.
Экзотические опционы
основаны на особенных правилах выявления текущей цены и цены исполнения базиса и на особенном подходе и определении стоимости (цены) опциона. Появление экзотических инструментов относится к 90-ым гг. ХХ в., и за относительно короткое время их число стало внушительным.
Экзотические опционы – значимое развитие теории и практики финансовых рисков, сопоставимое по результативности с использование ассиметричного профиля рисков в стандартных опционах. В силу этого они стали конкурентами для традиционных опционов и их комбинаций. Существует большая классификация этих инструментов (Приложение 1) (8, стр. 120).
Существует первичный и вторичный рынки опционов. Опционная торговля при этом организуется в форме внебиржевого (главным образом межбанковского) рынка и на базе фондовых бирж.
Опционы, которые обращаются на биржах называются котируемыми. Надо заметить, что эмиссия опционов на ценные бумаги каких-либо компаний никак не отражается на капитале этих компаний, их сводных балансах и доходах (5, стр. 57).
С точки зрения игры на фондовых рынках отличия опциона от фьючерса состоят в том, что:
1). заключение фьючерсного контракта не является актом купли-продажи;
2). расчет по истечении срока фьючерсного контракта (в отличие от расчета по опциону) обязателен;
3). риск, связанный с фьючерсной сделкой, значительно выше (5, стр. 127).
Таким образом, можно сделать вывод о том, что операции с опционами осуществляются для получения спекулятивной прибыли, полученной на разнице курсов, либо для страхования (хеджирования) своих активов. Это краткосрочный контракт. При этом в любом опционе (на покупку или на продажу) участники контракта рассчитывают на противоположные тенденции в движении курсов акций: на повышение курса – покупатель опциона на покупку и продавец опциона - на продажу. Степень выигрыша или проигрыша определяется в основном рассмотренными типами опционов.
1.2. Опционные стратегии
Торговля опционами
– один из важных моментов формирования фондового рынка, повышения его ликвидности и надежности. Количество опционных стратегий – комбинаций покупок и продаж разных типов опционов (рассмотренных в первом пункте данной главы) с различными ценами исполнения, премиями и периодами действия в совокупности с вариантами арбитражных сделок столь велика, что удовлетворит потребности, как отчаянных спекулянтов, так и осторожных инвесторов (2, стр. 137).
Опционные стратегии можно разделить на следующие основные группы:
· Простые;
· Спрэд;
· Комбинированные;
· Синтетические.
Простые стратегии — это открытие одной позиции, т.е. покупка или продажа опционов «колл» или «пут».
Спрэд — это портфель опционов, состоящий из опционов одного вида, на одни и те же активы, но с разными ценами исполнения и (или) датами истечения. Причем одни из них являются длинными, а другие — короткими. В свою очередь спрэд подразделяется на вертикальный (цилиндрический или денежный), горизонтальный и диагональный.
Вертикальный спрэд в свою очередь может объединять опционы с одной и той же датой истечения контрактов, но с различными ценами исполнения и наоборот.
Например:
- продажа опциона «колл» («пут») и покупка опциона «колл» («пут») с одинаковой датой исполнения, но цена исполнения продаваемого опциона больше, чем цена исполнения покупаемого опциона;
- продажа опциона «колл» («пут») и покупка опциона «колл» («пут») с одинаковой датой исполнения покупаемого опциона.
Горизонтальный (календарный) спрэд состоит из опционов с одинаковыми ценами исполнения, но с различными датами истечения контрактов, а именно:
- продажа краткосрочного опциона «колл» («пут») и покупка долгосрочного опциона «колл» («пут») или продажа опциона «колл» («пут») и покупка опциона «колл» («пут») с одинаковой ценой исполнения. При этом дата исполнения продаваемого опциона ближе, чем дата исполнения покупаемого опциона;
- продажа долгосрочного опциона «колл» («пут») и покупка краткосрочного опциона «колл» («пут») с одинаковой ценой исполнения. При этом дата исполнения продаваемого опциона дальше, чем дата исполнения покупаемого опциона.
Диагональный спрэд строится на основе опционов с различными ценами исполнения и сроками истечения контрактов.
Например:
- цена исполнения продаваемого опциона выше цены исполнения покупаемого опциона, а дата исполнения продаваемого опциона раньше даты исполнения покупаемого опциона;
- цена исполнения продаваемого опциона выше цены исполнения покупаемого опциона, а дата исполнения продаваемого опциона дальше даты исполнения покупаемого опциона;
- цена исполнения продаваемого опциона ниже цены исполнения покупаемого опциона, а дата исполнения наступает раньше даты исполнения покупаемого опциона;
- цена исполнения продаваемого опциона ниже цены исполнения покупаемого опциона, а дата исполнения продаваемого опциона находится дальше даты исполнения покупаемого опциона.
Каждый из указанных видов спрэда имеет две разновидности: повышающуюся и понижающуюся. При создании, к примеру, повышающегося вертикального спрэда тот опцион, который приобретается, имеет более низкую цену исполнения по сравнению с тем опционом, который продается. А у повышающегося диагонального спрэда приобретаемый опцион имеет более низкую цену исполнения и более отдаленную дату истечения контракта по сравнению с тем опционом, который выписывается.
Комбинированные стратегии — это одновременная покупка (продажа) опциона «колл» и опциона «пут» на один и тот же актив.
Синтетические стратегии — это одновременное открытие противоположных позиций на разные виды опционов с одним и тем же активом.
На рисунках 1.4 и 1.5 показаны различные стратегии, позволяющие отразить выигрыши и потери покупателя и продавца опционов. Рассмотрим последовательно основные варианты:


Рис. 1.4 Основные опционные стратегии

Рис. 1.5 Основные опционные стратегии (окончание)
На вертикальной оси отображается прибыль инвестора, зависящая от цены акций и той стратегической позиции, которую инвестор занимает в рассматриваемом варианте. На горизонтальной оси каждого графика отображается рыночная цена акции.
Наиболее простыми стратегиями являются покупка опциона «колл» или «пут». При покупке, к примеру, опциона «колл» (Рис. 1.5 а) инвестор может получить максимальный доход при риске потерять уплаченную премию.
Как следует из приведенных примеров (Рис. 1.5), возможные выигрыши (потери) зависят в каждом конкретном случае от вида опциона, его цены исполнения и даты исполнения.
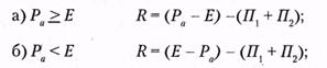
Покупка опциона «колл» (Рис. 1.5 а).
Формула расчета выигрыша (потери):
Р а — рыночная цена акции;
Е — цена исполнения опциона;
П — премия;
R — результат (выигрыш или потери):

Данная стратегия используется при росте цен на рынке. При этом доход неограничен, в то время как минимальный риск — это величина уплаченной прибыли.
Потенциальная прибыль владельца опциона в целом включает в себя стоимость ценной бумаги на момент истечения срока действия опциона минус цена исполнения и минус выплаченная премия.
Продажа опциона «колл» (Рис. 1.5 б).
Формула расчета выигрыша (потери) соответствует покупке опциона «колл», но со знаком минус:

Данная стратегия чаще всего используется тогда, когда на рынке цены имеют тенденцию к снижению. Максимальный доход — это величина полученной премии, где максимальный риск неограничен.
Покупка опциона «пут» (Рис. 1.5в).
Формула расчета выигрыша (потери):

Данная стратегия используется при снижении цен на рынке. При этом максимальный доход равен цене исполнения минус премия.
Продажа опциона «пут» (Рис.1.5 г).
Формула расчета выигрыша (потери) соответствует покупке опциона «пут», но со знаком минус:

Обычная спекулятивная стратегия продажи опционов «пут», в основе которой лежит предположение о том, что курс ценной бумаги не упадет, а следовательно, опцион останется относительно стабильным.
Как видно из формулы расчета, максимальный доход — это полученная премия. Максимальный риск соответственно — это цена исполнения минус премия.
Сравним указанные выше результаты по всем видам базисных опционных стратегий (табл. 1.1):
Таблица 1.1 Результаты осуществления базисных опционных стратегий

Как следует из данных таблицы 1.1 пары стратегий: покупка и продажа опционов «колл» и покупка и продажа опционов «пут» имеют одинаковые результаты по абсолютной величине, но противоположные по знаку. Кроме того, если учесть, что R 1 = Р а - (Е + П) и R 2 = - П, то R 1 - R 2 = Р а - Е, и следовательно, R 2 = R 1 + (Е - Р а ).
В итоге получается, что если известен результат по опциону «колл» ( R 1 или R 2 , где R 1 — прибыль, a R 2 — убыток), то результат по опциону «пут» с той же ценой исполнения (Е) и датой исполнения отличается от первого лишь на величину разности между ценой исполнения опциона (Е) и рыночной ценой актива (Р a ).
Ожидаемые результаты от вида стратегий можно представить в следующей таблице (табл. 1.2).
Покупка одной акции и продажа одного опциона «колл» (Рис. 1.5 ж).
Чаще всего инвестор осуществляет данную стратегию в целях страхования своей позиции по акциям. Выигрыши и потери представляют не что иное, как продажу опциона «пут». Этот и три последующих варианта, по сути дела, являются иллюстрацией к пройденному.
Таблица 1.2 Результаты сделок базисных опционных стратегий

Обозначения: Р a — цена актива, лежащего в основе опциона в момент его исполнения; Е — цена исполнения опциона; R 1,2 — результат (прибыль или убыток) опциона в зависимости от соотношения цены актива и цены исполнения опциона.
Линия (цена акции) содержит три главных участка, которые всегда надо иметь в виду:
- тот, на котором изменения цен не влияют на положение инвестора;
- следующий, на котором изменения цен выводят инвестора на нулевой баланс;
- и последний, где размер выигрыша или потерь идет пункт-в-пункт с изменениями цен на акции.
Как следует из рис. 1.5 ж, з, и, к, в приведенных примерах вкладчик прибегает каждый раз к такой стратегии, которая позволяет с одной стороны — заработать на разнице цен исполнения, а с другой — обезопасить себя от больших финансовых потерь.
Наиболее интересные стратегии формируются за счет различных комбинаций и спрэдов. Рассмотрим некоторые из них.
Стеллажная сделка стрэддл (straddle)
представляет собой комбинацию опционов «колл» и «пут» на одни и те же акции с одинаковой ценой исполнения и сроком истечения контрактов (рис. 1.5 л и 1.5 м).
Покупатель платит по данной сделке две премии. Если премия по опционам различается существенным образом, то такая ситуация называется искусственным стеллажом.
Для расчета выигрыша (потерь) покупателя стеллажа можно использовать следующую формулу расчета:

где Р а — цена акции; Е — цена исполнения опционов; П 1 — премия опциона «колл»; П 2 — премия опциона «пут»; R — результат (выигрыш или потери).
Максимальный риск — сумма уплаченных премий. При этом доход в данной стратегии — неограничен.
Комбинацию, подобную стеллажной сделке, можно получить с помощью приобретения (продажи) одной акции и покупки (продажи) двух опционов «колл» или «пут» (Рис. 1.6 а, б, в, г):

Рис. 1.6 Покупка и продажа одной акции и двух опционов «колл» и «пут»
Эта комбинированная позиция аналогична короткому стеллажу.
· Инвестор получает одну акцию и продает два опциона «колл» (рис. 1.6 а).
· Инвестор покупает одну акцию и два опциона «пут» (рис. 1.6 б). Эта стратегия аналогична длинному стеллажу.
· Инвестор продает одну акцию и покупает два опциона «колл» (рис. 1.6 в). Стратегия подобна длинному стеллажу.
- Инвестор продает одну акцию и два опциона «пут» (рис. 1.6 г). Стратегия аналогична короткому стеллажу.
Обобщив сказанное, можно отметить, что стеллажные сделки в виде стрэддла отражают комбинацию опционов при занятии инвестора длинной или только короткой позиции. Вкладчик же выбирает данную стратегию, когда ожидает изменения курса акций.
Стратегия «стрэнгл». Представляет собой сочетание опционов «колл» и «пут» на одни и те же бумаги, с одинаковым сроком истечения контрактов, но с разными ценами исполнения. По технике исполнения данная комбинация подобна стеллажу (рис. 1.7). При этом если цена исполнения опциона «колл» выше цены исполнения опциона «пут», то максимальный риск — сумма уплаченных премий, доход не ограничен.

Рис. 1.7 Покупка и продажа «стрэнгла»
Если же цена исполнения опциона «колл» ниже цены исполнения опциона «пут», то максимальный риск — сумма уплаченных премий минус разница между исполнением опциона «пут» и ценой исполнения опциона «колл». Доход не ограничен.
Стратегия «стрэнгл» используется при большой колеблемости цен на рынке. Комбинация строится на том предположении, что цены исполнения опциона «колл» будут выше цен исполнения опциона «пут».
Возможные выигрыши (потери) покупателя стрэнгла показаны в табл. 1.3:
Таблица 1.3 Прибыль покупателя от комбинации «стрэнгл»

Обозначения, принятые в табл. 1.3: Е 1 — цена исполнения опциона «пут»; Е 2 — цена исполнения опциона «колл»; П — сумма уплаченных премий.
Стратегия «стрэп» - это комбинация из одного опциона «пут» и двух опционов «колл». Даты истечения контрактов одинаковые, а цены исполнения могут быть одинаковыми или разными. При этом инвестор может занимать как короткую, так и длинную позицию. Покупатель полагает, что курс акций должен повыситься (рис. 1.8).

Рис. 1.8 Выигрыши (потери) покупателя и продавца «стрэпа»
Таблица 1.4 Прибыль покупателя от комбинации «стрэп»

Стратегия «стрип» состоит из одного опциона «колл» и двух опционов «пут». Они имеют одинаковые даты истечения контрактов, цены исполнения могут быть одинаковыми или разными. Инвестор занимает одну и ту же позицию по всем опционам. «Стрип» приобретается в том случае, когда есть основания полагать, что наиболее вероятно понижение курса акций.
Чтобы определить прибыль покупателя, воспользуемся данными табл. 1.5:
Таблица 1.5 Прибыль покупателя по комбинации «стрип»:

Здесь Е 1 — цена исполнения опциона «пут»; Е 2 — цена исполнения опциона «колл».
На рис. 1.9 показана выигрыши (потери) покупателя и продавца «стрипа»:

Рис. 1.9 Вы выигрыши (потери) покупателя и продавца «стрипа»
Стратегия спрэд «быка» включает приобретение опциона «колл» с более низкой ценой исполнения и продажу опциона «колл» с более высокой ценой исполнения. Контракты имеют одинаковый срок истечения. Такая стратегия требует от инвестора первоначальных вложений, поскольку премия опциона «колл» с более низкой ценой исполнения будет всегда больше, чем опциона с более высокой ценой исполнения. Поэтому когда вкладчик формирует данную стратегию, говорят, что он покупает спрэд.
Спрэд «быка» можно построить, купив опцион «пут» с более низкой ценой исполнения и продав опцион «пут» с более высокой ценой исполнения. В этом случае инвестор имеет положительный приток средств в момент создания спрэда. Когда вкладчик формирует таким способом данную стратегию, говорят, что он продает спрэд.
Формируя спрэд «быка», инвестор рассчитывает на повышение курса акций. Поскольку возможны и потери, он ограничивает их определенной суммой денег, которая в свою очередь уменьшает возможность выигрыша.
Спрэд имеет конфигурацию, показанную на рис. 1.10.

Рис. 1.10 Спрэд «быка»
Формулы для расчета прибыли по позиции спрэд «быка» приведена в табл. 1.6:
Таблица 1.6 Прибыль по позиции спрэд «быка»

Здесь Е 1 — цена исполнения длинного опциона «колл»; Е 2 — цена исполнения короткого опциона «колл»; П — сумма уплаченных премий.
Обратный спрэд «быка» строится на основе короткого опциона «пут» с более низкой ценой исполнения и длинного опциона «колл» с более высокой ценой исполнения. При таком сочетании премия опциона «пут» должна быть больше премии опциона «колл». В результате инвестор имеет положительный приток финансовых ресурсов. Конфигурация данного спрэда представлена на рис. 1.11. Выигрыш (потери) можно рассчитать с помощью табл. 1.7:
Таблица 1.7 Прибыль по позиции обратный спрэд «быка»


Рис. 1.11 Обратный спрэд «быка»
Стратегия спрэд «медведь» представляет собой сочетание длинного опциона «колл» с более высокой ценой исполнения и короткого опциона «колл» с более низкой ценой исполнения. Инвестор прибегает к такой стратегии, когда ожидает понижения курса акций, но одновременно стремится ограничить свои потери в случае его повышения. Поскольку цена длинного опциона «колл» ниже цены короткого опциона «колл», то заключение подобных сделок означает первоначальный приток средств инвестору.
Спрэд «медведя» можно сформировать на основе короткого опциона «пут» с более низкой ценой исполнения и длинного опциона «пут» с более высокой ценой исполнения. В этом случае инвестор несет первоначальных затрат больше, чем в указанном выше варианте спрэда. В таком случае говорят, что он покупает спрэд.
Спрэд «медведя» показан на рис. 1.12:

Рис. 1.12 Спрэд «медведя»
Прибыль от позиции спрэд «медведя» можно рассчитать с помощью табл. 1.8:
Таблица 1.8 Прибыль по позиции спрэд «медведя»

Обратный спрэд «медведя» представляет собой сочетание длинного опциона «пут» с более низкой ценой исполнения и короткого опциона «колл» с более высокой ценой исполнения. Главная цель инвестора получить прибыль на отрезке Е 1 Е 2 (см. рис. 1.13). Выплаты по спрэду можно рассчитать с помощью таблицы 1.9:

Рис. 1.13 Обратный спрэд «медведя»
Таблица 1.9 Прибыль по позиции обратный спрэд «медведя»

Здесь Е 1 — цена исполнения длинного опциона «пут»; Е 2 — цена исполнения короткого опциона «колл»; П — сумма уплаченных премий.
Спрэд «бабочка» (сэндвич)
состоит из опционов с тремя различными ценами исполнения, но с одинаковым сроком истечения контрактов. Он строится путем приобретения опциона «колл» с более низкой ценой исполнения Е 1 , опциона «колл» с высокой ценой исполнения Е 2 которая находится посередине между Е 1 и Е 3 . В результате Е 3 — Е 2 = Е 2 — Е 1 .
Обычно цена Е 2 лежит близко к текущему курсу акций в момент заключения сделок. Такой спрэд требует небольших первоначальных инвестиций.
Данная стратегия используется вкладчиком, когда не ожидается сильных колебаний курса акций. Если цена акций не намного отклонится от Е 2 , то инвестор может получить небольшую прибыль или понести небольшие потери, если произойдет существенный рост или падение курса бумаг.
Конфигурация спрэда «бабочка» представлена на рис. 1.14. Выигрыши (потери) инвестора легко рассчитать с помощью табл. 1.10.:

Рис. 1.14 Спрэд «длинная бабочка»
Таблица 1.10 Прибыль по позиции спрэд «бабочка»

Здесь Е 1 — цена исполнения длинного опциона «колл»; Е 2 — цена исполнения короткого опциона «колл»; Е 3 — цена исполнения данного опциона «колл».
Спрэд «бабочка» можно создать также с помощью опционов «пут». При таком сочетании инвестор покупает один опцион «пут» с более низкой ценой исполнения Е 1 , один опцион «пут» с более высокой ценой исполнения Е 3 и продает два опциона «пут» с ценой исполнения Е 2 , лежащей посередине между Е 1 и Е 3 .
Существует также спрэд «короткая бабочка». Его создают в обратном порядке, т.е. продают опционы с ценами исполнения Е 1 и Е 3 и покупают два опциона с ценой исполнения Е 2 . На рис. 1.15 представлена конфигурация спрэда:

Рис. 1.15 Спрэд «короткая бабочка»
Данная стратегия позволяет получить небольшой доход при значительных колебаниях курсов акций и одновременно она ограничивает потери при незначительном отклонении цены бумаг от первоначального курса.
Как видно из рис. 1.6 а и 1.14, график спрэда «длинная бабочка» похож на короткий стеллаж. Однако данный спрэд имеет то преимущество, что ограничивает риск, связанный с существенным повышением или понижением курса акций; график спрэда «короткая бабочка» напоминает длинный стеллаж, но данный спрэд имеет тот недостаток, что ограничивает выигрыш инвестора.
Спрэд «бабочка» можно также построить за счет одновременного создания спрэдов «быка» и «медведя», у которых один из опционов имеет одинаковую цену исполнения (рис. 1.15, 1.16):

Рис. 1.16 Спрэд «длинная бабочка»
Все вышесказанное свидетельствует о том, что сделки с различными опционами создают всевозможные игровые конструкции, которые в свою очередь могут создавать альтернативные подходы к решению одних и тех же задач. Вместе с тем, как показывает зарубежный опыт, накопленная за многие годы статистика далеко не всегда позволяет использовать предыдущий опыт для принятия правильных решений. Поэтому среди разных зарубежных специалистов нет единства в оценках стратегических планов опционной торговли.
Далее исследуем развитие рынка опционов в России.
1.3. Основные факторы развития рынка опционов в России
Благодаря широким возможностям эффективно управлять капиталом при минимальных затратах рынок опционных контрактов снискал популярность среди большого круга инвесторов в России (2, стр. 89).
На сегодняшний день в России срочный рынок – самый динамично развивающийся сегмент финансового рынка. В ноябре 2007 г. Объем торгов на ведущей срочной площадке России и стран СНГ FORTS
практически сравнялся с объемом торгов на рынке акций. А 16 ноября 2007 г. По итогам дневной сессии он достиг на FORTS
абсолютного рекорда и составил 4,5 млрд. долл. (рис. 1.17). Всего же по результатам прошлого года объем торгов на срочном рынке РТС
вырос почти в 3 раза (на 177,4 % в рублях) по сравнению с аналогичным показателем 2006 г. и достиг своего рекордного значения. Число сделок увеличилось более чем в 2 раза. С начала года на FORTS
было заключено 11,7 млн. сделок с 144,9 млн. контрактов на общую сумму 7,5 трлн. руб. Количество клиентов за год выросло более чем в 2 раза – на 10 676 и к концу года достигло 23 600 клиентов (12, стр. 51).

Рис. 1.17.Обороты рынков
FORTS
и ММВБ
в 2007 г.
Широкая линейка инструментов, предлагаемая группой компаний РТС, позволяет проводить операции с минимальными рисками и максимальной доходностью. Можно инвестировать не только в деривативы акций, но и в фондовые индексы, нефть, золото, сельхозпродукцию, процентные ставки, валюту.
Кстати, опционы на золото стали очень популярны в последнее время, так как они являются одновременно объектом вложения капитала, средством накопления и спекулятивными инструментами. Они также представляют собой ценный инструмент для коммерческих производителей и пользователей металла, хеджирующих риски изменения цен (рис. 1.18 и 1.19) (13, стр. 39).
Рис. 1.18.Среднедневной объем торгов и открытых позиций по золоту

Рис. 1.19.Среднедневной объем торгов и открытых позиций по золоту, контрактов
Согласно прогнозам экспертов, в нашей стране в ближайшие 3 – 5 лет ожидается существенное развитие рынка деривативов. В течение последних 7 лет фондовый рынок России непрерывно рос. Увеличение стоимости ценных бумаг было связано с недооцененностью отечественных предприятий, а также с высокими темпами роста российской экономики. Однако рыночная конъюнктура показала, что бурный рост отечественного фондового рынка не может продолжаться вечно (12, стр. 50).
Основным фактором этому послужила нестабильность на мировом и российском фондовых рынках, которая наблюдается в течении года, она негативно отразилась на доходности отечественных управляющих – у большинства она оказалась отрицательной. В связи с этим многие инвесторы приходят к выводу, что в такой ситуации правильнее всего использовать инструменты срочного рынка, в частности опционы. Так как только они в момент кризиса на рынке базовых активов способны повысить эффективность операции, снизить риски, а главное, увеличить прибыльность сделок.
В начале 2008 г. индекс РТС показал снижение на 13,5 % (рис. 4) по сравнению с закрытием 2007 г., а значит, инвесторы самых популярных ПИФов, на индексы фондовых бирж, получили убытки. Поэтому, если высокая волатильность и отсутствие роста цен акций и облигаций сохранятся, то это приведет к оттоку клиентов у управляющих, которые в это время исключительно покупали и продавали акции. В настоящее время использование опционов, как для хеджирования, так и для повышения доходности является необходимым условием для успешной деятельности управляющих компаний, и многие их них это уже поняли. В январе 2008 г., в моменты сильного падения рынка, на FORTS
было зарегистрировано рекордное количество счетов ДУ (доверительных управляющих) (рис. 1.20).

Рис. 1.20. Рост числа клиентских счетов доверительного управления
на
FORTS
в 2007 – 2008 гг.
Также в немалой степени скорейшему распространению инструментов срочного рынка среди инвесторов могут поспособствовать изменения в ряде законодательных актов, разрешающих доверительным управляющим применять в работе производные инструмента (опционы). Так, в 2007 г. Правительство РФ выпустило Постановление, которое позволило НПФам применять инструменты срочного рынка (13, стр. 39).
Летом того же года вступил в силу приказ ФСФР России, согласно которому управляющие в индивидуальном доверительном управлении могут без ограничений использовать в работе различные виды финансовых инструментов для направленных стратегий и хеджирования рисков.
Далее в конце прошлого года Государственная дума приняла поправки в закон «Об инвестиционных фондах», которые позволяют создавать фонды для квалифицированных инвесторов. Такие фонды могут использовать опционы не только для хеджирования, но и для активных операций.
В настоящее время все инвестиционное общество ожидает от ФСФР постановления, которое станет логическим завершением всех принятых ранее правительством и Госдумой нормативных актов. Этот документ должен появиться в I кв. 2008 г. Он будет детально регулировать работу ПИФов и НПФов с опционами. В соответствии с этим ПИФы и НПФы смогут хеджировать с помощью опционов 100% активов, инвестированных в ценные бумаги. Они получат возможность замещать инвестиции в ценные бумаги опционными контрактами. Если данное постановление выйдет в свет, то это приведет к значительному увеличению интереса к опционам и, как следствие к уменьшению волатильности на фондовом рынке (12, стр. 52).
В таблице 1.11 приведены сводные обороты по биржевым фьючерсам и опционам за ноябрь - декабрь 2008 г. Обращает внимание тот факт, что опционы хоть и не обгоняют фьючерсы, но составляют значительный объем торгов.

Табл. 1.11. Объем торгов по фьючерсам и опционам по состоянию на ноябрь - декабрь 2008 г. источник:(
www
.
rts
.
ru
)
Следовательно, из всего этого можно сделать вывод о том, что в России появляется тенденция к расширению роли опционных контрактов на финансовом рынке.
ГЛАВА 2. Методы и модели оценки
опционов, их роль в инвестиционном анализе
2.1 Оценка выбора: применение методов оценки опционов
Стратегическая чистая текущая стоимость расширяет набор альтернатив, которые должен исследовать аналитик. Она показывает, существует ли выбор, и определяет его стоимость.
Стоимость выбора можно определить с помощью теории оценки опционов и связанного с ней ситуационного подхода (Сontingent claims analysis). Однако часто такая процедура оценки становится чрезвычайно сложной, и возникает необходимость заменить ее качественными суждениями.
Несомненно, применение теории оценки опционов для принятия решений — серьезный шаг вперед в развитии теории капитального бюджета, и менеджеры, занимающиеся составлением капитального бюджета на фирмах, должны понимать, когда и как можно с пользой для дела применить эти концепции (3, стр. 109).
Следует различать два типа ситуаций:
В ситуациях первого типа
имеется достаточно большое количество ценных бумаг или активов, так что доходы от конкретного оцениваемого опциона можно в точности воспроизвести, купив портфель, состоящий из одной или нескольких ценных бумаг или активов. Эту ситуацию рассмотрим в первую очередь.
В ситуациях второго типа
оцениваемые варианты нельзя в точности воспроизвести с помощью воображаемого портфеля ценных бумаг или других активов. Но и в исследовании подобных ситуаций теория опционов также внесла значительный вклад, поскольку привлекает внимание к их существованию и к необходимости оценить выбор в этих ситуациях (16, стр. 157).
Теоретическая стоимость опциона
- это тот выигрыш, который можно было бы получить, если исполнить опцион сразу. Если рыночная стоимость обыкновенной акции больше, чем цена исполнения опциона, выигрыш - это разница между ценой акции и ценой исполнения (расходами на сделку пренебрегаем). Если рыночная стоимость акции ниже цены исполнения, то теоретическая стоимость равна нулю (исполнять опцион попросту неразумно). Пусть:
Cmin
– минимальная (теоретическая) стоимость опциона;
S
– рыночная стоимость обыкновенной акции;
К
– цена исполнения.
Тогда теоретическая стоимость опциона будет равна:
S - К, если S >К и 0, если S <= К
Теоретическая стоимость ни в коем случае не является теоретически верной ценой опциона, но она устанавливает нижнюю границу стоимости опциона, если исполнить его сразу и немедленно обратить полученный выигрыш в деньги. Рыночная стоимость опциона будет либо равна теоретической, либо больше ее (17, стр. 39).
В обычном анализе капитального бюджета решение основывается на прогнозе денежных потоков, которые возникнут, если проект будет принят. В условиях неопределенности возможно несколько вариантов последовательности денежных потоков. Критики метода опционов считают, что приобретение активов почти всегда открывает доступ к будущим инвестиционным возможностям, которые в противном случае не появились бы (включая возможность продать активы или их усовершенствование). Оценка инвестиционного проекта во многом зависит от этих будущих инвестиционных возможностей.
Критики предлагают при анализе учитывать будущие решения, рассматривая их как опционы. При таком подходе сегодняшняя ценность проекта составляет сумму:
1. стоимости денежных потоков, которые возникнут в результате принятия проекта;
2. стоимости права выбора (опциона), связанного с будущими решениями по поводу этих активов.
Если проект выбирают на основе анализа будущих денежных потоков, то можно учесть различные варианты прогнозов денежных потоков для каждой стратегии. Если ни одна желательная стратегия не будет пропущена, прогнозы денежных потоков адекватно отразят последствия всех решений, и чистая текущая стоимость прогнозных денежных потоков даст правильный ответ (18, стр. 48).
Другой подход состоит в том, чтобы рассматривать каждое будущее решение как опцион. При этом определяют стоимость опциона и прибавляют ее к денежным потокам от первоначального инвестиционного проекта. Если это сделано правильно, то и метод анализа денежных потоков, и метод оценки опционов одинаково оценят проект. Но полезно было бы поразмышлять над преимуществами и недостатками каждого из этих методов.
Оценка инвестиционных проектов методом реальных опционов основана на предположении, что любая инвестиционная возможность для компании может быть рассмотрена как финансовый опцион, то есть компания имеет право, а не обязательство, создать или приобрести активы в течение некоторого времени (20,стр. 1).
Многие инвестиционные проекты содержат различные виды опционов. К примеру, компания рассматривает возможность приобретения лицензии на разработку месторождения нефти на конкретном участке земли. Но на данный момент стоимость добычи нефти в этом месте не окупится доходами от ее реализации, поэтому такой проект выглядит убыточным. С другой стороны, принимая во внимание, что цены на нефть на мировом рынке подвержены серьезным колебаниям, несложно предположить, что через год или два они резко вырастут и разработка месторождения принесет значительные прибыли. В таком случае лицензия на разработку нефти дает компании право, но не обязательство, реализовать проект, если условия для этого будут благоприятны. Другими словами, покупая лицензию, компания приобретает реальный опцион (20, стр. 2).
Использование метода реальных опционов для принятия решений по инвестиционным проектам позволяет компаниям учесть возможность гибкого реагирования на изменяющиеся внешние условия.
При использовании метода дисконтированных денежных потоков (DCF)
аналитик пытается избежать неопределенности в момент анализа инвестиционного проекта. В результате появляется один или несколько сценариев будущего развития событий. Однако сценарный анализ не решает основной проблемы — статичности, так как в итоге принимается усредненный вариант, который показывает, как будет разрешаться неопределенность в соответствии с заложенными предпосылками.
Метод реальных опционов предполагает принципиально иной подход. Неопределенность остается, а менеджмент с течением времени подстраивается (принимает оптимальные решения) к изменяющейся ситуации. Иначе говоря, реальные опционы дают возможность изменять и принимать оптимальные решения в будущем в соответствии с поступающей информацией. Причем возможности принимать и изменять решения в будущем количественно оцениваются в момент анализа. Необходимо отметить, что независимо от метода менеджер в большинстве случаев имеет возможность принимать оптимальные решения и изменять уже принятые. Проблема DCF
в том, что он не учитывает такие возможности на этапе оценки эффективности инвестиционного проекта.
На практике стратегические решения редко принимаются быстро. Идеология опционного управления предприятием предполагает ориентирование менеджеров на пошаговое осуществление дополнительных инвестиций с целью сохранения стратегических позиций компании на рынке.
В отличие от метода дисконтированных денежных потоков, который учитывает только поступление и расход денежных средств, метод реальных опционов позволяет учесть большее количество факторов. К ним относятся период, в течение которого сохраняется инвестиционная возможность, неопределенность будущих поступлений, текущая стоимость будущего поступления и расходования денежных средств и стоимость, теряемая во время срока действия инвестиционной возможности.
Метод реальных опционов наиболее востребован в наукоемких, высокотехнологичных, ресурсодобывающих отраслях, а также в отраслях с высокими расходами на маркетинг и продвижение новых продуктов.
В таблице приведены примеры возможных реальных опционов в отношении разных типов активов (20, стр. 4).

Табл. 2.1 Реальные опционы в зависимости от вида актива.
Недостатки метода опционов:
1. Меньшая определенность в управлении будущей деятельностью. Если у инвестиционного проекта есть черты опциона, то это нужно иметь в виду, решая, приемлем ли проект. Если проект одобрен, важно будет правильно принимать оперативные решения, чтобы предоставленные возможности были использованы в нужный момент. Для этого, возможно, полезно было бы выработать правила принятия оперативных решений, например, использовать возможность, как только это становится прибыльным. Иногда такое правило вырабатывается в процессе оценки опциона. Если в данном конкретном случае это не так, следует позаботиться о том, чтобы общие принципы принятия оптимальных решений были известны менеджерам среднего звена (20, стр. 5).
2. Скрытые предположения. Высокая стоимость опциона может круто изменить решение, но подоплека исходных предположений о денежных потоках при этом останется скрытой, что не позволит менеджерам эффективно оценить сами эти предположения.
Для оценки как реальных, так и обычных опционов применяются в основном две модели:
· Биноминальная модель (
BOPM)
;
· Модель Блэка-Шоулза.
Эти модели играют большую роль в инвестиционном анализе. Рассмотрим и дадим оценку каждой из них.
2.1. Биноминальной модель оценки опциона (
BOPM
)
Для определения стоимости опциона разработаны различные модели, среди которых наиболее простой является биноминальная модель (
BOPM
)
. Она пригодна для оценки как европейского, так и американского опционов, а также для оценки стоимости опционов на акции.
Биномиальный метод, называемый также по имени его авторов методом Кокса-Росса-Рубинштейна (Cox-Ross-Rubinstein),
был предложен в 1979 году и является более поздним по отношению к методу Блэка-Шоулза (1973). В определенном смысле он аналогичен численным методам решения дифференциальных уравнений. Первоначально данный подход применялся для расчета стоимостей американских опционов, для которых отсутствует точное аналитическое решение, а впоследствии был распространен на многие более сложные производные инструменты. В настоящее время численные методы наряду с методами статистических испытаний чаще всего используются в моделях обсчета производных инструментов, так как позволяют максимально учесть реальные условия операций с ними (4, стр. 139).
В биноминальной модели весь период действия опционного контракта разбивается на ряд интервалов времени; в рассматриваемом ниже случае – на два периода. Предполагается, что стоимость опциона и стоимость базового актива (в данном случае акции) изменяется согласно разветвленной системе на рисунке 2.1. Учитывая данные о стандартном отклонении курса базисного актива, получают значения его цены для каждого интервала времени (строят дерево распределения цены). Так же определяют вероятность повышения и понижения курсовой стоимости актива на каждом отрезке временного интервала. Имея значения цен актива к моменту истечения срока действия опциона, определяют его возможные цены в данное время. После этого последовательным дисконтированием цен опциона (с учетом вероятности повышения и понижения стоимости актива на каждом интервале времени) получают значение его цены в момент заключения контракта (3, стр. 179).
uS0
Сu
1
S0
С0
dS0
Сd
1
Рис. 2.1 Биноминальная модель ценообразования опционов
Техника построения биномиальной модели является более громоздкой, чем метод Блэка—Шоулза, но позволяет получить более точные результаты, когда существует несколько источников неопределенности или большое количество дат принятия решения.
В основе модели лежат два допущения:
- в одном интервале времени могут быть только два варианта развития событий (худший и лучший);
- инвесторы нейтрально относятся к риску
(19, стр. 172).
Простейший пример использования биномиальной модели для расчета стоимости инвестиционного проекта уже был использован выше. Напомним, что мы рассматривали проект с одним интервалом времени и двумя вариантами реализации решений. Для каждого варианта была оценена вероятность наступления и рассчитана стоимость реального опциона. Вычисление стоимости опциона данным методом, по сути, представляет собой движение по «дереву решений», где в каждой точке менеджеры стараются принять наилучшие решения. В итоге денежные потоки, возникающие как следствие будущих решений, сводятся к приведенной стоимости. Однако в реальной жизни «дерево решений», как правило, имеет гораздо больше узлов принятия решений (см. рис.2.2) (20, стр. 4):

Рис. 2.2. «Дерево решений» трехступенчатой биноминальной модели
При построении «дерева решений» с большим количеством дат принятия решений применяются те же принципы расчета стоимости реального опциона, что и для рассмотренной выше одноступенчатой модели. Однако чем больше узлов принятия решений, тем сложнее сделать оценку.
На практике основные трудности использования биномиальной модели связаны с определением значений относительного роста и снижения стоимости бизнеса в каждом периоде, а также вероятностей положительного и негативного варианта развития событий. Для расчета этих параметров разработаны соответствующие формулы. Возможный рост стоимости бизнеса рассчитывается как:
u
=
es
,
где
u
— относительный рост (значение данного параметра, например 1,25, означает ожидаемый рост стоимости проекта в 25%);
s
— стандартное отклонение среднегодовой стоимости проекта;
h
— интервал как часть года (к примеру, h = 0,5
, если решение по проекту принимается раз в полгода).
Относительное снижение стоимости (d)
рассчитывается по формуле:
d = 1 : u
Тогда вероятность относительного роста (П)
, исходя из предположений о нейтральном отношении к риску, можно рассчитать как:
П = [(1 + r) — d ] : u – d
Соответственно вероятность снижения стоимости проекта будет равна 1- П
. (20, стр. 5).
Таким образом, исследовав биноминальную модель можно сказать о том, что эта модель имеет важное значение при анализе инвестиционного проекта. С помощью нее можно рассчитать стоимость опциона, зная цену актива и предположить как будет расти цена инструмента в зависимости от цены его актива.
Если исследовать случай с несколькими периодами, портфель (акции, облигации и опционы) нужно было бы скорректировать так: в нем должно быть столько ценных бумаг каждого вида, чтобы портфель всегда был хеджированным. Если периоды времени сокращаются и операции совершаются непрерывно, то мы приходим к модели оценки опционов Блэка - Шоулза. Модель Блэка - Шоулза не противоречит биномиальной модели, описанной в этом разделе, если предположить, что операции совершаются непрерывно и в очень короткие периоды. Оценка стоимости опционов с помощью биномиального метода при достаточно большом количестве дат принятия решений на протяжении года будет близка к значению, полученному с использованием модели Блэка—Шоулза.
2.3. Модель Блэка - Шоулза
В 1973 г. Ф. Блэк и М. Шоулз опубликовали в «Journal of Political Economy» статью "Оценка опционов и корпоративные обязательства" (The Pricing of Options and Corporate Liabilities). Модель, предложенная в этой статье, коренным образом изменила сам подход к анализу опционов и других ценных бумаг. Для определения стоимости опциона авторы предложили формулу, все исходные элементы которой, кроме одного, известны, причем даже этот единственный элемент можно оценить в разумном приближении (5, стр. 156).
Блэк и Шоулз сделали ряд исходных предположений, над проверкой значимости которых работают многие исследователи. Среди этих постулатов такие:
1. Можно оценить колеблемость (среднеквадратическое отклонение) доходности акции;
2. Существует постоянная во времени ставка процента по безрисковым вложениям;
3. Расходов на заключение сделки нет; при заключении сделок без покрытия на срок (сделок с короткой позицией) продавец получает деньги сразу;
4. Налоги не имеют значения;
5. Дивидендов нет;
6. Цена акции — случайная величина; цена на период t имеет логарифмически нормальное распределение;
7. Торговля осуществляется непрерывно.
Очевидно, что эти предположения являются идеализацией реальной рыночной ситуации. Поэтому не всегда стоит ориентироваться на показатели, рассчитанные с помощью данной модели.
В основе формулы лежит предположение, что существует такая экономическая среда, в которой арбитражеры могут с точностью воспроизвести будущие доходы по опциону покупателя с помощью хеджированного портфеля, состоящего из акций и облигаций.
Модель Блэка - Шоулза основана на предположении о том, что будущая доходность акций имеет логарифмически нормальное распределение с постоянным среднеквадратическим отклонением — и это все, что говорится о доходности обыкновенных акций. Ожидаемая доходность их в этой модели влияет на цену опциона только опосредованно, через цену акций.
Расчет стоимости опциона осуществляется по формуле Блэка—Шоулза, разработанной для оценки финансовых опционов типа «колл»:

Где:


– интеграл ошибок (вероятности);
S
— текущая рыночная стоимость акций.
S0
– цена исполнения;
- годовая безрисковая сила роста;
Т
– время истечения опциона в годах;
- стандартное годовое отклонение цены акции
Для расчета цены европейского опциона «пут» используется формула:

Из анализа этой формулы следует, что цена опциона тем выше, чем:
- текущая рыночная цена акции (S)
;
- больше времени до истечения срока опциона (Т)
;
- больше риск .
Следовательно, для повышения инвестиционной привлекательности проекта компаниям целесообразнее сосредоточиться на увеличении доходов, а не на снижении расходов.
Основные трудности, которые могут возникнуть при применении этой модели, связаны с получением достоверных исходных данных, необходимых для расчета (время до реализации заложенных в проекте возможностей, значение дисперсии и т. д.).
Следовательно, формула Блэка - Шоулза подходит для оценки простых опционов, имеющих единственный источник неопределенности и единственную дату решения.
Таким образом, можно сделать вывод о том, что модель Блэка - Шоулза и биномиальная модель математически эквивалентны. Но поскольку при традиционном экономическом анализе используется такая модель, как «дерево принятия решений», то биномиальная модель представляется нагляднее и проще для применения. Основной ее недостаток - громоздкость расчетов и вычислений, но вместе с тем она позволяет учесть все дополнительные факторы и сценарии развития проекта.
II
Практическая часть
Задача 5
Коммерческий банк предлагает сберегательные сертификаты номиналом 500 000 со сроком погашения через 5 лет и ставкой доходности 50% годовых. Банк обязуется выплатить через 5 лет сумму в 2,5 млн. руб.
Проведите анализ эффективности данной операции для вкладчика.
Решение
:
Дано:
n = 5
N = 500 000
r = 0,5
FV = 2 500 000
Найдем приведенную стоимость через 5 лет
PV = FV/ (1+r)5
PV= 2 500 000/ (1+0,5)5
= 2 500 000/ 7,59 = 329 380,76
Ответ
: Номинальная стоимость сертификата 500 000 рублей, но справедливая стоимость сертификата при ставке доходности 50% годовых составляет 329 380,76 рублей, таким образом, для вкладчика такая операция с сертификатом не эффективна.
Задача 9
Стоимость акции «Ш» на конец текущего года составила 22,00. Ожидается, что в течение следующих 5 лет будут осуществлены следующие дивидендные выплаты.
| год
|
1
|
2
|
3
|
4
|
5
|
| Сумма D
|
1.00
|
1.20
|
1.10
|
1.30
|
1.25
|
Определите
цену, по которой акция может быть продана в конце 5-го года, если норма доходности равна: 1)10%; 2)15%
.
Решение
:
Подставим данные значения в формулу приведенной стоимости, стоимость акций равна 22:
5 ∞
PV = ∑ D/ (1+r)t
= ∑ Dt/ (1+r)t
+ ∑ D/ (1+r)t
= 22
t
=1
t
=6
Примем данное слагаемое за Х.
∞
∑
D/(1+r)t
= X.
t
=6
Вариант 1): Если норма доходности: r = 0,1
Х = PV - ∑ Dt/(1+r)t
= 22 – (1/ (1+0,1)1
+ 1,20/ (1+0,1)2
+ 1,10/ (1+0,1)3
+ +1,30/(1+0,1)4
+ 1,25/ (1+0,1)5
) = 22 - (0,91+0,99+0,83+0,89+0,77) = 22 - 4,39 = 17,61
Вариант 2): r = 0,15
Х = PV - ∑ Dt/ (1+r)t
= 22 – (1/ (1+0,15)1
+ 1,20/ (1+0,15)2
+ 1,10/ (1+0,15)3
+ 1,30/(1+0,15)4
+1,25/(1+0,15)5
) = 22 - (0,87+0,91+0,72+0,74+0,62) = 22 - 3,86 = 18,14
Ответ
: Цена, по которой акция может быть продана в конце 5-го года при норме доходности 10%, составит 17,61, а при норме доходности 15% - 18,14.
Задача 13
Имеются следующие данные о риске и доходности акций А, В и С.
| Акция
|
Доходность
|
Риск (gi
)
|
Ковариация
|
| А
|
0,05
|
0,1
|
σ12
= - 0,1
|
| В
|
0,07
|
0,4
|
σ1
3
= 0,0
|
| С
|
0,3
|
0,7
|
σ23
= 0,3
|
Сформируйте оптимальный портфель при условии, что максимально допустимый риск для инвестора не должен превышать 14%.
Расчет данной задачи произведен с помощью программы MS EXСEL. Для этого использована функция «Поиск решения» (рис. 1).
Введены ограничения:
1. Ограничение суммы весов = 1;
2. Ограничение на каждый вес (w) ≥ 0, ≤ 1;
3. Ограничение на дисперсию портфеля = 0,14

Рис. 1
Ответ
: Доходность портфеля = 0,182574
Состав портфеля: А – 0,469706
В – 0,0
С – 0,530294
Задача 20
Вы являетесь менеджером пенсионного фонда, которую должен будет выплатить своим клиентам 1 000 000 через 10 лет. В настоящие время на рынке имеются только два вида финансовых инструментов: бескупонная облигация со сроком погашения через 5 лет и 100-летняя облигация со ставкой купона 5% годовых. Рыночная ставка равна 5 %.
В каких пропорциях вы распределите имеющиеся средства между данными инструментами, чтобы хеджировать обязательство фонда?
Подсказка: (дюрация портфеля равна средней взвешенной из дюрации входящих в него активов).
Решение
:
Пусть х и y – соответственно количество составляющих бескупонных акций и 100-летних облигаций с купоном (100-летнюю облигацию рассматриваем как бессрочную).
Пусть их номинальная стоимость равна 100.
Рассчитаем текущую стоимость каждой из облигаций:
V1
= N/(1+r)n
= 100/(1+0,05)5
= 78,35
100-летняя облигация с купоном:
V2
= N*k/r = 100*0,05/0,05 = 100
N = 100 – номинал облигации
r = 5% /100 = 0,05 – рыночная ставка
n = 5 – срок действия облигации
Текущая стоимость портфеля равна:
Vp
=x*V1
+ y*V2
= 78,35x+100y
Текущая стоимость долга равна:
Vd
= долг/ (1+r)n
= 1000000/(1+0,05)5
= 613913
Рассчитаем дюрацию каждой облигации:
5-летняя бескупонная облигация:
D1
= n = 5
100-летняя облигация с купоном:
D 2
= 1/r = 1/0,05 = 20
Дюракция портфеля равна:
Dp
= x*D1
+ y*D2
/ x + y = 5x+20y / x+y
Дюрация долга равна:
Dd
= 10
Так как существуют правила:
1. Текущая стоимость актива текущей стоимости долга: Vp
= Vd
2. Дюрация актива равна дюрации долга: Dp
= Dd
Исходя из этого правила, нужно решить следующую систему уравнений:
78,35x + 100y = 613913,
5x+20y / x +y = 10
Решив эту систему, получаем (с учетом округления до целых):
x = 4783 или 78,35*4783\613913 * 100% = 61%;
y = 2392 или 100*2392\613913 *100% = 39%.
Ответ
: необходимо приобрести по текущей стоимости 4783 пятилетних бескупонных акций и 2392 столетних облигаций с купоном, что составляет 61% и 39% соответственно денежных средств. В этом случае удастся прохеджировать обязательства фонда.
Задача 24
Брокер Н заметил, что спрос вырос, и повысил цену на свой портфель с 60 до 75.
А). Приостановит ли свои действия инвестор после повышения цены?
Б). Что он должен предпринять, чтобы по-прежнему извлекать арбитражную прибыль?
В). До какого уровня брокер Н должен был бы повысить свою цену, чтобы на рынке исчезла возможность арбитража?
Решение
:
Если брокер повысит цену на свой портфель с 60 до 75, то таблица в задаче 23 примет вид:
| Инструмент
Брокер
|
Д
|
А
|
Цена за портфель
|
| К
|
3
|
1
|
80
|
| Н
|
2
|
2
|
75
|
| М
|
5
|
7
|
185
|
Суммарная стоимость портфелей брокеров К и М равна:
1). 80+185 = 265.
Объединение этих портфелей составляет:
2). 3+5=8 акций Д и 3). 1+7=8 акций А, т.е. это - 4 портфеля Н, которые стоят в свою очередь:
4). 4*75=300.
Для арбитража инвестор должен купить портфель акций у брокера К и М, объединить эти портфели и продать их брокеру Н.
Максимальная прибыль подобной разовой сделки равна:
5). 300-265 = 35.
Для того чтобы на рынке исчезла возможность арбитража, брокер Н должен повысить цену на свой портфель с 60 до 66,25 т.е.:
6). 265/4
= 66,25.
Заключение
В данной работе в качестве инструмента инвестирования выступил опцион. Опционы наиболее распространены и наиболее разнообразны, и, возможно, наиболее подходят для разного рода инвестирования денежных средств. Существует большое количество их видов и классификаций. В настоящее время появляется все больше и больше новых разнообразных опционных инструментов, в том числе специфических.
В течение многих лет, как теоретиками, так и практиками от современной экономики разрабатывались разнообразные методы их применения, называемые опционными стратегиями. Из опционных стратегий выделяют спрэдовые, комбинационные и синтетические стратегии, которые различаются по составу и видам используемых опционов.
На сегодняшний день опционы получили в России должное распространение по причине складывающейся определенной рыночной среды, совершенствования отечественного законодательства и благодаря эффективности сделок с опционами и хеджировании рисков.
Актуальной стала на данный момент проблема выбора и применения на практике методов оценки опциона. Метод реальных опционов и метод денежных потоков имеют свою специфику, свои преимущества и недостатки. Но метод реальных опционов становится более популярным в бизнесе и его наиболее часто оценивают специалисты, как наиболее перспективный метод.
При осуществлении эффективного инвестиционного проекта огромную роль играют модели оценки опциона:
- биноминальная модель;
- модель Блэка - Шоулза.
С помощью этих моделей можно легко рассчитать стоимость опциона, различны будут только условия и параметры, при которых будет вестись расчет, а также конкретные цели, которых желает добиться управленец.
В данной работе была выяснена специфика каждого из этих методов оценки, приведены формулы для выяснения стоимости финансового инструмента. Был сделан вывод о том, что эти модели дополняют друг друга, а не противоречат.
Но все же, по моему мнению для эффективной оценки опциона необходимо подготовить почву: ведь без глубоких познаний сущности финансового инструмента невозможно его полноценное применение на практике.
Список использованной литературы
1. Деньги. Кредит. Банки. Ценные бумаги. Практикум: учебн. пособие для студентов вузов/под. ред. Е.Ф. Жукова. – 2-е изд., перераб. и доп. – М.: ЮНИТИ-ДАНА, 2008
2. Бочаров В.В. Инвестиции: учебник для вузов, 2-е изд. – СПб.: Питер, 2008
3. Кузнецов Б.Т. Инвестиции: учебн. пособие для студентов вузов – М.: ЮНИТИ-ДАНА, 2006
4. Янковский К.П. Инвестиции. – СПб.: Питер, 2008
5. Ивасенко А.Г. Рынок ценных бумаг: инструменты и механизмы функционирования: учебн. пособие – 2-е изд., перераб и доп./- М.: КНОРУС, 2005
6. Инвестиции в вопросах и ответах: учебн. Пособие. – М.: ТК Велби, Изд-во Проспект, 2004
7. Инвестиции: Учебник/Под ред. В.В. Ковалева, В.В. Иванова, В.А. Лялина – М.: ООО «ТК Велби», 2003
8. Фельдман А.Б. Производные финансовые и товарные инструменты: Учебник. – Финансы и статистика, 2003
9. Колтынюк А.Б. Рынок ценных бумаг: Учебник, 2-е издание – СПб.: Изд-во Михайлова В.А., 2001
10. Шапкин А.С. Экономические и финансовые риски. Оценка, управление, портфель инвестиций. – 5-е изд. – М.: ИТК «Дашков и к», 2006
11. «Организованный рынок металлов»/ РЦБ № 8 (359) 2008
12. Иванов М. «Инструменты срочного рынка для УК.»/РЦБ № 7 (358) 2008
13. Шапиро Л. «Возможности рынка структурных продуктов»/РЦБ № 7 (358) 2008
14. Р. Брейли, С. Майерс. Принципы корпоративных финансов, М.: ЗАО "Олимп-Бизнес", 1997 г.
15. А. Дамодаран. Инвестиционная оценка. Инструменты и методы оценки любых активов. М.: - Альпина Бизнес Букс, 2008 г.
16. М.А. Федотова, Р.И. Микерин. Особенности оценки деятельности применительно к условиям новой экономики: Христоматия – М.: Интерреклама, 2003
17. Израйлевич С. Опционы: Системный подход к инвестициям. Критерии оценки и методы анализа торговых возможностей – М.: Альпина Бизнес Букс, 2008 г.
18. www.parusinvestora.ru Опционы и фьючерсы. А.Н. Балабушкин. 2004 г.
19. www.fd.ru
20. www.rts.ru
21. www.forts.ru
22. www.i-u.ru (Колтынюк Б.А. Инвестиции, 2003)
Приложение 1

|