| Реферат
В данной работе проведен обзор методов социально-экономического прогнозирования, наиболее часто применяемых в экономической практике. Выбраны четыре модели для прогнозирования потребления мяса на душу населения за год по РФ: метод наименьших квадратов (МНК), экспоненциальное сглаживание, модели Хольта, Бокса и Дженкинса. Выбранные модели дают довольно различные результаты, и лучшие результаты были получены при использовании полиномиальной модели метода наименьших квадратов и модели Хольта. Результаты вычислений представлены в таблицах. Рассчитана абсолютная ошибка прогноза и средняя относительная ошибка прогноза, коэффициент детерминации. Именно эти показатели рассматривались в качестве критерия для выбора модели, дающей наилучшее прогнозное значение интересующей нас переменной, т.е. потребления мяса на душу населения.
Расчеты проводились с помощью программы Excel, которая позволила визуально представить результаты работы. В данной курсовой работе приведено подробное описание этого программного продукта.
Содержание
Стр.
| Введение
|
5
|
| 1 Описание предметной области и постановка задачи исследования
|
6
|
| 2 Описание используемого математического аппарата при проведении расчетов
|
10
|
| 3 Описание выбранных программных продуктов
|
15
|
| 4 Практическая часть
|
21
|
| 4.1 Метод наименьших квадратов
|
21
|
| 4.1.1 Линейная модель МНК
|
21
|
| 4.1.2 Полиномиальная модель МНК
|
23
|
| 4.1.3 Экспоненциальная модель МНК
|
24
|
| 4.2 Экспоненциальное сглаживание
|
26
|
| 4.2 Двухпараметрическая модель Хольта
|
30
|
| 4.3 Трехпараметрическая модель Бокса и Дженкинса
|
34
|
| 5 Выбор лучшей модели
|
36
|
| Заключение
|
38
|
| Список использованных источников
|
39
|
| |
| |
| |
| |
Введение
Практически каждое предприятие, большое или маленькое, частное или государственное, явно или неявно пользуется прогнозами, потому что каждое предприятие должно планировать будущее, о котором оно пока ничего не знает. Прогнозы необходимы в финансировании, маркетинге, подборе кадров и различных производственных областях, в правительственных и коммерческих организациях, в маленьких социальных клубах и национальных политических партиях.
Прогнозирование – это способ научного предвидения, в котором используется как накопленный в прошлом опыт, так и текущие допущения насчет будущего с целью его определения. Результатом является прогноз, то есть научно обоснованное суждение о возможных состояниях объекта в будущем, об альтернативных путях и сроках его существования.
Забиваем Сайты В ТОП КУВАЛДОЙ - Уникальные возможности от SeoHammer
Каждая ссылка анализируется по трем пакетам оценки: SEO, Трафик и SMM.
SeoHammer делает продвижение сайта прозрачным и простым занятием.
Ссылки, вечные ссылки, статьи, упоминания, пресс-релизы - используйте по максимуму потенциал SeoHammer для продвижения вашего сайта.
Что умеет делать SeoHammer
— Продвижение в один клик, интеллектуальный подбор запросов, покупка самых лучших ссылок с высокой степенью качества у лучших бирж ссылок.
— Регулярная проверка качества ссылок по более чем 100 показателям и ежедневный пересчет показателей качества проекта.
— Все известные форматы ссылок: арендные ссылки, вечные ссылки, публикации (упоминания, мнения, отзывы, статьи, пресс-релизы).
— SeoHammer покажет, где рост или падение, а также запросы, на которые нужно обратить внимание.
SeoHammer еще предоставляет технологию Буст, она ускоряет продвижение в десятки раз,
а первые результаты появляются уже в течение первых 7 дней.
Зарегистрироваться и Начать продвижение
Прогнозирование определяет реальность и благоприятность для хозяйственной структуры поставленных перед ней целей.
Целью данной курсовой работы является рассмотрение наиболее эффективных методов социально-экономических прогнозов и осуществление прогнозирования общего числа страховых организаций, так как российский рынок мяса и мясных продуктов является самым крупным сектором продовольственного рынка: за ним следует зерновой, затем молочный. Его роль определяется не только растущими объемами производства, спроса и потребления мясных продуктов, но и их значимостью как основного источника белка животного происхождения в рационе человека.
В настоящее время по уровню потребления мясопродукции на душу населения Россия еще значительно отстает от развитых стран, однако этот показатель постепенно увеличивается, что говорит о росте благосостояния населения страны, вместе с которым будет неуклонно расти емкость мясного рынка.
1 Описание предметной области и постановка задачи исследования
До 1991 года СССР предпочитал закупать за рубежом не дорогое мясо, а зерно для производства кормов. Тем самым он экономил деньги и давал работу отечественному животноводству. Правда, мясо «дотировалось» два раза: сначала государство, закупив зерно в США, по льготным ценам отдавало его производителям кормов. Затем государство, покупая мясо у животноводов по 4 рубля за килограмм, затем реализовывало его в рознично торговле по 1,9 рубля. Правда, за счет высокого платежеспособного спроса мясо стало дефицитом: его быстро сметали с прилавков или торговали им «из-под полы». Государство в СССР так и не решилось отменить дотации на мясо и наполнить им магазины, повысив цены на него до 5-6 рублей.
С 1991 года это система рухнула: мясоперерабатывающие заводы принялись закупать мясо прямо за границей. В постсоветский период импорт мяса увеличивался год от года. Началось массовое производство фальсифицированной низкокачественной мясопродукции. Этот факт обычно сопровождается идеологически окрашенными комментариями, сводящимися к констатации отрицательной динамики отрасли в 1990-е годы. Действительно, производство и потребление мяса в России неуклонно сокращалось на протяжении 1990-х годов и стало расти в 2000-е.
Сервис онлайн-записи на собственном Telegram-боте
Попробуйте сервис онлайн-записи VisitTime на основе вашего собственного Telegram-бота:
— Разгрузит мастера, специалиста или компанию;
— Позволит гибко управлять расписанием и загрузкой;
— Разошлет оповещения о новых услугах или акциях;
— Позволит принять оплату на карту/кошелек/счет;
— Позволит записываться на групповые и персональные посещения;
— Поможет получить от клиента отзывы о визите к вам;
— Включает в себя сервис чаевых.
Для новых пользователей первый месяц бесплатно.
Зарегистрироваться в сервисе
Одной из основных тенденций развития мирового рынка мяса на сегодняшний день является недостаточный для обеспечения нужд потребителей уровень производства. Производители мяса сталкиваются с проблемой ограниченности кормовой базы для животноводства, которая является актуальной и для России. Недостаточное производство мясного сырья в свою очередь создает проблемы для развития пищевой промышленности. В настоящее время Россия не в состоянии полностью обеспечить себя мясом отечественного производства. Соответственно переход мясоперерабатывающей индустрии на отечественное сырье в ближайшее время невозможен. В связи с этим можно сделать вывод, что в ближайшем будущем импортные поставки будут играть определяющую роль в обеспечении отечественных предприятий сырьем. Несмотря на это высокий потенциал российского мясной отрасли и программы правительства, направленные на развитие и поддержку отечественного производителя, позволяют надеяться на позитивные изменения в данном секторе экономики.
В ближайшей перспективе у отечественных животноводов появляется шанс укрепить свои позиции, как на российском, так и международном рынках. Быстрее всех будет развиваться птицеводство, которое характеризуется самой высокой оборачиваемостью капитала и коротким сроком окупаемости. Период окупаемости свиноводческих хозяйств составляет пять лет, производство говядины окупается лишь за десять. Исходя из тенденций последних лет, рынок свинины можно охарактеризовать как насыщенный и близкий к стабильности, в то время как на рынке говядины наблюдается явный дефицит предложения. Рост производства свинины обусловлен появлением ряда крупных инвестиционных проектов. В то же время инвестиционные проекты по выращиванию КРС просто отсутствуют. На рынке говядины наблюдается увеличение доли импорта, рост цен, обусловленный недостаточным предложением на внутреннем рынке, снижение потребительского спроса на мясо в связи с низким уровнем реальных денежных доходов населения.
Потребление мяса в России стабильно увеличивается. Поскольку отечественные производители мяса не могут в полной мере удовлетворить спрос, актуальным остается импорт мяса.
Отечественные производители мяса наращивают объемы производства свинины и мяса птицы. Производство КРС находится в упадке. Следовательно, наиболее выгодным является импорт говядины (более низкие пошлины, по сравнению с пошлинами на свинину и мясо птицы, отсутствие конкуренции со стороны отечественных производителей).
Основным экспортером говядины является Бразилия. В 2006 году экспорт говядины из Бразилии был закрыт по причине карантина.
В связи с этим, импортеры существенно увеличили объем вывоза говядины из Аргентины. После чего, президент Аргентины ввел запрет на экспорт из страны говядины сроком на полгода. Причина - слишком большой вывоз этой продукции из страны, повлекший рост цен на мясо на местном рынке Аргентины.
Экспорт говядины из Уругвая, Парагвая и стран ЕС в полной мере не мог покрыть образовавшийся спрос (недостаточные объемы производства говядины) и цены на мясо из этих стран значительно выше цен на мясо из Бразилии и Аргентины.
Таким образом, вследствие принятой Аргентиной защитной меры образовался дефицит говядины в России и рост цен на нее. В этой ситуации в выигрыше оказались компании-трейдеры, имеющие запасы на складах.
После того, как запрет на экспорт из Бразилии был снят, и угроза образования дефицита говядины пропала, в России последовало снижение цен на говядину.
В целом, рынок мясной продукции обладает высокой емкостью и характеризуется стабильным спросом, высокой инвестиционной привлекательностью и жестким уровнем конкуренции местных и зарубежных игроков.
Если проанализировать потребление мяса и мясопродуктов в регионах России, то можно отметить отчетливую биполярность. Максимумы потребления этих продуктов приходятся на столичные центры (Москва и С-Петербург) и на северные регионы страны, где значительную часть составляет промыслово-скотоводческое население.

Помимо политически традиционной поддержки столичных центров на высоком уровне потребления мяса, здесь сказывается еще один серьезный фактор - высокая концентрация наиболее трудоспособного и экономически активного населения. Физиологическая потребность в мясных продуктах у взрослых мужчин выше средней на 10%, а у молодых и того выше - на 38%. Кроме этого в условиях лучшей адаптации к кризису и более высоких заработков население столичных центров располагало и более высокой покупательной способностью.
2 Описание используемого математического аппарата
при проведении расчетов
2.1 Метод наименьших квадратов (МНК)
Метод наименьших квадратов позволяет относительно просто определить аналитическую зависимость одного показателя от другого: y
=
φ
(
x
)
. Имея такую функциональную зависимость, легко определить значение Y при любом значении x
, т.е. получить прогнозное значение Y
при заданном значении х
.
Вывод формул МНК.
Пусть имеем статистические данные о параметре y в зависимости от х
. Эти данные представим в таблице ниже:
| х
|
х1
|
х2
|
…..
|
х
i
|
…..
|
х
n
|
| y*
|
y1
*
|
y2
*
|
......
|
yi
*
|
…..
|
yn
*
|
Метод наименьших квадратов позволяет при заданном типе зависимости y
=
φ
(
x
)
так выбрать ее числовые параметры, чтобы кривая y
=
φ
(
x
)
наилучшим образом отображала экспериментальные данные по заданному критерию. Рассмотрим обоснование с точки зрения теории вероятностей для математического определения параметров, входящих в φ
(
x
).
Предположим, что истинная зависимость y
от х
в точности выражается формулой y
=
φ
(
x
)
. Рассмотрим какое-нибудь значение аргумента х
i
. Результат опыта есть случайная величина yi
,распределенная по нормальному закону с математическим ожиданием φ
(
xi
)
и со средним квадратическим отклонением σ
i
, характеризующим ошибку измерения. Пусть точность измерения во всех точках х=(х1
, х2
, …, х
n
)
одинакова, т.е. σ1
=σ2
=…=σ
n
=σ
. Тогда нормальный закон распределения Yi
имеет вид:
(1)
В результате ряда измерений произошло следующее событие: случайные величины (
y
1
*
,
y
2
*
, …,
yn
*
).
Поставим следующую задачу.
Задача МНК.
Подобрать математические ожидания φ
(
x
1
),
φ
(
x
2
),
…, φ
(
xn
)
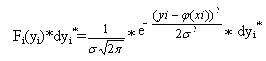
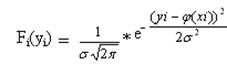
так, чтобы вероятность этого события была максимальной. Так как величины Yi
непрерывны, то говорят не о вероятностях событий Yi
=
yi
*
, а о вероятностях того, что Yi
примут значения из интервала (
yi
*
,
yi
*
+
dyi
*
)
, т.е.

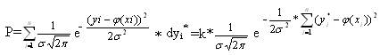
Вероятность P того, что система случайных величин (y1
, y2
, …, yn
) примет совокупность значений, лежащих в пределах (yi
*
,yi
*
+dyi
*
), i=1, 2, …, n, с учетом того, что измерения проводятся независимо друг от друга, равна произведению вероятностей Fi
(yi
)*dyi
*
для всех значений i:
(2)
Где k – коэффициент, не зависящий от φ(xi
).
Требуется выбрать математические ожидания
φ(x1
), φ(x2
), …, φ(xn
) так, чтобы выражение (2) достигало максимума. Это возможно, когда выполнено условие
. (3)
Отсюда получаем требование метода наименьших квадратов: для того чтобы данная совокупность наблюдаемых значений (y1
*
, y2
*
, …, yn
*
) была наивероятнейшей, нужно выбрать функцию φ(x) так, чтобы сумма квадратов отклонений наблюдаемых значений yi
*
от φ(xi
) была наименьшей.
При решении практических задач зависимость y=φ(x) задается в виде y=φ(x,a1
, a2
, …, am
), где a1
, a2
, …, am
– числовые параметры, которые необходимо определить. Учитывая соотношение (3), получим
(4)
Продифференцируем выражение (4) по a1
, a2
, …, am
и прировняем полученные производные нулю. Получим следующую систему уравнений:
,
,
… … … … … … … … … … ; (5)
 ,
где - значения частной производной функции φ по аk
в точке хi
.
Отметим, что в общем случае систему (5) решить нельзя, так как неизвестен вид функции φ(x,a1
, a2
, …, am
). При решении практических задач зависимость y от x ищут в виде линейной комбинации известных функций с коэффициентами a1
, a2
, …, am
, а именно: . Подставив значение φk
(х) в (5), решаем эту систему и находим a1
, a2
, …, am
.
Рассмотрим один из частных случаев МНК: пусть зависимость y от х выражается линейной функцией y=a1
+a2
x. Тогда значения коэффициентов a1
и a2
находятся по следующим формулам:
; (6)
2.2 Экспоненциальное сглаживание
Экспоненциальное сглаживание – один из простейших и распространенных приемов выравнивания ряда. В его основе лежит расчет экспоненциальных средних.
При исследовании временного ряда xt
экспоненциальное сглаживание проводится по формуле:
(8)
где хt
– текущий член временного ряда в момент времени t;
St
– значение экспоненциальной средней в момент времени t;
α – параметр адаптации (параметр сглаживания),
0< α<1, β=1-α.
В качестве начальных условий для применения экспоненциального сглаживания рекомендуется выбирать следующие значения:
- среднее арифметическое всех имеющихся значений (или части значений) временного ряда;
- среднее геометрическое всех имеющихся значений временного ряда;
- значения, выбранные из статистики, полученной при наблюдении за аналогами изучаемого явления.
Величина St
оказывается взвешенной суммой всех членов ряда. Причем веса падают экспоненциально в зависимости от давности наблюдения.
Экспоненциальная средняя St
имеет то же математическое ожидание, что и ряд х, но меньшую дисперсию. Чем меньше α, тем в большей степени сокращается дисперсия экспоненциальной средней.
2.3 Двухпараметрическая модель Хольта
При исследовании численности населения используется двухпараметрическая модель Хольта.
Простейшая модификация двухпараметрической модели Хольта выглядит следующим образом:

где: - временной ряд;
- прогнозное значение врем. ряда в точке t на шагов вперед;
- шаг прогноза;
- коэффициенты;
- параметры адаптации, и ;
- ошибка прогноза.
2.4 Трехпараметрическая модель Бокса и Дженкинса
Модель Бокса и Дженкинса является одним из вариантов “усовершенствованной” модели Хольта за счет включения в расчетные формулы разности ошибок прогнозов:
(1)
(2)
(3)
(4)
где
– ошибка прогноза.
Обобщенная модель Бокса и Дженкинса может применяться для прогнозирования нестационарных временных рядов, так как содержит не только операцию сглаживания скользящим средним, но и элементы авторегрессии.
Модель основывается на гипотезе, что изучаемый процесс является выходом линейного фильтра, на вход которого подан процесс белого шума, т.е. что член ряда является взвешенной суммой текущего и предыдущих значений входного потока.
Если последовательность предыдущих значений конечна или бесконечна, но сходится, то фильтр называется устойчивым, а процесс - стационарным.
3 Описание выбранных программных продуктов
Для расчетов будут использоваться СПП STATISTICA и MS Excel.
M
S
Excel
- средство для работы с электронными таблицами, намного превышающее по своим возможностям существующие редакторы таблиц. MS Excel - это простое и удобное средство, позволяющее проанализировать данные и, при необходимости, проинформировать о результате заинтересованную аудиторию, используя Internet.
Достоинства Microsoft Excel:
· Эффективность анализа данных;
· Быстрый и эффективный анализ, удобные средства для работы с данными (мастер сводных таблиц позволяет быстро обрабатывать большие массивы данных и получать итоговые результаты в удобном виде);
· Механизм автокоррекции формул автоматически распознает и исправляет ошибки при введении формул;
· Использование естественного языка при написании формул.
· Богатство средств форматирования и отображения данных
· Новые средства форматирования делают оформление таблиц более ярким и понятным (возможности слияния ячеек в электронной таблице, поворот текста в ячейке на любой угол);
· Новый и дополненный Мастер создания диаграмм позволяет сделать представление данных в таблицах более наглядным (более удобный и мощный мастер создания диаграмм, новые типы диаграмм - диаграммы в виде круглых столбиков, тетраэдров, в виде «бубликов» и др.);
· Совместное использование данных и работа над документами;
· Microsoft Excel обеспечивает возможность одновременной работы нескольких пользователей над одним документом;
· Обмен данными и работа в Internet;
· Теперь возможно использовать самые свежие данные путем получения их в виде электронных таблиц прямо с Web-серверов в Internet;
· Возможность использовать встроенный Internet Assistant для преобразования таблицы в формат HTML и публикации на Web-сервере.
Пакет STATISTICA был создан в начале 1990-х годов сразу для среды Windows. В пакете нашли отражение многие последние достижения теоретической и прикладной статистики.
У пакета есть специальная версия для обучения основам статистических методов – Studеnt Еditiоn оf STATISTICA. Эта версия позволяет анализировать файлы данных, включающих не более 400 наблюдений, и представляет собой урезанный вариант пакета.
Основная версия пакета может дополнительно комплектоваться специализированными модулями: Роwеr Analysis (планирование статистических исследовании), Nеural Nеtwоrks (нейросетевой анализ) и др.
С помощью реализованных в системе STATISTICA мощных языков программирования, снабженных специальными средствами поддержки, легко создаются законченные пользовательские решения и встраиваются в различные другие приложения или вычислительные среды. Очень трудно представить себе, что кому-то могут понадобиться абсолютно все статистические процедуры и методы визуализации, имеющиеся в системе STATISTICA, однако опыт многих людей, успешно работающих с пакетом, свидетельствует о том, что возможность доступа к новым, нетрадиционным методам анализа данных помогает находить новые способы проверки рабочих гипотез и исследования данных.
STATISTICA является наиболее динамично развивающимся статистическим пакетом и по многочисленным рейтингам является мировым лидером на рынке статистического программного обеспечения. СПП STATISTICA является универсальной системой, предназначенной для статистического анализа и визуализации данных, управления базами данных и разработки пользовательских приложений, содержащей широкий набор процедур анализа для применения в научных исследованиях, технике, бизнесе.
Она состоит из следующих основных компонент, объединенных в рамках одной системы:
· электронных таблиц для ввода и задания исходных данных;
· специальных таблиц для вывода численных результатов анализа;
· графической системы для визуализации данных и результатов статистического анализа;
· набора специализированных статистических модулей, в которых собраны группы логически связанных между собой статистических процедур;
· специального инструментария для подготовки отчетов.
Статистический анализ данных в системе STATISTICA может быть разбит на следующие основные этапы:
· ввод данных в электронную таблицу с исходными данными и их предварительное преобразование перед анализом;
· визуализация данных при помощи того или иного типа графиков;
· применение конкретной процедуры статистической обработки;
· вывод результатов анализа в виде графиков и электронных таблиц с численной и текстовой информацией.
Пакет содержит следующие модули:
Basic
Statistic
/
Tables
– Основные статистики и таблицы:
позволяет провести предварительную обработку данных, осуществить разведочный анализ, определить зависимости между переменными, разбить их различными способами на группы;
Nonparametrics
/
Distrib
. – Модуль Непараметрическая статистика/Распределеня:
дает возможность проверить гипотезы о характере распределения ваших данных;
ANOVA
/
MANOVA
– Модуль дисперсионного анализа:
представляет собой набор процедур общего одномерного и многомерного дисперсионного и ковариационного анализа;
Multiple
Regression
- Модуль Множественная регрессия:
помогает построить зависимости между многомерными переменными, подобрать простую линейную модель и оценить ее адекватность;
Nonlinear
Estimation
– Модуль Нелинейное оценивание:
предоставляет возможность определения нелинейной зависимости в данных и подгонки к ним функциональных кривых;
Time
Series
/
Forecasting
– Анализ временных рядов и прогнозирование:
общее назначение модуля – построить простую модель, описывающую ряд, сгладить его, спрогнозировать будущие значения временного ряда на основе наблюдаемых до данного момента, построить регрессионные зависимости одного ряда от другого, провести спектральный или Фурье – анализ ряда;
Claster
Analysis
– Модуль Кластерный анализ:
позволяет произвести сложную иерархическую классификацию данных или выделить в них кластеры;
Data
Management
/
MFM
- Управление данными:
специализированный модуль, который содержит большое количество вспомогательных процедур по работе с данными (иерархическая сортировка, проверка, категоризация и ранжирование и др.);
Factor
Analysis
– Модуль Факторный анализ:
дает возможность сжать данные или выделить основные общие факторы, влияющие на наблюдаемые характеристики сложного объекта и объясняющие связи между ними;
Canonical
Analysis
– Модуль Канонический анализ:
включает в себя широкий набор процедур для выполнения канонического корреляционного анализа, исследования связи между двумя множествами переменных;
Multidimensional
Scaling
– Модуль Многомерное шкалирование:
помогает представить данные о близости объектов какой-либо простой пространственной моделью, в которой объекты интерпретируются, например, как города на обычной карте, а различия между ними есть просто расстояния, в частности данные о странах, политических партиях и т.д., и всесторонне диагностировать модель;
SEPATH
– Модуль Моделирование структурными уравнениями:
позволяет строить и тестировать различные модели, объясняющие структуру связей между наблюдаемыми переменными;
Reliability
/
Item
Analysis
– Модуль Анализ надежности:
включает широкий набор процедур для разработки и вычислений надежности сложных объектов на основе результатов обследований и диагностики отдельных узлов;
Discriminant
Analysis
- Модуль Дискриминантный анализ:
позволяет построить на основе ряда предположений классификационное правило отнесения объекта к одному из нескольких классов, минимизируя некоторый разумный критерий;
Log
-
linear
Analysis
– Модуль Лог-линейный анализ:
проводит анализ сложных многоуровневых таблиц;
Survival
Analysis
– Модуль Анализ длительностей жизни
: предлагает обширный набор методов анализа данных из социологии, биологии, медицины, так же, как процедуры, используемые в инженерии и маркетинге;
Commmand
Language
(
SCL
) – Командный язык
STATISTICA
:
позволяет автоматизировать рутинные процессы обработки данных в системе;
STATISTICA
File
Server
– позволяет быстро открыть для просмотра/редактирования как графики и таблицы, так и отчеты.
Выбор системы STATISTICA в качестве инструмента для обработки данных может быть обусловлен возможностью проведения наиболее полного анализа, т.к. система содержит все необходимые нам статистические процедуры.
Основные преимущества системы STATISTICA:
· содержит полный набор классических методов анализа данных: от основных классических методов статистики, до самых современных, что позволяет гибко организовывать анализ;
· является средством построения приложений в конкретных областях;
· отвечает всем стандартам Windows, что позволяет сделать анализ высокоинтерактивным;
· система может быть интегрирована в Интернет;
· поддерживает web-форматы:HTML, JPEG, PNG;
· данные системы STATISTICA легко конвертировать в различные базы данных и электронные таблицы;
· поддерживает высококачественную графику, позволяющую эффективно визуализировать данные и проводить графический анализ;
· является открытой системой: содержит языки программирования, которые позволяют расширить систему, запускать ее из других Windows-приложений, например из Excel;
· используются разнообразные методы, позволяющие провести всесторонне исследование ретроспективных данных (в виде временных рядов);
· доступны различные возможности преобразования временных рядов;
· позволяют построить объективный прогноз данных, который включает в себя вычисление верхних и нижних границ, в которых, можно утверждать, что с определенной вероятностью лежат значения прогнозируемых показателей.
4 Практическая часть
У нас имеются данные по потреблению мяса и мясопродуктов в пересчете на мясо на душу населения за последние 20 лет по полугодиям, РФ (кг):
| I полуг. 1990
|
75,0
|
I полуг. 2000
|
45,0
|
| II полуг. 1990
|
72,0
|
II полуг. 2000
|
45,0
|
| I полуг. 1991
|
69,0
|
I полуг. 2001
|
46,0
|
| II полуг. 1991
|
64,5
|
II полуг. 2001
|
47,0
|
| I полуг. 1992
|
60,0
|
I полуг. 2002
|
48,5
|
| II полуг. 1992
|
59,5
|
II полуг. 2002
|
50,0
|
| I полуг. 1993
|
59,0
|
I полуг. 2003
|
51,0
|
| II полуг. 1993
|
58,0
|
II полуг. 2003
|
52,0
|
| I полуг. 1994
|
57,0
|
I полуг. 2004
|
53,0
|
| II полуг. 1994
|
56,0
|
II полуг. 2004
|
54,0
|
| I полуг. 1995
|
55,0
|
I полуг. 2005
|
54,5
|
| II полуг. 1995
|
53,0
|
II полуг. 2005
|
55,0
|
| I полуг. 1996
|
51,0
|
I полуг. 2006
|
57,0
|
| II полуг. 1996
|
50,5
|
II полуг. 2006
|
59,0
|
| I полуг. 1997
|
50,0
|
I полуг. 2007
|
60,5
|
| II полуг. 1997
|
50,0
|
II полуг. 2007
|
62,0
|
| I полуг. 1998
|
49,0
|
I полуг. 2008
|
64,0
|
| II полуг. 1998
|
48,0
|
II полуг. 2008
|
66,0
|
| I полуг. 1999
|
46,5
|
I полуг. 2009
|
66,5
|
| II полуг. 1999
|
45,0
|
II полуг. 2009
|
67,0
|
Необходимо спрогнозировать сколько мяса будет потреблять россиянин в I и II полугодиях 2010 года. Будем использовать МНК, экспоненциальное сглаживание, модели Хольта, Бокса и Дженкинса.
4.1 Метод наименьших квадратов
4.1.1 Линейная модель МНК
Параметры линейной зависимости
определяются в пакете MS Excel. При построении линии тренда была получена следующая зависимость: y= -0,0645*x+57,098 . Коэффициент детерминации для тренда линейного вида составляет 0,0093, что говорит об описании исходных данных линией тренда меньше, чем на 1 %.
Это объясняется тем, что в связи с нестабильной экономической ситуацией в стране, в 2000-е годы резко снизилось потребление мяса.

Расчет средней абсолютной и среднеквадратической ошибок модели:
| t
|
Y
|
t*t
|
t*Y
|
Y*
|
|Y-Y*|
|
|Y-Y*|^2
|
| 1
|
75,0
|
1
|
75
|
57,034
|
17,9665
|
322,8
|
| 2
|
72,0
|
4
|
144
|
56,969
|
15,031
|
225,93
|
| 3
|
69,0
|
9
|
207
|
56,905
|
12,0955
|
146,3
|
| 4
|
64,5
|
16
|
258
|
56,84
|
7,66
|
58,676
|
| 5
|
60,0
|
25
|
300
|
56,776
|
3,2245
|
10,397
|
| 6
|
59,5
|
36
|
357
|
56,711
|
2,789
|
7,7785
|
| 7
|
59,0
|
49
|
413
|
56,647
|
2,3535
|
5,539
|
| 8
|
58,0
|
64
|
464
|
56,582
|
1,418
|
2,0107
|
| 9
|
57,0
|
81
|
513
|
56,518
|
0,4825
|
0,2328
|
| 10
|
56,0
|
100
|
560
|
56,453
|
0,453
|
0,2052
|
| 11
|
55,0
|
121
|
605
|
56,389
|
1,3885
|
1,9279
|
| 12
|
53,0
|
144
|
636
|
56,324
|
3,324
|
11,049
|
| 13
|
51,0
|
169
|
663
|
56,26
|
5,2595
|
27,662
|
| 14
|
50,5
|
196
|
707
|
56,195
|
5,695
|
32,433
|
| 15
|
50,0
|
225
|
750
|
56,131
|
6,1305
|
37,583
|
| 16
|
50,0
|
256
|
800
|
56,066
|
6,066
|
36,796
|
| 17
|
49,0
|
289
|
833
|
56,002
|
7,0015
|
49,021
|
| 18
|
48,0
|
324
|
864
|
55,937
|
7,937
|
62,996
|
| 19
|
46,5
|
361
|
883,5
|
55,873
|
9,3725
|
87,844
|
| 20
|
45,0
|
400
|
900
|
55,808
|
10,808
|
116,81
|
| 21
|
45,0
|
441
|
945
|
55,744
|
10,7435
|
115,42
|
| 22
|
45,0
|
484
|
990
|
55,679
|
10,679
|
114,04
|
| 23
|
46,0
|
529
|
1058
|
55,615
|
9,6145
|
92,439
|
| 24
|
47,0
|
576
|
1128
|
55,55
|
8,55
|
73,102
|
| 25
|
48,5
|
625
|
1212,5
|
55,486
|
6,9855
|
48,797
|
| 26
|
50,0
|
676
|
1300
|
55,421
|
5,421
|
29,387
|
| 27
|
51,0
|
729
|
1377
|
55,357
|
4,3565
|
18,979
|
| 28
|
52,0
|
784
|
1456
|
55,292
|
3,292
|
10,837
|
| 29
|
53,0
|
841
|
1537
|
55,228
|
2,2275
|
4,9618
|
| 30
|
54,0
|
900
|
1620
|
55,163
|
1,163
|
1,3526
|
| 31
|
54,5
|
961
|
1689,5
|
55,099
|
0,5985
|
0,3582
|
| 32
|
55,0
|
1024
|
1760
|
55,034
|
0,034
|
0,0012
|
| 33
|
57,0
|
1089
|
1881
|
54,97
|
2,0305
|
4,1229
|
| 34
|
59,0
|
1156
|
2006
|
54,905
|
4,095
|
16,769
|
| 35
|
60,5
|
1225
|
2117,5
|
54,841
|
5,6595
|
32,03
|
| 36
|
62,0
|
1296
|
2232
|
54,776
|
7,224
|
52,186
|
| 37
|
64,0
|
1369
|
2368
|
54,712
|
9,2885
|
86,276
|
| 38
|
66,0
|
1444
|
2508
|
54,647
|
11,353
|
128,89
|
| 39
|
66,5
|
1521
|
2593,5
|
54,583
|
11,9175
|
142,03
|
| 40
|
67,0
|
1600
|
2680
|
54,518
|
12,482
|
155,8
|
| 41
|
Прогнозн. значения
|
I полуг. 2010
|
54,454
|
| 42
|
II полуг. 2010
|
54,389
|
| Средняя абсолютная ошибка
|
6,3543
|
| Среднеквадратическая ошибка
|
59,3
|
=6,3543; =59,3.
4.1.2 Полиномиальная модель МНК
Полином второго порядка
строится аналогично линейной функции с помощью метода наименьших квадратов и встроенным функциям ППП MS Excel. Уравнение тренда имеет вид: y=0,06365*х2
– 2,6703*х + 75,338. Коэффициент детерминации равен 0,9661.
Расчет средней абсолютной и среднеквадратической ошибок модели:
| t
|
Y
|
t*t
|
t*Y
|
Y*
|
|Y-Y*|
|
|Y-Y*|^2
|
| I полуг. 1990
|
1
|
75,0
|
1
|
75
|
72,7313
|
2,2687
|
5,1
|
| II полуг. 1990
|
2
|
72,0
|
4
|
144
|
70,2518
|
1,7482
|
3,1
|
| I полуг. 1991
|
3
|
69,0
|
9
|
207
|
67,8995
|
1,1005
|
1,2
|
| II полуг. 1991
|
4
|
64,5
|
16
|
258
|
65,6744
|
1,1744
|
1,4
|
| I полуг. 1992
|
5
|
60,0
|
25
|
300
|
63,5765
|
3,5765
|
12,8
|
| II полуг. 1992
|
6
|
59,5
|
36
|
357
|
61,6058
|
2,1058
|
4,4
|
| I полуг. 1993
|
7
|
59,0
|
49
|
413
|
59,7623
|
0,7623
|
0,6
|
| II полуг. 1993
|
8
|
58,0
|
64
|
464
|
58,046
|
0,046
|
0,0
|
| I полуг. 1994
|
9
|
57,0
|
81
|
513
|
56,4569
|
0,5431
|
0,3
|
| II полуг. 1994
|
10
|
56,0
|
100
|
560
|
54,995
|
1,005
|
1,0
|
| I полуг. 1995
|
11
|
55,0
|
121
|
605
|
53,6603
|
1,3397
|
1,8
|
| II полуг. 1995
|
12
|
53,0
|
144
|
636
|
52,4528
|
0,5472
|
0,3
|
| I полуг. 1996
|
13
|
51,0
|
169
|
663
|
51,3725
|
0,3725
|
0,1
|
| II полуг. 1996
|
14
|
50,5
|
196
|
707
|
50,4194
|
0,0806
|
0,0
|
| I полуг. 1997
|
15
|
50,0
|
225
|
750
|
49,5935
|
0,4065
|
0,2
|
| II полуг. 1997
|
16
|
50,0
|
256
|
800
|
48,8948
|
1,1052
|
1,2
|
| I полуг. 1998
|
17
|
49,0
|
289
|
833
|
48,3233
|
0,6767
|
0,5
|
| II полуг. 1998
|
18
|
48,0
|
324
|
864
|
47,879
|
0,121
|
0,0
|
| I полуг. 1999
|
19
|
46,5
|
361
|
883,5
|
47,5619
|
1,0619
|
1,1
|
| II полуг. 1999
|
20
|
45,0
|
400
|
900
|
47,372
|
2,372
|
5,6
|
| I полуг. 2000
|
21
|
45,0
|
441
|
945
|
47,3093
|
2,3093
|
5,3
|
| II полуг. 2000
|
22
|
45,0
|
484
|
990
|
47,3738
|
2,3738
|
5,6
|
| I полуг. 2001
|
23
|
46,0
|
529
|
1058
|
47,5655
|
1,5655
|
2,5
|
| II полуг. 2001
|
24
|
47,0
|
576
|
1128
|
47,8844
|
0,8844
|
0,8
|
| I полуг. 2002
|
25
|
48,5
|
625
|
1212,5
|
48,3305
|
0,1695
|
0,0
|
| II полуг. 2002
|
26
|
50,0
|
676
|
1300
|
48,9038
|
1,0962
|
1,2
|
| I полуг. 2003
|
27
|
51,0
|
729
|
1377
|
49,6043
|
1,3957
|
1,9
|
| II полуг. 2003
|
28
|
52,0
|
784
|
1456
|
50,432
|
1,568
|
2,5
|
| I полуг. 2004
|
29
|
53,0
|
841
|
1537
|
51,3869
|
1,6131
|
2,6
|
| II полуг. 2004
|
30
|
54,0
|
900
|
1620
|
52,469
|
1,531
|
2,3
|
| I полуг. 2005
|
31
|
54,5
|
961
|
1689,5
|
53,6783
|
0,8217
|
0,7
|
| II полуг. 2005
|
32
|
55,0
|
1024
|
1760
|
55,0148
|
0,0148
|
0,0
|
| I полуг. 2006
|
33
|
57,0
|
1089
|
1881
|
56,4785
|
0,5215
|
0,3
|
| II полуг. 2006
|
34
|
59,0
|
1156
|
2006
|
58,0694
|
0,9306
|
0,9
|
| I полуг. 2007
|
35
|
60,5
|
1225
|
2117,5
|
59,7875
|
0,7125
|
0,5
|
| II полуг. 2007
|
36
|
62,0
|
1296
|
2232
|
61,6328
|
0,3672
|
0,1
|
| I полуг. 2008
|
37
|
64,0
|
1369
|
2368
|
63,6053
|
0,3947
|
0,2
|
| II полуг. 2008
|
38
|
66,0
|
1444
|
2508
|
65,705
|
0,295
|
0,1
|
| I полуг. 2009
|
39
|
66,5
|
1521
|
2593,5
|
67,9319
|
1,4319
|
2,1
|
| II полуг. 2009
|
40
|
67,0
|
1600
|
2680
|
70,286
|
3,286
|
10,8
|
| 41
|
Прогнозн. значения
|
I полуг. 2010
|
72,7673
|
| 42
|
II полуг. 2010
|
75,3758
|
| Средняя абсолютная ошибка
|
1,142405
|
| Среднеквадратичская ошибка
|
2,0
|
=1,142405; =2,0.
Произошло значительное уменьшение средней абсолютной и среднеквадратической ошибок по сравнению с линейной моделью.
4.1.3 Экспоненциальная модель МНК
Экспоненциальная функция
строится с использованием средств MS Excel и имеет вид х=56,362*е-1Е-03х
, коэффициент детерминации очень низок, экспоненциальная функция описывает исходные данные на 0,7%.

Расчет средней абсолютной и среднеквадратической ошибок модели:
| t
|
Y
|
t*t
|
t*Y
|
Y*
|
|Y-Y*|
|
|Y-Y*|^2
|
| 1
|
75,0
|
1
|
75
|
56,30557
|
18,69443
|
349,4819
|
| 2
|
72,0
|
4
|
144
|
56,24929
|
15,75071
|
248,0849
|
| 3
|
69,0
|
9
|
207
|
56,19307
|
12,80693
|
164,0175
|
| 4
|
64,5
|
16
|
258
|
56,1369
|
8,363097
|
69,9414
|
| 5
|
60,0
|
25
|
300
|
56,08079
|
3,919206
|
15,36018
|
| 6
|
59,5
|
36
|
357
|
56,02474
|
3,475259
|
12,07742
|
| 7
|
59,0
|
49
|
413
|
55,96874
|
3,031256
|
9,188511
|
| 8
|
58,0
|
64
|
464
|
55,9128
|
2,087196
|
4,356389
|
| 9
|
57,0
|
81
|
513
|
55,85692
|
1,143081
|
1,306635
|
| 10
|
56,0
|
100
|
560
|
55,80109
|
0,19891
|
0,039565
|
| 11
|
55,0
|
121
|
605
|
55,74532
|
0,745317
|
0,555497
|
| 12
|
53,0
|
144
|
636
|
55,6896
|
2,689599
|
7,233943
|
| 13
|
51,0
|
169
|
663
|
55,63394
|
4,633937
|
21,47337
|
| 14
|
50,5
|
196
|
707
|
55,57833
|
5,078331
|
25,78945
|
| 15
|
50,0
|
225
|
750
|
55,52278
|
5,522781
|
30,50111
|
| 16
|
50,0
|
256
|
800
|
55,46729
|
5,467286
|
29,89121
|
| 17
|
49,0
|
289
|
833
|
55,41185
|
6,411846
|
41,11177
|
| 18
|
48,0
|
324
|
864
|
55,35646
|
7,356462
|
54,11753
|
| 19
|
46,5
|
361
|
883,5
|
55,30113
|
8,801133
|
77,45994
|
| 20
|
45,0
|
400
|
900
|
55,24586
|
10,24586
|
104,9776
|
| 21
|
45,0
|
441
|
945
|
55,19064
|
10,19064
|
103,8492
|
| 22
|
45,0
|
484
|
990
|
55,13548
|
10,13548
|
102,7279
|
| 23
|
46,0
|
529
|
1058
|
55,08037
|
9,08037
|
82,45313
|
| 24
|
47,0
|
576
|
1128
|
55,02532
|
8,025318
|
64,40572
|
| 25
|
48,5
|
625
|
1212,5
|
54,97032
|
6,47032
|
41,86504
|
| 26
|
50,0
|
676
|
1300
|
54,91538
|
4,915377
|
24,16093
|
| 27
|
51,0
|
729
|
1377
|
54,86049
|
3,860489
|
14,90338
|
| 28
|
52,0
|
784
|
1456
|
54,80566
|
2,805656
|
7,871705
|
| 29
|
53,0
|
841
|
1537
|
54,75088
|
1,750878
|
3,065572
|
| 30
|
54,0
|
900
|
1620
|
54,69615
|
0,696154
|
0,484631
|
| 31
|
54,5
|
961
|
1689,5
|
54,64149
|
0,141485
|
0,020018
|
| 32
|
55,0
|
1024
|
1760
|
54,58687
|
0,413129
|
0,170675
|
| 33
|
57,0
|
1089
|
1881
|
54,53231
|
2,467688
|
6,089486
|
| 34
|
59,0
|
1156
|
2006
|
54,47781
|
4,522194
|
20,45023
|
| 35
|
60,5
|
1225
|
2117,5
|
54,42336
|
6,076644
|
36,9256
|
| 36
|
62,0
|
1296
|
2232
|
54,36896
|
7,63104
|
58,23278
|
| 37
|
64,0
|
1369
|
2368
|
54,31462
|
9,685382
|
93,80663
|
| 38
|
66,0
|
1444
|
2508
|
54,26033
|
11,73967
|
137,8198
|
| 39
|
66,5
|
1521
|
2593,5
|
54,2061
|
12,2939
|
151,14
|
| 40
|
67,0
|
1600
|
2680
|
54,15192
|
12,84808
|
165,0732
|
| 41
|
Прогнозн. значения
|
I полуг. 2010
|
54,09779
|
| 42
|
II полуг. 2010
|
54,04372
|
| Средняя абсолютная ошибка
|
6,304313
|
| Среднеквадратическая ошибка
|
59,6
|
=6,304; =59,6.
4.2 Экспоненциальное сглаживание
Применим к рассматриваемому временному ряду экспоненциальное сглаживание, используя формулу: .
Значит, для t=1 получаем формулу: . Сначала необходимо определить начальное значение S0
как среднее значение прогнозного ряда. Шаг прогноза в нашем случае равен 1. Повторяем проделанные шаги несколько раз и формируем таким образом прогнозный ряд на основе экспоненциального сглаживания для экспоненциальной адаптивной модели. Большое влияние на точность прогноза влияет параметр адаптации a. Поэтому рассмотрим сглаженные ряды для нескольких значений параметра сглаживания, а именно для a=0,25 a=0,5 и a=0,75. Все расчеты представим в виде таблиц.
Рассмотрим экспоненциальное сглаживание с коэффициентом адаптации a=0,25, тогда график потребления мясопродуктов будет так:

В этом случае коэффициент детерминации составляет 0,2771, т.е. модель на 28 % описывает исходные данные.
| t
|
Y
|
Y cглаж. при 0,25
|
Прогноз
|
|Y-Y*|
|
|Y-Y*|^2
|
| 1
|
75,0
|
60,58125
|
58,1492902
|
16,8507098
|
283,9464209
|
| 2
|
72,0
|
63,43594
|
57,9751037
|
14,0248963
|
196,6977152
|
| 3
|
69,0
|
64,82695
|
57,8014391
|
11,1985609
|
125,4077673
|
| 4
|
64,5
|
64,74521
|
57,6282946
|
6,87170542
|
47,22033537
|
| 5
|
60,0
|
63,55891
|
57,4556688
|
2,54433123
|
6,473621431
|
| 6
|
59,5
|
62,54418
|
57,2835601
|
2,21643995
|
4,912606046
|
| 7
|
59,0
|
61,65814
|
57,1119669
|
1,88803311
|
3,564669026
|
| 8
|
58,0
|
60,7436
|
56,9408877
|
1,05911226
|
1,121718788
|
| 9
|
57,0
|
59,8077
|
56,7703211
|
0,22967895
|
0,05275242
|
| 10
|
56,0
|
58,85578
|
56,6002653
|
0,6002653
|
0,360318429
|
| 11
|
55,0
|
57,89183
|
56,4307189
|
1,43071895
|
2,046956712
|
| 12
|
53,0
|
56,66887
|
56,2616805
|
3,26168048
|
10,63855953
|
| 13
|
51,0
|
55,25166
|
56,0931484
|
5,09314836
|
25,94016022
|
| 14
|
50,5
|
54,06374
|
55,9251211
|
5,42512108
|
29,43193876
|
| 15
|
50,0
|
53,04781
|
55,7575971
|
5,75759713
|
33,14992472
|
| 16
|
50,0
|
52,28585
|
55,590575
|
5,590575
|
31,2545288
|
| 17
|
49,0
|
51,46439
|
55,4240532
|
6,42405318
|
41,26845926
|
| 18
|
48,0
|
50,59829
|
55,2580302
|
7,25803018
|
52,67900209
|
| 19
|
46,5
|
49,57372
|
55,0925045
|
8,5925045
|
73,83113361
|
| 20
|
45,0
|
48,43029
|
54,9274747
|
9,92747466
|
98,55475306
|
| 21
|
45,0
|
47,57272
|
54,7629392
|
9,76293916
|
95,31498103
|
| 22
|
45,0
|
46,92954
|
54,5988965
|
9,59889653
|
92,13881457
|
| 23
|
46,0
|
46,69715
|
54,4353453
|
8,43534529
|
71,15505014
|
| 24
|
47,0
|
46,77287
|
54,272284
|
7,27228397
|
52,8861141
|
| 25
|
48,5
|
47,20465
|
54,1097111
|
5,6097111
|
31,46885859
|
| 26
|
50,0
|
47,90349
|
53,9476252
|
3,94762521
|
15,58374483
|
| 27
|
51,0
|
48,67762
|
53,7860249
|
2,78602486
|
7,76193452
|
| 28
|
52,0
|
49,50821
|
53,6249086
|
1,62490858
|
2,640327895
|
| 29
|
53,0
|
50,38116
|
53,4642749
|
0,46427493
|
0,215551207
|
| 30
|
54,0
|
51,28587
|
53,3041224
|
0,69587755
|
0,484245565
|
| 31
|
54,5
|
52,0894
|
53,1444497
|
1,35555029
|
1,837516585
|
| 32
|
55,0
|
52,81705
|
52,9852553
|
2,01474473
|
4,059196314
|
| 33
|
57,0
|
53,86279
|
52,8265377
|
4,1734623
|
17,41778755
|
| 34
|
59,0
|
55,14709
|
52,6682956
|
6,33170443
|
40,09048097
|
| 35
|
60,5
|
56,48532
|
52,5105275
|
7,98947254
|
63,83167154
|
| 36
|
62,0
|
57,86399
|
52,3532319
|
9,64676807
|
93,06013412
|
| 37
|
64,0
|
59,39799
|
52,1964076
|
11,8035924
|
139,3247937
|
| 38
|
66,0
|
61,04849
|
52,040053
|
13,959947
|
194,8801197
|
| 39
|
66,5
|
62,41137
|
51,8841668
|
14,6158332
|
213,62258
|
| 40
|
67,0
|
63,55853
|
51,7287476
|
15,2712524
|
233,2111514
|
| 41
|
Прогнозн. значения
|
I полуг. 2010
|
51,5737939
|
| 42
|
II полуг. 2010
|
51,4193043
|
| Средняя абсолютная ошибка
|
6,340121283
|
| Среднеквадратическая ошибка
|
61,0
|
Значения ошибок довольно высоки, даже выше, чем при МНК.
Рассмотрим экспоненциальное сглаживание с коэффициентом адаптации a=0,5:

| t
|
Y
|
Y cглаж. при 0,5
|
Прогноз
|
|Y-Y*|
|
|Y-Y*|^2
|
| 1
|
75,0
|
65,3875
|
57,0467922
|
17,9532078
|
322,3176687
|
| 2
|
72,0
|
68,69375
|
56,9328127
|
15,0671873
|
227,0201338
|
| 3
|
69,0
|
68,84688
|
56,8190608
|
12,1809392
|
148,3752787
|
| 4
|
64,5
|
66,67344
|
56,7055363
|
7,79446372
|
60,75366462
|
| 5
|
60,0
|
63,33672
|
56,5922385
|
3,40776145
|
11,61283812
|
| 6
|
59,5
|
61,41836
|
56,4791672
|
3,02083282
|
9,125430933
|
| 7
|
59,0
|
60,20918
|
56,3663217
|
2,63367827
|
6,936261242
|
| 8
|
58,0
|
59,10459
|
56,2537017
|
1,74629826
|
3,049557607
|
| 9
|
57,0
|
58,05229
|
56,1413068
|
0,85869323
|
0,737354062
|
| 10
|
56,0
|
57,02615
|
56,0291364
|
0,02913636
|
0,000848928
|
| 11
|
55,0
|
56,01307
|
55,9171901
|
0,91719008
|
0,841237635
|
| 12
|
53,0
|
54,50654
|
55,8054675
|
2,80546746
|
7,870647644
|
| 13
|
51,0
|
52,75327
|
55,6939681
|
4,69396806
|
22,03333612
|
| 14
|
50,5
|
51,62663
|
55,5826914
|
5,08269143
|
25,83375222
|
| 15
|
50,0
|
50,81332
|
55,4716371
|
5,47163714
|
29,93881303
|
| 16
|
50,0
|
50,40666
|
55,3608047
|
5,36080474
|
28,73822744
|
| 17
|
49,0
|
49,70333
|
55,2501938
|
6,25019378
|
39,06492224
|
| 18
|
48,0
|
48,85166
|
55,1398038
|
7,13980382
|
50,97679853
|
| 19
|
46,5
|
47,67583
|
55,0296344
|
8,52963441
|
72,75466324
|
| 20
|
45,0
|
46,33792
|
54,9196851
|
9,91968513
|
98,40015311
|
| 21
|
45,0
|
45,66896
|
54,8099555
|
9,80995553
|
96,23522745
|
| 22
|
45,0
|
45,33448
|
54,7004452
|
9,70044516
|
94,09863636
|
| 23
|
46,0
|
45,66724
|
54,5911536
|
8,5911536
|
73,80792019
|
| 24
|
47,0
|
46,33362
|
54,4820804
|
7,4820804
|
55,98152716
|
| 25
|
48,5
|
47,41681
|
54,3732251
|
5,87322513
|
34,49477347
|
| 26
|
50,0
|
48,7084
|
54,2645874
|
4,26458736
|
18,18670533
|
| 27
|
51,0
|
49,8542
|
54,1561666
|
3,15616664
|
9,961387858
|
| 28
|
52,0
|
50,9271
|
54,0479625
|
2,04796255
|
4,194150592
|
| 29
|
53,0
|
51,96355
|
53,9399746
|
0,93997465
|
0,883552334
|
| 30
|
54,0
|
52,98178
|
53,8322025
|
0,1677975
|
0,028156
|
| 31
|
54,5
|
53,74089
|
53,7246457
|
0,77535431
|
0,601174303
|
| 32
|
55,0
|
54,37044
|
53,6173038
|
1,38269622
|
1,911848842
|
| 33
|
57,0
|
55,68522
|
53,5101763
|
3,48982367
|
12,17886922
|
| 34
|
59,0
|
57,34261
|
53,4032629
|
5,59673707
|
31,32346583
|
| 35
|
60,5
|
58,92131
|
53,2965631
|
7,20343686
|
51,8895026
|
| 36
|
62,0
|
60,46065
|
53,1900765
|
8,80992346
|
77,61475145
|
| 37
|
64,0
|
62,23033
|
53,0838027
|
10,9161973
|
119,1633637
|
| 38
|
66,0
|
64,11516
|
52,9777412
|
13,0222588
|
169,5792247
|
| 39
|
66,5
|
65,30758
|
52,8718916
|
13,6281084
|
185,725339
|
| 40
|
67,0
|
66,15379
|
52,7662535
|
14,2337465
|
202,5995401
|
| 41
|
Прогнозн. значения
|
I полуг. 2010
|
52,6608264
|
| 42
|
II полуг. 2010
|
52,55561
|
| Средняя абсолютная ошибка
|
6,298872639
|
| Среднеквадратическая ошибка
|
60,2
|

| t
|
Y
|
Y cглаж.
|
Прогноз
|
|Y-Y*|
|
|Y-Y*|^2
|
| 1
|
75,0
|
70,19375
|
56,5903813
|
18,4096187
|
338,9140602
|
| 2
|
72,0
|
71,54844
|
56,5338192
|
15,4661808
|
239,202748
|
| 3
|
69,0
|
69,63711
|
56,4773137
|
12,5226863
|
156,8176733
|
| 4
|
64,5
|
65,78428
|
56,4208646
|
8,07913543
|
65,27242926
|
| 5
|
60,0
|
61,44607
|
56,3644719
|
3,63552809
|
13,2170645
|
| 6
|
59,5
|
59,98652
|
56,3081356
|
3,19186439
|
10,18799829
|
| 7
|
59,0
|
59,24663
|
56,2518556
|
2,74814438
|
7,55229754
|
| 8
|
58,0
|
58,31166
|
56,1956319
|
1,80436812
|
3,255744313
|
| 9
|
57,0
|
57,32791
|
56,1394643
|
0,86053566
|
0,740521628
|
| 10
|
56,0
|
56,33198
|
56,0833529
|
0,08335293
|
0,006947711
|
| 11
|
55,0
|
55,33299
|
56,0272976
|
1,02729761
|
1,055340383
|
| 12
|
53,0
|
53,58325
|
55,9712983
|
2,97129832
|
8,828613697
|
| 13
|
51,0
|
51,64581
|
55,915355
|
4,915355
|
24,16071474
|
| 14
|
50,5
|
50,78645
|
55,8594676
|
5,35946759
|
28,72389285
|
| 15
|
50,0
|
50,19661
|
55,803636
|
5,80363604
|
33,68219132
|
| 16
|
50,0
|
50,04915
|
55,7478603
|
5,7478603
|
33,03789802
|
| 17
|
49,0
|
49,26229
|
55,6921403
|
6,6921403
|
44,78474184
|
| 18
|
48,0
|
48,31557
|
55,636476
|
7,636476
|
58,3157657
|
| 19
|
46,5
|
46,95389
|
55,5808673
|
9,08086733
|
82,46215152
|
| 20
|
45,0
|
45,48847
|
55,5253142
|
10,5253142
|
110,78224
|
| 21
|
45,0
|
45,12212
|
55,4698167
|
10,4698167
|
109,6170614
|
| 22
|
45,0
|
45,03053
|
55,4143746
|
10,4143746
|
108,4591982
|
| 23
|
46,0
|
45,75763
|
55,3589879
|
9,35898792
|
87,59065485
|
| 24
|
47,0
|
46,68941
|
55,3036566
|
8,3036566
|
68,95071294
|
| 25
|
48,5
|
48,04735
|
55,2483806
|
6,74838059
|
45,54064054
|
| 26
|
50,0
|
49,51184
|
55,1931598
|
5,19315982
|
26,96890893
|
| 27
|
51,0
|
50,62796
|
55,1379942
|
4,13799425
|
17,1229964
|
| 28
|
52,0
|
51,65699
|
55,0828838
|
3,08288381
|
9,504172612
|
| 29
|
53,0
|
52,66425
|
55,0278285
|
2,02782846
|
4,112088274
|
| 30
|
54,0
|
53,66606
|
54,9728281
|
0,97282814
|
0,946394588
|
| 31
|
54,5
|
54,29152
|
54,9178828
|
0,41788279
|
0,174626025
|
| 32
|
55,0
|
54,82288
|
54,8629924
|
0,13700764
|
0,018771095
|
| 33
|
57,0
|
56,45572
|
54,8081568
|
2,19184321
|
4,804176679
|
| 34
|
59,0
|
58,36393
|
54,753376
|
4,24662398
|
18,0338152
|
| 35
|
60,5
|
59,96598
|
54,69865
|
5,80134999
|
33,65566165
|
| 36
|
62,0
|
61,4915
|
54,6439787
|
7,3560213
|
54,11104929
|
| 37
|
64,0
|
63,37287
|
54,589362
|
9,41063796
|
88,56010683
|
| 38
|
66,0
|
65,34322
|
54,5348
|
11,4652
|
131,4508119
|
| 39
|
66,5
|
66,2108
|
54,4802924
|
12,0197076
|
144,4733703
|
| 40
|
67,0
|
66,8027
|
54,4258394
|
12,5741606
|
158,1095158
|
| 41
|
Прогнозн. значения
|
I полуг. 2010
|
54,3714407
|
| 42
|
II полуг. 2010
|
54,3170965
|
| Средняя абсолютная ошибка
|
6,322286839
|
| Среднеквадратическая ошибка
|
59,3
|
4.2 Двухпараметрическая модель Хольта
Xt
=a1,
t
+ξt
,
Xt
-значение временного ряда в точке t,
A1,
t
-коэффициент , т.е. уровень ряда, который изменяется во времени,
ξt
-случайные неавтокоррелированные отклонения с M=0 и D=const.
Формулы для расчета:
xˉr
(t)=aˉ1,
t
+aˉ2,
t
*r
aˉ1,
t
=α1
*xt
+(1- α1
)*(aˉ1,
t
-1
+aˉ2,
t
-1
)
aˉ2,
t
= α2
*( aˉ1,
t
- aˉ1,
t
-1
)+(1- α2
)aˉ2,
t
-1
0< α1
<1, 0< α2
<1.
Результаты проведенных вычислений:
| t
|
Y
|
Y1(t)
|
α1
,t
|
α2
,t
|
|Y-Y1(t)|
|
|Y-Y1(t)|^2
|
| I полуг. 1990
|
1
|
75,0
|
117,5451
|
58,83015
|
58,71499
|
42,54514
|
1810,089
|
| II полуг. 1990
|
2
|
72,0
|
167,6065
|
112,9906
|
54,61592
|
95,60654
|
9140,611
|
| I полуг. 1991
|
3
|
69,0
|
203,4872
|
157,7459
|
45,74133
|
134,4872
|
18086,81
|
| II полуг. 1991
|
4
|
64,5
|
222,821
|
189,5885
|
33,23248
|
158,321
|
25065,53
|
| I полуг. 1992
|
5
|
60,0
|
225,1175
|
206,5389
|
18,5786
|
165,1175
|
27263,78
|
| II полуг. 1992
|
6
|
59,5
|
212,2288
|
208,5557
|
3,673022
|
152,7288
|
23326,07
|
| I полуг. 1993
|
7
|
59,0
|
186,7883
|
196,9059
|
-10,1176
|
127,7883
|
16329,85
|
| II полуг. 1993
|
8
|
58,0
|
152,201
|
173,9095
|
-21,7085
|
94,20097
|
8873,822
|
| I полуг. 1994
|
9
|
57,0
|
112,4043
|
142,6809
|
-30,2766
|
55,40427
|
3069,633
|
| II полуг. 1994
|
10
|
56,0
|
71,41086
|
106,7638
|
-35,353
|
15,41086
|
237,4945
|
| I полуг. 1995
|
11
|
55,0
|
32,93981
|
69,76977
|
-36,83
|
22,06019
|
486,6521
|
| II полуг. 1995
|
12
|
53,0
|
-0,07872
|
34,94583
|
-35,0245
|
53,07872
|
2817,35
|
| I полуг. 1996
|
13
|
51,0
|
-25,3983
|
5,029153
|
-30,4275
|
76,39831
|
5836,701
|
| II полуг. 1996
|
14
|
50,5
|
-41,4051
|
-17,8085
|
-23,5966
|
91,90509
|
8446,546
|
| I полуг. 1997
|
15
|
50,0
|
-47,6347
|
-32,2646
|
-15,3702
|
97,63474
|
9532,542
|
| II полуг. 1997
|
16
|
50,0
|
-44,4543
|
-37,8713
|
-6,58303
|
94,45429
|
8921,613
|
| I полуг. 1998
|
17
|
49,0
|
-33,281
|
-35,1089
|
1,827857
|
82,28101
|
6770,164
|
| II полуг. 1998
|
18
|
48,0
|
-16,0098
|
-25,1529
|
9,143148
|
64,00976
|
4097,249
|
| I полуг. 1999
|
19
|
46,5
|
5,010245
|
-9,75878
|
14,76903
|
41,48976
|
1721,4
|
| II полуг. 1999
|
20
|
45,0
|
27,37732
|
9,00922
|
18,3681
|
17,62268
|
310,5587
|
| I полуг. 2000
|
21
|
45,0
|
49,09374
|
29,13959
|
19,95414
|
4,093736
|
16,75868
|
| II полуг. 2000
|
22
|
45,0
|
68,27007
|
48,68436
|
19,58571
|
23,27007
|
541,4962
|
| I полуг. 2001
|
23
|
46,0
|
83,62447
|
66,04306
|
17,5814
|
37,62447
|
1415,6
|
| II полуг. 2001
|
24
|
47,0
|
94,24722
|
79,96202
|
14,2852
|
47,24722
|
2232,3
|
| I полуг. 2002
|
25
|
48,5
|
99,84045
|
89,6725
|
10,16795
|
51,34045
|
2635,842
|
| II полуг. 2002
|
26
|
50,0
|
100,5387
|
94,8564
|
5,68231
|
50,53871
|
2554,162
|
| I полуг. 2003
|
27
|
51,0
|
96,80867
|
95,58484
|
1,223826
|
45,80867
|
2098,434
|
| II полуг. 2003
|
28
|
52,0
|
89,51885
|
92,3278
|
-2,80895
|
37,51885
|
1407,664
|
| I полуг. 2004
|
29
|
53,0
|
79,77131
|
85,86696
|
-6,09565
|
26,77131
|
716,7031
|
| II полуг. 2004
|
30
|
54,0
|
68,77911
|
77,19418
|
-8,41507
|
14,77911
|
218,4221
|
| I полуг. 2005
|
31
|
54,5
|
57,65101
|
67,3512
|
-9,70019
|
3,151012
|
9,928877
|
| II полуг. 2005
|
32
|
55,0
|
47,44713
|
57,38591
|
-9,93878
|
7,552869
|
57,04583
|
| I полуг. 2006
|
33
|
57,0
|
39,3234
|
48,40242
|
-9,07902
|
17,6766
|
312,4623
|
| II полуг. 2006
|
34
|
59,0
|
33,98293
|
41,29106
|
-7,30813
|
25,01707
|
625,8538
|
| I полуг. 2007
|
35
|
60,5
|
31,71305
|
36,63464
|
-4,92159
|
28,78695
|
828,6887
|
| II полуг. 2007
|
36
|
62,0
|
32,54598
|
34,74174
|
-2,19576
|
29,45402
|
867,5395
|
| I полуг. 2008
|
37
|
64,0
|
36,32648
|
35,69138
|
0,635097
|
27,67352
|
765,8239
|
| II полуг. 2008
|
38
|
66,0
|
42,59954
|
39,29383
|
3,305714
|
23,40046
|
547,5814
|
| I полуг. 2009
|
39
|
66,5
|
50,44634
|
44,98959
|
5,456755
|
16,05366
|
257,7199
|
| II полуг. 2009
|
40
|
67,0
|
59,04829
|
52,10171
|
6,946585
|
7,951706
|
63,22963
|
| Прогнозн. значения
|
I полуг. ‘10
|
96,2064
|
| II полуг. ‘10
|
105,3756
|
alfa1=
|
0,1
|
| alfa2=
|
0,9
|
| Средняя абс. ошибка
|
55,20639
|
a1t
|
-0,0645
|
| Среднеквадр. ошибка
|
5007,9
|
a2t
|
57,098
|

| t
|
Y
|
Y1(t)
|
a1,t
|
a2,t
|
|Y-Y1(t)|
|
|Y-Y1(t)|^2
|
| I полуг. 1990
|
1
|
75,0
|
127,6064
|
66,01675
|
61,58963
|
52,60638
|
2767,431
|
| II полуг. 1990
|
2
|
72,0
|
147,4912
|
99,80319
|
47,68803
|
75,49122
|
5698,924
|
| I полуг. 1991
|
3
|
69,0
|
136,3108
|
108,2456
|
28,06523
|
67,31084
|
4530,749
|
| II полуг. 1991
|
4
|
64,5
|
110,5179
|
100,4054
|
10,11252
|
46,01794
|
2117,65
|
| I полуг. 1992
|
5
|
60,0
|
82,742
|
85,25897
|
-2,51697
|
22,742
|
517,1986
|
| II полуг. 1992
|
6
|
59,5
|
62,79353
|
71,121
|
-8,32747
|
3,293534
|
10,84737
|
| I полуг. 1993
|
7
|
59,0
|
51,62092
|
60,89677
|
-9,27585
|
7,379083
|
54,45087
|
| II полуг. 1993
|
8
|
58,0
|
47,12938
|
54,81046
|
-7,68108
|
10,87062
|
118,1704
|
| I полуг. 1994
|
9
|
57,0
|
46,85127
|
52,06469
|
-5,21342
|
10,14873
|
102,9968
|
| II полуг. 1994
|
10
|
56,0
|
48,49939
|
51,42563
|
-2,92624
|
7,500608
|
56,25912
|
| I полуг. 1995
|
11
|
55,0
|
50,44861
|
51,7497
|
-1,30109
|
4,551392
|
20,71517
|
| II полуг. 1995
|
12
|
53,0
|
51,06106
|
51,7243
|
-0,66324
|
1,938937
|
3,759475
|
| I полуг. 1996
|
13
|
51,0
|
50,35203
|
51,03053
|
-0,67851
|
0,647975
|
0,419871
|
| II полуг. 1996
|
14
|
50,5
|
49,7845
|
50,42601
|
-0,64151
|
0,7155
|
0,51194
|
| I полуг. 1997
|
15
|
50,0
|
49,30461
|
49,89225
|
-0,58764
|
0,695388
|
0,483564
|
| II полуг. 1997
|
16
|
50,0
|
49,23852
|
49,65231
|
-0,41379
|
0,761485
|
0,579859
|
| I полуг. 1998
|
17
|
49,0
|
48,64584
|
49,11926
|
-0,47342
|
0,354162
|
0,125431
|
| II полуг. 1998
|
18
|
48,0
|
47,68804
|
48,32292
|
-0,63488
|
0,31196
|
0,097319
|
| I полуг. 1999
|
19
|
46,5
|
46,16213
|
47,09402
|
-0,93189
|
0,337869
|
0,114156
|
| II полуг. 1999
|
20
|
45,0
|
44,35864
|
45,58107
|
-1,22242
|
0,641356
|
0,411338
|
| I полуг. 2000
|
21
|
45,0
|
43,61724
|
44,67932
|
-1,06208
|
1,382761
|
1,912028
|
| II полуг. 2000
|
22
|
45,0
|
43,59223
|
44,30862
|
-0,71639
|
1,407773
|
1,981825
|
| I полуг. 2001
|
23
|
46,0
|
44,68166
|
44,79611
|
-0,11445
|
1,318336
|
1,738009
|
| II полуг. 2001
|
24
|
47,0
|
46,30597
|
45,84083
|
0,465135
|
0,694033
|
0,481682
|
| I полуг. 2002
|
25
|
48,5
|
48,41663
|
47,40298
|
1,013643
|
0,083374
|
0,006951
|
| II полуг. 2002
|
26
|
50,0
|
50,6178
|
49,20831
|
1,409486
|
0,6178
|
0,381676
|
| I полуг. 2003
|
27
|
51,0
|
52,31394
|
50,8089
|
1,505036
|
1,313936
|
1,726429
|
| II полуг. 2003
|
28
|
52,0
|
53,58352
|
52,15697
|
1,426552
|
1,583521
|
2,507537
|
| I полуг. 2004
|
29
|
53,0
|
54,57243
|
53,29176
|
1,280672
|
1,572433
|
2,472544
|
| II полуг. 2004
|
30
|
54,0
|
55,42378
|
54,28622
|
1,137564
|
1,42378
|
2,027151
|
| I полуг. 2005
|
31
|
54,5
|
55,86851
|
54,96189
|
0,906619
|
1,368509
|
1,872818
|
| II полуг. 2005
|
32
|
55,0
|
56,12375
|
55,43425
|
0,689492
|
1,123746
|
1,262806
|
| I полуг. 2006
|
33
|
57,0
|
57,47043
|
56,56187
|
0,908555
|
0,470428
|
0,221303
|
| II полуг. 2006
|
34
|
59,0
|
59,52616
|
58,23521
|
1,290948
|
0,526162
|
0,276847
|
| I полуг. 2007
|
35
|
60,5
|
61,54749
|
60,01308
|
1,534408
|
1,047489
|
1,097232
|
| II полуг. 2007
|
36
|
62,0
|
63,42128
|
61,77374
|
1,647535
|
1,42128
|
2,020036
|
| I полуг. 2008
|
37
|
64,0
|
65,50286
|
63,71064
|
1,792215
|
1,502855
|
2,258574
|
| II полуг. 2008
|
38
|
66,0
|
67,66793
|
65,75143
|
1,916502
|
1,667929
|
2,781988
|
| I полуг. 2009
|
39
|
66,5
|
68,70848
|
67,08396
|
1,624519
|
2,208484
|
4,877401
|
| II полуг. 2009
|
40
|
67,0
|
69,05164
|
67,85424
|
1,197398
|
2,05164
|
4,209228
|
| Прогнозн. значения
|
I полуг. 10
|
89,4224
|
| II полуг. 10
|
95,1104
|
alfa1=
|
0,5
|
| alfa2=
|
0,5
|
| Средняя абс. ошибка
|
8,477581
|
a1t
|
-0,0645
|
| Среднеквадр. ошибка
|
401,0
|
a2t
|
57,098
|

| t
|
Y
|
Y1(t)
|
a1,t
|
a2,t
|
|Y-Y1(t)|
|
|Y-Y1(t)|^2
|
| I полуг. 1990
|
1
|
75,0
|
131,3793
|
71,4067
|
59,97264
|
56,37934
|
3178,63
|
| II полуг. 1990
|
2
|
72,0
|
134,3478
|
83,87587
|
50,47195
|
62,34781
|
3887,25
|
| I полуг. 1991
|
3
|
69,0
|
122,0859
|
82,06956
|
40,0163
|
53,08586
|
2818,108
|
| II полуг. 1991
|
4
|
64,5
|
106,8197
|
76,01717
|
30,80256
|
42,31973
|
1790,96
|
| I полуг. 1992
|
5
|
60,0
|
92,67535
|
69,36395
|
23,3114
|
32,67535
|
1067,678
|
| II полуг. 1992
|
6
|
59,5
|
84,13842
|
66,13507
|
18,00335
|
24,63842
|
607,0515
|
| I полуг. 1993
|
7
|
59,0
|
78,00888
|
64,02768
|
13,9812
|
19,00888
|
361,3376
|
| II полуг. 1993
|
8
|
58,0
|
72,78155
|
62,00178
|
10,77978
|
14,78155
|
218,4944
|
| I полуг. 1994
|
9
|
57,0
|
68,41104
|
60,15631
|
8,254729
|
11,41104
|
130,2118
|
| II полуг. 1994
|
10
|
56,0
|
64,75117
|
58,48221
|
6,268963
|
8,751171
|
76,58299
|
| I полуг. 1995
|
11
|
55,0
|
61,65901
|
56,95023
|
4,708776
|
6,65901
|
44,34241
|
| II полуг. 1995
|
12
|
53,0
|
58,05514
|
54,7318
|
3,323334
|
5,055136
|
25,5544
|
| I полуг. 1996
|
13
|
51,0
|
54,60554
|
52,41103
|
2,194512
|
3,605539
|
12,99991
|
| II полуг. 1996
|
14
|
50,5
|
52,85873
|
51,32111
|
1,537626
|
2,358734
|
5,563625
|
| I полуг. 1997
|
15
|
50,0
|
51,65198
|
50,57175
|
1,080229
|
1,651975
|
2,729022
|
| II полуг. 1997
|
16
|
50,0
|
51,14631
|
50,3304
|
0,815912
|
1,146308
|
1,314021
|
| I полуг. 1998
|
17
|
49,0
|
49,90176
|
49,42926
|
0,472503
|
0,901765
|
0,81318
|
| II полуг. 1998
|
18
|
48,0
|
48,54857
|
48,38035
|
0,168221
|
0,548574
|
0,300933
|
| I полуг. 1999
|
19
|
46,5
|
46,75016
|
46,90971
|
-0,15955
|
0,250164
|
0,062582
|
| II полуг. 1999
|
20
|
45,0
|
44,91046
|
45,35003
|
-0,43958
|
0,089544
|
0,008018
|
| I полуг. 2000
|
21
|
45,0
|
44,55684
|
44,98209
|
-0,42525
|
0,443159
|
0,19639
|
| II полуг. 2000
|
22
|
45,0
|
44,55702
|
44,91137
|
-0,35434
|
0,442976
|
0,196228
|
| I полуг. 2001
|
23
|
46,0
|
45,58794
|
45,7114
|
-0,12347
|
0,412064
|
0,169796
|
| II полуг. 2001
|
24
|
47,0
|
46,82005
|
46,71759
|
0,102462
|
0,179951
|
0,032382
|
| I полуг. 2002
|
25
|
48,5
|
48,53526
|
48,16401
|
0,371254
|
0,035264
|
0,001244
|
| II полуг. 2002
|
26
|
50,0
|
50,31266
|
49,70705
|
0,605612
|
0,312665
|
0,097759
|
| I полуг. 2003
|
27
|
51,0
|
51,57812
|
50,86253
|
0,715585
|
0,578118
|
0,334221
|
| II полуг. 2003
|
28
|
52,0
|
52,69871
|
51,91562
|
0,783086
|
0,69871
|
0,488196
|
| I полуг. 2004
|
29
|
53,0
|
53,77103
|
52,93974
|
0,831293
|
0,771035
|
0,594495
|
| II полуг. 2004
|
30
|
54,0
|
54,82213
|
53,95421
|
0,867927
|
0,822134
|
0,675905
|
| I полуг. 2005
|
31
|
54,5
|
55,38081
|
54,56443
|
0,816386
|
0,880813
|
0,775831
|
| II полуг. 2005
|
32
|
55,0
|
55,83162
|
55,07616
|
0,755456
|
0,831618
|
0,691589
|
| I полуг. 2006
|
33
|
57,0
|
57,70872
|
56,76632
|
0,942397
|
0,708721
|
0,502285
|
| II полуг. 2006
|
34
|
59,0
|
59,89075
|
58,74174
|
1,149002
|
0,890746
|
0,793428
|
| I полуг. 2007
|
35
|
60,5
|
61,62463
|
60,37815
|
1,246482
|
1,124631
|
1,264796
|
| II полуг. 2007
|
36
|
62,0
|
63,23147
|
61,92493
|
1,306541
|
1,231468
|
1,516512
|
| I полуг. 2008
|
37
|
64,0
|
65,2758
|
63,84629
|
1,429506
|
1,2758
|
1,627665
|
| II полуг. 2008
|
38
|
66,0
|
67,40054
|
65,85516
|
1,545378
|
1,400538
|
1,961508
|
| I полуг. 2009
|
39
|
66,5
|
68,0814
|
66,68011
|
1,401292
|
1,5814
|
2,500826
|
| II полуг. 2009
|
40
|
67,0
|
68,44455
|
67,21628
|
1,228268
|
1,444548
|
2,08672
|
| Прогнозн. значения
|
I полуг. 10
|
48,157
|
| II полуг. 10
|
47,857
|
alfa1=
|
0,8
|
| alfa2=
|
0,2
|
| Средняя абс. ошибка
|
9,093306
|
a1t
|
-0,0645
|
| Среднеквадр. ошибка
|
356,2
|
a2t
|
57,098
|

При сравнении результатов лучшей оказалась модель с параметрами адаптации a1
=0,5 и a2
=0,5 (средняя абсолютная и среднеквадратическая ошибки приняли наименьшие значения).
4.3 Трехпараметрическая модель Бокса и Дженкинса
Эта модель получена из модели Хольта путем включения разности ошибок et
-et
-1.
Модель:
xˉr
(t)=aˉ1,
t
+aˉ2,
t
*r
Расчетные формулы:
aˉ1,
t
=α1
*xt
+(1- α1
)*(aˉ1,
t
-1
+aˉ2,
t
-1
)+ α3
*(et
-et
-1
)
aˉ2,
t
= α2
*( aˉ1,
t
- aˉ1,
t
-1
)+(1- α2
)aˉ2,
t
-1
et
=xt
-xˉt
0<α1
<1, 0<α2
<1, 0<α3
<1
Результаты вычислений:
| t
|
Y
|
Y1(t)
|
a1,t
|
a2,t
|
|Y-Y1(t)|
|
|Y-Y1(t)|^2
|
| I полуг. 1990
|
1
|
75,0
|
138,1449
|
77,044634
|
61,1002268
|
63,14486
|
3987,273
|
| II полуг. 1990
|
2
|
72,0
|
116,9955
|
69,60354736
|
47,39196411
|
44,99551
|
2024,596
|
| I полуг. 1991
|
3
|
69,0
|
102,8095
|
65,68050445
|
37,12896271
|
33,80947
|
1143,08
|
| II полуг. 1991
|
4
|
64,5
|
90,88317
|
61,93008716
|
28,95308671
|
26,38317
|
696,0719
|
| I полуг. 1992
|
5
|
60,0
|
80,90717
|
58,44226176
|
22,46490429
|
20,90717
|
437,1096
|
| II полуг. 1992
|
6
|
59,5
|
76,12708
|
58,20300679
|
17,92407244
|
16,62708
|
276,4598
|
| I полуг. 1993
|
7
|
59,0
|
72,35115
|
58,04374671
|
14,30740593
|
13,35115
|
178,2533
|
| II полуг. 1993
|
8
|
58,0
|
68,69794
|
57,38396722
|
11,31396885
|
10,69794
|
114,4458
|
| I полуг. 1994
|
9
|
57,0
|
65,57796
|
56,66964857
|
8,908311348
|
8,57796
|
73,5814
|
| II полуг. 1994
|
10
|
56,0
|
62,92158
|
55,94071307
|
6,980861978
|
6,921575
|
47,9082
|
| I полуг. 1995
|
11
|
55,0
|
60,63353
|
55,19748388
|
5,436043744
|
5,633528
|
31,73663
|
| II полуг. 1995
|
12
|
53,0
|
57,68491
|
53,64631262
|
4,038600743
|
4,684913
|
21,94841
|
| I полуг. 1996
|
13
|
51,0
|
54,97571
|
52,06174035
|
2,913966141
|
3,975706
|
15,80624
|
| II полуг. 1996
|
14
|
50,5
|
53,93725
|
51,68201944
|
2,255228731
|
3,437248
|
11,81467
|
| I полуг. 1997
|
15
|
50,0
|
53,07101
|
51,33602415
|
1,734983926
|
3,071008
|
9,431091
|
| II полуг. 1997
|
16
|
50,0
|
52,74814
|
51,35613322
|
1,392008956
|
2,748142
|
7,552285
|
| I полуг. 1998
|
17
|
49,0
|
51,54108
|
50,58224572
|
0,958829665
|
2,541075
|
6,457064
|
| II полуг. 1998
|
18
|
48,0
|
50,37627
|
49,77138091
|
0,604890769
|
2,376272
|
5,646667
|
| I полуг. 1999
|
19
|
46,5
|
48,82187
|
48,576859
|
0,245008233
|
2,321867
|
5,391067
|
| II полуг. 1999
|
20
|
45,0
|
47,3494
|
47,39063805
|
-0,041237604
|
2,3494
|
5,519682
|
| I полуг. 2000
|
21
|
45,0
|
47,41936
|
47,44206145
|
-0,022705401
|
2,419356
|
5,853284
|
| II полуг. 2000
|
22
|
45,0
|
47,38144
|
47,40668175
|
-0,025240262
|
2,381441
|
5,671264
|
| I полуг. 2001
|
23
|
46,0
|
48,3428
|
48,20360873
|
0,139193186
|
2,342802
|
5,488721
|
| II полуг. 2001
|
24
|
47,0
|
49,25082
|
48,98348873
|
0,267330549
|
2,250819
|
5,066187
|
| I полуг. 2002
|
25
|
48,5
|
50,64784
|
50,19223128
|
0,45561295
|
2,147844
|
4,613235
|
| II полуг. 2002
|
26
|
50,0
|
52,04737
|
51,43444007
|
0,612932118
|
2,047372
|
4,191733
|
| I полуг. 2003
|
27
|
51,0
|
52,88335
|
52,23324538
|
0,650106756
|
1,883352
|
3,547015
|
| II полуг. 2003
|
28
|
52,0
|
53,69595
|
53,01875918
|
0,677188165
|
1,695947
|
2,876237
|
| I полуг. 2004
|
29
|
53,0
|
54,51472
|
53,81393247
|
0,70078519
|
1,514718
|
2,29437
|
| II полуг. 2004
|
30
|
54,0
|
55,33201
|
54,61180994
|
0,720203645
|
1,332014
|
1,77426
|
| I полуг. 2005
|
31
|
54,5
|
55,66888
|
55,01256784
|
0,656314496
|
1,168882
|
1,366286
|
| II полуг. 2005
|
32
|
55,0
|
56,00467
|
55,40178057
|
0,602894142
|
1,004675
|
1,009371
|
| I полуг. 2006
|
33
|
57,0
|
57,79525
|
56,99441022
|
0,800841245
|
0,795251
|
0,632425
|
| II полуг. 2006
|
34
|
59,0
|
59,59167
|
58,62490252
|
0,966771455
|
0,591674
|
0,350078
|
| I полуг. 2007
|
35
|
60,5
|
60,84454
|
59,83008857
|
1,014454375
|
0,344543
|
0,11871
|
| II полуг. 2007
|
36
|
62,0
|
62,06641
|
61,01738361
|
1,049022508
|
0,066406
|
0,00441
|
| I полуг. 2008
|
37
|
64,0
|
63,7691
|
62,61113324
|
1,157967933
|
0,230899
|
0,053314
|
| II полуг. 2008
|
38
|
66,0
|
65,46716
|
64,21917385
|
1,247982467
|
0,532844
|
0,283922
|
| I полуг. 2009
|
39
|
66,5
|
65,70429
|
64,62478615
|
1,079508435
|
0,795705
|
0,633147
|
| II полуг. 2009
|
40
|
67,0
|
65,93027
|
64,99301483
|
0,937252483
|
1,069733
|
1,144328
|
| Прогнозн. значения
|
I полуг. 2010
|
46,03716
|
| II полуг. 2010
|
45,60244
|
alfa1=
|
0,8
|
| alfa2=
|
0,2
|
| Средняя абсолютная ошибка
|
7,629283
|
alfa3=
|
0,1
|
| Среднеквадратичская ошибка
|
228,7
|
a1t
|
-0,0645
|
| a2t
|
57,098
|
| t
|
Y
|
Y1(t)
|
a1,t
|
a2,t
|
|Y-Y1(t)|
|
|Y-Y1(t)|^2
|
| I полуг. 1990
|
1
|
75,0
|
188,1117
|
96,133902
|
91,9778412
|
113,1117
|
12794,27
|
| II полуг. 1990
|
2
|
72,0
|
124,2434
|
79,21064208
|
45,03274877
|
52,24339
|
2729,372
|
| I полуг. 1991
|
3
|
69,0
|
96,03969
|
72,84151336
|
23,19817203
|
27,03969
|
731,1446
|
| II полуг. 1991
|
4
|
64,5
|
81,71841
|
69,69026148
|
12,02815209
|
17,21841
|
296,4738
|
| I полуг. 1992
|
5
|
60,0
|
73,12559
|
67,32678527
|
5,798805526
|
13,12559
|
172,2811
|
| II полуг. 1992
|
6
|
59,5
|
71,09764
|
67,50902038
|
3,588624384
|
11,59764
|
134,5054
|
| I полуг. 1993
|
7
|
59,0
|
70,33775
|
67,93124014
|
2,406506487
|
11,33775
|
128,5445
|
| II полуг. 1993
|
8
|
58,0
|
69,0882
|
67,75190167
|
1,33630081
|
11,0882
|
122,9482
|
| I полуг. 1994
|
9
|
57,0
|
68,00495
|
67,40894571
|
0,596006909
|
11,00495
|
121,109
|
| II полуг. 1994
|
10
|
56,0
|
67,14766
|
67,02213921
|
0,125520242
|
11,14766
|
124,2703
|
| I полуг. 1995
|
11
|
55,0
|
66,40995
|
66,59245163
|
-0,1825004
|
11,40995
|
130,187
|
| II полуг. 1995
|
12
|
53,0
|
64,79733
|
65,53893786
|
-0,741608505
|
11,79733
|
139,177
|
| I полуг. 1996
|
13
|
51,0
|
63,24803
|
64,38522104
|
-1,13719519
|
12,24803
|
150,0141
|
| II полуг. 1996
|
14
|
50,5
|
63,32024
|
64,14605831
|
-0,825814752
|
12,82024
|
164,3586
|
| I полуг. 1997
|
15
|
50,0
|
63,42979
|
64,00807244
|
-0,578280377
|
13,42979
|
180,3593
|
| II полуг. 1997
|
16
|
50,0
|
63,75763
|
64,06839967
|
-0,310771885
|
13,75763
|
189,2723
|
| I полуг. 1998
|
17
|
49,0
|
63,04728
|
63,54673717
|
-0,499460632
|
14,04728
|
197,326
|
| II полуг. 1998
|
18
|
48,0
|
62,23491
|
62,91414272
|
-0,679233048
|
14,23491
|
202,6327
|
| I полуг. 1999
|
19
|
46,5
|
61,0929
|
62,030577
|
-0,937679264
|
14,5929
|
212,9527
|
| II полуг. 1999
|
20
|
45,0
|
60,09411
|
61,17191414
|
-1,077805271
|
15,09411
|
227,8321
|
| I полуг. 2000
|
21
|
45,0
|
60,77206
|
61,32618436
|
-0,55412103
|
15,77206
|
248,758
|
| II полуг. 2000
|
22
|
45,0
|
60,82389
|
61,22004525
|
-0,396156089
|
15,82389
|
250,3955
|
| I полуг. 2001
|
23
|
46,0
|
61,9276
|
61,81082618
|
0,116774909
|
15,9276
|
253,6885
|
| II полуг. 2001
|
24
|
47,0
|
62,74432
|
62,35046618
|
0,393848944
|
15,74432
|
247,8835
|
| I полуг. 2002
|
25
|
48,5
|
64,06874
|
63,27669385
|
0,792045968
|
15,56874
|
242,3857
|
| II полуг. 2002
|
26
|
50,0
|
65,39452
|
64,30332022
|
1,091203403
|
15,39452
|
236,9914
|
| I полуг. 2003
|
27
|
51,0
|
65,91231
|
64,89973615
|
1,012571598
|
14,91231
|
222,3769
|
| II полуг. 2003
|
28
|
52,0
|
66,39775
|
65,45627755
|
0,9414678
|
14,39775
|
207,2951
|
| I полуг. 2004
|
29
|
53,0
|
66,95799
|
66,04179742
|
0,916192603
|
13,95799
|
194,8255
|
| II полуг. 2004
|
30
|
54,0
|
67,54132
|
66,63542981
|
0,905894994
|
13,54132
|
183,3675
|
| I полуг. 2005
|
31
|
54,5
|
67,6626
|
66,93770352
|
0,724901221
|
13,1626
|
173,2542
|
| II полуг. 2005
|
32
|
55,0
|
67,80087
|
67,2053417
|
0,59552364
|
12,80087
|
163,8622
|
| I полуг. 2006
|
33
|
57,0
|
69,44728
|
68,38323066
|
1,064047563
|
12,44728
|
154,9347
|
| II полуг. 2006
|
34
|
59,0
|
71,08802
|
69,67470755
|
1,41331467
|
12,08802
|
146,1203
|
| I полуг. 2007
|
35
|
60,5
|
71,98759
|
70,59026572
|
1,397323704
|
11,48759
|
131,9647
|
| II полуг. 2007
|
36
|
62,0
|
72,80768
|
71,45215084
|
1,355525294
|
10,80768
|
116,8059
|
| I полуг. 2008
|
37
|
64,0
|
74,15546
|
72,63339973
|
1,52206451
|
10,15546
|
103,1335
|
| II полуг. 2008
|
38
|
66,0
|
75,50523
|
73,85752155
|
1,647711799
|
9,505233
|
90,34946
|
| I полуг. 2009
|
39
|
66,5
|
75,35309
|
74,17435846
|
1,17872923
|
8,853088
|
78,37716
|
| II полуг. 2009
|
40
|
67,0
|
75,20909
|
74,37904449
|
0,830049155
|
8,209094
|
67,38922
|
| Прогнозн. значения
|
I полуг. 2010
|
92,1107
|
| II полуг. 2010
|
96,2876
|
alfa1=
|
0,6
|
| alfa2=
|
0,6
|
| Средняя абсолютная ошибка
|
16,82262
|
alfa3=
|
0,3
|
| Среднеквадратичская ошибка
|
566,6
|
a1t
|
-0,0645
|
| a2t
|
57,098
|
5 Выбор лучшей модели
Представим все рассмотренные модели в виде таблицы, содержащей среднюю абсолютную и среднеквадратическую ошибки.
| Модель
|
Cредняя абсолютная ошибка
|
Среднеквадратическая ошибка
|
Коэффициент детерминации
|
| Линейная модель
|
6,35
|
59,3
|
0,93%
|
| Полиномиальная модель
|
1,14
|
2
|
96,61%
|
| Экспоненциальная модель
|
6,3
|
59,6
|
0,7%
|
| Экспоненциальное сглаживание (a=0,25)
|
6,34
|
61
|
27%
|
| Двухпараметрическая модель Хольта (t=1, a1
=0,5, a2
=0,5)
|
8,48
|
401
|
69%
|
| Трехпараметрическая модель Бокса и Дженкинса (t=1, a1
=0,8, a2
=0,2, a3
=0,1)
|
7,63
|
228,7
|
53%
|
Лучшей является полиномиальная модель МНК. Её и проверим на адекватность. Для проверки воспользуемся ППП Statistica. Импортируем данные в программу, предварительно преобразовав их. Нам необходимо привести модель к линейному виду, т.к. для проверки адекватности модель должна быть линейной. Для этого прологарифмируем обе части уравнения . Получим: ln y=ln a1+a2*ln x. В нашем случае уравнение модели записывается в следующем виде: у=1195,7*е0,0154*х
. Произведение а2*ln x можно представить в виде временного ряда, т.к. значения х нам известны и для упрощения расчетов. Тогда в ППП Statistica импортируем в качестве первого параметра – ВР, полученный умножением х на 0,0154, а в качестве второго параметра – логарифмированный ряд исходных значений у.

Для проверки гипотезы об адекватности модели в целом используется F-статистика (статистика Фишера). Для того, чтобы принять гипотезу об адекватности модели, необходимо, чтобы этот показатель был достаточно высок, а соответствующая ей вероятность р как можно ниже. У нас F=238,82, а р=0,0000, что показывает высокую достоверность данных. Множественная регрессия высоко значима.
Далее можно определить значимость (адекватность) коэффициентов в модели.

Для оценки значимости коэффициентов рассматривается показатель р – level. Значения этого показателя равны нулю и для свободного члена, и для переменной х (Var 1), следовательно, нулевую гипотезу о незначимости коэффициентов можно отвергнуть.
Остатки – это разность между исходными (наблюдаемыми) значениями зависимой переменной и предсказанными значениями. Исследование остатков также показывают степень адекватности модели. По основному предположению МНК в остатках должна отсутствовать автокорреляция.

Получили d=1,96751, что говорит об адекватности нашей модели.
Заключение
В данной курсовой работе рассматривались данные по полугодиям за 20 лет и осуществлялся прогноз на момент времени t=41 и 42, что соответствовало I и II полугодиям 2010 года. Были построены следующие модели прогнозирования потребления мясопродукции на человека:
- с использованием метода наименьших квадратов (линейная, экспоненциальная и полиномиальная, Excel),
- экспоненциальное сглаживание (Excel),
- модель Хольта (Excel),
-модель Бокса и Дженкинса (Excel).
Выбранные модели дают довольно различные результаты, и лучшие результаты были получены при использовании полиномиальной модели метода наименьших квадратов и модели Хольта. Результаты вычислений представлены в таблицах. Рассчитана абсолютная ошибка прогноза и средняя относительная ошибка прогноза, статистика Дарбина-Уотсона. Именно эти показатели рассматривались в качестве критерия для выбора модели, дающей наилучшее прогнозное значение интересующей нас переменной, т.е. общего числа страховых организаций.
Список использованных источников
1. Бабкова Е.В. и др. «Методы прогнозирования показателей развития сложных систем», Уфа 2005.
2. Боровиков В.П., Ивченко Г.И. Прогнозирование в системе STATISTICA в среде Windows. - М. : Финансы и статистика : 2000. – 384 с.
3. www.gks.ru – Росстат.
|