| Методические рекомендации
по содержанию и организации деятельности
предметной комиссии по физике
региональной экзаменационной комиссии
государственной итоговой аттестации в 2011 году
| Методист кафедры
естественнонаучного образования
ГАОУ ДПО «СарИПКиПРО»
Спирин Алексей Сергеевич
|
Саратов
2011
СОДЕРЖАНИЕ
Методические рекомендации по организации деятельности предметной комиссии по физике. 5
Организационно-технологическое сопровождение. 7
Проверка экзаменационных работ. 8
Методические рекомендации. 11
Оценивание выполнения заданий с развернутым ответом. 13
Схема оценивания экспериментального задания 1-го типа.. 14
Схема оценивания экспериментального задания 2-го типа.. 15
Расчетные задачи. 17
Качественные задачи. 20
Первый тип качественных задач.. 20
Второй тип качественных задач.. 21
Материалы для практических занятий экспертов по проверке и оценке выполнения заданий с развернутым ответом. 23
Пример 1 (экспериментальное задание 1-го типа). 23
Пример 2 (экспериментальное задание 2-го типа). 29
Пример 3. (расчетная задача). 36
Пример 4. (расчетная задача). 39
Пример 5. (качественная задача). 44
Пример 6. (качественная задача). 46
Памятка для экспертов. 49
Список литературы.. 51
Список рекомендуемых сайтов. 53
Цели создания, состав и задачи предметной комиссии
Основной целью государственной (итоговой) аттестации выпускников основной школы по физике (в новой форме) является проведение открытой и объективной процедуры оценивания учебных достижений школьников, обладающей широкими дифференцирующими возможностями, результаты которой будут непосредственно учитываться при формировании профильных классов старшей школы. Основательная и разносторонняя проверка знаний, умений и навыков на базовом уровне – это существенная и принципиальная особенность рассматриваемых экзаменационных материалов.
В целях обеспечения качественной оценки экзаменационных работ государственной (итоговой) аттестации обучающихся общеобразовательных учреждений, освоивших образовательные программы основного и среднего (полного) общего образования, министерством образования области ежегодно формируются предметные комиссии по каждому предмету аттестации (далее- Комиссии).
Предметные комиссии создаются с учетом предложений органов местного самоуправления, осуществляющих управление в сфере образования и учреждений профессионального образования, из числа наиболее квалифицированных и авторитетных специалистов в данных образовательных областях. Персональный состав и сроки работы Комиссий утверждает министерство образования Саратовской области на основании решений государственной и региональной экзаменационных комиссий (далее – ГЭК, РЭК).
Забиваем Сайты В ТОП КУВАЛДОЙ - Уникальные возможности от SeoHammer
Каждая ссылка анализируется по трем пакетам оценки: SEO, Трафик и SMM.
SeoHammer делает продвижение сайта прозрачным и простым занятием.
Ссылки, вечные ссылки, статьи, упоминания, пресс-релизы - используйте по максимуму потенциал SeoHammer для продвижения вашего сайта.
Что умеет делать SeoHammer
— Продвижение в один клик, интеллектуальный подбор запросов, покупка самых лучших ссылок с высокой степенью качества у лучших бирж ссылок.
— Регулярная проверка качества ссылок по более чем 100 показателям и ежедневный пересчет показателей качества проекта.
— Все известные форматы ссылок: арендные ссылки, вечные ссылки, публикации (упоминания, мнения, отзывы, статьи, пресс-релизы).
— SeoHammer покажет, где рост или падение, а также запросы, на которые нужно обратить внимание.
SeoHammer еще предоставляет технологию Буст, она ускоряет продвижение в десятки раз,
а первые результаты появляются уже в течение первых 7 дней.
Зарегистрироваться и Начать продвижение
Численный состав Комиссий определяется, исходя из числа участников государственной (итоговой) аттестации и ЕГЭ по соответствующему общеобразовательному предмету в текущем году, а также с учетом сроков и нормативов проверки экзаменационных работ. В состав Комиссий входят председатель, заместители председателя и члены Комиссии (эксперты). До начала проведения аттестации члены предметной комиссии обязаны пройти обучение в соответствии с планом-графиком подготовки и проведения государственной (итоговой) аттестации обучающихся. В соответствии с приказом министерства образования эксперты могут совмещать участие в проверке работ обучающихся IX классов с проверкой заданий с развёрнутым ответом ЕГЭ в соответствии со сроками работы комиссий. Во время аттестации председатель Комиссии осуществляет руководство проверкой экзаменационных работ обучающихся IX и XI (XII) классов
Комиссия в своей работе руководствуется:
1. Законодательством Российской Федерации;
2. Нормативными правовыми актами и инструктивно-методическими документами Министерства образования и науки РФ и Рособрнадзора по вопросам организации государственной (итоговой) аттестации обучающихся общеобразовательных учреждений, освоивших образовательные программы основного образования и ЕГЭ;
3. Положениями о государственной и региональной экзаменационных комиссиях;
4. Решениями государственной и региональной экзаменационных комиссий;
5. Положениями о порядке проведения государственной (итоговой) аттестации на территории Саратовской области;
6. Распорядительными актами и инструктивными документами министерства образования Саратовской области по вопросам организации и проведения государственной (итоговой) аттестации и ЕГЭ;
7. Положениями о конфликтной комиссии Саратовской области, муниципальной (окружной) конфликтной комиссии;
8. «Положением о предметных комиссиях государственной и региональной экзаменационных комиссий», утверждённым приказом министерства образования Саратовской области 23.09.2010 № 2447.
Комиссия выполняет следующие задачи:
Сервис онлайн-записи на собственном Telegram-боте
Попробуйте сервис онлайн-записи VisitTime на основе вашего собственного Telegram-бота:
— Разгрузит мастера, специалиста или компанию;
— Позволит гибко управлять расписанием и загрузкой;
— Разошлет оповещения о новых услугах или акциях;
— Позволит принять оплату на карту/кошелек/счет;
— Позволит записываться на групповые и персональные посещения;
— Поможет получить от клиента отзывы о визите к вам;
— Включает в себя сервис чаевых.
Для новых пользователей первый месяц бесплатно.
Зарегистрироваться в сервисе
1. Обеспечивает независимый порядок проверки и оценивания экзаменационных работ участников государственного выпускного экзамена, заданий с развёрнутым ответом участников государственной (итоговой) аттестации и ЕГЭ;
2. Проводит анализ типичных ошибок и затруднений, возникающих у обучающихся и участников аттестации в ходе выполнения экзаменационных работ;
3. Разрабатывает рекомендации по совершенствованию подготовки школьников по данному предмету.
Комиссия вправе:
1. Готовить и передавать ГЭК и РЭК предложения по содержанию и структуре экзаменационных заданий, требований и критериев оценивания ответов для направления в Рособрнадзор;
2. Готовить рекомендации о мерах по совершенствованию методики подготовки по соответствующему общеобразовательному предмету для направления в муниципальные методические службы Саратовской области;
3. Сообщать в ГЭК и РЭК об обнаружении в экзаменационных работах некорректных заданий.
Деятельность Комиссии регламентируется Законом Российской Федерации «Об образовании» от 10.07.1992 № 3266-1, положением о государственной (итоговой) аттестации выпускников IX, XI (XII) классов общеобразовательных учреждений Российской Федерации, утверждённым приказом Минобразования России от 3 декабря 1999 года № 1075, зарегистрированным Минюстом России 17.02.2000 № 2114 (с изменениями и дополнениями в ред. приказов Минобразования России от 16.03.2001 г. № 1022, от 25.06.2002 г. № 2398, от 21.01.2003 г. № 135); приказом министерства образования и науки Российской Федерации (Минобрнауки России) от 24 февраля 2009 г. №57 «Об утверждении Порядка проведения единого государственного экзамена»; положением о формах и порядке проведения государственной (итоговой) аттестации обучающихся, освоивших основные общеобразовательные программы среднего (полного) общего образования, утверждённым приказом Министерства образования и науки Российской Федерации от 28.11.2008 г. № 362; приказом министерства образования Саратовской области от 30.09.10 № 2539 «О порядке проведения государственной (итоговой) аттестации обучающихся IX классов в 2011 году»; «Положением о предметных комиссиях государственной и региональной экзаменационных комиссий», утверждённым приказом министерства образования Саратовской области 23.09.2010 № 2447
Виды деятельности и функции лиц, привлекаемых
к организационно-технологическому сопровождению проведения аттестации и проверке экзаменационных работ.
К организационно-технологическому сопровождению проведения Аттестации привлекаются следующие категории лиц:
· муниципальные координаторы проведения Аттестации,
· специалисты «Регионального центра оценки качества образования»: администратор по работе с базами данных участников Аттестации, администратор проекта, начальники смен, координаторы станции экспертизы,старший верификатор и верификаторы бланков, операторы сканирования бланков, ответственные за подготовку, выдачу и приёмку экзаменационных материалов, бухгалтерские работники.
К проверке экзаменационных работ привлекаются следующие категории лиц:
· председатели предметных комиссий,
· заместители председателей предметных комиссий,
· члены предметных комиссий (эксперты),
· методисты по предметам.
Председатель предметной комиссии:
· инструктирует членов предметной комиссии о порядке проведения проверки и оценивания экзаменационных работ;
· обеспечивает своевременную проверку экзаменационных работ;
· контролирует исполнение заместителями председателя предметной комиссии их функциональных обязанностей;
· отвечает за обеспечение режима хранения и информационной безопасности при проверке работ, передаче протоколов проверки в РЦОКО;
· информирует государственную экзаменационную комиссию, региональную экзаменационную комиссию, министерство образования области о ходе проверки экзаменационных работ, об обнаружении некорректных заданий в экзаменационных работах, о ситуациях, препятствующих своевременному исполнению комиссией своих обязанностей по проверке экзаменационных работ;
· участвует в работе конфликтных комиссий по запросу;
· отвечает за подготовку аналитического отчёта о результатах работы предметной комиссии.
Заместители председателя предметных комиссий осуществляют:
· информирование членов комиссии о режиме работы;
· регистрацию членов комиссии по прибытии на проверку;
· распределение экспертов по аудиториям согласно спискам;
· получение экзаменационных материалов из РЦОКО;
· передачу экзаменационных материалов экспертам;
· консультирование членов комиссии;
· обобщение информации о рабочем времени членов комиссии;
· сбор данных о членах комиссии и подготовку договоров на оплату труда;
· замену экспертов в случае болезни;
· контроль режима работы и оформления экспертами протоколов проверки;
· выборочную перепроверку экзаменационных работ;
· передачу проверенных работ и экзаменационных материалов в РЦОКО;
· подготовку материалов к заседанию конфликтной комиссии;
· подготовку подробного аналитического отчета.
Члены предметных комиссий (эксперты) обязаны:
· осуществляют проверку экзаменационных работ в соответствии с требованиями рекомендаций и инструкций организации-разработчика и оценивают их, придерживаясь установленных критериев оценивания выполнения экзаменационных заданий;
· независимо от других экспертов в соответствии с установленными требованиями оформляют протоколы проверки экзаменационных работ и информируют о результатах проверки заместителя председателя предметной комиссий;
· могут привлекаться к работе конфликтной комиссии;
проведения аттестации.
Муниципальные координаторы осуществляют доставку контрольных измерительных материалов в ППЭ и экзаменационных материалов всех ППЭ, действующих на территории муниципального района (городского округа), в РЦОКО в день проведения экзамена.
В РЦОКО ответственными за подготовку, выдачу и приёмку экзаменационных материалов осуществляется приёмка, проверка целостности доставочной упаковки и обработка экзаменационных материалов.
Операторами сканирования и верификаторами осуществляется подготовка электронных копий экзаменационных работ и протоколов проверки.
Обработка и проверка работ обучающихся IX классов может осуществляться с использованием технологии «со сканированием» или с использованием технологии «без сканирования». При использовании технологии «со сканированием» бланки ответов и бланки, содержащие формульные ответы (если таковое сканирование бланков этого типа было указано при подготовке экзамена) после проведения экзамена сканируются, распознаются и верифицируются в РЦОКО. При данной технологии эксперты оценивают выполнение заданий с развёрнутым ответом.
В случае использования технологии обработки и проверки «без сканирования» РЦОКО осуществляет шифровку работ обучающихся IX классов до начала их проверки экспертами предметных комиссий. В случае использования технологии «со сканированием» обработка и шифрование экзаменационных бланков осуществляется РЦОКО с использованием специальных аппаратно-программных средств.
Начальник смены комплектует и представляет экзаменационные материалы, в том числе работы обучающихся для проверки экспертами предметной комиссии. Экзаменационные материалы передаются заместителю председателя предметной комиссии. Прием и передача экзаменационных материалов регистрируется в специальном журнале.
По окончании смены заместители председателей предметных комиссий предоставляют начальнику смены экзаменационные материалы, в том числе проверенные работы обучающихся и протоколы проверки.
Операторами сканирования осуществляется подготовка электронных копий результатов проверки. Начальник смены формирует электронные файлы-ведомости на основании протоколов проверки. Администратор баз данных осуществляет подготовку протоколов результатов экзаменов с данными по каждому обучающемуся.
На основании протоколов проверки экспертов и результатов РЦОКО формирует статистическую информацию по результатам проверки.
Непосредственно по завершению обработки и проверки экзаменационных работ участников Аттестации РЦОКО направляет протоколы проведения экзаменов в Региональную экзаменационную комиссию для утверждения и после утверждения – в органы местного самоуправления.
К проверке экзаменационных работ привлекаются эксперты в соответствии с приказом министерства образования Саратовской области «О составе предметных комиссий государственной и региональной экзаменационных комиссий».
Работа по проверке экзаменационных работ экспертами организуется посменно в дни, установленные графиком работы предметной комиссии, утверждаемым министерством образования.
Общая численность смены составляет не более 150 экспертов.
Эксперт получает индивидуальный комплект экзаменационных материалов с протоколом проверки у заместителя председателя предметной комиссии.
По завершению работы эксперт обязан сдать заместителю председателя предметной комиссии все проверенные экзаменационные работы с протоколами проверки.
Учет рабочего времени и количества проверенных работ фиксируется заместителем председателя предметной комиссии.
Предметная комиссия при проверке работ обучающихся руководствуется Положением о предметных комиссиях государственной и региональной экзаменационных комиссий и регламентами проведения государственной (итоговой) аттестации обучающихся IX классов по предметам, Порядком проведения единого государственного экзамена и настоящим Положением.
Председатель или заместитель предметной комиссии осуществляет инструктаж членов комиссии по порядку проведения проверки и оценивания экзаменационных работ.
Заместитель председателя предметной комиссии организует выдачу экспертам комплектов со сканированными копиями работ обучающихся, осуществляя учёт их передачи и приёма.
Распределение между экспертами рабочих комплектов с бланками развёрнутых ответов ЕГЭ, а также определение необходимости проверки третьим экспертом осуществляются автоматизированно, с использованием специализированных аппаратно-программных средств РЦОКО.
Член Комиссии (эксперт) вправе:
1. получать разъяснения по вопросам, касающимся процедуры проверки заданий с развернутым ответом, применения (использования) критериев оценивания экзаменационных работ, а также другие необходимые для работы материалы и документы, обсуждать с председателем Комиссии процедурные вопросы проверки экзаменационных работ;
2. требовать организации необходимых условий труда, согласовывать с председателем Комиссии план-график работ;
3. принимать участие в обсуждении аналитического отчета о работе Комиссии, типичных ошибок и затруднений, возникших у обучающихся в ходе выполнения экзаменационных заданий, вносить свои предложения.
Член Комиссии (эксперт) обязан:
1. Объективно проверять выполнение работ обучающимися и участниками ЕГЭ в соответствии с требованиями рекомендаций и инструкций организации –разработчика и Рособрнадзора, оценивать их, придерживаясь установленных критериев оценивания выполнения экзаменационных заданий, фиксируя в работе выявленные ошибки;
2. Профессионально и добросовестно выполнять возложенные на него функции, соблюдать этические и моральные нормы;
3. Соблюдать конфиденциальность и установленный порядок обеспечения информационной безопасности при проверке экзаменационных работ;
4. Информировать председателя Комиссии о проблемах, возникающих при проверке;
5. Незамедлительно информировать руководство РЭК и ГЭК в письменной форме о случаях нарушения процедуры проверки и режима информационной безопасности, а также иных нарушениях в работе с документацией в деятельности Комиссии.
Член Комиссии может быть исключен из её состава в следующих случаях:
1. предоставления о себе недостоверных сведений;
2. утери подотчетных документов;
3. невыполнения или ненадлежащего исполнения возложенных на него обязанностей;
4. возникновения конфликта интересов (наличие близких родственников, которые участвуют в государственной (итоговой) аттестации в текущем году).
Решение об исключении члена предметной комиссии из её состава принимается ГЭК или РЭК на основании аргументированного представления председателя Комиссии.
В случае нарушения требований конфиденциальности и информационной безопасности, злоупотреблений установленными полномочиями, совершенных из корыстной или иной личной заинтересованности, члены Комиссии несут ответственность в соответствии с законодательством РФ.
Протоколы проверки и экзаменационные материалы передаются заместителю председателя предметной комиссии.
С целью контроля за объективностью проверки экспертами работ обучающихся IX классов заместителем председателя предметной комиссий осуществляется выборочная повторная проверка экзаменационных работ за рабочую смену. По итогам выборочных повторных проверок заместитель председателя предметной комиссии составляет протокол повторных проверок. В случае изменения оценки эксперта, в протоколы проверки вносится новая отметка. Заместитель председателя предметной комиссии знакомит эксперта с результатами повторной проверки.
По итогам проверки заместитель председателя готовит отчет о количестве работ, проверенных экспертами.
по содержанию проверки предметной комиссией по физики
Содержание экзаменационной работы определяется на основе Федерального компонента государственного стандарта основного общего образования по физике (Приказ Минобразования России от 05.03.2004 г. № 1089 «Об утверждении федерального компонента государственных образовательных стандартов начального общего, основного общего и среднего (полного) общего образования»).
Содержание экзамена по математике регламентируется следующими документами:
- Обязательный минимум содержания основного общего образования по математике (приложение к Приказу Минобразования России от 19.05.1998 №1276 «Об утверждении временных требований к обязательному минимуму содержания основного общего образования»).
- Федеральный компонент государственного стандарта общего образования. Математика. Основное общее образование (Приказ Минобразования России от 05.03.2004 №1089 «Об утверждении федерального компонента государственных образовательных стандартов начального общего, основного общего и среднего (полного) общего образования»).
Общие подходы к проверке и оцениванию работ обучающихся.
Федеральный институт педагогических измерений (ФИПИ), основной разработчик контрольно-измерительных материалов (КИМ) для проведения государственной (итоговой) аттестации обучающихся IX классов, размещает на сайте www.fipi.ru кодификаторы тем содержания, спецификации и демонстрационные варианты КИМов по предметам для аттестации за курс основной школы. В данных материалах представлены «Система оценивания экзаменационной работы» и «Решения и критерии оценивания к заданиям части 2». Кроме этого институт публикует и методические рекомендации для экспертов по проверке работ.
Член Комиссии обязан объективно проверять выполнение работ обучающимися в соответствии с требованиями рекомендаций ФИПИ и Рособрнадзора, оценивать их, придерживаясь установленных критериев. Поэтому экспертам необходимо заблаговременно ознакомиться с общими подходами в оценивании работ, обозначенными разработчиками в характеристиках работ данного года.
Каждый вариант экзаменационной работы состоит из трех частей и включает 25 заданий, различающихся формой и уровнем сложности (см. таблицу 1).
Часть 1 содержит 18 заданий с выбором ответа. К каждому заданию приводится 4 варианта ответа, из которых верен только один.
Часть 2 включает 3 задания, к которым требуется привести краткий ответ в виде набора цифр. Задания 19 и 20 представляют собой задания на установление соответствия позиций, представленных в двух множествах. Задание 21 предполагает выбор двух правильных утверждений из предложенного перечня (множественный выбор).
Часть 3 содержит 4 задания, для которых необходимо привести развернутый ответ. Задание 22 представляет собой практическую работу, для выполнения которой используется лабораторное оборудование.
В экзаменационной работе представлены задания разного уровня сложности: базового, повышенного и высокого.
Задания базового уровня включены в первую часть работы (14 заданий с выбором ответа) и во вторую часть (задания 19 и 20). Это простые задания, проверяющие усвоение наиболее важных физических понятий, явлений и законов, а также умение работать с информацией физического содержания.
Задания повышенного уровня распределены между всеми частями работы: четыре задания с выбором ответа, одно задание с кратким ответом и одно задание с развернутым ответом. Все они направлены на проверку умения использовать понятия и законы физики для анализа различных процессов и явлений, а также умения решать качественные и расчетные задачи по какой-либо из тем школьного курса физики.
Задания 22, 24 и 25 третьей части являются заданиями высокого уровня сложности и проверяют умение использовать законы физики в измененной или новой ситуации при решении задач, а также проводить экспериментальные исследования. Включение в третью часть работы заданий высокого уровня сложности позволяет дифференцировать учащихся при отборе в профильные классы.
В таблице 1 представлено распределение заданий по уровню сложности.
Таблица 1
. Р
аспределение заданий по уровню
| Уровень
сложности
заданий
|
Число
заданий
|
Максимальный
первичный
балл
|
Процент максимального
первичного балла за задания
данного уровня сложности от
максимального первичного
балла за всю работу, равного 36
|
| Базовый
|
16
|
18
|
50%
|
| Повышенный
|
6
|
8
|
22%
|
| Высокий
|
3
|
10
|
28%
|
| Итого:
|
25
|
36
|
100%
|
В экзаменационном варианте перед каждым типом задания предлагается инструкция, в которой приведены общие требования к оформлению ответов.
На основе баллов, выставленных за выполнение всех заданий работы, подсчитывается тестовый балл, который переводится в отметку по пятибалльной шкале в соответствии с рекомендациями по использованию и интерпретации результатов выполнения экзаменационных работ для проведения государственной (итоговой) аттестации выпускников основной школы в новой
форме в 2011 году.
Таблица 2
. Схема перевода общего балла в отметки по 5-балльной шкале
| Отметка по пятибалльной шкале
|
«2»
|
«3»
|
«4»
|
«5»
|
| Отметка
|
0-8
|
9-17
|
18-26
|
27-36
|
В экзаменационные материалы, по демонстрационной версии 2011 года, включены три типа заданий с развернутым ответом (экспериментальное задание, расчетные задачи и качественные вопросы). Именно эти типы заданий позволяют осуществить полноценную проверку двух контролируемых видов деятельности: освоение экспериментальных умений и решение задач различного типа.
Экспериментальное задание (задание 22), которое проверяет умение проводить косвенные измерения физических величин или умение представлять экспериментальные результаты в виде таблиц или графиков и делать выводы на основании полученных экспериментальных данных. Максимальный балл за выполнение задания — 4 балла.
Расчетные задачи (задания 23 и 24), для которых необходимо представить подробное решение и получить численный ответ.
Качественная задача (задание 25), представляющее собой описание явления или процесса из окружающей жизни, для которого учащимся необходимо привести цепочку рассуждений, объясняющих протекание явления, особенности его свойств и т.п.
Для каждого из этих типов заданий разработаны свои обобщенные системы оценивания, которые представлены ниже.
Оценка границ интервала, внутри которого может оказаться результат прямых измерений, полученный учеником и который необходимо признать верным, рассчитывается методом границ. Для каждого задания в схемах оценивания приводятся следующие сведения:
1. Характеристика оборудования. В ней указывается перечень оборудования из соответствующего комплекта.
2. Образец возможного выполнения. В нем отмечены все элементы, подлежащие оцениванию, и приведены возможные границы измерений при использовании указанного оборудования, а также приведено указание экспертам по оценке границ интервала или комментарии по анализу полученных результатов.
3. Критерии оценки выполнения задания. В критериях описано полное правильное выполнение задания, указаны величины, для которых в данном случае проводятся прямые измерения, и перечислены условия выставления от 0 до максимально возможных 4 баллов.
| Характеристика оборудования
|
| - При выполнении задания используется комплект оборудования № (перечисляется состав соответствующего комплекта оборудования)
Внимание!
При замене какого-либо элемента оборудования на аналогичное с другими характеристиками необходимо внести соответствующие изменения в образец выполнения задания.
|
| Образец возможного выполнения
|
| 1) Схема экспериментальной установки.
2) Запись формулы.
3) Результаты прямых измерений с указанием допустимых границ.
4) Значение косвенного измерения (с указанием допустимых границ).
Указание экспертам
Приводится рассчитанная методом границ оценка границ интервала, внутри которого может оказаться результат, полученный учеником, который необходимо признать верным (приводится расчет для данного задания).
|
| Критерии оценки выполнения задания
|
Баллы
|
| Полностью правильное выполнение задания, включающее:
1) схематичный рисунок экспериментальной установки;
2) формулу для расчета искомой величины по доступным для измерения величинам;
3)
правильно записанные результаты прямых измерений (указываются физические величины, прямые измерения которых необходимо провести в данном задании);
4) полученное правильное числовое значение искомой величины.
|
4
|
| Приведены все элементы правильного ответа 1-4, но
—
допущена ошибка при вычислении значения искомой величины;
ИЛИ
— допущена ошибка при переводе одной из измеренных величин в СИ, что привело к ошибке при вычислении значения искомой величины;
ИЛИ
— допущена ошибка в схематичном рисунке экспериментальной установки, или рисунок отсутствует.
|
3
|
| Сделан рисунок экспериментальной установки, правильно приведены результаты прямых измерений величин, но не записана формула для расчета искомой величины и не получен ответ.
ИЛИ
Правильно приведены результаты прямых измерений величин, записана формула для расчета искомой величины, но не получен ответ и не приведен рисунок экспериментальной установки.
ИЛИ
Правильно приведены результаты прямых измерений, приведен правильный ответ, но отсутствуют рисунок экспериментальной установки и формула для расчета искомой величины.
|
2
|
| Записаны только правильные результаты прямых измерений.
ИЛИ
Приведен правильный результат только одного из прямых измерений, и представлена правильно записанная формула для расчета искомой величины.
ИЛИ
Приведен правильный результат только одного из прямых измерений, и сделан рисунок экспериментальной установки.
|
1
|
| Все случаи выполнения, которые не соответствуют вышеуказанным критериям выставления 1, 2, 3 или 4 баллов. Разрозненные записи. Отсутствие попыток выполнения задания.
|
0
|
| Характеристика оборудования
|
| - При выполнении задания используется комплект оборудования № (перечисляется состав соответствующего комплекта оборудования)
Внимание!
При замене какого-либо элемента оборудования на аналогичное с другими характеристиками необходимо внести соответствующие изменения в образец выполнения задания.
|
| Образец возможного выполнения
|
| 1)
Схема экспериментальной установки.
2) Результаты прямых измерений с указанием допустимых границ.
3) Вывод о качественной зависимости одной физической величины от другой.
|
| Критерии оценки выполнения задания
|
Баллы
|
| Полностью правильное выполнение задания, включающее:
1) правильно выполнен рисунок экспериментальной установки;
2)
правильно записанные результаты прямых измерений (указываются физические величины, прямые измерения которых необходимо провести в данном задании);
3)
правильно записанные результаты косвенных измерений (указываются физическая величина, косвенные измерения которой необходимо провести в данном задании);
4)
сформулированный правильный вывод.
|
4
|
| Приведены все элементы правильного ответа 1-4, но
— допущена ошибка в единицах измерения одной из измеренных (вычисленных) величин;
ИЛИ
— допущена ошибка в схематичном рисунке экспериментальной установки, или рисунок отсутствует;
ИЛИ
- допущена ошибка при формулировке вывода, или вывод отсутствует.
|
3
|
| Сделан рисунок экспериментальной установки, правильно приведены значения прямых измерений величин, но не записана формула для расчета искомой величины и не получен вывод.
ИЛИ
Правильно приведены результаты прямых измерений величин, записана формула для расчета искомой величины, но расчеты не приведены и вывод отсутствует.
ИЛИ
Сделан рисунок экспериментальной установки, сформулирован вывод, но в одном из экспериментов присутствует ошибка в измерениях.
|
2
|
| Записаны только правильные результаты прямых измерений.
ИЛИ
Сделан рисунок экспериментальной установки и частично приведены результаты верных прямых измерений.
|
1
|
| Все случаи выполнения, которые не соответствуют вышеуказанным критериям выставления 1, 2, 3 или 4 баллов. Разрозненные записи. Отсутствие попыток выполнения задания.
|
0
|
Для организаторов проведения экзамена предусмотрена замена рекомендуемого оборудования на аналогичное с другими характеристиками. В этом случае представители региональной экзаменационной комиссии, участвующие в подготовке лабораторного оборудования, в разделе «Характеристика оборудования» указывают изменения характеристик используемого оборудования, а в разделе «Образец выполнения задания» исправляют значения измерений и указывают новые допустимые границы. При проверке экзаменационных работ эксперты получают критерии оценивания экспериментальных заданий с учетом внесенных изменений.
Важно отметить, что экспериментальное задание, в первую очередь, проверяется умение проводить измерения
. Поэтому записанные результаты прямых измерений при отсутствии других элементов ответа оцениваются в 1 балл. Выполнение других элементов ответа (выполнение схематичного рисунка экспериментальной установки и запись формулы для расчета искомой величины) при отсутствии результата хотя бы одного прямого измерения оценивается в 0 баллов.
При анализе результатов экзамена экспериментальное задание считается выполненным верно,
если экзаменуемый набрал 3 или 4 балла.
Экзаменационный вариант 2010 г. содержит две расчетные задачи, которые оцениваются в соответствии с единой обобщенной системой оценивания. Требования к качеству выполнения этих заданий приведены в инструкции для учащихся перед текстом этих заданий.
| Задания 24 и 25 представляют собой задачи, для которых необходимо записать полное решение. Полное правильное решение задач должно включать запись краткого условия задачи (Дано), запись формул, применение которых необходимо и достаточно для решения задачи, а также математические преобразования и расчеты, приводящие к числовому ответу. При необходимости следует сделать рисунок, поясняющий решение
.
|
При составлении критериев оценивания решения расчетных задач, по возможности, учтены наиболее типичные ошибки или недочеты, допускаемые учащимися, и определено их влияние на выставляемый балл.
Для каждой задачи в качестве ориентира приводится авторский способ решения, предлагаемый разработчиком. Однако этот способ решения не является определяющим для построения шкалы оценивания работ учащихся. Не является он и образцом решения, оцениваемого в три балла. Эксперту предлагается система оценивания, которая может применяться при рассмотрении альтернативного авторскому способа решения задачи. Обобщенная схема, используемая в ГИА 2010 г. приведена ниже.
| Критерии оценки выполнения задания
|
Баллы
|
| Приведено полное правильное решение, включающее следующие элементы:
1) верно записано краткое условие задачи;
2) записаны уравнения и формулы, применение которых необходимо и достаточно
для решения задачи выбранным способом ( в данном случае — перечисляются соответствующие формулы и законы)
;
3) выполнены необходимые математические преобразования и расчеты, приводящие к правильному числовому ответу, и представлен ответ. При этом допускается решение "по частям" (с промежуточными вычислениями).
|
3
|
| —
Правильно записаны необходимые формулы, проведены вычисления, и получен ответ (верный или неверный), но допущена ошибка в записи краткого условия или переводе единиц в СИ.
ИЛИ
— Представлено правильное решение только в общем виде, без каких-либо числовых расчетов.
ИЛИ
— Записаны уравнения и формулы, применение которых необходимо и достаточно
для решения задачи выбранным способом, но в математических преобразованиях или вычислениях допущена ошибка.
|
2
|
| — Записаны и использованы не все исходные формулы, необходимые для решения задачи.
ИЛИ
— Записаны все исходные формулы, но в ОДНОЙ из них допущена ошибка.
|
1
|
| Все случаи решения, которые не соответствуют вышеуказанным критериям выставления оценок в 1, 2, 3 балла.
|
0
|
Комментарии к обобщенной системе оценивания расчетных задач:
1. Если отсутствует запись краткого условия задачи, то максимальный балл не выставляется.
2. Если в работе допущена ошибка в определении исходных данных по графику, рисунку, таблице, но остальное решение выполнено полно и без ошибок, то максимальный балл не выставляется.
3. Если в решении задачи записаны утверждения, законы или формулы, которые затем не использовались в ходе решения, то ошибки в этих записях не влияют на оценивание и не являются основанием для снижения оценки.
4. В настоящее время при решении заданий с развернутым ответом не требуется записи каких-либо комментариев об используемых законах или формулах и проверки полученного ответа «в общем виде» по единицам измерения входящих в неё величин.
5. Отсутствие промежуточных этапов между первоначальной системой уравнений и окончательным ответом (т.е. математических преобразований) может служить основанием для снижения оценки на 1 балл. Однако допускается вербальное указание на проведение преобразований без их алгебраической записи с предоставлением исходных уравнений и результата этого преобразования.
Возможны случаи, когда работа содержит:
a.
правильное решение с опиской, не повторяющейся в ходе решения и не влияющей на получение правильного ответа.
В подобных случаях рекомендуем не обращать внимания на описки и оценивать работу так, будто описки нет. К опискам относятся те ошибки, которые исправлены в последующем решении, не повторяются в нем, или, не влияя на логику решения, противоречат ей, являясь результатом невнимательности. Это может быть незначительная и не сказавшаяся на преобразованиях путаница в индексах, отсутствие показателей степени при учете этих степеней в последующих преобразованиях и т.п.
b.
решение, отличное от авторского (альтернативное решение).
Эксперт оценивает возможность решения конкретной задачи тем способом, который выбрал учащийся. Если ход решения учащегося допустим, то эксперт оценивает полноту и правильность этого решения на основании критериев оценивания.
c.
решение задачи, которой ученик "подменил" авторскую задачу.
Если же представлено решение другой задачи, в том числе, определяется значение другой величины, то решение оценивается в «0» баллов вне зависимости от полноты и правильности записей.
d.
правильное решение с правильно записанными исходными формулами, корректно проведенными алгебраическими преобразованиями и вычислениями, но с ошибкой в записи ответа.
В этом случае выставляется оценка «2».
e.
обозначения физических величин, не описанные в тексте задачи, решении или введенные на рисунке.
На данный момент от тестируемых не требуется обязательной расшифровки используемых в решении обозначений. Поэтому отсутствие указаний не снижает оценку. Однако если в решении одно и то же обозначение используется для разных величин, то оценка снижается на один балл — до двух баллов. Подобная неаккуратность приравнивается к ошибке в преобразованиях.
При анализе результатов экзамена расчетная задача считается решенной верно,
если экзаменуемый набрал 2 или 3 балла.
Каждый вариант экзаменационной работы включает одну качественную задачу, оцениваемую максимально в 2 балла. Все используемые в 2010 г. качественные задачи содержат два элемента правильного решения, но по характеристикам этих элементов выделяются два типа заданий.
Ответ на задачу предполагает два элемента:
1) правильный ответ на поставленный вопрос;
2) пояснение, базирующееся на знании свойств данного явления.
Например: «Какого цвета будут казаться красные розы, рассматриваемые через зеленое стекло? Ответ поясните».
В этом случае для выставления 1 балла достаточно правильного ответа на поставленный вопрос («Розы будут казаться черного цвета») или приведение корректных рассуждений без сформулированного явно ответа («Красные розы отражают свет в красной части спектра. Зеленое стекло пропускает лучи зеленой части спектра»).
Для заданий этого типа используется приведенная ниже обобщенная система оценивания:
| Критерии оценки выполнения задания
|
Баллы
|
| Представлено правильное решение, включающее правильный ответ (в данном случае[1]
— п.1) и достаточное обоснование, не содержащее ошибок (в данном случае — п. 2).
|
2
|
| Представлен правильный ответ на поставленный вопрос, но его обоснование некорректно или отсутствует.
ИЛИ
Представлены корректные рассуждения, приводящие к правильному ответу, но ответ явно не сформулирован.
|
1
|
| Представлены общие рассуждения, не относящиеся к решению задачи.
ИЛИ
Ответ на вопрос неверен, независимо от того, что рассуждения правильны, неверны или отсутствуют.
|
0
|
Ответ на задачу предполагает:
1) выбор одного из указанных в тексте задания вариантов ответа;
2) пояснение на основании имеющихся теоретических знаний.
Например: «Каким пятном (темным или светлым) ночью на неосвещенной дороге кажется пешеходу лужа в свете фар приближающегося автомобиля? Ответ поясните». В этом случае для выставления одного балла за решение недостаточно только указания на выбор одного из приведенных вариантов, а необходимо наличие частичного обоснования, или, по меньшей мере, указания физических явлений (законов), причастных к обсуждаемому вопросу (Например: «Зеркальное отражение света от поверхности лужи»).
В этом случае общая схема оценивания выглядит следующим образом.
| Критерии оценки выполнения задания
|
Баллы
|
| Представлено правильное решение, включающее ответ (в данном случае — п.1) и достаточное обоснование, не содержащее ошибок (в данном случае — п. 2).
|
2
|
| Представлено решение, содержащее правильный ответ на поставленный вопрос и обоснование. Но при этом обоснование не является достаточным, хотя содержит корректное указание на физические явления (законы), причастные к обсуждаемому вопросу
ИЛИ
Представлено обоснование, содержащее корректные рассуждения, приводящие к правильному ответу, но ответ явно не сформулирован.
|
1
|
| Представлены общие рассуждения, не относящиеся к решению данной задачи.
ИЛИ
Ответ на вопрос неверен, независимо от того, что рассуждения правильны, неверны или отсутствуют.
ИЛИ
Представлен только правильный ответ без обоснований.
|
0
|
При анализе результатов экзамена качественная задача считается решенной верно,
если экзаменуемый набрал 2 балла.
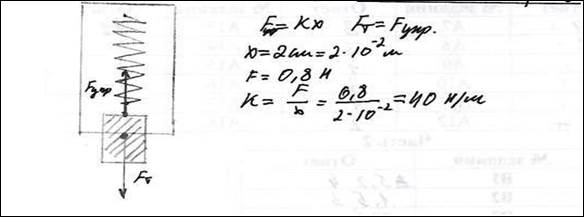
Используя штатив с муфтой и лапкой, пружину, динамометр, линейку и 2 груза, соберите экспериментальную установку для определения жесткости пружины. Определите жесткость пружины, подвесив к ней два груза. Для определения веса грузов воспользуйтесь динамометром.
В бланке ответов:
1) сделайте рисунок экспериментальной установки;
2) запишите формулу для расчета жесткости пружины;
3) укажите результаты измерения веса грузов и удлинения пружины;
4) запишите численное значение жесткости пружины.
| Характеристика оборудования
|
| При выполнении задания используется комплект оборудования № 3 в составе:
- штатив лабораторный с муфтой и лапкой;
- пружина жесткостью (40 ± 1) Н/м;
- 2 груза массой по (100 ± 2) г;
- динамометр школьный с пределом измерения 4 Н (погрешность 0,1 Н);
- линейка длиной 20-30 см с миллиметровыми делениями.
Внимание!
При замене какого-либо элемента оборудования на аналогичное с другими характеристиками необходимо внести соответствующие изменения в образец выполнения задания.
|
| Образец возможного выполнения
|
| 1. Схема экспериментальной установки:
2)
F
упр
=
mg
= Р ;
F
упр
=
kx
; =>
k
= Р/
x
3)
x
= 50 мм = 0,050 м
(измерение считается верным, если приведено в пределах от 48 до 52 мм, погрешность определяется главным образом погрешностью отсчета)
Р = 2
H
(измерение считается верным, если приведено в пределах от 1,9 до 2,1 Н)
4)
k
= 2/0,05 = 40 Н/м
(значение считается верным, если приведено в пределах от 36 до 44 Н/м)
Указание экспертам
Оценка границ интервала, внутри которого может оказаться результат, полученный учеником, который необходимо признать верным, рассчитывается методом границ. Так как k
= Р/
x
, то нижняя граница жесткости НГ(k
) = Р/х
= 1,9 Н / 0,052 м = 36,538 Н/м = 36 Н/м.
Верхняя граница ВГ(k
) = 2,1 Н / 0,048 м = 43,750 Н/м = 44 Н/м.
|
| Критерии оценки выполнения задания
|
Баллы
|
| Полностью правильное выполнение задания, включающее:
1) схематичный рисунок экспериментальной установки;
2) формулу для расчета искомой величины по доступным для измерения величинам (в данном случае для жесткости пружины через вес грузов и удлинение пружины);
3) правильно записанные результаты прямых измерений (в данном случае удлинения пружины и веса грузов
);
4) полученное правильное числовое значение искомой величины.
|
4
|
| Приведены все элементы правильного ответа 1-4, но
—
допущена ошибка при вычислении значения искомой величины;
ИЛИ
— допущена ошибка при переводе одной из измеренных величин в СИ, что привело к ошибке при вычислении значения искомой величины;
ИЛИ
— допущена ошибка в схематичном рисунке экспериментальной установки, или рисунок отсутствует.
|
3
|
| Сделан рисунок экспериментальной установки, правильно приведены результаты прямых измерений величин, но не записана формула для расчета искомой величины и не получен ответ.
ИЛИ
Правильно приведены результаты прямых измерений величин, записана формула для расчета искомой величины, но не получен ответ и не приведен рисунок экспериментальной установки.
ИЛИ
Правильно приведены результаты прямых измерений, приведен правильный ответ, но отсутствуют рисунок экспериментальной установки и формула для расчета искомой величины.
|
2
|
| Записаны только правильные результаты прямых измерений.
ИЛИ
Приведен правильный результат только одного из прямых измерений, и представлена правильно записанная формула для расчета искомой величины.
ИЛИ
Приведен правильный результат только одного из прямых измерений, и сделан рисунок экспериментальной установки.
|
1
|
| Все случаи выполнения, которые не соответствуют вышеуказанным критериям выставления 1, 2, 3 или 4 баллов. Разрозненные записи. Отсутствие попыток выполнения задания.
|
0
|
Пример 1.1 (4 балла)
Комментарий:
в данном варианте учащийся правильно выполнил задание.
Пример 1.2 (4 балла)
Комментарий:
дополнительные измерения, проведенные учащимся для одного груза, а также сформулированный вывод, не влияют на оценку выполнения задания.
Пример 1.3 (3 балла)

Комментарий:
в приведенном примере небрежно выполнен рисунок экспериментальной установки, а также не приведены единицы измеряемых величин.
Пример 1.4 (2балла)
Комментарий:
правильно приведены значения прямых измерений, приведен правильный ответ, но отсутствуют рисунок экспериментальной установки и формула для расчета искомой величины.
Пример 1.5 (1 балл)

Комментарий:
в данном варианте присутствует ошибка для одной из измеряемых величин.
Пример 1.6 (0 баллов)

Комментарий:
в данном варианте присутствуют ошибки для обеих измеряемых величин.
Пример 1.7 (0 баллов)

Комментарий:
в данном варианте присутствуют ошибки для обеих измеряемых величин.
Используя штатив с муфтой и лапкой, пружину, динамометр, линейку и набор из 3-х грузов, соберите экспериментальную установку для исследования зависимости силы упругости, возникающей в пружине, от степени растяжения пружины. Определите растяжение пружины, подвешивая к ней поочередно один, два и три груза. Для определения веса грузов воспользуйтесь динамометром.
В бланке ответов:
1)
сделайте рисунок экспериментальной установки;
2)
укажите результаты измерения веса грузов и удлинения пружины для трех случаев в виде таблицы (или графика);
3)
сформулируйте вывод о зависимости силы упругости, возникающей в пружине, от степени растяжения пружины.
| Характеристика оборудования
|
| При выполнении задания используется комплект оборудования № 3 в составе:
- штатив лабораторный с муфтой и лапкой;
- пружина жесткостью (40 ± 1) Н/м;
- 3 груза массой по (100 ± 2) г;
- динамометр школьный с пределом измерения 4 Н (погрешность 0,1 Н);
- линейка длиной 20-30 см с миллиметровыми делениями.
Внимание!
При замене какого-либо элемента оборудования на аналогичное с другими характеристиками необходимо внести соответствующие изменения в образец выполнения задания.
|
| Образец возможного выполнения
|
| 1. Схема экспериментальной установки:

2)
| №
|
F
упр
=
mg
= Р (Н)
|
х (м)
|
| 1
|
1
|
0,025
|
| 2
|
2
|
0,05
|
| 3
|
3
|
0,075
|
3) Вывод: при увеличении растяжения пружины сила упругости, возникающая в пружине, также увеличивается.
Указание экспертам
1. Измерение удлинения пружины считается верным, если его значение попадает в интервал
к указанным в таблице значениям x
(погрешность определяется главным образом погрешностью отсчета)
Измерение силы считается верным, если ее значение попадает в интервал
к указанным в таблице значениям Р
.
2. Наличие вывода о функциональной (прямой пропорциональной) зависимости между силой упругости и растяжением пружины не является обязательным, достаточным считается вывод о качественном изменении силы упругости при изменении степени деформации.
|
| Критерии оценки выполнения задания
|
Баллы
|
| Полностью правильное выполнение задания, включающее:
1) схематичный рисунок экспериментальной установки;
2) правильно записанные результаты прямых измерений (в данном случае удлинения пружины и веса грузов для трех измерений
);
3) сформулированный правильный вывод.
|
4
|
| Приведены все элементы правильного ответа 1-3, но
— допущена ошибка при переводе одной из измеренных величин в СИ при заполнении таблицы (или при построении графика);
ИЛИ
— допущена ошибка в схематичном рисунке экспериментальной установки, или рисунок отсутствует.
|
3
|
| Сделан рисунок экспериментальной установки, правильно приведены результаты прямых измерений величин, но не сформулирован вывод.
ИЛИ
Сделан рисунок экспериментальной установки, сформулирован вывод, но в одном из экспериментов присутствует ошибка в прямых измерениях.
|
2
|
| Записаны только правильные результаты прямых измерений.
ИЛИ
Сделан рисунок экспериментальной установки и частично приведены результаты верных прямых измерений.
|
1
|
| Все случаи выполнения, которые не соответствуют вышеуказанным критериям выставления 1, 2, 3 или 4 баллов. Разрозненные записи. Отсутствие попыток выполнения задания.
|
0
|
Пример 2.1 (4 балла)

Комментарий:
присутствуют все элементы правильного ответа.
Пример 2.2 (4 балла)

Комментарий:
присутствуют все элементы правильного ответа. Ошибку при заполнении таблицы (для удлинения при подвешивании двух грузов) можно не учитывать, т.к. результаты прямых измерений на графике представлены верно.
Пример 2.3 (3 балла)

Комментарий:
в приведенном примере допущена ошибка при переводе одной из измеренных величин в СИ при заполнении таблицы.
Пример 2.4 (2 балла)

Комментарий:
сделан рисунок экспериментальной установки, правильно приведены значения прямых измерений, но не сформулирован вывод.
Пример 2.5 (2балла)

Комментарий:
в одном из экспериментов присутствует ошибка в прямых измерениях (для удлинения пружины при подвешивании трех грузов).
Пример 2.6 (1 балл)

Комментарий:
в данном варианте частично приведены результаты верных прямых измерений (для удлинения пружины).
Пример 2.7 (0 баллов)

Комментарий:
в данном варианте присутствуют ошибки для обеих измеряемых величин.
Пуля массой 50 г вылетает из ствола ружья вертикально вверх со скоростью 40 м/с. Чему равна потенциальная энергия пули через 4 с после начала движения? Сопротивлением воздуха пренебречь.
//Ответ:
| Образец возможного решения
|
| Дано:
m
= 50 г = 0,05 кг
u
0
= 40 м/с
E
п
= 0,05
×
10
×
80 = 40 (Дж)
t
= 4
c
g
= 10 м/с2
|
Еп
=
mgh
E
п
= 0,05
×
10
×
80 = 40 (Дж)
Ответ: Еп
= 40 Дж.
|
| E
п
– ?
|
| Критерии оценки выполнения задания
|
Баллы
|
| Приведено полное правильное решение, включающее следующие элементы:
1) верно записано краткое условие задачи;
2) записаны уравнения и формулы, применение которых необходимо и достаточно
для решения задачи выбранным способом (в данном решении — формула для расчета потенциальной энергии поднятого над землей тела,
уравнение для перемещения при равноускоренном движении
);
3) выполнены необходимые математические преобразования и расчеты, приводящие к правильному числовому ответу, и представлен ответ. При этом допускается решение "по частям" (с промежуточными вычислениями).
|
3
|
| —
Правильно записаны необходимые формулы, проведены вычисления, и получен ответ (верный или неверный), но допущена ошибка в записи краткого условия или переводе единиц в СИ.
ИЛИ
— Представлено правильное решение только в общем виде, без каких-либо числовых расчетов.
ИЛИ
— записаны уравнения и формулы, применение которых необходимо и достаточно
для решения задачи выбранным способом, но в математических преобразованиях или вычислениях допущена ошибка.
|
2
|
| — Записаны и использованы не все исходные формулы, необходимые для решения задачи.
ИЛИ
— Записаны все исходные формулы, но в ОДНОЙ из них допущена ошибка.
|
1
|
| Все случаи решения, которые не соответствуют вышеуказанным критериям выставления оценок в 1, 2, 3 балла.
|
0
|
Пример 3.1 (3 балла)

Комментарий:
в данном примере приведено правильное решение.
Пример 3.2 (3 балла)

Комментарий:
в данном примере приведено правильное решение.
Пример 3.3 (2 балла)

Комментарий:
в данном примере присутствуют ошибки в вычислениях.
Пример 3.4 (1 балл)

Комментарий:
в данном примере правильно записаны не все исходные формулы, необходимые для решения задачи.
Пример 3.5 (0 баллов)

Комментарий:
не записано ни одной формулы в общем виде.
Пример 3.6 (0 баллов)

Комментарий:
не представлено правильно записанных формул.
Воду массой 900 г налили в стакан и стали нагревать на электрической плитке мощностью 300 Вт. При этом экспериментально исследовали зависимость температуры воды от времени нагревания (см. рисунок). Определите КПД данного процесса, считая полезной энергию, идущую на нагревание воды.
//Ответ:
| Образец возможного решения
|
| Дано:
m
= 900 г = 0,9 кг 15 мин = 900 с
Р = 300 Вт
с = 4200 Дж/(кг
×
°
С)
|
100% ;
если
D
t
= 15 мин, то
D
T
= 50
°
С
15 мин = 900 с
Ответ: η=70%
|
| h
– ?
|
| Критерии оценки выполнения задания
|
Баллы
|
| Приведено полное правильное решение, включающее следующие элементы:
1) верно записано краткое условие задачи;
2) записаны уравнения и формулы, применение которых необходимо и достаточно
для решения задачи выбранным способом (в данном решении — формулы для расчета КПД, количества теплоты при нагревании тела, и выделяющейся при протекании электрического тока
);
3) выполнены необходимые математические преобразования и расчеты, приводящие к правильному числовому ответу, и представлен ответ. При этом допускается решение "по частям" (с промежуточными вычислениями).
|
3
|
| —
Правильно записаны необходимые формулы, проведены вычисления, и получен ответ (верный или неверный), но допущена ошибка в записи краткого условия или переводе единиц в СИ.
ИЛИ
— Представлено правильное решение только в общем виде, без каких-либо числовых расчетов.
ИЛИ
— записаны уравнения и формулы, применение которых необходимо и достаточно
для решения задачи выбранным способом, но в математических преобразованиях или вычислениях допущена ошибка.
|
2
|
| — Записаны и использованы не все исходные формулы, необходимые для решения задачи.
ИЛИ
— Записаны все исходные формулы, но в ОДНОЙ из них допущена ошибка.
|
1
|
| Все случаи решения, которые не соответствуют вышеуказанным критериям выставления оценок в 1, 2, 3 балла.
|
0
|
Пример 4.1 (3 балла)

Комментарий:
в данном примере приведено правильное решение задачи.
Пример 4.2 (3 балла)

Комментарий:
в данном примере приведено правильное решение задачи.
Пример 4.3 (2 балла)

Комментарий:
ошибка в записи ответа.
Пример 4.4 (2 балла)

Комментарий:
отсутствует запись краткого условия задачи.
Пример 4.5 (1 балл)

Комментарий:
записаны не все исходные формулы, необходимые для решения задачи.
Пример 4.6 (0 баллов)

Комментарий:
не представлено решения.
Дима рассматривает красные розы через зеленое стекло. Какого цвета будут казаться ему розы? Объясните наблюдаемое явление.
Образец возможного решения:
1) Розы будут казаться черными.
2) Их цвет зависит от света, который попадает к Диме в глаза. Красные розы поглощают все цвета, кроме красного, а красный цвет отражают. Зеленое стекло поглощает весь свет, кроме зеленого. Но зеленого цвета нет в свете, который отражают розы – они его поглотили. К Диме в глаза через зеленое стекло не попадет никакого света от красных роз – они покажутся черными.
| Критерии оценки выполнения задания
|
Баллы
|
| Представлено правильное решение, включающее правильный ответ (в данном случае — п.1) и достаточное обоснование, не содержащее ошибок (в данном случае — п. 2).
|
2
|
| Представлен правильный ответ на поставленный вопрос, но его обоснование некорректно или отсутствует.
ИЛИ
Представлены корректные рассуждения, приводящие к правильному ответу, но ответ явно не сформулирован.
|
1
|
| Представлены общие рассуждения, не относящиеся к решению задачи.
ИЛИ
Ответ на вопрос неверен, независимо от того, что рассуждения правильны, неверны или отсутствуют.
|
0
|
Пример 5.1 (2 балла)

Комментарий:
представлен правильный ответ на поставленный вопрос, и приведено достаточное обоснование.
Пример 5.2 (2 балла)

Комментарий:
представлен правильный ответ на поставленный вопрос, и приведено достаточное обоснование.
Пример 5.3 (1 балл)

Комментарий:
представлен правильный ответ на поставленный вопрос, но его обоснование некорректно.
Пример 5.4 (1 балл)

Комментарий:
представлен правильный ответ на поставленный вопрос, но его обоснование некорректно.
Пример 5.5 (0 баллов)

Комментарий:
ответ на поставленный вопрос неверен.
Каким пятном (темным или светлым) ночью на неосвещенной дороге кажется пешеходу лужа в свете фар приближающегося автомобиля? Ответ поясните.
Образец возможного решения
1) Лужа кажется светлым пятном на фоне более темной дороги.
2) И лужу, и дорогу освещают только фары встречного автомобиля. От гладкой поверхности воды свет отражается зеркально, то есть вперед, и попадает в глаза пешеходу. Поэтому лужа будет казаться ярким пятном. От шероховатой поверхности дороги свет рассеивается и в меньшей степени попадает в глаза пешеходу.
| Критерии оценки выполнения задания
|
Балл
|
| Представлено правильное решение, включающее ответ (в данном случае — п.1) и достаточное обоснование, не содержащее ошибок (в данном случае — п. 2).
|
2
|
| Представлено решение, содержащее правильный ответ на поставленный вопрос и обоснование. Но при этом обоснование не является достаточным, хотя содержит корректное указание на физические явления (законы), причастные к обсуждаемому вопросу
ИЛИ
Представлено обоснование, содержащее корректные рассуждения, приводящие к правильному ответу, но ответ явно не сформулирован.
|
1
|
| Представлены общие рассуждения, не относящиеся к решению данной задачи.
ИЛИ
Ответ на вопрос неверен, независимо от того, что рассуждения правильны, неверны или отсутствуют.
ИЛИ
Представлен только правильный ответ без обоснований.
|
0
|
Пример 6.1 (2 балла)

Комментарий:
представлен правильный ответ на поставленный вопрос, и приведено достаточное обоснование.
Пример 6.2 (2 балла)

Комментарий:
представлен правильный ответ на поставленный вопрос, и приведено достаточное обоснование.
Пример 6.3 (1 балл)
Комментарий:
представлены правильные рассуждения, приводящие к правильному ответу, но ответ явно не сформулирован.
Пример 6.4 (1 балл)

Комментарий:
представлен правильный ответ на поставленный вопрос, но его обоснование не является достаточным.
Пример 6.5 (0 баллов)

Комментарий:
ответ на поставленный вопрос неверен.
Пример 6.6 (0 баллов)

Комментарий:
ответ на поставленный вопрос неверен, хотя рассуждения правильны.
При проверке и оценке экзаменационных работ эксперту необходимо обращать внимание на соблюдение определенных правил и технологии проверки выполнения заданий с развернутым ответом.
1. Проверка экзаменационных работ учащихся по предмету осуществляется на основе системы оценивания, разработанной Федеральной предметной комиссией.
2. Проверка осуществляется по линиям заданий: сначала в выданных на проверку экзаменационных работах эксперт проверяет все задания С1, затем С2, С3 и т.д. Аналогичным образом в работах со сквозной нумерацией заданий по предметам, например, в физике, сначала проверяются во всех работах все задания 22, затем все задания 23, 24, 25. Это позволяет существенно повысить качество экспертной оценки и оптимально использовать время проверки.
3. Отдельные элементы технологии, например, назначение третьего эксперта, а также форма бланков-протоколов проверки определяются на региональном уровне.
На региональном уровне определяется, каким символом в протоколе проверки отмечаются задания, которые были не выполнены экзаменуемым, не зависимо от того, пропустил ли участник экзамена задание или не успел его выполнить. Данная информация важна для определения качества заданий. По технологии ЕГЭ отсутствие ответа на задание отмечается символом «N». Наличие на месте ответа непонятных записей, знаков, рисунков или пометок может быть расценено как ответ на задание или подтверждение того, что экзаменуемый приступал к выполнению задания или имел возможность его выполнить, но не выполнил по какой-то причине. В этом случае выставляется 0 баллов.
4. Экспертам необходимо обратить внимание на наличие в системах оценивания по предметам указаний на возможность иного верного решения или ответа, который должен оцениваться, как и те, что повторяют логику примерного ответа в критериях оценивания заданий. Если ответ экзаменуемого отличается от варианта, предложенного в рекомендациях по оцениванию, эксперт должен оценить, понял ли экзаменуемый суть задания или поставленного вопроса и в какой степени продемонстрировал свою способность выполнить данное задание или ответить на данный вопрос. Эксперту не рекомендуется снижать баллы за какие-либо недочеты в ответе ученика, которые, по мнению эксперта, не отвечают идеальному ответу.
5. При проверке и оценке экзаменационных работ не учитываются
особенности почерка и наличие грамматических ошибок в работах учащихся (кроме работы по русскому языку), если они не искажают сути ответа.
6. Если ответ ученика содержит значительно больше информации, чем требуется по заданию, или ответ является частично «правильным», но содержит дополнительные элементы, то необходимо придерживаться следующих правил:
- прежде всего, следует установить, противоречат ли элементы ответа друг другу;
- если элементы противоречат друг другу (один правильный, а другой – неправильный), то выставляется 0 баллов;
- если элементы ответа не противоречат друг другу, то наличие дополнительного элемента не учитывается при оценке ответа.
1. Сборник тестовых заданий для тематического и итогового контроля. Физика. Основная школа (7 –9 класс) /Орлов В.А., Татур А.О. – М.: Интеллект-Центр, 2006
2. Тематические тесты для подготовки к итоговой аттестации и ЕГЭ. Физика / О.Ф. Кабардин, Л.В. Болотник, М.: Баласс, Изд. Дом РАО, 2005.
3. ЕГЭ-2007: Физика. Сборник заданий/ Г.Г. Никифоров, В.А.Орлов, Н.К.Ханнанов, М.: Просвещение, Эксмо 2007.
4. Единый государственный экзамен: Физика: Контрольные измерительные материалы: Репетиционная сессия 1. / Г.Г. Никифоров, Г.А.Чижов – М.: Вентана-Граф, 2006
5. Единый государственный экзамен: Физика: Контрольные измерительные материалы: Репетиционная сессия 2. / Г.Г. Никифоров, Г.А.Чижов – М.: Вентана-Граф, 2006
6. Единый государственный экзамен: Физика: Контрольные измерительные материалы: Репетиционная сессия 3. / Г.Г. Никифоров, Г.А.Чижов – М.: Вентана-Граф, 2007
7. Единый государственный экзамен: Физика: Контрольные измерительные материалы: Репетиционная сессия 4. / Г.Г. Никифоров, Г.А.Чижов – М.: Вентана-Граф, 2007
8. Единый государственный экзамен: Физика: Контрольные измерительные материалы: Репетиционная сессия 5. / Г.Г. Никифоров, Г.А.Чижов – М.: Вентана-Граф, 2007
9. Физика: Тренировочные задания тестовой формы с выбором ответа: Рабочая тетрадь для учащихся общеобразовательных учреждений/ С.Ю.Закурдаева, Е.Е.Камзеева. – 2-е изд., испр. – М.: Вентана-Граф, 2007. (Практикум по подготовке к ЕГЭ)
10. Физика: Тренировочные задания тестовой формы с кратким ответом: Рабочая тетрадь для учащихся общеобразовательных учреждений / С.Ю.Закурдаева, Е.Е.Камзеева. – 2-е изд., испр. – М.: Вентана-Граф, 2007. (Практикум по подготовке к ЕГЭ).
11. Физика: Тренировочные задания тестовой формы с развернутым ответом: Рабочая тетрадь для учащихся общеобразовательных учреждений / С.Ю.Закурдаева, Е.Е.Камзеева. – 2-е изд., испр. – М.: Вентана-Граф, 2007. (Практикум по подготовке к ЕГЭ).
12. Готовимся к ЕГЭ. Тесты по физике для контроля и самопроверки /В.А.Орлов. Москва, Илекса, 2008.
13. ЕГЭ. Физика: Раздаточный материал тренировочных тестов. /Курашова С.А. СПб.: Тригон, 2008.
14. Курс школьной физики. Пособие по подготовке к ЕГЭ /А.И.Черноуцан, М.: Физматлит, 2008.
15. ЕГЭ-2008. Физика. Тренировочные задания / А.А. Фадеева. – М.: Эксмо, 2008
16. ЕГЭ. Физика: Раздаточный материал тренировочных тестов /Курашова С.А. СПб.: Тригон, 2008 (гриф подтвержден)
17. ЕГЭ-2010. Физика: сборник экзаменационных заданий. Федеральный банк экзаменационных материалов / ФИПИ авторы составители: М.Ю. Демидова, И.И. Нурминский – М.: Эксмо, 2008.
18. Единый государственный экзамен 2010.Физика. Универсальные материалы для подготовки учащихся/ ФИПИ авторы составители: М.Ю. Демидова, Г. Г. Никифоров, В. А. Орлов, Н. К. Ханнанов– М.: Интеллект-Центр, 2010.
19. Самое полное издание типовых вариантов реальных заданий ЕГЭ. 2010. Физика/ ФИПИ авторы составители: А. В. Берков, В.А. Грибов- М.: Астрель, 2010.
20. Государственная итоговая аттестация (по новой форме): 9 класс. Тематические тренировочные задания. Физика/ ФИПИ автор составитель: М.Ю. Демидова – М.: Эксмо, 2008.
21. ГИА-2010. Экзамен в новой форме. Физика. 9 класс/ ФИПИ авторы составители: Е.Е. Камзеева, М.Ю. Демидова - М.: Астрель, 2010.
22. Государственная итоговая аттестация выпускников 9 классов в новой форме. Физика. 2010/ ФИПИ авторы составители: Демидова М.Ю., Важеевская Н.Б., Пурышева Н.С., Камзеева Е.Е. – М.: Интеллект-Центр, 2010.
http
://
www
.
edu
.
ru
-
Центральный образовательный портал, содержит нормативные документы Министерства образования и науки РФ, стандарты, информацию о проведении экзамена.
http
://
www
.
fipi
.
ru
- портал Федерального государственного научного учреждения «Федеральный институт педагогических измерений» осуществляет информационную поддержку ЕГЭ и государственной (итоговой) аттестации за курс основной школы.
http
://
www
.
center
.
fio
.
ru
/
som
-
методические рекомендации учителю-предметнику (представлены все школьные предметы). Материалы для самостоятельной разработки профильных проб и активизации процесса обучения в старшей школе.
http
://
www
.
internet
-
scool
.
ru
-
сайт Интернет – школы издательства Просвещение. Учебный план школы разработан на основе федерального базисного учебного плана для общеобразовательных учреждений РФ и представляет область знаний «Физика». На сайте представлены интернет-уроки по алгебре и началам анализа и геометрии.
http
://
www
.
intellectcentre
.
ru
– сайт издательства «Интеллект-Центр». На этом сайте можно найти учебно-тренировочные материалы, демонстрационные версии экзаменационных работ, банк тренировочных заданий с ответами, методические рекомендации для учителей и образцы решений заданий.
http://edu.seun.ru
– портал министерства образования Саратовской области.
|